Курсовая работа: Система автоматического управления положением объекта
|
Название: Система автоматического управления положением объекта Раздел: Промышленность, производство Тип: курсовая работа | |||||||||||||||||||||||||||||||||||||||||||||||||||||||||||||||||||||||||||||||||||||||||||||||||||||||||||||||||||||||||||||||||||||||||||||||||||||||||||||||||||||||||||||||||||||||||||||||||||||||||||||||||||||||||||||||||||||||||||||||||||||||||||||||||||||||||||||||||||||||||||||||||||||||||||||
Пензенский Государственный Университет Кафедра «Автоматика и телемеханика» Система автоматического управления положением объекта Пояснительная записка к курсовой работе по дисциплине «Теория автоматического управления» Выполнил: ст. гр. 05УА1 Разин А.В. Руководитель: к.т.н., доцент Малёв Б.А. Пенза, 2008 Техническое задание Вариант №37 Разработать систему автоматического управления положением объекта по заданным характеристикам объекта и показателям качества управления. Исходные данные на разработку системы приведены в таблице 1. Таблица 1
Содержание Введение 1. Анализ технического задания на систему 2. Статический расчёт системы 2.1 Выбор двигателя и редуктора 2.2 Выбор элемента сравнения 2.3 Определение коэффициента передачи разомкнутой системы 2.4 Выбор усилительного устройства 3. Динамический расчёт системы3.1 Определение передаточных функций системы3.2 Построение логарифмических характеристик3.3 Проверка устойчивости системы по критерию А.В. Михайлова3.4 Построение желаемой ЛАХ системы3.5 Построение ЛАХ корректирующего устройства3.6 Выбор схемы и расчёт корректирующего устройства4. Описание принципиальной схемы Заключение Список использованных источников Введение Автоматическое управление различными техническими объектами является одним из самых прогрессивных направлений в развитии техники. При автоматическом регулировании задача поддержания постоянства регулируемой величины или изменения её по какому-либо закону должна выполнятся без непосредственного участия человека. Устройство, освобождающее человека от выполнения функций регулирования, называемое регулятором в совокупности с объектом управления называется системой автоматического управления (САУ). Современная система автоматического управления представляет собой сложные комплексы взаимодействующих устройств и элементов, работа которых основана на различных физических принципах. САУ должна одновременно решать две задачи: · Обеспечивать с требуемой точностью изменение выходной величины в соответствии с поступающей из вне входной величиной · По возможности нейтрализовать действие внешних возмущений В основу работы системы положен принцип замкнутого цикла, заключающийся в сравнении действительного изменения регулируемой величины С заданным ее изменением, определяемым управляющим сигналом. Возмущающий в результате сравнения сигнал ошибки используется для формирования регулирующего воздействия на объект управления с тем, чтобы ошибка системы не превышала допустимого значения. В данной работе разрабатывается система автоматического управления положением объекта. Весь процесс проектирования можно разбить на несколько этапов: 1) Выбор и расчёт основных элементов нескорректированной системы; 2) Анализ устойчивости системы и синтез корректирующего устройства, обеспечивающего требуемые качественные показатели; 3) Разработка полной принципиальной схемы. 1. Анализ технического задания на систему На данном этапе проектирования автоматической системы управления в соответствии с её назначением, требованиями к точности выбирается метод управления и составляется функциональная схема. Разрабатываемая следящая система предназначена для воспроизведения осью нагрузки закона изменения угла поворота входной оси. Многие следящие системы рассчитывают применительно к эквивалентному синусоидальному режиму
где амплитуда А
и эквивалентная частота
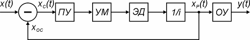
Расчёт системы будет производиться с применением частотных методов, считая, что элементы системы имеют линейные или линеаризованные характеристики. Наглядное представление о функциях, которые выполняют отдельные элементы системы, и связях между ними даёт функциональная схема системы автоматического управления. Функциональная схема представлена на рисунке 1.
ПУ – предварительный усилитель; УМ – усилитель мощности; ЭД – электродвигатель; ОУ – объект управления. Рисунок 1 – Функциональная схема следящей системы Как видно из функциональной схемы, на объект управления поступает регулирующее воздействие x(t), являющееся выходной величиной управляющей части системы (регулятора), которая представляет собой совокупность элемента сравнения, предварительного усилителя, усилителя мощности, электродвигателя и силового редуктора, специально введённых для получения замкнутой системы автоматического управления. Замыкание контура управления производится подачей в регулятор по цепи главной обратной связи управляемой величины, которая отличается от выходной величины. Элемент сравнения вырабатывает ошибку рассогласования, которая затем усиливается предварительным усилителем и усилителем мощности и подаётся на исполнительный элемент (электродвигатель). 2. Статический расчёт системы Содержанием статического расчёта системы является выбор основных элементов. По данным технического задания производится расчёт, на основании которого выбираются исполнительный двигатель, силовой редуктор, измеритель рассогласования, составляются уравнения статики, определяется коэффициент усиления нескорректированной системы. Методика статического расчёта взята из учебного пособия “Расчет систем управления “ /3/. 1.1 Выбор двигателя и редуктора Рассчитаем необходимую мощность электродвигателя:
где η – КПД редуктора из диапазона. Величина КПД принимается равной η=0,85. Тогда, используя формулу (1), получим:
По справочным данным, помещённым в /3/ был выбран асинхронный двигатель серии АДП-563А, технические данные которого представлены в таблице 2. Таблица 2 – Данные асинхронного двигателя серии АДП-563А
Для расчётов необходимо чтобы все величины были в одних единицах. С этой целью переведём ΩНОМ в систему СИ.
Коэффициент внутреннего демпфирования для выбранного двигателя составляет
Момент инерции двигателя определим по формуле
Чтобы учесть момент инерции редуктора, примем
Передаточное число редуктора находим из условия получения минимального среднеквадратического значения вращающего момента на валу двигателя
Проверим, выполняется ли при найденном передаточном числе условие
Подставив значения, получим:
Поскольку выше означенное условие не выполняется, следует, что выбранный электродвигатель переменного тока не удовлетворяет предъявляемым требованиям. Произведём замену двигателя, взяв двигатель с несколько большим значением мощности. По справочным данным, помещённым в /3/ выбирается двигатель постоянного тока серии СЛ-521, технические данные на который представлены в таблице 3. Таблица 3 – Данные двигателя постоянного тока серии СЛ-521
Момент инерции двигателя совместно с редуктором возьмем равным:
Для расчётов необходимо чтобы все величины были в одних единицах. С этой целью переведём ΩДВ в систему СИ.
Проверим, выполняется ли при найденном передаточном числе условие
Подставив значения, получим:
т.е. данное условие удовлетворяет нашим требованиям. Определим минимальное значение вращающего момента двигателя:
Проверим двигатель по вращающему моменту по условию:
Значение номинального вращающего момента меньше значения минимального вращающего момента. Если двигатель, имеющий запас по мощности, не удовлетворяет требованию по скорости, то, изменяя передаточное число редуктора, можно согласовать соотношение между требуемой и располагаемой мощностями. Новое передаточное отношение можно определить по выражению:
Примем для выполнения условия за оптимальное значение передаточного числа редуктора Проверим заново, выполняется ли условие при новом значении передаточного числа редуктора:
Данное условие выполняется. Найдем заново минимальное значение среднеквадратического вращающего момента двигателя:
Проверяем условие:
Амплитудное значение вращающего момента составит:
а номинальное значение вращающего момента электродвигателя:
Как видно, при вновь рассчитанном передаточном числе редуктора, двигатель типа СЛ-521 полностью удовлетворяет предъявляемым требованиям, как по скорости вращения, так и по вращающему моменту. Выберем число пар зацеплений n и передаточное число каждой пары редуктора по номограмме, представленной на рисунке 2. Известно, что если
Рисунок 2 – Номограмма Используя справочные данные двигателя (таблица 2), определим параметры электродвигателя, которые необходимы для составления его передаточной функции. Пусковой ток якоря найдем следующим образом:
Полное сопротивление цепи якоря:
Постоянные электродвигателя CЕ =КЕ ·Ф и СМ =КМ ·Ф, где Ф – магнитный поток возбуждения, КМ и КЕ – конструктивные постоянные, в системе СИ принимают равные значения и рассчитываются по формуле:
Коэффициент передачи двигателя между установившейся частотой вращения двигателя и напряжением питания на этой частоте:
Коэффициент внутреннего демпфирования, отражающий уменьшение вращающего момента с ростом скорости вращения:
Электромеханическая постоянная времени с учётом нагрузки, которая характеризует быстроту протекания электромеханических переходных процессов в двигателе примет величину:
Электромагнитная постоянная времени составит:
Так как постоянная времени ТЭ много меньше постоянной времени ТМ , то ТЭ можно пренебречь. Выходной величиной двигателя является угол поворота, следовательно его передаточная функция имеет вид:
С учётом того, что постоянная времени ТЭ мала передаточная функция двигателя примет вид:
2.2 Выбор элемента сравнения Элемент сравнения осуществляет сравнение заданного значения регулируемой величины с действительным значением. Помимо выделения сигнала рассогласования сравнивающий элемент выполняет функции преобразования входных сигналов к виду, удобному для дальнейшего применения в системе. В качестве элементов сравнения были выбраны сельсины. Датчик рассогласования выполнен в виде одноканальной схемы на сельсинах, работающих в трансформаторном режиме. Схема элемента сравнения представлена на рисунке 3.
СД – сельсин-датчик, СП – сельсин-приёмник. Рисунок 3 – Схема элемента сравнения Переменное напряжение питания U подаётся на статор сельсина-датчика, а напряжение рассогласования UД снимается с однофазной обмотки сельсина-приёмника.
где КС – коэффициент преобразования схемы по напряжению, которое снимается с однофазной обмотки статора сельсина-приёмника. В согласованном положении роторов сельсина-датчика и сельсина-приёмника напряжение в однофазной обмотки статора сельсина-приёмника оказывается отличным от нуля. Величина угла, на который необходимо повернуть какой-либо из роторов, чтобы напряжение на выходе схемы стало равным нулю, называется статической ошибкой схемы измерения. В качестве ошибки схемы измерения принимают среднюю квадратичную погрешность двух сельсинов – СД и СП.
где Δсд, Δсп – погрешности датчика и приёмника. Технические данные сельсина-датчика и сельсина-приёмника приведены в таблице 4. Таблица 4 – Данные сельсинов
Выберем первый класс точности и подставим в (2):
При малых углах рассогласования коэффициент преобразования схемы на сельсинах приблизительно равен:
где UМАХ – максимальное значение напряжения синхронизации сельсина-приёмника. 2.3 Определение коэффициента передачи разомкнутой системы Коэффициент передачи разомкнутой системы К определяется из условия обеспечения заданной точности её функционирования. Коэффициент передачи разомкнутой системы связан с коэффициентами передачи отдельных устройств соотношением:
где КУ – коэффициент усиления усилительного устройства. В следящих системах, предназначенных для отработки угла поворота входной оси, погрешность следования Δα включает в себя погрешность покоя и динамическую погрешность. Погрешность покоя имеет место при остановке системы и включает в себя: · моментную погрешность ΔαМ :
зависящую от момента сопротивления на валу двигателя; · погрешность ΔαЛ от люфта в зацеплениях силового редуктора, которая лежит в интервале (10´…20´); · погрешность ΔαС =Δс, вызванная неточностью элемента сравнения; · погрешность ΔαУ , вызванная неточностью усилителя, лежащая в интервале (5´…10´). Принимаем:
Найдем коэффициент передачи разомкнутой системы, учитывая, что момент трения, используемый при расчете, складывается из момента, присущего элементу сравнения, и статического момента трения, которым обладает исполнительный двигатель:
Результирующая погрешность следования подсчитывается по формуле:
Моментная погрешность в соответствии с (4) сосавит:
Определим скоростную погрешность и погрешность от ускорения:
Погрешность следования в рассчитываемой системе составит (5):
Что удовлетворяет техническому заданию, согласно которому данная погрешность не должна превышать 1. Выразим из формулы (3) коэффициент усиления усилительного устройства:
2.4 Выбор усилительного устройства Усилительный элемент состоит из предварительного усилителя и усилителя мощности. Предварительный усилитель (ПУ) предназначен для усиления сигнала рассогласования по напряжению, а усилитель мощности (УМ) – по току. Т.к. мощность двигателя высока, то в качестве усилителя мощности выберем электромашинный усилитель (ЭМУ). В следящих системах с электродвигателями постоянного тока обычно используются ЭМУ с поперечным полем, которые обладают малой инерционностью и имеют большой коэффициент усиления по мощности. Технические данные ЭМУ и обмоток управления приведены ниже. Нашим требованиям отвечает ЭМУ с поперечным полем серии ЭМУ-3А. Данные на ЭМУ и комплект обмоток управления приведены в таблице 3 и таблице 4. Таблица 3 - Данные на электромашинный усилитель
Таблица 4 – Данные комплекта обмоток
Схема ЭМУ представлена на рисунке 4.
Рисунок 4 – Схема включения электромашинного усилителя Коэффициент усиления ЭМУ по напряжению в режиме холостого хода приближённо можно найти по номинальным данным:
где: · UНОМ =115 В – номинальное напряжение на выходе усилителя, · IНОМ =20 мА – ток в обмотке управления, · RУ =1000 Ом – активное сопротивление обмотки, · α=1,15 – коэффициент, учитывающий нагрев обмотки управления, · m=1,35. Известно, что коэффициент усиления усилительного устройства состоит из коэффициентов усиления предварительного усилителя и усилителя мощности. Зная рассчитанный в пункте 1.3 коэффициент усилительного устройства, найдём коэффициент усиления усилителя напряжения.
Передаточная функция усилителя мощности:
В качестве предварительного усилителя (ПУ) выберем схему на операционном усилителе. Функциональная схема ПУ представлена на рисунке 5. C сельсина-приемника снимается сигнал переменного тока, а для работы исполнительного двигателя необходим постоянный ток. Для выпрямления переменного тока необходимо между предварительным усилителем и усилителем мощности на транзисторах поставить фазочувствительный выпрямитель (ФЧВ), функциональная схема которого изображена на рисунке 7.
+Uп R1 R3 -Uп Рисунок 5 – Схема предварительного усилителя Возьмём резистор R1 равным 10 кОм. Тогда:
Выбирается резистор R1 номиналом 56 кОм. Резистор R3 рассчитывается как параллельное соединение резисторов R1 и R2.
Выбирается резистор R3 номиналом 8,2 кОм ПУ должен обеспечить ток управления ЭМУ, равный примерно 20 мА. Необходимо учесть, что предварительный усилитель (ПУ) не обеспечивает нужного тока для обмотки управления ЭМУ, поэтому введем усилитель на комплиментарной паре транзисторов, который увеличивает выходной ток ПУ до необходимой величины. Усилитель представлен на рисунке 6.
Рисунок 6 – Усилитель мощности на комплиментарной паре транзисторов Транзисторы необходимо выбрать, исходя из следующих условий: 1. Коэффициент усиления по току должен быть не менее 10; 2. Максимально допустимый ток коллектора должен превышать ток управления ЭМУ. Этим требованиям отвечают транзисторы КТ215Г9 (n-p-n) и КТ208Д (p-n-p). Технические данные транзисторов, взятые из /6/, сведены в таблицу 5. Таблица 5 – Транзисторы комплиментарной пары
Рисунок 7 - Схема фазочувствительного выпрямителя Расчёт ФЧВ был взят из /4/.
Примем коэффициент усиления ФЧВ a = 1. Зададимся значением γ=1, тогда α=3, β=0,75. Принимаем R=10 кОм, тогда R1=R2=10 кОм, R7=30 кОм, R3=7,5 кОм, R4=10 кОм. Сопротивление резисторов R5 и R6 принимается равным 1 кОм. Справочные данные резисторов, взятые из /5/, сведены в таблицы 6 и 7. Полевой транзистор VT, типа КП101Г, выполняет роль аналогового ключа, который формирует импульсы, управляющие рабо той ФЧВ. Таблица 6 – Номиналы резисторов ПУ
Таблица 7 – Номиналы резисторов ФЧВ
Предварительный усилитель и ФЧВ собраны на микросхемах К140УД7, справочные данные которой /4/ приведены в таблице 8. Таблица 8 – Данные операционного усилителя К140УД7
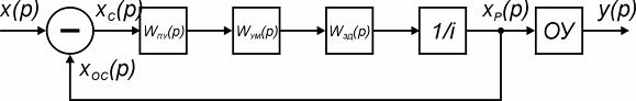
3. Динамический расчёт системы Задачей динамического расчёта является проверка устойчивости системы и синтез корректирующего устройства с целью обеспечения устойчивости и показателей качества функционирования. Для анализа устойчивости системы и синтеза корректирующего устройства используется аппарат передаточных функций. С этой целью система разделяется на звенья направленного действия. Совокупность этих звеньев с линиями связи образует структурную схему системы, которая представлена на рисунке 7. Методика динамического расчёта взята из учебного пособия ”Расчет систем управления” /3/ .
WПУ (p) – передаточная функция предварительного усилителя; WУМ (p) – передаточная функция усилителя мощности; WЭД (p) – передаточная функция электродвигателя. Рисунок 8 – Структурная схема анализируемой системы 3.1 Определение передаточных функций системы По результатам статического расчета составим передаточные функции для отдельных элементов регулятора и всей системы. Передаточная функция для электродвигателя постоянного тока:
Передаточная функция усилительного устройства:
Передаточные функции элемента сравнения и редуктора равны их коэффициентам передачи:
Передаточная функция разомкнутой системы:
(6)
Передаточная функция замкнутой системы:
где знаменатель представляет собой характеристический полином:
Анализируя выражение (6) можно сказать о том, что проектируемая система представляет собой систему четвёртого порядка и является астатической (астатизм первого порядка). 3.2 Построение логарифмических характеристик Амплитудно-фазовая характеристика (АФХ) разомкнутой системы определяется из формулы (6) путём замены p=jω:
Выделим мнимую и действительную часть из выражения (8):
где амплитудно-частотная характеристика представляет собой:
фазо-частотная характеристика:
Переходя к логарифмическим характеристикам, используя выражение (9), получим логарифмическую амплитудную характеристику (ЛАХ) разомкнутой системы.
Определим частоты сопряжения:
Построим ЛАХ не скорректированной системы. На частоте ω=1 отложим ординату 20lgК=45,8 дБ. Проведём через эту точку прямую с наклоном –20дБ/дек до частоты сопряжения ωм . На частотах ω < ωм пренебрегаем последними тремя слагаемыми выражения (11). Выражение для ЛАХ на этом участке примет вид:
На частотах ω1 <ω<ω2 в силу вступает третье слагаемое выражения (11). На этом участке наклон ЛАХ составляет –40дБ/дек до частоты сопряжения ωу, 1/с. Выражение для ЛАХ на этом участке примет вид:
На участке частот ω2 <ω<ω3 можно пренебречь лишь последним слагаемым в выражении (11). Здесь наклон составит –60дБ/дек до частоты сопряжения ωкз =33 1/с, а выражение для ЛАХ будет:
При частотах более ωкз учитываются все составляющие выражения (11) и наклон кривой составляет –80 дБ/дек. Расчётные данные для построения ФЧХ разомкнутой не скорректированной системы сведены в таблицу 8. Характеристики L(ω) и φ(ω) представлены на рисунке 7. Таблица 9 – Расчетные данные для построения ФЧХ не скорректированной системы
Логарифмические характеристики разомкнутой не скорректированной системы приведены в приложении А. При устойчивой разомкнутой системе замкнутая система устойчива, если разность между числом переходов фазовой характеристики сверху вниз и снизу вверх через линию -180 градусов в той области графика, где ЛАХ положительна, равна нулю. Из взаимного расположения построенных характеристик видно, что система неустойчива. 3.3 Проверка устойчивости системы по критерию А.В. Михайлова Воспользуемся передаточной функцией разомкнутой системы
и составим характеристическое уравнение 1+W(p)=0, p∙(1+Tм p) ∙ (1+Tу p) ∙ (1+Tкз p)+К=0, ТМ ∙ТУ ∙ТКЗ ∙р4 +(ТМ ∙ТУ +ТМ ∙ТКЗ +ТУ ∙ТКЗ ) ∙р3 +(ТМ +ТУ +ТКЗ ) ∙р2 +р+К=0, или а0 р4 +а1 р3 +а2 р2 +а3 р+а4 =0, где а0 = ТМ ∙ТУ ∙ТКЗ =0,052∙0,035∙0,03=0,0000548, а1 = ТМ ∙ТУ +ТМ ∙ТКЗ +ТУ ∙ТКЗ =0,052∙0,035+0,052∙0,03+0,035∙0,03=0,00444, а2 = ТМ +ТУ +ТКЗ =0,052+0,035+0,03=0,117, а3 =1, а4 =К=195. Подставляя значения коэффициентов а0 , а1 , а2 , а3 , а4 , получим: 0,0000548р4 +0,00444р3 +0,117р2 +р+195=0. Сделав замену p=jω, характеристический многочлен будет иметь вид: N(ω)=0,0000548ω4 -j0,00444ω3 -0,117ω2 +ω+195=X(ω)+jY(ω), где X(ω)=195-0,117ω2 +0,0000548ω4 , Y(ω)=ω- 0,00444ω3 . Задаваясь значениями ω от 0 до ∞ при известных коэффициентах а0 , а1 , а2 , а3 , а4 , для каждого значения ω, находим X(ω) и Y(ω) и составляем таблицу значений для построения годографа. Таблица 10 – Расчетные данные для построения годографа Михайлова
По этим значениям на комплексной плоскости X(ω),Y(ω) строим график. Это и будет характеристическая кривая Михайлова или годограф Михайлова. Годограф Михайлова изображен на рисунке 9. Данный годограф построен при использовании программы MathCad.
Рисунок 9 – Годограф А.В. Михайлова Для устойчивости замкнутой системы необходимо и достаточно, чтобы годограф вектора N(jω), начинаясь при ω=0 на вещественной оси, с ростом частоты от нуля до бесконечности обходил последовательно против часовой стрелки n квадрантов комплексной плоскости, где n – порядок характеристического уравнения замкнутой системы. Из графика видно, что система неустойчива, так как нарушен порядок обхождения годографом квадрантов комплексной плоскости. 3.4 Построение желаемой ЛАХ системы Построение желаемой ЛАХ в случае гармонического воздействия строится в следующем порядке: 1. Через точку с координатами (ω=1; L(ω)=20lgК) проводится прямая с наклоном -20 дБ/дек. На оси абсцисс отмечается точка ω0
= 2. Согласно техническому заданию запас по фазе составляет φ=40º, для расчета примем φ=45. По этому значению, пользуясь графиком В.В. Солодовникова, взятого из /2/, найдём ординаты границ среднечастотной зоны L2 = 16 дБ и L3 = -16 дБ. Проводим две горизонтальные прямые: одну на расстоянии L2 , вторую на расстоянии L3 от оси абсцисс. Верхняя прямая пересекается с низкочастотной зоной в точке с абсциссой ω2Ж =28,5 1/с. Через эту точку проводится прямая с наклоном –20 дБ/дек до пересечения с нижней горизонтальной прямой в точке с абсциссой ω3Ж =1000 1/с. 3. Высокочастотную зону представим прямой с наклоном -60дБ/дек. Построенная желаемая ЛАХ представлена в приложении А и описывается формулой:
где:
Ей соответствует фазо-частотная характеристика:
Данные для построения желаемой ФЧХ представлены в таблице 9. Таблица 9 – Данные для построения ФЧХ, соответствующей желаемой ЛАХ
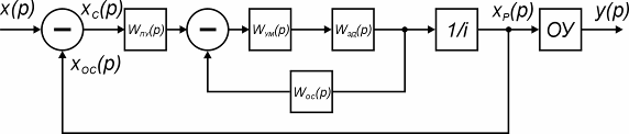
3.5 Построение ЛАХ корректирующего устройства Под коррекцией САР понимают придание системе требуемых динамических свойств при помощи корректирующих устройств. Целью коррекции является удовлетворение требований, предъявляемых к запасу устойчивости системы и поведению ее в переходном процессе. При встречно–параллельной коррекции корректирующее устройство включают в цепь обратной связи (ОС), охватывающей часть нескорректированной системы, т. е. в систему вводится дополнительная внутренняя ОС. Одна из самых важных задач – определение места включения коррекции в систему. Обычно обратной связью охватываются элементы системы, оказывающие наибольшее влияние на ее быстродействие. Для этого охватим обратной связью исполнительный двигатель и ЭМУ. Функциональная схема системы при встречно–параллельной коррекции будет выглядеть следующим образом:
Рисунок 10 – Структурная схема скорректированной системы Передаточная функция охваченных элементов:
Ей соответствует ЛАХ:
где КОХВ =КДВ ·КУМ =4,284·6,457=27,66
Передаточная функция неохваченных элементов равна их коэффициенту передачи:
Ей соответствует ЛАХ:
Передаточная функция внутреннего замкнутого контура равна:
где WОС (р) – передаточная функция местной обратной связи. Передаточная функция скорректированной системы может быть записана в виде:
В рабочем диапазоне частот выполняется неравенство:
Находим ЛАХ обратной связи:
Выражение в квадратных скобках есть ЛАХ внутреннего замкнутого контура LО (ω). Для её построения достаточно опустить желаемую ЛАХ на 17 дБ. Тогда искомая ЛАХ обратной связи будет зеркальным отображением LО (ω). Построение ЛАХ корректирующего устройства показано в приложении А. 3.6 Выбор схемы и расчёт корректирующего устройства Из рисунка А.1 видно, что передаточная функция корректирующего устройства:
где Тк1 =0,042 с, Т2 =0,035 с. На частотах ω<ω3 LОС (ω) представляет собой прямую с наклоном +20дБ/дек, имеющую локальный наклон +40дБ/дек в интервале ωк1 <ω<ωк2 . Характеристика с наклоном +20дБ/дек принадлежит идеальному дифференцирующему элементу. Поскольку входной величиной обратной связи является угол поворота электродвигателя, в качестве такого элемента выбираем тахогенератор с передаточной фукцией:
Выбор тахогенератора, он должен отвечать следующим требованиям: 1. Номинальная скорость вращения тахогенератора должна быть приблизительно равна или несколько больше номинальной скорости двигателя. 2. Момент инерции тахогенератора должен быть меньше момента инерции двигателя. Выбираем тахогенератор серии ТП 20-6-0,5. Технические характеристики тахогенератора представлены в таблице 10. Таблица 10 – Данные тахогенератора типа
Как видно из таблицы 10, выбранный тахогенератор полностью удовлетворяет предъявляемым условиям. Для получения локального наклона +40дБ/дек последовательно с тахогенератором следует включить активный фильтр с передаточной функцией:
Схема коррекции представлена на рисунке 11:
Рисунок 11 – Схема корректирующего устройства На частоте ω=1 будем иметь 20lg(КОХВ ) = 20lg(КОС ) = 28,8 дБ. Отсюда 20lg(КОС ) = -28,8дБ, следовательно КОС = 0,036. С другой стороны, КОС =КТГ ·КФ . Выразим отсюда КФ =КОС /КТГ =0,036/0,057=0,637. (12) При расчёте номиналов сопротивлений фильтра следует учитывать, что сопротивление нагрузки тахогенератора должно быть не менее 10 кОм, что будет способствовать минимизации погрешности от нелинейности функции преобразования. Расчет фильтра, используемого в корректирующем устройстве, ведётся в соответствии с методикой, изложенной в /2/. Зададимся R1 =10 кОм, тогда, согласно (12), R2 =КФ ·R1 =0,036·10=0,36 кОм. Номинальные значения емкостей определяются из соотношений:
Следовательно, зная из графика ЛАХ обратной связи (рисунок А.1) постоянные времени Тк1 =0,042 с, Т2 =0,035 с, найдём номинал ёмкости, используемой при построении фильтра: С1=Tк1 /R1 =0,042/10·103 =4,2 мкФ, Справочные данные резисторов и конденсаторов, взятые из /5/ и /7 / соответственноприведены в таблицах 10 и 11. Таблица 10 – Резисторы, используемые при проектировании фильтра
Таблица 11 – Конденсатор фильтра
Корректирующее устройство выполнено на микросхеме К140УД7. Данные на микросхему приведены выше в таблице 8. Найдём коэффициент усиления охваченных элементов при подключении корректирующего устройства:
Таким образом, коэффициент усиления уменьшился в два раза. Для его компенсации в предварительный усилитель введём еще один усилитель напряжения, собранный на операционном усилителе, с коэффициентом усиления равным двум. 4. Описание принципиальной схемы На ротор сельсина датчика подаётся сигнал в виде угла поворота β. Со статора сельсина-приёмника соединённого с сельсином-датчиком по трансформаторной схеме снимается напряжение, поступающее на предварительный усилитель, выполненный на микросхеме К140УД7. Усиленный сигнал поступает на фазочувствительный выпрямитель со встроенным формирователем импульсов, который преобразует сигнал переменного тока в сигнал постоянного тока. ФЧВ имеет также и управляющий вход, на который подаётся напряжение той же частоты (50Гц), который имеет и входной сигнал. Роль аналогового ключа играет полевой транзистор VT1. Для регулировки коэффициента усиления системы, который уменьшился вследствие введения корректирующего устройства, был введён переменный резистор. На микросхеме DA7 выполнен сумматор, учитывающий сигнал прямой связи и сигнал, поступающий с корректирующего устройства. Буфер, собранный на комплиментарной паре усиливает выходной ток предварительного усилителя до уровня, необходимого для подачи на обмотку управления электромашинного усилителя. Электромашинный усилитель выполняет роль усилителя мощности, сигнал с которого поступает на исполнительный двигатель постоянного тока, откуда через понижающий редуктор – на объект управления. Одновременно с исполнительного электродвигателя сигнал поступает на корректирующее устройство, роль которого выполняет тахогенератор и активный фильтр, выполненный на микросхеме К140УД7. По цепи главной обратной связи сигнал поступает на ротор сельсин приёмника, со статора которого снимается сигнал рассогласования поступающий в системы для отработки. В системе предусмотрен блок питания, выполненный на трансформаторе ТV1. С него снимается вторичное напряжение: постоянного тока 110В для питания электродвигателя; переменное 10 В, 50 Гц для подачи на полевой транзистор VT1, выполняющего роль аналогового ключа и управляющего работой ФЧВ; переменное 110 В, 400 Гц, подаваемое на статор сельсина-датчика и постоянное ±15 В для питания микросхем и комплиментарной пары транзисторов VT2 и VT3. Заключение В курсовой работе была спроектирована система автоматического управления положением объёкта. В ходе проектирования первоначально была разработана система на основе характеристик реальных элементов. Выбранные двигатель, сельсины, не могут обеспечить устойчивость системы, в чём мы убедились, проведя проверку системы на устойчивость с помощью логарифмических характеристик и по критерию А.В. Михайлова с помощью построенного годографа. Чтобы добиться устойчивости системы и заданных качественных характеристик, в систему было введено корректирующее устройство, выполненное в виде местной отрицательной обратной связи. В результате мы получили скорректированную систему, удовлетворяющую всем требованиям, предъявленным в техническом задании. Список использованных источников 1 Баюков А.В. Полупроводниковые приборы. Справочник/ Под ред. Н.Н. Горюнова -2-е изд. – М.: Энегроатомиздат,1985. 2 Выгода Ю.А. Основы расчёта систем автоматического управления / Выгода Ю.А., Малёв Б.А., Марченко В.В., Балабаев М.С.. – Пенза.: ПВАиУ, 1970г. 3 Выгода Ю.А. Расчёт систем управления / Выгода Ю.А., Малёв Б.А., Мясникова Н.В. - Пенза, 2002г. 4 Гутников В.С. Интегральная электроника в измерительных устройствах. – Л.: “Энергоатомиздат”, 1988г. 5 Резисторы: Справочник / Под ред. И.И. Четверткова и В.М. Терехова. - М.: Радио и связь,1991г. 6 Справочник по полупроводниковым диодам, транзисторам и интегральным схемам / Под ред. Горюнова М.Н. – М.: “Энергия”, 1977г. 7 Конденсаторы: Справочник / Под ред. И.И.Четверткова - М.: Радио и связь,1983г. |
|||||||||||||||||||||||||||||||||||||||||||||||||||||||||||||||||||||||||||||||||||||||||||||||||||||||||||||||||||||||||||||||||||||||||||||||||||||||||||||||||||||||||||||||||||||||||||||||||||||||||||||||||||||||||||||||||||||||||||||||||||||||||||||||||||||||||||||||||||||||||||||||||||||||||||||
=
, (1)









, где I
П
– пусковой ток якоря.
.
.
.
,
.
, (3)
, (4)
град
град
град
.
, 
,
.
R
2


.
.



,
(8)
,
, (9)
(10)
. (11)
.





,


,
,
.

.