Курсовая работа: Системи нелінійних рівнянь
|
Название: Системи нелінійних рівнянь Раздел: Рефераты по математике Тип: курсовая работа | ||||||||||||||||||||||||||||||||||||||||||||||||||||||||||||||||||||||||||||||||||||||||||||||||||||||||||||||||||||||||||||||||||||||||||||||||||||||||||||||||||||||||||||||||||||||||||||||||||||||||||||||||||||||||||||||||||||||||||||||||||||||||||||||||||||
| МІНІСТЕРСТВО ОСВІТИ І НАУКИ УКРАЇНИ НАЦІОНАЛЬНИЙ ТРАНСПОРТНИЙ УНІВЕРСИТЕТ Курсова робота З дисципліни «Чисельні методи» Тема проекту: « Системи нелінійних рівнянь» Виконала: студентка групи КН-II-2 Омельченко Ю.В. Київ 2008 Зміст
Вступ Розділ 1 Чисельні методи розв’язання систем нелінійних рівнянь 1.1 Нелінійні рівняння 1.2 Система нелінійних рівнянь 1.3 Метод простих ітерацій 1.4 Метод Ньютона 1.5 Модифікований метод Ньютона Розділ 2 Практичне використання методів розв’язання систем нелінійних рівнянь 2.1 Розв’язання систем нелінійних рівнянь у пакеті Mathcad 2.2 Розв’язання систем нелінійних рівнянь у пакеті Excel 2.3 Розв’язання систем нелінійних рівнянь на мові С++ Висновок Список використаної літератури Вступ
З розвитком нової обчислюваної техніки інженерна практика наших днів більш часто зустрічається з математичними задачами, точне вирішення яких отримати досить складно чи неможливо. В цих випадках звичайно застосовують ті чи інші наближенні обчислення. Ось чому наближені та чисельні методи математичного аналізу отримали за останні роки широкий розвиток і набули виключно важливе значення. Нові обчислювальні засоби спричинили переоцінку відомих методів вирішення задач з точки зору доцільності їх реалізації на ЕОМ і стимулювали створення більш ефективних. Предметом вивчення обчислювальної математики є чисельні методи вирішення задач математичного аналізу: вивчення алгоритму метода, умови збіжності ітераційних методів, вивчення границь використання методів, дослідження оцінки похибки методів і обчислень. Головним розділом обчислювальної математики є реалізація чисельних методів на ЕОМ, тобто створення програми для потрібного алгоритму і вирішення конкретної задачі за допомогою складеної програми. У даній курсовій роботі я розгляну чисельні методи розв’язання систем нелінійних рівнянь. Серед них метод простих ітерацій та метод Ньютона в різних модифікаціях. Ці методи реалізовані в Mathcad, Excel та на мові програмування С++.
Розділ 1 Чисельні методи розв ’ язання систем нелінійних рівнянь
1.1 Нелінійні рівняння
Нелінійними рівняннями називаються рівняння виду
Тут – Нелінійна алгебраїчна функція виду ; – Трансцендентні функції – тригонометричні, обернені тригонометричні, логарифмічні, показникові и гіперболічні функції; – комбінування цих функцій Розв’язком нелінійного рівняння (1.1.1) є така точка Розв’язання нелінійних рівнянь складається з двох етапів: 1) відокремлення коренів; 2) уточнення коренів нелінійних рівнянь. На першому етапі необхідно дослідити рівняння і з’ясувати є корні чи ні. Якщо корні є, то скільки їх, і потім з’ясувати інтервали, в кожному з яких знаходиться єдиний корінь.
Перший спосіб відокремлення коренів – графічний. Виходячи із рівняння (1.1.1), можна побудувати графік функції Другий спосіб відокремлення коренів нелінійних рівнянь – аналітичний. Процес відокремлення коренів нелінійних рівнянь базується на наступних теоремах. Теорема 1. Якщо функція Теорема 2. Якщо функція Теорема 3. Якщо функція При аналітичному методі дослідження необхідно з’ясувати інтервали монотонності функції 1.2 Система нелінійних рівнянь
Система нелінійних рівнянь має вигляд:
Тут Розв’язання систем нелінійних рівнянь – одна із складних задач обчислювальної математики. Складність полягає у тому, щоб з’ясувати: чи має система розв’язок, і, якщо – так, то скільки. Уточнення розв’зків у заданій області – більш проста задача. Нехай функції 1.3 Метод простих ітерацій
Із вихідної системи (1.2.1) шляхом еквівалентних перетворень переходимо до системи виду:
Ітераційний процес, який визначається формулами
можна почати, задав початкове приближення
Розпишемо першу умову:
Розпишемо другу умову:
Розглянемо один із способів приведення системи (1.2.1) до виду (1.3.1), допустиме збіжній ітерації. Нехай задана система другого порядку виду:
Потрібно привести її до виду:
Множимо перше рівняння системи на невідому постійну
де Далі, помножимо перше рівняння системи на невідому сталу
де Невідомі сталі
Запишемо ці умови більш детально:
Припустимо, що вирази під знаком модуля дорівнюють нулю, і отримаємо систему з чотирьох рівнянь з чотирма невідомими для визначення сталих
При такому виборі параметрів умови збіжності будуть дотримані, якщо часткові похідні функцій Щоб розв’язати систему, потрібно задати початкове приближення Метод простих ітерацій є найбільш універсальним і простим для реалізації на ЭОМ. Якщо система має великий порядок, то застосування даного метода, який має повільну швидкість збіжності, не рекомендується. В цьому випадку, використовують метод Ньютона, який має швидшу збіжність. 1.4 Метод Ньютона для розв ’ язання
Нехай (
маємо ті ж розв’язки, що і вихідне рівняння F(x)=0, і для приближеного знаходження цих розв’язків можна формально записати ітераційний процес
Який має вигляд метода простих ітерацій (1.3.1) при Припустимо
— матриця Якобі вектор-функція F(x). Підставимо це
Цю формулу, що вимагає перетворення матриць на кожній ітерації, можна переписати в неявному вигляді:
Використання (1.4.3) припускає при кожному k = 0,1,2,... розв’ язок лінійної алгебраїчної системи
відносно векторній поправці
До розв’язку таких лінійних систем можна використовувати найрізноманітніші методи як прямі, так і ітераційні в залежності від розмірності n розв’язуваної задачі і специфіки матриць Якобі Порівнюючи (1.4.3) з формальним розкладом F(x) в ряд Тейлера
бачимо, що послідовність (
лінійним рівняння
тобто з покроковою лінеаризацією. Як наслідок цього факту, можна полягати, що при допустимій гладкості F(x) і достатньо гарному початковому наближенні Новим, порівняно з скалярним випадком, фактором, який ускладнює використання метода Ньютона до розв’язання n-вимірних систем, є необхідність розв’язання n-вимірних лінійних задач на кожній ітерації, обчислення яких збільшується зі збільшенням n, тобто кажучи, непропорційно швидко. Зменшення таких затрат є одним з напрямків модифікації метода Ньютона.
1.5 Модифікований метод Ньютона Модифікований метод Ньютона облегшує першу задачу. Модифікація полягає в том, що матриця обчислюється не в кожній точці, а лише в початковій. Якщо матрицю Якобі F'(х) обчислювати і перетворити лише один раз — в початковій точці
Цей метод потребує значно менших обчислень на один ітераційний крок, але ітерації при цьому може потребуватися значно більше для досягнення заданої точності в порівнянні з основним методом Ньютона (1.4.2), оскільки, будучи частковим випадком МПІ ( Компромісний варіант — це обчислення і перетворення матриць Якобі не на кожному ітераційному кроці, а через декілька кроків (інколи такі методи називаються рекурсивними). Наприклад, просте чергування основного (1.4.2) і модифікованого (1.5.1) методів Ньютона приводить до ітераційної формули
де
Доведено, що такий процес при певних умовах призводить до кубічно-збіжних послідовностей ( Розділ 2 Практичне використання методів розв ’ язання систем нелінійних рівнянь
2.1 Розв ’ язання систем нелінійних рівнянь у пакеті Mathcad Оператор solve За допомогою символьного процесу Mathcad можна отримати аналітичний розв’язок системи нелінійних рівнянь. Зробити це можливо двома способами. По-перше, можна скористатися оператором solve (розв’язати). В цьому випадку система повинна бути внесена в його лівий маркер у вигляді вектора. Змінні, значення яких повинно бути знайдено, потрібно ввести через кому в правий маркер оператора solve. Відповідь буде повернена у вигляді матриці, в рядках якої будуть записані корні знайдених розв’язків. Їх послідовність буде така ж, якою була послідовність відповідних змінних в правому маркері оператора solve. Приклад 2.1.1: Розв’язати систему нелінійних рівнянь:
Розв’язання
Блок Given-Find По-друге, можна використати так кажучи обчислювальний блок Given-Find (Given – Дано, Find – розв’язати систему рівнянь). Щоб розв’язати систему рівнянь за допомогою обчислювального блоку, необхідно виконати наступні дії: 1. Наберіть увідне слово Given. 2. Під увідним словом задайте систему рівнянь. 3. Введіть функцію розв’язання системи рівнянь find(x1,x2,…). В дужках через кому задайте змінні в тій послідовності, в якій повинні бути розташовані у відповіді відповідні корні. 4. В якості оператора виводу результату роботи функції find(x1,x2,…) використовуйте оператор символьного виводу « → ». Якщо ж використати оператор виводу « = », то для розв’яку системи, при умові добавлення початкових наближень, буде запущено один із чисельних алгоритмів. Приклад 2.2.1 Розв’язати систему нелінійних рівнянь:
Розв’язок:
Графічна ілюстрація:
Приклад 2.2.2 Розв’язати систему нелінійних рівнянь:
Розв’язання
Розв’язок:
Приклад 2.2.3
Метод простих ітерацій Приклад 2.3.1
Розв’язок:
Метод Ньютона В наступному прикладі метод Ньютона реалізовано у вигляді функції, вхідні параметри якого – вектор початкових наближень і точність обчислень. Приклад 2.4.1
Розв’язок:
Перевірка:
Модифіковані методи Ньютона Приклад 2.5.1
Вектор-матриця заданої системи:
Матриця Λ
Розв’язок:
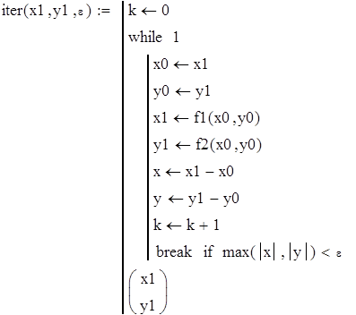
Приклад 2 .5.2 Вводимо вектор-функцію системи рівнянь:
Функція iter(x,y) обчислює наближення до кореня за формулою Ньютона:
Функція norma(x,y,x1,y1) обчислює норму між поточним і наступним: наближенням:
Функція Newton(x,y,eps) знаходить розв’язок системи рівнянь з точність до ерs:
Початкове наближення х=0, у=-1, eps=0.001
Розв’язок системи:
2.2 Розв’язання систем нелінійних рівнянь у пакеті Excel
Також систему нелінійних рівнянь можна розв’язати у пакеті Excel. Саме засіб Пошук рішення дозволяє знаходити рішення систем нелінійних рівнянь. Продемонструю, як це робиться на прикладі рішення наступної системи рівнянь:
Нагадаємо, що пари (х, у) є рішенням системи (*) тоді і тільки тоді, коли вона є рішенням наступного рівняння з двома невідомими:
За допомогою засобу Пошук рішення замість системи (*) треба розв‘язувати рівносильне їй рівняння (**). Помітимо, що геометрично розв‘язок система рівнянь (*) описують точки перетину прямої з колом, радіус якого дорівнює (≈2,236). Отже, рівняння (**) має не більш двох різних розв‘язків. Знайдений засобом Пошук рішення розв‘язок нелінійної задачі залежить від початкового наближення. Тому істотним є вдалий його підбір. У даному випадку локалізувати корені можна, наприклад, протабулювавши ліву частину рівняння (**) по змінних х і у на інтервалі [-2,25; 2,25] із кроком 0.5. Вибір проміжків табуляції визначаються величиною радіуса кола, що дорівнює (≈2,236), а корені рівняння лежать усередині цього кола. Виконаєте наступні кроки: 1. В чарунки діапазонів А2:А11 і B1:К1 уведіть значення змінних х та у, відповідно, використовуючи команду Правка│Заповнити│Прогресія. 2. В чарунку В2 введіть формулу =($А2^2+У$1^2-5)^2+(5*$А2-4*B$1-1)^2, яка дає результат обчислення значення правої частини рівняння (**) при значеннях х и у з чарунок А2 і B1, відповідно. 3. Виберіть чарунку В2, розташуєте покажчик миші на маркері заповнення і заповните діапазон В2:К11.
Рис. 3.1 - Результат табуляції лівої частини рівняння (**) і діалогове вікно Пошук рішення Отже, права частина рівняння протабульована. З рис. 5.15 видно, що за початкове наближення до коренів можна взяти ті значення, що виділені кольором. Тепер можна зробити підготовчу роботу перш, ніж знайти корені за допомогою засобу Пошук рішення . 1. Відведіть чарунки А16:В16 під невідомі х и у для знаходження першого кореня, а А17:В17 — для знаходження другого кореня. 2. Уведіть відповідні значення змінних і розрахункові формули в чарунки А16:С16 і А17:С17 3. Виберіть команду Сервіс | Пошук рішення і заповните діалогове вікно Пошук рішення , як показано на рис. 3.1. 2. Натисніть кнопку Виконати. Засіб Пошук рішення знайде шукані максимально наближені корені рівняння. 3. Аналогічно знайдіть другий корінь. Результати розрахунку приведені на рис. 3.2.
Рис. 3 . 2 – Корені рівняння
Приклад 3.1:
2.3 Розв’язання систем нелінійних рівнянь на мові С++
Метод простих ітерацій з поліпшенням Зейделя Текст програми на мові С++: #include <vcl.h> #include <math.h> #include <vcl.h> #pragma hdrstop #include "Unit1.h" //--------------------------------------------------------------------------- #pragma package(smart_init) #pragma resource "*.dfm" TForm1 *Form1; //--------------------------------------------------------------------------- __fastcall TForm1::TForm1(TComponent* Owner) : TForm(Owner) { } float x1(float x[2]){ return sqrt(1-0.7*x[1]*x[1]);} float x2(float x[2]){ return (x[1]+tan(x[0]*x[1]+1)-x[1]*x[1]);}
//---------------------------------------------------------------------------
void __fastcall TForm1::Button1Click(TObject *Sender) { float x[2],y[2],E,q; int n=2,kmax,k; x[0]=StrToFloat(Edit1->Text); x[1]=StrToFloat(Edit2->Text); E=StrToFloat(Edit3->Text); kmax=StrToInt(Edit4->Text); k=0; do{ k=k+1; for (int i=0;i<2;i++) y[i]=x[i]; if(x[1]<=-1) { x[0]=x[0]+2.0/3*(x[0]*x[0]+0.7*x[1]*x[1]-1); x[1]=-sqrt(tan(x[0]*x[1]+1)); } if(x[1]>-1 && x[1]<=0) { x[0]=sqrt(1-0.7*x[1]*x[1]); x[1]=-sqrt(tan(x[0]*x[1]+1)); } if(x[1]>=0 && x[1]<1) { x[0]=x[0]+1.0/3*(x[0]*x[0]+0.7*x[1]*x[1]-1); x[1]=sqrt(tan(x[0]*x[1]+1)); } if(x[1]>=1) { x[0]=x[0]-1.0/3*(x[0]*x[0]+0.7*x[1]*x[1]-1); x[1]=sqrt(tan(x[0]*x[1]+1)); } q=1.0/n*(fabs(x[0]-y[0])+fabs(x[1]-y[1])); } while(q>E && k<kmax); AnsiString f; Memo1->Lines->Add("x1 = "+f.sprintf(" %5.10f", x[0])); Memo1->Lines->Add("x2 = "+f.sprintf(" %5.10f", x[1])); Memo1->Lines->Add("Достигнутая точность = "+f.sprintf(" %5.10f", q)); Memo1->Lines->Add("Количество итераций: "+IntToStr(k)); } //---------------------------------------------------------------------------
Вікно виконання програми:
Метод Ньютона
Текст програми на мові С++: #include <vcl.h> #include <iostream.h> #include <stdlib.h> #include <conio.h> #include <string.h> #include <stdio.h> #include <iomanip.h> #include <math.h> #pragma hdrstop //--------------------------------------------------------------------------- #pragma argsused double Nuton(double*p,int n,double*x,double X) { double s=p[n-1]; for(int i=n-2;i>=0;i--) s=p[i]+(X-x[i])*s; return s; } void Nuton1(double*x,double*y,int n,double*p) { for(int j=0;j<n-1;j++) { p[j]=(y[j+1]-y[j])/(x[j+1]-x[j]); // cout<<p[j]<<"\t"; } // cout<<"\n"; int m=n-1; int l=2; int k; int j; int i; for(int i=n-2;i>=1;i--) { k=0; for(j=1;j<=i;j++) { p[m]=(p[m-i]-p[m-i-1])/(x[k+l]-x[k]); // cout<<p[m]<<"\t"; m++; k++; } // cout<<"\n"; l++; } j=0; for(i=1;i<n;i++) { y[i]=p[j]; j=j+(n-i); } } void main() { int const n=5,N=(n-1)*n/2; double x[]={1,2,3,4,5}; double y[n]; for(int i=0; i<n; i++) y[i]=1+2*x[i]+3*pow(x[i],2)+4*pow(x[i],3)+5*pow(x[i],4); double *p=new double[N]; Nuton1(x,y,n,p); //for (i=0;i<n;i++) cout<<y[i]<<'\t'; double z=1.5; cout<<Nuton(y,n,x,z)<<'\t'<<1+2*z+3*pow(z,2)+4*pow(z,3)+5*pow(z,4)<<'\n'; getch(); } Вікно виконання програми:
Висновок
У даній курсовій роботі я описала методи розв’язання систем нелінійних рівнянь, а також навела приклади їх реалізації. В пакеті Mathcad для розв’язання систем нелінійних рівнянь я використала оператор solve, обчислювальний блок given – find, метод простих ітерацій, метод Ньютона та два модифіковані методи Ньютона, в яких на відміну від метода Ньютона матриця Якобі знаходилась не на кожному кроці, а тільки на початковому. В пакеті Excel розв’язати систему нелінійних рівнянь можна за допомогою засобу «Пошук рішення», в якому замість системи рівнянь необхідно розв’язати рівносильне їй рівняння. Також моє знання мови програмування С++ дозволило мені продемонструвати приклади розв’язання систем нелінійних рівнянь методом ітерацій та методом Ньютона саме мовою програмування С++.
Список використаної літератури
1. Ю.Ю Тарасевич «Численные методы на Mathcad’e» 2. Д. Гурский, Е. Турбина «Вычисления в Mathcad» 3. Б. Демидович «Основы вычеслительной математики» 4. О. Кваша «Численные методы» 5. В.Н. Тарасов, Н.Ф. Бахарева «Численные методы» |
||||||||||||||||||||||||||||||||||||||||||||||||||||||||||||||||||||||||||||||||||||||||||||||||||||||||||||||||||||||||||||||||||||||||||||||||||||||||||||||||||||||||||||||||||||||||||||||||||||||||||||||||||||||||||||||||||||||||||||||||||||||||||||||||||||
(1.2.1)
(1.3.1)
,
чи
.
при
при
при
при
.
.
и
.

.
і
,
,
,
(1.5.3)






























