Реферат: Асимптотические методы исследования нестационарных режимов в сетях случайного доступа
|
Название: Асимптотические методы исследования нестационарных режимов в сетях случайного доступа Раздел: Рефераты по математике Тип: реферат | |||||||||||||||||||||||||||||||||||||||||||||||||||||||||||||||||||||||||||||||||||||||||||||||||||||||||||||||||||||||||||||||||||||||||||||||||||||||||||||||||||||||||||||||||||||||||||||||||||||||||||||||||||||||||||||||||||||||
Томский государственный университет Факультет прикладной математики и кибернетики Кафедра теории вероятности и математической статистики ДОПУСТИТЬ К ЗАЩИТЕ В ГАК Зав. каф. ТВ и МС, д-р тех. наук, профессор ____________ «__» ________ 2002г. АСИМПТОТИЧЕСКИЕ МЕТОДЫ ИССЛЕДОВАНИЯ НЕСТАЦИОНАРНЫХ РЕЖИМОВ В СЕТЯХ СЛУЧАЙНОГО ДОСТУПА (Дипломная работа) Научный руководитель д-р тех. наук, профессор __________ Автор работы __________ Томск 2002 Содержание Введение………………………………………………………………………….. 3 1. Исследование нестационарной сети случайного доступа с динамическим протоколом в условиях большой загрузки …………..... 6 2. Исследование неоднородной нестационарной сети случайного доступа с динамическим протоколом в условиях перегрузки………... 19 3. Исследование нестационарной сети случайного доступа со статическим протоколом в условиях большой задержки……………... 28 4. Исследование стационарного режима в сети с динамическим протоколом случайного множественного доступа для конечного числа станций……………………………………………………………. 41 4.1. Асимптотический анализ распределения вероятностей состояний сети……………………………………………………………….... 45 4.2. Численный метод анализа распределения вероятностей………. 52 4.3. Определение области применимости асимптотических формул 55 Заключение…………………………………………………………………….... 60 Список использованной литературы………………………………………….. 62 Введение В последнее время во многих областях производства возникает необходимость использования процессов распределенной обработки информации, причем на самых различных уровнях: от отдельного учреждения до целой сети предприятий, охватывающей огромные расстояния. Поэтому вполне естественно наблюдаемое ныне бурное развитие сетей связи, позволяющих соединять в единые системы различные устройства вычислительной техники. При этом научные исследования, направленные на улучшение функционирования сетей, ведутся в двух направлениях: повышения физических характеристик канала передачи и создания эффективных сетевых протоколов, позволяющих использовать физические возможности канала оптимальным образом. При оптимизации и проектировании сетей передачи данных наиболее действенным инструментом является использование математического моделирования. Для того чтобы исследовать уже существующие сети связи специалисты по сетям используют различные анализаторы протоколов, но такие методы не позволяют получать вероятностно-временные характеристики для еще не существующих сетей, находящихся на стадии проектирования. В этих случаях необходимо использовать средства моделирования, с помощью которых разрабатываются адекватные модели, описывающие процессы, протекающие в сетях, и проводится всесторонний анализ этих процессов. Исследование поведения систем связи из-за случайных влияний возможно только с помощью случайных процессов [1]. Выбор случайных процессов, используемых для описания и анализа систем, зависит от структуры и типа системы, от предположений о независимости или зависимости случайных величин, от вида их функций распределения. Поэтому для исследования таких систем часто используется аппарат теории массового обслуживания [2]. Использование этого аппарата позволяет построить математические модели изучаемой сети связи [3] и провести теоретические исследования параметров функционирования реальной системы. В классической литературе различают два основных класса систем массового обслуживания [2]: системы с потерями (без очереди) и системы с ожиданиями, а также комбинация этих двух типов – система с ожиданием и потерями (например, система с ограниченным числом мест для ожидания в бункере) [4]. Математические модели спутниковых сетей связи с протоколами случайного множественного доступа формируют третий класс СМО – системы с повторными вызовами. Развитие сетей с множественным доступом началось с появления работы Абрамсона, в которой описано функционирование территориально-распределенных терминалов, соединенных центральной ЭВМ по радиоканалам. Эта система получила название ALOHA. Особенностью протоколов множественного доступа является то, что на множестве станций не вводится изначальной строгой очередности. Каждая станция после появления у нее готового пакета вправе его передавать сразу же, как только обнаружит канал свободным. При этом не исключена возможность, что она попадет в конфликт, то есть ее пакет столкнется с пакетом другой станции. В подобных случаях станция прекращает передачу и генерирует случайную задержку, после которой вновь пытается занять канал. Асимптотические методы [5] играют важную роль при исследовании различных математических моделей, в том числе таких, которыми описывается функционирование различных типов систем массового обслуживания. Точные формулы для решений удается получить, как правило, лишь в исключительных ситуациях, характеризующихся наложением ограничений на статистическую природу процессов, управляющих системой (таковыми обычно являются входящий поток требований и процесс обслуживания). Однако часто, применяя различные асимптотические методы можно получить удовлетворительное для практики приближенное (асимптотическое) решение задачи при весьма широких предположениях относительно входа и обслуживания даже при отсутствии явного вида распределений характеристик. Говоря об асимптотических методах, асимптотическом решении и т. д., мы предполагаем, что исследуемая система (или исследуемый процесс, связанный с функционированием системы) характеризуется наличием (одного или нескольких) параметра s
, имеющего определенный физический смысл, значение которого близко к некоторому «критическому» значению В качестве предельных процессов в теории массового обслуживания чаще других возникают диффузионные марковские процессы [6]. Предложенный метод анализа марковизируемых систем [7] обычно имеет два этапа. На первом этапе удается определить асимптотическое среднее исследуемых характеристик системы, а на втором – распределение вероятностей значений отклонений рассматриваемых характеристик от их асимптотических средних. 1. Исследование нестационарной сети случайного доступа с динамическим протоколом в условиях большой загрузки Рассмотрим спутниковую сеть связи, управляемую динамическим протоколом случайного множественного доступа с оповещением о конфликте. Архитектура такой сети состоит из большого числа территориально-распределенных абонентских станций (АС), которые передают сообщения через геостационарный спутник-ретранслятор. Так как спутниковый канал связи совместно используют все АС, то возможно совпадение времени ретрансляции сообщений от двух или более АС, при этом сообщения искажаются и требуют повторной передачи. Такая ситуация называется конфликтом. Предполагается, что спутник-ретранслятор имеет возможность обнаружения возникающих конфликтов и реализации сигнала оповещения. Абонентские станции способны воспринимать (идентифицировать) сигнал оповещения о конфликте, так, чтобы в каждой АС по прошествии заданного времени распространения сигнала можно было определить, правильно приняты переданные сообщения или нет. Сообщения, поступающие на спутник-ретранслятор во время распространения сигнала оповещения о конфликте, считаются искаженными. Все искаженные сообщения поступают в источник повторных вызовов (ИПВ). После определения АС того, что посланное сообщение попало в конфликт, АС производит случайную задержку, после которой вновь реализует передачу. В динамическом протоколе предлагается использовать случайную задержку повторной попытки, распределенную экспоненциально с параметром, зависящим от количества сообщений, находящихся в ИПВ. Динамические протоколы, как правило, не реализуемы. Но могут приближенно оценивать функционирование адаптивных протоколов, в которых количество заявок в ИПВ заменяется некоторым оценочным числом. В качестве математической модели сети связи, управляемой динамическим протоколом случайного множественного доступа с оповещением о конфликте, рассмотрим однолинейную СМО. Прибор (спутник-ретранслятор) может находиться в одном из трех состояний:
Каждая заявка в момент поступления в систему встает на прибор и немедленно начинает обслуживаться. Если за время ее обслуживания другие заявки не поступали, то она после окончания обслуживания покидает систему и в дальнейшем не рассматривается. Если же за время ее обслуживания поступает другая заявка, то возникает конфликтная ситуация и начинается этап оповещения о конфликте, длительность которого распределена по экспоненциальному закону. Заявки, попавшие в конфликт, а также поступающие в систему во время оповещения о конфликте, автоматически переходят в источник повторных вызовов (ИПВ). Из него они вновь обращаются к прибору с попыткой повторного обслуживания через случайные интервалы времени, распределенные по экспоненциальному закону с параметром Время обслуживания распределено по одному и тому же показательному закону с параметром Будем считать, что на вход системы поступает простейший поток заявок с параметром Состояние рассматриваемой системы определим вектором
Рис. 1.1 – Модель системы массового обслуживания Математическая модель исследуемого протокола множественного доступа построена, проведем ее анализ, получим аналитические выражения, определяющие зависимости для основных ее характеристик. Для исследования процесса
вероятность того, что в момент времени t прибор находится в состоянии k и в ИПВ находится i заявок. Рассмотрим вероятности переходов из состояния системы 1. Пусть система находится в состоянии а) с вероятностью б) с вероятностью в) с вероятностью 2. Пусть система в момент времени t
находится в состоянии а) с вероятностью б) с вероятностью в) с вероятностью г) с вероятностью 3. Пусть система в момент времени t
находится в состоянии а) с вероятностью б) с вероятностью в) с вероятностью Все остальные вероятности переходов не превышают порядка малости
Рис. 1.2 – Возможные переходы из состояния
Рис. 1.3 – Возможные переходы из состояния
Рис. 1.4 – Возможные переходы из состояния Таким образом, можно записать систему конечно-разностных уравнений для вероятностей
следовательно, в нестационарном режиме, эти вероятности удовлетворяют системе дифференциально-разностных уравнений
где решить которую практически невозможно, но можно решить асимптотически в условиях «большой загрузки», т.е. при Рассмотрим исходную систему уравнений (1.1) и произведем в ней замену переменных: Тогда систему (1.1) перепишем
Получим вид решения системы (1.2), которую будем решать в три этапа. 1 этап.
В уравнениях (1.2) устремим
Выразим
где Введем обозначения
(
Найдем вид функции 2 этап
.
Неизвестные функции
Определим вид функций
В полученные уравнения подставим
Теперь приведем подобные слагаемые, учтем равенства (1.6), и получим неоднородную линейную систему алгебраических уравнений для нахождения неизвестных функций
Нетрудно заметить, что ранг матрицы однородной системы алгебраических уравнений, соответствующей (1.10) равен двум. Следовательно, для того, чтобы система была разрешима, необходимо, чтобы ранг расширенной матрицы этой системы был равен двум, т.е. чтобы выполнялось следующее равенство
С учетом того, что
Равенство нулю производной противоречит смыслу задачи, следовательно
Рис. 1.5 Таким образом, мы выяснили, что система (1.10) разрешима. Ее решение можно записать так
Перейдем к третьему этапу. 3 этап
.
Запишем уравнения системы (1.2) с точностью до
Как и на втором этапе в полученные уравнения подставим
Просуммировав все уравнения системы (1.15), получим равенство для нахождения
Подставляя выражения для
где
Решим уравнение (1.17) с помощью преобразования Лапласа по x
. Левую и правую части уравнения умножим на
Таким образом, мы перешли от уравнения Фоккера-Планка с постоянными коэффициентами к обыкновенному дифференциальному уравнению, решение которого с точностью до неизвестных
Для того чтобы получить окончательное решение уравнения (1.17) нужно провести дополнительное исследование, которое бы показало поведение исследуемого процесса в окрестности нуля. Используя асимптотику Предположим, что сеть связи функционирует в стационарном режиме, тогда (1.17) перепишется в виде
Следовательно, в стационарном режиме асимптотическое распределение вероятностей нормированного числа заявок в источнике повторных вызовов подчиняется экспоненциальному закону с параметром
2. Исследование неоднородной нестационарной сети случайного доступа с динамическим протоколом в условиях перегрузки
Рис. 2.1 – Модель системы массового обслуживания В нестационарном режиме распределение
удовлетворяют системе дифференциально-разностных уравнений вида
где Замечание:
система уравнений (2.1) получена аналогично системе уравнений (1.1). Вероятности переходов для состояний системы совпадают с точностью до замены Систему (2.1) будем решать в условиях перегрузки, то есть при Первое приближение В системе уравнений (2.1) произведем замену переменных: Тогда уравнения (2.1) перепишем
Решим систему уравнений (2.2) в два этапа. 1 этап.
Считая
Выразим
где Обозначим
(
Найдем вид функции 2 этап
.
В системе дифференциальных уравнений (2.2) все функции с аргументом
Просуммируем левые и правые части уравнений системы (2.7) и получим равенство
С учетом того, что
равенство (2.8) принимает вид
Уравнение (2.9) является однородным линейным уравнением с частными производными первого порядка. Для того чтобы его решить составим уравнение
его решение Общее решение уравнения (2.9) имеет вид
где Пусть распределение в начальный момент времени Таким образом То есть мы получили, что Из приведенных рассуждений вытекает еще одно важное следствие, а именно
Перейдем ко второму приближению, в котором будем искать распределение отклонения от асимптотического среднего. Второе приближение В исходной системе уравнений (2.1) сделаем замену переменных Заметим, что в новых обозначениях производная по времени
Решение системы уравнений (2.11) аналогично решению системы (2.2), но проводится в три этапа. 1 этап
.
В системе дифференциальных уравнений (2.13) сделаем предельный переход при
Решим эту систему аналогично тому, как решили систему уравнений (2.3). Введем функцию
где 2 этап
.
Функции
Найдем вид функций
В уравнения (2.15) подставим
Нетрудно увидеть, что между уравнениями этой системы есть зависимость и ранг матрицы системы равен, следовательно, чтобы решение уравнений (2.16)существовало, необходимо выполнение равенства
Из однородного линейного уравнения с частными производными первого порядка (2.9) мы знаем, что
Теперь все готово, для того, чтобы найти функцию 3 этап
.
В системе дифференциальных уравнений (2.11) все функции с аргументом
Теперь подставим в уравнения (2.19)
Подставляя вместо
где
Нормированным решением полученного одномерного уравнения диффузии [8] является плотность нормального распределения вероятностей с нулевым средним и дисперсией
3. Исследование нестационарной сети случайного доступа со статическим протоколом в условиях большой задержки Исследуем сеть связи, функционирование которой изложено в разделе 1, в условиях большой задержки. В этом случае удобнее рассматривать случай, когда интенсивность каждой заявки в ИПВ равна
Рис. 3.1 – Модель системы массового обслуживания Вероятности переходов из состояния системы Выпишем уравнения статистического равновесия для нестационарного распределения процесса
где
Рис. 3.2 – Возможные переходы из состояния
Рис. 3.4 – Возможные переходы из состояния Найти точное аналитическое решение системы (3.1) практически невозможно, но можно решить асимптотически в условиях большой задержки, то есть при Первое приближение Для асимптотического решения системы (3.1) сделаем замену переменных В новых обозначениях
Получим вид решения системы (3.2), которую будем решать в два этапа. 1 этап.
Считая
Выразим
где Обозначим
Заметим, что из системы (3.3) следуют равенства
Осталось найти вид функции 2 этап
.
В системе (3.2) разложим функции по приращению аргумента
Просуммируем полученные уравнения, поделим на
С учетом того, что
равенство (3.8) принимает вид
Таким образом мы получили, что Второе приближение Зная асимптотическое среднее, найдем распределение вероятностей значений отклонения В новых обозначениях производная Будем иметь
Решение системы (3.10) аналогично решению системы (3.2), но проводится в три этапа. 1 этап
.
В системе дифференциальных уравнений (3.10) положим
где Перейдем ко второму этапу. 2 этап
.
Неизвестные функции
где Найдем вид функций С точностью до
В уравнения (3.13) подставим
Система (3.14) будет иметь решение, если
Перейдем к третьему этапу. 3 этап
.
С точностью до
Теперь подставляем в систему уравнений (3.16)
В полученное равенство подставим выражения для функции
с коэффициентом переноса
Уравнение Фоккера-Планка (3.18) получено для некоторого диффузионного процесса Запишем стохастическое дифференциальное уравнение для
где
Введем новый случайный процесс для его приращения справедливо
Выберем функцию Выразим из (3.21) функцию
Анализируя вид процесса
Найдем дисперсию.
рассмотрим второе слагаемое подробнее. Для этого введем обозначение
С учетом того, что
Тогда в окончательном варианте дисперсия равна
Теперь можно записать решение уравнения Фоккера-Планка (3.18), которое имеет вид
Пусть
где Возможны три варианта: 1. 2. 3. Для примера рассмотрим случай, когда
![]() Рис. 3.5
![]() Рис. 3.6
![]() Рис. 3.7 4. Исследование стационарного режима в сети с динамическим протоколом случайного множественного доступа для конечного числа станций Рассматривается сеть связи, состоящая из конечного числа малых абонентских станций, центральной станции и спутника ретранслятора. Спутник, приняв сообщение от периферийной станции передает его на центральную. Так как спутниковый канал связи совместно используют все станции, то возможно совпадение времени ретрансляции сообщений, при этом сообщения искажаются (попадают в конфликт) и требуют повторной передачи. Архитектура подобных сетей связи позволяет реализовать протоколы случайного множественного доступа с оповещением о конфликте, в которых для избежания искажения других сообщений, центральной станцией рассылается сигнал оповещения о конфликте. Сообщения, попавшие в конфликт, должны будут переданы абонентскими станциями повторно после случайной задержки для избежания повторных конфликтов. Математической моделью рассматриваемой сети связи может служить однолинейная система массового обслуживания, на вход которой поступает примитивный поток неповторных требований с параметром Каждое требование в момент поступления в систему встает на прибор и начинает обслуживаться. Отправив заявку на обслуживание, АС не генерирует других заявок до тех пор, пока отправленная заявка не обслужится успешно. Обслуживание экспоненциальное с параметром m.
Если за время обслуживания какого-либо требования другие заявки не поступали в систему, то исходное требование считается успешно обслуженным и покидает систему. В противном случае, т.е. когда одновременно обслуживались два или более требований, происходит конфликт. Продолжительность этапа оповещения о конфликте распределена по экспоненциальному закону с параметром
Рис. 4.1 – Модель системы массового обслуживания Состояние исследуемой сети связи можно описать двумерной случайной величиной Случайная величина
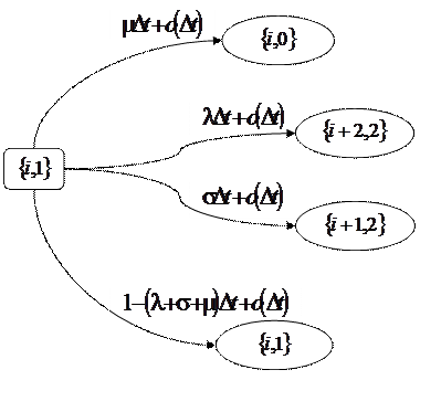
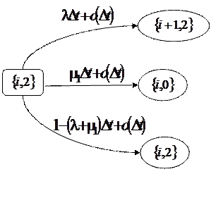
величина Рассмотрим вероятности переходов из состояния системы 1. Пусть система находится в состоянии а) с вероятностью б) с вероятностью в) с вероятностью 2. Пусть система в момент времени t
находится в состоянии а) с вероятностью б) с вероятностью в) с вероятностью система в момент времени г) с вероятностью 3. Пусть система в момент времени t
находится в состоянии а) с вероятностью б) с вероятностью в) с вероятностью Все остальные вероятности переходов не превышают порядка малости Процесс
в стационарном режиме удовлетворяет системе уравнений
4.1. Асимптотический анализ распределения вероятностей состояний сети Систему уравнений (4.1) будем решать асимптотическим методом марковизируемых систем [7] при Первое приближение В системе уравнений (4.1) сделаем следующие замены переменных:
Получим вид решения системы (4.2), которую будем решать в два этапа. 1 этап
.
Устремим
решение которой имеет вид
где Осталось найти вид функции 2 этап
.
В системе (4.2) все функции с аргументом
Сложив все уравнения системы, будем иметь
В полученном равенстве поделим левую и правую части на
Подставим в (4.7) функции
следовательно
где С – некоторая постоянная. Необходимо найти константу C.
Нетрудно заметить, что при х=0
выражение в фигурных скобках не положительно, следовательно Получим функцию
после преобразований это выражение принимает вид
Так как
где Если уравнение (4.10) имеет единственный корень Второе приближение Пусть уравнение (4.10) имеет единственный корень В новых обозначениях система (4.1) примет вид
Систему (4.11) будем решать в три этапа. 1 этап.
Устремим
решение которой имеет вид
где Найдем вид функции 2 этап.
Неизвестные функции
где
В системе уравнений (4.11) все функции с аргументом
В полученных формулах заменяем
Получим неоднородную линейную систему алгебраических уравнений относительно неизвестных функций
Заметим, что ранг соответствующей однородной системы равен двум. Следовательно, для того, чтобы решение системы (4.18) существовало, необходимо, чтобы ранг расширенной матрицы этой системы также равнялся двум, т.е. чтобы выполнялось следующее равенство
откуда следует, что
Чтобы показать равенство (4.20) воспользуемся определением для
Если предположить, что функция
3 этап.
В системе (4.11) все функции с аргументом
Сложив левые и правые части системы уравнений (4.23) получим
Чтобы сделать предельный переход в полученной формуле, нужно чтобы все слагаемые имели порядок
где
Решение уравнения (4.25) можно найти в виде
4.2. Численный метод анализа распределения вероятностей В редких случаях удается получить численное решение системы конечно-разностных уравнений для распределения случайного процесса Рассмотрим систему уравнений (4.1) и выпишем недостающие граничные условия для 1. Рассмотрим варианты того, как в момент времени а) пусть в момент времени б) пусть в момент времени 2. Рассмотрим варианты того, как в момент времени а) пусть в момент времени б) пусть в момент времени 3. Рассмотрим варианты того, как в момент времени а) пусть в момент времени б) пусть в момент времени Теперь можно записать конечно-разностные уравнения
которые в стационарном режиме принимают вид
Таким образом, для исследуемой системы мы имеем
![]() Кроме того, должно выполняться условие нормировки
Решение системы уравнений (4.30) – (4.32), удовлетворяющее условию нормировки (4.33) можно записать следующим образом
4.3. Определение области применимости асимптотических формул по результатам численного анализа Таким образом, исходная система уравнений (4.1), описывающая состояние исследуемой сети связи, была исследована численно и аналитически с использованием асимптотического метода. Численное решение дает точное решение системы, то есть позволяет точно определить распределение вероятностей Сравнение результатов численного и аналитического исследования для небольших N
продемонстрировано на рис. 4.2 и рис. 4.3. С ростом N
тенденция поведения исследуемого процесса Вероятностно-временные характеристики: 1.
или где Формула (4.35) используется при численном исследовании, при аналитическом исследовании используется формула (4.36). 2.
где 3.
4.
5.
6.
Рис. 4.2: Таблица 1. Вероятностно-временные характеристики
Рис. 4.4: Таблица 2. Вероятностно-временные характеристики
Рис. 4.6: Таблица 3. Вероятностно- временные характеристики для сети связи с параметрами
Таким образом, используя полученную информацию об исследовании системы, мы можем управлять ее функционированием, добиваясь нужных нам характеристик путем изменения параметров, влияющих на состояние системы. Численное исследование позволило установить следующее: в системе, построенной на основе протокола с оповещением о конфликте для конечного числа АС можно пренебречь различием предельной и допредельной моделей. Заключение В данной работе проведено исследование функционирования нестационарных сетей связи случайного доступа с оповещением о конфликте для конечного и бесконечного числа абонентских станций. Рассмотрен динамический и статический протокол случайного множественного доступа. В первом разделе проведено исследование нестационарной сети случайного доступа с динамическим протоколом в условиях большой загрузки. Определена точная верхняя граница загрузки сети, при которой существует стационарный режим. Исследование показало, что плотность распределения нормированного числа заявок в источнике повторных вызовов удовлетворяет уравнению Фоккера-Планка с постоянными коэффициентами. Предложен метод его решения с помощью преобразования Лапласа. Во втором разделе проведено исследование неоднородной нестационарной сети случайного доступа с динамическим протоколом в условиях перегрузки. В первом приближении получено асимптотическое среднее, во втором распределение отклонения в окрестности асимптотического среднего, которое удовлетворяет уравнению Фоккера-Планка с нулевым коэффициентом переноса и является нормальным. В третьем разделе проведено исследование нестационарной сети случайного доступа со статическим протоколом в условиях большой задержки. В первом приближении получено асимптотическое среднее, во втором распределение отклонения в окрестности асимптотического среднего, которое удовлетворяет уравнению Фоккера-Планка и является нормальным. Рассмотрены точки покоя. В четвертом разделе исследовано функционирование сети случайного множественного доступа с динамическим протоколом для конечного числа абонентских станций. В п. 4.1. изложены два этапа асимптотического анализа. На первом этапе удалось определить асимптотическую «предельную» точку, в окрестности которой «концентрируется» искомая плотность распределения вероятности, а на втором этапе – нашли распределение отклонения в окрестности «предельной» точки. На этом этапе получено асимптотически нормальное распределение, что является аналогом известных в теории вероятностей законов больших чисел и центральных предельных теорем. Особенностью рассматриваемой СМО, является то, что алгебраические уравнения, описывающие ее функционирование, имеют точное численное решение, которое изложено в п. 4.2. Поэтому в п. 4.3. проводится аналогия между численным и асимптотическим решением и определяется область применимости асимптотических формул. Список использованной литературы 1. Радюк Л.Е., Терпугов А. Ф. Теория вероятностей и случайных процессов – учебное пособие. Томск: Издательство Томского университета, 1988. 2. Гнеденко Б. В., Коваленко И. Н. Введение в теорию массового обслуживания. М: Наука, 1987. 3. Клейнрок Л. Вычислительные системы с очередями. М: Мир, 1979. 4. Кениг Д., Штоян Д. Методы теории массового обслуживания. М: Радио и связь, 1981. 5. Боровков А. А. Асимптотические методы в теории массового обслуживания. М: Наука, 1980. 6. Гихман И. И., Скороход А. В. Стохастические дифференциальные уравнения. Киев: Наукова думка, 1968. 7. Назаров А. А. Асимптотический анализ марковизируемых систем. Томск: Издательство Томского университета, 1991. 8. Араманович И. Г., Левин В. И. Уравнения математической физики. М: Наука, 1969. 9. Саати Т. Л. Элементы теории массового обслуживания и ее приложения .М: Советское радио, 1971. 10. Климов Г.П. Стохастические системы обслуживания. М: Наука, 1966. 11. Ги К . Введение в локальные вычислительные сети. М: Радио и связь, 1986. 12. Бертсекас Д., Галлагер Р . Сети передачи данных. М: Мир, 1989. 13. Баруча-Рид А. Т. Элементы теории марковских процессов и их приложения. М: Наука, 1969. 14. Шохор С. Л. Математические модели локальных вычислительных сетей с динамическими протоколами случайного множественного доступа и их исследование//Автореферат диссертации. Томск, 2001. 15. Одышев Ю. Д. Исследование сетей связи, управляемых протоколом случайного множественного доступа «Адаптивная АЛОХА»//Автореферат диссертации. Томск, 2001. 16. Туенбаева А. Н. Исследование математических моделей сетей связи со статическими протоколами случайного множественного доступа//Автореферат диссертации. Томск, 2001. |
|||||||||||||||||||||||||||||||||||||||||||||||||||||||||||||||||||||||||||||||||||||||||||||||||||||||||||||||||||||||||||||||||||||||||||||||||||||||||||||||||||||||||||||||||||||||||||||||||||||||||||||||||||||||||||||||||||||||






,



и получим
.
(1.5)
(1.9)

,
.
(1.14)


(1.15)

(1.16)
, (1.17)
и свойств этой функции уравнение (1.17) приобретет вид
(1.18)
(1.19)
(1.20)
(1.21)



(2.1)
,
,
.
и получим
(2.4)
(2.5)
,
, тогда 
, (2.10)
. Возьмем в качестве начальной плотности распределения
, из свойств функции Дирака следует, что
.
. С учетом этого система (2.1) примет вид 
(2.11)
и выразим через нее 
(2.13)

(2.15)
,
, (2.16)
(2.17)
,
(2.18)
(2.19)
(2.20)
, (2.21)
. (2.22)




Рис. 3.3 – Возможные переходы из состояния 

(3.4)
(3.5)

(3.10)

– асимптотическое распределение нормированного числа заявок в источнике повторных вызовов в окрестности асимптотического среднего.
(3.13)
,
, (3.14)
. Из уравнения Фоккера-Планка (3.9) мы знаем, что
(3.15)

(3.16)
(3.17)
(3.18)
и коэффициентом диффузии
. Тогда
.
(3.22)
(3.23)


(3.24)
(3.25)
.
, (3.27)


состояние системы не изменится.
состояние системы не изменится.
состояние системы не изменится.
(4.1)
(4.2)
(4.3)
(4.4)
– асимптотическая плотность распределения вероятностей нормированного числа заявок в ИПВ.
(4.5)
(4.8)
(4.9)
. Этим условиям удовлетворяет лишь функция вида
,
.
(4.11)
(4.12)
(4.13)
– плотность распределения нормированной величины
(4.15)
(4.16)
(4.17)
(4.18)
(4.21)
(4.22)
(4.23)
(4.24)
(4.25)
(4.26)
(4.27)
за время
(4.28)
, (4.29)
(4.30)
(4.31)
(4.33)
(4.34)
(4.35)
, (4.37)
. (4.38)
. (4.39)
(4.41)



