| Министерство сельского хозяйства РФ
Государственный университет по землеустройству
Кафедра землепользования и земельного кадастра
Курсовая работа
земельный кадастр и мониторинг земель
Проверила
: Каталина В. В.
Выполнила
: ст. 41 б группы
Зыкова А.В
Вариант №5
Урицкий район
Москва 2010 г.
Содержание
Введение
Глава 1 Бонитировка почв
Глава 2 Экономическая оценка пахотных земель
Глава 3 Оценка земель хозяйства и района
Практическое использование результатов оценки земель
Заключение
Список используемых источников
Введение
Государственный земельный кадастр – это единая информационная система описания на бумажных и электронных носителях всех земельных участков и прочно связанных с ними объектов недвижимого имущества в границах государства, в разрезе его административных территориальных подразделений по правам собственности владений и пользования местоположения физических и технических характеристик и параметрам, оценочным стоимостям, ограничение в использовании, которое сопровождается кадастровыми картами, индивидуальными номерами ( кодами зем. уч.).
ГЗК состоит из ГЗУ, который в свою очередь состоит из:
- количества и качества земли;
- регистрации;
- экономической оценки земли.
Одним и из структурных блоков является оценка земельных участков. Необходимость проведения экономической оценки земель связано с тем, что нужно определить налогооблагаемую базу для развития земельного рынка в России. До земельной реформы проводилась бонитировка почв (оценка природных свойств земли) и экономическая оценка земли с точки зрения плодородия и экономических условий ведения хозяйства. Эта оценка проводилась в баллах или стоимостном выражении.
В данный момент земельный участок оценивается следующими видами:
а) массовая кадастровая оценка земельного участка;
б) единичная, рыночная оценка земельного участка.
Целью массовой кадастровой оценки
земли является определение кадастровой стоимости земельного участка в границах административно - территориального образования.
Целью рыночной оценки
является определение рыночной стоимости земельного участка. Под рыночной стоимостью земельного участка понимается наиболее вероятная цена при условии уплаты, которой данный земельный участок добровольно отчуждается его собственником в собственности иного лица. При этом предполагается, что данная стоимость соответствует ценам, которые существуют на земельном рынке на аналогичные земельные участка (соответствующего качества, местоположения, целевого назначения).
В настоящее время проводится кадастровая оценка земель: поселений и сельскохозяйственных угодий.
В дальнейшем будет проведена оценка всех категорий земель.
Глава 1.
Бонитировка почв в районе.
Бонитировка почв
– сравнительная оценка естественного плодородия почв, их группировка по природным диагностическим свойствам, влияющим на урожайность сельскохозяйственных культур, при сопоставимых уровнях агротехники и интенсивности земледелия.
Результаты бонитировки почв показывают относительную пригодность почв по основным факторам естественного плодородия для возделывания сельскохозяйственных культур.
При проведении бонитировки почв тщательно анализируется влияние диагностических признаков на урожайность сельскохозяйственных культур (мощность гумусового горизонта и его содержание, механический состав, наличие азота, фосфора, калия, кислотность и другие) и определяются количественные характеристики такого влияния.
При бонитировки почв, как уже отмечалось, учитываются важнейшие почвенные свойства, созданные в процессе образования и окультуривания почв.
При бонитировке почв одинаковые группы почв должны иметь одинаковую оценку, составляется оценочная шкала бонитировки почв, которое состоит из числовых данных, соответствующих определенным значениям, измеряемых величин природных диагностических показателей по различным агропроизводственным группам почв.
Объектом бонитировки
почв является – почвенные разновидности, выделенные в агропроизводственные группы.
Предметом
– естественное плодородие почв или их агропроизводственных групп.
Критерием
– природные диагностические свойства почв, оказывающие существенное влияние на урожайность сельскохозяйственных культур.
Взаимосвязь природно-диагностических признаков и урожайности культур устанавливается методом коррелиационного анализа.
Коэффициент корреляции показывает тесноту связи между показателями. Может колебаться от –1 до +1.
1.1 Отбор показателей естественных свойств почв.
Для проведения бонитировки пригодны наиболее устойчивые признаки почв, коррелирующие с многолетней урожайностью сельскохозяйственных культур.
Сведения о естественных свойствах почв показаны в таблице 1 вариант №5
| Таблица 1
|
| Показатели естественных свойств почвы
|
| № групп
|
Содержание гумуса
|
Мощность гум. Слоя
|
Запасы гумуса, т/га
|
Содержание физ. глины
|
Сумма пог. основ-й, мг/экв
|
Кислотность, pH
|
K2O
|
P2O5
|
| 1
|
2
|
3
|
4
|
5
|
6
|
7
|
8
|
9
|
| 81
|
3,5
|
46,5
|
235,0
|
44,0
|
20,9
|
5,3
|
18,6
|
21,8
|
| 103
|
2,4
|
35,2
|
206,0
|
34,8
|
15,8
|
5,0
|
15,5
|
16,2
|
| 97
|
2,3
|
28,5
|
78,6
|
24,0
|
10,1
|
4,9
|
15,2
|
13,4
|
| 95
|
1,6
|
28,0
|
71,5
|
23,3
|
8,1
|
4,8
|
15,2
|
9,3
|
| 44
|
1,4
|
22,6
|
58,1
|
19,9
|
7,0
|
4,8
|
14,3
|
8,7
|
| 45
|
1,3
|
21,5
|
48,2
|
16,5
|
5,5
|
4,8
|
14,2
|
8,6
|
| 47
|
1,1
|
21,0
|
39,5
|
16,0
|
5,4
|
4,8
|
13,7
|
5,4
|
| 48
|
1,1
|
20,9
|
32,0
|
16,0
|
4,7
|
4,7
|
7,5
|
3,7
|
| 72
|
1,1
|
20,8
|
29,3
|
15,8
|
4,6
|
4,7
|
6,9
|
2,7
|
| 73
|
1,0
|
20,6
|
28,8
|
14,7
|
4,5
|
4,6
|
5,2
|
2,2
|
Свойства в графах 2 –7 необходимо проверить на их пригодность для целей бонитировки. Для этого следует рассчитать коэффициент парной линейной корреляции урожайности культур (Y) и каждого из признаков естественных свойств почв (Х). Проверка этих свойств показана в таблицах 2 – 7.
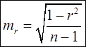
Коэффициент парной корреляции (r) определяется по формуле:
Где Х- величина признака, влияющего на (Y);
n – число пар переменных (X и Y);
Значение коэффициента корреляции определяется с точностью до 0.001, характеризующий прямую или соответственно, обратную связь.
Если значение коэффициента корреляции находится в пределах до 0,500, то связь следует считать слабой, от 0.501 до 0.700 – средней. Если же величина коэффициента более 0,701, то связь можно признать тесной.
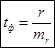
Для оценки достоверности коэффициента корреляции необходимо вычислить отношение этого коэффициента и его среднеквадратической ошибки, которая определяется по формуле:
Где mr
– среднеквадратическая ошибка коэффициента корреляции.
Достоверность коэффициента корреляции по критериям Стьюдента определяется по формуле:
Если t более или равен 2.5, то коэффициент корреляции считается достоверным и линейная связь между урожайностью и выбранным признаком считается доказанной.
Для упрощения расчетов в работе мы используем только 10 землеоценочных групп почв. Группы почв имеют общероссийскую нумерацию.
Расчет корреляционной зависимости картофеля и свойств почв показан в таблицах 2 –7.
| Таблица 2
|
| Определение коэффициента корреляции урожайности картофеля (y, ц/га)
|
| и содержание гумуса в почве (x, %)
|
| №
|
Группа почв
|
Y
|
X
|
Y*X
|
X^2
|
Y^2
|
| 1
|
2
|
3
|
4
|
5
|
6
|
7
|
| 1
|
81
|
178
|
3,5
|
623,0
|
12,25
|
31684
|
| 2
|
103
|
168
|
2,4
|
403,2
|
5,76
|
28224
|
| 3
|
97
|
149
|
2,3
|
342,7
|
5,29
|
22201
|
| 4
|
95
|
141
|
1,6
|
225,6
|
2,56
|
19881
|
| 5
|
44
|
135
|
1,4
|
189,0
|
1,96
|
18225
|
| 6
|
45
|
129
|
1,3
|
167,7
|
1,69
|
16641
|
| 7
|
47
|
112
|
1,1
|
123,2
|
1,21
|
12544
|
| 8
|
48
|
98
|
1,1
|
107,8
|
1,21
|
9604
|
| 9
|
72
|
89
|
1,1
|
97,9
|
1,21
|
7921
|
| 10
|
73
|
80
|
1,0
|
80,0
|
1,00
|
6400
|
| Σ
|
-
|
1279
|
16,8
|
2360,1
|
34,14
|
173325
|
| r =
|
211,38
|
═
|
+0,881
|
| 240,057
|
| mr =
|
+- 0,158
|
| tф =
|
5,58
|
tст =
|
2,5
|
| Так как фактическое значение критерия Стьюдента (5,58) превышает его теоретическую
|
| величину, связь содержания гумуса в почве с урожайностью достоверна.
|
| Таблица 3
|
| Определение коэффициента корреляции урожайности картофеля (y, ц/га)
|
| и мощности гумусового слоя (x,см)
|
| №
|
Группа почв
|
Y
|
X
|
Y*X
|
X^2
|
Y^2
|
| 1
|
2
|
3
|
4
|
5
|
6
|
7
|
| 1
|
81
|
178
|
46,5
|
8277,0
|
2162,25
|
31684
|
| 2
|
103
|
168
|
35,2
|
5913,6
|
1239,04
|
28224
|
| 3
|
97
|
149
|
28,5
|
4246,5
|
812,25
|
22201
|
| 4
|
95
|
141
|
28,0
|
3948,0
|
784,00
|
19881
|
| 5
|
44
|
135
|
22,6
|
3051,0
|
510,76
|
18225
|
| 6
|
45
|
129
|
21,5
|
2773,5
|
462,25
|
16641
|
| 7
|
47
|
112
|
21,0
|
2352,0
|
441,00
|
12544
|
| 8
|
48
|
98
|
20,9
|
2048,2
|
436,81
|
9604
|
| 9
|
72
|
89
|
20,8
|
1851,2
|
432,64
|
7921
|
| 10
|
73
|
80
|
20,6
|
1648,0
|
424,36
|
6400
|
| Σ
|
-
|
1279
|
265,6
|
36109,0
|
7705,36
|
173325
|
| r =
|
2138,76
|
═
|
+0,849
|
| 2518,20
|
| mr =
|
+- 0,176
|
| tф =
|
4,82
|
tст =
|
2,5
|
| Так как фактическое значение критерия Стьюдента (4,82) превышает его теоретическую
|
| величину,то мощность гумусового слоя достоверно коррелируется с урожайностью.
|
| Таблица 4
|
| Определение коэффициента корреляции урожайности картофеля (y, ц/га)
|
| и запасы гумуса в гумусовом слое (x, т/га)
|
| №
|
Группа почв
|
Y
|
X
|
Y*X
|
X^2
|
Y^2
|
| 1
|
2
|
3
|
4
|
5
|
6
|
7
|
| 1
|
81
|
178
|
235,0
|
41830,0
|
55225
|
31684
|
| 2
|
103
|
168
|
206,0
|
34608,0
|
42436
|
28224
|
| 3
|
97
|
149
|
78,6
|
11711,4
|
6177,96
|
22201
|
| 4
|
95
|
141
|
71,5
|
10081,5
|
5112,25
|
19881
|
| 5
|
44
|
135
|
58,1
|
7843,5
|
3375,61
|
18225
|
| 6
|
45
|
129
|
48,2
|
6217,8
|
2323,24
|
16641
|
| 7
|
47
|
112
|
39,5
|
4424,0
|
1560,25
|
12544
|
| 8
|
48
|
98
|
32,0
|
3136,0
|
1024
|
9604
|
| 9
|
72
|
89
|
29,3
|
2607,7
|
858,49
|
7921
|
| 10
|
73
|
80
|
28,8
|
2304,0
|
829,44
|
6400
|
| Σ
|
-
|
1279
|
827,0
|
124763,9
|
118922,24
|
173325
|
| r =
|
18990,6
|
═
|
+0,856
|
| 22185,6
|
| mr =
|
+- 0,172
|
| tф =
|
4,98
|
tст =
|
2,5
|
| Так как фактическое значение критерия Стьюдента (4, 98) превышает его теоретическую
|
| величину, то запасы гумуса в гумусовом слое достоверно связаны с урожайностью.
|
| Таблица 5
|
| Определение коэффициента корреляции урожайности картофеля (y, ц/га)
|
| и содержание фракций физической глины (x, %)
|
| №
|
Группа почв
|
Y
|
X
|
Y*X
|
X^2
|
Y^2
|
| 1
|
2
|
3
|
4
|
5
|
6
|
7
|
| 1
|
81
|
178
|
44,0
|
7832
|
1936
|
31684
|
| 2
|
103
|
168
|
34,8
|
5846,4
|
1211,04
|
28224
|
| 3
|
97
|
149
|
24,0
|
3576,0
|
576
|
22201
|
| 4
|
95
|
141
|
23,3
|
3285,3
|
542,89
|
19881
|
| 5
|
44
|
135
|
19,9
|
2686,5
|
396
|
18225
|
| 6
|
45
|
129
|
16,5
|
2128,5
|
272,25
|
16641
|
| 7
|
47
|
112
|
16,0
|
1792,0
|
256
|
12544
|
| 8
|
48
|
98
|
16,0
|
1568,0
|
256
|
9604
|
| 9
|
72
|
89
|
15,8
|
1406,2
|
249,64
|
7921
|
| 10
|
73
|
80
|
14,7
|
1176,0
|
216,09
|
6400
|
| Σ
|
-
|
1279
|
225,0
|
31296,7
|
5911,9
|
173325
|
| r =
|
2519,2
|
═
|
+0,876
|
| 2876,4
|
| mr =
|
+- 0,161
|
| tф =
|
5,44
|
tст =
|
2,5
|
| Так как фактическое значение критерия Стьюдента (5,44) превышает его теоретическую
|
| величину, то r достоверен и содержание фракций физической глины пригодно к
|
| использованию в бонитировке почв.
|
| Таблица 6
|
| Определение коэффициента корреляции урожайности картофеля (y, ц/га)
|
| и суммы поглощенных оснований в почвах (x, мг/экв на 100г. почвы)
|
| №
|
Группа почв
|
Y
|
X
|
Y*X
|
X^2
|
Y^2
|
| 1
|
2
|
3
|
4
|
5
|
6
|
7
|
| 1
|
81
|
178
|
20,9
|
3720,2
|
436,81
|
31684
|
| 2
|
103
|
168
|
15,8
|
2654,4
|
249,64
|
28224
|
| 3
|
97
|
149
|
10,1
|
1504,9
|
102,01
|
22201
|
| 4
|
95
|
141
|
8,1
|
1142,1
|
65,61
|
19881
|
| 5
|
44
|
135
|
7,0
|
945,0
|
49,00
|
18225
|
| 6
|
45
|
129
|
5,5
|
709,5
|
30,25
|
16641
|
| 7
|
47
|
112
|
5,4
|
604,8
|
29,16
|
12544
|
| 8
|
48
|
98
|
4,7
|
460,6
|
22,09
|
9604
|
| 9
|
72
|
89
|
4,6
|
409,4
|
21,16
|
7921
|
| 10
|
73
|
80
|
4,5
|
360,0
|
20,25
|
6400
|
| Σ
|
-
|
1279
|
86,6
|
12510,9
|
1025,98
|
173325
|
| r =
|
1434,8
|
═
|
+0,875
|
| 1639,7
|
| mr =
|
+- 0,161
|
| tф =
|
5,43
|
tст =
|
2,5
|
| Так как фактическое значение критерия Стьюдента (5, 43) превышает его теоретическую
|
| величину, то сумма поглощенных оснований достоверно связана с урожайностью и
|
| пригодна для бонитировки почв.
|
| Таблица 7
|
| Определение коэффициента корреляции урожайности картофеля (y, ц/га)
|
| и кислотности почвы (x, pH)
|
| №
|
Группа почв
|
Y
|
X
|
Y*X
|
X^2
|
Y^2
|
| 1
|
2
|
3
|
4
|
5
|
6
|
7
|
| 1
|
81
|
178
|
5,3
|
943,4
|
28
|
31684
|
| 2
|
103
|
168
|
5,0
|
840,0
|
25
|
28224
|
| 3
|
97
|
149
|
4,9
|
730,1
|
24
|
22201
|
| 4
|
95
|
141
|
4,8
|
676,8
|
23
|
19881
|
| 5
|
44
|
135
|
4,8
|
648,0
|
23
|
18225
|
| 6
|
45
|
129
|
4,8
|
619,2
|
23
|
16641
|
| 7
|
47
|
112
|
4,8
|
537,6
|
23
|
12544
|
| 8
|
48
|
98
|
4,7
|
460,6
|
22,1
|
9604
|
| 9
|
72
|
89
|
4,7
|
418,3
|
22,1
|
7921
|
| 10
|
73
|
80
|
4,6
|
368,0
|
21,2
|
6400
|
| Σ
|
-
|
1279
|
48,4
|
6242,0
|
234,4
|
173325
|
| r =
|
51,64
|
═
|
+1,379
|
| 37,45
|
| Получаем, что r>1 – идеальный случай, следовательно кислотность почвы пригодна к использованию в бонитировке почв.
|
1.2 . Расчет шкал бонитировки почв по естественным свойствам.
С использованием отобранных естественных свойств рассчитывается шкала бонитировки почв таблица 8.
Балл по отдельному свойству определяется по 100- бальной замкнутой шкале (таблица 8):
Где Бi
– балл для i – ой группы почв;
Пi
– величина показателя для i – ой группы почв;
Пmax
- максимальное значение свойства на одной из оцениваемых группах почв;
Балл бонитета по совокупности всех свойств почв (Бб
) рассчитывается для каждой группы почв по формуле:
Где Б21…64
– баллы бонитировки почв по соответственному естественному свойству. При расчете шкалы бонитировки почв для отдельных сельскохозяйственных культур по определению балл зерновых (Бз
), принимается равным баллу бонитета по естественным свойствам почв (Бб
), принимается равным баллу бонитета по естественным свойствам почв (Бб
таблица 8 графа 12).
Бз
= Бб
| Таблица8
|
| Расчет бонитировки почв по их естественным свойствам
|
| № групп
|
Содержание гумуса
|
Мощность гум. Слоя
|
Запасы гумуса, т/га
|
Содержание физ. глины
|
Сумма пог. основ-й, мг/экв
|
Кислотность
|
Балл бонитет
|
| %
|
Балл
|
см
|
Балл
|
т/га
|
Балл
|
%
|
Балл
|
мг/экв
|
Балл
|
pH
|
Балл
|
| 1
|
2
|
3
|
4
|
5
|
6
|
7
|
8
|
9
|
10
|
11
|
12
|
13
|
14
|
| 81
|
3,5
|
100
|
46,5
|
100
|
235,0
|
100
|
44,0
|
100
|
20,9
|
100
|
5,3
|
100
|
100
|
| 103
|
2,4
|
68,6
|
35,2
|
75,7
|
206,0
|
87,7
|
34,8
|
79,1
|
15,8
|
75,6
|
5,0
|
94,3
|
79,7
|
| 97
|
2,3
|
65,7
|
28,5
|
61,3
|
78,6
|
33,4
|
24,0
|
54,5
|
10,1
|
48,3
|
4,9
|
92,5
|
56,6
|
| 95
|
1,6
|
45,7
|
28,0
|
60,2
|
71,5
|
30,4
|
23,3
|
52,9
|
8,1
|
38,8
|
4,8
|
90,6
|
50,0
|
| 44
|
1,4
|
40,0
|
22,6
|
48,6
|
58,1
|
24,7
|
19,9
|
45,2
|
7,0
|
33,5
|
4,8
|
90,6
|
43,3
|
| 45
|
1,3
|
37,1
|
21,5
|
46,2
|
48,2
|
20,5
|
16,5
|
37,5
|
5,5
|
26,3
|
4,8
|
90,6
|
38,3
|
| 47
|
1,1
|
31,4
|
21,0
|
45,2
|
39,5
|
16,8
|
16,0
|
36,4
|
5,4
|
25,8
|
4,8
|
90,6
|
35,6
|
| 48
|
1,1
|
31,4
|
20,9
|
44,9
|
32,0
|
13,6
|
16,0
|
36,4
|
4,7
|
22,5
|
4,7
|
88,7
|
33,4
|
| 72
|
1,1
|
31,4
|
20,8
|
44,7
|
29,3
|
12,5
|
15,8
|
35,9
|
4,6
|
22,0
|
4,7
|
88,7
|
32,7
|
| 73
|
1,0
|
28,6
|
20,6
|
44,3
|
28,8
|
12,3
|
14,7
|
33,4
|
4,5
|
21,5
|
4,6
|
86,8
|
31,5
|
Для расчета бала бонитировки по представленным нам культурам мы используем уравнения, полученные в результате построения графиков. Для этого урожайность культур надо перевести в проценты, приняв за максимальное значение ( обычно на группы почв) – 100, и обозначив через Y (данные об урожайности на группы почв). За другую переменную (Х) принимается балл бонитета (из таблицы 8 графы 12) по естественным свойствам почв.






Глава 2
Экономическая оценка пахотных земель
Экономическая оценка земель
– это сравнительная оценка экономического плодородия по экономическим показателям при сопостовимых условиях производства.
Объектом
экономической оценки является земля , используемая в различных отраслях народного хозяйства;
Предмет
– экономическое (эффективное) плодородие и местоположение земельных участков;
Критерий
– выход продукции, отнесенной к равновеликим затратам, вложенных к участкам различного плодородия и местоположения.
Качество земель определяется эффективностью равновеликих затрат, вложенных в землю различного плодородия и местоположения. При экономической оценке земель принимаются во внимание те производственные затраты, которые получили наибольшее распространение при использование определенных агропроизводственных групп почв.
Оценка сельскохозяйственных угодий проводится в целях установления производительной способности земель различного качества и обоснования наиболее эффективного их использования в сельскохозяйственном производстве.
Оценка земель в России производится в двух аспектах:
- Общая оценка земель
- Оценка земель по эффективности возделывания отдельных культур (видов насаждений) – частная оценка.
Общая оценка:
- Продуктивность (стоимость валовой продукции, руб./га)
- Окупаемость затрат (стоимость продукции на рубль затрат, руб./руб.)
- Дифференциальный доход (дополнительная часть чистого дохода на землях лучшего качества и местоположения, руб./га)
- Чистый доход, руб./га
Частная оценка:
- Продуктивность урожайность (ц/га);
- Окупаемость затрат, (руб./руб.)
- Дифференциальный доход, руб./га
-
2.1. Расчет базисной урожайности выборочным способом.
Базисная урожайность определяется в России двумя способами – выборочным и сплошным.
1) Выборочный способ
расчета базисной урожайности используется по своей сельскохозяйственной культуре (многолетним травам).
При выборочном способе используются материалы типичных хозяйств, которые:
· Имеют средний уровень экономики;
· Расположены на одной, оцениваемой, группе почв.
Используя средние многолетние (за 6 –7 лет) данные ключевых хозяйств подсчитывается суммарная посевная площадь и суммарный объем валового сбора по культурам, по оцениваемым группам почв. Урожайность определяется делением валового сбора на площадь посевов с точностью до третьей защитной цифры (т.е. по озимой пшенице, озимой ржи, многолетним травам и льну до 0.1 ц, а по кукурузе и картофелю до 1 ц с гектара).
Крупным недостатком выборочного метода является частая невозможность отбора ключевых хозяйств на некоторых группах почв. Например отсутствуют данные по 81 группе почв.
Для расчета базисной урожайности на 81 группе почв используется шкала бонитировки почв по их естественным свойствам (таблица 8). Учитывается соотношение баллов бонитета групп почв (таблица 8, графа 14): так балл бонитета (Бб) на 81 группе равен 100.0, а на другой группе (103) равен 79,7 баллов.
| Таблица 11
|
| Расчет базисной урожайности многолетних трав по группам почв
|
| выборочным способом
|
| Группы почв
|
Площадь посевов, га
|
Валовой сбор, ц
|
Базисная урожайность, ц/га
|
| 1
|
2
|
3
|
4
|
| 81
|
-
|
-
|
31,9
|
| 103
|
16264
|
414365
|
25,5
|
| 97
|
53012
|
1228216
|
23,2
|
| 95
|
23907
|
494225
|
20,7
|
| 44
|
37752
|
685159
|
18,1
|
| 45
|
1706
|
29330
|
17,2
|
| 47
|
4372
|
76358
|
17,5
|
| 48
|
16035
|
331733
|
20,7
|
| 72
|
315
|
4159
|
13,2
|
| 73
|
2327
|
42300
|
18,2
|
2) Сплошной способ
определения базисной урожайности основан на использовании уравнений множественной линейной прогрессии типа:
У= а0
+ а1
х1
+ а2
х2
+…+аn
xn
;
Где у – базисная урожайность культуры;
а0
– свободный член уравнения;
х1,2,3,…
n
- факторы, влияющие на урожайность;
а1,2,3…
n
– коэффициенты регрессии соответствующего фактора;
Уравнения для расчета базисной урожайности:
Для озимой ржи:
у = 1,90 + 0,009х7
+ 1,034х9
+ 0,085х63
+ 0,055х64
+ 0,146х62
где у – базисная урожайность, ц с га;
х7
– стоимость силовых и рабочих машин, руб. на 1га;
х9
– размер внесенных минеральных и органических удобрений, ц д. в-ва на 1га;
х63
– содержание обменного калия, мг на 100 г почвы;
х64
– содержание подвижного фосфора, мг на 100 г почвы;
х62
– балл бонитета почв по естественным свойствам.
х7
= 235,0 х9
= 2,42
| Таблица 12
|
| Базисная урожайность ведущих сельскохозяйственных культур по группам почв (в ц с 1 га)
|
| Группы почв
|
Кукуруза (на силос и зк)
|
Озимая пшеница
|
Многолетние травы
|
Озимая рожь
|
Картофель
|
Лен
|
X63
|
X64
|
X62
|
| 1
|
2
|
3
|
4
|
5
|
6
|
7
|
8
|
9
|
10
|
| 81
|
278
|
29,5
|
38,3
|
23,9
|
160
|
7,5
|
18,6
|
21,8
|
100
|
| 103
|
239
|
24,5
|
33,4
|
20,4
|
138
|
6,0
|
15,5
|
16,2
|
79,7
|
| 97
|
213
|
19,3
|
28,2
|
16,8
|
123
|
4,6
|
15,2
|
13,4
|
56,6
|
| 95
|
193
|
17,6
|
26,6
|
15,6
|
113
|
4,1
|
15,2
|
9,3
|
50,0
|
| 44
|
185
|
16,0
|
25,0
|
14,6
|
108
|
3,6
|
14,3
|
8,7
|
43,3
|
| 45
|
181
|
14,9
|
23,9
|
13,8
|
105
|
3,4
|
14,2
|
8,6
|
38,3
|
| 47
|
166
|
14,1
|
23,2
|
13,2
|
99
|
3,1
|
13,7
|
5,4
|
35,6
|
| 48
|
148
|
13,0
|
22,1
|
12,2
|
88
|
2,6
|
7,5
|
3,7
|
33,4
|
| 72
|
142
|
12,8
|
21,9
|
12,0
|
86
|
2,5
|
6,9
|
2,7
|
32,7
|
| 73
|
137
|
12,3
|
21,4
|
11,7
|
83
|
2,4
|
5,2
|
2,2
|
31,5
|
Расчет базисной урожайности в кормовых единицах производится по следующим коэффициентам (в ц к.е. на 1 ц основной продукции):
Кукуруза на силос и з/к – 0,20
Озимая пшеница – 0,18
Многолетние травы – 0,50
Озимая рожь – 1,18
Картофель – 0,30
Лен – 6,60
Данные вносятся в таблицу 13.
| Таблица 13
|
| Базисная урожайность ведущих сельскохозяйственных культур по группам почв (в ц к.е.с 1 га)
|
| Группы почв
|
Кукуруза (на силос и зк)
|
Озимая пшеница
|
Многолетние травы
|
Озимая рожь
|
Картофель
|
Лен
|
| 1
|
2
|
3
|
4
|
5
|
6
|
7
|
| 81
|
55,6
|
34,8
|
19,1
|
28,2
|
48,0
|
49,5
|
| 103
|
47,8
|
28,9
|
16,7
|
24,1
|
41,4
|
39,6
|
| 97
|
42,6
|
22,8
|
14,1
|
19,8
|
36,9
|
30,4
|
| 95
|
38,6
|
20,8
|
13,3
|
18,4
|
33,9
|
27,1
|
| 44
|
37,0
|
18,9
|
12,5
|
17,2
|
32,4
|
23,8
|
| 45
|
36,2
|
17,6
|
11,9
|
16,3
|
31,5
|
22,4
|
| 47
|
33,2
|
16,6
|
11,6
|
15,6
|
29,7
|
20,5
|
| 48
|
29,6
|
15,3
|
11,0
|
14,4
|
26,4
|
17,2
|
| 72
|
28,4
|
15,1
|
10,9
|
14,2
|
25,8
|
16,5
|
| 73
|
27,4
|
14,5
|
10,7
|
13,8
|
24,9
|
15,8
|
2.2. Определение шкал частной экономической оценки земель.
На основании данных о базисной урожайности ведущих сельскохозяйственных культур строится региональная шкала оценки пашни по урожайности.
Балл определяется по формуле:
Где Бi
– балл оценки пашни по урожайности на i- ой группе почв;
Yi
– базисная урожайность (в ц с 1га) на i- ой группе почв;
Ymax
– максимальная урожайность на одной из групп почв по оцениваемой ведущей культуре.
Результаты расчетов даются в таблице 14. В этой таблице 100 баллов присваивается лучшей 81 группе почв. Цена балла определяется делением базисной урожайности на балл оценки.
Для того чтобы результаты оценки земель по урожайности были сопоставимы по всей России, разрабатывается общероссийская шкала.
За 100 баллов по всей Российской Федерации принята урожайность в 50 ц кормовых единиц с 1га для всех сельскохозяйственных культур.
Общероссийский балл оценки пашни по урожайности культур рассчитывается по формуле:
Где Yi
(ке)
–базисная урожайность на i- ой группе почв в ц к.е.;
Цена балла для всех культур в таблице 15 равна 0,50 ц к.е.
Из сравнения шкал в таблицах 14 и 15 мы видим, что они различны: в таблице 14 используется замкнутая 100 – бальная шкала, а в таблице 15- разомкнутая шкала.
Кроме шкал оценки земель по базисной урожайности для шести ведущих культур рассчитываются структурные шкалы. Сведения о структуре посевов даются в таблице 19(методичка).
Расчет структурных шкал (региональной и общероссийской) приводится в таблице 16.
Выход продукции на 1 га в к.е. ( Yк ) определяется по формуле:
Где Yк – выход продукции на 1 га в к.е. (или средневзвешенная урожайность всех сельскохозяйственных культур) на i- ой почве;
Вn – удельный вес в структуре посевов данной культуры;
Yк – урожайность на i- ой группе почв, ц к.е. с 1 га.
| Таблица 14
|
| Региональная шкала экономической оценки пашни по
|
| урожайности (в баллах)
|
| Группы почв
|
Кукуруза (на силос и зк)
|
Озимая пшеница
|
Многолетние травы
|
Озимая рожь
|
Картофель
|
Лен
|
| 1
|
2
|
3
|
4
|
5
|
6
|
7
|
| 81
|
100
|
100
|
100
|
100
|
100
|
100
|
| 103
|
85,9
|
83,1
|
87,2
|
85,3
|
86,2
|
80,0
|
| 97
|
76,6
|
65,4
|
73,6
|
70,3
|
76,9
|
61,3
|
| 95
|
69,4
|
59,7
|
69,5
|
65,3
|
70,6
|
54,7
|
| 44
|
66,5
|
54,2
|
65,3
|
61,1
|
67,5
|
48,0
|
| 45
|
65,1
|
50,5
|
62,4
|
57,7
|
65,6
|
45,3
|
| 47
|
59,7
|
47,8
|
60,6
|
55,2
|
61,9
|
41,3
|
| 48
|
53,2
|
44,1
|
57,7
|
51,0
|
55,0
|
34,7
|
| 72
|
51,0
|
43,4
|
57,2
|
50,2
|
53,7
|
33,3
|
| 73
|
49,3
|
41,7
|
55,9
|
48,9
|
51,9
|
32,0
|
| Цена балла
|
2,78
|
0,29
|
0,38
|
0,24
|
1,6
|
0,07
|
| Таблица 15
|
| Общероссийская шкала экономической оценки пашни по
|
| урожайности (в баллах)
|
| Группы почв
|
Кукуруза (на силос и зк)
|
Озимая пшеница
|
Многолетние травы
|
Озимая рожь
|
Картофель
|
Лен
|
| 1
|
2
|
3
|
4
|
5
|
6
|
7
|
| 81
|
111,2
|
69,6
|
38,2
|
56,4
|
96,0
|
99,0
|
| 103
|
95,6
|
57,8
|
33,4
|
48,2
|
82,8
|
79,2
|
| 97
|
85,2
|
45,6
|
28,2
|
39,6
|
73,8
|
60,8
|
| 95
|
77,2
|
41,6
|
26,6
|
36,8
|
67,8
|
54,2
|
| 44
|
74,0
|
37,8
|
25,0
|
34,4
|
64,8
|
47,6
|
| 45
|
72,4
|
35,2
|
23,8
|
32,6
|
63,0
|
44,8
|
| 47
|
66,4
|
33,2
|
23,2
|
31,2
|
59,4
|
41,0
|
| 48
|
59,2
|
30,6
|
22,0
|
28,8
|
52,8
|
34,4
|
| 72
|
56,8
|
30,2
|
21,8
|
28,4
|
51,6
|
33,0
|
| 73
|
54,8
|
29,0
|
21,4
|
27,6
|
49,8
|
31,6
|
| Таблица 19(методичка)
|
| Структура посевных площадей Урицкого района (в %)
|
| № группы сельхозкультур
|
Состав группы
|
Удельный вес в посевах, Вп, %
|
| 1
|
2
|
3
|
| I
|
1.Кукуруза
|
7
|
| 2. Корнеплоды
|
| 3.Овощи
|
| II
|
1. Озимая пшеница
|
18
|
| 2.Ячмень
|
| III
|
1. Многолетние тр.
|
30
|
| IV
|
1. Озимая рожь
|
15
|
| 2.Овес
|
| 3. Гречиха
|
| V
|
1. Картофель
|
20
|
| VI
|
1. Лен
|
10
|
| Итого
|
100
|
| Таблица 16
|
| Расчет структурной шкалы оценки пашни в Урицком районе
|
| Группы почв
|
I группа (кукуруза)
|
II группа (озимая пшеница)
|
III группа (многолетние травы)
|
IV группа (озимая рожь)
|
V группа (картофель)
|
V группа (лен)
|
Выход продукции на 1 га, ц Y кг кормовых ед.
|
Структурный балл
|
| Урожайность (Yk) ц кг на 1 га
|
Удельный вес в посевах, Вп, %
|
Yk·Вп/100
|
Урожайность (Yk) ц кг на 1 га
|
Удельный вес в посевах, Вп, %
|
Yk·Вп/100
|
Урожайность (Yk) ц кг на 1 га
|
Удельный вес в посевах, Вп, %
|
Yk·Вп/100
|
Урожайность (Yk) ц кг на 1 га
|
Удельный вес в посевах, Вп, %
|
Yk·Вп/100
|
Урожайность (Yk) ц кг на 1 га
|
Удельный вес в посевах, Вп, %
|
Yk·Вп/100
|
Урожайность (Yk) ц кг на 1 га
|
Удельный вес в посевах, Вп, %
|
Yk·Вп/100
|
Региональный
|
Общероссийский
|
| 1
|
2
|
3
|
4
|
5
|
6
|
7
|
8
|
9
|
10
|
11
|
12
|
13
|
14
|
15
|
16
|
17
|
18
|
19
|
20
|
21
|
22
|
| 81
|
55,6
|
7
|
3,89
|
34,8
|
18
|
6,26
|
19,1
|
30
|
5,73
|
28,2
|
15
|
4,23
|
48
|
20
|
9,6
|
49,5
|
10
|
4,95
|
34,66
|
100
|
69,3
|
| 103
|
47,8
|
7
|
3,35
|
28,9
|
18
|
5,2
|
16,7
|
30
|
5,01
|
24,1
|
15
|
3,62
|
41,4
|
20
|
8,28
|
39,6
|
10
|
3,96
|
29,42
|
84,9
|
58,8
|
| 97
|
42,6
|
7
|
2,98
|
22,8
|
18
|
4,1
|
14,1
|
30
|
4,23
|
19,8
|
15
|
2,97
|
36,9
|
20
|
7,38
|
30,4
|
10
|
3,04
|
24,7
|
71,3
|
49,4
|
| 95
|
38,6
|
7
|
2,7
|
20,8
|
18
|
3,74
|
13,3
|
30
|
3,99
|
18,4
|
15
|
2,76
|
33,9
|
20
|
6,78
|
27,1
|
10
|
2,71
|
22,68
|
65,4
|
45,4
|
| 44
|
37
|
7
|
2,59
|
18,9
|
18
|
3,4
|
12,5
|
30
|
3,75
|
17,2
|
15
|
2,58
|
32,4
|
20
|
6,48
|
23,8
|
10
|
2,38
|
21,18
|
61,1
|
42,4
|
| 45
|
36,2
|
7
|
2,53
|
17,6
|
18
|
3,17
|
11,9
|
30
|
3,57
|
16,3
|
15
|
2,45
|
31,5
|
20
|
6,3
|
22,4
|
10
|
2,24
|
20,26
|
58,5
|
40,5
|
| 47
|
33,2
|
7
|
2,32
|
16,6
|
18
|
2,99
|
11,6
|
30
|
3,48
|
15,6
|
15
|
2,34
|
29,7
|
20
|
5,94
|
20,5
|
10
|
2,05
|
19,12
|
55,2
|
38,2
|
| 48
|
29,6
|
7
|
2,07
|
15,3
|
18
|
2,75
|
11
|
30
|
3,3
|
14,4
|
15
|
2,16
|
26,4
|
20
|
5,28
|
17,2
|
10
|
1,72
|
17,28
|
49,9
|
34,6
|
| 72
|
28,4
|
7
|
1,99
|
15,1
|
18
|
2,72
|
10,9
|
30
|
3,27
|
14,2
|
15
|
2,13
|
25,8
|
20
|
5,16
|
16,5
|
10
|
1,65
|
16,92
|
48,8
|
33,8
|
| 73
|
27,4
|
7
|
1,92
|
14,5
|
18
|
2,61
|
10,7
|
30
|
3,21
|
13,8
|
15
|
2,07
|
24,9
|
20
|
4,98
|
15,8
|
10
|
1,58
|
16,37
|
47,2
|
32,7
|
| Таблица 21(методичка)
|
| Кадастровые цены за 1 ц продукции и прямые затраты на
|
| 1 га посева в рублях
|
| №
|
Ведущие культуры
|
Кадастровая цена
|
Прямые затраты
|
| 1
|
2
|
3
|
4
|
| 1
|
Озимая пшеница
|
25,0
|
135
|
| 2
|
Озимая рожь
|
25,0
|
135
|
| 3
|
Кукуруза
|
5,2
|
120
|
| 4
|
Картофель
|
24,7
|
1400
|
| 5
|
Многолетние травы
|
11,0
|
45
|
| 6
|
Лен (волокно)
|
90,0
|
189
|
Расчет ведется по одной ведущей культуре (в данном варианте по картофелю) в таблице 17. Валовая продукция рассчитывается по кадастровой цене. Условный чистый доход берется как разность валовой продукции и размер прямых затрат.
Окупаемость затрат равна отношению валовой продукции к прямым затратам. Дифференциальный доход рассчитывается по формуле:
Где ДД - дифференциальный доход, руб./га;
ВП – размер валовой продукции, руб./га;
в - удельный вес дифференциальный дохода в валовой продукции, определяется по формуле:
где ОЗ – окупаемость затрат, руб. на 1 руб.;
Балл региональной оценки Б определяют по формуле:
где Пi
– показатели на на i- ой группе почв;
Пмах – максимальный показатель, принятый за 100 баллов;
Общероссийская шкала частной экономической оценки рассчитывается в таблице 19. Общероссийский балл в таблице 19 определяется по формуле:
где П100
– показатель, получивший в России, оценку в 100 баллов (по валовой продукции 1000 руб. на 1 га, по чистому доходу 875 руб. на 1 га, по дифференциальный доходу – 800 руб. на 1 га и по окупаемости затрат – 8,00 руб. на 1 га).
| Таблица 17
|
| Определение размера валовой продукции, условного чистого дохода,
|
| окупаемости затрат и диффериенциального дохода по картофелю
|
| Группы почв
|
Базисная урожайность, ц/га
|
Кадастр.цены, руб. на 1 га
|
Валовая продукция, руб. на 1 га, Вп
|
Прямые затраты, руб. на 1га, ПЗ
|
Условный чистый доход, руб. на 1 га, ЧД
|
Окупаемость затрат, руб./руб., ОЗ
|
Удельный вес диффернциального дохода, d
|
Дифференциальный доход, руб. на 1га, ДД
|
| 1
|
2
|
3
|
4
|
5
|
6
|
7
|
8
|
9
|
| 81
|
160
|
24,7
|
3952,0
|
1400
|
2552,0
|
2,82
|
0,54
|
2134,1
|
| 103
|
138
|
24,7
|
3408,9
|
1400
|
2008,6
|
2,43
|
0,44
|
1499,8
|
| 97
|
123
|
24,7
|
3038,1
|
1400
|
1638,1
|
2,17
|
0,38
|
1154,5
|
| 95
|
113
|
24,7
|
2791,1
|
1400
|
1391,1
|
1,99
|
0,32
|
893,2
|
| 44
|
108
|
24,7
|
2667,6
|
1400
|
1267,6
|
1,91
|
0,29
|
773,6
|
| 45
|
105
|
24,7
|
2593,5
|
1400
|
1193,5
|
1,85
|
0,27
|
700,2
|
| 47
|
99
|
24,7
|
2445,3
|
1400
|
1045,3
|
1,75
|
0,23
|
562,4
|
| 48
|
88
|
24,7
|
2173,6
|
1400
|
773,6
|
1,55
|
0,13
|
282,6
|
| 72
|
86
|
24,7
|
2124,2
|
1400
|
724,2
|
1,52
|
0,11
|
233,7
|
| 73
|
83
|
24,7
|
2050,1
|
1400
|
650,1
|
1,46
|
0,08
|
164,0
|
| Таблица 18
|
| Региональная шкала частной экономической оценки на группах почв по
|
| картофелю
|
| Группы почв
|
Валовая продукция
|
Условный ЧД
|
Окупаемость затрат
|
Дифференциальный доход
|
| руб. на 1 га
|
балл
|
руб. на 1 га
|
балл
|
руб. на 1 га
|
балл
|
руб. на 1 га
|
балл
|
| 1
|
2
|
3
|
4
|
5
|
6
|
7
|
8
|
9
|
| 81
|
3952,0
|
100
|
2552,0
|
100
|
2,82
|
100
|
2134,1
|
100
|
| 103
|
3408,9
|
86,3
|
2008,6
|
78,7
|
2,43
|
86,2
|
1499,8
|
70,3
|
| 97
|
3038,1
|
76,9
|
1638,1
|
64,2
|
2,17
|
76,9
|
1154,5
|
54,1
|
| 95
|
2791,1
|
70,6
|
1391,1
|
54,5
|
1,99
|
70,6
|
893,2
|
41,8
|
| 44
|
2667,6
|
67,5
|
1267,6
|
49,7
|
1,91
|
67,7
|
773,6
|
36,2
|
| 45
|
2593,5
|
65,6
|
1193,5
|
46,8
|
1,85
|
65,6
|
700,2
|
32,8
|
| 47
|
2445,3
|
61,9
|
1045,3
|
40,9
|
1,75
|
62,1
|
562,4
|
26,4
|
| 48
|
2173,6
|
55,0
|
773,6
|
30,3
|
1,55
|
54,9
|
282,6
|
13,2
|
| 72
|
2124,2
|
54,5
|
724,2
|
28,4
|
1,52
|
53,9
|
233,7
|
10,9
|
| 73
|
2050,1
|
51,9
|
650,1
|
25,5
|
1,46
|
51,8
|
164,0
|
7,7
|
| Цена балла
|
-
|
39,52
|
-
|
25,52
|
-
|
0,03
|
-
|
21,34
|
| Таблица 19
|
| Общероссийская шкала частной экономической оценки на группах почв по
|
| картофелю
|
| Группы почв
|
Валовая продукция
|
Условный ЧД
|
Окупаемость затрат
|
Дифференциальный доход
|
| руб. на 1 га
|
балл
|
руб. на 1 га
|
балл
|
руб. на 1 га
|
балл
|
руб. на 1 га
|
балл
|
| 1
|
2
|
3
|
4
|
5
|
6
|
7
|
8
|
9
|
| 81
|
3952,0
|
395,2
|
2552,0
|
291,7
|
2,82
|
35,3
|
2134,1
|
266,8
|
| 103
|
3408,9
|
340,8
|
2008,6
|
229,5
|
2,43
|
30,4
|
1499,8
|
187,5
|
| 97
|
3038,1
|
303,8
|
1638,1
|
187,2
|
2,17
|
27,1
|
1154,5
|
144,3
|
| 95
|
2791,1
|
279,1
|
1391,1
|
158,9
|
1,99
|
24,9
|
893,2
|
111,6
|
| 44
|
2667,6
|
266,8
|
1267,6
|
144,9
|
1,91
|
23,9
|
773,6
|
96,7
|
| 45
|
2593,5
|
259,3
|
1193,5
|
136,4
|
1,85
|
23,1
|
700,2
|
87,5
|
| 47
|
2445,3
|
244,5
|
1045,3
|
119,5
|
1,75
|
21,9
|
562,4
|
70,3
|
| 48
|
2173,6
|
217,4
|
773,6
|
88,4
|
1,55
|
19,4
|
282,6
|
35,3
|
| 72
|
2124,2
|
212,4
|
724,2
|
82,8
|
1,52
|
19,0
|
233,7
|
29,2
|
| 73
|
2050,1
|
205,0
|
650,1
|
74,3
|
1,46
|
18,2
|
164,0
|
20,5
|
| Цена балла
|
-
|
10,00
|
-
|
8,75
|
-
|
0,08
|
-
|
8,00
|
2.3. Определение шкал общей экономической оценки земель.
По культуре (в данном случае многолетним травам) берутся посевные площади из таблицы 11. Размер валовой продукции, производственных затрат и условного чистого дохода рассчитывается на основе данных таблицы 21 и посевных площадей на оценочных группах почв.
Суммарные величины посевных площадей, валовой продукции, производственных затрат, условного чистого дохода вносятся в таблицу 29.
Затем указанные показатели рассчитываются в таблице 29 на 1 га посевных площадей по группам почв (кроме 81 - ой группы).
Окупаемость затрат определяется как отношение суммарной валовой продукции к сумме производственных затрат.
Показатель для 81 группы почв рассчитывается аналогично базисной урожайности, т.е пропорционально баллу бонитета по естественным свойствам почв.
Используя экономические показатели таблицы 29 ( т.е. с использованием формулы (39) и базовых показателей валовой продукции, чистого и дифференциального дохода, окупаемости затрат, принятые в России за 100 баллов) рассчитывается общероссийская шкала экономической оценки земель в таблице 30.
| Таблица 20
|
| Посевные площади по сельскохозяйственным культурам и группам почв (га)
|
| Группы почв
|
Кукуруза
|
Озимая пшеница
|
Многолетние травы (13 табл)
|
Озимая рожь
|
Картофель
|
Лен
|
Итого
|
| 1
|
2
|
3
|
4
|
5
|
6
|
7
|
8
|
| 81
|
-
|
-
|
-
|
-
|
-
|
-
|
-
|
| 103
|
5789
|
13914
|
16264
|
9828
|
8076
|
309
|
54180
|
| 97
|
16796
|
73404
|
53012
|
51860
|
23136
|
9523
|
227731
|
| 95
|
6181
|
33965
|
23907
|
15866
|
9478
|
3816
|
93213
|
| 44
|
8747
|
34368
|
37752
|
45078
|
17084
|
13122
|
156151
|
| 45
|
1600
|
2047
|
1706
|
8334
|
2142
|
916
|
16745
|
| 47
|
2824
|
5053
|
4372
|
18694
|
8931
|
5709
|
45583
|
| 48
|
2758
|
4274
|
16035
|
32668
|
4150
|
1127
|
61012
|
| 72
|
918
|
929
|
315
|
2480
|
1265
|
322
|
6229
|
| 73
|
1679
|
3490
|
2327
|
4481
|
1964
|
2943
|
16884
|
| Таблица 21
|
| Валовая продукция по культурам и группам почв (в тыс. руб.)
|
| Группы почв
|
Кукуруза
|
Озимая пшеница
|
Многолетние травы
|
Озимая рожь
|
Картофель(22табл)
|
Лен
|
Итого
|
| 1
|
2
|
3
|
4
|
5
|
6
|
7
|
8
|
| 81
|
-
|
-
|
-
|
-
|
-
|
-
|
-
|
| 103
|
8504,6
|
6903,1
|
4748,9
|
5469,4
|
27527,9
|
105,6
|
53258,4
|
| 97
|
23729,7
|
33158,8
|
16548,9
|
28914,9
|
70289,5
|
3085,5
|
175757,3
|
| 95
|
7563,8
|
14557,0
|
5395,2
|
7907,4
|
26454,0
|
1167,6
|
63045
|
| 44
|
9527,7
|
14052,6
|
8432,1
|
20092,6
|
45573,3
|
3897,1
|
101574,8
|
| 45
|
1583,4
|
725,2
|
322,6
|
2979,3
|
5555,3
|
242,3
|
11408,1
|
| 47
|
2583,2
|
1605,7
|
1159,9
|
6756,8
|
21839,0
|
1438,5
|
35383,1
|
| 48
|
2292,6
|
1234,8
|
132,9
|
3741,6
|
9020,4
|
263,7
|
16686
|
| 72
|
687,4
|
79,4
|
45,7
|
607,4
|
2687,1
|
69,6
|
4176,6
|
| 73
|
1091,9
|
805,4
|
48,4
|
997,0
|
4026,4
|
582,7
|
7551,8
|
| Таблица 22
|
| Производственные затраты по культурам и группам почв (в тыс. руб.)
|
| Группы почв
|
Кукуруза
|
Озимая пшеница
|
Многолетние травы
|
Озимая рожь
|
Картофель
|
Лен
|
Итого
|
| 1
|
2
|
3
|
4
|
5
|
6
|
7
|
8
|
| 81
|
-
|
-
|
-
|
-
|
-
|
-
|
-
|
| 103
|
694,7
|
1878,4
|
705,7
|
1326,7
|
7106,3
|
58,4
|
11770,2
|
| 97
|
2015,5
|
9909,5
|
2864,1
|
7239,3
|
32390,4
|
1799,8
|
56218,6
|
| 95
|
714,7
|
4585,3
|
1125,6
|
2334,4
|
13269,2
|
721,2
|
22750,4
|
| 44
|
1049,6
|
4639,7
|
1789,9
|
6085,5
|
23917,6
|
2480,1
|
35786,4
|
| 45
|
192
|
280
|
76,8
|
1126,1
|
2998,8
|
173,1
|
4846,8
|
| 47
|
338,9
|
682,1
|
300,5
|
2895,2
|
9703,4
|
1079
|
14699,1
|
| 48
|
330,9
|
577
|
37,3
|
1894,7
|
5810
|
213
|
8862,9
|
| 72
|
110,2
|
40,9
|
14,2
|
334,8
|
1771
|
60,8
|
2331,9
|
| 73
|
201,5
|
471,1
|
16,4
|
604,9
|
2749,6
|
556,2
|
4599,7
|
| Таблица 23
|
| Условный чистый доход по культурам и группам почв (в тыс. руб.)
|
| Группы почв
|
Кукуруза
|
Озимая пшеница
|
Многолетние травы
|
Озимая рожь
|
Картофель
|
Лен
|
Итого
|
| 1
|
2
|
3
|
4
|
5
|
6
|
7
|
8
|
| 81
|
-
|
-
|
-
|
-
|
-
|
-
|
-
|
| 103
|
7809,9
|
5024,7
|
4043,2
|
4142,7
|
16221,5
|
47,2
|
37289,2
|
| 97
|
21714,2
|
23249,3
|
13684,8
|
21675
|
37899,1
|
1285,7
|
119508,1
|
| 95
|
6849,1
|
9971,7
|
4269,6
|
5573
|
13184,8
|
446,6
|
40294,6
|
| 44
|
8478,1
|
9412,9
|
6642,2
|
14096
|
21655,7
|
1417
|
61701,9
|
| 45
|
1391,4
|
445,2
|
245,8
|
1850,2
|
2556,5
|
74,2
|
6563,3
|
| 47
|
2244,3
|
923,6
|
859,4
|
3861,6
|
9335,6
|
359,5
|
17584
|
| 48
|
1981,7
|
657,8
|
95,6
|
1846,9
|
3210,4
|
50,7
|
7843,1
|
| 72
|
577,2
|
38,5
|
31,5
|
272,6
|
916,1
|
8,8
|
1844,7
|
| 73
|
890,4
|
334,3
|
32
|
392,1
|
1276,8
|
26,5
|
2952,1
|
Таблица 24
| Региональная шкала общей экономической оценки пашни
|
| Группы почв
|
Общая площадь посевов, тыс га
|
Суммарная валовая продукция, тыс руб.
|
Суммарный чистый доход, тыс. руб.
|
Суммарные производственные затраты, тыс. руб.
|
Шкалы оценки
|
| Валовая продукция
|
Условный чистый доход
|
Окупаемость затрат 3/5
|
d
|
Дифференциальный доход
|
| руб. на 1 га
|
балл
|
руб. на 1 га
|
балл
|
руб. на 1 га
|
балл
|
руб. на 1 га
|
балл
|
| 81
|
-
|
-
|
-
|
-
|
1230
|
100
|
863
|
100
|
5,67
|
100
|
0,76
|
934,8
|
100
|
| 103
|
54,2
|
53258,4
|
37289,2
|
11770,2
|
983
|
79,9
|
688
|
79,7
|
4,52
|
79,7
|
0,70
|
688,1
|
73,6
|
| 97
|
227,7
|
175727,3
|
119508,1
|
56218,6
|
772
|
62,8
|
525
|
60,8
|
3,13
|
55,2
|
0,57
|
440,0
|
47,1
|
| 95
|
93,2
|
63045
|
40294,6
|
22750,4
|
676
|
54,9
|
432
|
50,1
|
2,77
|
48,8
|
0,51
|
344,8
|
36,9
|
| 44
|
156,2
|
101574,8
|
61701,9
|
39962,4
|
650
|
52,8
|
395
|
45,8
|
2,54
|
44,8
|
0,47
|
305,5
|
32,7
|
| 45
|
16,7
|
11408,1
|
6563,3
|
4845,8
|
683
|
55,5
|
393
|
45,5
|
2,35
|
41,4
|
0,43
|
293,7
|
31,4
|
| 47
|
45,6
|
35383,1
|
17584
|
14999,1
|
776
|
63,1
|
386
|
44,7
|
2,35
|
41,4
|
0,43
|
334
|
35,7
|
| 48
|
61,0
|
16686
|
7843,1
|
8862,9
|
274
|
22,3
|
129
|
14,9
|
1,88
|
33,2
|
0,28
|
76,7
|
8,2
|
| 72
|
6,2
|
4176,6
|
1844,7
|
2331,9
|
674
|
54,8
|
298
|
34,5
|
1,79
|
31,6
|
0,25
|
168,5
|
18,0
|
| 73
|
16,9
|
7551,8
|
2952,1
|
4599,7
|
447
|
36,3
|
175
|
20,3
|
1,64
|
28,9
|
0,18
|
80,5
|
8,6
|
| Цена балла
|
-
|
-
|
-
|
-
|
-
|
12,3
|
-
|
8,63
|
-
|
0,057
|
-
|
-
|
9,35
|
| Таблица 25
|
| Общероссийская шкала общей экономической оценки пашни
|
| Группы почв
|
Валовая продукция
|
Условный ЧД
|
Окупаемость затрат
|
Дифференциальный доход
|
| руб. на 1 га
|
балл
|
руб. на 1 га
|
балл
|
руб. на 1 га
|
балл
|
руб. на 1 га
|
балл
|
| 1
|
2
|
3
|
4
|
5
|
6
|
7
|
8
|
9
|
| 81
|
1230
|
123,0
|
863
|
98,6
|
5,67
|
70,9
|
934,8
|
116,8
|
| 103
|
983
|
98,3
|
688
|
78,6
|
4,52
|
56,5
|
688,1
|
86,0
|
| 97
|
772
|
77,2
|
525
|
60,0
|
3,13
|
39,1
|
440,0
|
55,0
|
| 95
|
676
|
67,6
|
432
|
49,4
|
2,77
|
34,6
|
344,8
|
43,1
|
| 44
|
650
|
65,0
|
395
|
45,1
|
2,54
|
31,7
|
305,5
|
38,2
|
| 45
|
683
|
68,3
|
393
|
44,9
|
2,35
|
29,4
|
293,7
|
36,7
|
| 47
|
776
|
77,6
|
386
|
44,1
|
2,35
|
29,4
|
334
|
41,8
|
| 48
|
274
|
27,4
|
129
|
14,7
|
1,88
|
23,5
|
76,7
|
9,6
|
| 72
|
674
|
67,4
|
298
|
34,1
|
1,79
|
22,4
|
168,5
|
21,1
|
| 73
|
447
|
44,7
|
175
|
20
|
1,64
|
20,5
|
80,5
|
10,1
|
| Цена балла
|
-
|
10,00
|
-
|
8,75
|
-
|
0,08
|
-
|
8,00
|
Глава 3
3.1 Расчет показателей бонитировки почв в хозяйствах района
При оценке земель хозяйства используется универсальная формула:
Где Б – балл хозяйства по данному оценочному показателю;
Yi – удельный вес одиночной группы (1 – ой) почв в общей площади хозяйства;
Бi- величина балла 1 – ой группы в оценочной шкале.
Состав хозяйства в районе, структура их пашни по оценочным группам почв берем из таблицы 10. Балл бонитировки почвенных групп берется из таблицы 9. Расчет показателей бонитировки по ряду хозяйств приводится в таблице 26. В эту таблицу включается хозяйства района.
Таблица 26
Расчет баллов бонитировки почв в хозяйствах Урицкого района
| №
|
Наименование хозяйств
|
Группы почв
|
Удельный вес группы почв, Y%
|
Зерновые культуры (балл бонитета)
|
Озимая пшеница
|
Озимая рожь
|
Многолетние травы
|
Картофель
|
Кукуруза
|
Лен
|
| Балл, Бб
|
Y·Б/100
|
Балл, Бб
|
Y·Б/100
|
Балл, Бб
|
Y·Б/100
|
Балл, Бб
|
Y·Б/100
|
Балл, Бб
|
Y·Б/100
|
Балл, Бб
|
Y·Б/100
|
Балл, Бб
|
Y·Б/100
|
| 1
|
2
|
3
|
4
|
5
|
6
|
7
|
8
|
9
|
10
|
11
|
12
|
13
|
14
|
15
|
16
|
17
|
18
|
| 1.
|
ЗАО
|
103
|
3,5
|
79,7
|
2,8
|
96,0
|
3,4
|
96,2
|
3,4
|
89,7
|
3,1
|
97,4
|
3,4
|
96,6
|
3,4
|
97,6
|
3,4
|
| 8 марта
|
44
|
23,8
|
43,3
|
10,3
|
65,7
|
15,6
|
64,3
|
15,3
|
57,3
|
13,6
|
70,8
|
16,8
|
66,4
|
15,8
|
77,3
|
18,4
|
| 45
|
29,5
|
38,3
|
11,3
|
58,7
|
17,3
|
55,0
|
16,2
|
51,2
|
15,1
|
63,5
|
18,7
|
58,5
|
17,2
|
71,1
|
20,9
|
| 72
|
43,2
|
32,7
|
14,1
|
49,9
|
21,6
|
43,3
|
18,7
|
43,8
|
18,9
|
54,5
|
23,5
|
48,6
|
21,0
|
63,2
|
27,3
|
| Итого
|
×
|
100
|
×
|
38,5
|
×
|
57,9
|
×
|
53,6
|
×
|
50,7
|
×
|
62,4
|
×
|
57,4
|
×
|
70,0
|
| 2.
|
ОАО
|
81
|
31,7
|
100
|
31,7
|
96,6
|
30,6
|
98,0
|
31,1
|
98,2
|
31,1
|
99,6
|
31,6
|
98,3
|
31,2
|
99,1
|
31,4
|
| Красная
|
97
|
9,1
|
56,6
|
5,2
|
81,1
|
7,4
|
83,9
|
7,6
|
71,7
|
6,5
|
86,1
|
7,8
|
83,3
|
7,6
|
90,5
|
8,2
|
| заря
|
48
|
12,3
|
33,4
|
4,1
|
51,0
|
6,3
|
44,8
|
5,5
|
44,7
|
5,5
|
55,7
|
6,8
|
49,9
|
6,2
|
64,2
|
7,9
|
| 72
|
46,9
|
32,7
|
15,3
|
49,9
|
23,4
|
43,3
|
20,3
|
43,8
|
20,5
|
54,5
|
25,6
|
48,6
|
22,8
|
63,2
|
29,6
|
| Итого
|
×
|
100
|
×
|
56,3
|
×
|
67,7
|
×
|
64,5
|
×
|
63,6
|
×
|
71,8
|
*
|
67,8
|
×
|
77,1
|
3.2. Определение показателей частной экономической оценки земель хозяйств и района.
Расчет баллов частной оценки земель приводится по хозяйствам в таблице 27.
При расчете используются шкалы региональной оценки пашни по урожайности (таблица 14), структурный балл (региональный) из таблицы 16, а шкала региональной частной экономической оценки по картофелю (таблица 18).
Расчет баллов общероссийской частной экономической оценки земель приводится: по хозяйствам района – в таблице 28. Расчет приводится с использованием шкал общероссийской оценки из таблиц 15, 16 и 19.
| Таблица 27
|
| Расчет баллов региональной частной оценки земель хозяйств Урицкого района
|
| №
|
Наименование хозяйств
|
Группы почв
|
Удельный вес группы почв, Y%
|
Кукуруза
|
Озимая пшеница
|
Многолетние травы
|
Озимая рожь
|
Картофель
|
Лен
|
| Балл, Б
|
Y·Б/100
|
Балл, Б
|
Y·Б/100
|
Балл, Б
|
Y·Б/100
|
Балл, Б
|
Y·Б/100
|
Балл, Б
|
Y·Б/100
|
Балл, Б
|
Y·Б/100
|
| 1
|
2
|
3
|
4
|
5
|
6
|
7
|
8
|
9
|
10
|
11
|
12
|
13
|
14
|
15
|
16
|
| 1.
|
ЗАО
|
103
|
3,5
|
85,9
|
3
|
83,1
|
2,9
|
87,2
|
3,1
|
85,3
|
3
|
86,2
|
3
|
80
|
2,8
|
| 8 марта
|
44
|
23,8
|
66,5
|
15,8
|
54,2
|
12,9
|
65,3
|
15,5
|
61,1
|
14,5
|
67,5
|
16,1
|
48
|
11,4
|
| 45
|
29,5
|
65,1
|
19,2
|
50,5
|
14,9
|
62,4
|
18,4
|
57,7
|
17
|
65,6
|
19,4
|
45,3
|
13,4
|
| 72
|
43,2
|
51
|
22
|
43,4
|
18,7
|
57,2
|
24,7
|
50,2
|
21,7
|
53,7
|
23,2
|
33,3
|
14,4
|
| Итого
|
×
|
100
|
×
|
60
|
×
|
49,4
|
×
|
61,7
|
×
|
56,2
|
×
|
61,7
|
×
|
42
|
| 2.
|
ОАО
|
81
|
31,7
|
100
|
31,7
|
100
|
31,7
|
100
|
31,7
|
100
|
31,7
|
100
|
31,7
|
100
|
31,7
|
| Красная
|
97
|
9,1
|
76,6
|
7
|
65,4
|
6
|
73,6
|
6,7
|
70,3
|
6,4
|
76,9
|
7
|
61,3
|
5,6
|
| заря
|
48
|
12,3
|
53,2
|
6,5
|
44,1
|
5,4
|
57,7
|
7,1
|
51
|
6,3
|
55
|
6,8
|
34,7
|
4,3
|
| 72
|
46,9
|
51
|
23,9
|
43,4
|
20,4
|
57,2
|
26,8
|
50,2
|
23,5
|
53,7
|
25,2
|
33,3
|
15,6
|
| Итого
|
×
|
100
|
×
|
69,1
|
×
|
63,5
|
×
|
72,3
|
×
|
67,9
|
*
|
70,7
|
×
|
57,2
|
| Таблица 27 (продолжение)
|
| Расчет баллов региональной частной оценки земель хозяйств Урицкого района
|
| №
|
Наименование хозяйств
|
Группы почв
|
Удельный вес группы почв, Y%
|
Структурная оценка
|
Валовая продукция
|
Чистый доход
|
Окупаемость затрат
|
Дифференциальный доход
|
| Балл, Б
|
Y·Б/100
|
Балл, Б
|
Y·Б/100
|
Балл, Б
|
Y·Б/100
|
Балл, Б
|
Y·Б/100
|
Балл, Б
|
Y·Б/100
|
| 1
|
2
|
3
|
4
|
17
|
18
|
19
|
20
|
21
|
22
|
23
|
24
|
25
|
26
|
| 1.
|
ЗАО
|
103
|
3,5
|
84,9
|
3
|
86,3
|
3
|
78,7
|
2,8
|
86,2
|
3
|
70,3
|
2,5
|
| 8 марта
|
44
|
23,8
|
61,1
|
14,5
|
67,5
|
16,1
|
49,7
|
11,8
|
67,7
|
16,1
|
36,2
|
8,6
|
| 45
|
29,5
|
58,5
|
17,3
|
65,6
|
19,4
|
46,8
|
13,8
|
65,6
|
19,4
|
32,8
|
9,7
|
| 72
|
43,2
|
48,8
|
21,1
|
54,5
|
23,5
|
28,4
|
12,3
|
53,9
|
23,3
|
10,9
|
4,7
|
| Итого
|
×
|
100
|
×
|
55,9
|
×
|
62
|
×
|
40,7
|
×
|
61,8
|
×
|
25,5
|
| 2.
|
ОАО
|
81
|
31,7
|
100
|
31,7
|
100
|
31,7
|
100
|
31,7
|
100
|
31,7
|
100
|
31,7
|
| Красная
|
97
|
9,1
|
71,3
|
6,5
|
76,9
|
7
|
64,2
|
5,8
|
76,9
|
7
|
54,1
|
4,9
|
| заря
|
48
|
12,3
|
49,9
|
6,1
|
55
|
6,8
|
30,3
|
3,7
|
54,9
|
6,8
|
13,2
|
1,6
|
| 72
|
46,9
|
48,8
|
22,9
|
54,5
|
25,6
|
28,4
|
13,3
|
53,9
|
25,3
|
10,9
|
5,1
|
| Итого
|
×
|
100
|
×
|
67,2
|
×
|
71,1
|
×
|
54,5
|
×
|
70,8
|
*
|
43,3
|
| Таблица 28
|
| Расчет баллов общероссийской частной оценки земель хозяйств Урицкого района
|
| №
|
Наименование хозяйств
|
Группы почв
|
Удельный вес группы почв, Y%
|
Кукуруза
|
Озимая пшеница
|
Многолетние травы
|
Озимая рожь
|
Картофель
|
Лен
|
| Балл, Б
|
Y·Б/100
|
Балл, Б
|
Y·Б/100
|
Балл, Б
|
Y·Б/100
|
Балл, Б
|
Y·Б/100
|
Балл, Б
|
Y·Б/100
|
Балл, Б
|
Y·Б/100
|
| 1
|
2
|
3
|
4
|
5
|
6
|
7
|
8
|
9
|
10
|
11
|
12
|
13
|
14
|
15
|
16
|
| 1.
|
ЗАО
|
103
|
3,5
|
95,6
|
3,3
|
57,8
|
2
|
33,4
|
1,2
|
48,2
|
1,7
|
82,8
|
2,9
|
79,2
|
2,8
|
| 8 марта
|
44
|
23,8
|
74
|
17,6
|
37,8
|
9
|
25
|
6
|
34,4
|
8,2
|
64,8
|
15,4
|
47,6
|
11,3
|
| 45
|
29,5
|
72,4
|
21,4
|
35,2
|
10,4
|
23,8
|
7
|
32,6
|
9,6
|
63
|
18,6
|
44,8
|
13,2
|
| 72
|
43,2
|
56,8
|
24,5
|
30,2
|
13
|
21,8
|
9,4
|
28,4
|
12,3
|
51,6
|
22,3
|
33
|
14,3
|
| Итого
|
×
|
100
|
×
|
66,8
|
×
|
34,4
|
×
|
23,6
|
×
|
31,8
|
×
|
59,2
|
×
|
41,6
|
| 3.
|
ОАО
|
81
|
31,7
|
111,2
|
35,3
|
69,6
|
22,1
|
38,2
|
12,1
|
56,4
|
17,9
|
96
|
30,4
|
99
|
31,4
|
| Красная
|
97
|
9,1
|
85,2
|
7,8
|
45,6
|
4,1
|
28,2
|
2,6
|
39,6
|
3,6
|
73,8
|
6,7
|
60,8
|
5,5
|
| заря
|
48
|
12,3
|
59,2
|
7,3
|
30,6
|
3,8
|
22
|
2,7
|
28,8
|
3,5
|
52,8
|
6,5
|
34,4
|
4,2
|
| 72
|
46,9
|
56,8
|
26,6
|
30,2
|
14,2
|
21,8
|
10,2
|
28,4
|
13,3
|
51,6
|
24,2
|
33
|
15,5
|
| Итого
|
×
|
100
|
×
|
77
|
×
|
44,2
|
×
|
27,6
|
×
|
38,3
|
*
|
67,8
|
×
|
56,6
|
| Таблица 28 (продолжение)
|
| Расчет баллов общероссийской частной оценки земель хозяйств Урицкого района
|
| №
|
Наименование хозяйств
|
Группы почв
|
Удельный вес группы почв, Y%
|
Структурная оценка
|
Валовая продукция
|
Чистый доход
|
Окупаемость затрат
|
Дифференциальный доход
|
| Балл, Б
|
Y·Б/100
|
Балл, Б
|
Y·Б/100
|
Балл, Б
|
Y·Б/100
|
Балл, Б
|
Y·Б/100
|
Балл, Б
|
Y·Б/100
|
| 1
|
2
|
3
|
4
|
7
|
8
|
9
|
10
|
11
|
12
|
13
|
14
|
15
|
16
|
| 1.
|
ЗАО
|
103
|
3,5
|
58,8
|
2,1
|
340,8
|
11,9
|
229,5
|
8
|
30,4
|
1,1
|
187,5
|
32,6
|
| 8 марта
|
44
|
23,8
|
42,4
|
10,1
|
266,8
|
63,5
|
144,9
|
34,5
|
23,9
|
5,7
|
96,7
|
28
|
| 45
|
29,5
|
40,5
|
11,9
|
259,3
|
76,5
|
136,4
|
40,2
|
23,1
|
6,8
|
87,5
|
20,8
|
| 72
|
43,2
|
33,8
|
14,6
|
212,4
|
91,8
|
82,8
|
35,8
|
19
|
8,2
|
29,2
|
16,1
|
| Итого
|
×
|
100
|
×
|
38,7
|
×
|
243,7
|
×
|
118,5
|
×
|
21,8
|
×
|
97,5
|
| 3.
|
ОАО
|
81
|
31,7
|
69,3
|
22
|
395,2
|
125,3
|
291,7
|
92,5
|
35,3
|
11,2
|
266,8
|
84,6
|
| Красная
|
97
|
9,1
|
49,4
|
4,5
|
303,8
|
27,6
|
187,2
|
17
|
27,1
|
2,5
|
144,3
|
13,1
|
| заря
|
48
|
12,3
|
34,6
|
4,3
|
217,4
|
26,7
|
88,4
|
10,9
|
19,4
|
2,4
|
35,3
|
4,3
|
| 72
|
46,9
|
33,8
|
15,9
|
212,4
|
99,6
|
82,8
|
38,8
|
19
|
8,9
|
29,2
|
13,7
|
| Итого
|
×
|
100
|
×
|
46,7
|
×
|
279,2
|
×
|
159,2
|
×
|
25
|
475,6
|
115,7
|
3.3 Расчет показателей общей экономической оценки земель хозяйств и района.
Расчет баллов общей оценки земель проводится аналогично как и с предыдущими таблицами.
При расчете общей региональной оценки земель в хозяйствах района (таблица 29) используются шкалы региональной общей экономической оценки из таблицы 24.
При определении общероссийской общей оценки земель хозяйств (в таблице 30) используются общероссийские шкалы общей оценки земель (таблица 25).
| Таблица 29
|
| Расчет баллов региональной общей оценки пашни хозяйств Урицкого района
|
| №
|
Наименование хозяйств
|
Группы почв
|
Удельный вес группы почв, Y%
|
Валовая продукция
|
Чистый доход
|
Окупаемость затрат
|
Дифференциальный доход
|
| Балл, Б
|
Y·Б/100
|
Балл, Б
|
Y·Б/100
|
Балл, Б
|
Y·Б/100
|
Балл, Б
|
Y·Б/100
|
| 1
|
2
|
3
|
4
|
9
|
10
|
11
|
12
|
13
|
14
|
15
|
16
|
| 1.
|
ЗАО
|
103
|
3,5
|
79,9
|
2,8
|
79,7
|
2,8
|
79,7
|
2,8
|
73,6
|
2,6
|
| 8 марта
|
44
|
23,8
|
52,8
|
12,6
|
45,8
|
10,9
|
44,8
|
10,7
|
32,7
|
7,8
|
| 45
|
29,5
|
683
|
201,5
|
45,5
|
13,4
|
41,4
|
12,2
|
31,4
|
9,3
|
| 72
|
43,2
|
674
|
291,2
|
34,5
|
14,9
|
31,6
|
13,7
|
18
|
7,8
|
| Итого
|
×
|
100
|
×
|
508,1
|
×
|
42
|
×
|
39,4
|
×
|
27,5
|
| 2.
|
ОАО
|
81
|
31,7
|
100
|
31,7
|
100
|
31,7
|
100
|
31,7
|
100
|
31,7
|
| Красная
|
97
|
9,1
|
62,8
|
5,7
|
60,8
|
5,5
|
55,2
|
5
|
47,1
|
4,3
|
| заря
|
48
|
12,3
|
22,3
|
2,7
|
14,9
|
1,8
|
33,2
|
4,1
|
8,2
|
1
|
| 72
|
46,9
|
54,8
|
25,7
|
34,5
|
16,2
|
31,6
|
14,8
|
18
|
8,4
|
| Итого
|
×
|
100
|
×
|
65,8
|
×
|
55,2
|
×
|
55,6
|
*
|
45,4
|
| Таблица 30
|
| Расчет баллов общероссийской общей оценки хозяйств Урицкого района
|
| №
|
Наименование хозяйств
|
Группы почв
|
Удельный вес группы почв, Y%
|
Валовая продукция
|
Чистый доход
|
Окупаемость затрат
|
Дифференциальный доход
|
| Балл, Б
|
Y·Б/100
|
Балл, Б
|
Y·Б/100
|
Балл, Б
|
Y·Б/100
|
Балл, Б
|
Y·Б/100
|
| 1
|
2
|
3
|
4
|
9
|
10
|
11
|
12
|
13
|
14
|
15
|
16
|
| 1.
|
ЗАО
|
103
|
3,5
|
98,3
|
3,4
|
78,6
|
2,8
|
56,5
|
2
|
86
|
3
|
| 8 марта
|
44
|
23,8
|
65
|
15,5
|
45,1
|
10,7
|
31,7
|
7,5
|
38,2
|
9,1
|
| 45
|
29,5
|
68,3
|
20,1
|
44,9
|
13,2
|
29,4
|
8,7
|
36,7
|
10,8
|
| 72
|
43,2
|
67,4
|
29,1
|
34,1
|
14,7
|
22,4
|
9,7
|
21,1
|
9,1
|
| Итого
|
×
|
100
|
×
|
68,1
|
×
|
41,4
|
×
|
27,9
|
×
|
32
|
| 2.
|
ОАО
|
81
|
31,7
|
123
|
39
|
98,6
|
31,3
|
70,9
|
22,5
|
116,8
|
37
|
| Красная
|
97
|
9,1
|
77,2
|
7
|
60
|
5,5
|
39,1
|
3,6
|
55
|
5
|
| заря
|
48
|
12,3
|
27,4
|
3,4
|
14,7
|
1,8
|
23,5
|
2,9
|
9,6
|
1,2
|
| 72
|
46,9
|
67,4
|
31,6
|
34,1
|
16
|
22,4
|
10,5
|
21,1
|
9,9
|
| Итого
|
×
|
100
|
×
|
81
|
×
|
54,6
|
×
|
39,5
|
*
|
53,1
|
Практическое использование результатов оценки земель
На основании рассчитанных шкал и данных оценки осуществляются задачи по организации эффективного использования, контроля и охраны земель.
Эти материалы используются при разработке планов развития с.-х. района и отдельных с.-х. предприятий. В некоторых случаях оценка земель и определение путей совершенствования вполне возможны в процессе разработки проектов районной планировки и землеустройства. Это позволяет сэкономить труд рабочих и избежать ошибок при разработки предложений по использованию земель на перспективу.
1. Выбор земельного массива для размещения севооборота
При построении структурной шкалы оценки для севооборота в целом, рассматривают удельный вес культур (групп культур), размещаемых в севообороте: группы почв тех участков на которых предполагают разместить севооборот, урожайность культур, входящих в состав севооборота в к. е. по группам почв. Данные об удельном весе культур в севообороте и о почвенных разностях представляются в таблицах 31,32.
Таблица 31
Состав культур (групп культур) в севообороте
| Культуры
|
Площадь поля, га
|
Номер группы культур
|
Площадь посева групп культур
|
| га
|
%
|
| Ячмень+клевер
|
200
|
II
|
400
|
50
|
| Клевер (силос)
|
200
|
III
|
200
|
25
|
| Озимая пшеница
|
200
|
II
|
-
|
-
|
| Силосные (вика, горох)
|
200
|
IV
|
200
|
25
|
| Итого
|
800
|
-
|
800
|
100
|
Таблица 32
Состав групп почв по участкам
| Группы почв
|
1-й земельный участок
|
2-й земельный участок
|
| га
|
%
|
га
|
%
|
| 81
|
-
|
-
|
640
|
80
|
| 44
|
100
|
13
|
-
|
-
|
| 47
|
180
|
22
|
100
|
13
|
| 73
|
520
|
65
|
60
|
7
|
| Итого
|
800
|
100
|
80
|
100
|
Расчет структурной шкалы для севооборота производится в таблице 33.
Таблица 33
Расчет структурной шкалы оценки для севооборота
| Группы почв
|
II группа почв
|
III группа почв
|
IV группа почв
|
Общий выход продукции
|
Структурные баллы
|
| Урожайность, ц/га к. е.
|
Удельный вес,% (У*)
|
УУ*/100 (ц.к.е.)
|
Урожайность, ц/га к. е.
|
Удельный вес,% (У*)
|
УУ*/100 (ц.к.е.)
|
Урожайность, ц/га к. е.
|
Удельный вес,% (У*)
|
УУ*/100 (ц.к.е.)
|
| 81
|
34,8
|
18
|
6,3
|
19,1
|
30
|
5,7
|
28,2
|
15
|
4,2
|
16,2
|
100
|
| 44
|
18,9
|
18
|
3,4
|
12,5
|
30
|
3,7
|
17,2
|
15
|
2,6
|
9,7
|
59,9
|
| 47
|
16,6
|
18
|
3,0
|
11,6
|
30
|
3,5
|
15,6
|
15
|
2,3
|
8,8
|
54,2
|
| 73
|
14,5
|
18
|
2,6
|
10,7
|
30
|
3,2
|
13,8
|
15
|
2,1
|
7,9
|
48,8
|
Далее производится выбор земельного участка для размещения севооборота. Пользуясь структурной шкалой оценки севооборота в целом и на основании удельного веса почвенных групп отдельных массивов рассчитывают структурные баллы 1 го и 2 го участка.
Таблица 34
Расчет структурных баллов земельных участков
| Группы почв
|
Удельный вес групп почв (У), %
|
Баллы групп почв по шкале севооборота Б
|
У*Б/100
|
| 1-й земельный участок
|
| 81
|
-
|
-
|
-
|
| 44
|
13
|
59,9
|
7,79
|
| 47
|
22
|
54,2
|
11,92
|
| 73
|
65
|
48,8
|
31,72
|
| По участку
|
100
|
-
|
51,43
|
| 2-й земельный участок
|
| 81
|
80
|
100
|
80,0
|
| 44
|
-
|
-
|
-
|
| 47
|
13
|
54,2
|
7,05
|
| 73
|
7
|
48,8
|
3,42
|
| По участку
|
100
|
-
|
90,47
|
Из таблицы 34 видно, что целесообразно разместить данный севооборот на втором земельном участке, так как величина балла на нем выше.
Таблица 35
Состав классов земель по полям севооборотов Урицкого района
| Поля сев-та
|
Площадь поля, га
|
Группы почв
|
| 81
|
44
|
47
|
73
|
| га
|
%
|
га
|
%
|
га
|
%
|
га
|
%
|
| I
|
200
|
40
|
20
|
66
|
33
|
54
|
27
|
-
|
-
|
| II
|
200
|
88
|
44
|
-
|
-
|
112
|
56
|
-
|
-
|
| III
|
200
|
66
|
33
|
66
|
33
|
34
|
17
|
34
|
17
|
| IV
|
200
|
16
|
8
|
34
|
17
|
66
|
33
|
84
|
42
|
| Итого
|
800
|
240
|
30
|
168
|
21
|
288
|
36
|
104
|
13
|
На основании удельного веса групп почв, входящих в отдельное поле и структурной оценки почв севооборота рассчитывают балл оценки поля севооборота (см формулу)
Бстр – структурный балл оценки почв группы, входящей в поле по структурной шкале оценки севооборота.
У – удельный вес групп почв, входящих в поле севооборота (приложение 9 в %).
Пользуясь данными приложения 9 расчет баллов оценки
Таблица 36
Расчет баллов полей севооборотов
| № полей
|
Расчет баллов полей
|
Балл поля
|
| I
|
20*100/100+33*59,9/100+27*54,2/100=20+19,8+14,6
|
54
|
| II
|
44*100/100+56*54,2/100=44+30,4
|
74
|
| III
|
33*100/100+33*59,9/100+17*54,2/100+17*48,8/100=33+19,8+9,1+8,3
|
70
|
| IV
|
8*100/100+17*59,9/100+33*54,2/100+42*48,8/100=8+10+18+21
|
57
|
| По севообороту, Бср
|
-
|
64
|
Из расчетов таблицы видно, наиболее высокий балл оценки на втором поле севооборота. Это говорит о низких и высоких показателях удельного веса групп почв в структурной шкале оценки севооборота по отношению полей друг к другу.
Определение площади полей севооборотов с учетом их баллов оценки (таблица 37)
Поскольку поля должны быть равнокачественными по плодородию с точки зрения агротехники и равновеликими по площади с учетом качества земель, с точки зрения получения равномерного выхода продукции с полей по годам ротации севооборота. Определим площадь поля с учетом его балла оценки земель по формуле:
Рп – площадь поля с учетом его балла оценки качества земель,
Рср – средняя площадь поля в севообороте,
Бсев – средний балл оценки по севообороту,
Бп – балл оценки конкретного поля.
Результаты вычислений внесем в таблицу 37
Таблица 37
Расчет площади полей севооборота с учетом оценки земель
| № полей
|
Расчет площади полей, га
|
Площадь поля увязанная, га
|
| I
|
200+((64-54)/54)*200=237,0 -4,35
|
232,6
|
| II
|
200+((64-74)/74)*200=173,0 -4,35
|
168,7
|
| III
|
200+((64-70)/70)*200=182,8 -4,35
|
178,4
|
| IV
|
200+((64-57)/57)*200=224,6 -4,35
|
220,3
|
| По севообороту
|
817,4
|
800,0
|
| f
|
+ 17,4
|
-
|
Поскольку площадь отличается от первоначальной, необходимо вносить поправки. Для этого вычисляют невязку f по формуле:
f=Pпол-Pпер,
где Pпол – площадь севооборота, полученная с учетом оценки земель,
Pпер – площадь первоначальная.
В нашем варианте f=817,4-800=+17,4
Затем введем равномерно распределенные поправки, равные невязке с обратным знаком по всем полям севооборота, т.е.
17,4/4=-4,35
Заключение
По произведенным расчетам в данной работе мы научились производить экономическую оценку земель в двух аспектах:
1. Оценку по эффективности возделывания отдельных культур (частную оценку) по следующим показателям:
- урожайности, ц с 1 га,
- частному доходу, руб с 1 га,
- окупаемости затрат, руб на 1 га,
- дифференциальному доходу, руб на 1 га,
2. Общую оценку земель по следующим показателям:
- стоимости валовой продукции, руб на 1 га,
- чистому доходу, руб с 1 га,
- окупаемости затрат, руб на 1 га.
- дифференциальному доходу, руб на 1 га.
А также приобрели знания о применении данных оценки в сельском хозяйстве.
Делая выводы, можно заметить, что знание вопросов оценки по эффективности возделывания различных культур и общей оценки земель поможет предприятию устанавливать производительную способность земель различного качества и обосновывать наиболее эффективное их использование в сельском производстве.
Список используемых источников
1. А.А. Варламов, С.А. Гальченко «Земельный кадастр», учебно-практическое пособие. Москва 2000
2. А. М. Яровой, «Классификация почв для целей оценки», методические указания. Москва 2007
3. Я. А. Максимович «Земельный кадастр и мониторинг земель», методические указания для выполнения курсовой работы. Москва 2004.
|