Шпаргалка: Шпаргалка по Высшей математике 4
|
Название: Шпаргалка по Высшей математике 4 Раздел: Рефераты по математике Тип: шпаргалка | ||||||
| 1. МАТЕМАТИКА ДРЕВНИХ ЦИВИЛИЗАЦИЙ Самой древней математической деятельностью был счет. Счет был необходим, чтобы следить за поголовьем скота и вести торговлю. Некоторые первобытные племена подсчитывали количество предметов, сопоставляя им различные части тела, главным образом пальцы рук и ног. Наскальный рисунок, сохранившийся до наших времен от каменного века, изображает число 35 в виде серии выстроенных в ряд 35 палочек-пальцев. Первыми существенными успехами в арифметике стали появление понятия числа и изобретение четырех основных действий: сложения, вычитания, умножения и деления. Первые достижения геометрии связаны с такими простыми понятиями, как прямая и окружность. Вавилония. Источником наших знаний о вавилонской цивилизации служат хорошо сохранившиеся глиняные таблички, покрытые т.н. клинописными текстами, которые датируются от 2000 до н.э. и до 300 н.э. Математика на клинописных табличках в основном была связана с ведением хозяйства. Арифметика и нехитрая алгебра использовались при обмене денег и расчетах за товары, вычислении простых и сложных процентов, Многочисленные арифметические и геометрические задачи возникали в связи со строительством . Очень важной задачей математики был расчет календаря, поскольку календарь использовался для определения сроков сельскохозяйственных работ и религиозных праздников. Деление окружности на 360, а градуса и минуты на 60 частей берут начало в вавилонской астрономии. Вавилоняне составили таблицы обратных чисел (которые использовались при выполнении деления), таблицы квадратов и квадратных корней, а также таблицы кубов и кубических корней. В геометрии вавилоняне знали о таких соотношениях, например, как пропорциональность соответствующих сторон подобных треугольников. Им была известна теорема Пифагора и то, что угол, вписанный в полуокружность – прямой. Они располагали также правилами вычисления площадей простых плоских фигурю.Числоp вавилоняне считали равным 3. Египет. Наше знание древнеегипетской математики основано главным образом на двух папирусах, датируемых примерно 1700 до н.э. Излагаемые в этих папирусах математические сведения восходят к еще более раннему периоду – ок. 3500 до н.э. Египтяне использовали математику, чтобы вычислять вес тел, площади посевов и объемы зернохранилищ, размеры податей и количество камней, требуемое для возведения тех или иных сооружений. Но главной областью применения математики была астрономия, точнее расчеты, связанные с календарем. Однако уровень развития астрономии в Древнем Египте намного уступал уровню ее развития в Вавилоне. Древнеегипетская письменность основывалась на иероглифах. Система счисления того периода также уступала вавилонской. Египтяне пользовались непозиционной десятичной системой, в которой числа от 1 до 9 обозначались соответствующим числом вертикальных черточек, а для последовательных степеней числа 10 вводились индивидуальные символы. Последовательно комбинируя эти символы, можно было записать любое число. Скоро возникла новая числовая система. Для каждого из чисел от 1 до 9 и для каждого из первых девяти кратных чисел 10, 100 и т.д. использовался специальный опознавательный символ. Дроби записывались в виде суммы дробей с числителем, равным единице. С такими дробями египтяне производили все четыре арифметические операции Геометрия у египтян сводилась к вычислениям площадей прямоугольников, треугольников, трапеций, круга, а также формулам вычисления объемов некоторых тел. Надо сказать, что математика, которую египтяне использовали при строительстве пирамид, была простой и примитивной. Задачи и решения, приведенные в папирусах, сформулированы чисто рецептурно, без каких бы то ни было объяснений. Египтяне имели дело только с простейшими типами квадратных уравнений и арифметической и геометрической прогрессиями. Ни вавилонская, ни египетская математики не располагали общими методами. Хотя майя, жившие в Центральной Америке, не оказали влияния на развитие математики, их достижения, относящиеся примерно к 4 в., заслуживают внимания. Майя, по-видимому, первыми использовали специальный символ для обозначения нуля в своей двадцатиричной системе. Позиционные обозначения начинались с числа 20, а числа записывались по вертикали сверху вниз.. Классическая Греция. С точки зрения 20 в. родоначальниками математики явились греки классического периода (6–4 вв. до н.э.). Математика, существовавшая в более ранний период, была набором эмпирических заключений. Настаивание греков на дедуктивном доказательстве было экстраординарным шагом. Ни одна другая цивилизация не дошла до идеи получения заключений исключительно на основе дедуктивного рассуждения, исходящего из явно сформулированных аксиом. . Математика делилась на арифметику – теоретический аспект и логистику – вычислительный аспект. Заниматься логистикой предоставляли свободнорожденным низших классов и рабам. Греческая система счисления была основана на использовании букв алфавита. В более поздней ионической системе счисления для обозначения чисел использовались 24 буквы греческого алфавита и три архаические буквы. Дедуктивный характер греческой математики полностью сформировался ко времени Платона и Аристотеля. Эллинистическая и римская эпоха. С 3 века до н. э. на протяжении семи столетий основным центром научных и особенно математических исследований являлась Александрия. Здесь, в обстановке объединения различных мировых культур, больших государственных и строительных задач и невиданного ранее по своей широте государственного покровительства науке, греческая математика достигла своего высшего расцвета. Несмотря на распространение греческой образованности и научных интересов во всём эллинистическом и римском мире, Александрия с её "музеем", являвшимся первым научно-исследовательским институтом в современном смысле слова, и библиотеками обладала столь большой притягательной силой, что почти все крупнейшие учёные стекались сюда. Из упоминающихся ниже математиков лишь Архимед остался верным родным Сиракузам. Наибольшей напряжённостью математического творчества отличается первый век александрийской эпохи (3 век до н. э.). Этому веку принадлежат Евклид,Архимед,Эратосфен и Апполоний Пергский. Цифры в древнем Китае обозначались специальными иероглифами, которые появились во II тысячелетии до н. э., и начертание их окончательно установилось к III веку до н. э. Эти иероглифы применяются и в настоящее время. Китайский способ записи чисел изначально был мультипликативным. Например, запись числа 1946, используя вместо иероглифов римские цифры, можно условно представить как 1М9С4Х6. Однако на практике расчёты выполнялись на счётной доске, где запись чисел была иной — позиционной, как в Индии, и, в отличие от вавилонян, десятичной.[7] Вычисления производились на специальной счётной доске суаньпань (см. на фотографии), по принципу использования аналогичной русским счётам. Нуль сначала обозначался пустым местом, специальный иероглиф появился около XII века н. э. Для запоминания таблицы умножения существовала специальная песня, которую ученики заучивали наизусть. Около 500 г. н. э. неизвестный нам великий индийский математик изобрёл новую систему записи чисел — десятичную позиционную систему. В ней выполнение арифметических действий оказалось неизмеримо проще, чем в старых, с неуклюжими буквенными кодами, как у греков, или шестидесятиричных, как у вавилонян. В дальнейшем индийцы использовали счётные доски, приспособленные к позиционной записи. Они разработали полные алгоритмы всех арифметических операций, включая извлечение квадратных и кубических корней. К V—VI векам относятся труды Ариабхаты, выдающегося индийского математика и астронома. В его труде «Ариабхатиам» встречается множество решений вычислительных задач. В VII веке работал другой известный индийский математик и астроном, Брахмагупта. Начиная с Брахмагупты, индийские математики свободно обращаются с отрицательными числами, трактуя их как долг. Наибольшего успеха средневековые индийские математики добились в области теории чисел и численных методов. Индийцы далеко продвинулись в алгебре; их символика богаче, чем у Диофанта, хотя несколько громоздка (засорена словами). Геометрия вызывала у индийцев меньший интерес. Доказательства теорем состояли из чертежа и слова «смотри». Формулы для площадей и объёмов, а также тригонометрию они, скорее всего, унаследовали от греков. Математика Востока, в отличие от греческой, всегда носила более практичный характер. Соответственно наибольшее значение имели вычислительные и измерительные аспекты. Основными областями применения математики были торговля, ремесло, строительство, география, астрономия и астрология, механика, оптика. В IX веке жил Ал-Хорезми — сын зороастрийского жреца, прозванный за это аль-Маджуси (маг). Изучив индийские и греческие знания, он написал книгу «Об индийском счёте», способствовавший популяризации позиционной системы во всём Халифате, вплоть до Испании. В XII веке эта книга переводится на латинский, от имени её автора происходит наше слово «алгоритм» (впервые в близком смысле использовано Лейбницем). Другое сочинение ал-Хорезми, «Краткая книга об исчислении аль-джабра и аль-мукабалы», оказало большое влияние на европейскую науку и породило ещё один современный термин «алгебра». Исламские математики уделяли много внимания не только алгебре, но также геометрии и тригонометрии (в основном для астрономических приложений). Насир ад-Дин ат-Туси (XIII век) и Ал-Каши (XV век) опубликовали выдающиеся работы в этих областях. 2. МАТЕМАТИКА ДРЕВНЕЙ ГРЕЦИИ Понятие древнегреческая математика охватывает достижения грекоязычных математиков, живших в период между VI веком до н. э. и V веком н. э. Математика родилась в Греции . Это, конечно, преувеличение, но не слишком большое. В странах-современниках Эллады математика использовалась либо для обыденных нужд (подсчёты, измерения), либо, наоборот, для магических ритуалов, имевших целью выяснить волю богов (астрология, нумерология и т. п.). Греки подошли к делу с другой стороны: они выдвинули тезис «Числа правят миром ». Или, как сформулировали эту же мысль два тысячелетия спустя: «Природа разговаривает с нами на языке математики ». Греки проверили справедливость этого тезиса в тех областях, где сумели: астрономия, оптика, музыка, геометрия, позже — механика. Всюду были отмечены впечатляющие успехи: математическая модель обладала неоспоримой предсказательной силой. Одновременно греки создали методологию математики и завершили превращение её из свода полуэвристических алгоритмов в целостную систему знаний. Основой этой системы впервые стал дедуктивный метод, польза от которого — не только в установлении истинности утверждений, но также и в выявлении неочевидных связей между понятиями, научными фактами и областями математики. Начальный периодВплоть до VI века до н. э. греческая математика ничем выдающимся не прославилась. Были, как обычно, освоены счёт и измерение. Греческая нумерация (запись чисел), как позже римская, была аддитивной, то есть числовые значения цифр складывались. Первый её вариант (аттическая , или геродианова ) содержали буквенные значки для 1, 5, 10, 50, 100 и 1000. Соответственно была устроена и счётная доска (абак) с камешками. Кстати, термин калькуляция (вычисление) происходит от calculus — камешек. Особый дырявый камешек обозначал нуль. Позднее вместо аттической нумерации была принята алфавитная — первые 9 букв греческого алфавита обозначали цифры от 1 до 9, следующие 9 букв — десятки, остальные — сотни. Чтобы не спутать числа и буквы, над числами рисовали чёрточку. Числа, большие 1000, записывали позиционно, помечая дополнительные разряды специальным штрихом (внизу слева). Специальные пометки позволяли изображать и числа, большие 10000. В VI веке до н. э. «греческое чудо» начинается: появляются сразу две научные школы — ионийцы (Фалес Милетский, Анаксимен, Анаксимандр) и пифагорейцы. О достижениях ранних греческих математиков мы знаем в основном по комментариям позднейших авторов, преимущественно Евклида, Платона и Аристотеля. Фалес, богатый купец, во время торговых поездок, видимо, хорошо изучил вавилонскую математику и астрономию. Ионийцы дали первые доказательства геометрических теорем. Однако главная роль в деле создания античной математики принадлежит пифагорейцам. 3. ПАРАДОКСЫ ЗЕНОНА Зено́н Эле́йский (др.-греч. Ζήνων ὁ Ἐλεάτης) (ок. 490 до н. э. — ок. 430 до н. э.), древнегреческий философ, ученик Парменида. Родился в Элее. Знаменит своими апориями, доказывающими невозможность движения, пространства и множества. Удар по пифагореизму нанёс Зенон Элейский, предложив ещё одну тему для многовековых размышлений математиков. Он высказал более 40 парадоксов (апорий), наиболее знамениты четыре (см. список апорий). Вопреки многократным попыткам их опровергнуть и даже осмеять, они, тем не менее, до сих пор служат предметом серьёзного анализа. Здесь затронуты самые деликатные вопросы оснований математики — конечность и бесконечность, непрерывность и дискретность. Математика тогда считалась средством познания реальности, и суть споров можно было выразить как неадекватность непрерывной, бесконечно делимой математической модели физически дискретной материи. Апории ЗенонаСовременники упоминали 40 апорий Зенона, до нас дошли 9, из них наиболее известны 4, обсуждаемые у Аристотеля. Ахиллес и черепаха— одна из апорий Зенона. Быстроногий Ахиллес никогда не догонит черепаху, если в начале движения черепаха находится впереди на некотором расстоянии от него. Допустим, Ахиллес бежит в десять раз быстрее, чем черепаха, и находится от неё на расстоянии в 1 километр. За то время, за которое Ахиллес пробежит этот километр, черепаха проползёт 100 метров. Когда Ахиллес пробежит 100 метров, черепаха проползёт ещё 10 метров, и так далее. Процесс будет продолжаться до бесконечности, Ахиллес так никогда и не догонит черепаху. · Дихотомия (апория) Дихотомия — одна из апорий Зенона Элейского, утверждающая логическую невозможность движения. Чтобы преодолеть путь, нужно сначала преодолеть половину пути, а чтобы преодолеть половину пути, нужно сначала преодолеть половину половины, и так до бесконечности. Эта апория основана на бесконечной делимости пространства и предположении, что для совершения бесконечного количества действий необходимо бесконечное время. Из-за того что ситуация сформулирована словесно, а потому допускает различные толкования, имеются разные объяснения, но математическое объяснение гласит: · Стрела «Стрела» — одна из апорий Зенона Элейского, утверждающая логическую невозможность движения. Летящая стрела неподвижна, так как в каждый момент времени она занимает равное себе положение, то есть покоится; поскольку она покоится в каждый момент времени, то она покоится во все моменты времени, то есть покоится всегда. Эта апория направлена против представления о непрерывной величине как о сумме бесконечного числа неделимых частиц. Современные представления рассматривают стрелу в пространстве с введенными скоростными размерностями и тем самым решают софизм. В таком пространстве движущийся объект не идентичен неподвижному. Впрочем, с точки зрения современной науки, в этой апории есть доля правды ( · Стадион Пусть по стадиону движутся по параллельным прямым равные массы с равной скоростью, но в противоположных направлениях. Пусть ряд А1 , А2 , А3 , А4 обозначает неподвижные массы, ряд В1 , В2 , В3 , В4 — массы, движущиеся вправо, а ряд Г1 , Г2 , Г3 , Г4 — массы, движущиеся влево. Будем теперь рассматривать массы Аi , Вi , Гi как неделимые. В неделимый момент времени Вi и Гi проходят неделимую часть пространства. Действительно, если бы в неделимый момент времени некоторое тело проходило бы более одной неделимой части пространства, то неделимый момент времени был бы делим, если же меньше, то можно было бы разделить неделимую часть пространства. Рассмотрим теперь движение неделимых Вi и Гi друг относительно друга: за два неделимых момента времени Вi пройдёт две неделимые части Аi и одновременно отсчитает четыре неделимые части Гi , то есть неделимый момент времени окажется делимым. Апория направлена против представления о мере отрезка как о сумме мер неделимых. 4. ГЕОМЕТРИЯ ЕВКЛИДА И ЕЕ ПОСТУЛАТЫ. ЭВКЛИД (Euclid c.356-300 ВС) Эвклид - древнегреческий математик, автор первых дошедших до нас теоретических трактатов по математике. Биографические сведения о жизни и деятельности Эвклида крайне ограничены. Известно, что он родом из Афин, был учеником Платона. Научная деятельность его протекала в Александрии, где он создал математическую школу. Евклид и его «Начала». В течение 2 тысяч лет геометрию узнавали либо из «Начал» Евклида, либо из учебников, написанных на основе этой книги. Об этом человеке история сохранила настолько мало сведений, что нередко высказываются сомнения в самом его существовании. Человек исчез, растворился в веках, остался лишь его труд «Начала». Евклид с величайшим искусством расположил материал по 13 книгам. Первая книга начинается с 20 «определений», среди них такие: точка есть то, что не имеет частей; линия есть длина без ширины, прямая есть линия, одинаково расположенная относительно всех своих точек; и, наконец, две прямые, лежащие в одной плоскости, называются параллельными, если они, сколь угодно продолженные, не встречаются. Здесь же формулируются пять геометрических постулатов. Вот первые четыре: 1. Чтобы от каждой точки ко всякой другой точке можно было провести прямую линию; 2. Чтобы каждую ограниченную прямую можно было продолжить неограниченно; 3. Чтобы из любого центра можно было описать окружность любым радиусом; 4. Чтобы все прямые углы были равны между собой. Все четыре постулата очень просты по содержанию. Евклид постулирует здесь абсолютно естественные, понятные истины. Все хорошо. И … . Следует пятый постулат. «Если при пересечении двух прямых, лежащих в одной плоскости, третьей, сумма внутренних углов меньше 1800 , то эти прямые при достаточном продолжении пересекаются, и, притом, с той стороны, с которой эта сумма меньше 1800 ».
5. СИСТЕМА АКСИОМ. АКСИОМАТИЧЕСКОЕ ОБОСНОВАНИЕ ГЕОМЕТРИИ. Аксиома – утверждение, устанавливающее некоторое свойство и принимаемое без доказательства. Аксиомы возникли из опыта, и опыт же проверяет их истинность в совокупности. Можно построить систему аксиом различными способами. Однако важно, чтобы принятый набор аксиом был минимальным и достаточным для доказательства всех остальных геометрических свойств. Заменяя в этом наборе одну аксиому другой, мы должны будем доказывать заменённую аксиому, так как она теперь уже не аксиома, а теорема. Исторический процесс развития взглядов на существо математики как науки привел к формированию фундаментальной концепции аксиоматического метода и понятия аксиоматической теории. Суть их состоит в следующем. Выбирается ряд первоначальных понятий, которые не определяются и используются без объяснения их смысла. Вместе с тем, все другие понятия, которые будут использоваться, должны быть строго определены через первоначальные неопределённые понятия и через понятия, смысл которых был определён раньше. Высказывания, определяющее таким способом значение понятия, называется определением, а само понятие, смысл которого определён, носит название определяемого понятия. Евклид сделал попытку строго определить все первоначальные понятия геометрии: точки, прямой, плоскости и т.д. Но совершенно ясно, что эти понятия должны определяться через какие-то другие, те в свою очередь, должны опираться на следующие понятия, и так далее, так что процесс бесконечен. Таким образом, первоначальные понятия аксиоматической теории не определяются. Совершенно аналогична ситуация и с утверждениями о первоначальных и об определяемых понятиях. Невозможно доказать все истинные утверждения об этих понятиях, потому что при доказательстве нужно опираться на какие-то предыдущие утверждения, при их доказательстве, в свою очередь, - на следующие, и так без конца. Поэтому и здесь необходимо выделить некоторые утверждения и объявить их истинными. Такие утверждения, принимаемые без доказательства, называются аксиомами аксиоматической теории . Совокупность аксиом обозначается буквой . Вопрос о том, какие утверждения о первоначальных понятиях выбираются в качестве аксиом, заслуживает специального рассмотрения. Евклид в качестве пяти своих аксиом (постулатов) выбрал наиболее, на его взгляд, очевидные утверждения о точках и прямых, т.е. такие утверждения, которые многократно подтверждались практическим опытом человечества. Суть аксиоматического построения математической теории состоит в том, что сначала выбирается ряд первоначальных понятий, который не определяются и используются без объяснения их смысла. Ранее, формулируется ряд первоначальных утверждений. Об этих первоначальных понятиях, которые принимаются без доказательства и которые называются аксиомами. Наконец, исходя из выбранной системы аксиом, доказывают новые утверждения о первоначальных понятиях, а также о понятиях, которые определяются в процессе развития аксиоматической теории. Эти доказываемые утверждения называются теоремами, а совокупность всех теорем, выводимых (доказываемых) из данной системы аксиом, называется аксиоматической теорией, построенной на базе этой системы аксиом. 6. МАТЕМАТИЧЕСКИЕ ДОКАЗАТЕЛЬСТВА. В математике доказа́тельством называется цепочка логических умозаключений, показывающая, что при каком-то наборе аксиом и правил вывода верно некоторое утверждение. В зависимости от контекста, может иметься в виду доказательство в рамках некоторой формальной системы (построенная по специальным правилам последовательность утверждений, записанная на формальном языке) или текст на естественном языке, по которому при желании можно восстановить формальное доказательство. Доказанные утверждения в математике называют теоремами (в математических текстах обычно подразумевается, что доказательство кем-либо найдено; исключения из этого обычая в основном составляют работы по логике, в которых исследуется само понятие доказательства); если ни утверждение, ни его отрицание ещё не доказаны, то такое утверждение называют гипотезой. Иногда в процессе доказательства теоремы выделяются доказательства менее сложных утверждений, называемых леммами. Формальными доказательствами занимается специальная ветвь математики — теория доказательств. Сами формальные доказательства математики почти никогда не используют, поскольку для человеческого восприятия они очень сложны и часто занимают очень много места. Обычно доказательство имеет вид текста, в котором автор, опираясь на аксиомы и доказанные ранее теоремы, с помощью логических средств показывает истинность некоторого утверждения. В отличие от других наук, в математике недопустимы эмпирические доказательства: все утверждения доказываются исключительно логическими способами. В математике важную роль играют математическая интуиция и аналогии между разными объектами и теоремами; тем не менее, все эти средства используются учёными только при поиске доказательств, сами доказательства не могут основываться на таких средствах. Доказательства, написанные на естественных языках, могут быть не очень подробными в расчёте на то, что подготовленный читатель сам сможет восстановить детали. Строгость доказательства гарантируется тем, что его можно представить в виде записи на формальном языке (это и происходит при компьютерной проверке доказательств). Ошибочным доказательством называется текст, содержащий логические ошибки, то есть такой, по которому нельзя восстановить формальное доказательство. В истории математики были случаи, когда выдающиеся учёные публиковали неверные «доказательства», однако обычно их коллеги или они сами довольно быстро находили ошибки. (Одна из наиболее часто неправильно доказывавшихся теорем — Великая теорема Ферма. До сих пор встречаются люди, не знающие о том, что она доказана, и предлагающие новые неверные «доказательства».[источник не указан 258 дней ] ) Ошибочным может быть только признание доказательством «доказательства» на естественном или формальном языке; формальное доказательство ошибочным не может быть по определению. 7. ИСТОРИЧЕСКИЕ ВОЗНИКНОВЕНИЯ И РАЗВИТИЯ НЕЕВКЛИДОВОЙ ГЕОМЕТРИИ. Неевклидова геометрия — в буквальном понимании — любая геометрическая система, отличная от геометрии Евклида; однако традиционно термин «Неевклидова геометрия» применяется в более узком смысле и относится только к двум геометрическим системам: геометрии Лобачевского и сферической геометрии. Как и евклидова, эти геометрии относятся к метрическим геометриям пространства постоянной кривизны. Нулевая кривизна соответствует евклидовой геометрии, положительная — сферической, отрицательная — геометрии Лобачевского. Открытие неевклидовой геометрииВ первой половине XIX века по пути, проложенному Саккери, пошли сразу три математика: К. Ф. Гаусс, Н. И. Лобачевский и Я. Бойяи. Но цель у них была уже иная — не разоблачить неевклидову геометрию как невозможную, а, наоборот, построить альтернативную геометрию и выяснить её возможную роль в реальном мире. На тот момент это была совершенно еретическая идея; никто из учёных ранее не сомневался, что физическое пространство евклидово. Интересно, что Гаусса и Лобачевского учил в молодости один и тот же учитель — Мартин Бартельс (который, впрочем сам неевклидовой геометрией не занимался). Первым был Гаусс. Он не публиковал никаких работ на эту тему, но его черновые заметки и несколько писем однозначно подтверждают его понимание неевклидовой геометрии. В 1817 году он писал астроному В. Ольберсу:[20] Я прихожу всё более к убеждению, что необходимость нашей геометрии не может быть доказана, по крайней мере человеческим рассудком и для человеческого рассудка. Может быть, в другой жизни мы придём к взглядам на природу пространства, которые нам теперь недоступны. До сих пор геометрию приходится ставить не в один ранг с арифметикой, существующей чисто a priori, а скорее с механикой. В 1818 году в письме к австрийскому астроному Герлингу Гаусс выразил свои опасения:[21] Я радуюсь, что вы имеете мужество высказаться так, как если бы Вы признавали ложность нашей теории параллельных, а вместе с тем и всей нашей геометрии. Но осы, гнездо которых Вы потревожите, полетят Вам на голову. Ознакомившись с работой Лобачевского «Геометрические исследования по теории параллельных», Гаусс энергично ходатайствует об избрании русского математика иностранным членом-корреспондентом Гёттингенского королевского общества (что и произошло в 1842 году). Лобачевский и Бойяи проявили бо́льшую смелость, чем Гаусс, и почти одновременно (Лобачевский — в докладе 1826 года и публикации 1829 года; Бойяи — в письме 1831 года и публикации 1832 года), независимо друг от друга, опубликовали изложение того, что сейчас называется геометрией Лобачевского. Лобачевский продвинулся в исследовании новой геометрии дальше всех, и она в настоящий момент носит его имя. Но главная его заслуга не в этом, а в том, что он поверил в новую геометрию и имел мужество отстаивать своё убеждение (он даже предложил экспериментально проверить V постулат, измерив сумму углов треугольника). [22] Во вступлении к своей книге «Новые начала геометрии» Лобачевский решительно заявляет:[23] Всем известно, что в геометрии теория параллельных до сих пор оставалась несовершенной. Напрасное старание со времён Евклида, в продолжении двух тысяч лет, заставили меня подозревать, что в самых понятиях ещё не заключается той истины, которую хотели доказывать и которую проверить, подобно другим физическим законам, могут лишь опыты, каковы, например, астрономические наблюдения.<…> Главное заключение <…> допускает существование геометрии в более обширном смысле, нежели как ее представил нам первый Евклид. В этом пространном виде дал я науке название Воображаемой Геометрии, где как частный случай входит Употребительная Геометрия. Трагическая судьба Лобачевского, подвергнутого остракизму в научном мире и служебном окружении за слишком смелые мысли, показала, что опасения Гаусса были не напрасны. Но и его борьба была не напрасна. По иронии судьбы торжество смелых идей Лобачевского обеспечил (посмертно) осторожный Гаусс. В 1860-е годы была опубликована переписка Гаусса, в том числе несколько восторженных отзывов о геометрии Лобачевского, и это привлекло внимание к трудам русского математика. В 1868 году выходит статья Э. Бельтрами, который показал, что плоскость Лобачевского имеет постоянную отрицательную кривизну (у евклидовой плоскости кривизна нулевая, у сферы — положительная); очень быстро неевклидова геометрия приобретает легальный научный статус, хотя всё ещё рассматривается как чисто умозрительная. В конце XIX—начале XX века сначала математики (Бернхард Риман), а затем и физики (Общая теория относительности, Эйнштейн), окончательно покончили с догматом о евклидовой геометрии физического пространства. Модели неевклидовой геометрииДоказать непротиворечивость новой геометрии ни Лобачевский, ни Бойяи не сумели — тогда математика ещё не располагала необходимыми для этого средствами. Только спустя 40 лет появились модель Клейна (1871) и модель Пуанкаре (1882), реализующие аксиоматику геометрии Лобачевского на базе евклидовой геометрии. Эти модели убедительно доказывают, что отрицание V постулата не противоречит остальным аксиомам геометрии; отсюда вытекает, что V постулат независим от остальных аксиом и доказать его невозможно. 8. ПОНЯТИЕ МНОЖЕСТВА, ПАРАМЕТРЫ. Множество — одно из первоначальных понятий в математике, не подлежащих определению. Как правило, множества задаются определенным свойством. Всякий предмет (объект) принадлежит множеству тогда и только тогда, когда он обладает данным свойством. Применение в математикеПредметы (объекты), которые составляют множество, называют его элементами. Для обозначения множества обычно используют большие буквы (A, B, X ), при этом запись A = {a, b, c, … } означает, что множество A состоит из элементов a, b, c, … . Чтобы записать утверждение «элемент a принадлежит множеству A », используют обозначение a A . Аналогично, утверждение «элемент a не принадлежит множеству A » записывается как a ∉ A . Множество называется конечным, если оно состоит из конечного числа элементов. В противном случае множество называется бесконечным. Существует также пустое множество, которое вообще не содержит элементов, оно обозначается символом ∅. Множество A
называется подмножеством B
, если выполнено условие:
Понятие равенства множествМножества А
и В
равны (A
= B
), если одновременно выполнены два утверждения: Наиболее часто встречающиеся множества имеют стандартные обозначения в математике: - N — множество всех натуральных чисел - Z — множество всех целых чисел - Q — множество всех рациональных чисел - R — множество всех действительных чисел - C — множество всех комплексных чисел 9. ОПРЕДЕЛЕНИЕ ПОДМНОЖЕСТВ И ПУСТОГО МНОЖЕСТВА. Мно́жество — один из ключевых объектов математики, в частности, теории множеств и логики. Понятие множества обычно принимается за одно из исходных (аксиоматических) понятий, то есть не сводимое к другим понятиям, а значит и не имеющее определения. Определения· Множество A
является подмножеством множества B
, если любой элемент, принадлежащий A
, также принадлежит B
. Пишут:
· Множество B
в таком случае называется надмно́жеством
множества A
, и этот факт часто записывают: Множество A
называется подмножеством
множества B
, если все элементы A
являются также элементами B
. Любое множество является своим подмножеством: Множество всех подмножеств
множества A
обозначается Примеры: · Подмножествами множества {0,1,2,3,4,5} являются множества · Подмножествами множества · Пусть A
= {a
,b
}, тогда [править] Собственное подмножествоИз определения прямо следует, что пустое множество обязано быть подмножеством любого множества. Также, очевидно, любое множество является своим подмножеством:
Если [править] СвойстваОтношение подмножества обладает целым рядом свойств.[1] · Отношение подмножества рефлексивно:
· Отношение подмножества антисимметрично:
· Отношение подмножества транзитивно:
· Пустое множество является подмножеством любого другого:
· Таким образом отношение подмножества является отношением частичного порядка на булеане 2M — семействе всех подмножеств любого объемлющего множества M . · Для любых двух множеств A и B следующие утверждения эквивалентны: · · · · 10. ОПЕРАЦИИ НАД МНОЖЕСТВАМИ Операции над множествами [править] Над множествами, как и над многими другими математическими объектами, можно совершать различные операции, которые иногда называют теоретико-множественными операциями или сет-операциями . В результате операций из исходных множеств получаются новые. Сравнение множествМножество A содержится во множестве B (множество B включает множество A ), если каждый элемент A есть элемент B :
В этом случае A
называется подмножеством
B
, B
— надмножеством
A
. Если Два множества называются равными , если они являются подмножествами друг друга:
Иногда для того, чтобы подчеркнуть, что множества могут быть равны, используется запись:
Операции над множествамиБинарные операцииНиже перечислены основные операции над множествами: · пересечение:
· объединение:
Если множества A
и B
не пересекаются: · разность:
· симметрическая разность:
· Декартово или прямое произведение:
Для лучшего понимания смысла этих операций используются диаграммы Эйлера — Венна, на которых представлены результаты операций над геометрическими фигурами как множествами точек. Унарные операции· Абсолютное дополнение:
Операция дополнения подразумевает некоторый универсум (универсальное множество U , которое содержит A ):
Относительным же дополнением называется А\В (см.выше): · Мощность множества: | A | Результатом является кардинальное число (для конечных множеств — натуральное). · Множество всех подмножеств (булеан):
Обозначение происходит из того, что Приоритет выполнения операцийСначала выполняются операции дополнения , затем объединения, пересечения и разности, которые имеют одинаковый приоритет. Последовательность выполнения операций может быть изменена скобками. 11. ЧИСЛОВЫЕ МНОЖЕСТВА · Определение: Числа вида N = {1, 2, 3, ....} называются натуральными. Натуральные числа появились в связи с необходимостью подсчета предметов 1. Если m, n, k - натуральные числа, то при m - n = k говорят, что m - уменьшаемое, n - вычитаемое, k - разность; при m : n = k говорят, что m - делимое, n - делитель, k - частное, число m называют также кратным числа n, а число n - делителем числа m, Если число m - кратное числа n, то существует натуральное число k, такое, что m = kn. 2. Из чисел с помощью знаков арифметических действий и скобок составляются числовые выражения. Если в числовом выражении выполнить указанные действия, соблюдая принятый порядок, то получиться число, которое называется значением выражения . 3. Порядок арифметических действий: сначала выполняются действия в скобках; внутри любых скобок сначала выполняют умножение и деление, а потом сложение и вычитание. 4. Если натуральное число m не делится на натуральное число n, т.е. не существует такого натурального числа k, что m = kn, то рассматривают деление с остатком: m = np + r, где m - делимое, n - делитель (m>n), p - частное, r - остаток . 5. Если число имеет только два делителя (само число и единица), то оно называется простым : если число имеет более двух делителей, то оно называется составным. 6. Любое составное натуральное число можно разложить на простые множители , и только одним способом. При разложении чисел на простые множители используют признаки делимости . 7. Для любых заданных натуральных чисел a и b можно найти наибольший общий делитель. Он обозначается D(a,b). Если числа a и b таковы, что D(a,b) = 1, то числа a и b называются взаимно простыми. 8. Для любых заданных натуральных чисел a и b можно найти наименьшее общее кратное. Оно обозначается K(a,b). Любое общее кратное чисел a и b делится на K(a,b). 9. Если числа a и b взаимно простые , т.е. D(a,b) = 1, то K(a,b) = ab . · Определение: Числа вида: Z = {... -3, -2, -1, 0, 1, 2, 3, ....} называются целыми числами, т.е. целые числа - это натуральные числа, числа, противоположные натуральным, и число 0. Натуральные числа 1, 2, 3, 4, 5.... называют также положительными целыми числами. Числа -1, -2, -3, -4, -5, ...,противоположные натуральным, называются отрицательными целыми числами. · Определение: Целые и дробные числа составляют множество рациональных чисел: Q = Z 1. Среди дробей, обозначающих данное рациональное число, имеется одна и только одна несократимая дробь.Для целых чисел - это дробь со знаменателем 1. 2. Каждое рациональное число представимо в виде конечной или бесконечной периодической десятичной дроби. 3. Дробь nm называется правильной, если ее числитель меньше знаменателя, и неправильной, если ее числитель больше знаменателя или раен ему. 4. Всякую неправильную дробь можно представить в виде суммы натурального числа и правильной дроби. 5. Основное свойство дроби: если числитель и знаменатель данной дроби умножить на одно и то же натуральное число, то получится дробь, равная данной. 6. Если числитель и знаменатель дроби взаимно простые числа, то дробь называется несократимой. 7. В виде десятичной дроби можно записать правильную дробь, знаменатель которой равен степени с основанием 10. Если к десятичной дроби приписать справа нуль или несколько нулей, то получится равная ей дробь. Если десятичная дробь оканчивается одним или несколькими нулями, то эти нули можно отбросить - получиться равная ей дробь. Значимыми цифрами числа называются все его цифры, кроме нулей, стоящих в начале. 8. Последовательно повторяющаяся группа цифр после запятой в десятичной записи числа называется периодом, а бесконечная десятичная дробь, имеющая такой период в своей записи, называется периодической. Если период начинается сразу после запятой, то дробь называется чистой периодической; если же между запятой м периодом есть другие десятичные знаки, то дробь называется смешанной периодической. Определение: Числа не являющиеся целыми или дробными называются иррациональными. Каждое иррациональное число представляется в виде непереодической бесконечной десятичной дробью Определение: Множество всех конечных и бесконечных десятичных дробей называется множеством действительных чисел: рациональных и иррациональных 12. КВАДРАТНЫЙ ТРЕХЧЛЕН И КВАДРАТНЫЕ УРАВНЕНИЯ. ФОРМУЛА ДЛЯ ВЫЧИСЛЕНИЯ КОРНЕЙ. ТЕОРЕМА ВИЕТА. I. Квадратный трехчлен раскладывается на множители: ax
2
+
bx
+
c
=
a
(
x
–
x
1
)(
x
–
x
2
)
, где x1=2a−b+ Если D < 0 , то такое разложение на множители невозможно и квадратный трехчлен ax 2 + bx + c не имеет действительных корней. Итак, установлено, что если D ? 0 , то квадратный трехчлен имеет два корня (при D = 0 они совпадают). Если же D < 0 , то трехчлен не имеет действительных корней. II. Уравнение вида ax 2 + bx + c = 0 , где, a, b, c - действительные числа, причем a≠0, называют квадратным уравнением. Если a = 1 , то квадратное уравнение называют приведенным; если a≠1, - то неприведенным. Числа a, b, c носят следующие названия a - первый коэффициент, b - второй коэффициент, c - свободный член. Теорема Виета. Сумма корней приведенного квадратного трехчлена x2 + px + q = 0 равна его второму коэффициенту p с противоположным знаком, а произведение – свободному члену q, т. е. x1 + x2 = – p и x1 x2 = q Обратная Теорема Виета. Если числа x1 и x2 удовлетворяют соотношениям x1 + x2 = – p и x1 x2 = q, то они удовлетворяют квадратному уравнению x2 + px + q = 0. Теорема Виета применяется для подбора корней квадратных уравнений. Можно расширить рамки использования этой теоремы, например, для решения систем уравнений. Это сокращает время и упрощает решение системы. Рассмотрим систему уравнений Итак, коротко о квадратном уравнении: 13. ГРАФИК КВАДРАТНЫХ ТРЕХЧЛЕНОВ График квадратичной функцииГрафик функции
При a > 0 функция убывает на x < 0 и возрастает на x > 0. Точка x = 0 по определению является минимумом функции. Областью значений функции в этом случае является промежуток [0; +∞). При a < 0 функция возрастает на x < 0 и убывает на x > 0. Точка x = 0 является максимумом функции. Областью значений функции в этом случае является промежуток (–∞; 0]. 14. ГИПЕРБОЛА, ЕЕ ГРАФИК. Гиперболой ( рис.1 ) называется геометрическое место точек, модуль разности расстояний от которых до двух заданных точек F 1 и F 2 , называемых фокусами гиперболы, есть величина постоянная.
Уравнение гиперболы ( рис.1 ) :
Здесь начало координат является центром симметрии гиперболы, а оси координат – её осями симметрии. Отрезок F
1
F
2
= 2 с
, где Пусть Р ( х 1 , у 1 ) – точка гиперболы, тогда уравнение касательной к гиперболе в данной точке имеет вид:
Условие касания прямой y = m x + k и гиперболы х 2 / a 2 – у 2 / b 2 = 1 : k 2 = m 2 a 2 – b 2 . 15. ОПРЕЛЕНИЕ ПРОИЗВОДНОЙ ФУНКЦИИ. Произво́дная — основное понятие дифференциального исчисления, характеризующее скорость изменения функции. Определяется как предел отношения приращения функции к приращению ее аргумента при стремлении приращения аргумента к нулю, если таковой предел существует. Функцию, имеющую конечную производную, называют дифференцируемой. Процесс вычисления производной называется дифференци́рованием . ОпределениеПусть в некоторой окрестности точки
Общепринятые обозначения производной функции y = f (x ) в точке x 0 :
Заметим, что последнее обычно обозначает производную по времени (в теоретической механике). 16. ТАБЛИЦА ПРОИЗВОДНЫХ И ПРАВИЛА ДИФФЕРЕНЦИРОВАНИЯ. Вычисление производной — важнейшая операция в дифференциальном исчислении. Эта статья содержит список формул для нахождения производных от некоторых функций. В этих формулах f и g — произвольные дифференцируемые функции вещественной переменной, а c — вещественная константа. Этих формул достаточно для дифференцирования любой элементарной функции. Таблица производных, производные основных элементарных функций (20 шт)
Правила дифференцирования общих функций
17. ПРОИЗВОДНЫЕ СЛОЖНОЙ ФУНКЦИИ. Производная сложной функции:
Производная — основное понятие дифференциального исчесления, характеризующее скорость изменения функции. Определение. Предел отношения приращения функции к приращению ее аргумента при стремлении приращения аргумента к нулю, если таковой предел существует. Рассмотрим функцию y = sin x2 . Чтобы найти значение этой функции в фиксированнной точке x нужно: 1) вычислить x2 ; 2) найти значение синуса от полученного значения x2 . Иными словами, сначала надо найти значение g(x) = x2 , а потом найти sin g(x). В подобных случаях говорят, что задана сложная функция y = f(g(x)). В нашем примере u = g(x) = x2 , а y = f(u) = sin u. Пусть y = f(g(x)) - сложная функция, причем функция u = g(x) дифференцируема в точке x , а функция y = f(u) дифференцируема в соответствующей точке u. Тогда функция y = f(g(x)) дифференцируема в точке x, причем y
18. ФУНКЦИИ В ЭКОНОМИКЕ. Функции находят широкое применение в экономической теории и практике. Спектр используемых в экономике функций весьма широк: от простейших линейных до функций, получаемых по определенному алгоритму с помощью так называемых рекуррентных соотношений, связывающих состояния изучаемых объектов в разные периоды времени. Наиболее часто используются в экономике следующие функции: 1. Функция полезности (функция предпочтений) - в широком смысле зависимость полезности, т.е. результата, эффекта некоторого действия от уровня (интенсивности) этого действия. 2. Производственная функция - зависимость результата производственной деятельности от обусловивших его факторов. 3. Функция выпуска (частный вид производственной функции) - зависимость объема производства от наличия или потребления ресурсов. 4. Функция издержек (частный вид производственной функции) - зависимость издержек производства от объема продукции. 5. Функции спроса, потребления и предложения - зависимость объема спроса, потребления или предложения на отдельные товары или услуги от различных факторов (например, цены, дохода и т.п.). 18. ФУНКЦИИ В ЭКОНОМИКЕ В экономических исследованиях для обозначения производных часто пользуются специфической терминологией. Например, если f(x) есть производственная функция, выражающая зависимость выпуска какой-либо продукции от затрат фактора x , то f '(x) называют предельным продуктом ; если g(x) есть функция издержек, т. е. функция g(x) выражает зависимость общих затрат от объема продукции x , то g'(x) называют предельными издержками . Предельный анализ в экономике - совокупность приемов исследования изменяющихся величин затрат или результатов при изменении объемов производства, потребления и т.п. на основе анализа их предельных значений. Большей частью плановые расчеты, основывающиеся на обычных статистических данных, ведутся в форме суммарных показателей. При этом анализ заключается главным образом в вычислении средних величин. Однако в некоторых случаях оказывается необходимым более детальное исследование с учетом предельных значений. Например, при выяснении издержек производства зерна в районе на перспективу принимают во внимание, что издержки могут быть различными в зависимости, при прочих равных условиях, от предполагаемых объемов сбора зерна, так как на вновь вовлекаемых в обработку худших землях издержки производства будут выше, чем по району в среднем. Если зависимость между двумя показателями v
и x
задана аналитически: v = f(x) - то средняя
величина
представляет собой отношение v/x
, а предельная
- производную Нахождение производительности труда.
Пусть известна функция Производительностью труда рабочего
z(t 0
) в момент t 0
называется предел, к которому стремится z ср
. при в t ® 0: Издержки производства K однородной продукции есть функция количества продукции x . Поэтому можно записать K = K(x). Предположим, что количество продукции увеличивается на в х . Количеству продукции x+ в х соответствуют издержки производства K(x + в х). Следовательно, приращению количества продукции в х соответствует приращение издержек производства продукции в K = K(x + в х) - K(x). Среднее приращение издержек производства есть в K/ в х. Это приращение издержек производства на единицу приращения количества продукции. Предел Если обозначить через u(x)
выручку от продажи x
единиц товара, то С помощью производной можно вычислить приращение функции, соответствующее приращению аргумента. Во многих задачах удобнее вычислять процент прироста (относительное приращение) зависимой переменной, соответствующий проценту прироста независимой переменной. Это приводит нас к понятию эластичности функции (иногда ее называют относительной производной ). Итак, пусть дана функция y = f(x), для которой существует производная y ¢ = f ¢ (x). Эластичностью функции y = f(x) относительно переменной x называют предел
Его обозначают E x
(y) = x/y f ¢ (x) = Эластичность относительно x есть приближенный процентный прирост функции (повышение или понижение), соответствующий приращению независимой переменной на 1%. Экономисты измеряют степень чуткости, или чувствительности, потребителей к изменению цены продукции, используя концепцию ценовой эластичности. Для спроса на некоторые продукты характерна относительная чуткость потребителей к изменениям цен, небольшие изменения в цене приводят к значительным изменениям в количестве покупаемой продукции. Спрос на такие продукты принято называть относительно эластичным или просто эластичным. Что касается других продуктов, потребители относительно нечутки к изменению цен на них, то есть существенное изменение в цене ведет лишь к небольшому изменению в количестве покупок. В таких случаях спрос относительно неэластичен или просто неэластичен. Термин совершенно неэластичный спрос означает крайний случай, когда изменение цены не приводит ни к какому изменению количества спрашиваемой продукции. Примером может служить спрос больных острой формой диабета на инсулин или спрос наркоманов на героин. И наоборот, когда при самом малом снижении цены покупатели увеличивают покупки до предела своих возможностей - тогда мы говорим, что спрос является совершенно эластичным. 19. НЕОПРЕДЕЛЕННЫЙ ИНТЕГРАЛ И ЕГО СВОЙСТВА. Неопределённый интегра́л
для фукнции
где С — произвольная постоянная. Свойства неопределённого интеграла
Если 12. ОСНОВНЫЕ МЕТОДЫ ИНТЕГРИРОВАНИЯ. 1. Метод введения нового аргумента. Если
то
где 2. Метод разложения. Если
то
3. Метод подстановки.
Если
где
4. Метод интегрирования по частям.
Если
21. ОПРЕДЕЛЕННЫЙ ИНТЕГРАЛЛ. ВЫЧИСЛЕНИЕ ПЛОЩАДЕЙ. Определённый интеграл — аддитивный монотонный нормированный функционал, заданный на множестве пар, первая компонента которых есть интегрируемая функция или функционал, а вторая — область в множестве задания этой функции (функционала). Данное выше определение интеграла при всей его кажущейся общности в итоге приводит к привычному понимаю определённого интеграла, как площади подграфика функции на отрезке. Геометрический смысл. Определённый интеграл как площадь фигуры:
Определённый интеграл Вычисление площадей с помощью интеграла. 1.Площадь фигуры, ограниченной графиком непрерывной отрицательной на промежутке [ a ; b ] функции f (x), осью Ох и прямыми х=а и х= b :
2.Площадь фигуры, ограниченной графиками непрерывных функций f (x),
3.Площадь фигуры, ограниченной графиками непрерывных функций f (x) и
4.Площадь фигуры, ограниченной графиками непрерывных функций f (x),
22. ОПРЕДЕЛЕННЫЙ ИНТЕГРАЛ В ЭКОНОМИКЕ. Традиционно практическое приложение интеграла иллюстрируется вычислением площадей различных фигур ,нахождением объемов тел и некоторыми приложениями в науке и технике. Интегральное исчисление дает богатый математический аппарат для моделирования и исследования процессов, происходящих в экономике. Так, в ходе изучения определенного интеграла студент может наглядно познакомиться с методами решения экономических задач, связанных с анализом воздействия конкретных мер государственной политики на благосостояние потребителей и производителей продукции. Приведем несколько примеров, иллюстрирующих приложение определенного интеграла для решения задач такого типа. В курсе микроэкономики часто рассматривают так называемые предельные величины , т.е. для данной величины, представляемой некоторой функцией y=f(x) , рассматривают её производную f´(x) .Например, если дана функция издержик С в зависимости от объема q выпускаемого товара С=С(q), о предельные издержки будут задаваться производной этой функции МС=С´(q). Её экономический смысл –это издержки на производство дополнительной единицы выпускаемого товара. Поэтому часто приходится находить функцию издержек по данной функции предельных издержек. Интересной иллюстрацией возможности применения интегралов для анализа социально- экономического строения общества является так называемая “диаграмма или кривая Джинна” распределения богатства в обществе. Рассмотрим функцию d(z) , которая сообщает , что z –я часть самых бедных людей общества владеет d(z)-й частью всего общественного богатства. Если бы распределение богатства было равномерным , то график функции d(z) шел бы по диагонали квадрата. Поэтому чем больше площади заштрихованной линзы ,тем неравномернее распределено богатство в обществе. Величина этой площади называется также “коэффициентом Джинни” .Можно придумать много аналогичных характеристик; например ,для оценки распределения заработной платы в фирме или акций среди сотрудников и т.п. Соответствующие функции Джинни наверняка будут довольно сложными и без интегралов не обойтись. Велика в экономике и роль средних величин. Напомним, что среднее значение величины x , изменяющейся во времени по закону x(t) на промежутке[a,b] ,есть [1/(b-a)]·∫x(t)dt. По своему смыслу среднее значение есть интегральная характеристика поведения величины “в целом”, на всем промежутке. Примером использования интегрального исчисления в экономике, может служить, понятие излишек производителя(PS- producer surplus).Не вдаваясь в детали, отметим, что излишек производителя представляет собой разницу между той денежной суммой, за которую он был бы готов продать Q* единиц товара, и той суммой , которую он реально получает при продаже этого количества товара. Графически он может быть представлен площадью фигуры, ограниченной кривой предложения, осью цен и прямой, параллельной оси абсцисс, проходящей через точку рыночного равновесия. Очевидно ,что PS=P*Q*-∫f(Q) dQ. 23. МАТРИЦЫ И ДЕЙСТВИЯ НАД НИМИ. Ма́трица — математический объект, записываемый в виде прямоугольной таблицы чисел (или элементов кольца) и допускающий алгебраические операции (сложение, вычитание, умножение) между ним и другими подобными объектами. Обычно матрицы представляются двумерными (прямоугольными) таблицами. Иногда рассматривают многомерные матрицы или матрицы непрямоугольной формы. В данной статье они рассматриваться не будут. Правила выполнения операций над матрицами сделаны такими, чтобы было удобно записывать системы линейных уравнений. Обычно матрицу обозначают заглавной буквой латинского алфавита и выделяют круглыми скобками «(…)» (встречается также выделение квадратными скобками «[…]» или двойными прямыми линиями "||…||"). Числа, составляющие матрицу (элементы матрицы), часто обозначают той же буквой, что и саму матрицу, но строчной (к примеру a11 является элементом матрицы А ). У каждого элемента матрицы есть 2 нижних индекса (aij
) — первый «i
» обозначает номер строки, в которой находится элемент, а второй «j
» — номер столбца. Говорят «матрица размерности Вычитание и сложение матриц
сводится к соответствующим операциям над их элементами. Операция сложения матриц
вводится только для матриц
одинакового размера, т. е. для матриц
, у которых число строк и столбцов соответственно равно. Суммой матриц
А и В, называется матрица
С, элементы которой равны сумме соответствующих элементов. Операция умножения (деления) матрицы
любого размера на произвольное число сводится к умножению (делению) каждого элемента матрицы
на это число. Произведением матрицы
А на число k называется матрица
В, такая что bij
= k × aij
. Операция умножения двух матриц
вводится только для случая, когда число столбцов первой матрицы
равно числу строк второй матрицы
. Произведением матрицы
Аm×n
на матрицу
Вn×p
, называется матрица
Сm×p
такая, что 24. ОПРЕДЕЛИТЕЛИ И ИХ СВОЙСТВА. Определи́тель (или детермина́нт ) — одно из основных понятий линейной алгебры. Определитель матрицы является многочленом от элементов квадратной матрицы (т.е. такой, у которой количество строк и столбцов равны). Свойства определителей:1. Определитель транспонированной матрицы равен определителю исходной матрицы. 2. Если в определителе какие-либо две строки (столбца) равны между собой, то такой определитель равен 0. 3. Общий множитель всех элементов какой-либо строки (или столбца) можно выносить за знак определителя. 4. Если поменять в определителе местами какие-либо две строки (столбца), то определитель меняет знак. 5. Если все элементы какой-либо строки (столбца) определителя равны 0, то такой определитель равен 0. 6. Если к элементам какой-либо строки (столбца) определителя прибавить соответствующие элементы другой строки (столбца) этого же определителя, умноженные на одно и то же число, то определитель не изменяется. Миноры, алгебраические дополнения матрицы.Минором Mij , соответствующим данному элементу определителя 3 порядка, называется определитель второго порядка, полученный из матрицы вычеркиванием i-ой строки и j-го столбца. Если элементы матрицы отметить точками, то получим правило треугольников: Алгебраическим дополнением элемента
25. РЕШЕНИЕ СИСТЕМЫ УРАВНЕНИЯ МЕТОДОМ КРАМЕРА. Метод Крамера (правило Крамера) — способ решения квадратных систем линейных алгебраических уравнений с ненулевым определителем основной матрицы (причём для таких уравнений решение существует и единственно). Создан Габриэлем Крамером в 1751 году. 26. РЕШЕНИЕ СИСТЕМЫ УРАВНЕНИЯ МЕТОДОМ ОБРАТНОЙ МАТРИЦЫ. Обра́тная ма́трица — такая матрица A-1 , при умножении на которую исходная матрица A даёт в результате единичную матрицу E :
Система состоит из
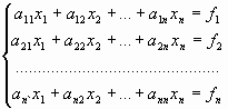
Эту систему можно записать в матричном виде
Если матрица коэффициентов
???????Свойства обратной матрицы· · (AB ) − 1 = B − 1 A − 1 для любых двух обратимых матриц A и B . · (AT ) − 1 = (A − 1 )T где * T обозначает транспонированную матрицу. · (kA
) − 1
= k
− 1
A
− 1
для любого коэффициента · Если необходимо решить систему линейных уравнений Ax = b , (b — ненулевой вектор) где x — искомый вектор, и если A - 1 существует, то x = A − 1 b . В противном случае либо размерность пространства решений больше нуля, либо их нет вовсе. |












численно равен площади фигуры, ограниченной осью абсцисс, прямыми x
= a
и x
= b
и графиком функции f
(x
).



