Курсовая работа: Розробка програми розрахунку параметрів підшипника та швидкісної характеристики автомобіля
|
Название: Розробка програми розрахунку параметрів підшипника та швидкісної характеристики автомобіля Раздел: Рефераты по информатике Тип: курсовая работа | |||||||||||||||||||||||||||||||||||||||||||||||||||||||||||||||||||||||||||||||||||||||||||||||||
| ЗМІСТ Вступ 1 РОЗРОБИТИ ПРОГРАМУ ДЛЯ ВИЗНАЧЕННЯ НЕОБХІДНОЇ ДИНАМІЧНОЇ НАВАНТАЖНОСТІ ЗАДНЬОГО ПІДШИПНИКА ВТОРИНОГО ВАЛУ КОРОБКИ ПЕРЕДАЧ 1.1 Теоретичні відомості 1.2 Постановка задачі 1.3 Розробка алгоритмів розв’язання задачі 1.4 Вибір типу та структури оброблюваних даних1.5 Програмування програми на мові Pascal 7.0 2 РОЗРОБИТИ ПРОГРАМУ ДЛЯ РОЗВЯЗАННЯ СИСТЕМ ЛІНІЙНИХ АЛГЕБРАЇЧНИХ РІВНЯНЬ 2.1 Теоретичні відомості 2.2 Умова та формалізація задачі 2.3 Складання алгоритму 2.4 Вибір типу та структури оброблюваних даних2.5 Складання програми 3 РОЗРОБИТИ ПРОГРАМУ ДЛЯ ОБРАХУНКУ ТА ГРАФІЧНОГО ВІДОБРАЖЕННЯ ЗОВНІШНЬОЇ ШВИДКІСНОЇ ХАРАКТЕРИСТИКИ ЛЕГКОВОГО АВТОМОБІЛЯ 3.1 Теоретичні відомості 3.2 Необхідні початкові дані 3.3 Формалізація задачі 3.4 Розробка алгоритмів розв’язання задачі 3.5 Вибір типу та структури оброблюваних даних 3.6 Програмування задачі на мові програмування pascal 7 3.7 Відлагодження програми ВисновокПЕРЕЛІК ПОСИЛАНЬ ВСТУП Невже можливо уявити на сьогоднішній день виробництво автомобільної продукції високої якості без впровадження комп’ютерних технологій. Хіба доцільно зараз вести мову про вихід українського товару на міжнародний ринок торгівлі, коли на заводах встановлене обладнання за часів СРСР. Тому важливим завданням для інженерів на сьогоднішній день є освоєння повної автоматизації виробництва, що в свою чергу вимагає досконало володіти програмуванням, мати поглибленні знання з точних наук та уміло поєднувати одне з іншим, що і є метою даної курсової роботи. Тільки в такому разі продукція зможе конкурувати з провідними виробниками світу. Тому я вважаю, що дана курсова робота дасть нам змогу зрозуміти яким повинен бути інженер нашого покоління через наступних п'ять років, а також є одним із важливих етапів підготовки висококваліфікованих спеціалістів в галузі інженерії. 1 РОЗРОБИТИ ПРОГРАМУ ДЛЯ ВИЗНАЧЕННЯ НЕОБХІДНОЇ ДИНАМІЧНОЇ НАВАНТАЖНОСТІ ЗАДНЬОГО ПІДШИПНИКА ВТОРИНОГО ВАЛУ КОРОБКИ ПЕРЕДАЧ 1.1 Теоретичні відомості Призначення коробки передач - змінювати силу тяги, швидкість і напрям руху автомобіля. У автомобільних двигунів із зменшенням частоти обертання колінчастого валу крутний момент трохи зростає, досягає максимального значення і при подальшому зниженні частоти обертання також зменшується. Проте при русі автомобіля на підйомах, по поганих дорогах, і швидкому розгоні необхідно збільшувати крутний момент що передається від двигуна до ведучих коліс. Для цієї мети і служить коробка передач, в яку входить також передача, що дозволяє автомобілю рухатися заднім ходом. Крім того, коробка передач забезпечує роз'єднання двигуна з трансмісією. Ступінчаста коробка передач складається з набору зубчатих коліс, які входять в зачеплення в різних поєднаннях, утворюючи декілька передач або ступенів з різними передавальними числами. Чим більше число передач, тим краще автомобіль «пристосовується» до різних умов руху. Коробка передач повинна працювати безшумно, з мінімальним зносом; цього досягають застосуванням зубчатих коліс з косими зубами. Ступінчасті коробки передач по числу передач переднього ходу ділять на чотирьох- і п'ятиступінчасті. Зазвичай коробки передач легкових автомобілів, малогабаритних автобусів і вантажних автомобілів невеликої вантажопідйомності мають чотири ступені, а коробки передач великих автобусів і вантажних автомобілів значної грузопід’ємності - п'ять ступенів. Ступінчасті коробки передач можуть бути прості і планетарні. В основному на автомобілях застосовують прості ступінчасті коробки передач, перемикання передач в яких відбувається двома способами: пересуванням зубчатих коліс або пересуванням муфт. Іноді автомобілі обладнали безступінчатими коробками передач з плавною зміною передавального числа і комбінованими коробками передач, в яких використано обидва способи зміни передавального числа. Ведений вал виконаний заразом як ціле з ведучею шестернею головної передачі і обертається на трьох підшипниках, запресованих в картер коробки передач. Від осьових переміщень, що виникають під дією осьових сил на сталевих зубах при передачі крутного моменту підшипник фіксується кришкою, яка кріпиться до картера чотирма болтами і затискається моментом 3,2-4 кгс-м. Підшипники кочення (Рис.1) являють собою готовий вузол, основним елементом якого є тіла кочення — кульки 3 або ролики, установлені між кільцями 1 і 2 і утримувані на визначеній відстані один від одного обоймою, називаної сепаратором 4. У процесі роботи тіла кочення котяться по доріжках кочення кілець, одне з яких у більшості випадків нерухоме.
Рис.1 Шариковий радіальний підшипник Вали і шестерні знаходяться в чавунному картері коробки передач, вони виготовляються з легірованої сталі. Опорами для валів (ведучого, веденого, проміжного) служать кулькові або роликові підшипники, а для проміжної шестерні заднього ходу - зазвичай бронзова втулка. При запуску двигуна коробка не знаходяться в зачепленні ні із зубчастим колесом ведучого валу, ні з шестернями проміжного валу. Таким чином, коли двигун працює, в коробці передач обертаються вхолосту ведучий вал проміжний вал. Ведений вал коробки передач, а отже, і провідні колеса автомобіля не обертатимуться. Щоб привести автомобіль в рух, включають першу передачу з найбільшим передавальним числом, для цього потрібно каретку ведучого валу пересунути вперед і ввести в зачеплення. Основні причини втрати працездатності підшипників кочення наступні. Викришування робочих поверхонь тіл кочення і доріжок кочення кілець у виді раковин чи відшаровування (шелушения) унаслідок циклічного контактного нагруження. Викришування є основним видом руйнування підшипників, звичайно спостерігається після тривалої роботи і супроводжується стукотом і вібраціями. Пластичні деформації на доріжках кочення (ум'ятини) унаслідок дії ударних навантажень або великих статичних навантажень без обертання. Задири робочих поверхонь кочення при недостатнім змазуванні або занадто малих зазорах через неправильний монтаж. Абразивний знос в наслідок поганого захисту підшипника від попадання пилу. Застосування зроблених конструкцій ущільнень підшипникових вузлів зменшує знос робочих поверхонь підшипника. Руйнування сепараторів від дії відцентрових сил і впливу на сепаратор тіл кочення. Цей вид руйнування є основною причиною втрати працездатності швидкохідних підшипників. Розколювання кілець і тіл кочення через перекоси при монтажі або при великих динамічних навантаженнях. 1.2 Постановка задачі Згідно із варіантом вибираємо початкові дані: 1) Тип автомобіля - легковий 2) Довговічність підшипника 300000км. H 3) Доля тривалості використання першої передачі 0,01 Доля тривалості використання другої передачі 0,03 Доля тривалості використання третьої передачі 0,06 Доля тривалості використання четвертої передачі 0,15 Доля тривалості використання п’ятої передачі 0,75 4) Коефіцієнт безпеки коробки передач К6 = 1,1…1,3 5) Температурний режим t =100 градусів то Кт =1. 6) Частота обертання кільця підшипника на передачах. На нетральній передачі 4,55 На першій 3,115 На другій 1,772 На третій 1,00 На четвертій 1,00 На п’ятій 1,00 7) Радіальне навантаження на передачах. На першій 8340 H На другій 5030 H На третій 0 H На четвертій 0 H На п’ятій 0 H 8) Осьове навантаження. Другої передачі 2600 H Третьої передачі 0 H Четвертої передачі 0 H П’ятої передачі 0 H 9) Середня швидкість автомобіля V =50км\год Для розрахунку динамічної вантажності підшипника ми повинні розрахувати за формулами : Середню частоту обертання первинного вала. Ncr
Де, Vcep - середня швидкість руху автомобіля, км/год; U.i - передаточне число і-тої передачі; p - показник степеня ( для кулькового підшипника р=3); Rk = 0.335 мм ; Середню частоту обертання первинного вала Ni
і – Номер передачі; Відносну частоту обертання підшипника на всіх передачах. B
N.i - частота обертання кільця підшипника, що розглядається на і-тій передачі; N.ekv- 1000 хв"' - еквівалентна частота обертання підшипника; Умовне навантаження на підшипник на всіх передачах . Rni
V - коефіцієнт, що враховує, яке кільце обертається; К6 - коефіцієнт безпеки ; Кт - коефіцієнт, який враховує температурний режим; X і У - коефіцієнти радіального і осьового навантажень, що залежить від типу і розмірів підшипника; Fai - осьове навантаження, що діє на підшипник при включені і-тої передачі, Н; Fr- радіальне навантаження, що діє на підшипник при включені і-тої передачі. Еквівалентне навантаження, що діє на підшипник. Rekv
Ai - доля тривалості використання і-тої передачі; Динамічну завантаженість. C
H - довговічність роботи підшипника, год.; Fn- радіальне навантаження, що діє на підшипник при включені і-тої передачі. 1.3 Розробка алгоритмів розв’язання задачі
Рис 2. Блок-схема розв’язку задачі варіант №1
Рис.3 Блок-схема розв’язку задачі варіант №2 Варіант 2 більш універсальні ший тому використаємо його. 1.4 Вибір типу та структури оброблюваних данихВ процесі розв’язку поставленої задачі оброблюються дані типу, що наводиться у таблиці 2.1 Таблиця 1.1 – Типи даних, що будуть використовуватись при розробці програми
1.5 Програмування програми на мові Pascal 7.0 program kyrca4; {by zaveruha91} uses crt; const Rk=0.335; Fr0=0; Fa0=0; A0=0; Label M1; var U0,U1,U2,U3,U4,U5, Ncr1,Ncr2,Ncr3,Ncr4,Ncr0,Ncr5, Ni_1,Ni_2,Ni_3,Ni_4,Ni_5,Ni_0, B1,B2,B3,B4,B5,B0, Rni_1,Rni_2,Rni_3,Rni_4,Rni_5,Rni_0, X,Y, Rekv,c,Vcer, Fr1,Fr2,Fr3,Fr4,Fr5, Fa1,Fa2,Fa3,Fa4,Fa5, A1,A2,A3,A4,A5,kb,h, Q1,Q2,Q3,Q4,Q5,Q0 { zry4na zamina } :real; begin clrscr; writeln('vedit 4actoty obertanna kolsa podshipnika abo 0'); writeln('netral pereda4a U0'); readln(U0); writeln('persha peredas4a U1'); readln(U1); writeln('dryga pereda4a U2'); readln(U2); writeln('treta pereda4a U3'); readln(U3); writeln('4etverta pereda4a U4'); readln(U4); writeln('5-ta pereda4a U5'); readln(U5); writeln ('vedit shvidkict rekomendovano 50 '); readln(Vcer); writeln('koficient rad i oc navantagena vidpovidno do pidshipnika X,Y'); readln(X,Y); writeln ('vedit radialne navantagenna '); writeln('pershoi pereda4i'); readln(Fr1); writeln('2-go pereda4i'); readln(Fr2); writeln('3-go pereda4i'); readln(Fr3); writeln('4-go pereda4i'); readln(Fr4); writeln('5-go pereda4i'); readln(Fr5); writeln('ocove navantagenna pereda4'); writeln('pershoi pereda4i'); readln (Fa1); writeln('drygoi pereda4i'); readln (Fa2); writeln('tretoi pereda4i'); readln (Fa3); writeln('4etvertoi pereda4i'); readln (Fa4); writeln('5-oi pereda4i'); readln (Fa5); writeln('vedit 4ac trivalocti pereda4i'); writeln('persha'); readln(A1); writeln('dryga'); readln(A2); writeln('treta'); readln(A3); writeln('4etverta'); readln(A4); writeln('5-ta'); readln(A5); m1: writeln('vedit kofisient dla korobki v megax ! 1.1....1.3'); readln(kb); if 1.1>kb then goto m1 ; if kb>1.3 then Goto m1 ; writeln(vediti dovgovi4nicnit pidshipnika km); readln(h); {__________ ceredna 4actota________________} Ncr0:=Vcer*U0/(0.377*Rk); Ncr1:=Vcer*U1/(0.377*Rk); Ncr2:=Vcer*U2/(0.377*Rk); Ncr3:=Vcer*U3/(0.377*Rk); Ncr4:=Vcer*U4/(0.377*Rk); Ncr5:=Vcer*U5/(0.377*Rk); {____________4astota obretana kolca __________} Ni_1:=Ncr1/1; Ni_2:=Ncr2/2; Ni_3:=Ncr3/3; Ni_4:=Ncr4/4; Ni_5:=Ncr5/5; {________ Vidnosna 4actota pidshipnika ________} B0:=Ni_0/1000; B1:=Ni_1/1000; B2:=Ni_2/1000; B3:=Ni_3/1000; B4:=Ni_4/1000; B5:=Ni_5/1000; {_____________ umovne navantagena _____________} Rni_0:=(1*X*Fr0+Y*Fa0)*kb*1; Rni_1:=(1*X*Fr1+Y*Fa1)*kb*1; Rni_2:=(1*X*Fr2+Y*Fa2)*kb*1; Rni_3:=(1*X*Fr3+Y*Fa3)*kb*1; Rni_4:=(1*X*Fr4+Y*Fa4)*kb*1; Rni_5:=(1*X*Fr5+Y*Fa5)*kb*1; {_________ ekvivalentne navantagena ___________} Q0:= a0*B0*(sqr(Rni_0)*Rni_0); Q1:= a1*B1*(sqr(Rni_1)*Rni_1); Q2:= a2*B2*(sqr(Rni_2)*Rni_2); Q3:= a3*B3*(sqr(Rni_3)*Rni_3); Q4:= a4*B4*(sqr(Rni_4)*Rni_4); Q5:= a5*B5*(sqr(Rni_5)*Rni_5); Rekv:=exp(1/3+LN( Q0+Q1+Q2+Q3+Q4+Q5)); C:=Rekv*exp(1/3+Ln(60/1E+6*1000*h)); writeln('DANI'); writeln('4astota seredna__0=',Ncr0); writeln('4astota seredna__1=',Ncr1); writeln('4astota seredna__2=',Ncr2); writeln('4astota seredna__3=',Ncr3); writeln('4astota seredna__4=',Ncr4); writeln('4astota seredna__5=',Ncr5); writeln('4astota obertana kolca__0=',Ni_0); writeln('4astota obertana kolca__1=',Ni_1); writeln('4astota obertana kolca__2=',Ni_2); writeln('4astota obertana kolca__3=',Ni_3); writeln('4astota obertana kolca__4=',Ni_4); writeln('4astota obertana kolca__5=',Ni_5); writeln('Vidnosna 4actota pidshipnika __0=',B0); writeln('Vidnosna 4actota pidshipnika __1=',B1); writeln('Vidnosna 4actota pidshipnika __2=',B2); writeln('Vidnosna 4actota pidshipnika __3=',B3); writeln('Vidnosna 4actota pidshipnika __4=',B4); writeln('Vidnosna 4actota pidshipnika __5=',B5); writeln('umovne navantagena__0=',Rni_0,' H'); writeln('umovne navantagena__1=',Rni_1,' H'); writeln('umovne navantagena__2=',Rni_2,' H'); writeln('umovne navantagena__3=',Rni_3,' H'); writeln('umovne navantagena__4=',Rni_4,' H'); writeln('umovne navantagena__5=',Rni_5,' H'); writeln('ekvivalentne navantagena=',Rekv,' H'); writeln('Dinami4ne navantagenna=',c,'H'); readln; end. Перевірка програми показана на рисунку Рис.4
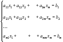
Рис.4 Розрахунок в програмі Pascal 7.0 2 РОЗРОБИТИ ПРОГРАМУ ДЛЯ РОЗВЯЗАННЯ СИСТЕМ ЛІНІЙНИХ АЛГЕБРАЇЧНИХ РІВНЯНЬ 2.1 Теоретичні відомості Рішення систем лінійних рівнянь алгебри методом Гауса Розглянемо тепер прямокутну матрицю
що має m рядків і n стовпців. Її називають матриця розміром m на n. А(mхn). Виділимо в цій матриці довільні до рядків і до стовпців. Вони утворюють квадратну матрицю B(kхk) Цей простий процес називається простій підстановкою. Таким чином, процес рішення системи лінійних рівнянь алгебри по методу Гауса складається з двох етапів. Перший етап (прямий хід методу) – система приводиться до трикутного вигляду. Другий етап (зворотний хід) – невідомі визначаються послідовно, починаючи з останнього невідомого і кінчаючи першим. Аналогічно, цю ідею послідовного виключення можна застосувати і у разі матриці А(mxm) розміру більше 3х3.
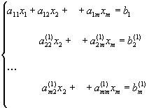
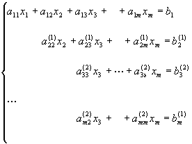
Без обмеження спільності можна вважати, що в наший системі провідний елемент a110 першого кроку (інакше просто переставимо рівняння). На першому кроці ми просто виключимо х1 зі всіх рівнянь, починаючи з другого, для чого з другого рівняння почленно віднімемо перше, помножене на а21/а11, з третього почленно віднімемо перше, помножене на а31/а11 і т.д.. Тоді система заміниться еквівалентною системою:
Коефіцієнти при невідомих і вільні члени в останніх m-1 рівняннях системи, визначаються формулами:
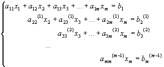
Таким чином, на першому кроці знищуються всі коефіцієнти, лежачі під першим провідним елементом a110 На другому кроці знищуються елементи, лежачі під другим провідним елементом а22(1) (якщо a22(1) 0)
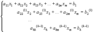
Продовжуючи цей процес і далі, ми, нарешті, на (m-1) кроці приведемо початкову систему до трикутної системи.
Матриця цієї системи має вигляд
На цьому прямий хід методу Гауса закінчується. Другий етап – зворотний хід, полягає в рішенні трикутної системи. З останнього рівняння знаходимо xm. По знайденому xm з (m-1) рівняння знаходимо xm-1. Потім по xm-1 і xm з (m-2) рівняння знаходимо xm-2. Процес продовжуємо, поки не знайдемо x1 з першого рівняння. Якщо у нас число рівнянь менше числа невідомих, то ми прийдемо не до трикутної системи, а до ступінчастої.
оскільки прямий хід методу Гауса урветься, коли рівняння закінчаться, а невідомі ще залишаться. У такому разі в кожному рівнянні системи перенесемо всі члени з невідомими xk+1..,xm у праву частину. Додаючи невідомим xk+1..,xm (званим вільними) довільні значення, отримаємо трикутну систему з якої послідовно знайдемо все решта невідомих (звані базисними). Оскільки довільні значення можна надавати будь-якими способами, система матиме незліченну безліч значень. У рішенні наступного прикладу не виписуватимемо кожну систему, а обмежимося лише перетвореннями над матрицями:
Розширена матриця системи 2.2 Умова та формалізація задачі Заданна матриця
Задача зводиться до створення масива методом вводу його з клавіватури та обчислення матриці для знаходження коренів рівнянь. 2.3 Складання алгоритму
Рис.5 Складання блок-схеми програми варіант №1
Рис.6 Складання блок-схеми для програми варіант №2 Використаний другий метод ( варіант2) тому що він зручніший в роботі. 2.4 Вибір типу та структури оброблюваних данихВ процесі розв’язку поставленої задачі оброблюються дані типу, що наводиться у таблиці 2.1. Таблиця 2.1 – Типи даних, що будуть використовуватись при розробці програми
З метою збереження і обробки в пам’яті ЕОМ прийняті системи ідентифікаторів, які подані у таблицях 2.1, 2.2 відповідно до методу розв’язання задачі. Таблиця 2.2 – Прийнята система ідентифікаторів для програмування за методом Гауса
2.5 Складання програми Матриця вводиться з файлу
Рис.7 Матриця записана в блокноті 2.6 Програмування на мові Pascal 7.0 Program Gaus; {by zaveryha91} Uses Crt; Const N=5; Var A:Array[1..N,1..N+1] Of Real; B:Array[1..N] Of Real; i,j,k:Integer; Q:Real; f:Text; x,y:byte; Begin ClrScr; Assign(f,'gaus.txt'); Reset(f); For i:=1 To N Do Begin For j:=1 To N+1 Do Read(f,A[i,j]); ReadLn(f); End; Close(f); For i:=1 To N-1 Do For j:=N DownTo i+1 Do Begin Q:=A[j,i]/A[i,i]; For k:=i To N+1 Do A[j,k]:=A[j,k]-A[i,k]*Q End; For i:=N DownTo 1 Do Begin B[i]:=A[i,N+1]; For j:=N DownTo i+1 Do B[i]:=B[i]-A[i,j]*B[j]; B[i]:=B[i]/A[i,i] End; WriteLn(' programa rozraxynky cictem metodom gausa'); WriteLn; WriteLn('nevidomi'); For i:=1 To N Do WriteLn('X',i,'=',B[i]:5:3); WriteLn; WriteLn('programa rabotaet natncnit ENTER :)'); ReadLn End. Перевірка програми показана на рис.8
Рис.8 Перевірка програми 3 РОЗРОБИТИ ПРОГРАМУ ДЛЯ ОБРАХУНКУ ТА ГРАФІЧНОГО ВІДОБРАЖЕННЯ ЗОВНІШНЬОЇ ШВИДКІСНОЇ ХАРАКТЕРИСТИКИ ЛЕГКОВОГО АВТОМОБІЛЯ 3.1 Теоретичні відомості При покупці автомобіля крім його дизайну і інтер'єру салону майбутнього власника поза сумнівом цікавлять і динамічні якості транспортного засобу, що набуває. Останні багато в чому залежать від технічних характеристик двигуна, встановленого на автомобілі. Найбільш об'єктивну оцінку динамічних якостей автомобільного двигуна можна отримати при аналізі його зовнішньої швидкісної характеристики. Зовнішня швидкісна характеристика є залежністю показників роботи двигуна(потужності, моменту, що крутить, коефіцієнта наповнення циліндрів, питомої ефективної витрати палива і ін.) від частоти обертання колінчастого валу (КВ) при незмінному положенні органу управління, що забезпечує максимальну подачу палива в циліндри. Важливим параметром автомобільного двигуна, що дозволяє оцінити стійкість його режиму при роботі по зовнішній швидкісній характеристиці, є коефіцієнт пристосовності (k). Значення визначається відношенням максимального моменту, що крутить, до номінального моменту, що крутить, розвивається двигуном на номінальній потужності при номінальній частоті обертання Кв. Особливо помітно значущість цього параметра виявляється у разі подолання автомобілем крутих підйомів. Чим більше значення до, тим більший опір руху може подолати автомобіль без перемикання коробки передач на знижену передачу. Важливе значення при цьому має і діапазон зміни частоти обертання КВ, в якому двигун стійко працює: чим більше цей діапазон, тим кращими динамічними якостями володіє автомобіль, тим легше управління двигуном. Швидкісний діапазон стійкої роботи двигуна оцінюється швидкісним коефіцієнтом (kс), що є відношенням частоти обертання КВ при максимальному моменті, що крутить, до номінальної частоти обертання. Звідси витікає, що чим більше діапазон стійкої роботи двигуна, тим менше значення kс. Це означає, що при інших рівних параметрах порівнюваних автомобілів перевагу слід віддати автомобілю, двигун якого характеризується меншим значенням kс. Слід назвати і ще один важливий показник, який достатньо часто застосовується для оцінки динамічних якостей легкових автомобілів, - це прийомистість. Під прийомистістю зазвичай розуміється час розгону автомобіля з місця до швидкості 100 км/ч. Цей показник багато в чому визначається значеннями до і kс, але, крім того, він залежить від співвідношення номінальної потужності двигуна і маси автомобіля. Чим менше маса автомобіля, що доводиться на одиницю номінальної потужності двигуна,тим менше часу вимагається автомобілю для досягнення вказаної швидкості. Очевидно, що прийомистість автомобіля з дизельним двигуном тієї ж потужності, що і у бензинового, буде дещо гірше, оскільки питома маса такого автомобіля більша. Відмітимо, що прийомистість окремих спортивних автомобілів, підданих тюнінгу, оцінюється часом менше 5 секунд. Загальновизнаними механічними характеристиками ДВЗ вважаються швидкісна та вантажна. Швидкісна характеристика – сукупність залежностей Nе
( при сталому органі керування подачі палива. Якщо орган керування доведений до упору, то відповідна характеристика зовнішньою. Вантажна характеристика – сукупність залежностей годинної
Рис. 9 – Зміна основних показників двигуна залежно віж частоти обертання маховика Для аналізу руху АТЗ достатньо швидкісних характеристик. На рис. 1 наведено графіки зміни основних показників енергетики та динаміки АТЗ залежно від частоти обертання маховика при доведеному до упору органі керування, тобто швидкісні зовнішні характеристики, що визначають граничні функціональні якості двигуна включно до кутової швидкості розносу
Аналіз графіків показує, що у всьому діапазоні зміни частоти обертання маховика годинні витрати палива Характерною для дизеля є незначна зміна питомих витрат палива у робочому діапазоні частот обертання маховика (близько 5%), у карбюраторного двигуна ця залежність значно більша. Зазначимо, що початкові ділянки кривих Nе
( Робочий діапазон частот обертання:
Діапазон За характерними точками зовнішньої характеристики визначаються параметри двигуна як джерела енергії. До них належать прямі показники – це максимальні потужність
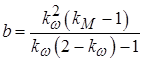
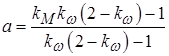
де Меm , MeN – ефективні моменти, максимальний і такий, що відповідає максимальній потужності;
Чим вище значення цих коефіцієнтів, тим більша внутрішня автоматичність саморегулювання двигуна і тим ширший може бути діапазон зміни ефективної швидкості руху. Ці властивості двигуна перш за все треба враховувати під час вибору кількості передач і передаточних чисел трансмісії. У сучасних двигунах АТЗ коефіцієнти пристосовності неоднакові і залежно від конструкції змінюються:
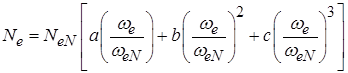
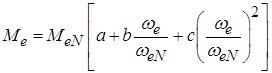
Для практичних розрахунків та наукових досліджень треба характеристику двигуна виразити математично. Зовнішня швидкісна характеристика з достатньою точністю описується параболами другого або третього порядків:
де й, b, c — емпіричні константи. Зазначимо, що параметри параболи можна визначати різними методами залежно від потрібної точності. Так, експериментальну криву можна описати перекинутою параболою, або параболою, що проходить по характерним точкам, наприклад по
3.2 Необхідні початкові дані – максимальна потужність двигуна – максимальний крутний момент двигуна – питома витрата палива – кількість обертів двигуна при максимальній потужності – кількість обертів двигуна при максимальному моменті – табличні дані з графіків зовнішньої швидкісної характеристики. 3.3 Формалізація задачі Для вирішення даної задачі необхідно за даними графіків зовнішньої швидкісної характеристики двигуна J6R створити математичні моделі його механічних характеристик. Апроксимування функцій будемо виконувати за допомогою методу найменших квадратів. Функція
Потрібно так підібрати коефіцієнти
щоб сума квадратів відхилення полінома від заданих значень функції
була мінімальною. Використовуючи умову екстремуму функції кількох змінних:
можна скласти систему лінійних алгебраїчних рівнянь, відносно коефіцієнтів Якщо в якості апроксимуючого полінома вибрати степеневий поліном виду
та
то система рівнянь буде мати вигляд (3.15).
Ця система рівнянь лінійна відносно Таким чином, алгоритм МНК включає три етапи: 1. Формування системи рівнянь. 2. Розв"язання системи лінійних алгебраїчних рівнянь та знаходження коефіцієнтів апроксимуючого полінома
3. Вибір "оптимального" (найкращого) степеня При розробці алгоритма і програми формування системи рівнянь необхідно скористатись тим, що в матриці коефіцієнтів знаходяться суми від від
3.4 Розробка алгоритмів розв’язання задачі
Рис.10 – схема алгоритму метода найменших квадратів для знаходження коефіцієнтів степеневого апроксимуючого полінома 3.5 Вибір типу та структури оброблюваних даних В процесі розв’язку поставленої задачі оброблюються дані наступного типу: Таблиця 3.1
З метою збереження і обробки в пам’яті ЕОМ прийнята така система ідентифікаторів: Таблиця 3.2
3.6 Програмування задачі на мові програмування pascal 7.0 Program Aproksimatsia; Uses CRT; Type mas= array[1..25,1..25] of real; mas1= array[1..25] of real; Var a: mas; c,b,x,x1,y1: mas1; n,n1,i1,i3,i2,j1,j3,j2,m1: integer; e1: real; t,h,a1,b1,b2,eps,s,s0:real; i,j,k,n2:integer; Procedure MNK(n1:integer;x1,y1:mas1;var a:mas); Var k2:integer; z1,f,e : real; BEGIN for k2:=1 to n1 do begin z1:=x1[k2]; f:=y1[k2]; e:=1; for i2:=1 to 2*m1+1 do begin c[i2]:=c[i2]+e; if i2<=m1+1 then b[i2]:=b[i2]+e*f; e:=e*z1 end; end; for i2:=1 to m1+1 do begin for j2:=1 to m1+1 do a[i2,j2]:=c[i2+j2-1]; end; END; Procedure Gaus(n:integer;a:mas; b:mas1; var x:mas1); Var i,j,k,l:integer; max,z,s,m : real; BEGIN writeln('**** Vixidna sistema rivnyan ****'); for i:=1 to n do begin for j:=1 to n do write(' ',a[i,j]:5:2); write(' ',b[i]:5:2); WRITELN; end; WRITELN; for k:=1 to n-1 do begin max:=abs(a[k,k]); l:=k; for i:=k+1 to n do begin if abs(a[i,k])>max then begin l:=i; max:=abs(a[i,k]); end; end; if l<>k then begin for j:=k to n do begin z:=a[l,j]; a[l,j]:=a[k,j]; a[k,j]:=z; end; z:=b[l]; b[l]:=b[k]; b[k]:=z; end; for i:=k+1 to n do begin m:=a[i,k]/a[k,k]; for j:=k to n do a[i,j]:=a[i,j]-m*a[k,j]; b[i]:=b[i]-m*b[k]; a[i,k]:=0; end; end; Writeln('*** trikytna sistema rivnayn ***'); for i:=1 to n do begin for j:=1 to n do write(' ',a[i,j]:5:2); write(' ',b[i]:5:2); WRITELN; end; writeln; (*** xod nazad ***) x[n]:=b[n]/a[n,n]; for i:=n-1 downto 1 do begin s:=0; for j:=i+1 to n do s:=s+x[j]*a[i,j]; x[i]:=(b[i]-s)/a[i,i]; end; END; Function q(t:real):real; BEGIN q:=x[1]+x[2]*t+x[3]*t*t+x[4]*t*t*t; END; procedure simpson(a1,b1:real;n2:integer;var s:real); var hs:real;e,i:integer; begin hs:=(b1-a1)/(2*n2); s:=q(a1)+q(b1); e:=1; for i:=1 to 2*n2-1 do begin s:=s+(3+e)*q(a1+i*hs); e:=-e; end; s:=s*hs/3; end; BEGIN Clrscr; write('vedit kilkistto4ok tabli4noi fynksi N=');readln(n1); {ctepin polimena} m1:=3; writeln('vedit vixidni to4ki'); for i3:=1 to n1 do begin read(x1[i3]); read(y1[i3]); WRITELN; end; writeln('_________________________'); writeln('vihidni dani'); for i3:=1 to n1 do begin write(' ',x1[i3]:5:2); write(' ',y1[i3]:5:2); WRITELN; end; c[1]:=0; b[1]:=0; MNK (n1,x1,y1,a); for i2:=1 to m1+1 do n:=n+1; Gaus(n,a,b,x); writeln('*** vektor rozvyazky ***'); writeln; for i1:=1 to n do writeln('x[',i1,']=',x[i1]:7:3); {kofisienti zapicyutsya a0+a1*x+a2*x^2+a3*x^3+...=const} write(' q(t)'); write(' y'); writeln; for i3:=1 to n1 do begin e1:=e1+Sqr(q(x1[i3])-y1[i3]); write(' ',q(x1[i3]):7:3); write(' ',y1[i3]:7:3); writeln; end; writeln('poxibka aproksimasyi',e1:7:5); write('введіть b2=');read(b2); a1:=0; b1:=b2/10; eps:=0.001; repeat k:=2; simpson(a1,b1,k,s); repeat s0:=s; k:=k*2; simpson(a1,b1,k,s); writeln('b1=',b1:5:2,' s=',s:5:2); until (abs(s-s0)<=eps)or(k>500); b1:=b1+b2/10; until b1>b2; END. 3.7 Відлагодження програми Виправлення синтаксичних помилок на підставі повідомлень транслятора Після написання програми транслятор знайшов ні помилку у 149-му рядку з повідомленням «Error 26: type mismatsh» I, j, k, n2: integer; Після заміни real на integer, програма була запущена транслятором на виконання. Таблиця 3.3 – Результати контролю правильності розв’язання задачі
Виснов ОКВ результаті виконаної роботи були розраховані основні параметри підшипника коробки передач автомобіля, за результатами розрахунків ми дізнались параметри підшипника. Основна мета було знайти динамічну завантаженість ми отримали 3.17 H Склавши програму по розрахунку системи лінійних рівнянь методом Гауса розрахували коефіцієнти системи. Знайдені коефіціенти х Таким чином у нас є 5 чисел які заміняють невідомі. Розрахували швидкісну характеристику автомобіля і склали таблицю яку можна роздрукувати. З таблиці видно що з більшання обертів і зростає навантаження. ПЕРЕЛІК ПОСИЛАНЬ 1. Смирнов Г.А. Теория движения колесных машин. – М.: Машиностроение, 1981.- 271с. 2. Литвинов А.С., Фаробин Я.Е. Автомобиль. Теория експлуатационных свойств.- Москва: Машиностроение, 1989.- 237с. 3. Дьконов В. MATHCAD 8/2000: специальный справочник – СПб: Издательство «Питер», 2000.- 592с. 4. Кошарний М.Ф. Основи механіки та енергетики автомобіля. – Київ: Вища школа, 1992. – 200с. 5. Turbo Pascal 7.0 for users. BHV, 1999. – 448p. 6. Т.А.Павловськая Pascal Издательство «Питер», 2003.-291с. 7. П.П.Овчинников, Ф.П.Яремчук, В.М.Михайленко -Вища математика Частина-1 : Київ «Техніка»2003 -597с. 8. Савуляк В.І. Навчальний посібник 9. Кишеніна Н.В., Кишені В.О., «основи інформаційний технологій та програмування « частина-1 Вінниця 2003. |
|||||||||||||||||||||||||||||||||||||||||||||||||||||||||||||||||||||||||||||||||||||||||||||||||


















;
до
: