Шпаргалка: Фининсовая система РФ
|
Название: Фининсовая система РФ Раздел: Рефераты по финансам Тип: шпаргалка | ||||||||||||||||||||||||||||||||||||||||||||||||
| Предмет Финансы, Бюджетная система
1. Необходимость, сущность и функции финансов. Финансы - одна из важнейших экон-их категорий, отражаемая экон-ие отношения в процессе создания и использования ден-ых средств. Необходимость финансов обусловлена наличием гос-ва, тов-денежным характером произв-ва, действием экономических законов. Необходимость выражается: - без финансов не может существовать ни одно гос-во, т к они позволяют концентрировать в руках гос-ва денежные средства и использовать их для выполнения возложенных функций; - Финансы – главный элемент общественного воспроизв-ва, они необходимы всем уровням системы гос управления, подразделениям экономики; - без финансов невозможно обеспечить кругооборот производственных фондов. Сущность финансов проявляется в их функциях: 1. Распределительная: связана с распределением ВВП и нац. дохода.Фин отношения возникают на стадиях распределения и перераспределения нац. дохода. Первичное распределение осуществляется по месту создания нац. дохода (в сфере матер-ого произв-ва). В результате распределения не образуются общественные денежные фонды для развития экономики страны, обеспечение обороны…., т е нужно перераспределение, связанное с наличием непроизводственной сферы. Объект распределительной функции – ст-сть ВВП и нац. богатства. Субъект – физ. и юр. лица, являющиеся участниками воспроизводственного процесса, в распоряжении которых формируются фонды целевого назначения. 2. Контрольная: источником ее реализации является финансовая информация (фин. показатели, имеющиеся в БУ, стат.отч-ти) Главная задача- наиболее рациональное использование централизованных и децентрализованных фондов ден.средств для повышения эффективности общественного производства. Контроль рублем (как функция финансов) – контроль реального денежного оборота. Финансы имеют свои специфические признаки, которые позволяют отделять их от других экономических отношений. 1-ый обязательный признак финансов состоит в том, что финансы ограниченно связаны с функционированием денег и проявляют свою сущность через стоимостные отношения. 2-ым специфическим признаком финансов является их распределительный характер, т.е. связь со стоимостным распределением и перераспределением валового внутреннего продукта. 3-ий признак. В отличие от других стоимостных распределительных категорий финансы всегда связаны с формированием и использованием конечных результатов, т.е. доходов и накоплений, и созданием на этой основе денежных фондов различного целевого назначения. 2. Финансовая система РФ, её состав и характеристика основных показателей.
Фин. система РФ – совокупность фин.инструментов или различных звеньев фин-экон. отношений, каждый из которых характеризуется особенностями формирования, распределения и использования фондов ден.средств, различной ролью в общественном воспроизводстве. Состав финансовой системы: 1. Финансы организаций: Финансы организаций материального производства В финансовой системе любого государства ведущее место принадлежит финансам предприятий и отраслей материального производства. Это определяется тем, что в материальном производстве создаются источники финансовых ресурсов, необходимые для формирования денежных фондов всех других подразделений финансовой системы. От состояния финансов производственной сферы зависит прочность, устойчивость и надежность всей финансовой системы в целом. 1.2. Финансы непроизводственной сферы Финансы предприятий и отраслей непроизводственной сферы имеют свою специфику. Они связаны: · с перераспределением и использованием ВОП; · с формированием и использованием в преобладающей мере фондов потребления; · во многих отраслях непроизводственной сферы основным источником формирования денежных фондов являются бюджетные ассигнования. 2. Общегосударственные финансы (бюджеты всех уровней власти, государственные внебюджетные фонды) Общегосударственные финансы являются стержнем финансовой системы и занимают в ней центральное место. Через них осуществляется связь между всеми другими подразделениями финансовой системы. У одних подразделений эта связь проявляется по линии получения средств (бюджетных ассигнований), у других - по линии платежей и взносов, у третьих и то и то. Специфика общегосударственных финансов как подразделения финансовой системы в том, что они не связаны ни с созданием ВВП, ни с его потреблением, а являются чисто распределительным механизмом. С их помощью осуществляется связь между финансами производственной и непроизводственной сфер. Через общегосударственные финансы распределяется не менее 1/3 ВВП. 3.Финансы населения (финансы домашних хозяйств) Источниками формирования денежных фондов населения являются: · доходы от предпринимательской деятельности, в том числе от продажи имущества; · заработная плата наемных работников; · социальные выплаты (пособия, пенсии и т.д.); · средства мобилизуемые на финансовом рынке (% по вкладам, доходы от операций с ценными бумагами и т.д.) 3. Управление финансами, его задачи, элементы. Финансовый аппарат: структура и функции.
Эффективное управление финансами – это деятельность с наилучшим из возможных рез-ов по удовлетворению общественных потребностей и интересов в условиях регламентации фин.рес-ов гос-ом и муниципалитетом. Цель управления финансами - нахождение и поддержание оптимального финансового состояния народного хозяйства и его подразделений. Элементы управления: 1) фин. планирование – целью является обеспечение фин. рес-ами воспроизв-ых процессов в соответствии с программой соц-экон.развития на планир-ый период; 2)фин. прогнозирование – целью является оценка предполагаемых объемов фин. рес-ов для определения предпочтительных вар-ов фин. обеспечения деят-ти субъектов хоз-ния, органов гос. власти; 3)оперативное управление – процесс разработки комплекса мер, направленных на достижение максимального эф-та при минимальных затр-ах, на основе анализа текущ. Фин. ситуации и перераспределения фин.рес-ов; 4) фин.контроль – это совокупность действий и операций, осущ-ых спец.уполномоченными органами с целью контроля за соблюдением органами хозяйствования, гос.органами, МСУ норм права в процессе образования, распределения и расходования фин.рес-ов для своевременного получения информации о ходе реализации принятых управленческих фин.решений. Общее управление финансами и финансовой системы осуществляют высшие органы исполнительной и законодательной власти (Правительство РФ, Федеральное Собрание). В их ведении находится финансовое, валютное, кредитное и таможенное регулирование, денежная эмиссия, основы ценовой политики, сфера государственного регулирования цен, федеральный бюджет, федеральные налоги и сборы. Оперативное управление финансами осуществляет финансовый аппарат, представляющий собой совокупность всех организационных структур, которые осуществляют управление финансами. Наиболее важную роль в составе финансового аппарата РФ выполняет Министерство финансов и подведомственные ему федеральные службы: Федеральная налоговая служба, Федеральная служба по финансовому мониторингу, Федеральная служба страхового надзора, Федеральная служба финансово-бюджетного надзора, Федеральное казначейство. 4. Внебюджетные фонды, необходимость их формирования, классификация. Состав доходов и расходов соц- ых ГВФ. Главная причина создания ГВФ - необходимость выделения важных для общества расходов и обеспечение их самостоятельными источниками дохода. Решение об образовании ГВФ принимает фед. собрание РФ, гос. правительственные органы субъектов фед-ции и МСУ. ГВФ имеют строго целевое назначение. ГВФ – фонд ден. средств, образуемый вне фед. бюджета и бюджетов субъектов РФ, для осуществления обязательного соц.страхования (реализация прав граждан на пенсионное обеспечение, соц.страхование), соц обеспечение в случае безработицы, охрану здоровья, мед. помощь. В настоящее время в РФ действуют ГВФ: - пенсионный фонд РФ (создан для управления финансами пенсионного обеспечения в РФ и является самостоятельным фин-кред. Учреждением, осуществляемым свою деятельность в соответствии с законодательством РФ), - фонд соц.страхования (централизованный фонд денежных ресурсов общественного значения, распределяемый как в территориальном, так и отраслевом. Средства идут на выплату различных пособий, финансир-ие санот-курортного обслуживания), - фонд ОМС (самостоятельное некоммерческое фин-кред. учреждение, средства которого расходуются на финансирование целевых программ в рамках ОМС, осуществление контроля за использованием средств фонда ОМС). Доходы ГВФ: соц. целевые Н и С, установленные для соответствующего фонда; отчисления от прибыли пп; средства бюджета; прибыль от некоммерческой деятельности; займы, получаемые фондом у ЦБ РФ или коммерч.банков. Расходы ГВФ: гос.пенсии по возрасту, инвалидности, за выслугу лет; компенсации пенсионерам; мат.помощь инвалидам, пособие детям; выплата различных пособий; финансирование ОМС, производимого страховыми мед.организациями; фин-кред. деятельность по обеспечению системы ОМС и 5. Бюджетная система РФ, ее состав и принципы построения . БС РФ – это основанная на экон. отношениях и гос. устройстве РФ регламентируемая нормами права сов-сть фед.бюджета, бюд-ов субъектов, местных бюджетов и Гос-ых Внебюджетных Фондов (ГВФ). Состав: 1. ФБ РФ и бюджеты ГВФ ; 2. Бюджеты субъектов РФ и террит-ых ГВФ; 3. Местные бюджеты. ФБ РФ – главный распорядитель средств гос-ва. ГВФ – фонд ден.средств, образуемый вне ФБ РФ, бюд-та субъектов РФ, для осуществления ОМС, ФСС., пенсионного обеспечения граждан. Бюджеты субъектов – фин. база соц-экон. развития регионов и выполнение функции распределения фин. рес-ов м/у местными бюджетами данного региона. Местные бюджеты – один из главных каналов доведения до населения конечных результатов производства. Принципы построения БС РФ: 1. Единство БС РФ – единство бюд. зак-ва РФ, принципы организации и функц-ия БС РФ, форм бюдж. документации и отчетности, санкций за нарушение. 2. Самостоятельность бюджетов 3. Сбалансированность бюджетов. 4. Принцип гласности. 5. Разграничение доходов и расходов м/у бюджетами различных уровней. 6. Равенство бюджетных прав субъектов РФ, мун.образований 7. Полнота отражения доходов и расходов, бюджетов ГВФ. 8. Эффективность и экономичность использования бюдж. средств. 9. Общего (совокупного) покрытия расходов. 10. Достоверность бюджета. 11. Адрес и целевой характер бюджетных средств. 6. Доходы различных звеньев БС, их сущность и классификация. Доходы БС РФ – это ден. средства, поступающие в безвозвратном и в безвозмездном порядке, в соответствии с законодательством РФ, субъектом РФ и органам МСУ. В соответствии с бюджетным кодексом доходы всех бюджетов формируются за счет: 1. Налоговых доходов, представляющие собой предусмотренные налоговым законодательством РФ налоги и сборы, а также пени и штрафы, связанные с взиманием налогов. 2. Неналоговые доходы. 3. Межбюджетные трансферты В настоящее время (с 2005 г.) все доходы поступающие в бюдж. систему БК РФ четко разграничены по ее уровням. Источники бюджетных доходов: ВВП, нац.доход, ВВП других стран. Классификация доходов: 1. В зависимости от уровня управления: -доходы ФБ, - доходы бюджетов субъектов, - доходы местных бюджетов. 2. По методам мобилизации: - налоги, - займы,- эмиссионный доход. 3. По фин. содержанию: -налоговые (предусмотренные налоговым законодательством Н иС + штрафы, пени, связанные с взиманием Н), - неналоговые (доходы от использования имущества, находящегося в гос собственности, доход от продажи имущества, находящегося в гос и муниц. собственности, доходы от платных услуг) 4. По признаку распределения м/у звеньями БС: - собственные, - регулирующие. 5. По экономическому содержанию: - текущие, - капитальные (доходы от основных фондов, доходы гос. заказов и резервов от продажи земли). 7. Бюджетный процесс в РФ, его стадии и органы, ответственные за них. Бюджетный процесс – регламентируемая нормами права деятельность органов государственной власти, органов местного самоуправления и участников бюджетного процесса по составлению и рассмотрению проектов бюджетов, проектов бюджетов ГВБФ, утверждению и исполнению бюджетов и бюджетов ГВБФ, а также по контролю за их исполнением. Бюджетный процесс состоит из нескольких стадий: 1. Составление проекта бюджета, начинается не позднее, чем за 10 месяцев до начала очередного финансового года. 2. Рассмотрение и утверждение бюджета: Правительство РФ вносит проект бюджета в Государственную Думу (не позднее 24 часов 26 августа), которая рассматривает проект в 4 чтениях, одновременно предоставляет Президенту. Рассмотрение в первом чтении 30 дней, предмет рассмотрения – основные характеристики бюджета; во втором чтении 15 дней, предмет рассмотрения – объем ФФПР и расходы федерального бюджета по разделам функциональной классификации; в третьем чтении 25 дней, предмет рассмотрения – детализация расходов, целевые программы, программы гос. заимствований и гарантий; в четвертом чтении 15 дней, законопроект голосуется в целом. Затем в течение 5 дней передается в Совет Федерации – (рассмотрение 14 дней, предмет - одобрение в целом), затем направляется Президенту РФ, на одобрение, подписание и обнародование. 3. Исполнение бюджета (осуществляется по доходам и расходам). В настоящее время установлено казначейское исполнение бюджетов. Начинается 1 января, завершается 31 декабря. 4. Подготовка, рассмотрение и утверждение отчета об исполнении бюджета. Не позднее 1 июня текущего года Правительство РФ представляет в Государственную Думу и Счетную Палату Отчет об исполнении федерального бюджета за отчетный финансовый год в форме федерального закона. Счетная палата РФ проводит проверку отчета об исполнении федерального бюджета за отчетный финансовый год и готовит заключение по отчету Правительства РФ об исполнении федерального бюджета в течение 4,5 месяца после представления Правительством РФ указанного отчета в Государственную Думу, используя материалы и результаты проведенных проверок. Государственная Дума рассматривает отчет об исполнении федерального бюджета в течение 1,5 месяца после получения заключения Счетной палаты РФ, по итогам рассмотрения отчета и заключения Счетной палаты РФ принимается решение об утверждении отчета об исполнении федерального бюджета или об отклонении отчета об исполнении федерального бюджета. Таким образом, можно видеть, что понятие бюджетный процесс отличается длительным периодом (почти 3 года), в отличие от бюджета, который действует в течение финансового года. Участники бюджетного процесса ? В Бюджетном Кодексе выделены следующие участники бюджетного процесса: 1) Президент РФ: полномочия - внесение Бюджетного послания в ГосДуму (основные направления бюджетной и налоговой политики), утверждение (подписание) федерального закона о федеральном бюджете; 2) Органы законодательной (представительной) власти (Федеральное Собрание РФ, Законодательные собрания субъектов РФ и т.п.): полномочия - рассмотрение и утверждение бюджетов и отчетов об их исполнении, последующий контроль за исполнением бюджета + формирование органов, осуществляющих контроль за исполнением соответствующего бюджета; 3) Органы исполнительной власти, местного самоуправления (Правительство РФ; главы субъектов РФ; главы местного самоуправления; финансовые органы, органы, осуществляющие сбор доходов и др.): полномочия – составление проекта бюджета, внесение проекта бюджета + необходимых документов и материалов на рассмотрение, исполнение бюджета, управление государственным и муниципальным долгом, ведомственный контроль за исполнением бюджета, представление отчета об исполнении бюджета и др.; 4) Органы денежно-кредитного регулирования (Банк России): полномочия - совместная с Правительством разработка и представление на рассмотрение в Государственную Думу основных направлений денежно-кредитной политики, обслуживание счетов бюджетов, осуществление функций генерального агента по государственным ценным бумагам РФ; 5) Органы государственного и муниципального финансового контроля (Счетная Палата РФ; Федеральная служба финансово-бюджетного надзора, контрольные органы законодательных органов субъектов РФ и представительных органов местного самоуправления; контрольные органы исполнительной власти). 6) Государственные внебюджетные фонды (составление проектов бюджетов ГВБФ, внесение проектов бюджетов ГВБФ, исполнение бюджетов, представление отчетов об исполнении бюджетов ГВБФ) 7) Главные распорядители и распорядители бюджетных средств Главные распорядители – это органы государственной власти РФ, имеющие право распределять средства федерального бюджета по подведомственным распорядителям и получателям бюджетных средств, а также наиболее значимое бюджетное учреждение науки, образования, культуры, здравоохранения и средств массовой информации. Главные распорядители бюджетных средств определяются ведомственной классификацией расходов. Они выполняют следующие функции: определяют задания по предоставлению государственных или муниципальных услуг по подведомственным распорядителям и получателям бюджетных средств; утверждают сметы доходов и расходов подведомственных бюджетных учреждений; составляют бюджетную роспись; распределяют лимиты бюджетных обязательств по подведомственным распорядителям и получателям бюджетных средств; исполняют соответствующую часть бюджета и др. Распорядитель бюджетных средств – это орган государственной власти или местного самоуправления, имеющий право распределять бюджетные средства по подведомственным получателям бюджетных средств и осуществлять связанные с этим функции. · бюджетные учреждения и другие получатели бюджетных средств. Бюджетное учреждение – это организация, созданная органом государственной власти или органом местного самоуправления для осуществления управленческих, социально-культурных, научно-технических и других функций некоммерческого характера, деятельность которой финансируется из соответствующего бюджета или бюджета государственного внебюджетного фонда на основе сметы доходов и расходов. В смете доходов и расходов должны быть отражены бюджетные и внебюджетные доходы учреждения. Получатель бюджетных средств – бюджетное учреждение или иная организация, имеющие право на получение бюджетных средств в соответствии с бюджетной росписью на соответствующий год. · кредитные органы, которые осуществляют отдельные операции с бюджетными средствами (уполномоченные банки). 8) Иные органы, на которые возложены бюджетные, налоговые и иные полномочия. 8. Теоретические основы обеспечения сбалансированности бюджета . В зависимости от особенностей экономического развития государства можно выделить три состояния бюджета: дефицит – превышение расходной части бюджета над доходной; баланс – равенство доходной и расходной частей и профицит – доходы бюджета превышают его расходы. Бюджетный дефицит – это превышение расходов бюджета над доходами. Выделяют несколько причин этого явления: 1. Низкая эффективность общественного производства. 2. Резкое снижение налоговых поступлений вследствии экономических кризисов или изменения экономической конъюнктуры (падение мировых цен на нефть в 1998 году привело к значительному снижению налоговых поступлений в бюджет РФ от нефтяных компаний) 3. Нерациональная структура бюджетных расходов, т.е. положение, при котором страна живёт не по средствам. 4. Резкий, неожиданный рост расходов, связанный со стихийными бедствиями, крупными социально-политическими потрясениями или войнами. 5. Крупные государственные инвестиции, направленные на модернизацию экономики. В экономической теории существуют различные подходы к решению проблемы бюджетного дефицита. 1. Государственный бюджет должен быть сбалансирован каждый год. Так как в противном случае для покрытия дефицита Правительство выходит на финансовый рынок и вступает в конкуренцию с частным сектором за кредитные ресурсы. Это приводит к повышению % ставки и уменьшению инвестиций в частном секторе, возросший % по долговым инструментам делает финансовые операции более привлекательными для нерезидентов. Приток иностранных денежных средств ведёт к росту внешнего долга. Для покупки высокодоходных бумаг нерезиденты вынуждены покупать национальную валюту, это ведёт к росту спроса на эту валюту и, как следствие повышению её курса, что препятствует экспорту и способствует импорту. В итоге снижение инвестиций в частный сектор, рост импорта и сокращение экспорта ведёт к снижению налоговых поступлений и соответственно росту бюджетного дефицита. Подобную ситуацию можно было наблюдать в России в период с 1994 по 1998 годы, когда для покрытия бюджетного дефицита Правительство выпускало ГКО и ОФЗ с огромной доходностью (300%) , в этот период в России имели место все негативные последствия подобной политики (снижение инвестиций, рост импорта, рост внешнего долга, сокращение налоговых поступлений в бюджет). Эмиссионное же финансирование бюджетного дефицита неминуемо приводит к росту инфляции, что негативно сказывается на все экономике в целом. Единственный выход в подобных ситуациях – это сокращение государственных расходов и повышение налогов. Однако, подобные действия неминуемо приведут к сокращению совокупного спроса, что, в свою очередь, приведёт к безработице и дальнейшему снижению налоговых поступлений. 2. Бюджет должен быть сбалансирован по экономическому циклу. В периоды экономических спадов Правительство должно сокращать налоги и увеличивать госрасходы, тем самым сознательно вызывая бюджетный дефицит, однако, в периоды экономического подъёма Правительство должно повысить налоги и сократить расходы. Проводя подобную политику, правительство может столкнуться с рядом трудностей: - где найти источники финансирования бюджетного дефицита, мы же установили, что выпуск гос. долговых обязательств, и тем более денежная эмиссия приводят к негативным последствиям в экономике; - периоды спада и роста могут быть неравнозначны, например, после длительного экономического спада может наступить непродолжительный рост, в итоге сбалансированности бюджета добиться не удастся; - политическая ситуация может не позволить поднять налоги или сократить расходы, в данном случае так же не удастся добиться сбалансированности бюджета. 3. Концепция функциональных финансов. Суть: целью бюджетной политики является не сбалансированность бюджета, а стабильность экономики в целом. Для достижения этой цели можно допускать бюджетные дефициты. Предмет – Прогнозирование и планирование в налогообложении
64. Налоговое прогнозирование и планирование: сущность, содержание, значение, этапы.
1. Понятие налогового планирования, его роль в системе управления финансами предприятия. Следуя логике изучения любой экономической категории при рассмотрении понятия налогового планирования, необходимо последовательно проанализировать категории налог и планирование. В различных экономических словарях, а также в современной и зарубежной литературе даются самые различные определения планирования. Единой точки зрения на этот вопрос не существует, однако в большинстве случаев понятие планирование рассматривается как вид управленческой деятельности и способ оптимизации в действии хозяйствующих субъектов, поэтому под планированием на уровне хозяйствующего субъекта будем понимать неотъемлемую часть управления его финансово-хозяйственной деятельностью, заключающуюся в установлении желаемого в будущем состояния объекта и оптимального способа достижения этого состояния в условиях ограниченности ресурсов и возможности их альтернативного использования. Уменьшение налогов или налоговая оптимизация – целенаправленные действия налогоплательщика, которые позволяют ему избежать или в определенной степени уменьшить его обязательные платежи в бюджет, производимые в виде налогов. Налоговое планирование является более широкой категорией и представляет собой часть управления финансово-хозяйственной деятельностью субъекта в рамках единой стратегии его экономического развития и представляет собой процесс системного использования оптимальных законных налоговых способов для установления желаемого в будущем состояния объекта в условиях ограниченности ресурсов. 1. Этапы и элементы налогового планирования. Налоговое планирование является частью финансового и подчиняется следующим принципам: 1) разумность – при осуществлении планирования не рекомендуется нарушать нормы законодательства. 2) Нельзя строить налоговое планирование на использовании исключительно зарубежного опыта планирования и на пробелах законодательства, так как эти методы требуют индивидуального подхода и сопряжены с определенным риском, так как в этих случаях обоснование в применении метода может осуществляться только в суде. 3) Комплексный расчет экономии и потерь – при осуществлении налогового планирования всестороннему анализу должны быть подвергнуты возможные его последствия: 1. нужно сравнивать экономию от планирования и затраты по его осуществлению; 2. сравнивается экономия и возможные негативные последствия в виде судебных издержек, штрафных санкциях и т.д. 4) Учет политических аспектов – при планировании нужно учитывать состояние бюджета территории, на которой осуществляется планирование; нормативное регулирование; роль, которую играет предприятие в формировании бюджета территории и т.д.; 5) Грамотное документальное оформление – особое внимание следует уделять документальному оформлению операций, так как небрежность в оформлении. Отсутствие документов может дать налоговым органам возможность переквалификации сделки. Этапы налогового планирования (по Медведеву): 1. принятие решения о наиболее выгодном с точки зрения налогового планирования, расположении предприятия, его руководящих органов, филиалов и т.д. в зависимости от цели деятельности предприятия и особенностей налоговых режимов отдельных стран. 2. Выбор организационно-правовой формы юридического лица и его внутренней структуры с учетом характера и цели деятельности. В западных странах сложилась общая тенденция: чем меньше ответственность по обязательствам перед своими кредиторами, тем больше налоговые обязательства. 3. Текущее налоговое планирование. Оно состоит из: 1) использование налоговых освобождений и льгот с учетом изменений законодательства с целью оперативного реагирования на эти изменения. 2) Использование оптимальных форм договоров при прогнозировании и определении налогооблагаемого дохода и планировании сделки. 3) Разработка учетной политики для целей налогообложения. 4. Принятие решения по наиболее рациональному размещению активов и прибыли, по проблемам инвестирования, так как правильное размещение позволяет получить дополнительные налоговые льготы, а в отдельных случаях могут обеспечить возврат части уплаченного налога. 65. Учетная политика организации как инструмент налогового планирования, ее элементы. Формирование учетной политики следует рассматривать как один из важнейших элементов налогового планирования. Квалифицированная проработка приказа об учетной политике позволит предприятию выбрать оптимальный вариант ведения налогового учета. Значимость этого документа возросла с принятия гл.25 НК РФ. Впервые в системе российского налогообложения была законодательно установлена самостоятельная учетная система – Учет операций в целях налогообложения. Фактически учетная политика для налогообложения применялась до 2002 года. Согласно ПБУ 1/98: Учетная политика – принятая организацией совокупность способов ведения бух учета – первичного наблюдения, стоимостного измерения, текущей группировки и итогового обобщения фактов хозяйственной деятельности. Налоговая политика организации, самостоятельно по отношению к учетной, впервые будет определено в ст. 167 НК. Налоговая политика – предлагаемый налогоплательщику налоговым законодательством комплекс возможных решений по выбору одного из режимов налогообложения, совершаемых налогоплательщиком хозяйственных операций. Таким образом, налогоплательщики должны оформить 2 учетные политики: для целей бух учета и целей налогообложения. Бухгалтерский и налоговый учет в целях исчисления налога на прибыль может существенно различаться и при прочих равных условиях организации выгодно сделать так, чтобы данные этих учетов различались как можно меньше. Актуальность этих учетов возросла после выхода ПБУ 18/02 «Учет расходов по налогу на прибыль». Возникновение разницы в учете – дополнительные трудозатраты бухгалтера и дополнительная бух отчетность. Добиться идентичного учета практически невозможно, но, принимая определенные решения при выборе элементов учетных политик, можно свести возникшую разницу к минимуму. Налоговый кодекс позволяет предприятию самостоятельно организовать систему налогового учета. Порядок его ведения должен быть закреплен в УП, при этом важным вопросом является формирование регистров налогового учета. В их качестве могут использоваться как регистры бух учета, так и сформированные самостоятельно регистры налогового учета. Форму самостоятельно разработанных регистров желательно утвердить как приложение к УП. Элементы учетной политики: 1. Метод признания доходов и расходов в целях налогообложения. Метод расчета авансовых платежей. 2 .Выбор метода начисления амортизации. 3. Выбор метода списания стоимости материалов на затраты. 4. Выбор метода отнесения процентов по долговым обязательствам на расходы. Расчет доли прибыли, приходящейся на обособленное подразделение. 5. Создание резервов Предмет – Налогообложение природопользования 27. Водный налог: налогоплательщики, объекты налогообложения, налоговая база, налоговый период.
Налогоплательщиками водного налога признаются организации и физические лица, осуществляющие специальное и (или) особое водопользование в соответствии с законодательством Российской Федерации. 2. Не признаются налогоплательщиками организации и физические лица, осуществляющие водопользование на основании договоров водопользования или решений о предоставлении водных объектов в пользование, соответственно заключенных и принятых после введения в действие Водного кодекса Российской Федерации. 1. Объектами налогообложения водным налогом (далее в настоящей главе - налог), если иное не предусмотрено пунктом 2 настоящей статьи, признаются следующие виды пользования водными объектами (далее в настоящей главе - виды водопользования): 1) забор воды из водных объектов; 2) использование акватории водных объектов, за исключением лесосплава в плотах и кошелях; 3) использование водных объектов без забора воды для целей гидроэнергетики; 4) использование водных объектов для целей сплава древесины в плотах и кошелях. 2. Не признаются объектами налогообложения: 1) забор из подземных водных объектов воды, содержащей полезные ископаемые и (или) природные лечебные ресурсы, а также термальных вод; 2) забор воды из водных объектов для обеспечения пожарной безопасности, а также для ликвидации стихийных бедствий и последствий аварий; 3) забор воды из водных объектов для санитарных, экологических и судоходных попусков; 4) забор морскими судами, судами внутреннего и смешанного (река - море) плавания воды из водных объектов для обеспечения работы технологического оборудования; 5) забор воды из водных объектов и использование акватории водных объектов для рыбоводства и воспроизводства водных биологических ресурсов; Налоговая база. По каждому виду водопользования, признаваемому объектом налогообложения в соответствии со статьей 333.9 настоящего Кодекса, налоговая база определяется налогоплательщиком отдельно в отношении каждого водного объекта. В случае если в отношении водного объекта установлены различные налоговые ставки, налоговая база определяется налогоплательщиком применительно к каждой налоговой ставке. 2. При заборе воды налоговая база определяется как объем воды, забранной из водного объекта за налоговый период. Объем воды, забранной из водного объекта, определяется на основании показаний водоизмерительных приборов, отражаемых в журнале первичного учета использования воды. В случае отсутствия водоизмерительных приборов объем забранной воды определяется исходя из времени работы и производительности технических средств. В случае невозможности определения объема забранной воды исходя из времени работы и производительности технических средств объем забранной воды определяется исходя из норм водопотребления. 3. При использовании акватории водных объектов, за исключением сплава древесины в плотах и кошелях, налоговая база определяется как площадь предоставленного водного пространства. Площадь предоставленного водного пространства определяется по данным лицензии на водопользование (договора на водопользование), а в случае отсутствия в лицензии (договоре) таких данных по материалам соответствующей технической и проектной документации. 4. При использовании водных объектов без забора воды для целей гидроэнергетики налоговая база определяется как количество произведенной за налоговый период электроэнергии. 5. При использовании водных объектов для целей сплава древесины в плотах и кошелях налоговая база определяется как произведение объема древесины, сплавляемой в плотах и кошелях за налоговый период, выраженного в тысячах кубических метров, и расстояния сплава, выраженного в километрах, деленного на 100. Налоговым периодом признается квартал. 28. Водный налог: налоговые ставки, порядок исчисления и сроки уплаты, налоговая декларация . Налоговые ставки устанавливаются по бассейнам рек, озер, морей и экономическим районам. При заборе воды сверх установленных лимитов водопользования ставки в части такого превышения устанавливаются в пятикратном размере. В случае отсутствия утвержденных квартальных лимитов квартальные лимиты определяются расчетно как ¼ утвержденного годового лимита. Ставка водного налога при заборе воды из водных объектов для водоснабжения населения устанавливается в размере 70 рублей за одну тысячу кубических метров воды. Порядок исчисления и уплаты налога: Налогоплательщик исчисляет сумму налога самостоятельно как произведение налоговой базы и соответствующей ей налоговой ставки. Сумма налога уплачивается по местонахождению объекта налогообложения в срок не позднее 20-го числа месяца, следующего за истекшим налоговым периодом. Налоговая декларация представляется НПл-ком в налоговый орган по местонахождению объекта налогообложения в срок, установленный для уплаты налога. 29. Налог на добычу полезных ископаемых: налогоплательщики, объект налогообложения, виды добываемых полезных ископаемых. НПл-ки: (ст.334) Организации и индивидуальные предприниматели, признаваемые пользователями недр. Постановка на учет в качестве НПл-ков осуществляется: 1. По месту нахождения участка недр, предоставленного НПл-ку в пользование. (территория субъекта (ов) РФ, на которой расположен участок) 2. По месту нахождения организации (месту жительства физ. лица) в случае, если добыча полезных ископаемых осуществляется на континентальном шельфе РФ, в исключительной экономической зоне РФ, за пределами РФ на территориях, находящихся под юрисдикцией РФ либо арендуемых. Объект налогообложения: (ст. 336) 1. Полезные ископаемые, добытые из недр на территории РФ; 2. Полезные ископаемые, извлеченные из отходов (потерь) добывающего производства, если такое извлечение подлежит отдельному лицензированию; 3. Полезные ископаемые, добытые из недр за пределами РФ на территориях, находящихся под юрисдикцией РФ (а также арендуемых). Не признается объектом налогообложения полезные ископаемые: - общераспространенные и подземные воды, не числящиеся на государственном балансе запасов полезных ископаемых, добытые индивидуальным предпринимателем и используемые им непосредственно для личного потребления; - добытые (собранные) геологические коллекционные материалы; - добытые из недр при образовании, использовании, реконструкции и ремонте особо охраняемых геологических объектов, имеющих научное, культурное, эстетическое, санитарно-оздоровительное или иное общественное значение; Видами полезного ископаемого яв-ся: (ст. 337) 1. каменный уголь; 2. бурый уголь; 3. горючий сланец; 4. антрацит; 5. торф;
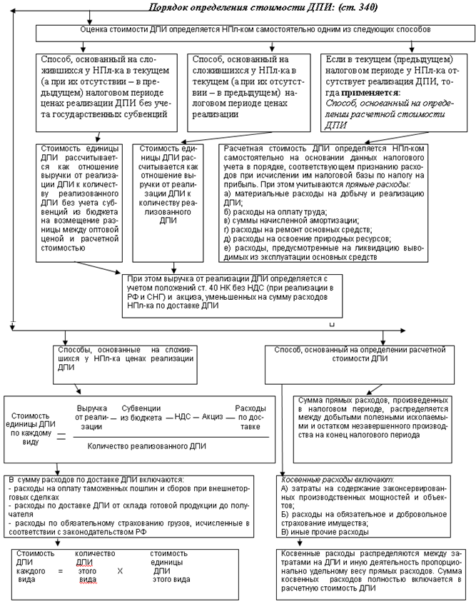
30. Налог на добычу полезных ископаемых: порядок определения количества и оценки стоимости добытых полезных ископаемых при определении налоговой базы.
Налоговая база: (ст. 338)
Налогоплательщик выбирает метод, которым он будет определять количество добытого полезного ископаемого, и утверждает его в своей учетной политике для целей налогообложения. Выбранный метод определения количества полезных ископаемых применяется налогоплательщиком в течение всей деятельности по добыче полезного ископаемого. Метод определения количества добытого полезного ископаемого, утвержденный налогоплательщиком, не подлежит изменению. Кроме случаев внесения изменений в технический проект разработки месторождения полезных ископаемых в связи с изменением технологии добычи, применяемой налогоплательщиком. В данной статье Налогового кодекса установлены особенности определения количества добытого полезного ископаемого для драгоценных металлов и драгоценных камней при добыче их из коренных, россыпных и техногенных месторождений. Например, при извлечении драгоценных металлов из коренных (рудных), россыпных и техногенных месторождений количество добытого полезного ископаемого определяется по данным обязательного учета при добыче. Порядок такого учета и отчетности, в том числе регулярное представление осуществляющими производство драгоценных металлов организациями сведений об объемах произведенных ими драгоценных металлов в органы государственной статистики, в указанных областях деятельности устанавливается Правительством Российской Федерации. Статья 340. Порядок оценки стоимости добытых полезных ископаемых при определении налоговой базы
1. Оценка стоимости добытых полезных ископаемых определяется налогоплательщиком самостоятельно одним из следующих способов: 1) исходя из сложившихся у налогоплательщика за соответствующий налоговый период цен реализации без учета государственных субвенций; 2) исходя из сложившихся у налогоплательщика за соответствующий налоговый период цен реализации добытого полезного ископаемого; 3) исходя из расчетной стоимости добытых полезных ископаемых. 2. Если налогоплательщик применяет способ оценки, указанный в подпункте 1 пункта 1 настоящей статьи, то оценка стоимости единицы добытого полезного ископаемого производится исходя из выручки, определяемой с учетом сложившихся в текущем налоговом периоде (а при их отсутствии - в предыдущем налоговом периоде) у налогоплательщика цен реализации добытого полезного ископаемого, без учета субвенций из бюджета на возмещение разницы между оптовой ценой и расчетной стоимостью. При этом выручка от реализации добытого полезного ископаемого определяется исходя из цен реализации (уменьшенных на суммы субвенций из бюджета), определяемых с учетом положений статьи 40 настоящего Кодекса, без налога на добавленную стоимость (при реализации на территории Российской Федерации и в государства - участники Содружества Независимых Государств) и акциза, уменьшенных на сумму расходов налогоплательщика по доставке в зависимости от условий поставки. В случае, если выручка от реализации добытого полезного ископаемого получена в иностранной валюте, то она пересчитывается в рубли по курсу, установленному Центральным банком Российской Федерации на дату реализации добытого полезного ископаемого, определяемую в зависимости от выбранного налогоплательщиком метода признания доходов в соответствии со статьей 271 или статьей 273 настоящего Кодекса. В целях настоящей главы в сумму расходов по доставке включаются расходы на оплату таможенных пошлин и сборов при внешнеторговых сделках, расходы по доставке (перевозке) добытого полезного ископаемого от склада готовой продукции (узла учета, входа в магистральный трубопровод, пункта отгрузки потребителю или на переработку, границы раздела сетей с получателем и тому подобных условий) до получателя, а также на расходы по обязательному страхованию грузов, исчисленные в соответствии с законодательством Российской Федерации. В целях настоящей главы к расходам по доставке (перевозке) добытого полезного ископаемого до получателя, в частности, относятся расходы по доставке (транспортировке) магистральными трубопроводами, железнодорожным, водным и другим транспортом, расходы на слив, налив, погрузку, разгрузку и перегрузку, на оплату услуг портов и транспортно-экспедиционных услуг. Оценка производится отдельно по каждому виду добытого полезного ископаемого исходя из цен реализации соответствующего добытого полезного ископаемого. Стоимость добытого полезного ископаемого определяется как произведение количества добытого полезного ископаемого, определяемого в соответствии со статьей 339 настоящего Кодекса, и стоимости единицы добытого полезного ископаемого, определяемой в соответствии с настоящим пунктом. Стоимость единицы добытого полезного ископаемого рассчитывается как отношение выручки от реализации добытого полезного ископаемого, определяемой в соответствии с настоящим пунктом, к количеству реализованного добытого полезного ископаемого. 3. В случае отсутствия государственных субвенций к ценам реализации добываемых полезных ископаемых налогоплательщик применяет способ оценки, указанный в подпункте 2 пункта 1 настоящей статьи. При этом оценка стоимости единицы добытого полезного ископаемого производится исходя из выручки от реализации добытых полезных ископаемых, определяемой на основании цен реализации с учетом положений статьи 40 настоящего Кодекса, без налога на добавленную стоимость (при реализации на территории Российской Федерации и в государства - участники Содружества Независимых Государств) и акциза, уменьшенных на сумму расходов налогоплательщика по доставке в зависимости от условий поставки. В случае, если выручка от реализации добытого полезного ископаемого, получена в иностранной валюте, то она пересчитывается в валюту Российской Федерации по курсу, установленному Центральным банком Российской Федерации на дату реализации добытого полезного ископаемого, определяемую в зависимости от выбранного налогоплательщиком метода признания доходов в соответствии со статьей 271 или статьей 273 настоящего Кодекса. В целях настоящей главы в сумму расходов по доставке включаются расходы на оплату таможенных пошлин и сборов при внешнеторговых сделках, расходы по доставке (перевозке) добытого полезного ископаемого от склада готовой продукции (узла учета, входа в магистральный трубопровод, пункта отгрузки потребителю или на переработку, границы раздела сетей с получателем и тому подобных условий) до получателя, а также на расходы по обязательному страхованию грузов, исчисленные в соответствии с законодательством Российской Федерации. В целях настоящей главы к расходам по доставке (перевозке) добытого полезного ископаемого до получателя, в частности, относятся расходы по доставке (транспортировке) магистральными трубопроводами, железнодорожным, водным и другим транспортом, расходы на слив, налив, погрузку, разгрузку и перегрузку, на оплату услуг портов и транспортно-экспедиционных услуг. Оценка производится отдельно по каждому виду добытого полезного ископаемого исходя из цен реализации соответствующего добытого полезного ископаемого. Стоимость добытого полезного ископаемого определяется как произведение количества добытого полезного ископаемого, определяемого в соответствии со статьей 339 настоящего Кодекса, и стоимости единицы добытого полезного ископаемого, определяемой в соответствии с настоящим пунктом. Стоимость единицы добытого полезного ископаемого рассчитывается как отношение выручки от реализации добытого полезного ископаемого, определяемой в соответствии с настоящим пунктом, к количеству реализованного добытого полезного ископаемого. 4. В случае отсутствия у налогоплательщика реализации добытого полезного ископаемого налогоплательщик применяет способ оценки, указанный в подпункте 3 пункта 1 настоящей статьи. При этом расчетная стоимость добытого полезного ископаемого определяется налогоплательщиком самостоятельно на основании данных налогового учета. В этом случае налогоплательщик применяет тот порядок признания доходов и расходов, который он применяет для определения налоговой базы по налогу на прибыль организаций. При определении расчетной стоимости добытого полезного ископаемого учитываются следующие виды расходов, произведенных налогоплательщиком в налоговом периоде: 1) материальные расходы, определяемые в соответствии со статьей 254 настоящего Кодекса, за исключением материальных расходов, понесенных в процессе хранения, транспортировки, упаковки и иной подготовки (включая предпродажную подготовку), при реализации добытых полезных ископаемых (включая материальные расходы, а также за исключением расходов, осуществленных налогоплательщиком при производстве и реализации иных видов продукции, товаров (работ, услуг); 2) расходы на оплату труда, определяемые в соответствии со статьей 255 настоящего Кодекса, за исключением расходов на оплату труда работников, не занятых при добыче полезных ископаемых; 3) суммы начисленной амортизации, определяемой в порядке, установленном статьями 258 - 259 настоящего Кодекса, за исключением сумм начисленной амортизации по амортизируемому имуществу, не связанному с добычей полезных ископаемых; 4) расходы на ремонт основных средств, определяемые в порядке, установленном статьей 260 настоящего Кодекса, за исключением расходов на ремонт основных средств, не связанных с добычей полезных ископаемых; 5) расходы на освоение природных ресурсов, определяемые в соответствии со статьей 261 настоящего Кодекса; 6) расходы, предусмотренные подпунктами 8 и 9 статьи 265 настоящего Кодекса, за исключением указанных в этих подпунктах расходов, не связанных с добычей полезных ископаемых; 7) прочие расходы, определяемые в соответствии со статьями 263 , 264 и 269 настоящего Кодекса, за исключением прочих расходов, не связанных с добычей полезных ископаемых. При определении расчетной стоимости добытого полезного ископаемого не учитываются расходы, предусмотренные статьями 266 , 267 и 270 настоящего Кодекса. При этом прямые расходы, произведенные налогоплательщиком в течение налогового периода, распределяются между добытыми полезными ископаемыми и остатком незавершенного производства на конец налогового периода. Остаток незавершенного производства определяется и оценивается с учетом особенностей, предусмотренных пунктом 1 статьи 319 настоящего Кодекса. При определении расчетной стоимости добытого полезного ископаемого учитываются также косвенные расходы, определяемые в соответствии с главой 25 настоящего Кодекса. При этом косвенные расходы, произведенные налогоплательщиком в течение отчетного (налогового) периода распределяются между затратами на добычу полезных ископаемых и затратами на иную деятельность налогоплательщика пропорционально доле прямых расходов, относящихся к добыче полезных ископаемых, в общей сумме прямых расходов. Общая сумма расходов, произведенных налогоплательщиком в налоговом периоде, распределяется между добытыми полезными ископаемыми пропорционально доле каждого добытого полезного ископаемого в общем количестве добытых полезных ископаемых в этом налоговом периоде. Сумма косвенных расходов, относящаяся к добытым в налоговом периоде полезным ископаемым, полностью включается в расчетную стоимость добытых полезных ископаемых за соответствующий налоговый период. 5. Оценка стоимости добытых драгоценных металлов, извлеченных из коренных (рудных), россыпных и техногенных месторождений, производится исходя из сложившихся у налогоплательщика в соответствующем налоговом периоде (а при их отсутствии - в ближайшем из предыдущих налоговых периодов) цен реализации химически чистого металла без учета налога на добавленную стоимость, уменьшенных на расходы налогоплательщика по его аффинажу и доставке (перевозке) до получателя. При этом стоимость единицы указанного добытого полезного ископаемого определяется как произведение доли (в натуральных измерителях) содержания химически чистого металла в единице добытого полезного ископаемого и стоимости единицы химически чистого металла. 6. Оценка стоимости добытых драгоценных камней производится исходя из их первичной оценки, проводимой в соответствии с законодательством Российской Федерации о драгоценных металлах и драгоценных камнях. Оценка стоимости добытых уникальных драгоценных камней и уникальных самородков драгоценных металлов, не подлежащих переработке, производится исходя из цен их реализации без учета налога на добавленную стоимость, уменьшенных на суммы расходов налогоплательщика по их доставке (перевозке) до получателя. 31. Налог на добычу полезных ископаемых: налоговая база, налоговые ставки, налоговый период, порядок исчисления и сроки уплаты. Налоговая база: (ст. 338)
Налоговые ставки: (ст.342)
Примечания: * - соответствующий порядок устанавливается Правительством РФ ** - НПл-ки, осуществляющие из собственных средств поиск и разведку разрабатываемых ими месторождений или полностью возместившие все расходы государства на поиск и разведку соответствующего количества запасов этих ископаемых и освобожденные по состоянию на 1. 07. 2001 в соответствии с федеральными законами от отчислений на воспроизводство минерально-сырьевой базы при разработке этих месторождений, уплачивают налог с коэффициентом 0,7. Налоговый период Статья 341. Налоговым периодом признается календарный месяц.
Порядок исчисления НДПИ (ст. 343-345) 1. По попутному газу и газу горючему природному из всех видов месторождений углеводородного сырья – сумма налога исчисляется как произведение налоговой ставки и величины налоговой базы. 2. По всем остальным добытым полезным ископаемым - сумма налога исчисляется как соответствующая налоговой ставке процентная доля налоговой базы. Сумма налога: - исчисляется по итогам каждого налогового периода (месяца) по каждому добытому полезному ископаемому - уплачивается по месту нахождения каждого участка недр, предоставленного НПл-ку в пользование в соответствие с законодательством РФ. При этом сумма налога, подлежащая уплате, рассчитывается исходя из доли полезного ископаемого, добытого на каждом участке недр в общем количестве ДПИ соответствующего вида - исчисленная по полезным ископаемым, добытым за пределами РФ, подлежит уплате по месту нахождения организации или месту жительства индивидуального предпринимателя Налоговая декларация:
- представляется в обязательном порядке, начиная с того налогового периода, в котором начата добыча полезных ископаемых - представляется НПл-ком в налоговый орган по месту своего нахождения (месту жительства) - представляется не позднее последнего дня месяца, следующего за истекшим налоговым периодом Сроки уплаты налога Статья 344. Сумма налога, подлежащая уплате по итогу налогового периода, уплачивается не позднее 25-го числа месяца, следующего за истекшим налоговым периодом. 32. Сборы за пользование объектами животного мира и водных биологических ресурсов: плательщики, объекты обложения, ставки, порядок исчисления и сроки уплаты. Плательщики сборов: (ст. 333.1). Плательщики сборов за пользование объектами животного мира, за исключением объектов животного мира, относящихся к объектам водных биологических ресурсов, признаются орг. и физические лица, в том числе ИП, получающие в установленном порядке лицензию (разрешение) на пользование объектами животного мира на территории РФ. Плательщиками сбора за пользование объектами водных биологических ресурсов (далее в настоящей главе - плательщики) признаются орг. и физ. лица, в том числе ИП, получающие в установленном порядке лицензию (разрешение) на пользование объектами водных биологических ресурсов во внутренних водах, в территориальном море, на континентальном шельфе РФ и в исключительной экономической зоне РФ, а также в Азовском, Каспийском, Баренцевом морях и в районе архипелага Шпицберген. Объекты обложения : ( ст. 333.2). Объекты животного мира и водных биологических ресурсов, изъятие которых подлежит лицензированию в соответствии с законодательством РФ. Не признаются объектами обложения объекты животного мира и объекты водных биологических ресурсов, пользование которыми осуществляется для удовлетворения личных нужд представителями коренных малочисленных народов Севера, Сибири и Дальнего Востока РФ (по перечню, утверждаемому Правительством РФ) и лицами, не относящимися к коренным малочисленным народам, но постоянно проживающими в местах их традиционного проживания и традиционной хозяйственной деятельности, для которых охота и рыболовство являются основой существования. Объем добычи и вылова квотируется. Ставки сборов: (ст. 333.3). Ставки за объекты животного мира Ставки за объекты водных биологических ресурсов (кроме морских млекопитающих) Ставки за объекты водных биологических ресурсов - морское млекопитающее Ставки сбора за объекты водных биологических ресурсов устанавливаются в размере 0 рублей, когда их использование осуществляется в целях: - охраны здоровья населения, устранения угрозы для жизни человека, предохранения от заболеваний с/х и домашних животных, регулирования видового состава биологических ресурсов, предотвращения нанесения ущерба экономике, животному миру и среде его обитания, а также в целях воспроизводства объектов водных биологических ресурсов; - изучения запасов и промышленной экспертизы, а также в научных целях в соответствии с законодательством РФ. Ставки сбора за объекты водных биологических ресурсов для градо - и поселкообразующих российских рыбохозяйственных организаций устанавливаются в размере 15 % от установленных ставок. Порядок исчисления сборов : (ст. 333.4). Сумма сбора определяется в отношении каждого объекта как произведение соответствующего количества объектов и ставки сбора. Порядок и сроки уплаты сборов: (ст. 333.5). Порядок зачисления сборов Плательщики сумму сбора за пользование объектами животного мира уплачивают при получении лицензии (разрешения) на пользование объектами животного мира, а за пользование объектами водных биологических ресурсов уплачивают в виде разового и регулярных взносов. Сумма разового взноса определяется как доля исчисленной суммы сбора, размер которой равен 10%. Уплата разового взноса производится при получении лицензии (разрешения) на пользование объектами водных биологических ресурсов. Оставшаяся сумма сбора, определяемая как разность между исчисленной суммой сбора и суммой разового взноса, уплачивается равными долями в виде регулярных взносов в течение всего срока действия лицензии (разрешения) на пользование объектами водных биологических ресурсов ежемесячно не позднее 20-го числа. Уплата сборов производится: плательщиками - физ. лицами, за исключением ИП, - по местонахождению органа, выдавшего лицензию (разрешение); плательщиками - орг. и ИП - по месту своего учета. 33. Государственная пошлина: плательщики, принципы дифференциации размеров государственной пошлины, органы, взимающие ее, льготы, порядок их применения . Статья 333.16. Государственная пошлина 1. Государственная пошлина - сбор, взимаемый с лиц, при их обращении в государственные органы, органы местного самоуправления, иные органы и (или) к должностным лицам, которые уполномочены в соответствии с законодательными актами РФ, законодательными актами субъектов РФ и нормативными правовыми актами органов местного самоуправления, за совершением в отношении этих лиц юридически значимых действий, предусмотренных настоящей главой, за исключением действий, совершаемых консульскими учреждениями РФ. выдача документов (их копий, дубликатов) приравнивается к юридически значимым действиям. 2. Указанные в пункте 1 настоящей статьи органы и должностные лица, за исключением консульских учреждений РФ, не вправе взимать за совершение юридически значимых действий, предусмотренных настоящей главой, иные платежи, за исключением государственной пошлины. Статья 333.17. Плательщики государственной пошлины 1. Плательщиками государственной пошлины (далее в настоящей главе - плательщики) признаются: - орг.; 2. Указанные в пункте 1 настоящей статьи лица признаются плательщиками в случае, если они: 1) обращаются за совершением юридически значимых действий, предусмотренных настоящей главой; 2) выступают ответчиками в судах общей юрисдикции, арбитражных судах или по делам, рассматриваемым мировыми судьями, и если при этом решение суда принято не в их пользу и истец освобожден от уплаты государственной пошлины в соответствии с настоящей главой. 34. Налог на игорный бизнес: налогоплательщики, объекты налогообложения, налоговая база, ставки, налоговый период. Ст. 365. Налогоплательщики - орг. или ИП, осуществляющие предпринимательскую деятельность в сфере игорного бизнеса. Ст. 366. Объекты налогообложения : 2) игровой автомат; 4) касса букмекерской конторы. Каждый объект налогообложения или изменение их количества подлежит регистрации в налоговом органе по месту установки этого объекта налогообложения не позднее, чем за 2 рабочих дня до даты установки каждого объекта налогообложения. Регистрация производится налоговым органом на основании заявления налогоплательщика о регистрации объекта (объектов) налогообложения с обязательной выдачей свидетельства о регистрации объекта (объектов) налогообложения. Форма указанного заявления и форма указанного свидетельства утверждаются Минфином РФ. Объект налогообложения считается зарегистрированным/выбывшим с даты представления налогоплательщиком в налоговый орган заявления о регистрации объекта (объектов) налогообложения. Налоговые органы обязаны в течение 5 рабочих дней с даты получения заявления от налогоплательщика о регистрации объекта (объектов) налогообложения (об изменении количества объектов налогообложения) выдать свидетельство о регистрации или внести изменения, связанные с изменением количества объектов налогообложения, в ранее выданное свидетельство. Нарушение налогоплательщиком требований влечет взыскание с него штрафа в трехкратном размере ставки налога, установленной для соответствующего объекта налогообложения. Нарушение более 1 раза влечет взыскание штрафа в шестикратном размере. Ст. 367. Налоговая база по каждому из объектов определяется отдельно как общее количество соответствующих объектов налогообложения. Налоговые ставки: устанавливаются законами субъектов РФ в следующих пределах: 1. за 1 игровой стол – от 25000 до 125000 руб. 2. за 1 игровой автомат – от 1500 до 7500 руб. 3. за 1 кассу тотализатора или 1 кассу букмекерской конторы – от 25000 до 125000 руб. Если ставки налогов не установлены законами субъектов РФ, то они устанавливаются в минимальном размере. Например, в НСО утверждены максимальные ставки налога по всем объектам. Сумма налога исчисляется НПл-ком самостоятельно как произведение налоговой базы, установленной по каждому объекту налогообложения, и ставки налога, установленной для каждого объекта налогообложения. Если 1 игровой стол имеет более одного игрового поля, ставка налога по указанному игровому столу увеличивается кратно количеству игровых полей. При установке нового объекта н/о до 15-го числа текущего нал. периода сумма налога исчисляется как произведение общего кол-ва соот-щих объектов н/о (включая установленный новый объект н/о) и ставки налога, установленной для этих объектов н/о. (СТАВКА ПОЛНАЯ) При установке нового объекта н/о после 15-го числа текущего нал. периода сумма налога по этому объекту за этот нал. период исчисляется как произведение кол-ва данных объектов н/о и одной второй ставки налога, установленной для этих объектов н/о. (СТАВКА ПОЛОВИНА) При выбытии объекта н/о до 15-го числа (включительно) текущего нал. периода сумма налога по этому объекту за этот нал. период исчисляется как произведение количества данных объектов н/о и одной второй ставки налога, установленной для этих объектов н/о. При выбытии объекта н/о после 15-го числа текущего нал. периода сумма налога исчисляется как произведение общего количества соот-щих объектов н/о (включая выбывший объект) и ставки налога, установленной для этих объектов н/о. Ст. 368. Налоговый период - календарный месяц. Налоговая декларация за истекший налоговый период представляется НПл-ком в налоговый орган по месту регистрации объектов налогообложения не позднее 20 числа месяца, следующего за истекшим налоговым периодом. Налог, подлежащий уплате по итогам нал. периода, уплачивается НПл-ком по месту регистрации в нал. органе объектов н/о не позднее срока, установленного для подачи налоговой декларации за соотв-щий нал. период. Предмет – Региональные и местные налоги и сборы 34. Налог на игорный бизнес: налогоплательщики, объекты налогообложения, налоговая база, ставки, налоговый период. Налогоплательщики (Ст. 365)- орг. или ИП, осуществляющие предпринимательскую деятельность в сфере игорного бизнеса. Объекты налогообложения (Ст. 366).: 1) игровой стол; 2) игровой автомат; 3) касса тотализатора; 4) касса букмекерской конторы. Каждый объект налогообложения или изменение их количества подлежит регистрации в налоговом органе по месту установки этого объекта налогообложения не позднее, чем за 2 рабочих дня до даты установки каждого объекта налогообложения. Налоговая база (Ст. 367). по каждому из объектов определяется отдельно как общее количество соответствующих объектов налогообложения. Налоговые ставки: устанавливаются законами субъектов РФ в следующих пределах: 1. за 1 игровой стол – от 25000 до 125000 руб. 2. за 1 игровой автомат – от 1500 до 7500 руб. 3. за 1 кассу тотализатора или 1 кассу букмекерской конторы – от 25000 до 125000 руб. Если ставки налогов не установлены законами субъектов РФ, то они устанавливаются в минимальном размере. Например, в НСО утверждены максимальные ставки налога по всем объектам. Налоговый период (Ст. 368) - календарный месяц. Налоговая декларация за истекший налоговый период представляется НПл-ком в налоговый орган по месту регистрации объектов налогообложения не позднее 20 числа месяца, следующего за истекшим налоговым периодом. 35. Налог на имущество организаций: налогоплательщики, объект налогообложения, налоговая база, ставка, порядок исчисления и сроки уплаты (гл.30 НК)
НП признаются: российские организации; иностранные организации, осуществляющие деятельность в РФ через постоянные представительства и (или) имеющие в собственности недвижимое имущество на территории РФ, на континентальном шельфе РФ и в исключительной экономической зоне РФ. Объект налогообложения для росс. организаций - движимое и недвижимое имущество (включая имущество, переданное во временное владение, пользование, распоряжение или доверительное управление, внесенное в совместную деятельность), учитываемое на балансе в качестве объектов основных средств в соответствии с установленным порядком ведения бухгалтерского учета. Объект налогообложения для иностранных организаций, осуществляющих деятельность в РФ через постоянные представительства, - движимое и недвижимое имущество, относящееся к объектам основных средств. Объект налогообложения для иностранных организаций, не имеющих постоянное представительство, - недвижимое имущество, принадлежащее иностранным организациям на праве собственности и находящееся на территории РФ. Налоговая база определяется как среднегодовая стоимость имущества, признаваемого объектом налогообложения. Имущество учитывается по его остаточной стоимости. Налоговая база определяется отдельно в отношении имущества, подлежащего налогообложению Среднегодовая стоимость имущества, за налоговый (отчетный) период определяется как частное от деления суммы, полученной в результате сложения величин остаточной стоимости имущества на 1-е число каждого месяца налогового (отчетного) периода и 1-е число следующего за налоговым (отчетным) периодом месяца, на количество месяцев в налоговом (отчетном) периоде, увеличенное на единицу. Налоговый период - календарный год. Отчетный период - первый квартал, полугодие и девять месяцев календарного года. Налоговые ставки устанавливаются законами субъектов РФ и не могут превышать 2,2 процента. Допускается установление дифференцированных налоговых ставок в зависимости от категорий налогоплательщиков и (или) имущества, признаваемого объектом налогообложения. Порядок исчисления Сумма налога исчисляется по итогам налогового периода как произведение налоговой ставки и налоговой базы, определенной за налоговый период. Сумма налога, подлежащая уплате в бюджет по итогам налогового периода, определяется как разница между суммой налога, исчисленной за год, и суммами исчисленных авансовых платежей по налогу Сумма авансового платежа по налогу исчисляется по итогам каждого отчетного периода в размере одной четвертой произведения налоговой ставки и среднегодовой стоимости имущества, определенной за отчетный период. Срок уплаты налога за год – до 31 марта следующего года. Срок уплаты за 1,2.3 квартал – до 30 числа месяца, следующего за отчетным периодом. 36. Транспортный налог: налогоплательщики, объекты налогообложения, налоговая база и ставки, налоговый период (гл.28 НК)
Налогоплательщики - лица, на которых зарегистрированы транспортные средства, признаваемые объектом налогообложения. Объект налогообложения - автомобили, мотоциклы, мотороллеры, автобусы и другие самоходные машины, и механизмы на пневматическом и гусеничном ходу, самолеты, вертолеты, теплоходы, яхты, парусные суда, катера, снегоходы, мотосани, моторные лодки, гидроциклы, несамоходные (буксируемые суда) и другие водные и воздушные транспортные средства, зарегистрированные в установленном порядке. Налоговая база определяется: в отношении ТС, имеющих двигатели - как мощность двигателя в лошадиных силах; в отношении воздушных ТС - как паспортная статическая тяга реактивного двигателя; в отношении водных несамоходных (буксируемых) ТС - как валовая вместимость в регистровых тоннах; для иных водных и воздушных ТС - как единица транспортного средства. Налоговые ставки устанавливаются законами субъектов в зависимости от мощности двигателя, тяги реактивного двигателя или валовой вместимости ТС, категории ТС в расчете на одну лошадиную силу мощности двигателя, один килограмм силы тяги реактивного двигателя, одну регистровую тонну ТС или единицу транспортного средства. Налоговый период - календарный год. Отчетные периоды для организаций – 1, 2, 3 квартал. 37. Земельный налог: налогоплательщики, объекты налогообложения, налоговая база и ставки, налоговый период (гл. 31 НК) Налогоплательщики - организации и физические лица, обладающие земельными участками на праве собственности, праве постоянного (бессрочного) пользования или праве пожизненного наследуемого владения. Объект налогообложения - земельные участки, расположенные в пределах муниципального образования (городов федерального значения Москвы и Санкт-Петербурга), на территории которого введен налог. Налоговая база определяется как кадастровая стоимость земельных участков, определяемая в соответствии с земельным законодательством РФ. Кадастровая стоимость = стоимость руб/м2 * площадь земельного участка. Налоговые ставки не могут превышать: 0,3 процента в отношении земельных участков. отнесенных к землям сельскохозяйственного назначения; занятых жилищным фондом и объектами инженерной инфраструктуры жилищно-коммунального комплекса или предоставленных для жилищного строительства; предоставленных для личного подсобного хозяйства, садоводства, огородничества или животноводства; 1,5 процента - в отношении прочих земельных участков Налоговый период - календарный год. Отчетными периодами для организаций и ИП, признаются первый квартал, полугодие и девять месяцев календарного года. 38. Налог на имущество физических лиц: налогоплательщики, объекты налогообложения, налоговая база и ставки (ФЗ №95от 29.07.2004г.) Плательщики – физические лица – собственники имущества, признаваемого объектом налогообложения. Если имущество, признаваемое объектом налогообложения, находится в общей долевой собственности нескольких физических лиц, налогоплательщиком в отношении этого имущества признается каждое из этих физических лиц соразмерно его доле в этом имуществе. Если имущество, признаваемое объектом налогообложения, находится в общей совместной собственности нескольких физических лиц, они несут равную ответственность по исполнению налогового обязательства. При этом плательщиком налога может быть одно из этих лиц, определяемое по соглашению между ними. Объект налогообложения – жилые дома, квартиры, дачи, гаражи, иные строения и сооружения. Налоговой базой признается инвентарная стоимость имущества, т.е. восстановленная стоимость объекта с учетом износа и динамики роста цен на строительную продукцию, работы и услуги. Сведения об оценке принадлежащего физическим лицам имущества передаются до 1 марта в налоговые органы. Оценка осуществляется на 1 января каждого года на основе инвентаризации, которую проводит БТИ Ставки устанавливаются на каждое 1 января, ставки налога на строения, помещения и сооружения устанавливаются НПА представительных органов МСУ в зависимости от суммарной инвентаризационной стоимости. Представительные органы МСУ могут определять дифференциацию ставок в установленных пределах в зависимости от суммарной инвентаризационной стоимости, типа использования и по иным критериям. Ставки налога устанавливаются в следующих пределах:
Предмет – Налогообложение финансового сектора экономики
55. Особенности налогообложение банков НДС и налогом на прибыль.
1. Особенности исчисления и уплаты НДС. В соответствии со ст. 143 банк признается плательщиком НДС. Однако большинство банковских операций НДС не облагаются, поэтому многие мелкие банки могут воспользоваться правом на освобождение от уплаты НДС (если выручка от реализации товаров, работ, услуг за 3 последовательных налоговых периода не превышает 2 млн. руб.). Операции, не подлежащие налогообложению (ст.149) Наиболее актуальными для банка являются следующие необлагаемые операции: 1) осуществление банками банковских операций (за искл. инкассации); 2) оказание услуг, связанных с обслуживанием банковских карт; 3) операции организаций, обеспечивающих информационное и технологическое взаимодействие между участниками расчетов по операциям с банковскими картами; 4) реализация драг. металлов и камней банком, а так же реализация драг. металлов банками при условии, что слитки остаются в одном из сертифицированных хранилищ (гос. хранилище ценностей, хранилище ЦБР или хранилища банков); Методы исчисления НДС в бюджет. Существует 2 метода исчисления НДС для банков (ст. 170): I. метод – метод применения налоговых вычетов. Предполагает уменьшение НДС, исчисленного по реализации товаров, работ, услуг на сумму налога, уплаченную при приобретении товаров, работ, услуг, используемых для осуществления операций, облагаемых НДС. НДСв бюджет = НДСначисл. - налоговые вычеты II. метод - метод отнесения на затраты (упрощенный метод). Предполагает, что вся сумма НДС начисленного подлежит уплате в бюджет, а вся сумма НДС уплаченного включается в расходы по налогу на прибыль (т.е. включается в стоимость приобретенных товаров, работ, услуг). Данный метод могут применять только банки, страховые организации и НПФ. Выбранный метод должен быть закреплен в учетной политике банка. Этот метод использует абсолютное большинство банков. 2. Особенности исчисления налога на прибыль. Специфика деятельности банков, а так же особенности ведения бух. учета обусловили особенности определения как доходов, так и расходов банка при исчислении налога на прибыль. Объект обложения у кредитных организаций в целом не отличается от обычного подхода (прибыль = доходы - расходы), однако состав доходов и расходов у банков имеет особенности, установленные ст. 290-291 (доходы и расходы соответственно). 2.2 Особенности состава доходов, включаемых в налоговую базу по налогу на прибыль. В доходы банка при расчете налоговой базы кроме доходов от реализации (ст. 249) включаются: - доходы от реализации (выручка); - внереализационные (%, аренда, штрафы, пени) - не учитываемые. Расходы банков можно разделить на 6 групп: 1) процентные расходы, связанные с привлечением средств физических и юридических лиц; 2) расходы, связанные с кредитной и приравненной к ней деятельностью. 3) расходы по РКО; 4) расходы по валютным операциям; 5) расходы по операциям с ценными бумагами; 6) прочие расходы 56. Особенности налогообложения страховых организаций НДС и налогом на прибыль.
Налог на прибыль Специфические доходы: 1.1. Доходы по страхованию (ст.293)
1) страховые премии (взносы) по договорам страхования, сострахования и перестрахования. При этом страховые премии (взносы) по договорам сострахования включаются в состав доходов страховщика (состраховщика) только в размере его доли страховой премии, установленной в договоре сострахования; 2) вознаграждения и тантьемы (форма вознаграждения страховщика со стороны перестраховщика) по договорам перестрахования; 3) вознаграждения от страховщиков по договорам сострахования; 1.2. Доходы от деятельности, связанной с операциями страхования:
1) доходы от реализации перешедшего к страховщику права требования страхователя (выгодоприобретателя) к лицам, ответственным за причиненный ущерб; 2) суммы санкций за неисполнение условий договоров страхования, признанные должником добровольно либо по решению суда; 3) вознаграждения за оказание услуг страхового агента, брокера; 4) вознаграждения, полученные страховщиком за оказание услуг сюрвейера (осмотр принимаемого в страхование имущества и выдачу заключений об оценке страхового риска) и аварийного комиссара (определение причин, характера и размеров убытков при страховом событии); 1.3 Прочие доходы 1) суммы процентов на депо премий по рискам, принятым в перестрахование; 2) доходы, полученные от размещения страховых резервов и др. средств. 3) доходы в виде суммовых разниц Расходы=Общие(ст.252,254-269 НК)+Специфические (ст.294 НК): 1) расходы по страхованию: а) страховые выплаты по договорам страхования, сострахования и перестрахования. К страховым выплатам относятся выплаты рент, аннуитетов, пенсий и прочие выплаты, предусмотренные условиями договора страхования. б) отчисления в страховые резервы (состав резервов, порядок формирования и использования определяется ФССН (фед.службой страхового надзора)) в) суммы страховых премий (взносов) по рискам, переданным в перестрахование. г) возврат части страховых премий (взносов), а также выкупных сумм по договорам страхования, сострахования и перестрахования в случаях, предусмотренных законодательством и (или) условиями договора; 2) расходы по деятельности, связанной с операциями страхования: расходы по оплате организациям или отдельным физическим лицам оказанных ими услуг, связанных со страховой деятельностью, в том числе: услуг актуариев; медицинского обследования при заключении договоров страхования жизни и здоровья, если оплата такого медицинского обследования в соответствии с договорами осуществляется страховщиком; детективных услуг, выполняемых организациями, имеющими лицензию на ведение указанной деятельности, связанных с установлением обоснованности страховых выплат; 3) прочие расходы: расходы на ведение дела= общие(ст.254-269 НК)+специфич.(оплата услуг страховых агентов + компенсация им транспортных расходов + оплата услуг банков, связ. С страх. деятельностью, расходы на рекламу, переподготовку кадров + оплата консультаций, аудиторских, на публикацию отчетности) НДС Осуществление страховыми организациями операций по страхованию освобождается от НДС. Не облагаются НДС поступления в виде: 1. страховых платежей по договорам со-, пере-, страхования, включая страховые взносы и перестрахов. комиссию 2. % по начислению депо-премий по договорам перестрахования и %, перечисленных перестр-ку перестрах-лем 3. страховых взносов, полученных страховой организацией, заключившей договор страхования от имени и по поручению страховщиков 4. средств, полученных страховщиком в порядке суброгации, от лица, ответственного за причиненный страхователю ущерб, в размере страхового возмещения, выплаченного страхователю Страховщики вправе инвестировать страховые резервы и др. средства, а также выдавать ссуды страхователям, заключившим договор личного страхования. Доходы от инвестирования страховых резервов облагаются в зависимости от того, в область облагаемых или необлагаемых НДС (цен.бумаги, банковские вклады, слитки золота и т.п.) операций они размещены. Суммы штрафных санкций по договорам страхования (со,пере) НДС не облагаются. Иного характера-облагаются. Комиссионные вознаграждения страховым агентам и страховым брокерам, услуги маклера, сюрвеера, консультационные облагаются НДС. Выплата страхового возмещения в денежной форме-не облагается. В натуральной-облагается. Так как во многих страховых организациях доля облагаемых НДС операций незначительна часто используется ст.170, и страховщики включают в расходы по налогу на прибыль суммы,уплаченного НДС,а приобретенные ценности отражают на балансе без НДС. 57. Особенности налогообложения акционерных инвестиционных фондов АИФ-ОАО, исключительным предметом деятельности которого является инвестирование имущества в ценные бумаги и иные объекты, разрешенные законом. Деятельность АИФ подлежит лицензированию. НДС платят при наличии объекта. Могут освободиться(ст.145 НК). При формировании УК АИФа реализация акций не облагаются НДС как связанные с обращением ценных бумаг (ст.149 НК). Операции управляющей компании с активами АИФа не облагаются в части обращения ценных бумаг, полученных % по банковким вкладам и т.д.(ст.149). Операции с имуществом для обеспечения органов управления в зависимости от их характера облагаются (реализация, сдача в аренду и т.п.)или нет. Так как основная деятельность не облагается НДС права на вычет нет. Вознаграждение управляющей компании от АИФа НДС облагается. Налог на прибыль АИФ является плательщиком. Т.к. АИФ-это АО, при размещении собственных акций по цене выше номинала может быть получен дополнительный доход, который в силу ст.277 НК не признается прибылью н/пл-ка-эмитента. Фин.результат АИФ=Дивиденды+%+иные доходы по фин.вложениям фонда+доход от реализации активов-расходы,связанные с деятельностью фонда. По той части имущества, которая находится в доверительном управлении АИФ является выгодоприобретателем. Этот доход признается внереализационным и облагается по 24%. Расходы, связанные с доверительным управлением учитываются у выгодоприобретателя. Расходы АИФа: 1) расходы по организации АИФа (на выпуск акций, регистрацию выпуска…) 2) оплата текущих услуг депозитария (за учет и хранение ценных бумаг) 3) оплата услуг независимого аудитора 4) оплата услуг независимого оценщика (для расчета стоимости чистых активов) 5) оплата услуг управляющего инвестиционного фонда (комиссионное вознаграждение управляющего) Налог на имущество уплачивается АИФом самостоятельно в общем порядке. При выплате дивидендов по собственным акциям АИФ выполняет обязанности налогового агента по уплате налога на прибыль и НДФЛ. 58. Особенности налогообложения паевых инвестиционных фондов ПИФ-обособленный имущественный комплекс, состоящий из имущества, переданного в доверительное управление управляющей компании учредителем управленияи из имущества,полученного в результате такого управления. ПИФы бывают: открытые,интервельные,закрытые. Пай не имеет номинальной стоимости. ПИФы не являются юр.л. и не являются н/пл-ками. НДС Средства, получаемые от ПИФа управляющей компанией не облагаются как временные вложения. Обращение инвестиционных паев - не облагается, т.к. они приравнены к ценным бумагам. Налог на прибыль ПИФ не является плательщиком. Имущество, поступаемое при покупке инвестиционных паев, не признается доходом у управляющей компании и не облагается. Доход в виде прироста ПИФа (%, дивиденды, реализация недвижимости) также не облагается. Долги по обязательствам, возникшим в связи с доверительным управлением погашаются за счет имущества Вознаграждение управляющей компании, депозитария, регистратора, оценщика и аудитора рассматриваются как доход этих субъектов и у них облагаются налогом на прибыль. Расходы, связанные с доверительным управлением признаются расходами управляющего. Но договором может бвть установлено, что эти расходы покрываются за счет имущества ПИФа. Налог на имущество рассчитывается управляющей компанией и уплачивается за счет имущества ПИФа. (В закрытом ПИФе за инвестиционный пай учредители могут вносить иное имущество помимо денежных средств=в результате управления может появиться имущество). Н/обложение пайщиков Пайщики имеют право продать свой пай (погасить). Выплаты по паю-это денежная компенсация, соразмерная доли в праве собственности на имущество ПИФа. Доходы пайщиков возникают при погашении пая как разница между ценой выбытия и ценой его приобретения с учетом расходов по приобретению и реализации. У юр.л. доходы от выбытия пая = внереализационные доходы (24%) У иностр. Юр.л. по ставке 20%. Переоценка пая по балансу инвестора доходом не признается и не облагается. 59. Особенности налогообложения негосударственных пенсионных фондов НПФ - особая организационно-правовая форма НКО социльного обеспечения, исключительным видом деятельности которой является: 1) деятельность по негосударственному пенсионному обеспечению участников фонда в соответствии с договорами негосударственного пенсионного обеспечения 2) деятельность в качестве страховщика по обязательному пенсионному страхованию в соответствии с ФЗ и договорами о создании профессиональных пенсионных систем. Все виды деятельности являются лицензируемыми. НПФ функционируют с помощью управляющих компаний. НПФ имеет собственное имущество: пенсионные резервы и имущество, предназначенное для обеспечения уставной деятельности. Доходы НПФ (кроме ст249,250 НК) 1) доходы от размещения средств в ценные бумаги 2) от осуществления инвестиций и др. вложений (дивиденды и % по ценным бумагам, банковским депозитам, прибыль от реализации активов и чистый финансовый результат, отражающий изменение рыночной стоимости пенсионных резервов на отчетную дату). 3) отчисления от дохода от размещения пенсионных резервов 4) доходы от размещения имущества, предназначенного для обеспечения уставной деятельности в цен.бумаги и др. инвестиции Налогообл. Доход = Фактический доход - (Пенс.резерв*Ставка реф.*кол-во календ.дней размещ)/365 Сумма размещения пенсионных резервов в отчетном периоде определяется как ср.арифметическое ПР = (1/2 ПРнач +1/2 ПРкон+ Сумма ПР на нач. каждого месяца)/ Кол-во месяцев в периоде В налоговом учете раздельно определяются доходы и расходы, связанные с обеспечением уставной деятельности фонда. Расходы от размещения резервов: 1) Вознаграждения управляющей компании, депозитариям, профессиональным участникам РЦБ 2) Обязательные расходы, связанные с хранением, поддержанием в рабочем состоянии и оценкой имущества, в которое размещены пенсионные резервы 3) Отчисления на формирование имущества для обеспечения уставной деятельности Размер таких отчислений не должен превышать 15% доходов, полученных от размещения пенсионных резервов. Расходы,связанные с уставной деятельностью (за искл. расходов по ст.254-269 НК): 1) Оплата услуг актуариев 2) Вознаграждение за оказание услуг по заключению договоров пенсионного обеспечения 3) Оплата услуг по изготовлению пенсионных свидетельств и бланков строгой отчетности и т.д. За счет имущества для обеспечения уставной деятельности НПФ оплачивает услуги, возмещает расходы организаций, предоставляющих услуги (консульт., информацион., технич. содействие). НДС Операции НПФ в значительном объеме носят характер страхования, а получаемые доходы, связанные с инвестированием средств пенсионных резервов в ценные бумаги – не облагаются! По остальным опреациям НДС уплачивается. НПФ как и страховые организации, и банкуи имеют право включать суммы уплаченного НДС в расходы. |
