Учебное пособие: Информационные технологии коммерческой торговой деятельности
|
Название: Информационные технологии коммерческой торговой деятельности Раздел: Рефераты по маркетингу Тип: учебное пособие | |||||||||||||||||||||||||||||||||||||||||||||||||||||||||||||||||||||||||||||||||||||||||||||||||||||||||||||||||||||||||||||||||||||||||||||||||||||||||||||||||||||||||||||||||||||||||||||||||||||||||||||||||||||||||||||||||||||||||||||||||||||||||||||||||||||||||||||||||||||||||||||||||||||||||||||||||||||||||||||||||||||||||||||||||||||||||||||||||||||||||||||||||||||||||||||||||||||||||||||||||||||||||||||||||||||||||||||||||||||||||||||||||||||||||||||||||||||||||||||||||||||||||||||||||||||||||||||||||||||||||||||||||||||||||||||||||||||||||||||||||||||||||||||||||||||||||||||||||||||||||||||||||||||||||||||||||||||||||||||||||||||||||||||||||||||||||||||||||||||||||||||||||||||||||||||||||||||||||||||||||||||||||||||||||||||||||||||||||||||||||||||||||||||||||||||||||||||||||||||||||||||||||||||||||||||||||||||||||||||||||||||||||||||||||||||||||||||||||||||||||||||||||||||||||||||||||||||||||||||||||||||||||||||||||||||||||||||||||||||||||||||||||||||||||||||||||||||||||||||||
|
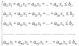
Информационные технологии коммерческой деятельности и информационные системы в экономике как учебные дисциплины рассматривают разделы моделирования и оптимизации линейного, нелинейного и целочисленного программирования в поисках решения задач экономической деятельности. Настоящее методическое указание предназначено в помощь студентам очной и заочной формы при изучении курса информационные технологии коммерческой деятельности. Приводятся типовые задачи по данному курсу с подробным разъяснением. В соответствии с учебным планом студенты выполняют контрольную работу по курсу и сдают зачет. Правила выполнения контрольной работы При выполнении контрольных работ надо строго придерживаться указанных ниже правил. Работы, выполненные без соблюдения этих правил не засчитываются. Решение каждой задачи контрольной работы должно содержать пять блоков: постановка задачи, экономико-математическая модель, табличная модель (распечатанный документ), оптимизация (распечатанный документ) и вывод. Вариант контрольной работы содержит 12 задач. Номера задач в каждом разделе курса соответствуют варианту контрольной работы. Вариант контрольной работы необходимо выяснить у преподавателя. Линейное программирование Линейное программирование − раздел математики, изучающий теорию и методы решения задач об экстремумах линейных функций на множествах задаваемых системами линейных неравенств. Задачи линейного программирования (Л.П.) являются математическими моделями задач экономического содержания. Все модели Л.П. имеют два общих основных свойства. Первое − это наличие ограничений. Они сужают множество допустимых решений. Например, менеджер по инвестициям имеет в своем распоряжении определенный капитал. Инвестиционные решения ограничены суммой данного капитала и распоряжениями таких правительственных органов, как Комиссия по ценным бумагам и биржам. Ограничения в реальных управленческих моделях выражаются в числовом виде, но в своей основе имеют физическую, экономическую или даже политическую природу. Второе свойство заключается в том, что в каждой модели Л.П. существует единственный показатель эффективности, который необходимо максимизировать или минимизировать. (Так, в предыдущем примере менеджер по инвестициям, будет стремиться максимизировать свою прибыль от портфельных инвестиций.) В моделях оптимизации показатель эффективности, который следует оптимизировать, называется целевой функцией. В экономике целевая функция, требующая максимизации, как правило это, прибыль, эффективность, производительность, а минимизации обычно требуют такие показатели, как затраты или время. Все функции ограничений, а также целевая функция являются линейными функциями. График линейной функции двух переменных представляет собой прямую линию. В общем случае линейная функция − это такая функция, в которую каждая переменная вместе со своим коэффициентом входит в виде отдельного члена (т.е. переменные не умножаются, не делятся друг на друга, не возводятся в степень (отличную от 1), нет логарифмических, экспоненциальных и тригонометрических выражений и т.п.) Для решения такого ряда задач необходимо построить математическую модель Л.П., а затем представить ее в виде электронных таблиц Excel. Созданная на первом этапе математическая модель позволяет увидеть всю модель целиком, что облегчает понимание табличной модели. В математической модели Л.П. ограничения записываются в виде системы неравенств. (В некоторых случаях необходимо ввести ограничения в виде равенств). Если требуются дополнительные ограничения на сами переменные в виде неотрицательности решения, то
Линейная целевая функция имеет математическое выражение исходя из условия задачи, и стремится к максимуму или к минимуму. Решением задачи Л.П. является отыскание такого набора переменных Информационные технологии позволяют повысить оперативность решения с помощью надстройки Поиск решения. Примерами экономических задач, как задач линейного программирования являются: производственная задача, анализ безубыточности, задачи финансового планирования, управление портфелем активов, оптимизация рекламной компании, задача об оптимальном назначении, транспортная задача, модель замены оборудования и т.п. Целочисленное линейное программирование В данном разделе рассматриваются модели, которые строятся и оптимизируются как обычные модели линейного программирования за исключением того усложняющего обстоятельства, что некоторые или все переменные модели должны принимать целые значения. Метод Целочисленного линейного программирования (Ц.Л.П.) приводит к получению так называемого округленного решения. Использование таких решений допустимо в тех ситуациях, где округление, по сути, не имеет особого значения. Двоичные переменные (принимающие значение 0 или 1) играют исключительно важную роль в прикладных моделях Ц.Л.П.. Такая модель используется в задачах, где управленческое решение строится не на количественных значениях переменных, а при ответе на вопрос: «да» или «нет». Да − проект принимается (х=1), в противном случае отвергается (х=0) (необходимо производить тот или иной товар или нет, обязательно назначить того или иного сотрудника на рассматриваемую должность или нет и т. п.) Среди реальных задач строго линейные задачи скорее являются исключением, чем правилом. В общем случае к нелинейности моделей могут привести любые физические, биологические, экономические и логические взаимосвязи и их комбинации. Однако, хотя нелинейные явления широко распространены, нелинейные модели существенно сложнее оптимизировать, чем линейные. Оптимизация задач линейного, целочисленного и нелинейного программирования. Поиск решения − это надстройка, входящая в поставку Excel, предназначенная для оптимизации моделей. Она располагается в меню Excel Сервис. Для ее активизации необходимо выполнить действия: Сервис
Рис. 1.1. Активация команды Поиск решения Поиск решения при оптимизации линейного программирования использует симплекс- метод. В программе Excel в меню Сервис применяя команду Поиск решения, откроется диалоговое окно где устанавливается адрес целевой ячейка, диапазон переменных.
Рис. 1.2. Диалоговое окно надстройки Поиск решения С помощью кнопки Добавить вводятся необходимые ограничения.
Рис. 1.3. Диалоговое окно надстройки Кнопка Параметры открывает диалоговое окно Параметры поиска решения, где по умолчанию стоит определенный набор команд.
Рис. 1.4. Диалоговое окно надстройки, уточняющее параметры поиска решения По умолчанию значение допустимого отклонения стоит 5%. Это значит, что процедура оптимизации продолжается только до тех пор, пока значение целевой функции будет отличаться от оптимального не более чем на 5%. Более высокие значения допустимого отклонения ускоряют работу средства Поиск решения при оптимизации моделей, однако существует риск, что найденное значение будет значительно отличаться от истинного оптимума соответствующей задачи. Устанавливая значение допустимого отклонения, например, равным 0 %, мы заставляем Поиск решения находить истинный оптимум задачи за счет, возможно, более длительного времени решения. Для улучшения работы средства Поиска решения настройка диалогового окна Параметры поиска решения часто применяется при решении задач нелинейного программирования. Значение в поле Сходимость используется для завершения процесса поиска решения, когда изменение целевой функции происходит очень медленно. Если установить меньшее значение сходимости, чем предусмотрено по умолчанию (0,0001), программа продолжит процесс оптимизации даже при малых изменениях целевой функции. Если установить в области Оценки переключатель квадратичная, Поиск решения будет применять для вычисления различных оценок более точную квадратичную аппроксимацию, а не линейную (по умолчанию). Кроме того, установка в области Разности переключателя центральные вместо переключателя прямые приведет к тому, что Поиск решения для вычисления частных производных будет применять более точную аппроксимацию, используя большее количество точек. Обе эти установки улучшают вычисляемые числовые оценки функций нелинейной модели, однако могут увеличить время решения, поскольку на каждой итерации следует производить дополнительные вычисления. В диалоговом окне Параметры поиска решения можно также задать метод поиска решения. Метод сопряженных градиентов в процессе оптимизации использует меньше памяти, но требует большего количества вычислений, при заданном уровне точности, чем заданный по умолчанию метод Ньютона. Значение в поле Относительна погрешность, определяет, на сколько точно должно совпадать вычисленное значение левой части ограничения со значением правой части, чтобы данное ограничение было выполнено. Команда Выполнить запускает решение задачи. Поиск решения просит уточнить: сохранить ли найденное решение или нет.
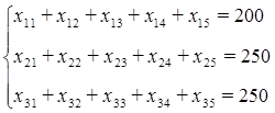
Рис. 1.5. Диалоговое окно надстройки Рекомендации по поиску решения задач. При задании в диалоговом окне Поиска решения правых частей ограничений всегда следует указывать ссылки на ячейки в табличной модели. Ячейки в правых частях неравенств в табличной модели должны содержать константы, а не формулы. Глава 2. Примеры решения задач Задача № 1 Производственная задача Постановка задачи. Предприятие производит продукцию n (5) видов при этом используя сырье m (3) типов. Расход каждого типа сырья на производство изделий представлен таблицей: Таблица 2.1.
Производство обеспечено сырьем каждого типа в количестве Составить план производства изделий, обеспечивающий максимальную выручку от их реализации. Экономико-математическая модель. Исходя из условия, делается вывод о том, что эта задача является задачей линейного программирования. Обозначим за неизвестные переменные Значения таблицы 3.1. представляют собой матрицу с коэффициентами ( В общем виде система ограничений имеет вид:
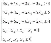
С учетом значений задачи получаем.
Дополнительные ограничения:
Необходимо найти оптимальный план выпуска продукций (т.е. В общем виде целевая функция примет вид:
где
Исходя из условий задачи:
Для некоторых производственных задач целесообразно найти оптимальный план производства, содержащий целые значения. Поэтому в дополнительные ограничения следует добавить: Табличная модель. Модель производственной задачи состоит из трех таблиц: таблицы ограничений и расхода сырья, таблицы плана выпуска (искомых переменных), таблицы прибыли. До оптимизации ячейки переменных [В11:В15] заполняются произвольным набором значений (не противоречащим ограничениям). Таким образом, задается первое приближение. Кроме того это необходимо, чтобы увидеть расчет всех ячеек, заполненных формулами.
Рис. 2.1. Табличное представление модели Замечание: Важно строго следить за форматированием ячеек. Ячейки, содержащие значения и расчетные формулы должны быть отформатированы числовым (при необходимости финансовым) форматом. Массив Расход сырья [H5:H7] рассчитывается путем умножения матрицы Вид сырья на матрицу План выпуска. Для этого необходимо выделить ячейки расход сырья, применить функцию МУМНОЖ, выделить перемножаемые массивы и одновременно нажать три клавиши: Shift, Ctrl, Enter. Матрица Остаток рассчитывается, как [Запас сырья]−[Расход сырья]. Ячейка Е10 содержит значение целевой функции, рассчитанной как сумма произведений значений цены на план выпуска соответствующего вида продукции. Более наглядно заполнение ячеек табличной формы задачи представлено на рисунке 2.2.
Рис. 2.2. Табличная модель с представленными формулами Примечание. При вводе формул используйте Мастер функций и кнопку Автосумма на Панели инструментов. Следующим шагом необходимо скопировать значение целевой функции в любую пустую ячейку, применяя команду, Специальная вставка Оптимизация. Сервис
Рис. 2.3. Диалоговое окно надстройки Поиск решения
Рис. 2.4. Решение производственной задачи Замечаем, что оптимум значительно больше предыдущего значения целевой функции. Разность составляет: 18750- 7200=11550 Вывод: Оптимальный план производства, при данных условиях, состоит в том, что продукцию 1-ого и 5-ого видов необходимо производить в объеме 750 и 650 ед. соответственно, а продукции 2- ого – 4- ого видов не выпускать в производство. При этом обеспечивается максимальная выручка в размере 18750 д.е. Задача № 2 Оптимальная организация рекламной компании Постановка задачи. Предприятие рекламирует свою деятельность использованием четырех источников массовой информации: телевидения, радио, газет и расклейки объявлений. Анализ рекламной деятельности в прошлом показал, что вложенные в рекламы средства приводят к увеличению прибыли на 10, 5, 7 и 4 руб. соответственно в расчете на 1 руб., затраченный на рекламу. На рекламу выделено 50000 руб., причем руководство намерено тратить на телевидение не более 50% выделенной суммы, на радио − не более 20%, на газеты − не более 35%, на расклейку объявлений − не более 30%. Как следует предприятию организовать рекламную компанию, чтобы получить максимальную прибыль? Экономико-математическая модель.
Целевая функция: Ограничения:
Табличная модель.
Рис. 2.5. Табличное представление модели Ячейки [В2:В5] до оптимизации целесообразно заполнить произвольными объемами денежных средств, но с учетом того, что сумма реальных затрат, не превышает выделенные средства.
Рис. 2.6. Табличная модель с представленными формулами Оптимизация. Сервис
Рис. 2.7. Диалоговое окно надстройки Поиск решения
Рис. 2.8. Решение задачи об оптимальной организации рекламной компании Вывод: Для получения максимальной прибыли, предприятие, проводя рекламную компанию, должно вложить 25000 р. в рекламу на телевидении, 7500 р. – в рекламу на радио, 17500 р.– в рекламу в газетах и не вкладывать средства в рекламу в объявлениях. При этом максимальная прибыль составит 410000 руб. Задача № 3 Задача об оптимальном назначении Постановка задачи. Сотрудники: Иванов, Петров, Семенов, Михайлов, Васильев, Сидоров работают на предприятии. Производительность труда сотрудников на каждой операции (с № 1 по № 6) представлена в таблице: Таблица 2.2.
Распределить по должностям всех сотрудников так, чтобы суммарная производительность была максимальной. Экономико-математическая модель. Данная задача является типичной моделью линейного целочисленного программирования (Ц.Л.П.), так как включает в себя двойственные ограничения на переменные (1- сотрудник назначается на должность, 0- сотрудник не назначается на должность).
Имеем матрицу переменных:
Целевая функция выражает суммарную производительность и имеет вид:
Ограничения: Матрица переменных принимает двоичное значение: сотрудник назначается на должность; 0- сотрудник не назначается на должность. Табличная модель. Целевая функция находится в строке I2 Общая производительность и определяется, как сумма произведений массива Матрица производительности на массив Матрица распределения по должностям. Матрица распределения по должностям заполняется значениями 0 или 1. До оптимизации необходимо произвольно произвести назначение сотрудников. В матрице распределения по должностям есть столбец Сумма по строкам и строка Сумма по столбцам. В дальнейшем, при оптимизации эти массивы будут участвовать в ограничении: каждая ячейка (H13:H18) и (B19:G19) равняется 1. Это необходимо для того, чтобы выполнялось условие, что на одну должность назначается только один сотрудник.
Рис. 2.9. Табличное представление модели
Рис. 2.10. Табличная модель с представленными формулами Оптимизация. Применим Поиск решения. Сервис
Рис. 2.11. Диалоговое окно надстройки Поиск решения
Рис. 2.12. Решение задачи об оптимальном назначении Вывод: С учетом производительности труда всех работников по каждой операции, менеджеру необходимо назначить: Иванова на должность № 5, Петрова на должность №3, Семенова на должность №4, Михайлова на должность №6, Васильева на должность №2, Сидорова на должность №1. При этом коллектив добьется максимальной производительности – 46,6. Задача № 4 Задача о распределении торговых агентов Постановка задачи. Торговая фирма продает товары в 5 (n) различных регионах, покупательская способность жителей которых оценивается в Таблица 2.3.
Для реализации товаров фирма располагает 5(n) торговыми агентами, каждый из которых направляется в один из городов. Профессиональный уровень агентов различен; доля реализуемых i-ым торговым агентом покупательных способностей составляет Таблица 2.4.
Необходимо так распределить торговых агентов по регионам, чтобы получить максимальную выручку от продажи товаров. Экономико-математическая модель. Имеем матрицу переменных:
где Выражение Целевая функция описывает суммарный объем продаж.
Ограничения.
агент отправляется в регион; 0- агент не отправляется в регион. Табличная модель.
Рис. 2.13. Табличное представление модели
Рис. 2.14. Табличная модель с представленными формулами Оптимизация. Сервис
Рис. 2.15. Диалоговое окно надстройки Поиск решения
Рис. 2.16. Решение задачи о распределении торговых агентов Вывод: На основе данных о профессионализме торговых представителей и анализе продаж в регионах с целью достижения максимального суммарного объема продаж оптимальным распределением считается следующее: Иванов реализует товар в Иловле, Петров – во Фролово, Сидоров – в Котельниково, Михайлов – в Михайловке, Демьянов – в Алексеевке. При этом достигается максимальный объем продаж в размере 1460 д.е. Задача № 5 Транспортная задача Транспортные задачи выделяются отдельным классом задач Л.П., к которым сводятся многие проблемы оптимизации грузопотоков и работы различных видов транспорта, а также другие вопросы организации и планирования производства. Постановка задачи. Задача № 1. Закрытая транспортная задача. Имеются 3 (m) поставщика и 5 (n) потребителей. Мощность (запасы) поставщиков и спрос (потребность) потребителей, а также затраты на перевозку для каждой пары «поставщик-потребитель» сведены в таблице поставок. Таблица 2.5.
Задача ставится таким образом: найти объемы перевозок для каждой пары «поставщик-потребитель» так, чтобы: мощности всех поставщиков были реализованы; спрос всех потребителей был удовлетворен; суммарные затраты на перевозку были бы минимальные. Существуют сбалансированные и несбалансированные транспортные задачи. Сбалансированные – суммарные мощности (запасы) поставщиков изначально равны суммарным спросам потребителей. В противном случае они называются несбалансированными. Вид транспортной задачи необходимо определить на самом первом шаге решения. Данный пример является сбалансированной задачей. Так как суммы Потребностей и Запасов равны 700. Несбалансированные модели необходимо свести к сбалансированным путем добавления «фиктивного» поставщика (или потребителя) с недостающим значением мощности (или спроса) и нулевыми тарифами на перевозку единицы груза. Однако, если системы ограничений имеют вид систем неравенств, то к сбалансированной модели сводить не имеет смысла. В курсе высшей математики раздела «Прикладная математика» большое значение уделялось решению транспортных задач. Это решение базируется на создании опорного плана, где оптимальным методом его построения считается метод наименьших тарифов. Метод наименьших тарифов состоит в последовательном отыскании, на каждом шаге построения, минимального значения коэффициента затрат на перевозку единицы груза. Однако для задания первого приближения достаточно использовать более оперативный метод – метод северо-западного угла. Экономико-математическая модель. Искомый объем перевозки от i-ого поставщика к j-ому потребителю обозначим через
Ограничения для удовлетворения спросов всех потребителей:
Замечание: Транспортная модель имеет специфическую форму. Все коэффициенты при переменных Очевидно, что объем перевозимого груза не может быть отрицательным, поэтому следует ввести дополнительное ограничение: Суммарные затраты на перевозку выражаются через коэффициенты затрат и поставки и определяют целевую функцию.
Табличная модель. Массив [В4:F6] – матрица переменных. Ячейка [В19] содержит целевую функцию, определяемую, как СУММПРОИЗВ [В4:F6] на Матрицу тарифов [В15:F17].
Рис. 2.17.Табличное представление модели
Рис. 2.18. Табличная модель с представленными формулами Замечание: В таблицах 3.6. и 3.7. схематично представлена процедура сведения несбалансированной (открытой транспортной задачи) модели к сбалансированной (закрытой транспортной задачи). Задача № 2. Открытая транспортная задача. Таблица 2.6.
![]()
Задача № 3. Открытая транспортная задача. Таблица 2.7.
Оптимизация. Решение задачи № 1.Сервис
Рис. 2.19. Диалоговое окно надстройки Поиск решения
Рис. 2.20. Решение транспортной задачи Вывод: Минимальные суммарные затраты на перевозку груза в размере 8200 д.е. достигаются путем распределения поставок, представленных в ячейках [B4:F6]. Так, например, поставщик А2 должен поставить груз к потребителю В1 в объеме 80 ед. груза, к потребителю В2 в объеме 50 ед. груза и к потребителю В5 в объеме 120 ед. груза. К потребителям В3 и В4 ехать не надо. Задача № 6 Распределение бюджета Многие компании ежегодно принимают решения о капиталовложениях. В простейшей форме решение о выделении средств заключается в выборе нескольких из n вариантов капиталовложений, цель состоит в максимизации прибыли при наличии ограничений на количество средств, которые можно вкладывать. Постановка задачи. Совету директоров предстоит выбрать несколько вариантов из 4 (n) предложенных. Каждый проект требует выделения средств по годам. Известна также стоимость чистой прибыли от каждого проекта. Совет директоров ранее принял решение о соответствующих выделениях средств на каждый год. Значения представлены в таблице 2.8. Таблица 2.8.
Экономико-математическая модель. В данной модели целевая функция – это суммарная чистая прибыль, а ограничения указывают на то, что в каждом году используются средства не больше, чем имеется в наличии в каждом году. Такая задача является двоичной моделью целочисленного линейного программирования, так как переменные дают ответ лишь на то, что принимается тот или иной проект или нет. Пусть Тогда целевая функция примет вид.
Это суммарная чистая прибыль. При ограничениях
Табличная модель.
Рис. 2.21.Табличное представление модели
Рис. 2.22. Табличная модель с представленными формулами Оптимизация. Сервис
Рис. 2.23. Диалоговое окно надстройки Поиск решения
Рис. 2.24.Решение задачи о распределении бюджета Вывод: Согласно решению, представленному на рис. 3.24., руководству компании следует принять первые три проекта, тогда как четвертый проект отвергнуть. При этом суммарная прибыль составит 1900 тыс. руб. и будет максимальной. Задача №7 Анализ безубыточности при наличии ограничений Постановка задачи. Предприятие производит 3 вида продукции: А1, А2, А3. Соответствующие данные о затратах и доходах на ближайший плановый период представлены в таблице. Таблица 2.9.
На Диаграмме 1. представлено определение точки безубыточности (критического объема производства) для продукции А1. Диаграмма 2.1.
Как следует из графика, если компания будет производить только А1, то для того, чтобы добиться безубыточности, ей потребуется выпустить не менее 1000 ед. А1. Однако перед компанией стоит более сложная задача. Во-первых, на следующий плановый период руководство компании уже заключило контракт на производство 700 ед. А1. Во-вторых, еще один клиент заказал 400 ед. А2, и руководство заинтересовано в выполнении данного заказа. В-третьих, анализ рынка, проведенный отделом маркетинга компании, свидетельствует, что следует произвести не более 300 ед. А3. Руководство компании хочет выяснить, сколько единиц продукции надо продать, чтобы добиться безубыточности. Экономико-математическая модель. Начнем с общих положений: точка безубыточности характеризуется тем, что суммарный доход равняется суммарным затратам. Руководство заинтересовано в том, чтобы минимизировать расходы. Поскольку фиксированные затраты придется нести в любом случае, целью можно считать минимизацию суммарных переменных затрат. Определим переменные решения следующим образом. S– количество произведенных единиц А1, R– количество произведенных единиц А2, B– количество произведенных единиц А3. Тогда уравнение точки безубыточности примет вид:
или
Целевая функция (суммарные переменные затраты) имеет вид
Ограничения:
Табличная модель. Рис. 2.25.Табличное представление модели
Рис. 2.26. Табличная модель с представленными формулами Оптимизация. Сервис
Рис. 2.27. Диалоговое окно надстройки Поиск решения
Рис. 2.28. Решение задачи по определению границы безубыточности Вывод: Чтобы достичь безубыточности, исходя из условия задачи, необходимо производить 700 ед. продукции вида А1, 3718 ед. продукции вида А2 и не целесообразно производить продукцию А3, при этом минимальные суммарные переменные затраты составляют 16884,62 тыс. руб. Задача № 8 Задача о составлении расписания Постановка задачи. Управляющий персоналом университета должен составить расписание охраны территории университета, удовлетворяющее требованиям, представленным в таблице 2.10. Таблица 2.10.
Офицеры дежурят посменно, продолжительность смены 8 ч. На каждый день установлено 6 смен. Время начала и конца каждой смены показано в таблице 3.11.Управляющий персоналом хочет определить, сколько офицеров назначить в каждую смену, чтобы минимизировать их количество и при этом удовлетворить требования к организации охраны. Таблица 2.11.
Экономико-математическая модель. Обозначим за
Целевая функция представляет суммарное количество офицеров и имеет вид Ограничения: Заметим, что офицеры, дежурящие в первую смену, находятся на посту в течение первых двух временных интервалов и т.п.
Данная задача является еще одним примером, в котором переменные решения должны принимать целочисленные значения.
Табличная модель. С учетом первого приближения (10, 10, 12, 12, 12, 10, 10) составим табличное представление моде ли.
Рис. 2.29.Табличное представление модели
Рис. 2.30. Табличная модель с представленными формулами Оптимизация. Сервис
Рис. 2.31. Диалоговое окно надстройки Поиск решения
Рис. 2.32. Решение задачи о составлении расписания Вывод: Оптимизация показала, что минимальное количество дежурных составляет 32 человека. При этом 5 человек работают в первую смену, 11 человек во вторую, 4 человека в третью, 3 человека в четвертую и 9 человек в пяту смену. Шестой смены нет. Задача № 9 Задача о пополнении оборудования Постановка задачи. Предприятие вначале пятилетнего периода выделило 4,5 млн. руб. для комплексного оборудования, стоимость единицы которого составляет 1,5 млн. руб. Единица оборудования за год приносит предприятию 0,6 млн. руб. прибыли. Необходимо разработать такую программу пополнения оборудования, чтобы суммарная прибыль от его внедрения в течение планового периода была максимальной. Экономико-математическая модель. Пусть Ограничения:
Заметим, что как в системе ограничений, так и в целевой функции зависимость от переменных представлена линейно. Формула целевой функции несколько громоздка, однако в табличной модели она разбита на части. Табличная модель. Зададим первое приближение: например, в конце первого года 40% прибыли отложим на закупку оборудования, в конце второго – 30%, в конце третьего – 20% прибыли, в конце четвертого года – 10%. С учетом первого приближения получим.
Рис. 2.33.Табличное представление модели
Рис. 2.34. Табличная модель с представленными формулами Оптимизация. Сервис
Рис. 2.35. Диалоговое окно надстройки Поиск решения
Рис. 2.36. Решение задачи о пополнении оборудования Вывод: Оптимизация показала, что для достижения максимальной прибыли за пятилетний период в объеме 10,58 млн. руб. необходимо в первый и второй годы направлять всю прибыль на приобретение оборудования. В четвертый и пятый годы закупать оборудование нецелесообразно. Задача № 10 Задача составления смеси Постановка задачи. Банка корма для собак весом 16 унций должна содержать как минимум следующие количества питательных веществ: белков– 3 унции, углеводов– 5 унций и жиров – 4 унции. Нужно смешать четыре вида каш в различных пропорциях, чтобы получить наиболее дешевую банку собачьего корма, удовлетворяющую требованиям по содержанию питательных веществ. Содержание питательных веществ и цена каждой каши в расчете на 16 унций приведены в таблице. Таблица 2.12.
Экономико-математическая модель. Модель линейного программирования для задач по составлению корма для собак имеет следующий вид. F– стоимость банки.
где Ограничения:
Табличная модель.
Рис. 2.37. Табличное представление модели
Рис. 2.38.Табличная модель с представленными формулами Оптимизация. Сервис
Рис. 2.39. Диалоговое окно надстройки Поиск решения Во вкладке Параметры следует указать на линейность и неотрицательность решения.
Рис. 2.40. Решение задачи о составлении смеси Вывод: Самая дешевая допустимая смесь – 3$ при наличии 16,7.% каши № 2, 33, 3% каши № 3, 50% каши № 4. Кашу № 1 не добавляется в банку. Задача № 11 Производство и управление запасами (НЛП) Запасы – это отложенный товар в хранилище, ожидающий своего использования. Существует множество типов запасов: запасы сырья, запасы полуфабрикатов, запасы конечных продуктов и т.д. Имеется три типа затрат, связанных с деятельностью по организации запасов: издержки хранения, издержки размещения заказа и издержки возможного дефицита. Первые зависят от объемов запасов (чем больше запасы, тем больше затраты на их хранение). Вторые не зависят от заказанного количества, они связаны с количеством времени, необходимым сотрудникам для осуществления учета, выписки счета-фактуры, проверки заказа и т. д. Последние издержки – потеря прибыли при невыполнении заказа (задержки) или убыток, который отражает удельную стоимость неудовлетворенного спроса. Постановка задачи. Магазин торгует товарами пяти наименований. Данные о потребностях, издержках организации заказов, хранения и расхода складских площадей на единицу товара каждого типа представлены в таблице. Общая площадь торговых помещений 300 м². Таблица 2.13.
Определить оптимальные партии поставок каждой товарной группы. Экономико-математическая модель. Оптимальная партия поставки вычисляется при следующих допущениях: уровень запасов снижается равномерно в соответствии с равномерно поступающими требованиями. В тот момент, когда все запасы исчерпаны, подается заказ на поставку новой партии размером накладные расходы, связанные с размещением заказа и поставкой партии, не зависят от объема партии и равны постоянной величине издержки содержания единицы продукции в единицу времени равны товарооборот по i-ой товарной группе в единицу времени составляет Издержки управления запасами в течение одного цикла складываются из издержек размещения и содержания запасов. Диаграмма 2.2.
Процесс изменения уровня запасов в такой модели показан на диаграмме 2.2. Если взаимодействие между товарами отсутствует, то издержки работы системы в единицу времени, связанные с размещением заказов и содержанием запасов товаров получим, суммируя издержки по каждому товару:
Ограничение на величину складских площадей имеет вид:
где
Коэффициент Уравнения представляют собой задачу нелинейного математического программирования где целевая функция С учетом конкретных значений получим:
Ограничения:
Целевая функция определяет суммарные затраты на хранение товаров и имеет вид:
Табличная модель.
Рис. 2.41. Табличное представление модели
Рис. 2.42. Табличная модель с представленными формулами Оптимизация. Сервис
Рис. 2.43. Диалоговое окно надстройки Поиск решения
Рис. 2.44. Решение задачи об управлении многономенклатурными товарными запасами Вывод: Оптимальная партия поставки 1-ой товарной группы составляет 36 т., 2 -ой – 42 т. 3 - ей товарной группы – 41 т., 4- ой – 50 т. и 5- ой – 43 т. При этом суммарные затраты на хранение достигают своего минимального значения и составляют 121090 руб. Задача № 12 Выбор портфеля инвестиций (НЛП) Модель выбора инвестиционного портфеля является основной моделью современных финансов. В общем виде постановка задачи выглядит следующим образом: Инвестор имеет Р долларов, которые может вложить в n видов бумаг и он хочет определить, сколько средств вкладывать в каждый вид бумаг. Выбранный набор бумаг называется инвестиционным портфелем. Инвестор хочет, чтобы портфель был с высоким ожидаемым доходом и низким риском. Эти цели противоречивы, поскольку чаще всего портфели с высоким ожидаемым доходом имеют также и высокий риск. В нашем случае риск измеряется величиной возможного разброса (дисперсией или вариацией) дохода инвестиционного портфеля. Это определение согласуется с тем, как большинство аналитиков в сфере портфельных инвестиций измеряют риск. Поскольку задача состоит в обеспечении низкого риска и высокого дохода, можно сформировать модель таким образом, чтобы минимизировать величину дисперсии дохода (т.е. минимизировать риск) при заданной нижней границе для ожидаемого дохода. Кроме того, могут присутствовать некие ограничения, определяющие структуру портфеля, т.е. какую чисть средств позволено вкладывать в конкретные типы обязательств. Постановка задачи. Известны три вида ценных бумаг, для которых есть данные о доходах за прошедшие 12 лет: это акции AT&T, General Motors и USS – холдинга компании US Steel. Показатели дохода от акций приводятся в таблице. Таблица 2.14.
Необходимо минимизировать дисперсию дохода инвестиционного портфеля при условии, что ожидаемый доход составит не менее 15% и не боле 75% общей суммы средств, которые можно вложить в акции любого одного вида. Экономико-математическая модель. Данная модель является моделью квадратичного программирования. Обозначим через Для построения модели примем без доказательства следующие факты. Дисперсия годового дохода от ценных бумаг i – это число, описывающее изменчивость дохода от года к году. Ковариация годового дохода от ценных бумаг i и ј – это число, характеризующее, в какой степени изменение доходов от двух видов ценных бумаг связаны друг с другом. Ожидаемый доход инвестиционного портфеля определяется как
Дисперсия дохода портфеля инвестиций Для двух ценных бумаг:
Для трех ценных бумаг:
Стандартное отклонение дохода портфеля инвестиций вычисляется как квадратный корень дисперсии. Исходя из данного условия задачи, модель имеет вид:
Ограничения:
Табличная модель.
Рис.2.45. Табличное представление модели
Рис. 2.46. Табличная модель с представленными формулами Оптимизация. Сервис
Рис. 2.47. Диалоговое окно надстройки Поиск решения
Рис. 2.48. Параметры поиска решения
Рис. 2.49. Решение задачи о выборе портфеля инвестиций Вывод: Решение предусматривает, что примерно 53% портфеля будут составлять акции AT&T, 35% акции General Motors и 11,35% USS. Ожидаемый годовой доход в точности равен 15%. Оптимальное значение целевой функции показывает, что вариация годового дохода портфеля составляет примерно 0,0205, таким образом, стандартное отклонение равно примерно 14,33 %. Если считать, что данная модель правильна, и предположить, что доход инвестиционного портфеля является нормально распределенной величиной со средним значение 15% и отклонением 14,33%, то согласно теории вероятностей с достаточной уверенностью (доверительный уровень 95%) можно ожидать, что данный портфель в следующие годы будет давать доход от -13,7% до 43,7% (т.е. 15% ± 2*14,33%). Глава 3. Варианты контроль ных заданий Задача 1 Производственная задача Фирма производит для автомобилей запасные части типа А и В. Фонд рабочего времени составляет 5000 чел-ч в неделю. Для производства одной детали типа А требуется 1 чел-ч., а для производства одной детали типа В – 2 чел-ч. Производственная мощность позволяет выпускать максимум 2500 деталей типа А и 2000 деталей типа В в неделю. Для производства детали типа А уходит 2 кг полимерного материала и 5 кг листового материала, а для производства одной детали типа В – 4 кг полимерного материала и 3 кг листового материала. Еженедельные запасы каждого материала по 10000 кг. Общее число производимых деталей должно составлять не менее 1500 штук. Определить, сколько деталей каждого вида следует производить, чтобы обеспечить максимальный доход от продажи за неделю, если доход от продаж одной детали типа А и В составляет соответственно 1,1 руб. и 1,5 руб. Издательский дом « Геоцентр-Медиа» издает два журнала: «Автомеханик» и «Инструмент», которые печатаются в типографиях: «Алмаз-Пресс», «Карелия-принт» и «Hansaprint» (Финляндия), где общее количество часов, отведенное для печати и производительность печати одной тысячи экземпляров, ограничены и представлены в таблице:
Спрос на журнал «Автомеханик» составляет 12 тыс. экземпляров, а на журнал «Инструмент» – не более 7,5 тыс. экземпляров в месяц. Определить оптимальное количество издаваемых журналов в месяц, которые обеспечат максимальную выручку от продаж. При производстве трех видов продукции используют два типа сырья. Составить план выпуска продукции, обеспечивающий максимум прибыли. Исходные данные таковы:
Вариант № 4 В мебельном магазине изготавливается три типа столов А, В и С. При изготовлении каждого стола необходимо затратить определенное время на производство составных частей, сборку и покраску. Кроме того, модель С можно продавать без покраски. Используя имеющиеся данные в таблице, определить ассортимент выпускаемой продукции, максимизирующий его прибыль.
В выпуске двух продуктов задействованы три станка. Чтобы выпустить килограмм продукта каждый станок должен отработать определенное количество часов. Данные приводятся в таблице. Ресурс рабочего времени для станка 1 составляет 10 ч, для станка 2 – 16 ч. и для станка 3 – 12 ч. Удельная прибыль в расчете на 1 кг. составляет 4$ для продукта 1,3$ - для продукта 2.
Определить оптимальный план производства продуктов каждого вида с целью получения максимальной прибыли от продаж. Малое предприятие арендовало мини-пекарню для производства чебуреков и беляшей. Мощность пекарни позволяет выпускать в день не более 50 кг продукции. Ежедневный спрос на чебуреки не превышает 260 штук, а на беляши – 240 штук. Суточные запасы теста и мяса и расходы на производство каждой единицы продукции приведены в таблице. Определить оптимальный план ежедневного производства чебуреков и беляшей, обеспечивающих максимальную выручку от продажи.
Вариант № 7 Завод может производить четыре вида изделий А, В, С и D. По технологии каждое изделие обрабатывается четырьмя машинами (время обработки в минутах в пересчете на один килограмм готовой продукции показано в таблице). Каждая машина может работать 60 часов в неделю. Изделия могут продаваться по следующим ценам: А–9$, B–7$, C–6$, D–5$ за кг. Переменные затраты на оплату труда составляют 2$ в час для машин 1 и 2 и 3$ - для машин 3 и 4. Материальные затраты составляют 4$ на каждый кг продукции А и 1$ на каждый кг продукции В, С и D. Определить оптимальный план производства, максимизирующий прибыль при заданном максимальном спросе для каждого вида продукции.
Конкуренция приводит к необходимости торговым предприятиям заниматься еще и выпуском продукции собственного производства, например, салатов, пиццы и т.п. Нормы затрат на производство разного рода пиццы, объемы ресурсов и стоимость приведены в таблице. Определить оптимальный план производства, гарантирующий максимальный доход.
Вариант № 9 Фирма производит и продает столы и шкафы из древесины хвойных и лиственных пород. Расход каждого вида в кубометрах на каждое изделие задан в таблице.
Определить оптимальное количество столов и шкафов, которое следует поставлять на продажу для получения максимального дохода фирмы. Фирма производит два безалкогольных широко популярных напитка «Колокольчик» и «Буратино». Для производства 1 л «Колокольчика» требуется 0,02 ч работы оборудования, для «Буратино» - 0,04 ч, а расход специального ингредиента на них составляет 0,01 кг и 0,04 кг на 1 л соответственно. Ежедневно в распоряжении фирмы 16 кг специального ингредиента и 24 ч работы оборудования. Доход от продажи 1л « Колокольчика» составляет 0,25 руб, а «Буратино» – 0,35 руб. Определить ежедневный план производства напитков каждого вида, обеспечивающий максимальный доход от их продажи. Задача 2 Оптимальная организация рекламной компании Вариант № 1 Компания рекламирует свою деятельность использованием четырех источников массовой информации: телевидения, радио, газет и расклейки объявлений. На рекламу выделено 100000 руб. Анализ рекламной деятельности в прошлом показал, что вложенные в рекламу средства приводят к увеличению прибыли на 15, 4, 7 и 4 руб соответственно, в расчете на 1 руб, затраченный на рекламу. Руководство намерено тратить на телевидение не более половины суммы, на радио − не более 15%, на газеты − не более 35%, на расклейку объявлений − не более 20%. Как следует предприятию организовать рекламную компанию, чтобы получить максимальную прибыль? Предприятие намерено провести рекламную кампанию, используя различные средства массовой информации: телевидение, Интернет, радио, газеты. Прибыль с 1 руб, затраченного на рекламу составляет 9, 10, 8, 7 руб соответственно. На проведение рекламной кампании было выделено 150 тыс. руб. При этом руководство намерено потратить 40% средств на телевидение, и не более 20% на газеты. Определить оптимальное распределение средств, направляемых на рекламу. В целях продвижения качественно нового продукта на рынок, предприятие намерено провести рекламную кампанию. Руководство выделило 20000 руб. Анализ рекламной деятельности в прошлом показал, что затраченный на телевидение 1 руб приводит к увеличению прибыли на 12 руб, на радио – 8 руб, на объявления в газеты – 6 руб. При этом руководство намерено потратить не менее 45% средств на телевидение, не более 30% на объявления в газеты и не менее 25% на радио. Как следует предприятию организовать рекламную кампанию, чтобы получить максимальную прибыль? Предприятие рекламирует свою деятельность использованием пяти источников массовой информации: Интернета, телевидения, радио, газет и расклейки объявлений. Анализ рекламной деятельности в прошлом показал, что вложенные в рекламу средства приводят к увеличению прибыли на 14, 10, 7, 8 и 3 руб соответственно, в расчете на 1 руб, затраченный на рекламу. На рекламу выделено 70000 руб, причем руководство намерено тратить на Интернет не более 5%, телевидение не более 30% выделенной суммы, на радио − не менее 20%, на газеты − не более 25%, на расклейку объявлений − не более 20%. Как следует предприятию организовать рекламную кампанию, чтобы получить максимальную прибыль? Руководство выделило на проведение рекламной кампании 100 тыс. руб. Как следует организовать рекламную кампанию, чтобы получить максимальную прибыль, если удельная прибыль от вложения в рекламу составляет: с телевидения – 15 руб, с радио – 10 руб, с объявлений в газеты – 7 руб, с расклейки объявлений – 5 руб. Руководство считает целесообразным затратить не более 45% на телевидение, не менее 20%, но и не более половины суммы - на радио и не более 15% - на расклейку объявлений. В целях продвижения качественно нового продукта на рынок, предприятие намерено провести рекламную кампанию. Руководство выделило 150000 руб. Известно, что затраченный на телевидение 1 руб приводит к увеличению прибыли на 13 руб, на радио – 9 руб, на объявления в газеты – 6 руб, на расклейку объявлений – 4 руб. При этом руководство намерено потратить не более 45% средств на телевидение, не более 30% - на объявления в газеты и не более 25% - на радио, не более 3% - на расклейку объявлений. Как следует предприятию организовать рекламную кампанию, чтобы получить максимальную прибыль? На рекламу выделено 80000 руб. Предприятие рекламирует свою деятельность, используя четыре источника массовой информации: Интернет, телевидение, радио, газеты. Анализ рекламной деятельности в прошлом показал, что вложенные в рекламу средства приводят к увеличению прибыли на 16, 14, 9, 8 руб соответственно, в расчете на 1 руб, затраченный на рекламу. Руководство намерено потратить половину суммы на рекламу на телевидении, не менее 20% выделенной суммы - на радио, не более 25% - на газеты. Определить оптимальное распределение средств, направляемых на рекламу. Компания рекламирует свою деятельность используя четыре источника массовой информации: телевидение, радио, газеты и расклейку объявлений. На рекламу выделено 500000 руб. Вложенные в рекламу средства приводят к увеличению прибыли на 14, 4, 6 и 3 руб соответственно, в расчете на 1 руб, затраченный на рекламу. Руководство намерено потратить не более одной трети суммы на телевидение, на радио − не менее 10%, на газеты − не более 15%, на расклейку объявлений − не более 10%. Определить оптимальное распределение средств, направляемых на рекламу. Предприятие намерено провести рекламную кампанию, используя различные средства массовой информации: телевидение, Интернет, радио, газеты, расклейку объявлений. Прибыль с 1 руб, затраченного на рекламу, составляет 9, 12, 8, 6, 2 руб соответственно. На проведение рекламной кампании было выделено 200 тыс. руб. При этом руководство намерено потратить не более половины суммы на телевидение и Интернет поровну, не менее 20% - на газеты и не более 6% - на расклейку объявлений. Определить оптимальное распределение средств, направляемых на рекламу. На рекламу выделено 75000 руб. Предприятие рекламирует свою деятельность с использованием таких источников массовой информации, как Интернет, телевидение, радио, газеты. Анализ рекламной деятельности в прошлом показал, что вложенные в рекламу средства приводят к увеличению прибыли на 13, 12, 9, 7 руб соответственно, в расчете на 1 руб., затраченный на рекламу. Руководство намерено потратить одну четвертую суммы на рекламу на телевидении, не менее 10% выделенной суммы - на радио, не более 25% - на газеты. Определить оптимальное распределение средств, направляемых на рекламу. Задача 3 Задача об оптимальном назначении Руководство рекламного агентства должно решить, кто из четырех делопроизводителей будет работать со счетами каждого из четырех основных клиентов. Затраты при каждом назначении для каждого делопроизводителя представлены в таблице. Найти оптимальное решение.
Вариант № 2 Необходимо распределить по должностям трех сотрудников: Ковалева, Сорокина и Степанова так, чтобы общая производительность была максимальной, если известно, что Ковалев на первой должности имеет производительность 0,7, на второй - 0,3 и на третьей - 0,6. Сорокин – на первой - 0,6 на второй - 0,2 и на третьей - 0,5. Степанов на первой - 0,5 на второй - 0,4 на третьей - 0,7. Известно также, что в настоящий момент по состоянию здоровья Степанов не может занимать 3-ю должность. В связи с необходимостью повышения качества производства, руководство компании должно решить, кто из четырех контроллеров будет обслуживать четыре поточные линии. Процент выявления дефектных изделий на каждой линии для каждого контроллера представлен в таблице.
Найти оптимальное решение. Необходимо распределить четырех продавцов по торговым точкам так, чтобы суммарный объем продаж был максимальным. Сведения о продажах прошлых периодов каждого продавца на каждой торговой точке представлены в таблице.
Вариант № 5 Четыре магазина принадлежат одной сетевой компании. Необходимо распределить четырех поставщиков для каждого магазина. Затраты на поставку (в тыс. руб.) каждого поставщика в каждый магазин представлены в таблице. Найти оптимального поставщика для каждого магазина так, чтобы суммарные затраты на поставку были минимальными.
В распоряжении имеется четыре ремонтных бокса в мастерской и четыре задания, которые нужно выполнить. Поскольку в боксах находится различное оборудование, работают разные люди, а выполняемые задания также имеют различные характеристики, время выполнения заданий различно. Оценка времени (в часах), необходимого для выполнения каждого задания в каждом боксе, приводится в таблице.
Необходимо минимизировать суммарное время, необходимое для выполнения заданий. Производительность сотрудника А на первой должности - 0,8, сотрудника В – 0,7, С – 0,6, сотрудника в – 0,6. На второй должности производительность сотрудников А, В, С и в составляет 0,5, 0,6, 0,7, 0,6 соответственно. На третьей должности - 0,4, 0,8, 0,9, 0,5 соответственно. На четвертой - 0,9, 0,5,0,5, 0,6. Распределить сотрудников по должностям так, чтобы суммарная производительность была максимальной. На упаковочной поточной линии работают четыре сотрудника. Операции упаковки последовательны. Время работы (в мин.) каждого сотрудника на каждой операции представлено в таблице. Необходимо наладить процесс упаковки так, чтобы сократить общее время упаковки (повысить производительность).
Вариант № 9 Принимаются заявки клиентов тремя различными способами: письменно, по телефону, в Интернете. С целью повышения производительности, необходимо оптимально распределить диспетчеров, если известно количество принимаемых заявок в час различными способами каждым диспетчером.
Вариант № 10 Компании нужно назначить четырех представителей в четыре региона. Каждый представитель способен добиться разного объема продаж. Объемы продаж (в тыс. руб.) при различных вариантах назначений показаны в таблице. Компания хочет максимизировать суммарный объем продаж. Однако назначить продавца В в регион 1 и продавца А в регион 2 нельзя, поскольку при этом будет нарушен принцип ротации персонала.
Торговая фирма продает товары в 5 различных регионах, покупательская способность жителей каждого региона представлена в таблице. Фирма располагает 5 торговыми агентами, каждый из которых направляется в один из регионов. Известно, что торговый агент А в среднем реализует половину товарного запаса, торговый агент В реализует одну треть от объема, агент С в среднем имеет 20% выручки, торговый агент D– 45%, Е– 15%. Необходимо так распределить торговых агентов по регионам, чтобы получить максимальную выручку от продажи товаров. Компания продает товары в 5 различных городах, покупательская способность жителей каждого региона представлена в таблице.
Фирма располагает 5 торговыми агентами, каждый из которых направляется в один из регионов. Известно, что торговый агент А в среднем реализует 90% товарного запаса, торговый агент В реализует одну треть от объема, агент С в среднем имеет 10% выручки, торговый агент D– 35%, Е– 40%. Необходимо оптимально распределить торговых агентов по регионам, если известно, что агент А не может быть назначен в регион 3. Компания начинает продвижение своих товаров на рынок региона, состоящего из шести округов. Компания планирует назначить в данный регион торговых представителей. Потенциальный спрос в регионах представлен в таблице:
Реализация потенциала рынка каждого торгового представителя различна и представлена в таблице:
Торговая фирма продает товары в 6 различных регионах, покупательская способность жителей каждого региона представлена в таблице.
Фирма располагает 6 торговыми агентами, каждый из которых направляется в один из регионов. Известно, что торговый агент А в среднем реализует одну четвертую товарного запаса, торговый агент В реализует одну треть от объема, агент С - половину объема, торговый агент в в среднем имеет 30% выручки, Е - 15%, F–25%. Необходимо так распределить торговых агентов по регионам, чтобы получить максимальную выручку от продажи товаров. Компания начинает продвижение своих товаров на рынок региона, состоящего из шести округов. Компания планирует назначить в данный регион торговых представителей. Потенциальный спрос в регионах представлен в таблице:
Вариант № 10 Торговая фирма продает товары в 6 различных регионах, покупательская способность жителей в каждом регионе представлена в таблице.
Фирма располагает 6 торговыми агентами, каждый из которых направляется в один из регионов. Известно, что торговые агенты А и В работают с одинаковой отдачей, где средняя выручка за период составляет 75%., агент С в среднем реализует половину объема своего товара, торговый агент в в среднем имеет 30% выручки, Е– одну четвертую от объема, F–15%. Задача 7 Анализ безубыточности при наличии ограничений Предприятие производит воздухоочистители двух видов: Umidaire и Depollinator. Данные о цене и затратах приводятся в таблице. Ранее был уже заключен контракт на поставку 500 Umidaire.
Определить какое количество воздухоочистителей обоих видов нужно произвести, чтобы достичь безубыточности с учетом минимизации затрат. Компания Longer Boats производит три вида гоночных яхт – Sting, Ray, Breaker. Соответствующие данные о затратах и доходах на ближайший плановый период представлены в таблице.
Определить какое количество гоночных яхт трех видов нужно произвести, чтобы достичь безубыточности с учетом минимизации затрат, если известно, что на следующий плановый период руководство компании уже заключило контракт на производство 10 яхт Ray. Анализ рынка свидетельствует, что нужно произвести не более 150 яхт Breaker. Мебельный магазин изготавливает три вида столов: А, В и C. Соответствующие данные о затратах и доходах представлены в таблице.
Постоянные затраты не зависят от модели стула и составляют 100000 руб. в месяц. Анализ маркетингового исследования показал, что производство стула вида В и С необходимо производить не более 300, 200 единиц соответственно. Руководство магазина выяснить, сколько единиц продукции в месяц надо производить, чтобы добиться безубыточности.
Определить какое количество продукции трех видов нужно произвести, чтобы достичь безубыточности с учетом минимизации затрат, если известно, что на следующий плановый период руководство компании уже заключило контракт на производство 100 упаковок томатной пасты. Компания владеет заводом, который может выпускать семейные автомобили (седаны), пикапы и спортивные двухместные автомобили (купе). Удельная прибыль, время производства и фиксированные затраты представлены в таблице.
Компания к настоящему моменту уже получила заказы на 100 седанов, 200 пикапов и 300 купе, которые она обязана выполнить. Составить производственный план, который позволит как можно быстрее достичь точки безубыточности. Предприятие осуществляет производство бульдозеров и лесохозяйственной техники. Удельная цена, переменные издержки и фиксированные затраты представлены в таблице.
Составить производственный план, который позволит достичь точки безубыточности, если предприятие уже получило заказы на 20 ед. бульдозеров и 30 ед. лесохозяйственной техники. Предприятие производит 3 вида продукции: А, В, С. Соответствующие данные о затратах и доходах на ближайший плановый период представлены в таблице.
Анализ маркетингового исследования показал, что продукции вида В и С необходимо производить не более 1000, 2000 единиц соответственно. Кроме того, предприятие уже заключило договор на поставку 100 единиц продукции А. Составить производственный план, который позволит достичь точки безубыточности. Компания производит продукцию двух видов. Данные о цене и затратах приводятся в таблице. Ранее был уже заключен договор на поставку 200 единиц продукции вида А.
Определить какое количество продукции обоих видов нужно произвести, чтобы достичь безубыточности с учетом минимизации затрат. Профессиональный цех швейной фабрики занимается пошивом фраков, мужских костюмов и рубашек. Затраты на единицу продукции и удельная стоимость представлены в таблице.
Фиксированные затраты составляют 40000 руб., 10000 руб., 5000 руб. соответственно. Определить какое количество продукции трех видов нужно произвести, чтобы достичь безубыточности с учетом минимизации затрат, если известно, что уже запланирован пошив 50 шт. рубашек, а анализ рынка показал, что спрос на фраки не превышает 40 ед. в месяц. Фирма занимается производством и реализацией напитков: газированный напиток, натуральный сок, морс.
Определить какое количество продукции трех видов нужно произвести, чтобы достичь безубыточности с учетом минимизации затрат, если известно, что на следующий плановый период руководство компании уже заключило контракт на производство 500 упаковок натурального сока и 400 упаковок морса. Задача 8 Задача о составлении расписания Ресторан работает 7 дней в неделю. Официанты работают 6 часов в день. Договор с профсоюзом п редусматривает, что каждый должен работать 5 дней подряд, а затем 2 дня отдыхать. У всех официантов одинаковый еженедельный оклад. Требования штатного расписания представлены в таблице. Предполагается, что эти требования циклически повторяются. Составить расписание, удовлетворяющее заданным требованиям при минимальных затратах. Вариант № 1
Вариант № 2
Вариант № 4
Вариант № 5
Вариант № 6
Вариант № 7
Вариант № 8
Вариант № 9
Вариант № 10
Задача о пополнении оборудования Предприятие вначале семилетнего периода выделило N млн. руб. для комплексного оборудования, стоимость единицы которого составляет n млн. руб. Единица оборудования за год приносит предприятию P млн. руб. прибыли. Необходимо разработать такую программу пополнения оборудования, чтобы суммарная прибыль от его внедрения в течение планового периода была максимальной. Вариант № 1. N=4 n=2 P=0,6 Вариант № 2. N=4,5 n=1,5 P=0,5 Вариант № 3. N=5 n=2,5 P=0,8 Вариант № 4. N=3,5 n=1,75 P=0,8 Вариант № 5. N=6 n=2 P=0,55 Вариант № 6. N=4,5 n=1,5 P=0,6 Вариант № 7. N=5,5 n=2,75 P=0,9 Вариант № 8. N=3,6 n=1,2 P=0,5 Вариант № 9. N=4,2 n=1,4 P=0,65 Вариант № 10. N=6,3 n=2,1 P=0,4 Задача 10 Задача составления смеси В рационе животных используется два вида кормов. Животные должны получать четыре вида веществ. Составить рацион кормления, обеспечивающий минимальные затраты. Исходные данные таковы:
Вариант № 2 При откорме каждое животное ежедневно должно получать не менее 19 единиц питательного вещества S1, не менее 18 единиц вещества S2 и не менее 22 единиц вещества S3. Для составления рациона используют три вида корма. Содержание количества единиц питательных веществ в 1кг. каждого вида корма и стоимость 1 кг. корма приведено в таблице.
Необходимо составить дневной рацион нужной питательности, причем затраты на него должны быть минимальными. Задача 11 Производство и управление запасами (НЛП) На склад, общей площадью торговых помещений 100 м² поступают товары трех наименований. Данные о сбыте, издержках организации заказов, хранения и расхода складских площадей на единицу товара каждого типа представлены в таблице. Определить оптимальные партии поставок каждой товарной группы.
Вариант № 2 Магазин торгует товарами трех наименований. Данные об издержках организации заказов, хранения и расхода складских площадей на единицу товара каждого типа представлены в таблице. Годовой объем потребления составляет 50 т. для каждого типа товара. Общая площадь торговых помещений 120 м².
Определить оптимальные партии поставок каждой товарной группы. Спрос на общие тетради в клетку и в линейку составляют 18000 и 16500 штук в год соответственно. Менеджер удовлетворяет этот спрос без отсрочки выполнения заказов. Стоимость размещения заказа составляет 10 руб и 9 руб. соответственно, а годовые издержки хранения – 3 руб за любую тетрадь. Расход площади на единицу товара любого типа составляет 0,04 Определить оптимальные партии поставок каждой товарной группы, если склад имеет общую площадь 100 м². Специализированный отдел магазина торгует товарами трех наименований. Спрос на товары постоянен и составляет 350 единиц в месяц. Хранение одной единицы продукции 1- ого типа стоит 200 руб, 2- ого 300 руб., 3- его 120 руб. в месяц. Стоимость размещения заказа в год составляет 7200 руб., 3600 руб., 6000 руб. соответственно. Складское помещение составляет 60 м², где расход площади на единицу товара составляет 1 Магазин торгует товарами четырех наименований. Данные о потребностях, издержках организации заказов, хранения и расхода складских площадей на единицу товара каждого типа представлены в таблице. Общая площадь торговых помещений 500 м².
Определить оптимальные партии поставок каждой товарной группы с учетом минимизации суммарных затрат. Складское помещение составляет 1000 м². Ежемесячно со склада вывозят по 3 т. макаронных изделий и круп двух видов. Расход площади на тонну изделий товара составляет 15 м² для макаронных изделий и 25 м² для круп вида А и В. Годовые издержки размещения заказа и удельные затраты на хранение в год представлены в таблице.
Определить оптимальные партии поставок в месяц для каждой товарной группы с учетом минимизации суммарных затрат. Магазин торгует товарами трех наименований. Спрос на товары постоянен и составляет 500 т. в год. Хранение одной тонны продукции 1- ого типа стоит 3000 руб., 2- ого 2500 руб., 3- его 1500 руб. в год. Стоимость размещения заказа в год составляет 7000 руб., 5200 руб., 6000 руб. соответственно. Складское помещение составляет 500 м². Определить оптимальные партии поставок каждой товарной группы с учетом минимизации суммарных затрат. Ежегодный спрос на электромоторы типа А составляют 2000 штук, а типа В – 1200 штук. Стоимость размещения заказа составляет 1500 руб. и 900 руб. соответственно, а годовые издержки хранения – 350 руб. и 200 руб. Расход площади на единицу товара составляет для типа А– 0,9 Определить оптимальные партии поставок каждой товарной группы, если склад имеет общую площадь 2000 м². На склад, общей площадью торговых помещений 800 м² поступают товары четырех наименований. Данные о сбыте, издержках организации заказов, хранения и расхода складских площадей на единицу товара каждого типа представлены в таблице. Определить оптимальные партии поставок каждой товарной группы.
Вариант № 10 Магазин торгует товарами пяти наименований. Данные об издержках организации заказов, хранения и расхода складских площадей на единицу товара в год каждого типа представлены в таблице. Ежемесячный объем потребления составляет 30 т. для каждого типа товара. Общая площадь торговых помещений 200 м².
Определить оптимальные партии поставок каждой товарной группы. Задача 12 Выбор портфеля инвестиций (НЛП) Инвестор хочет определить, сколько средств вкладывать в каждый из трех видов бумаг. Показатели дохода от акций приводятся в таблице. Необходимо минимизировать дисперсию дохода инвестиционного портфеля. При ограничениях: ожидаемого дохода L и объема средств, вкладываемых в ценные бумаги
Вариант № 2
Вариант № 3
Вариант № 7
Список литературы Акулич И.Л. Математическое программирование в примерах и задачах.– М.: Высшая шк.,1986. Мур Дж., Уэдерфорд Л. и др. Экономическое моделирование в Microsoft Excel, 6-е изд.: Пер. с англ.– М.: Изд. дом «Вильямс»,2004..–1024 с. Зайцев М.В., Беляев А.А., Фомин Г.П. Сборник задач по прикладной математике. М., РГТУ,2005. Калихман И.Л. Сборник задач по линейной алгебре и программированию. – М.: Высшая шк., 1975. |
|||||||||||||||||||||||||||||||||||||||||||||||||||||||||||||||||||||||||||||||||||||||||||||||||||||||||||||||||||||||||||||||||||||||||||||||||||||||||||||||||||||||||||||||||||||||||||||||||||||||||||||||||||||||||||||||||||||||||||||||||||||||||||||||||||||||||||||||||||||||||||||||||||||||||||||||||||||||||||||||||||||||||||||||||||||||||||||||||||||||||||||||||||||||||||||||||||||||||||||||||||||||||||||||||||||||||||||||||||||||||||||||||||||||||||||||||||||||||||||||||||||||||||||||||||||||||||||||||||||||||||||||||||||||||||||||||||||||||||||||||||||||||||||||||||||||||||||||||||||||||||||||||||||||||||||||||||||||||||||||||||||||||||||||||||||||||||||||||||||||||||||||||||||||||||||||||||||||||||||||||||||||||||||||||||||||||||||||||||||||||||||||||||||||||||||||||||||||||||||||||||||||||||||||||||||||||||||||||||||||||||||||||||||||||||||||||||||||||||||||||||||||||||||||||||||||||||||||||||||||||||||||||||||||||||||||||||||||||||||||||||||||||||||||||||||||||||||||||||||||


























,




































,











,
- ограничению по среднему уровню запасов. Для ситуации равномерного оборота товарных запасов усредненный коэффициент более реалистичен.














