| Федеральное агентство по образованию Российской Федерации
Государственное образовательное учреждение высшего профессионального образования
«Южно-Уральский государственный университет»
Факультет права и финансов
Кафедра экономики и управления проектами
Построение оптимальных систем.
Проблема поликритериальности и конкуренции многих целей. Практические подходы к решению задачи синтеза сложных систем методами векторной оптимизации (ранжирование целей, использование целей в качестве ограничений, Паретооптимальные решения). Адаптивность как свойство реальных сложных систем. Принцип удовлетворения Месаровича. Классификация целей организаций и индивидов. Стратегические цели. Алгоритм поиска компромиссов.
КОНТРОЛЬНАЯ РАБОТА
ПО ДИСЦИПЛИНЕ
«Общая теория систем и системный анализ»
Проверил, к.т.н., доцент
Тарасов Ю.Н.
______________________2010г.
Автор работы
студент группы ПФ-259/з
Н.Б. Примак
10 декабря 2010г
.
Работа защищена с оценкой
________________________
_________________20__г.
Челябинск 2010
Примак Н.Б. Построение оптимальных систем. Проблема поликритериальности и конкуренции многих целей. Практические подходы к решению задачи синтеза сложных систем методами векторной оптимизации (ранжирование целей, использование целей в качестве ограничений, Паретооптимальные решения). Адаптивность как свойство реальных сложных систем. Принцип удовлетворения Месаровича. Классификация целей организаций и индивидов. Стратегические цели. Алгоритм поиска компромиссов. – Челябинск: ЮУрГУ, ПФ-259/з, 52 с., 2 ил., 1 табл., библиогр. список – 8 наим.
Цель реферата – отразить проблематику синтеза оптимальных систем.
Задачи реферата – изучить, обобщить, проанализировать различные источники об построении оптимальных систем; проблемам поликритериальности и конкуренции многих целей; практическим подходам к решению задачи синтеза сложных систем методами векторной оптимизации (ранжирование целей, использование целей в качестве ограничений, паретооптимальным решениям); адаптивности как свойства реальных сложных систем; принципе удовлетворения Месаровича; классификации целей организаций и индивидов; стратегических целей; алгоритме поиска компромиссов.
ОГЛАВЛЕНИЕ
ВВЕДЕНИЕ. 3
1. Определения и сокращения. 3
2. Построение оптимальных систем. 3
3. Проблема поликритериальности и конкуренции многих целей. 3
3.1 Принятие решений на основе количественной информации об относительной важности критериев. 3
4. Практические подходы к решению задачи синтеза сложных систем методами векторной оптимизации (ранжирование целей, использование целей в качестве ограничений, Паретооптимальные решения) 3
4.1 Методы безусловной и условной оптимизации. 3
4.2 Задача 1. 3
4.3 Задача 1. 3
4.4 Задача 2. 3
4.5 Задача 3. 3
4.6 Задача 3а. 3
4.7 Симплекс-метод. 3
4.8 Транспортная задача. 3
4.9 Задача 3б. 3
4.10 Методы спуска (общая схема). 3
4.11 Метод градиентного спуска. 3
4.12 Метод сопряженных направлений. 3
4.13 Покоординатный спуск. 3
4.14 Метод случайного спуска. 3
4.15 Релаксационные методы математического программирования. 3
4.16 Метод условного градиента. 3
4.17 Метод возможных направлений. 3
4.18 Метод случайного поиска. 3
4.19 Векторный критерий и отношение предпочтения. 3
4.20 Множество недоминируемых решений. 3
4.21 Множество Парето. 3
4.22 Начальные понятия теории относительной важности критериев. 3
4.23 Использование информации об относительной важности критериев в процессе принятия решений. 3
5. Адаптивность как свойство реальных сложных систем. 3
5.1 Саморегулирование систем. 3
5.2 Самоорганизующиеся системы. 3
6. Принцип удовлетворения Месаровича. 3
7. Классификация целей организаций и индивидов. 3
7.1 Значение целей в деятельности организации. 3
7.2 Функции целей организации. 3
7.3 Типы целей в организации. 3
7.4 Показатели успешной деятельности организации. 3
7.5 Классификация во временной области. 3
7.6 Построение дерева целей. 3
8. Стратегические цели. 3
9. Алгоритм поиска компромиссов. 3
9.1 Простой алгоритм. 3
9.2 Алгоритм со списком. 3
9.3 Устойчивый алгоритм. 3
9.4 Обобщение на произвольный целочисленный диапазон. 3
9.5 Квадратичный алгоритм сортировки подсчётом. 3
ЗАКЛЮЧЕНИЕ. 3
БИБЛИОГРАФИЧЕСКИЙ СПИСОК.. 3
Трудно найти в истории цивилизации такой момент, о котором можно было бы сказать, что именно тогда возникла идея о целостности, о единстве мира. Вероятно, уже при первой попытке понять мир мыслящий человек столкнулся с поразительной гармонией между целым, «универсумом», и отдельными деталями, частями.
Термин «система» имеет весьма древнее происхождение, и едва ли есть какое-либо научное направление, которое его не употребляло. Достаточно вспомнить «систему кровообращения», «систему пищеварения» и т.д., которые до сих пор некоторыми исследователями принимаются за выражение системного подхода. Большей частью термин «система» употребляется там, где речь идет о чем-то собранном вместе, упорядоченном, организованном, но, как правило, не упоминается критерий, по которому компоненты собраны, упорядочены, организованы.
Значительное влияние на развитие системного подхода оказало интервью «отца кибернетики» Норберта Винера. Отвечая на вопрос корреспондента о том, какой будет наука в 1984 г., он сказал: «Главные проблемы биологии также связаны с системами и их организацией во времени и пространстве. И здесь самоорганизация должна играть огромную роль. Поэтому мои предположения в области наук о жизни касаются не только их постепенной ассимиляции физикой, но и обратного процесса — постепенной ассимиляции физики ими» (Винер, 1964).
В системах управления с иерархической структурой каждая подсистема имеет свою цель, которая необязательно совпадает с целью всей системы в целом. Эффективное функционирование системы можно достигнуть только в том случае, если цели подсистем более низкого уровня будут согласованы с целями подсистем более высокого уровня. В связи с ветвлением системы от высших уровней к более низшим возникает иерархия целей и подчинение низших целей высшим. Выделение целей по всем подсистемам и зависимостей между ними называют деревом целей.
Главными целями для систем управления могут быть:
• рост объемов реализованной продукции;
• снижение себестоимости продукции;
• выпуск высококачественной продукции;
• выход на новые рынки сбыта продукции и др.
Оптимальное управление организациями и другими хозяйствующими объектами заключается в выборе и реализации таких функций управления, которые являются наилучшими в смысле эффективности достижения поставленных целей. Тем самым предполагается, что существует множество возможных вариантов создания систем управления и свобода выбора из них наилучшего.
По своему построению вся вселенная состоит из множества систем, каждая из которых содержится в более масштабной системе. Термин «система» греческого происхождения и означает целое, составленное из отдельных частей. В настоящее время существует достаточно большое количество определений «система». Определения «система» изложены в работах Л. фон Берталанфи, А. Холла, У. Гослинга, Р. Акоффа, К. Уотта и других. Например, по Л. фон Берталанфи, система – комплекс элементов, находящихся во взаимодействии, по А. Холлу система представляет собой множество объектов вместе с отношениями между объектами и между их атрибутами. У. Гослинг под системой понимает собрание простых частей. В соответствии с понятием Р. Акоффа система представляет собой любую сущность, которая состоит из взаимосвязанных частей. Наиболее близким понятием, относящимся к информационным системам, следует отнести определение К. Уотта, который считает, что система – это взаимодействующий информационный комплекс, характеризующийся многими причинно-следственными взаимодействиями.
Из приведенных определений можно выявить общие моменты, которые присущи понятию «система» и при дальнейших исследованиях рассматривать ее как целенаправленный комплекс взаимосвязанных элементов любой природы и отношений между ними. Обязательное существование целей определяет общие для всех элементов целенаправленные правила взаимосвязей, обуславливающие целенаправленность системы в целом. С точки зрения математики определение системы можно условно сопоставить с определением множества. Так, по Г. Кантору, множество является объединением в одно целое объектов, хорошо различимых нашей интуицией или мыслью. Н. Бурбаки считает, что множество образуется из элементов, которые обладают некоторыми свойствами и находятся в некоторых отношениях между собой или с элементами других множеств. Исходя из этого, можно сделать вывод, что для математического описания системы можно использовать аппарат теории множеств. Тогда систему S можно представить следующим образом:
S = d{X,Y},
где в – функция перехода;
– множество элементов, входящих в систему;
– множество элементов, выходящих из системы.
Множества X и Y являются конечными, так как определяют некоторую систему, выделенную из реальной жизни и дискретную по своей сущности. Поэтому S = d{X,Y} можно рассматривать как граф, что позволяет возможность использования для описания таких систем теории графов. Любая система может быть представлена в виде графа, вершинами которого являются элементы системы, а ребрами – отношения между ними.
ЛПР
– лицо принимающее решение.
ИАИСУ
– интегрированные автоматизированные информационные системы управления.
СВТ
– средства вычислительной техники.
Система
– целенаправленный комплекс взаимосвязанных элементов любой природы и отношений между ними.
Стохастичность
– случайность, один из вариантов объективной связи объектов, определяемый внешними для данного объекта причинами и характеризующие внешние неустойчивые нормы развития.
Цель
– это осознанный образ предвосхищаемого результата на достижение которого направлены действия человека.
Дерево целей -
выделение целей по всем подсистемам и зависимостей между ними.
Критерии эффективности
–
степень достижения целей системой управления.
Многокритериальные оценки
эффективности –
независимые, самостоятельные критерии эффективности.
Метод условной оптимизации.
В предыдущем подходе использовался тот факт, что частные критерии обычно неравнозначны между собой (один из них более важен, чем другие). Наиболее явное выражение этой идеи состоит в выделении основного, главного критерия и рассмотрении остальных как дополнительных, сопутствующих. Такое различие критериев позволяет сформулировать задачу выбора как задачу нахождения условного экстремума основного критерия. Предположим , при условии, что дополнительные критерии достигают определенных уровней а
i
:

Математически – это задачи линейного или выпуклого программирования.
Игровой (минимаксный) подход.
Этот подход широко применяется в теории игр. Он состоит в максимизации выигрыша игрока при условии, что его соперник тоже применяет оптимальную стратегию (старается минимизировать выигрыш соперника).
В нашем случае это задача 
«Оптимальным» будет такое решение, которое максимизирует наименее возможное значение из всех критериев. Этот метод еще называют как «метод подтягивания самого отстающего».
Принятие управленческих решений в процессе функционирования организации представляет собой вид управленческой деятельности, выполняемый на всех уровнях иерархии управления организацией и является составной частью этапов переработки информации. Принятие решения является неотъемлемым элементом выполнения функций управления, реализуемым при возникновении вопросов «Что делать?», «Как делать?». Качество управленческих решений непосредственно связано с эффективностью функционирования организации в целом и ее составных частей. Чем выше уровень управления, тем весомее значимость принятых и реализованных решений как с точки зрения технико-экономических показателей функционирования организации, так и социально-психологических, поведенческих аспектов работы ее персонала. Поэтому к качеству, эффективности принимаемых решений в деловых процессах должны предъявляться повышенные требования. Следовательно для обеспечения их выполнения лицу, принимающему решение (ЛПР), надо знать методологические основы научного подхода к процессу принятия рациональных (оптимальных) решений и умело реализовывать их на практике.
В принятии решений главенствующую роль среди коллектива, участвующего в разработке, подготовке и принятии решений должно играть ЛПР как «Субъект» принятого на основе своих предпочтений решения, несущий полную ответственность за его принятие и последствия реализации. Необходимость оценки предпочтений ЛПР при выборе решения обуславливает присутствие субъективности, в связи с наличием условий неопределенности и особенностями психологии мышления ЛПР. Как известно при принятии решений ЛПР выполняет мыслительную деятельность и совершает волевой акт. В процессе мыслительной деятельности реализуется генерация, оценка, анализ вариантов решений, обоснование и формирование интеллектуального (рационального, оптимального) решения.
Многокритериальные оценки эффективности – независимые, самостоятельные критерии эффективности. Для многих сложных систем управления выбрать критерии эффективности первого и второго рода, представляющие собой скалярные критерии, не представляется возможным. В этом случае используются векторные критерии, обеспечивающие выбор функций управления, оптимальных по Парето. Множество функций управления, оптимальных по Парето, включают в себя фактически не сравнимые по скалярным критериям функции управления, то есть такие, о которых нельзя сказать, какие из них являются наилучшими.
В этом случае применяются многокритериальные оценки эффективности систем управления с выделением наиболее лучших и наименее эффективных функций управления.
Исходя из основных достижений экономики, разработки методологии создания систем управления, уровня развития СВТ, организационных процессов, программного, математического и других видов обеспечения, критериями эффективности создаваемых систем управления могут в основном служить:
• максимум чистого дисконтированного дохода (прибыли);
• максимум роста объемов реализуемой продукции;
• минимум себестоимости продукции;
• максимум внутренней нормы рентабельности;
• минимум срока окупаемости инвестиций и др.
В тех случаях, когда трудно отдать предпочтение какому-либо критерию, используют многокритериальный подход, с помощью которого определяют оптимальное соотношение эффективности путей и степени достижения системой цели. Необходимым условием возможности использования многокритериального подхода является измерение эффективности пути в одинаковых единицах или наличие способа приведения к этому условию.
Человек в своей деятельности постоянно сталкивается с ситуациями, в которых ему приходится осуществлять выбор. Например, зайдя в магазин, мы выбираем тот или иной товар. Чтобы добраться до нужного места в городе или стране мы выбираем маршрут и соответствующий вид транспорта. Выпускник школы выбирает вуз, в котором он собирается учиться или же место работы, если он намерен работать. Как правило, каждый мужчина и каждая женщина в определенные моменты своей жизни выбирают представителя противоположного пола для образования семьи.
Руководители различных уровней и рангов постоянно вынуждены заниматься формированием персонала, возглавляемых ими подразделений, выбирать ту или иную стратегическую линию поведения, принимать конкретные хозяйственные и экономические решения.
Специалисты в самых разных областях науки и техники, занимающиеся разработкой всевозможных устройств и приспособлений, проектированием тех или иных сооружений, конструированием новых моделей и типов автомобилей, самолетов и т.п. так же всякий раз стремятся выбрать наилучшее инженерное, конструкторское или проектное решение.
Работники банков выбирают объекты для инвестирования, экономисты предприятий и фирм планируют оптимальную экономическую программу и т.д. и т.п.
Приведенный список практических задач выбора можно было бы продолжать и дальше. Ограничимся сказанным и выявим общие элементы, присущие всякой задаче выбора.
Прежде всего, должен быть задан набор решений, из которого следует осуществлять выбор. Обозначим его и будем называть множеством возможных
решений
. Природа самих решений при этом не играет никакой роли; это могут быть проектные решения, варианты поведения, политические или экономические стратегии и т.д.
Собственно выбор
(или принятие
) решений
состоит в указании среди всех возможных такого решения, которое объявляется выбранным (наилучшим
, или оптимальным
), хотя в некоторых случаях происходит выбор не одного, а целого набора решений, являющегося определенным подмножеством множества возможных решений .
Обозначим множество оптимальных
(выбранных) решений
. Оно и представляет собой решение задачи выбора. Решить задачу выбора – означает найти множество , являющееся определенным подмножеством множества возможных решений, т.е. (см. рисунок 1). В частности, может быть и одноэлементным множеством.

Рисунок 1.
Процесс выбора невозможен без наличия того, кто осуществляет этот выбор, преследуя свои собственные цели. Человека (или целый коллектив, подчиненный достижению определенной цели), который производит выбор и несет полную ответственность по его последствия, называют лицом, принимающим решение
(сокращенно: ЛПР
).
Найти
(1)
где 
сводится к решению системы уравнений:
(2)
и исследованию значения второго дифференциала:
(3)
в точках решения уравнений (1).
Если квадратичная форма (2) отрицательно определена в точке, то она достигает в ней максимальное значение, а если положительно определена, то минимальное значение.
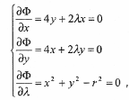
Пример:
(4)
Система уравнений имеет решения:

Точка (– 1/3,0) является точкой максимума, а точка (1/3,2) –точкой минимума.
Найти
(5)
при условиях:
(6)
Задача 2 решается методом множителей Лагранжа. Для этого находится решение системы (т + п) уравнений:
(7)
(8)
Пример.
Найти стороны прямоугольника максимальной площади, вписанного в круг: . Площадь А прямоугольника можно записать в виде: А = 4ху, тогда 

откуда 
Найти:
(9)
при условиях:
(10)
Эта задача охватывает широкий круг задач, определяемых функциями f и j.
Если они линейны, то задача является задачей линейного программирования.
Найти
(11)
при условиях
(12)
Она решается симплекс-методом, который с помощью аппарата линейной алгебры производит целенаправленный перебор вершин многогранника, определяемого (12).
(состоит из двух этапов):
Этап 1. Нахождение опорного решения х(0).
Опорное решение – одна из точек многогранника (12).
Этап 2. Нахождение оптимального решения.
Оптимальное решение находится последовательным перебором вершин многогранника (12), при котором значение целевой функции z на каждом шаге не уменьшается, то есть:

Частный случай задачи линейного программирования – так называемая транспортная задача.
Пусть в пунктах находятся склады, в которых хранятся товары в количестве соответственно. В пунктах находятся потребители, которым необходимо поставить эти товары в количествах соответственно. Обозначим cij стоимость перевозки единицы груза между пунктами 
Исследуем операцию перевозки потребителями товаров в количествах, достаточных, чтобы удовлетворить потребности потребителей. Обозначим через количество товара, перевозимого из пункта аi в пункт bj.
Для того, чтобы удовлетворять запросы потребителя, необходимо, чтобы величины хij удовлетворяли условиям:
(13)
В то же время со склада а; нельзя вывезти продуктов в большем количестве, чем там имеется. Это означает, что искомые величины должны удовлетворять системе неравенств:
(14)
Удовлетворять условиям (13), (15), то есть составить план перевозок, обеспечивающий запросы потребителей, можно бесчисленным числом способов. Для того, чтобы исследователь операций мог выбрать определенное решение, то есть назначить определенные хij, должно быть сформулировано некоторое правило отбора, определяемое с помощью критерия, который отражает наше субъективное представление о цели.
Проблема критерия решается независимо от исследования операции – критерий должен быть задан оперирующей стороной. В данной задаче одним из возможных критериев будет стоимость перевозки. Она определяется следующим образом:
(15)
Тогда задача о перевозках формулируется как задача линейного программирования: определить величины , удовлетворяющие ограничениям (13), (14) и доставляющие функции (15) минимальное значение. Ограничение (14) – это условие баланса; условие (13) можно назвать целью операции, ибо смысл операции в том и состоит, чтобы обеспечить запросы потребителей.
Эти два условия составляют, по существу, модель операции. Реализация операции будет зависеть от критерия, при помощи которого будет обеспечено достижение цели операции. Критерий может фигурировать в различных ролях. Он может выступать и как способ формализации цели и как принцип выбора действий из числа допустимых, то есть удовлетворяющих ограничениям.
Одним из известных методов решения транспортной задачи является метод потенциалов.
На первом этапе решения задачи составляется первоначальный план перевозок, удовлетворяющий
ограничениям (13), (14). Если (то есть суммарные потребности не совпадают с суммарными запасами продуктов на складах), то вводится в рассмотрение фиктивный пункт потребления или фиктивный склад со стоимостью перевозок, равными нулю. Для новой задачи суммарное количество товаров на складах совпадает с суммарной их потребностью. Затем каким-нибудь методом (например, наименьшего элемента или северо-западного угла) находится первоначальный план. На следующем шаге процедуры полученного плана строится система специальных характеристик – потенциалов. Необходимым и достаточным условием оптимального плана является его потенциальность. Процедура уточнения плана производится до тех пор, пока он не станет потенциальным (оптимальным).
В общем случае задача (9 – 10) называется задачей нелинейного программирования. Рассмотрим ее в более принятом виде:
(16)
при условиях
(17)
Для решения этой задачи используются так называемые релаксационные методы. Процесс построения последовательности точек называется релаксационным, если:

Все методы спуска решения задачи безусловной оптимизации (16) различаются либо выбором направления спуска, либо способом движения вдоль направления спуска. Методы спуска состоят в следующей процедуре построения последовательности {xk}.
В качестве начального приближения выбирается произвольная точка x0. Последовательные приближения строятся по следующей схеме:
• точке xk выбирается направление спуска – sk;
• находят (к + 1) – е приближение по формуле:
(18)
где в качестве величины выбирают любое число, удовлетворяющее неравенству
(19)
где число – любое такое число, когда 
В большинстве методов спуска величина lк выбирается равной единице. Таким образом, для определения bк приходится решать задачу одномерной минимизации.
Поскольку антиградиент – указывает направление наискорейшего убывания функции f(x), то естественным является перемещение из точки хk по этому направлению. Метод спуска, в котором называется методом градиентного спуска. Если , то релаксационный процесс называется методом скорейшего спуска.
В линейной алгебре этот метод известен как метод сопряженных градиентов решения систем линейных алгебраических уравнений АХ=b, а следовательно, как метод минимизации квадратичной функции 
Схема метода:
(20)
Если = 0, то эта схема превращается в схему метода скорейшего спуска. Соответствующий выбор величины tk гарантирует сходимость метода сопряженных направлений со скоростью того же порядка, что и в методах градиентного спуска и обеспечивает конечность числа итераций в квадратичном спуске (например ).
На каждой итерации в качестве направления спуска – sk выбирается направление вдоль одной из координатных осей. Метод имеет скорость сходимости процесса минимизации порядка 0(1/m). Причем она существенно зависит от размерности пространства.
Схема метода:

где координатный вектор
(21)
Если в точке xk имеется информация о поведении градиента функции f(x), например:

то в качестве направления спуска sk можно взять координатный вектор еj. В этом случае скорость сходимости метода в n раз меньше, чем при градиентном спуске.
На начальном этапе процесса минимизации можно использовать метод циклического покоординатного спуска, когда сначала спуск осуществляется по направлению е1, затем по е2 и т. д. вплоть до еп, после чего весь цикл повторяется снова. Более перспективным по сравнению с предыдущим является покоординатный спуск, в котором направления спуска выбираются случайным образом. При таком подходе к выбору направления существуют априорные оценки, гарантирующие для функции f(x) с вероятностью, стремящейся к единице при , сходимость процесса со скоростью порядка 0(1/m).
Схема метода:
На каждом шаге процесса из n чисел {1, 2, ..., n} случайным образом выбирается номер j(k) и в качестве sk выбирается единичный координатный вектор еj(k), после чего осуществляется спуск:
(22)
На n-мерной единичной сфере с центром в начале координат выбирается случайная точка sk, подчиняющаяся на этой сфере равномерному распределению, и затем по вычисленному на k-м шаге процесса элементу хк определяется :
(23)
Скорость сходимости метода случайного спуска в n раз ниже, чем у метода градиентного спуска, но в n раз выше, чем у метода случайного покоординатного спуска. Рассмотренные методы спуска применимы и к необязательно выпуклым функциям и гарантируют их сходимость при очень малых на них ограничениях (типа отсутствия локальных минимумов).
Вернемся к задаче 36 ((16) – (17)):

при условиях

В оптимизационных задачах с ограничениями выбор направления спуска сопряжен с необходимостью постоянной проверки того, что новое значение хk+1 должно также, как и предыдущее xk удовлетворять системе ограничений X.
В этом методе идея выбора направления спуска состоит в следующем: в точке хк линеаризуют функцию f(x), строя линейную функцию и затем, минимизируя f(x) на множестве х, находят точку yk. После этого полагают и далее вдоль этого направления осуществляют спуск , так, чтобы 
Таким образом, для отыскания направления – sk следует решить задачу минимизации линейной функции на множестве X. Если X в свою очередь задается линейными ограничениями, то она становится задачей линейного программирования.
Идея метода: среди всех возможных направлений в точке хк выбирают то, вдоль которого функция f(x) убывает быстрее всего, и затем осуществляют спуск вдоль этого направления.
Направление – s в точке х Î X называется возможным, если существует такое число , что для всех . Для нахождения возможного направления необходимо решить задачу линейного программирования, либо простейшую задачу квадратичного программирования: 
При условиях:
(24)
(25)
(26)
Пусть – решение этой задачи. Условие (24) гарантирует, что направление – – возможное. Условие (25) обеспечивает максимальность величины ( , то есть среди всех возможных направлений – s, направление – обеспечивает самое быстрое убывание функции f(x). Условие (26) избавляет от неограниченности решения задачи. Метод возможных направлений устойчив к возможным вычислительным ошибкам. Однако скорость его сходимости оценить в общем случае сложно и эта задача пока остается нерешенной.
Реализация изложенных выше методов минимизации в общем случае очень трудоемка, кроме простейших случаев, когда множество ограничений обладает простой геометрической структурой (например, является многомерным параллелепипедом). В общем случае весьма перспективным может быть метод случайного поиска, когда направление спуска выбирается случайным образом. При этом мы будем существенно проигрывать в скорости сходимости, однако простота выбора направления может компенсировать эти потери с точки зрения общих затрат труда на решение задачи минимизации.
Схема метода:
На n-мерной единичной сфере с центром в начале координат выбирается случайная точка rk, подчиняющаяся на этой сфере равномерному распределению, и затем направление спуска – sk из условий ,

В качестве начального приближения выбирается . По вычисленной на каждой итерации точке xk строится (k + 1)-я точка xk+1:

В качестве выбирается любое число из = , удовлетворяющее неравенству:

Доказана сходимость этого метода при весьма нежестких ограничениях на функцию f (выпуклость) и множество ограничений X (выпуклость и замкнутость).
Обычно считается, что оптимальным является такое возможное решение, которое наиболее полно удовлетворяет желаниям, интересам или целям ЛПР. Стремление ЛПР достичь определенной цели нередко удается в математических терминах выразить в виде максимизации (или минимизации) некоторой числовой функции, заданной на множестве . Однако в более сложных ситуациях приходится иметь дело не с одной, а сразу с несколькими такими функциями. Так будет, например, когда какое-то явление, объект или процесс рассматривается с различных точек зрения и для формализации каждой точки зрения используется соответствующая функция. Если явление рассматривается в динамике, поэтапно и для оценки каждого этапа приходится вводить отдельную функцию, - в этом случае также приходится учитывать несколько функциональных показателей.
Нижеследующее рассмотрение посвящено ситуации, когда имеется несколько числовых функций , ³
, определенных на множестве . В зависимости от содержания задачи выбора эти функции называют критериями оптимальности
, критериями эффективности
, целевыми функциями
, показателями
или критериями качества
.
Проиллюстрируем введенные термины, рассмотрев задачу выбора наилучшего проектного решения
. В этой задаче множество состоит из нескольких конкурсных проектов (например, строительства нового предприятия), а критериями оптимальности могут служить стоимость реализации проекта и величина прибыли , которую обеспечит данное проектное решение (т.е. построенное предприятие). Если ограничить рассмотрение данной задачи лишь одним критерием оптимальности, практическая значимость решения такой задачи окажется незначительной. В самом деле, при использовании только первого критерия будет выбран самый дешевый проект, но его реализация может привести к недопустимо малой прибыли. С другой стороны, на строительство самого прибыльного проекта, выбранного на основе второго критерия оптимальности, может просто не хватить имеющихся средств. Поэтому в данной задаче необходимо учитывать оба указанных критерия одновременно. Если же дополнительно стараться минимизировать нежелательные экологические последствия строительства и функционирования предприятия, то к двум указанным следует добавить еще один – третий критерий и т.д. Что касается ЛПР, осуществляющего выбор проекта, то в данной задаче таковым является глава администрации района, на территории которого будет построено предприятие, при условии, что это предприятие является государственным. Если же предприятие – частное, то в качестве ЛПР выступает глава соответствующей фирмы.
Указанные выше числовые функции образуют векторный критерий
, (27)
который принимает значения в -мерном арифметическом пространстве . Это пространство называют критериальным пространством
или пространством оценок
, а всякое значение   векторного критерия при определенном именуют векторной оценкой
возможного решения . Все векторные оценки образуют в пространстве множество возможных оценок
 при некотором
.
Задачу выбора, содержащую множество возможных решений и векторный критерий , обычно называют многокритериальной задачей
.
Предположим, что данные компоненты задачи выбора сформированы, четко описаны и зафиксированы. Опыт показывает, что в терминах критерия чаще всего не удается выразить всю гамму «пристрастий», «вкусов» и предпочтений данного ЛПР. С помощью векторного критерия лишь намечаются определенные цели, которые нередко оказываются весьма противоречивыми. Эти цели одновременно, как правило, достигнуты быть не могут, и поэтому требуется определенная дополнительная информация для осуществления компромисса. Иначе говоря, если ограничиться лишь указанными выше двумя компонентами – множеством возможных решений и векторным критерием, то задача выбора оказывается «недоопределенной». Эта «недоопределенность» сказывается затем в слабой логической обоснованности выбора оптимального решения на основе векторного критерия. Многочисленные процедуры выбора (процедуры построения множества ), предлагаемые в литературе по принятию решений, основанные лишь на знании векторного критерия, как правило, содержат элементы эвристики, и потому не имеют строгого логического обоснования.
Для того чтобы осуществить обоснованный выбор, следует помимо векторного критерия располагать какими-то дополнительными сведениями о предпочтениях ЛПР. С этой целью необходимо включить в многокритериальную задачу еще один элемент, который позволил бы выразить и описать эти предпочтения.
Рассмотрим два возможных решения и . Предположим, что после предъявления ЛПР этой пары решений, оно выбирает (отдает предпочтение) первому из них. В этом случае пишут
.
Знак служит для обозначений предпочтений данного ЛПР и называется отношением строгого предпочтения
, или короче – отношением предпочтения
.
Следует отметить, что не всякие два возможных решения и связаны соотношением , либо соотношением . Иначе говоря, не из любой пары решений ЛПР может сделать окончательный выбор. Вполне могут существовать такие пары, что ЛПР не в состоянии отдать предпочтение какому-то одному решению этой пары, даже если это - пара различных решений.
Описанная ситуация вполне соответствует реальному положению вещей. Более того, если бы от ЛПР требовалась способность в произвольной паре возможных решений уметь определять решение, более предпочтительное по сравнению с другим, то в таком случае теория, построенная на указанном «жестком» требовании к ЛПР не представляла бы практического интереса. Подобные «всемогущие» ЛПР в жизни встречаются крайне редко!
Предположим, что ЛПР в процессе выбора ведет себя «достаточно разумно» и обсудим требования, которым в таком случае должно удовлетворять его отношение предпочтения.
Прежде всего, следует напомнить, что отношение предпочтения по своей сути является отношением строгого
предпочтения в том смысле, что выполнение соотношения невозможно ни для какого возможного решения , поскольку ни одно решение не может быть лучше самого себя.
Рассмотрим ситуацию, когда первое решение предпочтительнее второго, а оно, в свою очередь, предпочтительнее некоторого третьего решения. В таком положении здравомыслящий человек при сравнении первого и третьего решения всегда выберет первое. Здесь происходит то же самое, что и при сравнении чисел с помощью строгого неравенства >. Например, если и , то непременно выполнено . В терминах возможных решений это может быть сформулировано следующим образом: для любой тройки возможных решений из выполнения соотношений и обязательно следует справедливость соотношения . Это свойство отношения предпочтения называют свойством транзитивности
. Далее будем предполагать, что отношение предпочтения обладает свойством транзитивности.
Постановка всякой задачи многокритериального выбора включает
· множество возможных решений 
· векторный критерий вида (27)
· отношение предпочтения .
Само ЛПР в постановку задачи многокритериального выбора не включено. В этом нет необходимости. Подразумевается, что все его устремления, вкусы, пристрастия и предпочтения, оказывающие влияние на процесс выбора, «материализованы» в терминах векторного критерия и отношения предпочтения.
Как указано выше, решение задачи многокритериального выбора заключается в отыскании множества оптимальных решений . Выясним, каким образом сведения об отношении предпочтения могут быть использованы в процессе решения задачи многокритериального выбора.
Рассмотрим два произвольных возможных решения и . Для них имеет место один и только один из следующих трех случаев:
· справедливо соотношение , а соотношение не выполняется;
· справедливо соотношение , а соотношение не выполняется;
· не выполняется ни соотношение , ни соотношение .
Следует заметить, что четвертый случай, когда оба участвующих здесь соотношения и выполняются, невозможен, поскольку из этих соотношений благодаря транзитивности отношения сразу вытекает противоречие .
При выполнении соотношения (т.е. в первом случае) говорят, что решение доминирует
решение , или что доминируется
решением .
Вернемся к задаче выбора. Если из двух возможных решений одно доминируется другим, то, очевидно, доминируемое решение не может оказаться выбранным, оптимальным. Таким образом, всякое доминируемое решение можно исключить из списка решений, претендующих на роль оптимальных.
Исключение всех доминируемых решений приводит к множеству, которое носит специальное название и играет важную роль в принятии решений.
Множество недоминируемых решений
определяется равенством
не существует , такого, что
.
Поскольку удаление доминируемых решений из множества возможных решений не приводит к потере ни одного оптимального решения, то имеет место включение
. (28)
Включение (28) показывает, что выбор оптимальных решений следует производить только среди недоминируемых решений.
Вернемся к задаче многокритериального выбора. В ней кроме множества возможных решений и отношения предпочтения присутствует также векторный критерий . Компонента векторного критерия характеризует определенную цель ЛПР, а стремление достичь этой цели в математических терминах выражается в максимизации или минимизации этой компоненты на множестве . Для определенности всюду далее будем считать, что ЛПР заинтересовано в получении по возможности бóльших значений каждой компоненты
векторного критерия[2]
.
Выбрав произвольное возможное решение и вычислив значение векторного критерия на этом решении, получим набор чисел, образующий векторную оценку данного решения . Таким образом, каждое возможное решение имеет свою собственную векторную оценку.
Теперь рассмотрим два произвольных возможных решения и вместе с соответствующими им оценками и . Допустим, что эти оценки связаны соотношением
, (29)
которое означает справедливость покомпонентных неравенств ³
для всех номеров , причем , т.е. хотя бы для одного номера верно строгое неравенство > .
Выполнение неравенства (29) означает, что по всем компонентам первая векторная оценка «не хуже» (точнее говоря, не меньше) второй векторной оценки, причем, по крайней мере, какая-та одна компонента первой оценки «лучше» (строго больше) соответствующей компоненты второй оценки. Поскольку, как принято выше, ЛПР заинтересовано в достижении максимального возможного значения по каждому критерию, то в имеющейся ситуации ЛПР из двух представленных ему на выбор решений и явно выберет первое.
Иначе говоря, стремление ЛПР максимизировать каждую компоненту векторного критерия можно выразить в терминах следующего требования: отношение предпочтения и векторный критерий подчиняются аксиоме Парето
, т.е. всякий раз из выполнения неравенства
(29) следует справедливость соотношения
:
.
Если для некоторой пары возможных решений выполняется неравенство (29), то благодаря аксиоме Парето первое решение будет предпочтительнее второго. Значит, второе решение ни при каких обстоятельствах не окажется оптимальным и его можно исключить из последующего процесса выбора. Исключение всех подобного рода решений приводит к множеству Парето.
Множество парето-оптимальных решений
обозначается и определяется равенством
= не существует , такого, что
.
Установим теперь взаимосвязь между недоминируемыми и парето-оптимальными решениями. Если решение не является парето-оптимальным, то для некоторого возможного решения выполнено неравенство (3). Согласно аксиоме Парето отсюда следует, что   , а значит, – доминируемое решение. Таким образом, всякое решение, не являющееся парето-оптимальным, – доминируемое. Отсюда следует, любое недоминируемое решение должно быть парето-оптимальным. На теоретико-множественном языке этот факт можно выразить в виде включения . С учетом (28) отсюда получаем следующую связь между введенными выше множествами:
  . (30)
В результате формализации конкретных практических задач выбора становятся известными множество возможных решений и векторный критерий . Знание векторного критерия и множества возможных решений позволяет найти множество Парето (решений и/или оценок). К настоящему времени свойства множества Парето изучены достаточно подробно, разработаны методы и алгоритмы его построения и все специалисты в области принятия решений единодушно полагают, что наилучшие решения многокритериальной задачи следует искать именно среди множества Парето. Поэтому построение множества Парето нередко считают первым необходимым шагом в решении любой многокритериальной задачи.
Из рассмотрения простых примеров следует, что множество парето-оптимальных решений в одном крайнем случае может состоять из одного-единственного элемента, а в другом – каждое возможное решение будет парето-оптимальным. Если парето-оптимальное решение единственно, то в такой задаче оптимальным может быть только это парето-оптимальное решение. В общем случае, чем ýже множество Парето, тем более простым представляется последующее нахождение множества . Однако, практика показывает, что в реальных задачах множество Парето оказывается достаточно широким и его построение полностью не решает задачу принятия решений. Необходимы методы, которые позволили бы сузить область дальнейшего поиска оптимальных решений. Именно такого рода метод разработан в рамках теории относительной важности критериев.
На примере задачи выбора с тремя критериями ( ) рассмотрим следующие две оценки и . Оценка по первому критерию «лучше» оценки (так как 4 > 2), а по второму критерию – «хуже» (1 < 2), тогда как по третьему критерию данные оценки равнозначны. Тем самым, при переходе от оценки к оценке ЛПР добавляет 2 единицы по первому критерию, но при этом теряет 1 единицу по второму критерию.
Предположим, что при сравнении этих двух оценок ЛПР выбрало первую - . Спрашивается, каким образом можно объяснить сделанный ЛПР выбор? Почему ЛПР предпочло добавить две единицы по первому критерию, несмотря на потерю одной единицы по второму критерию?
Наиболее естественный ответ на поставленные вопросы состоит в следующем. Поскольку, ЛПР предпочло «прибавку» по первому критерию за счет «потери» по второму, это означает, что для данного ЛПР первый критерий является более важным, чем второй. Бόльшая степень важности для ЛПР одного критерия по сравнению с другим как раз и выражается в его готовности пожертвовать чем-то второстепенным (менее важным) во имя главного (более важного).
При этом для количественной оценки степени важности первого критерия по сравнению со вторым можно использовать отношение
,
выражающее долю «потери» по отношению к сумме «прибавки» и «потери». Чем больше эта доля, тем большую степень важности будет у одного критерия по сравнению с другим.
Приведенные выше рассуждения для трехмерных оценок ведут к следующим общим определениям, в которых для множества номеров критериев принято обозначение .
Определение 1.
Говорят, что i
-й критерий является более важным, чем
j
-й критерий (
)
c
положительными числовыми параметрами и ,
если для всех , таких, что


для всех , кроме и ,
выполняется соотношение .
Заметим, что в данном определении присутствует отношение предпочтения , связанное с ЛПР. У каждого ЛПР свое собственное отношение предпочтения, а значит, если для одного ЛПР i
-й критерий важнее j
-
го, то для другого ЛПР этого может и не быть. Иначе говоря, введенное понятие относительной важности критериев носит «субъективный» характер, что хорошо согласуется с интуитивными представлениями об этом понятии.
Определение 2.
Пусть i
-й критерий важнее j
-го с положительными параметрами ( ). Число
называется коэффициентом относительной важности критерия
i
по сравнению с критерием
j
.
Очевидно, , причем чем ближе этот коэффициент к 1, тем бόльшая степень важности y i
-
го критерия по сравнению с j
-м; и наоборот, чем ближе к 0, тем меньше указанная степень важности. В «среднем» случае ЛПР для получения «прибавки» по i
-
у критерию в размере единиц готово пожертвовать тем же количеством по j
-у критерию. Подобным образом можно дать интерпретацию любого числового значения коэффициента .
Теперь, после того, как высказывание i
-й критерий важнее
j
-го критерия с коэффициентом относительной важности
получило точный смысл, перейдем к обсуждению вопроса учета количественной информации об относительной важности критериев в процессе принятия решений.
Как правило, при решении задач многокритериального выбора имеющиеся критерии для ЛПР неравноценны, т.е. одни из них более важны, чем другие. Будем считать, что ЛПР ознакомлено с приведенными выше определениями и способно в терминах коэффициентов относительной важности выразить неравноценность имеющихся критериев.
Пусть, например, ЛПР полагает, что для него i
-й критерий важнее j
-го с коэффициентом относительной важности . Спрашивается, каким образом учесть эту дополнительную информацию о критериях в процессе принятия решений?
Вспомним установленное ранее включение (30), из которого следует, что наилучшие решения находятся среди парето-оптимальных. После того, как ЛПР дополнительно сообщило указанную информацию об относительной важности критериев, можно надеяться, что с помощью этой информации будет построено более узкое множество, ограничивающее , чем . Иными словами, дополнительная информация позволит удалить из множества Парето какие-то заведомо «негодные» решения и, тем самым, сузить область дальнейшего поиска множества оптимальных решений.
Действительно, при достаточно общих предположениях относительно имеет место следующий результат.
Теорема.
Пусть
i
-й критерий важнее
j
-го с коэффициентом относительной важности
(
). Тогда для вектор-функции вида
,
(31)
для всех , кроме ,
выполнено
. (32)
Соотношения (32) наглядно иллюстрирует рисунок 2.

Рисунок 2.
В соответствии с приведенной теоремой учет указанной количественной информации об относительной важности критериев производится следующим образом. Сначала менее важный критерий в наборе критериев заменяется новым - , вычисленным в соответствии с формулой (31). Тем самым, образуется новый векторный критерий . Затем с помощью известных методов и алгоритмов находится множество Парето относительно векторного критерия . Если это множество оказывается достаточно узким (в том смысле, что все решения, входящие в него, практически одинаково предпочтительны для ЛПР), то в качестве наилучшего выбирается любое решение из . В противном случае следует попытаться получить от ЛПР новую дополнительную информацию об относительной важности какой-то другой пары критериев и учесть ее, построив еще более узкое множество, чем и т.д.
В результате выполнения указанных действий либо будет построено достаточно узкое множество Парето, внутри которого следует выбрать любое решение в качестве наилучшего, либо после учета всей имеющейся информации об относительной важности критериев очередное множество Парето окажется сравнительно широким и тогда для окончательного выбора наилучшего решения придется применить какой-нибудь подходящий известный метод решения многокритериальных задач.
Пример.
Проиллюстрируем сказанное простым примером. Для этого обратимся к описанной ранее задаче выбора наилучшего проектного решения.
Пусть имеется, скажем, три проекта, которые характеризуются следующими данными: стоимость строительства первого проекта составляет 15, второго – 13 и третьего – 10 млн. руб., а планируемая среднегодовая прибыль построенных предприятий равна 5, 3 и 2 млн. руб., соответственно.
Этой задаче отвечает следующая модель многокритериального выбора:
,
,
где , . Заметим, что первые компоненты векторов оценок получили отрицательные значения, так как критерий (стоимость проекта) подлежит минимизации.
Легко видеть, что в данном случае . Предположим, что ЛПР стеснено в средствах, и поэтому считает первый критерий важнее второго с коэффициентом относительной важности . В соответствии с приведенной выше теоремой
, .
Тогда нетрудно вычислить , , . Следовательно, , так как >
, >
, и в соответствии с (6) получаем
.
Отсюда следует, что оптимальным может быть лишь третье решение .
Таким образом, в данном примере на основе лишь одной информации об относительной важности критериев удалось однозначно определить оптимальное решение.
Под адаптивностью понимается закономерность, связанная с приспособлением системы к изменяющимся внешним и внутренним параметрам ее существования. Адаптивность тесно связана с понятием «саморегулирование» и «самоорганизация».
Живые организмы, в том числе и человек, технические устройства, социально-экономические процессы отличаются способностью к саморегулированию. Например, птицы и млекопитающие автоматически, независимо от температуры окружающей среды, регулируют внутреннюю температуру своего тела, поддерживая ее на определенном уровне.
Также её сущность можно проиллюстрировать на примере подготовки космонавтов для полета в космос. Перед полетом в космос космонавты в течение длительного времени проходят подготовку в условиях, близких к условиям работы в космосе. Для этого они тренируются в условиях невесомости, перегрузок организма, соответствующих будущим условиям. То есть космонавт как биологическая система должен пройти процесс адаптации в земных условиях для того, чтобы сохранить свою работоспособность с прежней эффективностью в околоземном пространстве.
Знание закономерностей, которыми обладают системы, позволяет исследователям заранее предсказать форму их поведения при каких-либо изменениях в окружающей среде. Это в свою очередь позволяет принимать более эффективные решения для процесса регулирования будущих событий.
Класс самоорганизующихся, или развивающихся, систем характеризуется рядом признаков, особенностей, которые, как правило, обусловлены наличием в системе активных элементов, делающих систему целенаправленной. Отсюда вытекают особенности экономических систем, как самоорганизующихся систем, по сравнению с функционирование технических систем:
· нестационарность (изменчивость) отдельных параметров системы и стохастичность ее поведения;
· уникальность и непредсказуемость поведения системы в конкретных условиях. Благодаря наличию активных элементов системы появляется как бы "свобода воли", но в то же время возможности ее ограничены имеющимися ресурсами (элементами, их свойствами) и характерными для определенного типа систем структурными связями;
· способность изменять свою структуру и формировать варианты поведения, сохраняя целостность и основные свойства (в технических и технологических системах изменение структуры, как правило, приводит к нарушению функционирования системы или даже к прекращению существования как таковой);
· способность противостоять энтропийным (разрушающим систему) тенденциям. В системах c активными элементами не выполняется закономерность возрастания энтропии и даже наблюдаются негэнтропийные тенденции, т. е. собственно самоорганизация;
· способность адаптироваться, к изменяющимся условиям. Это хорошо по отношению к возмущающим воздействиям и помехам, но плохо, когда адаптивность проявляется и к управляющим воздействиям, затрудняя управление системой;
· способность и стремление к целеобразованию;
· принципиальная неравновесность.
Легко видеть, что хотя часть этих особенностей характерна и для диффузных систем (стохастичность поведения, нестабильность отдельных параметров), однако в большинстве своем они являются специфическими признаками, существенно отличающими этот класс систем от других и затрудняющими их моделирование.
Рассмотренные особенности противоречивы. Они в большинстве случаев являются и положительными и отрицательными, желательными и нежелательными для создаваемой системы. Их не сразу можно понять и объяснить для того, чтобы выбрать и создать требуемою степень их проявления.
При этом следует иметь в виду важное отличие открытых развивающихся систем с активными элементами от закрытых. Пытаясь понять принципиальные особенности моделирования таких систем, уже первые исследователи отмечали, что, начиная с некоторого уровня сложности, систему легче изготовить и ввести в действие, преобразовать и изменить, чем отобразить формальной моделью. По мере накопления опыта исследования и преобразования таких систем это наблюдение подтверждалось, и была осознана их основная особенность - принципиальная ограниченность формализованного описания развивающихся, самоорганизующихся систем.
По этому поводу фон Нейманом была высказана следующая гипотеза: «У нас нет полной уверенности в том, что в области сложных задач реальный объект не может являться простейшим описанием самого себя, т.е. что всякая попытка описать его с помощью обычного словесного или формально-логического метода не приведет к чему-то более сложному, запутанному и трудновыполнимому...» .
Необходимость сочетания формальных методов и методов качественного анализа и положена в основу большинства моделей и методик системного анализа. При формировании таких моделей меняется привычное представление о моделях, характерное для математического моделирования и прикладной математики. Изменяется представление и о доказательстве адекватности таких моделей.
Основную конструктивную идею моделирования при отображении объекта классом самоорганизующихся систем можно сформулировать следующим образом: накапливая информацию об объекте, фиксируя при этом все новые компоненты и связи и применяя их можно получать отображения последовательных состояний развивающейся системы, постепенно создавая все более адекватную модель реального, изучаемого или создаваемого объекта. При этом информация может поступать от специалистов различных областей знаний и накапливаться во времени по мере ее возникновения (в процессе познания объекта).
Адекватность модели также доказывается как бы последовательно (по мере её формирования) путем оценки правильности отражения в каждой последующей модели компонентов и связей, необходимых для достижения поставленных целей.
Г. Саймон (Simon, 1969), впервые отказавшись от традиционного «техноцентрического» понимания процесса достижения оптимальности деятельности только как отыскания наилучшего способа действия, предложил термин «удовлетворительное решение», описывающий процесс решения задачи как поиск приемлемой для субъекта альтернативы, удовлетворяющей его субъективным критериям. Продолжая линию, М. Месарович (Mesarovic, 1973) на основе противопоставления двух принципов принятия решения (оптимальности и удовлетворительности) выделил два соответствующих класса задач, решаемых человеком в реальных ситуациях: 1) задачи оптимизации и 2) задачи нахождения удовлетворительных решений. Задаче нахождения удовлетворительных решений соответствует «принцип удовлетворительности»: будучи подвержен нежелательным воздействиям среды, субъект осуществляет регуляцию своей деятельности (процесса решения) таким образом, что его основные характеристики остаются в удовлетворительном диапазоне до тех пор, пока продолжаются возмущения. Отличие модели нахождения удовлетворительных решений от традиционной модели оптимизации состоит в ориентации субъекта на регуляцию неопределенности и поддержание некоторого удовлетворительного состояния жизнедеятельности. Если принцип оптимизации описывает максимизацию функции полезности (эффективность решения, точность, безошибочность) на множестве альтернатив, то принцип удовлетворительности заключается в сохранении характеристик жизнедеятельности в удовлетворительном диапазоне за счет снижения неопределенности.
Необходимость двойственного подхода в семиотических системах имеет важное методологическое значение, выходящее за рамки чисто логических построений.
Указывая на возможность трактовать язык как отображение соответствующей вещественной (или информационной) системы (в аспекте лингвистического определения системы М.Д. Месаровича), Е. 3. Майминас склонен рассматривать факт неполноты формализованных языков как теоретическую основу двойственного подхода к системам вообще. Этот факт, как пишет Е. 3. Майминас, объясняет неполноту обособленного описания любой системы, входящей в иерархию систем.
Рассмотрим с этой точки зрения проблему машинного моделирования интеллектуальных и психических процессов. Прежде всего ясно, что реализация указанных процессов в виде системы математических программ (сколь угодно сложной) не выводит нас за рамки машинных языков. Моделируемые функции воплощены в структуре машины, описание которой с самого начала ограничено конструкторским замыслом.
Между тем человеческое мышление и психика имеют социальную природу, генетически не сводимую к структурным свойствам отдельных индивидов. И это значит, что явления мышления и психики нельзя описать полностью на языке биохимических реакций, протекающих в коре головного мозга, а тем более на языке машинных программ, каким бы богатым ни был этот язык.
Однако машина отнюдь не изолирована от остального мира и функции, которые она реализует, выражают свойства отношений между машиной и остальным миром (в частности, человеком). Как и в случае с человеческим мышлением, эти свойства не сводимы к структурным свойствам машины, и в этом смысле фактор неполноты по-прежнему имеет место.
Особенность ситуации заключается в том, что функции искусственного интеллекта формируются в среде, существенно отличной от той, которая обусловила формирование человеческого мышления. Поэтому и природа искусственного интеллекта должна быть другой. Как бы далеко мы ни продвинулись в моделировании человеческого мышления и психики, в определенном смысле мы обречены на непредвиденный конечный результат. Мы никогда не получим точной копии естественного интеллекта. Зато нет никаких гарантий, что фактически реализованные функции в системе типа человек – машина по своим проявлениям не окажутся для нас несколько неожиданными.
Как следует из определения организаций, среди всех компонентов ее внутренней структуры особое место занимают цели, так как ради их достижения и осуществляется вся деятельность организации. Организация, не имеющая цели, бессмысленна и не может существовать сколько-нибудь продолжительное время. Вместе с тем цели - один из наиболее спорных моментов в понимании организации. Одни ученые считают, что цели необходимы при анализе организационного поведения, другие, напротив, пытаются принизить их значение. Так, бихевиористы считают, что цель могут иметь только индивиды, а группа и коллективы их не имеют
.
Определим цель как желаемый, планируемый результат или те ориентиры, которых пытаются достичь, используя свою активность, члены организации для удовлетворения коллективных потребностей. В условиях организации цель нужно рассматривать как единство мотивов, средств и результатов. Это означает следующее:
· цель есть определенный мотив (или потребность). Справедливо утверждают, что цель относится к мотиву как стакан воды - к утолению жажды, обладание властью - к самоутверждению, одна цель может удовлетворять несколько потребностей, как одна потребность может удовлетворяться через разные цели;
· цель образуется при встрече мотива со средствами (ресурсами, условиями, возможностями), т.е. при оценке способа удовлетворения соответствующей потребности или устремления;
· цель в деятельности организации не тождественна результату, поскольку даже при достижении цели в реальный результат привносятся другие следствия, не совпадающие с предполагаемым результатом, поэтому достигнутая цель может быть только частью результата;
· выбор цели субъектом существенно предопределен и ограничен индивидуальными предпочтениями, влияниями окружающей среды, побочными целями и т.д. Поэтому целеполагание не есть лишь выражение свободы воли субъекта.
Совместная деятельность порождает у людей цели разного уровня и содержания. В условиях организованной деятельности эти цели могут выполнять такие функции:
1. Когнитивные функции целей
. Эти функции, которым, по мнению представителей рациональной школы научного управления и их современных последователей, принадлежит первое место, обобщают распоряжения координирующих органов и концентрируют внимание на анализе альтернатив действий и принятии решений.
2. Распределительные функции
. Для реализации целей организации необходимо направлять ресурсы в подразделения оптимальным образом. Наличие целей различного уровня (целей организации, целей подразделений, целей участников организации) ставит проблему их совмещения в ходе производственной деятельности, что заставляет руководителей распределять ресурсы внутри организации.
3. Функции идентификации
, т.е. сопоставления собственных стремлений членов организации с целями подразделения или организации как целого. В отсутствие этих функций деятельность членов организации теряет смысл. Это в свою очередь может привести к отчуждению и аномии.
4. Функции мотивации
. Цели способны мотивировать членов организации в том случае, если последние признают их реально достижимыми, ориентированными на будущее и соотнесенными с собственными потребностями.
5. Функции преобразования
. Стремление к реализации целей организации неизбежно приводит к пониманию необходимости преобразований различных аспектов организационной деятельности. Особенно это справедливо в отношении организаций, работающих в рыночной среде с высокой степенью неопределенности, когда разрабатываемые цели изначально ориентированы на изменения и инновации.
6. Катектические, или эмоциональные, функции
. Цели могут формировать у членов организации различные эмоциональные состояния: эмоциональный подъем или, наоборот, чувства растерянности, неуверенности. Эти побочные функции целей необходимо учитывать, принимая управленческое решение, так как они оказывают значительное влияние на мотивацию членов организации.
7. Символические функции
. Определяя цели организации, руководители должны учитывать их влияние на публику (или рядовых потребителей), клиентов фирмы, партнеров, заказчиков, представителей банков. В этом случае цели рассматриваются как визитная карточка фирмы, концентрированное выражение ее стратегических замыслов.
8. Идеологические функции
. Цели формируют идеологию организации, т.е. объясняют не только, как будут достигнуты те или иные результаты, но и почему возникла необходимость в их достижении. К сожалению, в отечественных организациях вопросам идеологии организации уделяют мало внимания, в то время как американские и в еще большей степени японские организации считают создание собственной идеологии первоочередной задачей.
Цели организации разнообразны по виду и содержанию. Например, цели у рядовых исполнителей, руководителей высшего уровня и у руководителя финансового характеризуются существенными различиями в видении будущих результатов их деятельности. Но это вовсе не свидетельство того, что цели организации - это лишь формальное оглашение о намерениях, не реализуемое на практике. Ответ на этот вопрос дает А.И. Пригожий, который считает, что совместная деятельность индивидов в организации предполагает наличие по крайней мере трех видов взаимосвязанных организационных целей.
1. Цели-задания
- оформленные как программы общих действий поручения, которые задаются организацией более высокого уровня (например, для предприятия цели такого рода могут задаваться министерством) или диктуются рынком (совокупностью организаций, включая смежников и конкурентов). Эти задания определяют целевое существование организаций. Очевидно, что эти цели являются приоритетными и на их выполнение направлено внимание и основные усилия всех без исключения участников организационного процесса. Например, преподавание в школе, лечение и прием пациентов в больнице, лабораторные работы в научно-исследовательском институте - все это цели-задания, определяющие смысл существования организации.
2. Цели-ориентации
- совокупность целей участников, реализуемых через организацию. К ним относятся обобщенные цели коллектива, включая и личные цели каждого члена организации. Важным моментом совместной деятельности является совмещение целей-заданий и целей-ориентаций. Если они расходятся, утрачивается мотивация на выполнение целей-заданий и работа организации может стать неэффективной. Стремясь к достижению собственных (часто эгоистических) целей-ориентаций, члены организации отмахиваются от целей-заданий или выполняют их лишь формально.
3. Цели системы
обусловлены стремлением сохранить организацию как самостоятельное целое, т.е. сохранить равновесие, стабильность и целостность. Другими словами, цели системы выражают стремление организации к выживанию в условиях существующего внешнего окружения, к ее интеграции в ряду других. Цели системы должны органично вписываться в цели-задания и цели-ориентации. В случаях организационной патологии цели системы могут заслонять другие цели. При этом на первый план выступает желание любой ценой сохранить организацию, невзирая на необходимость выполнения ею целей-заданий или удовлетворение коллективных и индивидуальных целей-ориентаций членов организации. Такое явление нередко наблюдается при крайних негативных проявлениях бюрократизма, когда организация, утратив реальные цели, существует только для того, чтобы выжить, сохранить свою самостоятельность.
Приведенное разделение целей является основным. Оно позволяет понять значение целей организации и показывает их разнообразие. Однако в организации существует большое количество различных стратегических
, тактических, промежуточных и вторичных целей.
Классификация целей организации. У организации могут быть разнообразные цели, особенно если говорить об организациях различных типов. Например, деятельность организаций, занимающихся бизнесом, сосредоточена главным образом на создании определенных товаров и услуг в рамках специфических ограничений - по затратам и получаемой прибыли. Государственные учебные заведения и больницы и т.п. не стремятся получить прибыль, но их действия сопряжены с ограничением затрат. Это стремление некоммерческих организаций находит отражение в наборе целей, сформулированных как представление конкретных услуг в рамках бюджетных ограничений. Изложенное свидетельствует о том, что классификацию целей следует считать важной научно-практической задачей, способствующей пониманию возможностей их практического использования при проектировании организации или в процессе ее функционирования. Приведем несколько классификаций организационных целей по разным основаниям.
Классификация по направленности. В данном случае цели подразделяются по характеру тех действий, которые намерены предпринимать для их достижения.
1. Цели функционирования
направлены на поддержание рабочего состояния организации и ее подразделений. Целевые программы по обеспечению функционирования содержат задачи по созданию постоянного притока ресурсов, техническому обслуживанию, постоянному контролю за деятельностью членов организации. Как правило, подобного рода задачи рассчитаны на длительное время. Такие цели могут вызывать трудности при мотивации поведения членов организации, так как их достижение не связано с разовыми усилиями, а требуют постоянного напряжения сил.
2. Цели усовершенствования
. Любая цель, включающая в себя активное действие, может рассматриваться как цель усовершенствования. К таким целям можно отнести повышение производительности труда, увеличение доли товаров организации на рынке и др. Обычно такие цели хорошо понимаются работниками, однако их реализацию не всегда удается обеспечить соответствующими ресурсами (особенно это касается заведомо завышенных целей). В случае недостижимости целей усовершенствования (особенно если они были широко освещены в подразделениях организации) возможны негативные последствия, которые выражаются, в частности, в потере авторитета руководителей, снижением мотивации членов организации и т.д.
3. Цели развития
аналогичны целям усовершенствования, но относятся к своеобразным формам роста, расширения, обучения и прогресса. К этим целям могут относиться увеличение количества наименований внедряемых в производство новых товаров, внедрение новых идей в области менеджмента, кардинальные изменения в организационной структуре и т.д.
Преимущества классификации целей по их направленности состоят прежде всего в том, что они легко воспринимаются и осознаются членами организации на различных управленческих уровнях. Более того, эти цели чаще всего декларируются управленческим персоналом для рядовых исполнителей. Выраженные в указанных формах цели служат главным образом для ориентации мышления и деятельности членов организации.
Классификация целей по их направленности является основной для стратегического управления. При этом цели объединяются в комплексы на основе принципа достижения системой определенного состояния:
· фактический уровень
- то, что удается получить в настоящее время при существующих ресурсах и существующих ограничениях (цели программирования);
· наличный уровень
- то, что можно сделать при существующих ресурсах, существующих ограничениях, но при условии изменения положения в лучшую сторону (целевое планирование);
· потенциальный уровень
- то, что удастся сделать, развивая ресурсы и снимая ограничения (перспективное планирование).
Руководство организации может выбирать различные целевые комплексы в зависимости от возможностей и потребностей организации в настоящем и будущем. В повседневной деятельности руководство организации обычно ориентируется на фактический и наличный целевые уровни. Так, производительность организации часто рассматривается как отношение фактического состояния к наличному состоянию.
Классификация по критериям предусматривает разделение целей по их отношению к основным показателям успешной деятельности организации. Чем выше запросы организации относительно показателей своей деятельности, чем шире области ее деятельности, тем более разнообразно разделение целей по критериям. Чаще других в организации используются следующие основные критерии.
1. Продуктивность.
Оценка продуктивности выражается количеством единиц продукции, приходящихся на каждого сотрудника организации и изготовленных в единицу времени. Количество единиц продукции или произведенная прибыль в расчете на одного сотрудника, затраты на их производство в единицу времени являются теми критериями, которые обычно используются при определении продуктивности.
2. Рыночные критерии.
Рыночные цели можно определить по-разному. Например, можно ввести на рынок новый продукт и попытаться закрепить его в рыночной среде или можно пытаться увеличить долю данного продукта на рынке на 10%, можно стремиться просто сохранить данный объем продаж. Рыночные критерии представляют собой наиболее неустойчивые и неопределенные цели, поэтому руководство не распространяет сведения о них всем членам организации.
3. Ресурсы.
Иногда организации ставят цели, связанные с изменением ресурсной базы. В качестве примера можно назвать сокращение кредита на определенную сумму, прогнозирование финансовых вливаний, направленных на реорганизацию, повышение производительности, сокращение текучести кадров.
4. Прибыльность.
Цели, ориентированные на прибыльность, обычно выражаются достаточно четко. Например, можно повысить чистый доход с одного вложенного рубля (доллара) или уровень рентабельности, увеличить размеры дивидендов. Эти цели, как правило, хорошо воспринимаются управленческим аппаратом и могут быть конкретно рассчитаны.
5. Обновление.
Работа организаций в изменяющейся внешней среде обычно требует, чтобы постоянно приспосабливались к новым рыночным, политическим или другим условиям. От того, насколько быстро организация реагирует на изменения во внешнем окружении (особенно в рыночной среде), зависит баланс между входом и выходом системы, ее способность к выживанию. На практике это означает, что организация может быстро наладить производство таких продуктов и услуг, которые в наилучшей степени соответствуют потребностям рынка, являются конкурентоспособными. К целям обновления относится разработка и внедрение нового, более эффективного технологического процесса, новой системы услуг, удовлетворяющих потребителей, нового компьютера, обладающего более высокой скоростью обработки данных, и т.д. Следует отметить, что цели обновления весьма сложно разрабатывать и конкретизировать, поскольку весьма сложно определить характер изменений во внешней среде.
6. Социальная ответственность.
Современная организация не может эффективно функционировать, не разработав систему мероприятий, направленных на улучшение условий труда, отдыха, обеспечение приемлемых отношений внутри коллектива и мотивации членов организации. Об этих целях многие руководители забывают, ссылаясь на сложную обстановку во внешней среде, однако подобное отношение к целям социальной ответственности с неизбежностью отрицательно скажется на эффективности деятельности организации.
В целом можно утверждать, что классификация целей по критериям наиболее значима для руководства организации, так как именно на их основе проводится построение дерева целей, которое служит ориентиром для руководителей в деле управления организацией.
Деятельность по управлению в организации должна быть четко ориентирована во времени, т.е. необходимо выделить первоочередные цели, постоянно отслеживать, как реализуются среднесрочные и долгосрочные цели. Чтобы обеспечить осуществление всего целевого комплекса, руководителю нужно правильно распределить ресурсы во времени, что дает возможность концентрировать усилия в нужных точках и достичь непрерывных, поступательных действий членов организации. Возможности для этого дает классификация целей во временной области.
1. Текущие цели
обычно относятся к тем задачам, которые следует решить в течение одного года. Эти цели хорошо воспринимаются членами организации в том случае, если они реально достижимы, подкреплены соответствующей мотивацией. Обычно текущие цели являются руководством к действию для организаций, производящих продукты.
2. Среднесрочные цели
охватывают период протяженностью от одного до трех лет. Цели, реализация которых рассчитана на такие сроки, требуют проведения тщательного анализа условий деятельности (в первую очередь рыночной среды), существующих ресурсов организации и возможностей их привлечения. В организациях, слабо ориентированных на среднесрочные цели, в силу неудовлетворительного планирования и учета ресурсов очень часто допускается коррекция среднесрочных целей, что ведет в конечном итоге к потерям темпов организации, решению неперспективных сиюминутных задач, потере мотивации у членов организации, а в итоге - к сокращению возможностей выживания организации во внешнем окружении. Разработка и достижение среднесрочных целей особенно важны для торговых организаций.
3. Долгосрочные цели
обычно относятся к периоду планирования деятельности организации свыше трех лет. Работа на перспективу актуальна далеко не для всех организаций. Так, организации, осуществляющие торговые операции, не могут быть полностью ориентированы на долгосрочные цели из-за высокой изменчивости рыночного окружения. Тем не менее многие из них ставят долгосрочные цели, но, как правило, детально их не разрабатывают, а рассматривают лишь как ориентиры, как отдаленную веху, вопрос далекого будущего. Эти цели могут иметь мотивирующее значение, поскольку их достижение рассматривается как выдающееся достижение организации, как важный этап ее деятельности. Однако в ряде областей деятельности долгосрочные цели имеют решающее значение, являются главными ориентирами, например в научных разработках.
Цель является ориентиром, планируемым результатом деятельности организации, которая представляет собой сложную систему, состоящую из большого количества системных единиц. Задача руководителя - превратить цель организации в цели отдельных служб и подразделений, заставить разнородные системные единицы работать на один результат наиболее эффективным образом. При этом общая цель должна быть разложена на отдельные составляющие, которые будут ориентирами в деятельности отдельных подсистем организации (например, подразделений и служб).
Рассмотрим, как строится дерево целей. На первом этапе фор мируется главная, глобальная цель фирмы, или миссия. Она имеет долгосрочный характер и должна быть направлена на выживание организации во внешней среде. Постановка этой цели должна быть тщательно подготовлена на основе предварительного анализа внешней среды организации, оценки внутренних ресурсов и возможностей. Для этого обычно проводят следующие операции:
1. Производится сегментирование рынка
и изучается каждый сегмент. В этом случае намечаются приоритетные сегменты, социальные слои, на которые организация должна ориентироваться в своей деятельности (элитные слои, средний слой, малоимущие и т.д.). Далее осуществляется оценка рынка (рыхлость, одномерность или бинарность, степень неопределенности, насыщенность продуктами и услугами, наличие рыночных ниш) с позиции возможностей размещения и использования средств, имеющихся у организации;
2. Определяется общее направление ценовой политики
. В частности, решается вопрос о том, будет ли организация снижать цены на свои товары и услуги или она будет участвовать в конкурентной борьбе, осуществляя маркетинг, рекламу, активизацию продаж и т.д.;
3. Определяются основные направления развития технологии
с учетом жизненного цикла товара или услуги;
4. Оцениваются производственные мощности
организации. Оценке подвергаются все ресурсы организации и финансовые возможности задействования ресурсов внешней среды, например в виде инвестиций, правильной кредитной политики, привлечения спонсоров;
5. Определяются основные направления кадровой политики
(например, будет ли организация обучать работников или нанимать специалистов со значительным опытом работы).
На втором этапе происходит декомпозиция основной цели организации на цели второго уровня. Необходимость этого этапа обусловлена наличием сильно различающихся направлений деятельности организации по достижению основной цели и, следовательно, первичной специализацией управленческой структуры. Цели второго этапа носят ярко выраженный системный характер и составляют четыре группы:
1. Цели входа
организации включают в себя цели, ориентирующие членов организации (прежде всего управленцев высшего звена) на обеспечение постоянного притока в организацию материальных ресурсов, финансовых средств, информации, людских ресурсов. Среди целей входа следует выделить такие цели, как организация постоянно действующей сети поставщиков, налаживание финансовых связей организации и др.;
2. Цели процесса
определяют основные ориентиры деятельности внутри организации по переработке поступивших на вход ресурсов. К этим целям процесса относятся: обеспечение взаимодействия в рамках технологического процесса, налаживание информационного обеспечения внутри организации, внесение изменений структуры и технологии внутри организации и др.;
3. Цели выхода
в дереве целей определяют ориентиры деятельности подразделений, занятых реализацией переработанных ресурсов во внешней среде организации. Это такие цели, как налаживание системы сбыта любых ресурсов, представленных организацией для обмена, распространение информации во внешней среде (например, рекламных обращений и активно действующих материалов по связям с общественностью) и др.;
4. Цели системы
представляют собой отдельную группу целей второго уровня, направленную на обеспечение условий выживания организации во внешней среде. Эти цели трудно учитывать и реализовать, поскольку в неопределенной и быстро меняющейся внешней среде трудно определить все условия, выполнение которых будет способствовать устойчивости организации и обогащению ее связей с внешней средой; реализация данных целей требует специфических знаний, которые не считаются необходимыми в процессе деятельности организации. В качестве таких целей могут выступать создание системы юридической поддержки фирмы, создание системы отслеживания постоянного изменения настроений потребителей, создание системы политической (или дипломатической) поддержки фирмы. Следует отметить, что цели системы в развернутом виде встречаются в основном в дереве целей крупных фирм, занимающихся стратегическим планированием.
Все цели второго уровня должны быть органично связаны между собой в представленной последовательности (от целей входа до целей системы) и ни одна из целей не должна противоречить любой другой. Структурно цели второго уровня реализуются на уровне заместителей директора организации (президента фирмы) по соответствующим направлениям, например заместитель директора по сбыту, по кадрам, главный инженер и т.д.
Цели второго уровня обозначают специализированные области деятельности организации, т.е. каждую из них можно рассматривать как основание определенной специализированной деятельности организации. Это позволяет каждую цель второго уровня и необходимые для ее достижения цели последующих уровней называть целевыми программами.
На третьем этапе осуществляется декомпозиция целей второго уровня в соответствии с конкретными технологическими задачами в пределах каждой целевой программы. Разработка целей третьего, четвертого и, если нужно, последующих уровней происходит при неукоснительном выполнении требования необходимости и достаточности целей третьего (четвертого и последующих) уровня. Сущность данного требования заключается в том, что: достижение всех выделенных целей третьего уровня должно обязательно приводить к достижению соответствующих целей второго уровня; среди целей третьего уровня не должно быть "лишних", избыточных целей или целей "на всякий случай", из-за наличия которых с неизбежностью неэффективно разрастается структура организации и появляются дополнительные неоправданные издержки.
При формировании дерева целей следует помнить, что достижение каждой цели должно быть организационно обеспечено, т.е. для ее реализации необходимо создание группы, лабораторий, отдела, других подразделений, сотрудники которых ориентированы на достижение данной цели, обеспечены соответствующими ресурсами и совершают действия, направленные на ее достижение.
Цели организации не только придают смысл ее деятельности и ориентируют в отношении внешней среды, но и способствуют интеграции коллектива организации на основании единства устремлений его членов; могут мотивировать организационную деятельность индивидов; являются основой формирования организационной структуры; представляют собой источник стабильности в организации (резкое изменение целей может привести к серьезным дестабилизирующим последствиям).
В общем виде цели организации
представляют собой определенные результаты и итоги, которые необходимо достичь в заданные сроки для реализации стратегического видения
организации. Их формулировка позволяет перевести теоретическую часть — выработку стратегического видения — в плоскость практического применения.
Цели формируются во всех сферах деятельности организации, где важен результат. А.А. Томпсон
и А.Дж. Стрикленд
выделяют в качестве основных две такие области — финансовую
и стратегическую
. Достижение приемлемых финансовых показателей жизненно необходимо, т.к. в противном случае состояние организации вызовет беспокойство у кредиторов и акционеров, что плохо скажется на финансировании новых инициатив и поставит под угрозу само существование организации. Достижение стратегических целей необходимо для укрепления конкурентоспособности и положения компании на рынке в долгосрочной перспективе. Примеры общих формулировок финансовых и стратегических целей организации представлены в таблице 1.
Таблица 1
Общие формулировки финансовых и стратегических целей организации
| Финансовые цели организации
|
Стратегические цели организации
|
| Рост доходов
|
Увеличение доли рынка
|
| Рост прибыли
|
Сокращение периода от разработки до выведения на рынок нового товара
|
| Увеличение дивидендов
|
Превосходство над конкурентами по качеству товаров
|
| Повышение рентабельности
|
Превосходство над конкурентами по издержкам
|
| Увеличение собственного капитала
|
Лидерство по имиджу
|
| Увеличение активов
|
Лидерство по технологиям
|
Формулировки целей организации должны содержать количественные или измеримые показатели, которых необходимо достичь, а также время их достижения. Это позволяет:
· избежать распыления усилий;
· определить действия, необходимые для реализации стратегических решений;
· выделить показатели, по которым можно судить о производительности и развитии компании.
Пример:
Компания «Motorola»
(стратегическая цель)
В течение полугода увеличить долю рынка на 5% за счет снижения цены аппарата и создания разветвленной сети продажи предоплаченных телефонных карт.
Корпорация «Ford»
(финансовая цель)
Достичь в течение года роста рентабельности собственного капитала — на 20—25%, привлеченного капитала — не ниже 27%.
В зависимости от времени достижения цели организации можно разделить на две категории:
1) краткосрочные цели организации
направлены на достижение текущих улучшений и результатов, их успешная реализация способствует достижению долгосрочных целей;
2) долгосрочные цели организации
— на укрепление положения фирмы и улучшение показателей ее работы в долгосрочной перспективе.
Цели формулируются как для организации в целом (общие цели), так и для отдельных ее подразделений. При этом очень важно, чтобы они были тщательно согласованы между собой.
Цели должны быть сформулированы таким образом, чтобы их достижение требовало напряжения сил всех работников организации. При этом возможно, чтобы на начальном этапе цели обеспечивали хотя бы незначительное увеличение производительности. Впоследствии они должны устанавливаться на уровне, позволяющем значительно улучшить положение организации относительно ее ближайших конкурентов и требующем максимально полной мобилизации внутреннего потенциала.
Примером алгоритма поиска компромиссов является сортировка подсчётом
Сортировка подсчётом
— алгоритм сортировки, в котором используется диапазон чисел сортируемого массива (списка) для подсчёта совпадающих элементов. Применение сортировки подсчётом целесообразно лишь тогда, когда сортируемые числа имеют (или их можно отобразить в) диапазон возможных значений, который достаточно мал по сравнению с сортируемым множеством, например, миллион натуральных чисел меньших 1000. Эффективность алгоритма падает, если при попадании нескольких различных элементов в одну ячейку, их надо дополнительно сортировать. Необходимость сортировки внутри ячеек лишает алгоритм смысла, так как каждый элемент придётся просматривать более одного раза.
Предположим, что входной массив состоит из n целых чисел в диапазоне от 0 до k − 1, где . Далее алгоритм будет обобщён для произвольного целочисленного диапазона. Существует несколько модификаций сортировки подсчётом, ниже рассмотрены три линейных и одна квадратичная, которая использует другой подход, но имеет то же название.
Это простейший вариант алгоритма. Создать вспомогательный массив Count[0..k - 1], состоящий из нулей, затем последовательно прочитать элементы входного массива A, для каждого A[i] увеличить Count[A[i]] на единицу. Теперь достаточно пройти по массиву Count[], для каждого в массив A последовательно записать число j Count[j] раз. Введение дополнительного массива Count2, обусловленно тем, что при расстановке значений позиций, ещё не использованные данные затираются новыми.
Proc SimpleCountingSort
For i=0 to k-1 do
Count[i]=0;
For i=0 to n-1 do
Count[A[i]]=Count[A[i]]+1;
For i=0 to k-1 do
Count2[i]:=Count[i];
Sum=0;
For i=1 to k-1 do
Begin
Sum=Sum+Count2[i-1];
Count[i]=Sum;
End;
For i=0 to n-1 do
Begin
c=A[i];
B[Count[c]]=c;
Count[c]=Count[c]+1;
End;
EndProc
Этот вариант (англ. pigeonhole sorting, count sort) используется, когда на вход подается массив структур данных, который следует отсортировать по ключам (key). Нужно создать вспомогательный массив C[0..k - 1], каждый C[i] в дальнейшем будет содержать список элементов из входного массива. Затем последовательно прочитать элементы входного массива A, каждый A[i] добавить в список C[A[i].key]. В заключении пройти по массиву C, для каждого в массив A последовательно записывать элементы списка C[j]. Алгоритм устойчив.
ListCountingSort
for i = 0 to k - 1
C[i] = NULL;
for i = 0 to n - 1
C[A[i].key].add(A[i]);
b = 0;
for j = 0 to k - 1
p = C[j];
while p != NULL
A[b] = p.data;
p = p.next();
b = b + 1;
В этом варианте помимо входного массива A потребуется два вспомогательных массива — C[0..k - 1] для счётчика и B[0..n - 1] для отсортированного массива. Сначала следует заполнить массив C нулями, и для каждого A[i] увеличить C[A[i]] на 1. Далее подсчитывается число элементов меньше или равных текущему. Для этого каждый C[j], начиная с C[1], увеличивают на C[j - 1]. На последнем шаге алгоритма читается входной массив с конца, значение C[A[i]] уменьшается на 1 и в каждый B[C[A[i]]] записывается A[i]. Алгоритм устойчив.
StableCountingSort
for i = 0 to k - 1
C[i] = 0;
for i = 0 to n - 1
C[A[i]] = C[A[i]] + 1;
for j = 1 to k - 1
C[j] = C[j] + C[j - 1];
for i = n - 1 to 0
C[A[i]] = C[A[i]] - 1;
B[C[A[i]]] = A[i];
Возникает несколько вопросов. Что делать, если диапазон значений (min и max) заранее не известен? Что делать, если минимальное значение больше нуля или в сортируемых данных присутствуют отрицательные числа? Первый вопрос можно решить линейным поиском min и max, что не повлияет на асимптотику алгоритма. Второй вопрос несколько сложнее. Если min больше нуля, то следует при работе с массивом C из A[i] вычитать min, а при обратной записи прибавлять. При наличии отрицательных чисел нужно при работе с массивом C к A[i] прибавлять |min|, а при обратной записи вычитать.
Анализ
В первых двух алгоритмах первые два цикла работают за Θ(k) и Θ(n), соответственно; двойной цикл за Θ(n + k). В третьем алгоритме циклы занимают Θ(k), Θ(n), Θ(k) и Θ(n), соответственно. Итого все три алгоритма имеют линейную временную трудоёмкость Θ(n + k). Используемая память в первых двух алгоритмах равна Θ(k), а в третьем Θ(n + k).
Также сортировкой подсчётом называют немного другой алгоритм. В нём используются входной массив A и вспомогательный массив B для отсортированного множества. В алгоритме следует для каждого элемента входного массива A[i] подсчитать количество элементов меньших него c1 и количество элементов, равных ему, но стоящих ранее c2 (c = c1 + c2). B[c] присвоить A[i]. Алгоритм устойчив.
SquareCountingSort
for i = 0 to n - 1
c = 0;
for j = 0 to n - 1
if A[j] < A[i]
c = c + 1;
for j = 0 to i - 1
if A[i] == A[j]
c = c + 1;
B[c] = A[i];
Анализ
Очевидно, временная оценка алгоритма равна Θ(n2), память Θ(n).
Необходимым условием возможности использования многокритериального подхода является измерение эффективности пути в одинаковых единицах или наличие способа приведения к этому условию.
Процесс управления сложными иерархическими многоуровневыми системами невозможен без применения информации, которая не может быть выражена количественно. Это семантическая информация, не имеющая количественного выражения, но обладает определенным количественным смыслом.
Критерии эффективности. При реализации систем управления весьма важным вопросом является выбор критерия их эффективности. Под критерием эффективности понимается степень достижения целей системой управления.
Многокритериальные оценки эффективности – независимые, самостоятельные критерии эффективности.
Необходимым условием возможности использования многокритериального подхода является измерение эффективности пути в одинаковых единицах или наличие способа приведения к этому условию.
При принятии решений выработка рационального (оптимального) решения является результатом реализации объективного аналитического процесса.
В процессе реализации рационального подхода к принятию решений решаются задачи поиска, распознавания, классификации, упорядочения и выбора. Для этого могут применяться различные математические методы и модели с целью рационализации (оптимизации) выходных результатов. В целях оказания помощи при подготовке решений могут привлекаться эксперты.
Многокритериальные оценки эффективности
– независимые, самостоятельные критерии эффективности. Для многих сложных систем управления выбрать критерии эффективности первого и второго рода, представляющие собой скалярные критерии, не представляется возможным. В этом случае используются векторные критерии, обеспечивающие выбор функций управления, оптимальных по Парето. Множество функций управления, оптимальных по Парето, включают в себя фактически не сравнимые по скалярным критериям функции управления, то есть такие, о которых нельзя сказать, какие из них являются наилучшими.
В этом случае применяются многокритериальные оценки эффективности систем управления с выделением наиболее лучших и наименее эффективных функций управления.
Эта многоплановость реальной жизни имеет важные последствия для системного анализа. С одной стороны, системный анализ имеет междисциплинарный характер. Системный аналитик привлекает к исследованию системы данные из любой отрасли знаний, привлекает экспертов любой специальности, если этого потребуют интересы дела. С другой стороны, перед ним встает неизбежный вопрос о допустимой минимизации описания явления.
Начиная с некоторого уровня сложности, систему легче изготовить и ввести в действие, преобразовать и изменить, чем отобразить формальной моделью, поскольку имеется принципиальная ограниченность формализованного описания развивающихся самоорганизующихся систем.
В соответствии с гипотезой фон Неймана
простейшим описанием объекта, достигшего некоторого порога сложности, оказывается сам объект, а любая попытка его строгого формального описания приводит к чему-то более трудному и запутанному.
Адаптивность.
В зависимости от степени организованности выделяют классы хорошо организованных систем (их свойства можно описать в виде детерминированных зависимостей), плохо организованных (или диффузных) и самоорганизующихся (включающие активные элементы)
Проблемы и цели.
Первые шаги в системном анализе связаны с формулированием проблемы. Хотя необходимость системного анализа возникает тогда, когда проблема уже не только существует, но и требует решения, когда инициатор системного анализа («заказчик») уже сформулировал свою проблему, системный аналитик знает, что первоначальная формулировка – лишь очень приблизительный намек на то, какой именно должна быть действительная рабочая формулировка проблемы. На самом деле любая исходная формулировка проблемы является лишь «нулевым приближением». Системное исследование всякой проблемы начинается с расширения ее до проблематики, то есть нахождения системы проблем, существенно связанных с исследуемой, без учета которых она не может быть решена.
Важность правильно выбранной цели состоит в том, что выбор неправильной цели приводит не столько к решению проблемы, сколько к появлению новых проблем.
Индивидуальный потенциал в связке с целями организации.
Самый лучший способ максимизировать эффект от результатов труда отдельных сотрудников на доходность предприятия, это связать этот труд со стратегическими целями организации. Такие связи должны разрабатываться целенаправленно и таким образом, чтобы они впоследствии гарантировали коммерческий успех фирмы.
1. Мыльник В.В., Титаренко Б.П., Волочиенко В.А. Исследование систем управления: Учебное пособие для вузов. – 2-е изд., перераб. и доп. – М: Академический Проект; Екатеринбург: Деловая книга – 2003. – 352 с. – («Gaudeamus»).
2. Подиновский В.В., Ногин В.Д. Паретооптимальные решения многокритериальных задач. М., Наука, 1982.
3. Ларичев О.И. Теория и методы принятия решений. М., 2000.
4. Ногин В.Д. Использование количественной информации об относительной важности критериев в принятии решений.// «Научно-технические ведомости СПбГТУ», 2000, № 2, с. 89-93.
5. Психология человека в современном мире. Том 2. Проблема сознания в трудах С. Л. Рубинштейна, Д. Н. Узнадзе, Л. С. Выготского. Проблема деятельности в отечественной психологии. Исследование мышления и познавательных процессов. Творчество, способности, одаренность (Материалы Всероссийской юбилейной научной конференции, посвященной 120-летию со дня рождения С. Л. Рубинштейна, 15–16 октября 2009 г.) / Ответственные редакторы: А. Л. Журавлев, И. А. Джидарьян, В. А. Барабанщиков, В. В. Селиванов, Д. В. Ушаков. – М.: Издво «Институт психологии РАН», 2009. – 404 с.
6. Анохин Петр Кузьмич. Принципиальные вопросы общей теории функциональных систем 1973 год
7. Фролов С.С. Цели организации http://www.iteam.ru/articles.php?tid= 2&pid=1&sid=27&id=119
8. Петухов Д.В. Стратегический менеджмент Часть 1 Учебный курс (учебно-методический комплекс) http://www.e-college.ru/xbooks/xbook103/book/index/index.html?go=part-006*page.htm
Приложения (при необходимости).
[1]
Вильфредо Парето (1848-1923) – итальянский социолог и экономист.
[2]
Минимизация компоненты равносильна максимизации этой компоненты, взятой с обратным знаком.
|