Реферат: Рабочие процессы и экологическая безопасность автомобильных двигателей
|
Название: Рабочие процессы и экологическая безопасность автомобильных двигателей Раздел: Рефераты по экологии Тип: реферат | ||||||||||||||||||||||||||||||||||||||||||||||||||||||||||||||||||||||||||||||||||||||||||||||||||||||||||||||||||||||||||||||||||||||||||||||||||||||||||||||||||||||||||
| МИНИСТЕРСТВО ОБЩЕГО И ПРОФЕССИОНАЛЬНОГО ОБРАЗОВАНИЯ РФ
СЕВЕРО - ЗАПАДНЫЙ ЗАОЧНЫЙ ПОЛИТЕХНИЧЕСКИЙ ИНСТИТУТ
КАФЕДРА АВТОМОБИЛЬНОГО ТРАНСПОРТА
КУРСОВАЯ РАБОТА
ПО ДИСЦИПЛИНЕ : РАБОЧИЕ ПРОЦЕССЫ И ЭКОЛОГИЧЕСКАЯ БЕЗОПАСНОСТЬ АВТОМОБИЛЬНЫХ ДВИГАТЕЛЕЙ
г. ЗАПОЛЯРНЫЙ 1998 г. 1. ВведенИЕ Стр.3 2. ЗАДАНИЕ НА КУРСОВОЕ ПРОЕКТИРОВАНИЕ И ВЫБОР АНАЛОГА ДВИГАТЕЛЯ Стр .4. 3. ТЕПЛОВОЙ РАСЧЕТ ДВИГАТЕЛЯ. Стр.5 31 ПРОЦЕСС ВПУСКА Стр.6 32 ПРОЦЕСС СЖАТИЯ Стр.6 33 ПРОЦЕСС СГОРАНИЯ Стр.6 34 ПРОЦЕСС РАСШИРЕНИЯ Стр.7 35 ИНДИКАТОРНЫЕ ПАРАМЕТРЫ РАБОЧЕГО ЦИКЛА ДВИГАТЕЛЯ. Стр.7 36 ЭФФЕКТИВНЫЕ ПОКАЗАТЕЛИ ДВИГАТЕЛЯ . Стр.8 37 ПОСТРОЕНИЕ ИНДИКАТОРНОЙ ДИАГРАММЫ. Стр.9 4. ДИНАМИЧЕСКИЙ РАСЧЕТ ДВИГАТЕЛЯ. Стр.10 41 КИНЕМАТИКА КРИВОШИПНО-ШАТУННОГО МЕХАНИЗМА. Стр.10 42 ПОСТРОЕНИЕ РАЗВЕРНУТОЙ ИНДИКАТОРНОЙ ДИАГРАММЫ. Стр. 12 43 РАСЧЕТ РАДИАЛЬНОЙ (N) , НОРМАЛЬНОЙ (Z) И ТАНГЕНЦИАЛЬНОЙ СИЛ ДЛЯ ОДНОГО ЦИЛИНДРА. Стр.13 44 ОПРЕДЕЛЕНИЕ СУММАРНЫХ НАБЕГАЮЩИХ ТАНГЕНЦИАЛЬНЫХ СИЛ И СУММАРНОГО НАБЕГАЮЩЕГО КРУТЯЩЕГО МОМЕНТА. Стр.17 5. ВЫВОДЫ. Стр.18 1. СПИСОК ЛИТЕРАТУРЫ. Стр.19 1. ВВЕДЕНИЕ . На наземном транспорте наибольшее распространение получили двигатели внутреннего сгорания. Эти двигатели отличаются компактностью, высокой экономичностью, долговечностью и применяются во всех отраслях народного хозяйства. В настоящее время особое внимание уделяется уменьшению токсичности выбрасываемых в атмосферу вредных веществ и снижению уровня шума работы двигателей . Специфика технологии производства двигателей и повышение требований к качеству двигателей при возрастающем объеме их производства , обусловили необходимость создания специализированных моторных заводов . Успешное применение двигателей внутреннего сгорания , разработка опытных конструкций и повышение мощностных и экономических показателей стали возможны в значительной мере благодаря исследованиям и разработке теории рабочих процессов в двигателях внутреннего сгорания . Выполнение задач по производству и эксплуатации транспортных двигателей требует от специалистов глубоких знаний рабочего процесса двигателей , знания их конструкций и расчета двигателей внутреннего сгорания . Рассмотрение отдельных процессов в двигателях и их расчет позволяют определить предполагаемые показатели цикла , мощность и экономичность , а также давление газов , действующих в надпоршневом пространстве цилиндра , в зависимости от угла поворота коленчатого вала . По данным расчета можно установить основные размеры двигателя (диметр цилиндра и ход поршня ) и проверить на прочность его основные детали . 2. ЗАДАНИЕ НА КУРСОВОЙ ПРОЕКТ . По заданным параметрам двигателя произвести тепловой расчет , по результатам расчета построить индикаторную диаграмму , определить основные параметры поршня и кривошипа . Разобрать динамику кривошипно-шатунного механизма определить радиальные , тангенциальные , нормальные и суммарные набегающие силы действующие на кривошипно-шатунный механизм . Построить график средних крутящих моментов . Прототипом двигателя по заданным параметрам может служить двигатель ЗИЛ-164 . ТАБЛИЦА 1. Параметры двигателя .
3. ТЕПЛОВОЙ РАСЧЕТ ДВИГАТЕЛЯ . При проведении теплового расчета необходимо правильно выбрать исходные данные и опытные коэффициенты , входящие в некоторые формулы . При этом нужно учитывать скоростной режим и другие показатели , характеризующие условия работы двигателя . ТОПЛИВО : Степень сжатия e = 8,2 . Допустимо использование бензина АИ-93 ( октановое число = 81¸90 ) . Элементарный состав жидкого топлива принято выражать в единицах массы . Например в одном килограмме содержится С = 0,855 , Н = 0,145 , где От - кислород ; С- углерод ; Н - водород . Для 1кг. жидкого топлива , состоящего из долей углерода , водорода , и кислорода , при отсутствии серы можно записать : С+Н+От = 1 кг . ПAРАМЕТРЫ РАБОЧЕГО ТЕЛА: Определение теоретически необходимого количества воздуха при полном сгорании жидкого топлива . Наименьшее количество кислорода Оо , которое необходимо подвести извне к топливу для полного его окисления , называется теоретически необходимым количеством кислорода . В двигателях внутреннего сгорания необходимый для сгорания кислород содержится в воздухе , который вводят в цилиндр во время впуска . Зная , что кислорода в воздухе по массе 0,23% , а по объему 0,208% , получим теоретически необходимое количество воздуха для сгорания 1кг топлива : Действительное количество воздуха , участвующего в сгорании 1 кг. топлива при a=0,9 : al o = 0.9*14.957 = 13.461 кг ; aLo = 0,9 * 0,516 = 0,464 . При молекулярной массе паров топлива mт = 115 кмоль , найдем суммарное количество свежей смеси : М1 = 1/ mт + aLo = 1/115+0,464 = 0,473 кмоль. При неполном сгорании топлива ( a<1 ) продукты сгорания представляют собой смесь окиси углерода (СО) , углекислого газа (СО2) , водяного пара (Н2О) , свободного водорода (Н2) , и азота (N2) . Количество отдельных составляющих продуктов сгорания и их сумма при К=0,47 (постоянная зависящая от отношения количества водорода к окиси углерода , содержащихся в продуктах сгорания).: Мсо = 2*0,21*[(1-a)/(1+K)]*Lo = 0,42*(0,1/1,47)*0,516 = 0,0147 кмоль. МСО2 = С/12- Мсо = 0,855/12-0,0147 = 0,0565 кмоль. МН2 = К* Мсо = 0,47*0,0147 = 0,00692 кмоль. МН2О = Н/2 - МН2 = 0,145/2-0,00692 = 0,06558 кмоль. МN2 = 0,792*aLo = 0,792*0,9*0,516 = 0,368 кмоль. Суммарное количество продуктов сгорания : М2 = 0,0147+0,0565+0,00692+0,06558+0,368 = 0,5117 кмоль. Проверка : М2 = С/12+Н/2+0,792*aLo = 0,855/12+0,145/2+0,792*0,9*0,516 = 0,5117 . Давление и температура окружающей среды : Pk=Po=0.1 (МПа) и Tk=To= 293 (К) , а приращение температуры в процессе подогрева заряда DТ = 20о С . Температура остаточных газов : Тr = 1030o К . Давление остаточных газов на номинальном режиме определим по формуле : PrN = 1.16*Po = 1,16*0,1 = 0,116 (МПа) .
РrN - давление остаточных газов на номинальном режиме , nN - частота вращения коленчатого вала на номинальном режиме равное 5400 об/мин. Отсюда получим : Рr=Р0×( 1,035+ Ар×10-8 ×n2)= 0,1×(1,035+0,42867×10-8×54002) = 0,1×(1,035+0,125)=0,116 (Мпа) 31 ПРОЦЕСС ВПУСКА . Температура подогрева свежего заряда DТ с целью получения хорошего наполнения двигателя на номинальном скоростном режиме принимается DТN =10о С . Тогда :
DТ = Ат × (110-0,0125×n) = 0,23533×(110-0,0125×5400)= 10о С . Плотность заряда на впуске будет : где Р0 =0,1 (Мпа) ; Т0 = 293 (К) ; В - удельная газовая постоянная равная 287 (Дж./кг*град.) Þ r 0 = ( 0,1*106)/(287*293) = 1,189 (кг/м3). Потери давления на впуске DРа , в соответствии со скоростным режимом двигателя (примем (b2+xвп)= 3,5 , где b - коэффициент затухания скорости движения заряда в рассматриваемом сечении цилиндра , xвп - коэффициент впускной системы ) , DРа = (b2+xвп)* Аn2*n2*(r k /2*10-6) , где Аn = wвп/ nN , где wвп - средняя скорость движения заряда в наименьшем сечении впускной системы (wвп = 95 м/с) , отсюда Аn= 95/5400 = 0,0176 . : r k = r 0 = 1,189 ( кг/м3) .Þ DРа = (3,5× 0,1762×54002×1,189×10-6)/2 = (3,5×0,0003094×29160000×1,189×10-6) = 0,0107 (Мпа). Тогда давление в конце впуска составит : Р а = Р 0 - DР а = 0,1- 0,0107 = 0,0893 (Мпа). Коэффициент остаточных газов :
Pa= 0.0893 (Мпа);e = 8,2 , получим : gr = (293+10)/1000*0,116/(8,2*0,0893-0,116) =0,057. Коэффициент наполнения : 32 ПРОЦЕСС СЖАТИЯ. Учитывая характерные значения политропы сжатия для заданных параметров двигателя примем средний показатель политропы n= 1,37 . Давление в конце сжатия: Рс = Ра ×en = 0.0893× 8.21.37 = 1,595 (Мпа). Температура в конце сжатия : Тс = Та×e(n-1) = 340,6×8,20,37 = 741,918@ 742 (К). Средняя молярная теплоемкость в конце сжатия ( без учета влияния остаточных газов): mcv’ = 20,16+1,74×10-3×Тс = 20,16+1,74×10-3×742 = 21,45 (Кдж/кмоль×град.) Число молей остаточных газов : Мr = a×g r × L 0 = 0,95×0,057×0,516=0,0279 (кмоль). Число молей газов в конце сжатия до сгорания: Мс= М1+Мr = 0,473+0,0279= 0,5(кмоль) 33 ПРОЦЕСС СГОРАНИЯ . Средняя молярная теплоемкость при постоянном объеме для продуктов сгорания жидкого топлива в карбюраторном двигателе при ( a<1) : mcв’’ = (18,4+2,6×a)+(15,5+13,8×a)×10-4×Тz= 20,87+28,61×10-4×Тz = 20,87+0,00286×Тz (Кдж/кмоль×К). Определим количество молей газов после сгорания : Мz = M2+Mr = 0,5117+0,0279 = 0,5396 (кмоля) . Расчетный коэффициент молекулярного изменения рабочей смеси находится по формуле : b = Мz / Mc = 0,5397/0,5 = 1,08 . Примем коэффициент использования теплоты xz = 0,8 , тогда количество теплоты , передаваемой на участке lz при сгорании топлива в 1 кг. : Q = xz×(Hu-DQH) , где Hu - низшая теплотворная способность топлива равная 42700 (Кдж/кг)., DQH =119950×(1-a)× L0 - количество теплоты , потерянное в следствии химической неполноты сгорания : DQH = 119950×(1-0,95) ×0,516 = 3095 (Кдж/кг) , отсюда Q = 0,8×(42700-3095) =31684 (Кдж/кг). Определим температуру в конце сгорания из уравнения сгорания для карбюраторного двигателя (a<1) : 1,08(20,87+0,00286*Тz)*Tz = 36636/(0,95*0,516*(1+0,057))+21,45*742 22,4Тz +0,003Тz2 = 86622 Þ 22,4 Тz +0,003 Тz2 - 86622 = 0
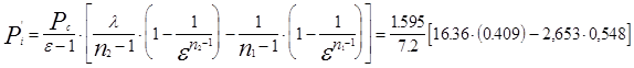
Максимальное давление в конце процесса сгорания теоретическое : Рz = Pc*b*Tz /Tc = 1,595*1,08*2810/742 = 6,524 (Мпа) . Действительное максимальное давление в конце процесса сгорания : Рzд = 0,85*Рz = 0,85*6,524 =5,545 (МПа) . Степень повышения давления : l = Рz / Рс = 6,524/1,595 = 4,09 34 ПРОЦЕСС РАСШИРЕНИЯ . С учетом характерных значений показателя политропы расширения для заданных параметров двигателя примем средний показатель политропы расширения n2 = 1,25 Давление и температура в конце процесса расширения :
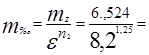
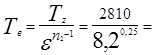
Проверка ранее принятой температуры остаточных газов :
D= 100*(1037-1030)/1030 = 0,68% , эта температура удовлетворяет условия D< 1,7 . 35 ИНДИКАТОРНЫЕ ПАРАМЕТРЫ РАБОЧЕГО ЦИКЛА . Теоретическое среднее индикаторное давление определенное по формуле :
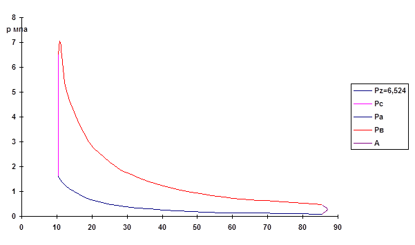
Индикаторный К.П.Д. : h i = p i l 0 a / (QH r 0 h v ) = (1,116 *14,957*0,9)/(42,7*1,189*0,763) = 0,388 , Qн = 42,7 МДж/кг. Индикаторный удельный расход топлива : gi = 3600/ (QH h i ) = 3600/(42,7*0,388) =217 г/КВт ч. 36 Эффективные показатели двигателя . При средней скорости поршня Сm = 15 м/с. , при ходе поршня S= 75 мм. и частотой вращения коленчатого вала двигателя n=5400 об/мин. , рассчитаем среднее давление механических потерь : Рм = А+В* Сm , где коэффициенты А и В определяются соотношением S/D =0,75<1 , тогда А=0,0395 , В = 0,0113 , отсюда Рм = 0,0395+0,0113*15 =0,209 МПа. Рассчитаем среднее эффективное давление : р е = р i - p м = 1,116-0,209= 0,907 МПа. Механический К.П.Д. составит : h м = р е / р i = 0,907/ 1,116 = 0 ,812 Эффективный К.П.Д. и эффективный удельный расход топлива : h е= h i h м = 0,388*0,812 = 0,315 ; ge = 3600/(QH h е ) = 3600/(42,7*0,315) = 268 г/КВт ч Основные параметры цилиндра и двигателя. 1. Литраж двигателя : Vл = 30×t Nе / (р е n) = 30*4*90/(0,907*5400) = 2,205 л. 2. Рабочий объем цилиндра : Vh = Vл / i = 2,205 / 6 = 0,368 л. 3. Диаметр цилиндра : в = 2×103×Ö Vh(pS) = 2*10^3*(0,368/(3,14*75))^(0,5)= 2*103*0,0395 = 79,05 мм.@ 80 мм. 4. Окончательно приняв S = 75 мм. и в = 80мм. объем двигателя составит : Vл = pD2Si / (4*106) = (3,14*6400*75*6)/(4000000)= 2,26 л. 5. Площадь поршня : Fп = pD2 / 4 = 20096/4 = 5024 мм2 = 50,24 (см2). 6. Эффективная мощность двигателя : Nе = р е Vл n / 30t = (0,907*2,26*5400)/(30*4) = 92,24 (КВт.). 7. Эффективный крутящий момент : Ме = (3*104 / p)(Ne /n) = (30000/3,14)*(92,24/5400) = 163,2 (н×м) 8. Часовой расход топлива : Gт = Ne ×ge ×10-3 = 92,24×268×10-3 = 92,24*268*10^(-3)=24,72 . 9. Удельная поршневая мощность : Nn = 4× Ne /i×p×D2 = (4*92,24)/(6*3,14*80*80) =30,6 37 ПОСТРОЕНИЕ ИНДИКАТОРНОЙ ДИАГРАММЫ ДВИГАТЕЛЯ . Индикаторную диаграмму строим для номинального режима двигателя , т.е. при Ne=92,24 кВт. И n=5400 об/мин. Масштабы диаграммы :масштаб хода поршня 1 мм. ; масштаб давлений 0,05 МПа в мм. Величины соответствующие рабочему объему цилиндра и объему камеры сгорания : АВ = S/Ms = 75/1,0 =75 мм. ; ОА = АВ / (e-1) = 75/(8,2-1) = 10,4 мм. Максимальная высота диаграммы точка Z : р z / M p = 6, 524/0, 05 = 130,48 мм. Ординаты характерных точек : р а / Мр = 0,0893/0,05 = 1,786 мм. ; р с / Мр = 1,595/0,05 = 31,9 мм. ; р в / Мр = 0,4701/0,05 = 9,402 мм. : р r / Мр = 0,116/0,05 = 2,32 мм. ; р 0 / Мр = 0,1/0,05 = 2 мм. Построение политроп сжатия и расширения аналитическим методом : 1. Политропа сжатия : Рх = Ра (Vа Vх )n1 . Отсюда Рх / Мр = (Ра/Мр)(ОВ/ОХ)n1 мм. , где ОВ= ОА+АВ= 75+10,4 = 85,4 мм. ; n1 = 1,377 .
ТАБЛИЦА 2 . Данные политропы сжатия :
ТАБЛИЦА 3 . Данные политропы расширения .: Рх / Мр = Рв (Vв /Vх)n2 , отсюда Рх / Мр = (рв/Мр)(ОВ/ОХ)n2 , где ОВ= 85,4 ; n2 =1.25
Рис.1. Индикаторная диаграмма. 4. ДИНАМИЧЕСКИЙ РАСЧЕТ ДВИГАТЕЛЯ . Кинематика кривошипно-шатунного механизма . Sn = (R+a)- ( R cos.a+acos.b)= R[(1+1/l)-( cos.b+1/l cos.b)] , где l =R / a , тогда Sn = R[(1+ l/4)-( cos.a+ l/4 cos.2a)] , если a=180о то Sn=S - ходу поршня , тогда : 75 = R[(1+l/4)-(-1+l/4)] ; 75 = R[1.0625+0.9375] ; 75 = 2R Þ R = 75/2 = 37.5 мм.=0,0375 м. l=R/Lш Þ Lш = R/l= 37,5/0,25 = 150 мм.=15 см. т.к. l= 0,25 Находим скорость поршня и ускорение в зависимости от угла поворота кривошипа : Vп = dSn/dt = Rw( sina + l/2sin2a) , jn = d2Sn/dt = Rw2(cosa + lcos2a) , Угловую скорость найдем по формуле : w = pn/30 = 3,14*5400/30 = 565,2 рад/с . ТАБЛИЦА 4. . Числовые данные определяющие соотношения : 1- ( sina + l/2sin2a) ; 2- (cosa + lcos2a)
Подставив эти значения в формулы скорости и ускорения и подсчитав результаты занесем их в таблицу 5. ТАБЛИЦА 5 . Скорость поршня при различных углах поворота кривошипа.(м/с)
ТАБЛИЦА 6 . Ускорение поршня при различных углах поворота кривошипа .
Рис.2 График зависимости скорости поршня от угла поворота кривошипа .
42 ПОСТРОЕНИЕ РАЗВЕРНУТОЙ ИНДИКАТОРНОЙ ДИАГРАММЫ. Отрезок ОО1 составит : ОО1= Rl/2 = 0,25*3,75/2 = 0,47 (см). Отрезок АС : АС = mj w2 R(1+l) = 0,5 Рz = 0,5*6,524 = 3,262 (МПа) ; Рх = 3,262/0,05 = 65,24 мм. Отсюда можно выразить массу движущихся частей : Рассчитаем отрезки BD и EF : BD = - mj w2 R(1-l) = - 0,000218*319451*0,0375*(1-0,25) = -1,959 (МПа) . EF = -3 mj w2 Rl = -3*0,000218*319451*0,0375*0,25 = -1,959 (МПа ). Þ BD= EF
Рис.4 Развернутая индикаторная диаграмма карбюраторного двигателя. Силы инерции рассчитаем по формуле : Рj = - mj w2 R(cosa + lcos2a) ТАБЛИЦА 7. Силы инерции .
Расчет радиальной , нормальной и тангенциальной сил для одного цилиндра : Определение движущей силы , где Р0 = 0,1 МПа , Рдв = Рr +Pj - P0 , где Рr - сила давления газов на поршень , определяется по индикаторной диаграмме теплового расчета . Все значения движущей силы в зависимости от угла поворота приведены в таблице 8. Зная движущую силу определим радиальную , нормальную и тангенциальную силы : N= Рдв*tgb ; Z = Рдв * cos(a+b)/cosb ; T = Рдв * sin(a+b)/cosb
ТАБЛИЦА 8. Составляющие силы .
По результатам расчетов построим графики радиальной N (рис.5) , нормальной (рис.6) , и тангенциальной (рис.7) сил в зависимости от угла поворота кривошипа .
Рис.5 График радиальной силы N в зависимости от угла поворота кривошипа .
Рис 6. График зависимости нормальной силы от угла поворота кривошипа.
Рис.7. График тангенциальной силы в зависимости от угла поворота кривошипа 44 ОПРЕДЕЛЕНИЕ СУММАРНЫХ НАБЕГАЮЩИХ ТАНГЕНЦИАЛЬНЫХ СИЛ И СУММАРНОГО НАБЕГАЮЩЕГО КРУТЯЩЕГО МОМЕНТА . Алгебраическая сумма касательных сил , передаваемых от всех предыдущих по расположению цилиндров , начиная со стороны , противоположной фланцу отбора мощности , называется набегающей касательной силой на этой шейке . В таблице 10 собраны тангенциальные силы для каждого цилиндра в соответствии с работой двигателя и определена суммарная набегающая тангенциальная сила на каждом последующем цилиндре . Суммарный набегающий крутящий момент будет : å Мкр = å (å Тi) Fп R , где Fп - площадь поршня : Fп = 0,005 м2 , ; R= 0,0375 м . - радиус кривошипа . Порядок работы поршней в шести цилиндровом рядном двигателе : 1-4-2-6-3-5 . Формула перевода крутящего момента : Мкр =98100* Fп R
Рис. 8. График среднего крутящего момента в зависимости от угла поворота кривошипа. Определим средний крутящий момент : Мкр.ср = ( Мmax + Mmin)/2 Мкр.ср = (609,94+162,2)/2 = 386 н× м . 5. ВЫВОДЫ. В результате проделанной работы были рассчитаны индикаторные параметры рабочего цикла двигателя , по результатам расчетов была построена индикаторная диаграмма тепловых характеристик. Расчеты динамических показателей дали размеры поршня , в частности его диаметр и ход , радиус кривошипа , были построены графики составляющих сил , а также график суммарных набегающих тангенциальных сил и суммарных набегающих крутящих моментов. Шестицилиндровые рядные двигатели полностью сбалансированы и не требуют дополнительных мер балансировки . 6. СПИСОК ЛИТЕРАТУРЫ. 1. КОЛЧИН А. И. ДЕМИДОВ В. П. РАСЧЕТ АВТОМОБИЛЬНЫХ И ТРАКТОРНЫХ ДВИГАТЕЛЕЙ. М.: Высшая школа, 1980г.; 2. АРХАНГЕЛЬСКИЙ В. М. и другие. АВТОМОБИЛЬНЫЕ ДВИГАТЕЛИ. М.: Машиностроение, 1967г.; 3. ИЗОТОВ А. Д. Лекции по дисциплине: «Рабочие процессы и экологическая безопасность автомобильных двигателей» . Заполярный, 1997г.. |
, где
,
, тогда получим :
6,524/13,876=0,4701(МПа).
2810/1,7=1653 К
1653/ 1,6 = 1037 К . Погрешность составит :
=1,163 (МПа) . Для определения среднего индикаторного давления примем коэффициент полноты индикаторной диаграммы равным jи = 0,96 , тогда среднее индикаторное давление получим : р
i
= 0,96* р
i
’
= 0,96*1,163 = 1,116 (МПа) . 


Рис. 3 График зависимости ускорения поршня от угла поворота кривошипа .








