Реферат: Определение потенциальных резервов экономической эффективности СК ВВТ
|
Название: Определение потенциальных резервов экономической эффективности СК ВВТ Раздел: Рефераты по государству и праву Тип: реферат | |||||||||||||||||||||||||||||||||||||||||||||||||||||||||||||||||||||||||||||||||||||||||||||||||||||||||||||||||||||||||||||||||||||||||||||||||||||||||||||||||||||||||||||||||||||||||||||||||||||||||||||||||||||||||||||||||||||||||||||||||||||||||||||||||||||||||||||||||||||||||||||||||||||||||||||||||||||||||||||||||||||||||||||||||||||||||||||||||||||||||||||||||||||||||||||||||||||||||||||||||||||||||||||||||||||||||||||||||||||||||||||||||||||||||||||||||||||||||||||||||||||||||||||||||||||||||||||||||||||||||||||||||||||||||||||||||||||||||||||||||||||||||||||||||||||||||||||||||||||||||||||||||||||||||||||||||||||||||||||||||||||||||||||||||||||||||||||||||||||||||||||||||||||||||||||||||||||||||||||||||||||||||||||||||||||||||||||||||||||||||||||||||||||||||||||||||||||||||||||||||||||||||||||||||||||||||||||||||||||||||||||||||||||||||||||||||||||||||||||||||||||||||||||||||||||||||||||||||||||||||||||||||||||||||||||||||||||||||||||||||||||||||||||||||||||||||||||||||||||||
Министерство транспорта РФ Федеральное агентство морского и речного транспорта Волжская государственная академия водного транспорта Кафедра Управления транспортом Дисциплина: Антикризисное управление. Тема: Определение потенциальных резервов экономической эффективности СК ВВТ. Работу выполнил: студент 5 курса группы М-57 Хирин Г.А. Работы проверил: Кожухарь В.И. Нижний Новгород 2010 г Содержание Стр.
Введение Антикризисное управление предприятием на последнем этапе жизненного цикла деловой активности (спаде) реализуется через реструктуризацию предприятия в двух ее аспектах: оперативную и стратегическую. Целью данной работы является определение потенциальных резервов экономической эффективности на примере конкретной судоходной компании внутреннего водного транспорта (СК ВВТ) ОАО «Ленское объединенное речное пароходство» (ЛОРП), поскольку именно оперативная реструктуризация направлена на решение наиболее острых экономических и финансовых проблем в краткосрочном периоде. Основанием для такого выбора послужило собственно содержание оперативной реструктуризации предприятия. К целям и задачам оперативной реструктуризации относятся следующие: Цель – создание условий для эффективного функционирования предприятия, при которых оно из зоны убытков переходит в зону получения стабильных потоков прибыли и потому становится инвестиционно привлекательным. Задачи: - анализ использования основных производственных фондов судоходной компании на основе статистической отчетности по формам ВТ-6, ВТ-7, ВТ-8, Б-3; - разработка мероприятий по улучшению производственно – экономических показателей (например, интенсификация транспортного процесса, применение методов оптимизации и мотивации); - оценка эффективности разрабатываемых мероприятий (определяются точки безубыточности до и после предложенных мероприятий); - административная реструктуризация судоходной компании (выделение в дочерние предприятия всех непрофильных производств – вспомогательных видов деятельности); - корректировка точки безубыточности с учетом обоих выполненных мероприятий; - составление прогнозного баланса после разработки мероприятий по антикризисному управлению, расчет основных коэффициентов, характеризующих финансовую устойчивость, платежеспособность, эффективность и интенсивность работы предприятия. 1. Определение индивидуальных исходных данных по ВТ – 6, 7, 8, Б – 3 Форма ВТ-6Отчет об использовании самоходных сухогрузных и наливных судов в анализируемом году
Форма ВТ-7 Отчет об использовании буксирных судов в анализируемом году
Форма ВТ-8 Отчет об использовании несамоходных сухогрузных и несамоходных наливных судов в анализируемом году
2. Расчет эксплуатационных показателей использования флота и структуры оборота по видам флота Используя исходные данные, подготовленные ранее, необходимо рассчитать эксплуатационные показатели использования флота и структуру оборота по видам флота. Состав показателей и способ их расчета представить в таб. 5, 6, 7. Таблица 5 Показатели использования флота
Таблица 6 Структура оборота грузового флота
Таблица 7 Структура оборота буксирного флота
3. Анализ производственно-финансовой деятельности судоходной компании Используя исходные данные, необходимо определить точку безубыточности. Для этого следует сформировать таб. 8, в которой все эксплуатационные затраты подразделить на условно-переменные и условно-постоянные. Таблица 8 Условно – постоянные и условно – переменные расходы
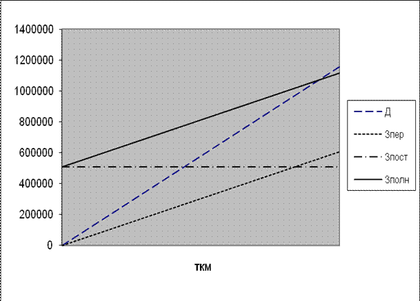
Определение точки безубыточности следует проиллюстрировать графиком (рис.1). На этом графике приводится вид зависимости объема перевозок от доходов и затрат:
Рис. 1. Точка безубыточности Здесь Д – доходы от перевозок, тыс. руб., Зполн – полные затраты на перевозках, тыс. руб., Зпер – переменные затраты на перевозках, тыс. руб., Зпост – постоянные затраты на перевозках, тыс.руб. Анализируя таблицы 5, 6, 7 можно сделать вывод о неудовлетворительном использовании основных производственных фондов. Низок уровень интегрального показателя использования флота – валовой производительности флота по всем видам. Анализ таблиц 6, 7 показывает высокий уровень ненормируемых операций транспортного процесса. При этом необходимо учесть, что все технологические операции, хотя и относятся к нормируемым, но в данном случае чрезвычайно высоки. Анализ точки безубыточности (табл.8, рис.1), подтверждают изложенное выше, поскольку производство и экономика связаны причинно-следственными связями. 4. Разработка путей по повышению экономической эффективности судоходной компании. Обоснование мероприятия . Одним из основных направлений повышения экономической эффективности использования основных производственных фондов является интенсификация производственного процесса, т.е. транспортного процесса. Другими словами, сокращение нормируемых и ненормируемых операций транспортного процесса. Данная проблема решается в двух аспектах: первый аспект – совершенствование научно – методических основ расчета каждой нормируемой операции транспортного процесса; второй аспект (организационно-технический) – сокращение ненормируемых операций транспортного процесса и, в конечном итоге, обоснование продолжительности технологических процессов (рейсов, оборотов, круговых рейсов). Важнейшим является круговой рейс, поскольку потребность во флоте и все эксплуатационные показатели считаются через этот технологический процесс. В статистической отчетности t оборота считается с учетом нормируемых и ненормируемых операций транспортного процесса. Одной из основных целей и задач данной работы является обоснованный расчет коэффициента резерва. Технологический процесс оборот – это сумма продолжительности всех операций транспортного процесса от подачи флота под погрузку до следующей подачи судна под погрузку. Естественно, встает вопрос можно ли аналитически обосновать нормативные значения коэффициента резерва? Разумеется можно и даже необходимо. (Однако до настоящего времени эту проблему никому решить не удалось). Поэтому существующие нормативные значения коэффициента резерва резко различаются по различным бассейнам рек и регионам, поскольку они эмпирические, т.е. отражают массу случайных параметров: техническое состояние флота (моральный и физический износ); технология ремонтов; метеорологические, гидрологические судоходные условия регионов и бассейнов рек и т.д. (в статистике и т.д. называются прочие стоянки). Именно коэффициент резерва и аккумулирует в себе все ненормируемые операции. Принимаем коэффициент резерва от 1,1 до 1,5 Другим направление повышения экономической эффективности использования флота является оптимизация использования транспортного флота, т.е. оптимальная расстановка флота по грузовым потокам и формирование системы грузовых линий (разработка проектной схемы графика движения флота). Данная проблема решается на основе разработки соответствующих экономико-математических моделей (ЭММ) реализуется также по двум направлениям. Первое – оптимизация использования существующих производственных мощностей (текущее планирование). Второе – формирование технической политики судоходных компаний (стратегическая реструктуризация), т.е. обоснование программы списания и пополнения флота в динамике на 5, 10, 15 лет. Это очень сложная научно-методическая проблема и должна решаться в рамках стратегического или инновационного менеджмента. В настоящий момент разработано техническое задание на АСУ «Планирование». Пути повышения эффективности судоходной компании. В условиях рыночных отношений наметились общие пути повышения эффективности предпринимательства. Что касается крупных акционерных обществ (ОАО) часто одновременно реализуются как бы две противоположные тенденции: диверсификация производства, т.е. создаются новые высокотехнологичные производства, на новой технике, выпускающие новые товары для заполнения дефицита рынков или вытеснения конкурентов; деление основного интегрированного производства по видам деятельности, промежуточным и конечным видам продукции и комплектующим и т.д. Разумеется в различных отраслях экономики эти процессы имеют свою специфику и даже в одной отрасли есть существенные отличии, например по регионам. В большой степени это объясняется уровнем топ - менеджмента, т.е. квалификацией и опытом высшего звена управления. Для судоходных компаний, как показала практика, эффективной является структурная реорганизация компаний, т.е. выделение в виде дочерних предприятий непрофильных видов деятельности, а иногда и профильных. Конечно это огромная научно-методическая и организационно - практическая работа, поскольку выделение какого-либо вида деятельности на самостоятельный баланс требует: во-первых, разработки соответствующих технико-экономических обоснований, а затем пересмотра организационной структуры управления, функций управления по службам и отделам компании, учетной политики компании (системы бухгалтерского учета, финансового менеджмента и т.д.). Во-вторых, разработки системы мотивации работников компании по конечным результатам труда, что обуславливает обоснование соответствующей формы хозяйственного расчета как экономического метода стимулирования труда. Обоснование мероприятий оперативной реструктуризации судоходной компании. Поскольку целью оперативной реструктуризации предприятий является решение наиболее острых экономических и финансовых проблем в краткосрочном периоде при реализации которых компания из зоны убытков переходим в зону получения стабильных потоков прибыли. Поэтому в первую очередь необходимо реализовать: 1. систему мероприятий по сокращению ненормируемых операций транспортного процесса; 2. систему мероприятий по выделению на самостоятельный баланс непрофильных производств; 3. систему организационно-технических мероприятий по мотивации персонала компании для решения вышестоящих задач. При этом необходимо выполнить технико-экономическое обоснование эффективности запроектированных мероприятий по каждому направлению в отдельности и комплексно в целом. 5. Расчет эффективности мероприятий по сокращению ненормируемых операций транспортного процесса Таблица 9 Эксплуатационно-экономические показатели эффективности использования самоходных сухогрузных судов по вариантам снижения коэффициента резерва от фактического до нормативного
Графики зависимости снижения коэффициента резерва от разных показателей:
Рис. 1
Рис.2
Рис.3
Рис. 4
Рис. 5
Рис.6
Рис.7 Таблица 10 Эксплуатационно-экономические показатели эффективности использования самоходных нефтеналивных судов по вариантам снижения коэффициента резерва от фактического до нормативного
Графики зависимости снижения коэффициента резерва от разных показателей:
Рис. 8
Рис.9
Рис.10
Рис.11
Рис.12
Рис.13
Рис.14 Таблица 11 Эксплуатационно-экономические показатели эффективности использования несамоходных сухогрузных судов по вариантам снижения коэффициента резерва от фактического до нормативного
Графики зависимости снижения коэффициента резерва от разных показателей:
Рис. 15
Рис.16
Рис.17
Рис.18
Рис.19 Таблица 12 Эксплуатационно-экономические показатели эффективности использования несамоходных нефтеналивных судов по вариантам снижения коэффициента резерва от фактического до нормативного
Графики зависимости снижения коэффициента резерва от разных показателей:
Рис.20
Рис. 21
Рис.22
Рис. 23
Рис. 24 Таблица 13 Эксплуатационно-экономические показатели эффективности использования буксиров с сухогрузными баржами по вариантам снижения коэффициента резерва от фактического до нормативного
Графики зависимости снижения коэффициента резерва от разных показателей:
Рис. 25
Рис. 26
Рис.27
Рис. 28
Рис. 29
Рис. 30
Рис. 31 Таблица 14 Эксплуатационно-экономические показатели эффективности использования буксиров с нефтеналивными баржами по вариантам снижения коэффициента резерва от фактического до нормативного
Графики зависимости снижения коэффициента резерва от разных показателей:
Рис.32
Рис.33
Рис.34
Рис.35
Рис.36
Рис.37
Рис.38
Таблица 16 Условно – постоянные и условно – переменные расходы
Рис. 39 График точки безубыточности 6. Разработка системы организационно-технических мероприятий по реализации расчетного эффекта Сводные показатели экономического эффекта Таблица 17
7. Административная реструктуризация предприятия Как правило, все бывшие пароходства России - это крупнейшие многопрофильные и почти всегда градообразующие предприятия (всегда на Севере и Дальнем востоке). При этом, на себестоимость перевозок относятся расходы почти всегда убыточных, непрофильных производств, в том числе: управление рабочего снабжения (УРС); капитальное строительство в промышленной и социальной сферах; пассажирские перевозки и содержание их инфраструктуры (вокзалы, дебаркадеры); флот комплексного обслуживания (разъездной, регистра, судоходной инспекции, плавмагазины, бункербазы, спецфлот и так далее); перегрузочные работы (порты); вспомогательные производства (пункты отстоя и ремонта флота - РЭБ, ССРЗ). Поэтому, в целях повышения эффективности основного производства (грузовых перевозок), необходимо вывести на самостоятельные балансы все непрофильные виды деятельности. В связи с этим, для любого из видов деятельности необходимо самостоятельно разработать учредительные документы: Устав ООО или ЗАО и учредительный договор, регламентирующий отношения к основному и оборотному капиталу вновь образуемых обществ. 8. Расчет общего экономического эффекта Откорректировать Б – 3. Рассчитать в таб. 18 условно-постоянные и условно-переменные расходы с учетом всех мероприятий, выполненных в рамках методики. На рис. 47 построить третью точку безубыточности. Форма Б-3 с учетом избавления от неприбыльных производств Таблица 18
Таблица 19 Условно – постоянные и условно – переменные расходы
Рис. 47 График точки безубыточности 9. Эмиссия акций компании как источник финансирования В настоящее время для отрасли «Внутренний водный транспорт» чрезвычайно актуальной стала проблема обновления основных производственных фондов. По существу, они в большинстве судоходных компаний России или уже амортизировались, или это произойдет в ближайшие 2 – 3 года. Проблема усугубляется и тем фактом, что весь флот морально устарел, и при вступлении России в ВТО, когда будет необходимо открыть внутренние водные пути для иностранного флота, конкуренции наш флот не выдержит. Ожидать финансовой поддержки на строительство нового флота от государства не следует, поскольку у государства масса других финансовых обязательств перед населением России, а программа восстановления флота - дело дорогостоящее, поскольку основные фонды очень дороги в строительстве. В то же время, финансовое состояние судоходных компаний в основном кризисное, и все они находятся на последнем этапе жизненного цикла. Больше половины судоходных компаний – убыточные, а амортизация, как источник воспроизводства основных фондов, используется, как правило, не по целевому назначению. Кризисность судоходных компаний будет нарастать. Остается единственный выход: 1. Выполнить комплекс работ, описанный выше (чтобы получить собственные источники финансирования для обновления основных фондов). 2. Получить дополнительные источники финансирования. Наиболее безболезненным, на наш взгляд, источником получения заемных средств является эмиссия акций. При выполнении первого пункта необходимо разработать бизнес – проект на восстановление флота и найти финансовый или административный орган, готовый финансировать бизнес – проект. По существу это может означать смену собственников судоходных компаний, поэтому потребуется внимательно разработать правовую базу распродажи эмитируемых акций на фондовом рынке (какой процент от эмитируемых акций можно продавать одному инвестору); имеет ли право владелец судоходной компании приобретать эмитируемые акции (в США не имеет), поскольку это будет отвлечением собственных источников финансирования; как относиться к подставным инвесторам? Заключение Целью данной работы было создание условий для эффективного функционирования предприятия, при которых оно из зоны убытков переходит в зону получения стабильных потоков прибыли и потому становится инвестиционно привлекательным. Мы провели: - анализ издержек производства с целью выявления внутренних резервов для их снижения; - определение точек повышенной опасности на предприятии; - определение показателей экономической и финансовой устойчивости предприятия; - использование методов факторного анализа для выявления внутренних резервов развития предприятия; - реструктуризация материальных активов и долговых обязательств предприятия. В заданной нам работе мы решили следующие задачи: - анализ использования основных производственных фондов судоходной компании на основе статистической отчетности по формам ВТ-6, ВТ-7, ВТ-8, Б-3; - разработка мероприятий по улучшению производственно – экономических показателей (например, интенсификация транспортного процесса, применение методов оптимизации и мотивации); - оценка эффективности разрабатываемых мероприятий (определяются точки безубыточности до и после предложенных мероприятий); - административная реструктуризация судоходной компании (выделение в дочерние предприятия всех непрофильных производств – вспомогательных видов деятельности); - корректировка точки безубыточности с учетом обоих выполненных мероприятий; - составление прогнозного баланса после разработки мероприятий по антикризисному управлению, расчет основных коэффициентов, характеризующих финансовую устойчивость, платежеспособность, эффективность и интенсивность работы предприятия. Первоочередная причина кризиса – сокращение совокупного спроса. Это вызывает сокращение производства, занятости, инвестиций. Выход из такого состояния возможен по следующим направлениям: - по линии внешних инвестиций для выполнения специальных заказов; - путем внутренней реструктуризации и перехода на выпуск продукции, пользующейся повышенным спросом; - путем расчленения организации по предметному принципу и оставления наиболее рентабельных подразделений из них как самостоятельных формирований. Литература 1. Антикризисное управление. Под ред. Минаева Э.С., Панагушина В.П. М. «ПРИОР», 1988. 2. Арнольд В. Теория катастроф. – М:, Наука, 1990. 3. Балабанов И.Т. Финансовый анализ и планирование хозяйствующего субъекта. М. «Финансы и статистика». 2001. 4. Басовский Л.Е. Теория экономического анализа. М. «Инфра-М». 2001. 5. Белых Л.П., Федотова М.А. Реструктуризация предприятия. «Юнити». М. 2001. 6. Бернстайн Л.А. Анализ финансовой отчётности. М.: Финансы и статистика. 2002. 7. Боумен К. Основы стратегического менеджмента. Перевод с англ. Под ред. Л.Г.Зайцева, Н.И.Соколовой – М:, Банки и биржи, ВНИТИ, 1997. 8. Вакуленко Т.Г., Фомина Л.Ф. Анализ бухгалтерской (финансовой) отчетности для принятия управленческих решений. М.: Издательский дом «Герда». 2003. 9. Гончаров В.В. Руководство для высшего управленческого персонала в 2-х томах. – М.МНИИПУ, 1998. 10. Гурков И.Б. Стратегический менеджмент организации. Учебное пособие –М:, ЗАО «Бизнес – школа» «Интел-синтез», 2001. 11. Донцова Л.В., Никифорова Н.А. Анализ финансовой отчетности. М.: «Дело и Сервис». 2004. |
|||||||||||||||||||||||||||||||||||||||||||||||||||||||||||||||||||||||||||||||||||||||||||||||||||||||||||||||||||||||||||||||||||||||||||||||||||||||||||||||||||||||||||||||||||||||||||||||||||||||||||||||||||||||||||||||||||||||||||||||||||||||||||||||||||||||||||||||||||||||||||||||||||||||||||||||||||||||||||||||||||||||||||||||||||||||||||||||||||||||||||||||||||||||||||||||||||||||||||||||||||||||||||||||||||||||||||||||||||||||||||||||||||||||||||||||||||||||||||||||||||||||||||||||||||||||||||||||||||||||||||||||||||||||||||||||||||||||||||||||||||||||||||||||||||||||||||||||||||||||||||||||||||||||||||||||||||||||||||||||||||||||||||||||||||||||||||||||||||||||||||||||||||||||||||||||||||||||||||||||||||||||||||||||||||||||||||||||||||||||||||||||||||||||||||||||||||||||||||||||||||||||||||||||||||||||||||||||||||||||||||||||||||||||||||||||||||||||||||||||||||||||||||||||||||||||||||||||||||||||||||||||||||||||||||||||||||||||||||||||||||||||||||||||||||||||||||||||||||||||







































