Реферат: Система счисления 2
|
Название: Система счисления 2 Раздел: Рефераты по информатике Тип: реферат | ||||||||||||||||||||||||||||||||||||||||||||||||||||||||||||||||||||||||||||||||||||||||||||||||||||||
Содержание Как порождаются целые числа в позиционных системах счисления? Почему люди пользуются десятичной системой, а компьютеры — двоичной? Почему в компьютерах используются также восьмеричная и шестнадцатеричная системы счисления? Перевод чисел из одной системы счисления в другую Сложение в различных системах счисления Вычитание в различных системах счисления Умножение в различных системах счисления Деление в различных системах счисления Что такое система счисления?Система счисления — это совокупность приемов и правил, по которым числа записываются и читаются.Существуют позиционные и непозиционные системы счисления. В непозиционных системах счисления вес цифры (т. е. тот вклад, который она вносит в значение числа) не зависит от ее позиции в записи числа. Так, в римской системе счисления в числе ХХХII (тридцать два) вес цифры Х в любой позиции равен просто десяти. В позиционных системах счисления вес каждой цифры изменяется в зависимости от ее положения (позиции) в последовательности цифр, изображающих число. Например, в числе 757,7 первая семерка означает 7 сотен, вторая — 7 единиц, а третья — 7 десятых долей единицы. Сама же запись числа 757,7 означает сокращенную запись выражения:
Любая позиционная система счисления характеризуется своим основанием . Основание позиционной системы счисления — количество различных цифр, используемых для изображения чисел в данной системе счисления. За основание системы можно принять любое натуральное число — два, три, четыре и т.д. Следовательно, возможно бесчисленное множество позиционных систем: двоичная, троичная, четверичная и т.д. Как порождаются целые числа в позиционных системах счисления?В каждой системе счисления цифры упорядочены в соответствии с их значениями: 1 больше 0, 2 больше 1 и т.д. Продвижением цифры называют замену её следующей по величине. Продвинуть цифру 1 значит заменить её на 2, продвинуть цифру 2 значит заменить её на 3 и т.д. Продвижение старшей цифры (например, цифры 9 в десятичной системе) означает замену её на 0. В двоичной системе, использующей только две цифры — 0 и 1, продвижение 0 означает замену его на 1, а продвижение 1 — замену её на 0. Для образования целого числа, следующего за любым данным целым числом, нужно продвинуть самую правую цифру числа; если какая-либо цифра после продвижения стала нулем, то нужно продвинуть цифру, стоящую слева от неё. Применяя это правило, запишем первые десять целых чисел · в двоичной системе: 0, 1, 10, 11, 100, 101, 110, 111, 1000, 1001; · в троичной системе: 0, 1, 2, 10, 11, 12, 20, 21, 22, 100; · в пятеричной системе: 0, 1, 2, 3, 4, 10, 11, 12, 13, 14; · в восьмеричной системе: 0, 1, 2, 3, 4, 5, 6, 7, 10, 11. Кроме десятичной широко используются системы с основанием, являющимся целой степенью числа 2, а именно:
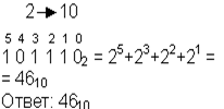
Почему люди пользуются десятичной системой, а компьютеры — двоичной?Люди предпочитают десятичную систему, вероятно, потому, что с древних времен считали по пальцам, а пальцев у людей по десять на руках и ногах. Не всегда и не везде люди пользуются десятичной системой счисления. В Китае, например, долгое время пользовались пятеричной системой счисления. А компьютеры используют двоичную систему потому, что она имеет ряд преимуществ перед другими системами : · для ее реализации нужны технические устройства с двумя устойчивыми состояниями (есть ток — нет тока, намагничен — не намагничен и т.п.), а не, например, с десятью, — как в десятичной; · представление информации посредством только двух состояний надежно и помехоустойчиво ; · возможно применение аппарата булевой алгебры для выполнения логических преобразований информации; · двоичная арифметика намного проще десятичной. Недостаток двоичной системы — быстрый рост числа разрядов, необходимых для записи чисел. Почему в компьютерах используются также восьмеричная и шестнадцатеричная системы счисления? Двоичная система, удобная для компьютеров, для человека неудобна из-за ее громоздкости и непривычной записи. Перевод чисел из десятичной системы в двоичную и наоборот выполняет машина. Однако, чтобы профессионально использовать компьютер, следует научиться понимать слово машины. Для этого и разработаны восьмеричная и шестнадцатеричная системы. Числа в этих системах читаются почти так же легко, как десятичные, требуют соответственно в три (восьмеричная) и в четыре (шестнадцатеричная) раза меньше разрядов, чем в двоичной системе (ведь числа 8 и 16 — соответственно, третья и четвертая степени числа 2). Перевод чисел из одной системы счисления в другуюКоличество p различных цифр, употребляемых в позиционной системе определяет название системы счисления и называется основанием системы счисления – "p " . Любое число N в позиционной системе счисления с основанием p может быть представлено в виде полинома от основания p : N = an pn +an-1 pn-1 + ... +a1 p+a0 +a-1 p-1 +a-2 p-2 + ... (1.1) здесь N – число, aj – коэффициенты (цифры числа), p – основание системы счисления (p >1 ). Принято представлять числа в виде последовательности цифр: N = an an -1 ... a 1 a 0 . a -1 a -2 ... Перевод чисел в десятичную систему осуществляется путем составления степенного ряда с основанием той системы (см. формулу 1.1), из которой число переводится. Затем подсчитывается значение суммы.
Перевод целых десятичных чисел в недесятичную систему счисления осуществляется последовательным делением десятичного числа на основание той системы, в которую оно переводится, до тех пор, пока не получится частное меньшее этого основания. Число в новой системе записывается в виде остатков деления, начиная с последнего. Пример: Переведем число 75 из десятичной системы в двоичную, восьмеричную и шестнадцатеричную:
Ответ: 7510 = 1 001 0112 = 1138 = 4B16 . Перевод правильных дробей из десятичной системы счисления в недесятичную. Для перевода правильной десятичной дроби в другую систему эту дробь надо последовательно умножать на основание той системы, в которую она переводится. При этом умножаются только дробные части. Дробь в новой системе записывается в виде целых частей произведений, начиная с первого. Пример. Переведем число 0,36 из десятичной системы в двоичную, восьмеричную и шестнадцатеричную:
Для перевода неправильной десятичной дроби в систему счисления с недесятичным основанием
необходимо отдельно перевести целую часть и отдельно дробную. Перевести 23.12510
Системы счисления называются кратными , если выполняется соотношение: S = RN , где S, R – основания систем счисления, N – степень кратности (целое число: 2, 3 … ). Для перевода числа из системы счисления R в кратную ей систему счисления S поступают следующим образом: двигаясь от точки влево и вправо, разбивают число на группы по N разрядов, дополняя при необходимости нулями крайние левую и правую группы. Затем группу заменяют соответствующей цифрой из системы счисления S . Таблица
Для перевода числа из системы счисления S в кратную ей систему счисления R достаточно заменить каждую цифру этого числа соответствующим числом из системы счисления R , при этом отбрасывают незначащие нули в старших (00 512) и младших (15,124000 ) разрядах.
Если требуется выполнить перевод из системы счисления S в R , при условии что они не являются кратными , тогда нужно попробовать подобрать систему счисления K , такую что: S = K N и R = K N . Перевести 175.248
Результат: 175.248 = 7D.516 . Если систему счисления K подобрать не удается, тогда следует выполнить перевод используя в качестве промежуточной десятичную систему счисления. Для всего этого примеры Перевод восьмеричных и шестнадцатеричных чисел в двоичную систему очень прост: достаточно каждую цифру заменить эквивалентной ей двоичной триадой (тройкой цифр) или тетрадой (четверкой цифр). Например:
Чтобы перевести число из двоичной системы в восьмеричную или шестнадцатеричную, его нужно разбить влево и вправо от запятой на триады (для восьмеричной) или тетрады (для шестнадцатеричной) и каждую такую группу заменить соответствующей восьмеричной (шестнадцатеричной) цифрой. Например:
Сложение в различных системах счисленияТаблицы сложения легко составить, используя Правило Счета.
Вычитание в различных системах счисления
Умножение в различных системах счисленияВыполняя умножение многозначных чисел в различных позиционных системах счисления, можно использовать обычный алгоритм перемножения чисел в столбик, но при этом результаты перемножения и сложения однозначных чисел необходимо заимствовать из соответствующих рассматриваемой системе таблиц умножения и сложения.
Деление в различных системах счисленияДеление в любой позиционной системе счисления производится по тем же правилам, как и деление углом в десятичной системе. В двоичной системе деление выполняется особенно просто, ведь очередная цифра частного может быть только нулем или единицей.
|



















