МИНИСТЕРСТВО ОБРАЗОВАНИЯ И НАУКИ РОССИЙСКОЙ ФЕДЕРАЦИИ
ВСЕРОССИЙСКИЙ ЗАОЧНЫЙ ФИНАНСОВО-ЭКОНОМИЧЕСКИЙ ИНСТИТУТ
КОНТРОЛЬНАЯ РАБОТА №1
По дисциплине: эконометрика
Вариант №1
Выполнил:
студент БУ,А и А
курс 3 2/в
Проверил: проф.
Сахабетдинов М.А.
Уфа – 2008
ЗАДАЧА 1. Экономическое моделирование стоимости квартир в Московской области.
1. Рассчитайте матрицу парных коэффициентов корреляции; оцените статистическую значимость коэффициентов корреляции.
2. Постройте поле корреляции результативного признака и наиболее тесно связанного с ним фактора.
3. Рассчитайте параметры линейной парной регрессии для всех факторов X.
4. Оцените качество каждой модели через коэффициент детерминации, среднюю ошибку аппроксимации и F-критерий Фишера. Выберите лучшую модель.
5. Осуществите прогнозирование для лучшей модели среднего значения показателя У при уровне значимости а = 0.1, если прогнозное значение фактора Х составит 80% от его максимального значения. Представьте графически: фактические и модельные значения, точки прогноза.
6. Используя пошаговую множественную регрессию (метод исключения или метод включения), постройте модель формирования цены квартиры за счет значимых факторов. Дайте экономическую интерпретацию коэффициентов модели регрессии.
7. Оцените качество построенной модели. Улучшилось ли качество модели по сравнению с однофакторной моделью? Дайте оценку влияния значимых факторов на результат с помощью коэффициентов эластичности, β- и ∆-коэффициентов.
Обозначения
У – цена квартиры, тыс. долл.
Х1 – город области
Х3 – общая площадь квартиры, кв.м.
Х5 – этаж квартиры
Данные:
| n
|
У
|
Х1
|
Х3
|
Х5
|
| 1 |
115 |
0 |
70,4 |
9 |
| 2 |
85 |
1 |
82,8 |
5 |
| 3 |
69 |
1 |
64,5 |
6 |
| 4 |
57 |
1 |
55,1 |
1 |
| 5 |
184,6 |
0 |
83,9 |
1 |
| 6 |
56 |
1 |
32,2 |
2 |
| 7 |
85 |
0 |
65 |
12 |
| 8 |
265 |
0 |
169,5 |
10 |
| 9 |
60,65 |
1 |
74 |
11 |
| 10 |
130 |
0 |
87 |
6 |
| 11 |
46 |
1 |
44 |
2 |
| 12 |
115 |
0 |
60 |
2 |
| 13 |
70,96 |
0 |
65,7 |
5 |
| 14 |
39,5 |
1 |
42 |
7 |
| 15 |
78,9 |
0 |
49,3 |
14 |
| 16 |
60 |
1 |
64,5 |
11 |
| 17 |
100 |
1 |
93,8 |
1 |
| 18 |
51 |
1 |
64 |
6 |
| 19 |
157 |
0 |
98 |
2 |
| 20 |
123,5 |
1 |
107,5 |
12 |
| 21 |
55,2 |
0 |
48 |
9 |
| 22 |
95,5 |
1 |
80 |
6 |
| 23 |
57,6 |
0 |
63,9 |
5 |
| 24 |
64,5 |
1 |
58,1 |
10 |
| 25 |
92 |
1 |
83 |
9 |
| 26 |
100 |
1 |
73,4 |
2 |
| 27 |
81 |
0 |
45,5 |
3 |
| 28 |
65 |
1 |
32 |
5 |
| 29 |
110 |
0 |
65,2 |
10 |
| 30 |
42,1 |
1 |
40,3 |
13 |
| 31 |
135 |
0 |
72 |
12 |
| 32 |
39,6 |
1 |
36 |
5 |
| 33 |
57 |
1 |
61,6 |
8 |
| 34 |
80 |
0 |
35,5 |
4 |
| 35 |
61 |
1 |
58,1 |
10 |
| 36 |
69,6 |
1 |
83 |
4 |
| 37 |
250 |
1 |
152 |
15 |
| 38 |
64,5 |
1 |
64,5 |
12 |
| 39 |
125 |
0 |
54 |
8 |
| 40 |
152,3 |
0 |
89 |
7 |
| Сумма
|
3746,0
|
23,0
|
2768,3
|
282,0
|
| Ср.знач.
|
93,7
|
0,58
|
69,2
|
7,1
|
Задание 1.
Рассчитайте матрицу парных коэффициентов корреляции; оцените статистическую значимость коэффициентов корреляции.
| n
|
У2
|
Х12
|
Х32
|
Х52
|
У * Х1
|
У * Х3
|
У * Х5
|
X1* X3
|
X1 * X5
|
X3 * X5
|
| 1 |
13225 |
0 |
4956 |
81 |
0 |
8096 |
1035 |
0 |
0 |
633,6 |
| 2 |
7225 |
1 |
6856 |
25 |
85 |
7038 |
425 |
82,8 |
5 |
414 |
| 3 |
4761 |
1 |
4160 |
36 |
69 |
4451 |
414 |
64,5 |
6 |
387 |
| 4 |
3249 |
1 |
3036 |
1 |
57 |
3141 |
57 |
55,1 |
1 |
55,1 |
| 5 |
34077 |
0 |
7039 |
1 |
0 |
15488 |
185 |
0 |
0 |
83,9 |
| 6 |
3136 |
1 |
1037 |
4 |
56 |
1803 |
112 |
32,2 |
2 |
64,4 |
| 7 |
7225 |
0 |
4225 |
144 |
0 |
5525 |
1020 |
0 |
0 |
780 |
| 8 |
70225 |
0 |
28730 |
100 |
0 |
44918 |
2650 |
0 |
0 |
1695 |
| 9 |
3678 |
1 |
5476 |
121 |
61 |
4488 |
667 |
74 |
11 |
814 |
| 10 |
16900 |
0 |
7569 |
36 |
0 |
11310 |
780 |
0 |
0 |
522 |
| 11 |
2116 |
1 |
1936 |
4 |
46 |
2024 |
92 |
44 |
2 |
88 |
| 12 |
13225 |
0 |
3600 |
4 |
0 |
6900 |
230 |
0 |
0 |
120 |
| 13 |
5035 |
0 |
4316 |
25 |
0 |
4662 |
355 |
0 |
0 |
328,5 |
| 14 |
1560 |
1 |
1764 |
49 |
40 |
1659 |
277 |
42 |
7 |
294 |
| 15 |
6225 |
0 |
2430 |
196 |
0 |
3890 |
1105 |
0 |
0 |
690,2 |
| 16 |
3600 |
1 |
4160 |
121 |
60 |
3870 |
660 |
64,5 |
11 |
709,5 |
| 17 |
10000 |
1 |
8798 |
1 |
100 |
9380 |
100 |
93,8 |
1 |
93,8 |
| 18 |
2601 |
1 |
4096 |
36 |
51 |
3264 |
306 |
64 |
6 |
384 |
| 19 |
24649 |
0 |
9604 |
4 |
0 |
15386 |
314 |
0 |
0 |
196 |
| 20 |
15252 |
1 |
11556 |
144 |
124 |
13276 |
1482 |
107,5 |
12 |
1290 |
| 21 |
3047 |
0 |
2304 |
81 |
0 |
2650 |
497 |
0 |
0 |
432 |
| 22 |
9120 |
1 |
6400 |
36 |
96 |
7640 |
573 |
80 |
6 |
480 |
| 23 |
3318 |
0 |
4083 |
25 |
0 |
3681 |
288 |
0 |
0 |
319,5 |
| 24 |
4160 |
1 |
3376 |
100 |
65 |
3747 |
645 |
58,1 |
10 |
581 |
| 25 |
8464 |
1 |
6889 |
81 |
92 |
7636 |
828 |
83 |
9 |
747 |
| 26 |
10000 |
1 |
5388 |
4 |
100 |
7340 |
200 |
73,4 |
2 |
146,8 |
| 27 |
6561 |
0 |
2070 |
9 |
0 |
3686 |
243 |
0 |
0 |
136,5 |
| 28 |
4225 |
1 |
1024 |
25 |
65 |
2080 |
325 |
32 |
5 |
160 |
| 29 |
12100 |
0 |
4251 |
100 |
0 |
7172 |
1100 |
0 |
0 |
652 |
| 30 |
1772 |
1 |
1624 |
169 |
42 |
1697 |
547 |
40,3 |
13 |
523,9 |
| 31 |
18225 |
0 |
5184 |
144 |
0 |
9720 |
1620 |
0 |
0 |
864 |
| 32 |
1568 |
1 |
1296 |
25 |
40 |
1426 |
198 |
36 |
5 |
180 |
| 33 |
3249 |
1 |
3795 |
64 |
57 |
3511 |
456 |
61,6 |
8 |
492,8 |
| 34 |
6400 |
0 |
1260 |
16 |
0 |
2840 |
320 |
0 |
0 |
142 |
| 35 |
3721 |
1 |
3376 |
100 |
61 |
3544 |
610 |
58,1 |
10 |
581 |
| 36 |
4844 |
1 |
6889 |
16 |
70 |
5777 |
278 |
83 |
4 |
332 |
| 37 |
62500 |
1 |
23104 |
225 |
250 |
38000 |
3750 |
152 |
15 |
2280 |
| 38 |
4160 |
1 |
4160 |
144 |
65 |
4160 |
774 |
64,5 |
12 |
774 |
| 39 |
15625 |
0 |
2916 |
64 |
0 |
6750 |
1000 |
0 |
0 |
432 |
| 40 |
23195 |
0 |
7921 |
49 |
0 |
13555 |
1066 |
0 |
0 |
623 |
| Сумма
|
454221
|
23
|
222656
|
2610
|
1748
|
307179
|
27583
|
1546
|
163
|
20523
|
| Ср.знач.
|
11355,5
|
0,58
|
5566,4
|
65,3
|
43,7
|
7679,5
|
689,6
|
38,7
|
4,1
|
513,1
|
Расчет среднеквадратических отклонений:

1. Расчет парных коэффициентов корреляции произведем по формуле:

связь между У и Х1 заметная, т.к. 0,3 < rух1
< 0,7.
связь между У и Х3 заметная, т.к. 0,3 < rух3
< 0,7.
связь между У и Х5 тесная, т.к. 0,7 < rух5
< 0,9.
связь между Х1 и Х3 слабая, т.к. 0,1 < rх1х3
< 0,3.
связь между Х1 и Х5 слабая, т.к. 0,1 < rх1х5
< 0,3.
связь между Х3 и Х5 весьма тесная, т.к. 0,9 < rх3х5
< 0,99.
Матрица парных коэффициентов корреляции:
 1 rуx1
rуx2
rуx3
А =rуx1
1 rx1x2
rx1x3
rуx2
rx1x2
1rx2x3
rуx3
rx1x3
rx2x3
1
 
1 -0,403 0,846 0,146
А = -0,403 1 -0,082 0,011
0,846 -0,082 1 0,229
0,146 0,011 0,229 1
Используя функцию "Корреляция" в арсенале M. Excel, рассчитаем матрицу автоматически:
| У
|
Х1
|
Х3
|
Х5
|
| У
|
1 |
| Х1
|
-0,403 |
1 |
| Х3
|
0,846 |
-0,082 |
1 |
| Х5
|
0,146 |
0,011 |
0,229 |
1 |
Построим матрицу t - статистики парных коэффициентов корреляции, вычисленная по формуле:
Табличное значение t- критерия при 5% уровне значимости и степени свободы k = 40 – 1 – 1 = 38 составляет 2,03.
Если tухj
> 2.03 => коэффициент корреляции между факторами у и хj статистически значим.
> 2,03 → коэф-т корреляции между факторами у и х1 значим.
> 2,03 → коэф-т корреляции между факторами у и х3 значим.
< 2,03 → коэф-т корреляции между факторами у и х5 незначим.
Очевидно, что наиболее сильная корреляция (связь) имеется между У - Х3.
Рассмотрим матрицу парных коэффициентов корреляции между факторами Хj. В нашем случае, явление сильной мультиколлинеарности наблюдается между факторами: Х1 – Х3, где rx1x3
> 0,8.
Задание 2.
Постройте поле корреляции результативного признака и наиболее тесно связанного с ним фактора.

Задание 3 - 4.
Рассчитайте параметры линейной парной регрессии для всех факторов X.
1. Линейная модель: y^ = a + b * x1.
Составим таблицу исходных и расчетных данных:
| t
|
y
|
x1
|
x*x
|
y*x
|
у * у
|
(y - yср)2
|
(x1
- xср)2
|
y^
|
(y - y^)2
|
E
,
% |
| 1 |
115 |
0 |
0 |
0 |
13225,0 |
455,8 |
0,3 |
117,5 |
6,3 |
2,2 |
| 2 |
85 |
1 |
1 |
85 |
7225,0 |
74,8 |
0,2 |
76,0 |
80,6 |
10,6 |
| 3 |
69 |
1 |
1 |
69 |
4761,0 |
607,6 |
0,2 |
76,0 |
49,3 |
10,2 |
| 4 |
57 |
1 |
1 |
57 |
3249,0 |
1343,2 |
0,2 |
76,0 |
361,7 |
33,4 |
| 5 |
184,6 |
0 |
0 |
0 |
34077,2 |
8271,9 |
0,3 |
117,5 |
4501,9 |
36,3 |
| 6 |
56 |
1 |
1 |
56 |
3136,0 |
1417,5 |
0,2 |
76,0 |
400,8 |
35,7 |
| 7 |
85 |
0 |
0 |
0 |
7225,0 |
74,8 |
0,3 |
117,5 |
1056,5 |
38,2 |
| 8 |
265 |
0 |
0 |
0 |
70225,0 |
29360,8 |
0,3 |
117,5 |
21755,2 |
55,7 |
| 9 |
60,65 |
1 |
1 |
60,65 |
3678,4 |
1089,0 |
0,2 |
76,0 |
236,2 |
25,3 |
| 10 |
130 |
0 |
0 |
0 |
16900,0 |
1321,3 |
0,3 |
117,5 |
156,2 |
9,6 |
| 11 |
46 |
1 |
1 |
46 |
2116,0 |
2270,5 |
0,2 |
76,0 |
901,2 |
65,3 |
| 12 |
115 |
0 |
0 |
0 |
13225,0 |
455,8 |
0,3 |
117,5 |
6,3 |
2,2 |
| 13 |
70,96 |
0 |
0 |
0 |
5035,3 |
514,8 |
0,3 |
117,5 |
2166,3 |
65,6 |
| 14 |
39,5 |
1 |
1 |
39,5 |
1560,3 |
2932,2 |
0,2 |
76,0 |
1333,7 |
92,5 |
| 15 |
78,9 |
0 |
0 |
0 |
6225,2 |
217,6 |
0,3 |
117,5 |
1490,2 |
48,9 |
| 16 |
60 |
1 |
1 |
60 |
3600,0 |
1132,3 |
0,2 |
76,0 |
256,6 |
26,7 |
| 17 |
100 |
1 |
1 |
100 |
10000,0 |
40,3 |
0,2 |
76,0 |
575,1 |
24,0 |
| 18 |
51 |
1 |
1 |
51 |
2601,0 |
1819,0 |
0,2 |
76,0 |
626,0 |
49,1 |
| 19 |
157 |
0 |
0 |
0 |
24649,0 |
4013,2 |
0,3 |
117,5 |
1560,0 |
25,2 |
| 20 |
123,5 |
1 |
1 |
123,5 |
15252,3 |
891,0 |
0,2 |
76,0 |
2254,4 |
38,4 |
| 21 |
55,2 |
0 |
0 |
0 |
3047,0 |
1478,4 |
0,3 |
117,5 |
3881,7 |
112,9 |
| 22 |
95,5 |
1 |
1 |
95,5 |
9120,3 |
3,4 |
0,2 |
76,0 |
379,5 |
20,4 |
| 23 |
57,6 |
0 |
0 |
0 |
3317,8 |
1299,6 |
0,3 |
117,5 |
3588,4 |
104,0 |
| 24 |
64,5 |
1 |
1 |
64,5 |
4160,3 |
849,7 |
0,2 |
76,0 |
132,7 |
17,9 |
| 25 |
92 |
1 |
1 |
92 |
8464,0 |
2,7 |
0,2 |
76,0 |
255,4 |
17,4 |
| 26 |
100 |
1 |
1 |
100 |
10000,0 |
40,3 |
0,2 |
76,0 |
575,1 |
24,0 |
| 27 |
81 |
0 |
0 |
0 |
6561,0 |
160,0 |
0,3 |
117,5 |
1332,5 |
45,1 |
| 28 |
65 |
1 |
1 |
65 |
4225,0 |
820,8 |
0,2 |
76,0 |
121,4 |
17,0 |
| 29 |
110 |
0 |
0 |
0 |
12100,0 |
267,3 |
0,3 |
117,5 |
56,3 |
6,8 |
| 30 |
42,1 |
1 |
1 |
42,1 |
1772,4 |
2657,4 |
0,2 |
76,0 |
1150,5 |
80,6 |
| 31 |
135 |
0 |
0 |
0 |
18225,0 |
1709,8 |
0,3 |
117,5 |
306,1 |
13,0 |
| 32 |
39,6 |
1 |
1 |
39,6 |
1568,2 |
2921,4 |
0,2 |
76,0 |
1326,4 |
92,0 |
| 33 |
57 |
1 |
1 |
57 |
3249,0 |
1343,2 |
0,2 |
76,0 |
361,7 |
33,4 |
| 34 |
80 |
0 |
0 |
0 |
6400,0 |
186,3 |
0,3 |
117,5 |
1406,5 |
46,9 |
| 35 |
61 |
1 |
1 |
61 |
3721,0 |
1066,0 |
0,2 |
76,0 |
225,6 |
24,6 |
| 36 |
69,6 |
1 |
1 |
69,6 |
4844,2 |
578,4 |
0,2 |
76,0 |
41,2 |
9,2 |
| 37 |
250 |
1 |
1 |
250 |
62500,0 |
24445,3 |
0,2 |
76,0 |
30269,2 |
69,6 |
| 38 |
64,5 |
1 |
1 |
64,5 |
4160,3 |
849,7 |
0,2 |
76,0 |
132,7 |
17,9 |
| 39 |
125 |
0 |
0 |
0 |
15625,0 |
982,8 |
0,3 |
117,5 |
56,2 |
6,0 |
| 40 |
152,3 |
0 |
0 |
0 |
23195,3 |
3439,8 |
0,3 |
117,5 |
1210,8 |
22,8 |
| сумма |
3746
|
23
|
23
|
1748
|
454221
|
103406,4 |
9,8 |
3746
|
86584
|
1476,2
|
| ср.зн. |
93,65 |
0,58 |
0,58 |
43,71 |
11355,53 |
2585,16 |
0,2 |
93,65 |
2164,61 |
36,9 |
Найдем параметры уравнения линейной регрессии:

Итак, у^ = 117,50 + (-41,48)*Х1
Рассчитаем коэффицент детерминации:

Оценим значимость уравнения регрессии с помощью F-критерия Фишера:
Fтабл = 4,40 (для a = 0,05; k1 = m = 1; k2 = n - m - 1 = 40 - 1 - 1 = 38)
Т.к. F > Fтабл, то с вероятностью 95% данное уравнение регрессии значимо
Рассчитаем среднюю ошибку аппроксимации:
В среднем расчетные значения y* отличаются от фактических значений y на 36,9 %.
2. Линейная модель: y^ = a + b * x3.
Составим таблицу исходных и расчетных данных:
| t
|
y
|
x3
|
x*x
|
y*x
|
у * у
|
(y - yср)2
|
(x - xср)2
|
y^
|
(y - y^)2
|
E, %
|
| 1 |
115 |
70,4 |
4956,16 |
8096 |
13225,0 |
455,8 |
1,3 |
95,5 |
380,6 |
17,0 |
| 2 |
85 |
82,8 |
6855,84 |
7038 |
7225,0 |
74,8 |
183,9 |
114,6 |
877,2 |
34,8 |
| 3 |
69 |
64,5 |
4160,25 |
4450,5 |
4761,0 |
607,6 |
22,5 |
86,4 |
302,4 |
25,2 |
| 4 |
57 |
55,1 |
3036,01 |
3140,7 |
3249,0 |
1343,2 |
199,9 |
71,9 |
221,7 |
26,1 |
| 5 |
184,6 |
83,9 |
7039,21 |
15487,94 |
34077,2 |
8271,9 |
214,9 |
116,3 |
4662,9 |
37,0 |
| 6 |
56 |
32,2 |
1036,84 |
1803,2 |
3136,0 |
1417,5 |
1372,0 |
36,6 |
377,8 |
34,7 |
| 7 |
85 |
65 |
4225 |
5525 |
7225,0 |
74,8 |
18,0 |
87,2 |
4,7 |
2,5 |
| 8 |
265 |
169,5 |
28730,25 |
44917,5 |
70225,0 |
29360,8 |
10052,1 |
248,4 |
276,9 |
6,3 |
| 9 |
60,65 |
74 |
5476 |
4488,1 |
3678,4 |
1089,0 |
22,7 |
101,0 |
1631,6 |
66,6 |
| 10 |
130 |
87 |
7569 |
11310 |
16900,0 |
1321,3 |
315,4 |
121,1 |
79,3 |
6,8 |
| 11 |
46 |
44 |
1936 |
2024 |
2116,0 |
2270,5 |
637,1 |
54,8 |
76,8 |
19,1 |
| 12 |
115 |
60 |
3600 |
6900 |
13225,0 |
455,8 |
85,4 |
79,4 |
1264,0 |
30,9 |
| 13 |
70,96 |
65,7 |
4316,49 |
4662,072 |
5035,3 |
514,8 |
12,5 |
88,2 |
298,6 |
24,4 |
| 14 |
39,5 |
42 |
1764 |
1659 |
1560,3 |
2932,2 |
742,0 |
51,7 |
148,4 |
30,8 |
| 15 |
78,9 |
49,3 |
2430,49 |
3889,77 |
6225,2 |
217,6 |
397,6 |
62,9 |
254,7 |
20,2 |
| 16 |
60 |
64,5 |
4160,25 |
3870 |
3600,0 |
1132,3 |
22,5 |
86,4 |
696,4 |
44,0 |
| 17 |
100 |
93,8 |
8798,44 |
9380 |
10000,0 |
40,3 |
603,2 |
131,6 |
997,7 |
31,6 |
| 18 |
51 |
64 |
4096 |
3264 |
2601,0 |
1819,0 |
27,5 |
85,6 |
1198,4 |
67,9 |
| 19 |
157 |
98 |
9604 |
15386 |
24649,0 |
4013,2 |
827,1 |
138,1 |
358,5 |
12,1 |
| 20 |
123,5 |
107,5 |
11556,25 |
13276,25 |
15252,3 |
891,0 |
1463,8 |
152,7 |
853,8 |
23,7 |
| 21 |
55,2 |
48 |
2304 |
2649,6 |
3047,0 |
1478,4 |
451,1 |
60,9 |
32,9 |
10,4 |
| 22 |
95,5 |
80 |
6400 |
7640 |
9120,3 |
3,4 |
115,8 |
110,3 |
219,0 |
15,5 |
| 23 |
57,6 |
63,9 |
4083,21 |
3680,64 |
3317,8 |
1299,6 |
28,5 |
85,5 |
776,3 |
48,4 |
| 24 |
64,5 |
58,1 |
3375,61 |
3747,45 |
4160,3 |
849,7 |
124,1 |
76,5 |
144,4 |
18,6 |
| 25 |
92 |
83 |
6889 |
7636 |
8464,0 |
2,7 |
189,3 |
114,9 |
525,6 |
24,9 |
| 26 |
100 |
73,4 |
5387,56 |
7340 |
10000,0 |
40,3 |
17,3 |
100,1 |
0,0 |
0,1 |
| 27 |
81 |
45,5 |
2070,25 |
3685,5 |
6561,0 |
160,0 |
563,6 |
57,1 |
572,2 |
29,5 |
| 28 |
65 |
32 |
1024 |
2080 |
4225,0 |
820,8 |
1386,8 |
36,3 |
826,3 |
44,2 |
| 29 |
110 |
65,2 |
4251,04 |
7172 |
12100,0 |
267,3 |
16,3 |
87,5 |
507,7 |
20,5 |
| 30 |
42,1 |
40,3 |
1624,09 |
1696,63 |
1772,4 |
2657,4 |
837,5 |
49,1 |
48,4 |
16,5 |
| 31 |
135 |
72 |
5184 |
9720 |
18225,0 |
1709,8 |
7,6 |
98,0 |
1372,1 |
27,4 |
| 32 |
39,6 |
36 |
1296 |
1425,6 |
1568,2 |
2921,4 |
1104,9 |
42,4 |
8,0 |
7,1 |
| 33 |
57 |
61,6 |
3794,56 |
3511,2 |
3249,0 |
1343,2 |
58,4 |
81,9 |
620,8 |
43,7 |
| 34 |
80 |
35,5 |
1260,25 |
2840 |
6400,0 |
186,3 |
1138,4 |
41,7 |
1470,5 |
47,9 |
| 35 |
61 |
58,1 |
3375,61 |
3544,1 |
3721,0 |
1066,0 |
124,1 |
76,5 |
240,7 |
25,4 |
| 36 |
69,6 |
83 |
6889 |
5776,8 |
4844,2 |
578,4 |
189,3 |
114,9 |
2054,5 |
65,1 |
| 37 |
250 |
152 |
23104 |
38000 |
62500,0 |
24445,3 |
6849,2 |
221,4 |
819,9 |
11,5 |
| 38 |
64,5 |
64,5 |
4160,25 |
4160,25 |
4160,3 |
849,7 |
22,5 |
86,4 |
479,1 |
33,9 |
| 39 |
125 |
54 |
2916 |
6750 |
15625,0 |
982,8 |
232,3 |
70,2 |
3004,0 |
43,8 |
| 40 |
152,3 |
89 |
7921 |
13554,7 |
23195,3 |
3439,8 |
390,5 |
124,2 |
790,6 |
18,5 |
| сумма |
3746
|
2768
|
222656
|
307179
|
454221
|
103406
|
31068,8 |
3746
|
29475
|
1114,8
|
| ср.зн. |
93,65 |
69,21 |
5566,40 |
7679,46 |
11355,53 |
2585,16 |
776,72 |
93,65 |
736,88 |
27,9 |
Найдем параметры уравнения линейной регрессии:

Итак: у^ = -13.11 + 1.54 * х3
Рассчитаем коэффицент детерминации:

Можно сказать, что вариация признака Y на 90,3% объясняется вариацией признака X3.
Оценим значимость уравнения регрессии с помощью F - критерия Фишера:

Fтабл = 4,40 (для a = 0,05; k1 = m = 1; k2 = n - m - 1 = 40 - 1 - 1 = 38).
Т.к. F > Fтабл, то с вероятностью 95% данное уравнение регрессии значимо.
Рассчитаем среднюю ошибку аппроксимации:

В среднем расчетные значения y* отличаются от фактических значений y на 27,9 %.
3. Линейная модель: y^ = a + b * x5
Составим таблицу исходных и расчетных данных:
| t
|
y
|
x5
|
x*x
|
y*x
|
у * у
|
(y – yср
)2
|
(x – xср
)2
|
y^
|
(y - y^)2
|
E, %
|
| 1 |
115 |
9 |
81 |
1035 |
13225,0 |
455,8 |
3,8 |
97,3 |
312,2 |
15,4 |
| 2 |
85 |
5 |
25 |
425 |
7225,0 |
74,8 |
4,2 |
89,8 |
22,9 |
5,6 |
| 3 |
69 |
6 |
36 |
414 |
4761,0 |
607,6 |
1,1 |
91,7 |
513,9 |
32,9 |
| 4 |
57 |
1 |
1 |
57 |
3249,0 |
1343,2 |
36,6 |
82,2 |
636,6 |
44,3 |
| 5 |
184,6 |
1 |
1 |
184,6 |
34077,2 |
8271,9 |
36,6 |
82,2 |
10479,5 |
55,5 |
| 6 |
56 |
2 |
4 |
112 |
3136,0 |
1417,5 |
25,5 |
84,1 |
790,6 |
50,2 |
| 7 |
85 |
12 |
144 |
1020 |
7225,0 |
74,8 |
24,5 |
103,0 |
323,8 |
21,2 |
| 8 |
265 |
10 |
100 |
2650 |
70225,0 |
29360,8 |
8,7 |
99,2 |
27483,5 |
62,6 |
| 9 |
60,65 |
11 |
121 |
667,15 |
3678,4 |
1089,0 |
15,6 |
101,1 |
1636,7 |
66,7 |
| 10 |
130 |
6 |
36 |
780 |
16900,0 |
1321,3 |
1,1 |
91,7 |
1469,3 |
29,5 |
| 11 |
46 |
2 |
4 |
92 |
2116,0 |
2270,5 |
25,5 |
84,1 |
1453,0 |
82,9 |
| 12 |
115 |
2 |
4 |
230 |
13225,0 |
455,8 |
25,5 |
84,1 |
953,7 |
26,9 |
| 13 |
70,96 |
5 |
25 |
354,8 |
5035,3 |
514,8 |
4,2 |
89,8 |
354,2 |
26,5 |
| 14 |
39,5 |
7 |
49 |
276,5 |
1560,3 |
2932,2 |
0,0 |
93,6 |
2922,0 |
136,9 |
| 15 |
78,9 |
14 |
196 |
1104,6 |
6225,2 |
217,6 |
48,3 |
106,8 |
776,7 |
35,3 |
| 16 |
60 |
11 |
121 |
660 |
3600,0 |
1132,3 |
15,6 |
101,1 |
1689,7 |
68,5 |
| 17 |
100 |
1 |
1 |
100 |
10000,0 |
40,3 |
36,6 |
82,2 |
315,8 |
17,8 |
| 18 |
51 |
6 |
36 |
306 |
2601,0 |
1819,0 |
1,1 |
91,7 |
1653,9 |
79,7 |
| 19 |
157 |
2 |
4 |
314 |
24649,0 |
4013,2 |
25,5 |
84,1 |
5311,8 |
46,4 |
| 20 |
123,5 |
12 |
144 |
1482 |
15252,3 |
891,0 |
24,5 |
103,0 |
420,5 |
16,6 |
| 21 |
55,2 |
9 |
81 |
496,8 |
3047,0 |
1478,4 |
3,8 |
97,3 |
1775,0 |
76,3 |
| 22 |
95,5 |
6 |
36 |
573 |
9120,3 |
3,4 |
1,1 |
91,7 |
14,7 |
4,0 |
| 23 |
57,6 |
5 |
25 |
288 |
3317,8 |
1299,6 |
4,2 |
89,8 |
1035,6 |
55,9 |
| 24 |
64,5 |
10 |
100 |
645 |
4160,3 |
849,7 |
8,7 |
99,2 |
1205,4 |
53,8 |
| 25 |
92 |
9 |
81 |
828 |
8464,0 |
2,7 |
3,8 |
97,3 |
28,4 |
5,8 |
| 26 |
100 |
2 |
4 |
200 |
10000,0 |
40,3 |
25,5 |
84,1 |
252,2 |
15,9 |
| 27 |
81 |
3 |
9 |
243 |
6561,0 |
160,0 |
16,4 |
86,0 |
25,1 |
6,2 |
| 28 |
65 |
5 |
25 |
325 |
4225,0 |
820,8 |
4,2 |
89,8 |
614,1 |
38,1 |
| 29 |
110 |
10 |
100 |
1100 |
12100,0 |
267,3 |
8,7 |
99,2 |
116,2 |
9,8 |
| 30 |
42,1 |
13 |
169 |
547,3 |
1772,4 |
2657,4 |
35,4 |
104,9 |
3941,5 |
149,1 |
| 31 |
135 |
12 |
144 |
1620 |
18225,0 |
1709,8 |
24,5 |
103,0 |
1024,4 |
23,7 |
| 32 |
39,6 |
5 |
25 |
198 |
1568,2 |
2921,4 |
4,2 |
89,8 |
2518,1 |
126,7 |
| 33 |
57 |
8 |
64 |
456 |
3249,0 |
1343,2 |
0,9 |
95,4 |
1477,9 |
67,4 |
| 34 |
80 |
4 |
16 |
320 |
6400,0 |
186,3 |
9,3 |
87,9 |
62,3 |
9,9 |
| 35 |
61 |
10 |
100 |
610 |
3721,0 |
1066,0 |
8,7 |
99,2 |
1460,7 |
62,7 |
| 36 |
69,6 |
4 |
16 |
278,4 |
4844,2 |
578,4 |
9,3 |
87,9 |
334,6 |
26,3 |
| 37 |
250 |
15 |
225 |
3750 |
62500,0 |
24445,3 |
63,2 |
108,7 |
19978,0 |
56,5 |
| 38 |
64,5 |
12 |
144 |
774 |
4160,3 |
849,7 |
24,5 |
103,0 |
1481,8 |
59,7 |
| 39 |
125 |
8 |
64 |
1000 |
15625,0 |
982,8 |
0,9 |
95,4 |
873,6 |
23,6 |
| 40 |
152,3 |
7 |
49 |
1066,1 |
23195,3 |
3439,8 |
0,0 |
93,6 |
3450,9 |
38,6 |
| сумма
|
3746
|
282
|
2610
|
27583
|
454221
|
103406
|
75597,5 |
3746
|
101191
|
1831,2
|
| ср.зн. |
93,65 |
7,05 |
65,25 |
689,58 |
11355,53 |
2585,16 |
1889,94 |
93,65 |
2529,77 |
45,8 |
Найдем параметры уравнения линейной регрессии:

Итак, у^ = 80,34 + 1,89 * х5.
Расcчитаем коэффициент детерминации:

Можно сказать, что вариация признака Y на 60,7% объясняется вариацией признака X5.
Оценим значимость уравнения регрессии с помощью F-критерия Фишера:

Fтабл = 4,40 (для a = 0,05; k1 = m = 1; k2 = n - m - 1 = 40 - 1 - 1 = 38).
Т.к. F > Fтабл, то с вероятностью 95% данное уравнение регрессии значимо
Рассчитаем среднюю ошибку аппроксимации:

В среднем расчетные значения y* отличаются от фактических значений y на 45,8 %.
Сравним модели:
| R |
F |
Eотн |
| модель 1 |
0,16 |
7,38 |
36,9% |
| модель 2 |
0,71 |
95,31 |
27,9% |
| модель 3 |
0,02 |
0,83 |
45,8% |
- лучшая модель – модель2
Задание 5.
Осуществите прогнозирование для лучшей модели среднего значения показателя У при уровне значимости а = 0.1, если прогнозное значение фактора Х составит 80% от его максимального значения. Представьте графически: фактические и модельные значения, точки прогноза.
Пусть прогнозное значение Х составляет 80% относительно максимального значения (Хm
ах
):
Хпр
= Хmax
* 80% / 100% = 169.5 * 0,8 = 135.6
Упр
= -13,11 + 1,54 * 135,6 = 196,07
Границы доверительного интервала прогноза:


tа = 1,68 (для a = 0,10; k = n - m - 1 = 40 - 1 - 1 = 38).

Интервальный прогноз:
Верхняя граница прогноза Ув = Упр + U = 196,07 + 50,543 = 246,613
145,527 < Упр < 246,613

6. Используя пошаговую множественную регрессию (метод исключения или метод включения), постройте модель формирования цены квартиры за счет значимых факторов. Дайте экономическую интерпретацию коэффициентов модели регрессии.
Построим модель зависимости стоимости кватриры от всех факторов.
Используя функцию "Регрессия" в арсенале M.Excel, рассчитаем характеристики модели автоматически:
см. ПРИЛОЖЕНИЕ 1
Модель имеет вид:
У = 12,606 + (- 34,44) * Х1 + 1,5087 * Х3 + (- 0,506) * Х5
R2
= 0,829, F = 57,99
Fтабл = 3,20 (для a = 0,05; k1 = m = 3; k2 = n - m - 1 = 40 - 3 - 1 = 36)
Т.к. F > Fтабл, то с вероятностью 95% данное уравнение регрессии значимо.
Оценим значимость параметров уравнения регрессии с помощью t - критерия Стьюдента:
| tyx1
= |
-4,83 |
| tyx3
= |
11,62 |
| tyx5
= |
-0,55 |
> 2,03 → коэф-т корреляции между факторами у и х1 значим
> 2,03 → коэф-т корреляции между факторами у и х3 значим
< 2,03 → коэф-т корреляции между факторами у и х5 незначим
Исключим фактор Х5 как незначимый.
Используя функцию "Регрессия" в арсенале M.Excel, рассчитаем характеристики модели автоматически:
см. ПРИЛОЖЕНИЕ 2
Модель имеет вид:
У = 10,255 + (- 34,56) * Х1 + 1,492 * Х3
R2
= 0,827, F = 88,49
Fтабл = 3,20 (для a = 0,05; k1 = m = 3; k2 = n - m - 1 = 40 - 2 - 1 = 37)
Т.к. F > Fтабл, то с вероятностью 95% данное уравнение регрессии значимо
Оценим значимость параметров уравнения регрессии с помощью t - критерия Стьюдента:
| tyx1
= |
-4,90 |
| tyx3
= |
11,92 |
> 2,03 → коэф-т корреляции между факторами у и х1 значим
> 2,03 → коэф-т корреляции между факторами у и х3 значим
Т.к. все параметры значимы, то мы получили модель формирования цены квартиры за счет значимых факторов.
Задание 7.
Оцените качество построенной модели. Улучшилось ли качество модели по сравнению с однофакторной моделью? Дайте оценку влияния значимых факторов на результат с помощью коэффициентов эластичности, β- и ∆-коэффициентов.
Итак, для анализа используем модель:
У =10,255 + (- 34,44) * Х1 + 1,4921 * Х3
Значение "b1" = - 34,44 означает, что с ростом фактора Х1 на 1 единицу (смена города), цена квартиры снизится на -34,44 тыс.долл.
Значение "b2" = 1,49 означает, что с ростом фактора Х3 на 1 единицу (1 кв.м.), цена квартиры вырастет на 1,49 тыс. долл.
R2
= 0,827 - это значение выше, чем значение R2
однофакторной модели
F =88,49
Fтабл = 3,20 (для a = 0,05; k1 = m = 3; k2 = n - m - 1 = 40 - 2 - 1 = 37).
Т.к. F > Fтабл, то с вероятностью 95% данное уравнение регрессии значимо.
Рассчитаем ряд коэффицентов:
| Результаты регрессионного анализа
|
| Множественный R |
0,9094 |
| R-квадрат |
0,8271 |
| Нормированный R-квадрат |
0,8177 |
| Стандартная ошибка |
21,9831 |
| Коэффициенты регрессии
|
ryxj
|
Хср
|
Sx
|
| Y-пересечение |
10,25 |
1 |
93,7 |
50,8 |
| Х1 |
-34,56 |
-0,403 |
0,6 |
0,5 |
| Х3 |
1,49 |
0,846 |
69,2 |
27,9 |

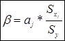
1) коэффициент эластичности:
Э1 = -34,56 * 0,6 / 93,7 = - 0,21(c ростом Х1 на 1% снижение У составит - 0,21%)
Э2 = 1,49 * 69,2 / 93,7 = 1,10 (c ростом Х3 на 1% рост У составит 1,10%)
2)
β
- коэффициент:
β1 = -34,56 * 0,5 / 50,8 = -0,34
β2 = 1,49 * 27,9 / 50,8 = 0,82
3)
∆
- коэффициент:
∆1 = - 0,336 *(-0,403) / 0,827 = 0,16 фактор Х1 оказывает 16% всего влияния
∆2 = 0,818 * 0,846 / 0,827 = 0,84 фактор Х3 оказывает 84% всего влияния
ЗАДАЧА 2. Исследовать динамику экономического показателя на основе анализа одномерного временного ряда.
В течение девяти последовательных недель фиксировался спрос Y(t) (млн. руб.) на кредитные ресурсы финансовой компании. Временной ряд Y(t) этого показателя :
| №НАБЛЮДЕНИЯ |
1 |
2 |
3 |
4 |
5 |
6 |
7 |
8 |
9 |
| 10 |
14 |
21 |
24 |
33 |
41 |
44 |
47 |
49 |
1. Проверить наличие аномальных наблюдений.
2. Построить линейную модель Y^(t) = a0
+ a1
t, параметры которой оценить МНК (Y^(t)) – расчетные, смоделированные значения временного ряда.
3. Оценить адекватность построенных моделей, используя свойства независимости остаточной компоненты, случайности и соответствия нормальному закону распределения (при использовании R/S-критерия взять табулированные границы 2,7 – 3,7).
4. Оценить точность моделей на основе использования средней относительной ошибки аппроксимации.
5. Осуществить прогноз спроса на следующие 2 недели (доверительный интервал прогноза рассчитать при доверительной вероятности р = 90%).
6. Фактические значения показателя, результаты моделирования представить графически.
1.
Проверить наличие аномальных наблюдений:
| t
|
Y(t)
|
для метода Ирвина |
| Z(t) =
|
h(t) =
|
h(t)2
|
Q(t) = Z(t) / S
|
Вывод |
| Y(t) - Y(t-1)
|
Y(t) - Ycp
|
| 1 |
10 |
-21,44 |
459,86 |
| 2 |
14 |
4 |
-17,44 |
304,31 |
0,27 |
= 4 / 14,71 |
< 1,52, т.е. точка не аномальна |
| 3 |
21 |
7 |
-10,44 |
109,09 |
0,48 |
= 7 / 14,71 |
< 1,52, т.е. точка не аномальна |
| 4 |
24 |
3 |
-7,44 |
55,42 |
0,20 |
= 3 / 14,71 |
< 1,52, т.е. точка не аномальна |
| 5 |
33 |
9 |
1,56 |
2,42 |
0,61 |
= 9 / 14,71 |
< 1,52, т.е. точка не аномальна |
| 6 |
41 |
8 |
9,56 |
91,31 |
0,54 |
= 8 / 14,71 |
< 1,52, т.е. точка не аномальна |
| 7 |
44 |
3 |
12,56 |
157,64 |
0,20 |
= 3 / 14,71 |
< 1,52, т.е. точка не аномальна |
| 8 |
47 |
3 |
15,56 |
241,98 |
0,20 |
= 3 / 14,71 |
< 1,52, т.е. точка не аномальна |
| 9 |
49 |
2 |
17,56 |
308,20 |
0,14 |
= 2 / 14,71 |
< 1,52, т.е. точка не аномальна |
| 283
|
1730,22
|
1. Наличие аномальных точек определим по методу Ирвина, для чего определим значения Q(t): Q(t) = Z(t) / S

Сравним полученные значения Q(t) с критическим значением Qкрит = 1,52
если Q(t) > Qкрит, то точка аномальна
если Q(t) < Qкрит, то точка не аномальна
Вывод: аномальных точек нет
Проведем анализ самого ряда:
| (t-tcp) * (Y-Ycp)
|
E(t) =
|
R(t) =
|
R(t)2
|
E(t)*E(t-1)
|
[E(t)/Y(t)] * 100
|
| t
|
Y(t)
|
t-tcp
|
(t-tcp)2
|
Y-Ycp
|
Yл(t)
|
Y(t)-Yл(t)
|
E(t)2
|
P |
E(t)-E(t-1)
|
| 1 |
10 |
-4 |
16 |
-21,44 |
85,8 |
10,2 |
-0,2 |
0,06 |
2,444 |
| 2 |
14 |
-3 |
9 |
-17,44 |
52,3 |
15,5 |
-1,5 |
2,39 |
1 |
-1,30 |
1,69 |
0,38 |
11,032 |
| 3 |
21 |
-2 |
4 |
-10,44 |
20,9 |
20,8 |
0,2 |
0,02 |
1 |
1,70 |
2,89 |
-0,24 |
0,741 |
| 4 |
24 |
-1 |
1 |
-7,44 |
7,4 |
26,1 |
-2,1 |
4,60 |
1 |
-2,30 |
5,29 |
-0,33 |
8,935 |
| 5 |
33 |
0 |
0 |
1,56 |
0,0 |
31,4 |
1,6 |
2,42 |
0 |
3,70 |
13,69 |
-3,34 |
4,714 |
| 6 |
41 |
1 |
1 |
9,56 |
9,6 |
36,7 |
4,3 |
18,11 |
1 |
2,70 |
7,29 |
6,62 |
10,379 |
| 7 |
44 |
2 |
4 |
12,56 |
25,1 |
42,0 |
2,0 |
3,82 |
0 |
-2,30 |
5,29 |
8,32 |
4,444 |
| 8 |
47 |
3 |
9 |
15,56 |
46,7 |
47,3 |
-0,3 |
0,12 |
0 |
-2,30 |
5,29 |
-0,67 |
0,733 |
| 9 |
49 |
4 |
16 |
17,56 |
70,2 |
52,6 |
-3,6 |
13,28 |
-3,30 |
10,89 |
1,26 |
7,438 |
| 10 |
57,9
|
| 11 |
63,2
|
| 45
|
283
|
0
|
60
|
318
|
283,0
|
44,82
|
4
|
-3,40
|
52,32
|
11,9914
|
50,8603
|
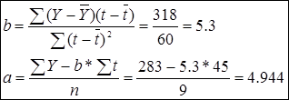
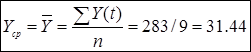
2. Рассчитаем по методу наименьших квадратов параметры "a" и "b" линейной модели : Y* = a + b * t

Где
Итак, Y* = 4,944 + 5,3*t.
3. Оценим адекватность полученной модели:
а) случайность уровней ряда E(t) проверим по критерию поворотных точек Р:
Р > 2, у нас р = 4
т.к. Р > 2, то свойство случайности выполняется.
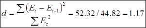
б) независимость (отсутствие автокорреляции) уровней ряда E(t) проверим по критерию Дарбина-Уотсона:
d(1) = 1,08
d(1) = 1.36
T.к. в находится в интервале (d(1); d(2)), то критерий Дарбина-Уотсона не используется.
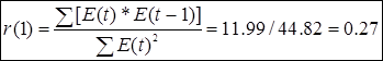
Рассчитаем первый коэффициент корреляции:
Т.к. по модулю r(1) < 0,36, то свойство независимости выполняется.
в) соответствие нормальному закону распределения (НЗР) проверим по RS-критерию:
т.к.RS = 3,34 принадлежит интервалу [RSmin ; RSmax] (RSmin=2,7; RSmax=3,7 из таблицы), то гипотеза о НЗР уровней ряда E(t) подтверждается, что позволяет сделать прогноз.
5. Оценим точность модели по средней относительной ошибке аппроксимации:
Т.к. Еотн
= 5,65 < 15%, то модель признается допустимой по точности.
6. Прогноз:
| при k=1: t =9+1=10 |
| при k=2: t =9+2=11 |
| k- шаг прогноза |
Y*(10) = 4,944 + 5,3 * 10 = 57,94
Y*(11) = 4,944 + 5,3 * 11 = 63,24
Границы доверительного интервала прогноза:
при k=1
при k=2
Y10
= Y*(10) +/-U(1) = 57.94 +/- 3.28
Y11
= Y*(11) +/- U(2) = 63.24 +/- 3.48
Таблица прогнозных значений:
| Точечный прогноз
|
Нижняя граница прогноза
|
Верхняя граница прогноза
|
| к = 1
|
57,94 |
54,66 |
61,23 |
| к = 2
|
63,24 |
59,77 |
66,72 |
7. Представим на графике фактические данные, результаты моделирования и прогнозирования:

|