Реферат: Статистико-экономический анализ реализации продукции растениеводства
|
Название: Статистико-экономический анализ реализации продукции растениеводства Раздел: Рефераты по маркетингу Тип: реферат | |||||||||||||||||||||||||||||||||||||||||||||||||||||||||||||||||||||||||||||||||||||||||||||||||||||||||||||||||||||||||||||||||||||||||||||||||||||||||||||||||||||||||||||||||||||||||||||||||||||||||||||||||||||||||||||||||||||||||||||||||||||||||||||||||||||||||||||||||||||||||||||||||||||||||||||||||||||||||||||||||||||||||||||||||||||||||||||||||||||||||||||||||||||||||||||||||||||||||||||||||||||||||||||||||||||||||||||||||||||||||||||||||||||||||||||||||||||||||||||||||||||||||||||||||||||||||||||||||||||||||||||||||||||||||||||||||||||||||||||||||||||||||||||||||||||||||||||||||||||||||||||||||||||||||||||||||||||||||||||||||||||||||||||||||||||||||||||||||||||||||||||||||||||||||||||||||||||||||||||||||||||||||||||||||||||||||||||||||||||||||||||||||||||||||||||||||||||||||||||||||||||||||||||||||||||||||||||||||||||||||||||||||||||||||||||||||||||||||||||||||||||||||||||||||||||||||||||||||||||||||||||||||||||||||||||||||||||||||||||||||||||||||||||||||||||||||||||||||||||||
| Содержание Глава 1. Анализ вариации основных статистических показателей. 4 1.2. Типологическая группировка хозяйств. 5 Глава 2. Анализ показателей по типическим группам. 9 2.1. Уровни результативных показателей сельскохозяйственного производства 9 2.2. Структуру реализованной продукции сельского хозяйства. 12 2.3. Размеры и уровень концентрации производства. 14 2.4. Уровень интенсификации производства. 15 2.5. Уровень экономической эффективности. 16 2.6. Уровень кредиторской и дебиторской задолженности предприятий. 20 2.8. Факторная комбинационная группировка хозяйств. 22 2.9. Корреляционно-регрессионный анализ. 24 2.10. Анализ тенденций развития в динамике. 28 Сельское хозяйство одно из важнейших направлений в экономики страны. Анализ производства и реализации продукции сельского хозяйства в настоящее время актуальная тема, так как сельское хозяйство в целом неэффективно используется, а в некоторых местах просто простаивает. От того как и сколько будут производить и реализовывать, зависит дальнейшая экономическая ситуация в стране. Цель курсового проекта – дать наиболее полный статистико-экономический анализ уровня и эффективности реализации продукции сельского хозяйства по группе предприятий и дать рекомендации по его повышению. По тридцати хозяйствам были получены исходные показатели результатов их производственной деятельности за два года. Также для оценки репрезентативности расчетных показателей по выборке были предоставлены сводные показатели результатов производственной деятельности предприятий. Для анализа тенденции изменения в динамике были получены данные за двенадцать лет по Тульской области (с 1989,1994 по 2004 года). Глава 1. Анализ вариации основных статистических показателей Для получения первичного представления об изучаемой совокупности, были рассчитаны по каждому хозяйству основные признаки деятельности, рассмотрим таблицу №1.
Из таблицы видно, что по основным признакам различие большое. Например стоимость валовой продукции 30-ого хозяйство в 1,3 % больше чем 3-е хозяйство, это связано с большой разницей нескольких признаков, таких как: выручка, затраты, прибыль, субсидии. Так, в исследуемой совокупности уровень рентабельности в ряду хозяйств убыточен, это связано в первую очередь уровнем интенсификации. Для оценки однородности совокупности и обоснования проведения типологической группировки рассчитаем показатели вариации по признаку, наиболее точно характеризующим уровень реализации продукции растениеводства: стоимость валовой продукции сельского хозяйства в расчете на 100 га. 1.2. Типологическая группировка хозяйств По выбранному группировочному признаку проведем типологическую группировку для выявления качественного отличия между выделенными группами. Построим по ранжированному ряду огиву распределения хозяйств (рис. 1).
На основании огивы Гальтона разобьем совокупность на группы, рассчитав шаг интервала, так как возрастание выручки от хозяйства к хозяйству происходит равномерно, лишь в последних семи - скачок и можно довольно точно выделить отдельную группу хозяйств. В результате получим интервальный ряд распределения (таблица 2).
По интервальному ряду распределения построим гистограмму распределения (рис. 2).
По выделенным интервалам рассчитаем средние значения основных признаков, характеризующих уровень реализации продукции растениеводства (таблица 2).
По результатам анализа показателей данной таблицы проведем укрупнение групп. В высшую типической группу входят 4, 5 и 6 аналитические группы – всего 3 хозяйства, так как по многим показателям они существенно отличаются от остальных групп. В средней типической группе будет 2 и 3 аналитические группы – 4 хозяйств. В низшей типической группе будет первая аналитическая группа – 21 хозяйство. Рассчитаем аналогичные показатели в типических группах (таблица 3).
После выделения типических групп по рассчитанным показателям видны качественные изменения признаков, и между группами есть большие отличия в размере признаков. Сравним низшую и высшую группы. Результативный показатель стоимости валовой продукции сельского хозяйства в расчете на 100 га. в высшей группе по сравнению с низшей больше на 24507,9 тыс. руб. или в 1,5 раза. Это происходит в результате того, что выручка и затраты в высшей группе по сравнению с низшей больше на 34205,4 и 37402,7 тыс. руб. или 1,8 раза; численность работников на 100 га с/х угодий – на 136 человек (в 1,9 раза). Следствием этого является различие в рентабельности между высшей и низшей группами: 10,8% и -49,2% соответственно, т.о. рентабельность в высшей группе больше на 38,4%. А уставной капитал в высшей группе на 73866 тыс. руб. меньше по сравнению с низшей группой, это связано с количеством хозяйств в группе. Также средние значения признаков в средней типической группе довольно близки к средним значениям по всей совокупности, что говорит о правильности выделения типических групп. Глава 2. Анализ показателей по типическим группам 2.1. Уровни результативных показателей сельскохозяйственного производства Для оценки уровня результативных показателей сельскохозяйственного производства рассмотрим следующие таблицы. Таблица 4. Выход валовой продукции и основных видов продукции
Из таблицы видно, что доля выхода валовой продукции растениеводство больше на 2296 тыс. руб. чем животноводство. Если смотреть по группам то в низшей (1,2 раза) и средней группе (2,3 раза) преобладает отрасль животноводства, а в высшей растениеводство (1,9 раза). Оценим валовую продукцию в средних ценах реализации единицы продукции в целом по совокупности (приложение 1). Для того, чтобы установить общее изменение в выходе валовой продукции рассмотрим изменение в одном из его показателя. Это изменение в выручке от реализации продукции сельского хозяйства в низшей группе по сравнению с высшей группой, проведем индексный метод анализа. Таблица 5. Объем и цены реализации сельскохозяйственной продукции
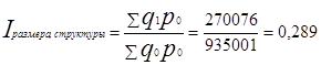
Индексы показывают, что общее снижение выручки от реализации основных видов продукции на 30,7% произошло в результате снижение объема реализации – на 53,4% и снижение структуры реализации на 38,1%. При снижение в данном случае цены. На основании таблице 5 построим график (рис. 3)
Из графика видна, что выручка от реализации скота и птицы, молока в низшей группе и условной возрастают это говорит о том, что эта группа хозяйств специализируется на производстве мясо молочной продукции. А высшая группа по овощам, картофелю (растениеводству). Рассмотрим более подробно молоко и картофель в натуральном выражении на 100 га; проведем разложение составного показателя выхода продукции, рассмотреть связи показателей выхода продукции с урожайностью культур, продуктивностью и плотностью животных в расчете на 100 га. Таблица 6. Уровень и факторы производства по группам хозяйств
Из таблицы видно, что выход молочной продукции в 3 группе по отношению к 1 группе больше на 25,5 % при меньшей плотностью коров на 27%, и с меньшей продуктивности молока на 11,3 %. Такая разница в связи с большими затратами производства продукции молока в 1 группе (95,9%). А выход картофеля в 3 группе меньше на 13,1%, чем в 1 группе при большей урожайности на 29,87%, в связи с большими затратами (45,96%). 2.2. Структуру реализованной продукции сельского хозяйства Отрасль может быть главной и дополнительной, иметь различное значение для хозяйства, поэтому более точно специализация оценивается по выручки. Соответственно показатели рассчитываются по агрегированным отраслям растениеводства и животноводства, по группам культур и животных, а так же по отдельным продуктам. Данные об уровне и динамики специализации хозяйств, приведены в таблице 7.
В целом по совокупности четко прослеживается специализация предприятий (хозяйств) в сельском хозяйстве по производству и реализации продукции молока (47,65%). На втором месте, наибольший удельный вес занимает в выручке, овощи 43,77%, на третьем месте картофель 34,45%. Остальные виды продукции влияют незначительно. Отдельно в отросли животноводства, продукция молока занимает 18,45% от выручки. Наибольший удельный вес продукция занимает в низшей группе (34,35%), наименьший в высшей (0,87%). Из продукции растениеводства и животноводства видно, что практически во всех группах хозяйств не прослеживается специализация. Наибольшая специализация прослеживается в низшей группе, они (хозяйства) направлены на производство молока (42,81%). 2.3. Размеры и уровень концентрации производства Концентрация производства – это есть сосредоточение средств производства, рабочей силы и получение продукции на одном предприятии, в одной отрасли или территории. Определим, как изменяется концентрация производства от низшей группе к высшей. Таблица 8. Концентрация производства
Сосредоточение основных средств, производства картофеля, сконцентрировано в высшей группе. Это связано с размерами посевных площадей. Отсюда следует, что валовой сбор картофеля и его реализация в данной группе выше, чем в низшей и средней группе. А производство молоко наиболее сконцентрировано в низшей группе. Это связано с наибольшим поголовьем коров. Исходя из этого валовой сбор молока и его реализация выше, чем в средней и высшей группе. 2.4. Уровень интенсификации производства Для того чтобы иметь четкое представление о дальнейшем анализе реализации продукции растениеводства, необходимо рассмотреть размеры затрат. Таблица 9. Затраты на производство продукции
Из данной таблицы можно проследить следующую закономерность. Несмотря на то, что высшая группа имеет не самые высокие стоимостные показатели, у нее самые маленькие затраты на основную продукцию. Почти все затраты здесь ниже среднего значения. Что же касается низшей группы, то здесь выявлены самые низкие показатели. Это связано с количеством предприятий в данной группе, низким числом работников, занятых в сельскохозяйственном производстве, или неэффективными методами производства продукции растениеводства и животноводства. 2.5. Уровень экономической эффективности Рассмотрим экономическую эффективность реализации продукции сельского хозяйства и отдельных видов продукции. Таблица 10.
Основным показателем эффективности предприятий является рентабельность реализации продукции. Рентабельность товарной продукции, реализации сельскохозяйственной продукции, неравномерно распределена. И она подвержена значительным изменениям из-за перемены ассортиментной структуры, поскольку уровень рентабельности различных видов продукции резко отличается. Так как масса прибыли есть часть реализованного чистого дохода. Она находится в тесной связи с массой затрат и использованных ресурсов, их сопоставление между собой позволяет получить относительные показатели рентабельности. Анализ прироста массы прибыли и средней рентабельности рассмотрен ниже. По двум типическим группам имеются сведения об объемах реализованной продукции, затратах на нее и сумме выручки (таблица 11) Таблица 11. Результат реализации молока
1. Определим вначале общую массу прибыли М по каждой группе, как разность между выручкой и затратами: Мн = p0 q0 -z0 q0 = 595232-508906 = 86326 тыс. руб. Мв = p1 q1 -z1 q1 = 28967,3-21529,75 = 7437,55 тыс. руб. Далее рассчитаем прирост массы прибыли:
2. Разложим общий прирост прибыли по факторам: Прирост прибыли в результате изменения цен реализации:
Прирост прибыли в результате изменения себестоимости продукции:
Прирост прибыли в результате изменения объема реализованной продукции:
Полученные результаты запишем в таблицу 12. Таблица 12. Прирост массы прибыли от реализации продукции по факторам
Цена в высшей группе по сравнению с нисшей группой ниже, что привело к уменьшению массы прибыли на -3422,33 тыс. руб., или на -3,96%. Снижение прибыли произошло за счет роста себестоимости (7,14%) на 6162,44 тыс. руб. И за счет объема реализованной продукции молока прибыль уменьшилась на -81628,6 тыс. руб. (-94,56%), и также индекс изменения факторов указывает на то, что происходит снижение физического объема реализованной продукции на 0,054. Рассмотрим себестоимость производства единицы основных видов продукции в исследуемых хозяйствах, ее зависимость от урожайности культуры и продуктивности животных. Таблица 13.
По рассматриваемым группам можно сказать, что урожайность картофеля и молока непосредственно зависит от себестоимости продукции. Чем выше урожайности или продуктивность тем больше потребуется затрат для улучшения показателей, а следовательно возрастает себестоимость продукции. 2.6. Уровень кредиторской и дебиторской задолженности предприятий Показатели кредиторской и дебиторской задолженности показывают финансовое состояние предприятий, рассмотрим в таблице 14. Таблица 14. Финансовое состояние предприятия
Из таблицы видно, что наиболее устойчивое финансовое состояние в средней группе. В этой группе наименьшие отношение кредиторской задолженности к дебиторской. А в отношение к общей выручке низшая группа выглядит устойчивей. 2.7. Состояния и эффективности сельского хозяйства Для того чтобы проследить изменения основных показателей за 2004 и 2005 года рассмотрим сл. таблицу. Таблица 15. Изменение основных показателей в типических группах за 2004-2005 года
Как мы видим, в основном, показатели в типических группах за 2005 год выше, чем за 2004г. Основным показателем, наиболее точно характеризующим размеры сельскохозяйственных предприятий и производства, является стоимость валовой продукции. Рассмотрим более подробно стоимость валовой продукции. Мы видим увеличение в средней и высшей группе на 26,73% и 21,64%, это связано в одном случае с уменьшением прибыли - 67,7% и увеличением затрат - 25%, а в другом случае увеличением прибыли - 39,8% и уменьшении затрат - 6,1%. Стоимость валовой продукции в расчете на 100 га., так же видим увеличение стоимости только уже в низшей и высшей группе на 4,62 % и 13,14%, но уже ниже, чем просто расчет стоимости. Эти изменения произошли из-за разницы посевных площадей. Так же не мало важен показатель рентабельности. Он имеет тенденцию к повышению по всем группам. Если рассмотрим отдельно отрасль животноводство, а в частности молочно-мясное направление. Мы видим, что в средней группе идет тенденция к увеличению этого направления на 43,46% (увеличения поголовья), а высшей и низшей наоборот снижение. 2.8. Факторная комбинационная группировка хозяйств На основе комбинационной группировки необходимо установить влияние на выручку продукции растениеводства двух факторов: Затраты в растениеводстве и численность работников. Сводные данные по результатам комбинационной группировки представлены в таблице 16. Таблица 16.
Для представления полученных результатов в более удобной форме рассмотрим следующую таблицу. Таблица 17. Выручка продукции растениеводства по группам хозяйств с разными затратами и численностью работников
Комбинационная группировка позволяет оценить степень влияния на выручку каждого фактора в отдельности и их взаимодействие. Изучим вначале влияние на выручку затрат при фиксированном значении другого группировочного признака – численности работников. Так при численности работников 3 – 55 средняя выручка увеличивается при увеличении затрат с 2413,1 тыс. руб. до 23969 тыс. руб. Разница выручки от затрат в третьей группе по сравнению с первой составляет: 23969-2413,1= 21555,8 тыс. руб. Оценим далее влияние на выручку численности работников при фиксированном уровне затрат (рассмотрим по третьей группе). Прибавка выручки от увеличения численности работников от 3 до 55 по сравнению с второй подгруппой составляет: 24979-23969=1010 тыс. руб. Эффективность численности работников возрастает. При совместном увеличении обоих факторов выручка возрастет в третьей группе с 24979 тыс. руб. до 23969 тыс. руб. 2.9. Корреляционно-регрессионный анализ Корреляционно-регрессионный анализ основан на сопоставлении параллельных рядов и предполагает проведения специальных расчетов по определению показателей связи между ними. Используется для выявления резервов роста производство и его эффективности. Проведем по уравнению связи прогнозный расчет ожидаемого значения результативного признака при заданных величинах факторных признаков, достигнутых в передовых хозяйствах. Таблица 18. Исходные данные для анализа
Для определения параметров уравнения связи используем метод наименьших квадратов, то есть находим прямую линию. Таким образом, уравнение связи продуктивности коров с количеством затрат на их содержание имеет вид: yx=32,33+0,435x Коэффициент регрессии a1 = 0,435 показывает, что при увеличении затрат на 1руб. продуктивность коров в совокупности в среднем увеличится на 0,266 руб. Уравнение связи так же позволяет рассчитать возможные уровни признака y при различных значениях фактора x при условии среднего их влияния, равного коэффициенту регрессии. Запишем эти значения в таблицу. Таблица 19. Сопоставление фактической и рассчитанной по уравнению регрессии урожайности
Фактическая урожайность варьирует под влиянием всех действующих на нее факторов. Ее дисперсия в данном случае составит: σ0 2 = Σy2 /n – (Σy)2 /n2 = 275,25 Воспроизведенная продуктивность изменяется только под влиянием вариации затрат: σ2 воспр = Σy2 x /n – (Σy)2 /n2 = 91,62 Дисперсия, обусловленная неучтенными факторами и случайными причинами: σ2 случ = Σ(y - yx )2 /n = 166,13 Отношение воспроизведенной дисперсии к общей характеризует долю вариации, обусловленную изучаемым фактором; она называется коэффициентом детерминации. В данном случае r2 = σ2 воспр / σ2 общ = 91,62/275,25 = 0,331 то есть 33,1% общей дисперсии продуктивности связано с изменением затрат, а остальные 66,9% обусловлены неучтенными и случайными причинами. Корень квадратный из коэффициента детерминации r2 называется коэффициентом корреляции: r = √r2 = √0,331 = 0,58 Коэффициент корреляции является показателем тесноты связи между признаками. Чем ближе коэффициет детерминации к еденице, тем большая доля вариации результативного признака обусловлена влиянием факторного признака, а значит, и теснее статистическая зависимость между ними. Наряду с коэффициентами регрессии и корреляции при анализе статистических зависимостей широко используются коэффициенты эластичности: Э = a1 (Σx/n) / (Σy/n) = 0,435*43,71/51,34 = 0,37 Коэффициент эластичности показывает, что если факторный показатель изменится на 1% то результат изменится на 0,37%. Таким образом, по результатом корреляционно-регрессиононному анализу видно, что затраты влияют на продукцию всего на 33,1%. 2.10. Анализ тенденций развития в динамике Рассмотрим изменения валового сбора и посевной площади зерновых за 12 лет, для выявления общей тенденции изменений этих показателей. Таблица 20. Динамика валового сбора зерна и площадь посева зерновых по Тульской области
Сопоставление скользящих средних по валовому сбору зерна в области позволяет сделать вывод о четко выраженной тенденции к снижении объема. Но уже начиная с 2001 года идет тенденция к увеличению объема. Рассмотрим более подробно, в первые пять лет происходит снижение на 142-182 т., за 1998-2002 годы происходит снижение на 48-71 т., а в конце изучаемого периода наблюдаем, увеличение объема на 7-66 т. Сравнивая между собой уровней средней посевной площади зерновых показывает, что посевная площадь сокращается, впервые пять лет на 38-64 га., за 1998-2002 годы на 23-68 га. Если сравнивать крайние скользящие значения рядов скользящих средних, оказывается, что валовой сбор зерна снизился на 472 т., или на 57%, а посевная площадь сократилась на 347 га., или на 80%. Следовательно, на объем валового сбора зерна непосредственно влияет сокращение посевных площадей. Урожайность зерновых, показывает, что урожайность с 1996-1999 года снизилась на 56%, что привело к снижению валового сбора зерна. А за последние пять лет мы видим увеличения урожайности на 42%, и это стало основным фактором роста валового сбора зерна. Проведенное исследование показало большие различия в уровне и эффективности реализации продукции сельского хозяйства между выделенными типическими группами. В среднем по совокупности, хозяйства специализированы на производстве и реализации продукции, как растениеводства, так и продукции животноводства. В хозяйствах высшей типической группы более высокий уровень реализации продукции растениеводства, это связано с более высокой концентрацией производства и более высокой производительностью труда, а также с более высоким уровнем интенсивности производства и финансовым состоянием предприятий. В изучаемой совокупности вместе с повышением уровня реализации продукции сельского хозяйства повышается и эффективность реализации. За два года в изучаемой совокупности произошли изменения в лучшую сторону, но самые большие изменения происходили в высшей группе, тогда как в других группах происходило ухудшение некоторых показателей, которые отрицательно влияют на хозяйства. Таким образом, можно сделать вывод о том, что для повышения уровня и эффективности реализации продукции сельского хозяйства необходимо повышать уровень концентрации производства, обеспеченность рабочей силой, интенсификацию производства. Улучшение этих показателей приведет к повышению урожайности и продуктивности, увеличению производительности труда и снижению себестоимости произведенной продукции и, как следствие к повышению дохода и увеличению выручки. 1. Практикум по статистике/ Зинченко А.П., А.Е. Шибалкин, О.Б. Тарасова, Е.В. Шайкина, А.В. Уколова -М.: КолосС, 2007 год. 2. Статистика/ Зинченко А.П. - М.: КолосС, 2007 год. 3. Статистика: Конспект лекций/ Л.М. Неганова. – М.: Юрайт-Издат, 2007год. 4. Методические указания к курсовым проектам по сельскохозяйственной статистике / Зинченко А.П., Тарасова О.Б..- Методичка – М.: Земля России, МСХА, 1998. |
|||||||||||||||||||||||||||||||||||||||||||||||||||||||||||||||||||||||||||||||||||||||||||||||||||||||||||||||||||||||||||||||||||||||||||||||||||||||||||||||||||||||||||||||||||||||||||||||||||||||||||||||||||||||||||||||||||||||||||||||||||||||||||||||||||||||||||||||||||||||||||||||||||||||||||||||||||||||||||||||||||||||||||||||||||||||||||||||||||||||||||||||||||||||||||||||||||||||||||||||||||||||||||||||||||||||||||||||||||||||||||||||||||||||||||||||||||||||||||||||||||||||||||||||||||||||||||||||||||||||||||||||||||||||||||||||||||||||||||||||||||||||||||||||||||||||||||||||||||||||||||||||||||||||||||||||||||||||||||||||||||||||||||||||||||||||||||||||||||||||||||||||||||||||||||||||||||||||||||||||||||||||||||||||||||||||||||||||||||||||||||||||||||||||||||||||||||||||||||||||||||||||||||||||||||||||||||||||||||||||||||||||||||||||||||||||||||||||||||||||||||||||||||||||||||||||||||||||||||||||||||||||||||||||||||||||||||||||||||||||||||||||||||||||||||||||||||||||||||||||









Одновременно определим индексы изменения рассматриваемых факторов: