Реферат: Алгоритмы обнаружения и сопровождения траекторий целей по дискретным измерениям
|
Название: Алгоритмы обнаружения и сопровождения траекторий целей по дискретным измерениям Раздел: Рефераты по физике Тип: реферат |
АЛГОРИТМЫ ОБНАРУЖЕНИЯ И СОПРОВОЖДЕНИЯ ТРАЕКТОРИЙ ЦЕЛЕЙ ПО ДИСКРЕТНЫМ ИЗМЕРЕНИЯМ 1. Основные этапы и операции вторичной обработки информации Процесс вторичной обработки радиолокационной информации о каждой цели обычно выполняется в два этапа: обнаружение траекторий целей и слежение за траекториями.,
Автоматическое обнаружение траекторий целей по данным двухкоординатной РЛС в прямоугольной системе координат при равномерном обзоре пространства состоит в следующем (рис. 3.1). Пусть в некоторой точке зоны обзора появилась отметка, не подходящая для продолжения уже существующих траекторий. Эта отметка принимается за начальную отметку траектории новой цели. Если извест- ны составляющие по осям координат минимальной жении траектории, и она передается на сопровождение. На рис. 3.1 решение об обнаружении принимается по трем подряд следующим отметкам (критерий ≪3 из 3≫). Таким образом, в процессе обнаружения траектории выполняются следующие операции: стробироваиные и селекция отметок в стробе, проверка критерия обнаружения, оценка значений параметров траектории и экстраполяция этих параметров. Слежение за траекторией цели состоит в последовательной от измерения к измерению привязке к ней вновь полученных отметок и уточнении ее параметров. При автоматическом слежении за траекторией, которое называется автосопровождением, выполняются следующие операции: уточнение параметров траектории в процессе привязки новых отметок; экстраполяция параметров на момент следующего измерения; стробироваиие зоны возможного положения новых, отметок; селекция отметок в стробе (при наличии в стробе нескольких отметок).При попадании в строб сопровождения нескольких отметок траектория продолжается по каждой из них. При отсутствии, отметки в стробе сопровождения траектория продолжается по соответствующей экстраполированной точке, но очередной строб увеличивается, чтобы учесть возросшие ошибки экстраполяции. Если пропуски отметок в стробах повторяются k раз подряд, траектория прерывается (сбрасывается). Таким образом, на этапах обнаружения траектории и слежения за ней выполняются фактически одни и те же операции: стробирование зоны обзора; селекция и идентификация отметок в стробе; фильтрация и экстраполяция параметров траектории. В этом параграфе рассматриваются алгоритмы первых двух операций.
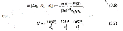
Стробирование отметок. Выбор формы и размеров стробов. В соответствии с основными принципами автоматического построения траекторий при вторичной обработке радиолокационной информации новая отметка может быть использована для предложения сопровождаемой (обнаруживаемой) траектории, если ее отклонение от центра строба не превышает некоторого фиксированного значения, определяемого, размерами строба, т. е. если
где n-м обзоре) отметки от центра строба имеем
При расчете размеров стробов можно принять, что составляющие
Уравнение (3.4) представляет собой уравнение эллипсоида, отнесенного к сопряженным полуосям Будем далее считать, что динамические ошибки экстраполяции, обусловленные непредвиденным маневром цели, также распределены нормально и имеют независимые составляющие по осям F, G и И, первая из которых совпадает с вектором скорости цели, вторая направлена противоположно тангенциальному ускорению, а третья дополняет систему координат до правой. Начало полученной системы координат, так же как и предыдущей, совпадает с экстраполированной точкой О (однако для наглядности на рис. 3.2 это начало вынесено в точку О'). В трехмерном пространстве динамические ошибки образуют эллипсоид равных вероятностей, уравнение которого имеет вид (эллипсоид 2 на рис. 3.2 при λ =1 )
Эллипсоиды 1 и 2, складываясь, образуют в пространстве суммарный эллипсоид 3, направления сопряженных полуосей которого (направления осей декартовой системы координат
Таким образом, поверхность равновероятного отклонения истинных отметок от центра строба представляет собой эллипсоид, величина и ориентация сопряженных полуосей которого относительно направления «РЛС — цель»зависят от погрешности измерений координат, интенсивности маневра и направления вектора движения цели. При эллипсоидальном распределении отклонений истинных отметок от центра строба, очевидно, и сам строб должен иметь форму эллипсоида с сопряженными полуосями для обеспечения заданной вероятности попадания в строб истинных отметок. Вероятность попадания случайной точки в эллипсоид, подобный и расположенный подобно эллипсоидам равной вероятности, определяется из выражения
При селектирующей и разрешающей способности операции стробирования. При обработке большого числа целей в реальном масштабе времени на ЦВМ ограниченной производительности расчет размеров и ориентация сторон строба параллелепипеда (такой расчет принципиально должен проводиться в каждом обзоре) является, как правило, неприемлемым с точки зрения загрузки ЦВМ. Тогда переходят к упрощенному варианту стробирования, смысл которого сводится к следующему. Форма строба выбирается простейшей для
задания в той системе координат, в которой осуществляется обработка информации. Для случая обработки в сферической системе координат простейший строб задается линейным размером по дальности РЛС. Алгоритм селекции отметок по минимуму отклонения от центра строба. Рассматривается случай селекции отметок при построении траектории одиночной цели. При этом предполагается, что в стробы кроме истинных будут попадать также ложные отметки, образованные помехами, прошедшими фильтр первичной обработки. В результате анализа ситуаций в стробе возможны следующие решения. 1. При наличии в стробе нескольких отметок продолжать траектории по каждой из них, т. е. допускать размножение траекторий. Продолжения траектории по ложным отметкам из-за отсутствия подтверждений через несколько обзоров будут сброшены с сопровождения, а продолжение траектории по истинным отметкам останется. Такой способ привязки новых отметок чрезвычайно трудоемок. Кроме того, при высокой плотности ложных отметок возможно лавинообразное размножение ложных траекторий, приводящее к перегрузке запоминающих устройств вычислительных средств. 2. Выбрать в стробе одну отметку, вероятность принадлежности которой к сопровождаемой траектории наибольшая, а остальные отбросить как ложные. Такой подход целесообразен с точки зрения уменьшения трудоемкости вычислений, но требует решения задачи оптимальной селекции отметок. Оптимизация процесса селекции отметок по отклонению от центра строба производится по критерию максимального правдоподобия, в соответствии с которым за истинную отметку надо принимать ту, для которой функция правдоподобия максимальна. При селекции в трехмерном стробе, грани которого параллельны главным полуосям эллипсоида суммарных ошибок (рис. 3.2), условие максимального правдоподобия
Следовательно, в качестве отметки для продолжения траектории надо взять ту, эллиптическое отклонение которой от центра строба минимально. Естественным упрощением рассмотренной оптимальной операции является селекция по минимуму суммы квадратов линейных отклонений отметки от центра строба, что соответствует предположению о равенстве дисперсий
Качество процесса селекции отметок можно оценить вероятностью правильной селекции, т. е. вероятностью события, состоящего в том, что в очередном обзоре для продолжения траектории будет отобрана истинная отметка.
Задача вычисления вероятности правильной селекции может быть решена аналитически, если предположить, что попадание в строб ложных отметок обусловлено только влиянием помех и эти отметки распределены в зоне обзора равномерно. При селекции в двумерном прямоугольном стробе, описанном вокруг эллипса с параметром
Для случая селекции в трехмерном стробе в виде параллелограмма, описанного вокруг эллипсоида суммарных ошибок (рис. 3.2), вероятность правильной селекции рассчитывается по приближенной формуле
На рис. 3.4 приведена схема алгоритма селекции отметок в двумерном стробе 1. По результатам обработки в предыдущем (n— 1) обзоре выбираются (рассчитываются) размеры строба на следующий (/1-й) обзор (блок 1). При выборе размеров строба учитывается информация о маневре цели и пропуске отметок. 2. Производится отбор отметок в стробе (блок 2) по формулам
и подсчитывается их число. Если в строб попала только одна отметка
3. Сравниваются квадраты расстояний (блок 4) и выбирается одна отметка, для которой 4. Если в стробе не обнаружено ни одной отметки, то проверяется критерий сброса траектории с сопровождения (блок 6). При выполнении критерия сброса траектория снимается с сопровождения. Если же критерий сброса не выполняется, то выдается команда на продолжение траектории путем экстраполяции ее координат и параметров. В заключение отметим, что кроме отклонений от центра строба для селекции отметок могут быть использованы признаки «веса» отметок, которые формируются в процессе первичной обработки информации как некоторый аналог отношения сигнал-помеха. В простейшем случае обработки двоично-квантованных сигналов пачечной структуры для формирования признака веса отметки можно использовать число импульсов в пачке или ширину пачки. Признаки веса отметок могут использоваться в процессе селекции совместно с признаком отклонения от центра строба или самостоятельно. Один из возможных вариантов совместного использования признаков веса и отклонения отметок от центра строба состоит в следующем. Все отметки, попавшие в строб, разделяются на отметки с весом числом импульсов в пачке, то можно селектировать отметки по максимальному числу импульсов в пачке. Признаки отклонения отметок от центра строба используются в этом случае только при равенстве весов нескольких отметок. Распределение и привязка отметок в перекрывающихся стробах. В сложной целевой и помеховой обстановке часть стробов, образованных вокруг экстраполированных точек сопровождаемых траекторий, будут перекрываться. Кроме того, в стробах будут появляться ложные отметки и отметки от новых (впервые обнаруженных) целей. В этом случае задача распределения и привязки новых отметок к сопровождаемым траекториям, а также завязки новых траекторий существенно усложняется. Усложнение связано прежде всего с необходимостью перехода к совместной привязке отметок к траекториям после получения всех новых отметок, подлежащих привязке, т. е. попадающих в соответствующие перекрывающиеся стробы. Далее необходимо образовать все возможные варианты (гипотезы) привязки и выбрать среди них наиболее правдоподобный. Рассмотрим один из подходов к решению задачи распределения и привязки отметок в перекрывающихся стробах при следующих предпосылках: 1) стробы, образованные по каждой траектории, имеют размеры, обеспечивающие попадание в них истинных (принадлежащих данной траектории) отметок с вероятностью, близкой к единице; 2) группы перекрывающихся стробов разделяются так, что каждую такую группу можно обрабатывать раздельно; 3) задача решается на плоскости, т. е. в двумерном стробе. Логическая схема алгоритма распределения и привязки отметок в изолированной группе перекрытых стробов показана на рис. 3.5. В блоке 1 выделяются изолированные группы с перекрывающимися стробами. В блоке 2 формируются возможные варианты привязки с учетом вводимых предположений об источниках новых отметок, отобранных в группу. Относительно принадлежности каждой такой отметки принимается одна из следующих гипотез: она принадлежит или одной из сопровождаемых траекторий или вновь обнаруженной цели, или одна ложная. В блоке 3 вычисляются вероятности всех возможных вариантов привязки, после чего в блоке 4 отбирается наиболее вероятный вариант, который и реализуется при завязке и продолжении траекторий. Для примера рассмотрим простейший случай перекрытия двух стробов, изображенных на рис. 3.6,а. В этом случае имеются две экстраполированные точки траекторий 1 и 2 я три новых отметки I, II, III, одна из которых находится в области перекрытия стробов. Относительно каждой новой отметки принимается, что она принадлежит либо сопровождаемым траекториям 1 или 2, если находится в стробе соответствующей траектории, либо одной из новых целей с номерами: 3 для отметки I, 4 для отметки II н б для отметки III, либо является ложной (принадлежащей к нулевой траектории).
Возможные комбинации привязки образуют дерево вариантов (гипотез) привязки, изображенное на рис. 3.6,6. Каждая ветвь «того дерева представляет один из возможных вариантов распределения принадлежности новых отметок. Так, например, самая первая (слева) ветвь изображает вариант, когда все новые отметки являются ложными, а самая последняя ветвь — вариант, когда все новые отметки принадлежат вновь обнаруженным целям с номерами 3, 4 к 5 соответственно. Общее число вариантов в рассматриваемом случае равно 30. Вероятности событий о принадлежности отметок к сопроиождаемым, новый или ложным траекториям определяются следующим образом. I. Вероятность принадлежности ί-й новой отметки j-й сопровождаемой траектории (при условии ее попадания в строб этой траектории) определяется вероятностью обнаружения новой отметки Poi и ее расстоянием от экстраполированной точки, т. е. от центра строба /-Й траектории. Вероятность обнаружения отметки зависит от дальности до цели, ее эффективной отражающей поверхности и энергетических характеристик РЛС. Для сопровождаемых целей все эти характеристики известны достаточно точно, поэтому вычисление вероятности Poi эатрудненнй не вызывает.
Как и раньше предполагается, что расстояние отметки, принадлежащей данной траектории, от центра строба по каждой из координат подчиняется нормальному закону распределения с нулевым математическим ожиданием и дисперсией
2. Вероятность того, что новая отметка является ложной, определяется по формуле
где 3. Вероятность того, что отметка принадлежит вновь обнаруженной цели, равна
После расчета вероятностей событий о принадлежности каждой новой отметки к сопровождаемым, новым или ложным траекториям можно рассчитать вероятности всех вариантов привязки и выбрать в качестве правдоподобного тот из них, вероятность которого наибольшая. Задача эта даже для рассматриваемого простейшего случая достаточно трудоемка. Задачу можно упростить, если взять за основу следующие очевидные практические правила: 1) к каждой сопровождаемой траектории должна быть привязана отметка; 2) по каждой отметке, не привязанной к траектории, должна быть завязана новая траектория, независимо от вероятности ее принадлежности к новым или ложным. В этом случае сравниваться должны только те варианты, которые предусматривают привязку отметок к каждой траектории. В рассматриваемом случае таких вариантов два: привязать первую отметку к первой траектории, а вторую — ко второй, или привязать вторую отметку к первой траектории, а третью ко второй. В этом случае третья отметка в первом варианте и первая отметка во втором считаются новыми и по ним завязывается начало новой траектории. Сопровождение траекторий целей по данным обзорной РЛС Процесс обработки информации о цели на этапе обнаружения траектории заканчивается, как только выполняется установленный критерий ее обнаружения. После ЭТОГО ВЫЧИСЛЯЮТСЯ начальные значения параметров обнаруженной траектории, и она передается на автосопровождение. Автосопровождение цели понимается в дальнейшем в смысле автоматического продолжения траектории ее движения и уточнения параметров этой траектории, так что термины «автосопровожденде цели» и «автосопровождение (или просто сопровождение) траектории» понимаются в одинаковом смысле. Более предпочтительным является термин «сопровождение траектории», которым и будем пользоваться в дальнейшем. Логическая схема алгоритма сопровождения траектории. В процессе сопровождения каждой траектории решаются две основные задачи: стробирование и отбор новых отметок для продолжения траектории, оценивание параметров траектории и построение функции, описывающей изменение этих параметров во времени. Принципиально выполнение обеих перечисленных задач может быть реализовано с помощью одного алгоритма. В этом случае требуемое качество решения задачи оценивания параметров траектории должно быть согласовано с потребителями информации. Однако возможени такой вариант построения системы, когда на алгоритм сопровождения возлагается только задача слежения за траекторией цели, а для высококачественного оценивания параметров траектории в интересах потребителей информации создается отдельный алгоритм, который в дальнейшем будем называть алгоритмом траекторных расчетов. Целесообразность выделения специального алгоритма траекторных расчетов следует из таких соображений. 1. Операции оценки и экстраполяции параметров траектории для обеспечения непрерывности ее сопровождения должны производиться в системе координат, измеряемых РЛС, по ходу обновления информации. К точности выполнения этих операций не предъявляется особо жестких требований, что позволяет производить вычисления по упрощенным формулам, исходя из гипотезы прямолинейного движения цели. 2. Вычисление параметров траектории в интересах потребителей радиолокационной информации должно производиться с учетом всех доступных сведений о характере движения цели (воздушная или космическая цель, маневрирующая или неманеврирующая цель и т. д.) по точным формулам. Выдаваемые параметры при этом могут быть представлены в другой, отличной от радиолокационной, системе координат (например, в прямоугольной системе координат с центром в точке расположения пункта сбора информации). Более того, в интересах потребителей или по соображениям более доступного сопряжения с другими алгоритмами системы для оценивания могут быть выбраны совсем не те параметры, которые необходимы при сопровождении траектории (например, курс и модуль вектора скорости при сопровождении самолетов и т. д.). 3. Потребителей интересует в первую очередь информация о целях, представляющих наибольшую важность для системы (например, самолеты, следующие на аэродром посадки в АСУ крупного аэродрома). Именно по таким целям и необходимо рассчитывать точные значения параметров траектории. Естественно, не все обнаруживаемые в зоне обзора РЛС цели одинаково важны, а некоторые из них , вообще не представляют интереса для системы (удаляющиеся цели, пролетающие цели и т. д.). Следовательно, оценивание параметров с высокой точностью необходимо только для части сопровождаемых целей. Выделение отдельного алгоритма траекторных расчетов позволяет в данном случае уменьшить требования к производительности вычислительных средств.
С учетом высказанных соображений логическая схема алгоритма сопровождения траектории приведена на рис. 3.11. В блоке 1 решается задача отбора и селекции отметки для продолжения траектории. Алгоритм стробирования и селекции отметок и стробе строится и соответствии с теоретическими предпосылками, изложенными в § 3.1. Отселектированной отметке присваивается номер сопровождаемой траектории и она передается на вход блока траекторных расчетов (блок 6). Одновременно новая отметка используется для оценивания параметров и экстраполяции координат цели на следующий обзор, т.е. для подготовки следующего цикла стробирования и селекции. Для этого последовательно производятся: 1. Оценивание параметров траектории при упрощенных предпосылках о законе движения цели и погрешностях измерения координат (блок 2). 2. Вычисление экстраполированных значений координат на следующий обзор (блок 3). Экстраполяция производится по линейному закону. 3. Вычисление размеров строба (блок 4). При этом используются точностные характеристики измеренных и экстраполированных координат, а также информация о пропуске отметок в стробе. 4. При отсутствии новой отметки для продолжения траектории проверяется критерий сброса этой траектории с сопровождения (блок 5). При выполнении критерия сброса сопровождение траектории прекращается, а предыдущая информация о ней стирается. Если же критерий сброса не выполняется, то в качестве координат новой отметки используются координаты экстраполированной точки и производится новый цикл вычислений. В общем случае при принятии решения о сбросе траектории с сопровождения необходимо учитывать не только наличие отметок для ее продолжения, но и ряд других факторов, к которым можно отнести: важность цели; возможности цели изменять свою траекторию в полете; текущие координаты цели; направление ее полета и продолжительность пребывания в зоне обзора РЛС и т. д. Однако учет этих факторов чрезвычайно сложен и не всегда доступен из-за ограниченной производительности вычислительных средств. Поэтому основным критерием при принятии решения о сбросе траектории с сопровождения является появление некоторой пороговой серии fa пропусков отметок в стробах сопровождения. Такой критерий сброса не учитывает индивидуальные особенности каждой траектории, а также не использует информацию о накопленном уровне точности к моменту появления серии пропусков. Единственное его достоинство — простота реализации на ЭВМ соответствующего алгоритма. При выборе fa необходимо исходить из следующих соображений. Чем больше кт, тем меньше вероятность принятия ложного решения о сбросе с сопровождения истинной траектории. С другой стороны, с увеличением fa увеличиваются число находящихся на сопровождении ложных траекторий и их средняя продолжительность. Поэтому при выборе fa необходимо учитывать статистические характеристики пропусков (необнаружений) истинных отметок. (Окончательный выбор значения fa обычно произ- водится при испытании системы обработки.) С учетом критерия сброса по fa пропускам подряд процесс сопровождения траектории описывается графом со случайными переходами (рис. 3.12). Характер состояний и переходов этого графа позволяет выделить следующие режимы сопровождения: 1) режим устойчивого сопровождения, характеризующийся тем, что граф находится в исходном состоянии 2) режим неустойчивого сопровождения, соответствующий одному из промежуточных состояний графа
3) режим сброса траектории с сопровождения, свидетельствующий о том, что число пропусков отметок подряд достигло порогового уровня
В этом случае граф алгоритма сопровождения траектории аналогичен графу алгоритма фиксации конца пачки двоично-квантованных сигналов [21]. Поэтому полностью совпадает и методика анализа этих алгоритмов. При статистическом анализе алгоритмов сопровождения основной интерес представляет среднее время существования ложной траектории и связанное с этим временем среднее число ложных траекторий, находящихся на сопровождении в установившемся режиме работы. Кроме того, интересным является определение вероятности сброса с сопровождения истинной траектории при заданном, значении вероятности обнаружения отметок. Установим здесь только зависимость между средним числом ложных траекторий, передаваемых на сопровождение в каждом обзоре, и средним числом ложных траекторий, находящихся на сопровождении в установившемся режиме работы. Для этого необходимо, прежде всего, определить вероятность окончания процесса сопровождения ложной траектории точно на μ-м шаге (обзоре) после передачи ее на сопровождение в момент μ=0. В случае критерия сброса по
Средняя длительность ложной траектории, выраженная числом обзоров, определяется теперь по формуле
Далее, если известно среднее число передаваемых на сопровождение ложных траекторий, то среднее число находящихся на сопровождении ложных траекторий определяется из выражения
Среднее число находящихся на сопровождении ложных траекторий учитывается при расчетах загрузки ЭВМ, на которой реализуются алгоритмы сопровождения траекторий. Объединенный алгоритм обнаружения и сопровождения траекторий. До сих пор имелось в виду, что алгоритмы обнаружения и сопровождения траекторий реализуются раздельно, т. е. в отдельных вычислительных устройствах (ЦВМ). На практике в ряде случаев более удобной является такая организация вторичной обработки, когда оба эти алгоритма объединены в единый алгоритм обнаружения и сопровождения траектории, а реализация объединенного алгоритма производится с помощью одной ЭВМ. В дальнейшем имеется в виду именно такой вариант построения системы обработки. Если заданы критерий завязки начала траектории пропусков подряд, то объединенный критерий обнаружения и сопровождения траектории можно символически записать в виде Граф объединенного алгоритма позволяет анализировать процесс обнаружения и сопровождения траекторий в целом вместо анализа по частям, проведенного выше. Не повторяя рассуждений и выводов предыдущих параграфов, уточним полученные там результаты. В частности,
уточнению подлежит полученное выражение для числа начальных точек ложных траекторий, образующих- ся R установившемся режиме работы [(см. (3.30)].В объединенном алгоритме, реализующем критерий
в данном случае может быть сколь угодно большим. Таким образом, в объединенном алгоритме число ложных отметок, принимаемых на начальные точки новых траекторий, определяется по формуле
Если критерий подтверждения имеет вид
т. е. меньше, чем для случая раздельной реализации, так как число начальных точек уменьшилось. Соответственно уменьшится и число ложных траекторий, находящихся на сопровождении. АЛГОРИТМЫ ФИЛЬТРАЦИИИ ЭКСТРАПОЛЯЦИИ ПАРАМЕТРОВ ТРАЕКТОРИЙ ЦЕЛЕЙ ПО ДАННЫМ РАДИОЛОКАЦИОННЫХ ИЗМЕРЕНИЙ Представление фильтруемого процесса Модель траектории цели. При решении задач фильтрации принципиальное значение имеет способ представления процесса изменения фильтруемых параметров цели во времени. В нашем случае это соответствует выбору модели траектории цели. В задачах вторичной обработки радиолокационной информации с учетом дискретности процесса измерения координат цели и возмущений модель траектории можно задать системой линейных разностных уравнений, которая в векторной форме записывается в виде
При полиномиальном представлении независимых координат цели прогнозирование параметров невозмущенной траектории, например по координате дальности r(t), производится по формулам:
При записи выражений (4.2) в векторно-матричномвиде
Выражения для невозмущенных параметров траектории по другим независимым координатам записывается аналогично. Во втором слагаемом уравнения модели (4.1) в первую очередь должны быть учтены возмущения, обусловленные неоднородностью среды, в которой движется цель; атмосферными явлениями, а также неточностью и инерционностью системы управления и стабилизации параметров цели в полете. Назовем их шумом управления. Обычно шум управления представляется как дискретный белый шум с математическим ожиданием, равным нулю, и корреляционной матрицей
где
Кроме шумов управления в модели траектории необходимо учитывать специфические возмущения, обусловленные непредвиденными для наблюдателя изменениями параметров траектории, которые обусловлены маневром цели. Эти возмущения назовем шумом маневрирования. В общем случае шум маневрирования не является ни белым, ни гауссовским. Один из возможных примеров представления плотности распределения вероятности ускорения (интенсивности маневра) самолета по одной из координат приведен на рис. 4.1, где Ро — вероятность отсутствия маневра, Pi — вероятность маневра с максимальным ускорением
Равновероятность промежуточных значений интенсивности маневра можно обосновать, например, тем, что проекция интенсивности маневра самолета по курсу (наиболее частый случай маневра) на произвольное направление принимает любое знамение в пределах Поскольку выполнение маневра обычно требует значительного времени (во всяком случае большего, чем интервал времени
Последующие значения интенсивности маневра могут быть выражены через предыдущие:
где В практике проектирования и исследования систем обработки радиолокационной информации условно считают, что множество целей можно разделить на неманеврирующие и маневрирующие. Цель считается неманеврирующей, если она движется по прямой с постоянной скоростью (с точностью до влияния интенсивности шума управления), во всех других случаях — маневрирующей. Например, для аэродинамических объектов в качестве основной принимается модель неманеврирующей цели, каждая из независимых координат которой описывается полиномом первой степени. Однако такая классификация имеет смысл только если в процессе обработки радиолокационной информации фильтруемые параметры представлены в декартовой системе координат. Если же фильтруемые параметры представлены в полярной (сферической) системе координат, то они изменяются нелинейно и при прямолинейном и равномерном движении ноли. В этом случае для представления независимых координат должны быть использованы по крайней мере полиномы второй степени. Модель процесса измерения. При решении задач фильтрации кроме модели траектории необходимо задать связи между m-мерным вектором измеряемых координат Yn и s-мерным вектором оцениваемых параметров n-го измерения. Эта связь обычно задается линейным алгебраическим соотношением
где Н„ — известная (mXs)-мерная матрица, устанавливающая связь между наблюдаемыми координатами и оцениваемыми параметрами; ΔΥn — погрешность измерения координат. В рассматриваемом случае наблюдаемыми являются текущие координаты целей в сферической системе координат (дальность которых РЛС в качестве измеряемой координаты может быть также радиальная скорость Матрица
Если же по измеренным полярным координатам фильтруются параметры траектории в декартовой системе координат
Аналогично определяются элементы матрицы
1. Погрешности измерения независимых наблюдаемых координат не зависят друг от друга. Это позволяет решать задачи фильтрации по каждой наблюдаемой координате раздельно. 2. В общем случае совокупность погрешностей измерения каждой координаты в момент времени
Симметричные относительно диагонали элементы корреляционной матрицы В заключение отметим, что модель траектории цели вместе с моделью процесса измерения образуют модель объединенной динамической системы, представляющей процесс, подлежащий фильтрации. Схема объединенной динамической модели приведена на рис. 4.2 (двойныестрелки обозначают многомерные (векторные) связи) [2]. Алгоритмы линейной фильтрации и экстраполяции при фиксированной выборке измерений Алгоритмы линейной фильтрации и экстраполяции параметров траектории в данном параграфе получены при следующих исходных предпосылках. 1. Модель невозмущеннон траектории цели по каждой из независимых координат задается в виде полино- миальной функции
степень s которой определяется принятой гипотезой движения цели. В выражении (4.10) коэффициенты полинома имеют смысл координаты, скорости изменения координаты, ускорения и т. д., которые являются параметрами траектории цели. Совокупность параметров за время измерения этот вектор остается неизменным. 2. Результаты измерения координаты
3. Условная плотность вероятности погрешности единичного измерения
4. Совокупность погрешностей измерения координаты
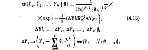
5. Априорная информация о фильтруемых параметрах отсутствует. Это соответствует случаю оценки параметров на начальном участке траектории, т. е. при ее завязке по совокупности специальным образом отобранных отметок. Полученные таким образом оценки используются в дальнейшем в качестве априорных данных на последующих этапах фильтрации. При отсутствии априорной информации задачи оптимальной фильтрации решаются по критерию максимального правдоподобия. Таким образом, в данном параграфе рассматриваются алгоритмы фильтрации и экстраполяции параметров полиномиальной траектории по фиксированной выборке измерений, оптимальные по критерию максимального правдоподобия. Алгоритм оптимальной оценки параметров полиномиальной траектории по критерию максимального правдоподобия (общий случай). Функция правдоподобия для оцениваемого векторного параметра ности вероятности N-мерной выборки коррелированных нормально распределенных случайных величин и в векторно-матричном представлении имеет вид
В дальнейшем удобнее перейти к натуральному логарифму функции правдоподобия
Теперь в соответствии с методом максимального правдоподобия для нахождения оценок параметров траектории необходимо продифференцировать выражение (4.15) по составляющим вектора оцениваемых параметров в каждой точке измерения и приравнять нулю при
Окончательное решение уравнения правдоподобия для общего случая коррелированных погрешностей имеет вид
Если погрешности измерения не коррелированы, то
что в точности совпадает с оценками, получаемыми методом наименьших квадратов. 1. Кузьмин С. 3. «Цифровая обработка радиолокационной информации М., «Сов.радио», 1967 |







































