Реферат: Принятие решений в условиях риска 2
|
Название: Принятие решений в условиях риска 2 Раздел: Рефераты по менеджменту Тип: реферат | ||||||||||||||||||||||||||||||||||||||||
| ФЕДЕРАЛЬНОЕ АГЕНТСТВО ПО ОБРАЗОВАНИЮ ГОСУДАРСТВЕННОЕ ОБРАЗОВАТЕЛЬНОЕ УЧРЕЖДЕНИЕ ВЫСШЕГО ПРОФЕССИОНАЛЬНОГО ОБРАЗОВАНИЯ «САНКТ- ПЕТЕРБУРГСКИЙ ГОСУДАРСТВЕННЫЙ УНИВЕРСИТЕТ ЭКОНОМИКИ И ФИНАНСОВ» ФАКУЛЬТЕТ ЭКОНОМИКИ И УПРАВЛЕНИЯ КАФЕДРА ПРОИЗВОДСТВЕННОГО МЕНЕДЖЕНТА И ЭКОНОМИКИ ПРЕДПРИЯТИЯ КУРСОВАЯ РАБОТА Принятие решений в условиях риска Наименование работы По дисциплине «Управленческие решения» Выполнил студент _________________ ________________ ФИО ___413____ группы_____4_____курса Руководитель _________________к. э. н., доцент_________________________ (ученая степень, ученое звание) _________________ _____________________ ФИО __________________________________________________________________ оценка, дата, подпись САНКТ-ПЕТЕРБУРГ 2008 Содержание Введение ……………………………………………….…………………….……3 Глава 1. Понятие и сущность управленческих решений………………5 1.1 Функции решения в организации процесса управления. 6 1.2 Условия и факторы качества управленческих решений. 11 1.3 Принятие решений в условиях риска. 14 2.1 Краткая характеристика предприятия Ленавтогаз………………...……. 17 2.2 Разработка и принятие решения в условиях риска……………...………20 2.3 Способы оценки степени риска…………………………………….. .......25 Список используемой литературы: 36 Введение «Менеджмент является принятием решения, и его наибольшее внимание должно быть направлено на анализ того, как принимаются решения, и как они могут приниматься более эффективно».[1] В условиях рыночной экономики степень неопределенности экономического поведения субъектов рынка достаточно высока. В связи с этим большое практическое значение приобретают методы перспективного анализа, когда нужно принимать управленческие решения, оценивая возможные ситуации и делая выбор из нескольких альтернативных вариантов. Принятие решений, так же как и обмен информацией, - составная часть любой управленческой функции. Необходимость принятия решений возникает на всех этапах процесса управления, связана со всеми участками и аспектами управленческой деятельности В системах управления технологическими процессами существуют проблемы, связанные с решением задач оценки эффективности управления такими системами с учетом характеристик надежности, стойкости, работоспособности объектов управления. Решение таких задач относят к задачам принятия решений в условиях риска. На сегодняшнее время задача управления технологическими процессами является актуальной, так как развитие измерительной, микропроцессорной техники и компьютерных технологий дают возможность увеличить их надежность и экономичность. Вместе с этим принятие решений усложнено отсутствием единственного определения понятия риска и методов его оценки. Риски — непременная составляющая деловой жизни, а управление ими — часть той масштабной работы, которую ведет любая компания. Оценка рисков и неопределенности при планировании позволяет компаниям заранее определить и смягчить потенциальные потери, обеспечивая основу для принятия качественных решений и внесения улучшений в управленческий процесс. Я считаю, что эта тема очень актуальна в наше время, когда любой неправильный и непродуманный шаг может привести к непоправимой ситуации. В данной работе я попытаюсь дать наиболее точное определение принятия решений в условиях риска, рассмотрю наиболее важные аспекты деятельности предприятия «Ленавтогаз», где каждый шаг несет за собой принятие оптимального решения в условиях постоянного риска. Глава 1. Понятие и сущность управленческих решений. Субъект управления (будь то индивид или группа) принимает решение исходя не из своих собственных потребностей, а в целях решения проблем конкретной организации. Частный выбор индивида сказывается на его собственной жизни и может повлиять на немногих близких ему людей. Менеджер, особенно высокого ранга, выбирает направление действий не только для себя, но и для организации в целом и её работников, и его решения могут существенно повлиять на жизнь многих людей. Если организация велика и влиятельна, решения её руководителей могут серьёзно отразиться на социально – экономической ситуации целых регионов. Например, решение закрыть нерентабельное предприятие компании может существенно повысить уровень безработицы. Если в частной жизни человек, принимая решение, как правило, сам его и выполняет, то в организации существует определённое разделение труда: одни работники (менеджеры) заняты решением возникающих проблем и принятием решений, а другие (исполнители) – реализацией уже принятых решений. В частной жизни каждый человек самостоятельно принимает решения в силу своего интеллекта и опыта. В управлении организацией принятие решений – гораздо более сложный, ответственный и формализованный процесс, требующий профессиональной подготовки. Далеко не каждый сотрудник организации, а только обладающий определёнными профессиональными знаниями и навыками, наделяется полномочиями самостоятельно принимать определённые решения. Рассмотрев эти отличительные особенности принятия решений в организациях, можно дать следующее определение управленческого решения.
Управленческое решение – это выбор альтернативы, осуществлённый руководителем в рамках его должностных полномочий и компетенции и направленный на достижение целей организации. Все действия менеджера – это принятие решений.
1.1 Функции решения в организации процесса управления. Под управлением понимают целенаправленное воздействие на коллективы людей для организации и координации их деятельности по достижению целей организации.[2] Другими словами, управление представляет собой целенаправленный процесс воздействия, а такое воздействие возможно, если сформулировать цели, известны правила принятия решений и информация, на основании которой оно принимается. Управленческим является не каждое решение руководителя, а только такое, которое, как минимум: 1. принято в ситуации выбора между несколькими альтернативами, приблизительно равноценными с точки зрения человека, принимающего решение (приходится выбирать не «между хорошим и плохим»); 2. воспринимается теми, на кого оно влияет, в качестве обязательного к исполнению(нельзя играть роль руководителя, если никто не принимает роли подчиненного). Если не выполняется первое условие, мы имеем дело с так называемым ритуальным управлением, когда руководитель лишь изображает управление, в по существу его решения полностью продиктованы другими лицами или не зависящими от руководителя обстоятельствами. Если не выполняется второе условие, то мы имеем дело с управленческой утопией (за исключением случаев, когда кто-либо управляет, не принимая роли руководителя), а не с реальным управлением. С другой стороны, управление описывается взаимосвязью «цель-решение», которая не является однозначной из-за большого числа путей, ведущих к одной и той же цели. Особенно это справедливо для иерархического представления целей (дерева целей). На самом высоком уровне находятся цели, носящие директивный характер (траекторные цели). Они отражают стратегию управления предприятием. Ниже находятся рабочие цели, которые вырабатываются ЛПР. Рабочие цели подчинены траекторной цели и детализируют ее в зависимости от уровня управления. Кроме траекторных и рабочих целей существуют и ситуационные цели, которые формулируются в зависимости от конкретной ситуации, возникающей на данном уровне управления. Таким образом, на процесс принятия решений оказывает влияние вся совокупность целей (траекторных, рабочих, ситуационных) и информация, которая поступает после анализа ситуации. Место решения в этой цепи показано на рис. 1. Активность системы связанная с основными моментами любого управленческого процесса – с целевой функцией (целью), возникающей ситуацией, отклонением (проблемой) и решением[3] . Рис. 1 Место решения в процессе управления Цель – идеальное, мысленное предвосхищение результата деятельности. Содержание цели зависит от реальных возможностей субъекта и приемлемых средств для ее достижения. Под ситуацией понимают состояние объекта управления относительно выбранной цели. Ситуация – это состояние управляемой системы, оцениваемое относительно цели. Проблема в процессах управления – это противоречие цели и ситуации, разрешение которого определяет изменения ситуации в направлении принятой цели. Управленческое решение представляет собой устранение противоречия, возникающего между ситуацией и целью. Оно понимается как единовременный акт окончательного выбора одного из возможных вариантов действия и является результатом деятельности менеджера, основные функции которого заключаются в анализе информации о внутренней и внешней среде организации, о ее сильных сторонах и принятии решений для достижения целей организации.
Рис. 2 Схема процесса принятия решения. Схема процесса принятия решения включает: корректировку целей, анализ проблемы, прогнозирование, определение вариантов действия (анализ альтернатив), выбор наилучшего варианта (решение), организационно-практическую работу по реализации этого решения. Процесс разработки и принятия управленческого решения является составной частью более общего управленческого процесса, который так же, как и любой производственный процесс подразделяется на основной, вспомогательный и обслуживающий. Только здесь в качестве предмета труда выступает управленческое решение, информация, нормативно-технический или управленческий документ. Если операция направлена на изменение любого параметра управленческого решения, то этот процесс будет основным. К обслуживающим управленческим процессам относятся процессы по накоплению, контролю и передаче управленческого решения. К вспомогательным – все те, которые создают условия для протекания основных и обслуживающих процессов[4] . Опишем подробнее основной процесс принятия решений. Любая целенаправленная деятельность человека неразрывно связана с процессами планирования. В свою очередь, любой процесс планирования можно представить в виде последовательности процессов принятия решений, причем, каждое решений есть результат определенной плановой задачи, и может быть представлен в виде логической схемы рис. 3.
Представление планирования как комплекса решаемых задач универсального и характеризуется тем, что, во-первых, не зависит от содержания планируемого объекта; во-вторых, допускает иерархическое представление; в-третьих, решение задачи, может быть увязано с любым конечным интервалом времени. Справедливо и обратное утверждение: задачу принятия решений можно трактовать как задачу выбора варианта плана, а процесс принятия решений в целом – как процесс разработки плана.
1.2 Условия и факторы качества управленческих решений. Принятие решений характерно для любых видов деятельности, и от него зависит эффект работы как отдельного человека, так и группы людей. Поэтому управленческое решение следует рассматривать как основной фактор эффективной деятельности организации. Таким образом, эффективность деятельности зависит прежде всего от менеджмента в организации, от качества принимаемых менеджерами решений. Качество управленческого решения определяется совокупностью свойств, которыми обладает управленческое решение, отвечающих в той или иной мере потребностям успешного разрешения проблем, например, своевременность, адресность, конкретность. Прежде всего, эффективность управленческого решения определяется качеством различных видов информации – экономической, организационной, финансовой и других. Качество информации зависит от ее объема и достоверности, которые, в свою очередь, определяются затратами на получение, обработку и хранение информации. В своей деятельности менеджеры используют следующие виды информации: постоянную и переменную, нормативную, аналитическую и статистическую, текстовую и графическую, первичную и вторичную, директивную, распорядительную, отчетную. Ценность информации зависит от постановки задачи для принятия управленческого решения: чем конкретнее сформулирована проблема, тем более конкретная информация необходима. Чтобы сформулировать правильное решение проблемы, менеджер не должен стремиться к немедленному ее решению, часто это просто невозможно, а должен изучить причины возникновения проблемы на основе имеющейся внутренней и внешней информации. На качество управленческого решения влияет время, необходимое для принятия и осуществления решения. Говорят, что «решение нужно принимать быстро, но не опережать время»[5] . Время, необходимое для принятия решения, зависит от средств и ресурсов самой организации, системы мотивации, социально-психологического климата. В процессе выработки решения необходимо учитывать , что единство цели и средств ее достижения являются необходимым условием управленческого решения, объективной предпосылкой его выполнения. Принятию управленческого решения предшествует возникновение проблемной ситуации, при которой, по мнению управляющего , расхождение между желаемым и действительным положением дел может быть преодолено принятием и реализацией удачного управленческого решения. Общая закономерность такова, что чем раньше предугадано и распознано возникновение проблемной ситуации, тем меньше управленческих усилий потребуется для ее разрешения. И, наоборот, даже самая несложная проблемная ситуация не может быть успешно разрешена, если время непоправимо упущено. На стадии принятия управленческого решения осуществляется оценка альтернативных решений и действий, проводимых на основе многовариантных расчетов, проводится отбор критериев выбора оптимального решения, выбор и принятие наилучшего решения. При этом выработка решения должна базироваться на определенных требованиях. Первым и наиболее важным требованием к управленческому решению является его научная обоснованность. Это применение системного анализа в процессе разработки решения, учет всех внутренних и внешних факторов на основе достоверной информации. Второе требование заключается в том, что в решении необходимо выделять основное звено, чтобы решение было непротиворечивым и исходило из общих, принципиальных позиций, оно должно быть своевременным, и что не менее важно, лаконичным, конкретным, и адресным. Наконец, решение должно иметь свою направленность и соответствующую полномочность. Оно должно приниматься органами или лицом, имеющим на это право, а направленность характеризует широту охвата структуры элементов системы, а также длительность действия. Наконец, качество самого решения зависит от предшествующего опыта, т.е. от наличия обратной связи. Другая характеристика качества принятия управленческих решения – это его действенность. Оно должно включать в себя систему организационных мероприятий и стимулов, направленных на его исполнение.[6] Уровень действенности решений зависит, с одной стороны, от степени его обоснованности, а с другой стороны, от эффективности того морального и материального вознаграждения, которое последует от внедрения намеченного новшества в практику работы фирмы.[7]
· информация; · время, необходимое для разработки и осуществления решения; · применение современных научных подходов к менеджменту (системный, ситуационный, комплексный, процессный, динамический подходы); · применение методов моделирования (логические, математические, физические модели); · системы поддержки принятия решений; · мотивация качественного решения.
1.3 Принятие решений в условиях риска. Классификация методов разработки и принятия решений основывается на предположении, что процесс управления объектом состоит из совокупности процессов принятия решений и их реализации. Выделяют следующие методы разработки и принятия решений: диагностика проблем, разработка альтернатив (способов действия по достижению цели), выбора альтернатив и выполнения (реализации) решения.
Рис. 4 Классификация методов принятия решений. Методы выбора альтернатив представлены на рис. 5. Основой их классификации является состояние знания о сущности явлений, которые формируют понятие среды принятия управленческих решений.
Условия риска характеризуются таким состоянием знания о сущности явления, когда ЛПР известны вероятности возможных последствий реализации каждой альтернативы. Эта ситуация встречается на практике наиболее часто. Здесь пользуются вероятностным подходом, предполагающим прогнозирование возможных исходов и присвоение им вероятностей. При этом пользуются: а) известными, типовыми ситуациями (типа - вероятность появления герба при бросании монеты равна 0.5); б) предыдущими распределениями вероятностей (например, из выборочных обследований или статистики предшествующих периодов известна вероятность появления бракованной детали); в) субъективными оценками, сделанными аналитиком самостоятельно либо с привлечением группы экспертов. Последовательность действий аналитика в этом случае такова: · прогнозируются возможные исходы Ak , k = 1 ,2 ,....., n; · каждому исходу присваивается соответствующая вероятность pk , причем · Е рк = 1 · выбирается критерий (например максимизация математического ожидания прибыли ); · выбирается вариант, удовлетворяющий выбранному критерию. Риск-менеджмент — специальная форма предпринимательской деятельности. Осуществляют ее профессиональные институты специалистов, страховые компании, финансовые менеджеры. Одна из основных сфер риск-менеджмента — страховой рынок, где объектом купли-продажи выступают страховые услуги, предоставляемые организациям и отдельным гражданам преимущественно страховыми компаниями и негосударственными пенсионными фондами. Основные приемы риск-менеджмента при принятии управленческих решений:
Наиболее распространенные приемы для снижения степени риска:
Таким образом, в процессе разработки и принятия управленческих решений в условиях неопределенности и риска менеджер сталкивается с необходимостью проведения анализа существующих рисков, а также осуществления мероприятий, связанных с избежанием, удержанием, передачей рисков или снижения их степени. Кроме того, в условиях неопределенности и риска менеджеру необходимо использовать специальные приемы и методы разработки и принятия решений.
Глава 2. Принятие решений в условиях риска на примере ООО «Газпром трансгаз Санкт- Петербург» филиал Ленавтогаз. 2.1 краткая характеристика предприятия. Филиал «Ленавтогаз» образован в ноябре 2006 года. Штатная численность персонала на 14.10.2008 составляет 184 человека. Филиал осуществляет деятельность по реализации компримированного природного газа (КПГ) через сеть автомобильных газонаполнительных компрессорных станций (АГНКС). В состав филиала входят 10 АГНКС и 2 центра по переоборудованию автомобилей на газ (ЦПА). (ЦПА)
(АГНКС)
Данные объекты перешли к филиалу «Ленавтогаз» от материнской компании ООО «Газпром трансгаз Санкт-Петербург». К сожалению, филиал «Ленавтогаз» является молодой организацией (функционирует всего два года), поэтому говорить об его истории и его этапах развития пока не актуально. Миссия «Ленавтогаз» заключается в максимально эффективном и сбалансированном снабжении компримированным природным газом владельцев автотранспорта северо-запада РФ через сеть АГНКС. Стратегическая цель – увеличение доли целевого рынка, занимаемой «Ленавтогазом» в секторе реализации моторного топлива, а так же обеспечение коммерческой эффективности основной деятельности (выход на прибыльность деятельности, рост рентабельности продукции компании, снижение накладных расходов и себестоимости КПГ). Продукция нашей компании - компримированный природный газ, является наиболее дешевым и экологически чистым из используемых в настоящее время видов моторного топлива. Большие запасы природного газа в РФ позволяют рассматривать его, как один из наиболее перспективных видов топлива для автомобилей в нашей стране. Несмотря на давнюю историю газомоторного дела в России, на сегодня этот вид топлива не имеет широкого распространения на транспорте. Особенно плачевна ситуация в северо-западном регионе. Связано это в основном с кризисом, постигшем подотрасль в постперестроечный период развития страны. Деятельность «Ленавтогаз» по реализации природного газа через сеть автомобильных газонаполнительных компрессорных станций, на данный момент является убыточной. Только в 2007 году убытки составили 110 млн. рублей. Мощности АГНКС задействованы только на 8%. На сегодня важными задачами компании в сфере газомоторного бизнеса являются: выведение сети автомобильных газонаполнительных компрессорных станций на уровень положительной рентабельности и дальнейшее расширение применения природного газа в качестве моторного топлива. В настоящее время в сегменте реализации КПГ имеются высокие постоянные затраты и значительные свободные мощности, загрузка «Ленавтогаз» за 2007 год составила около 7%. Свободные мощности велики, в том числе не только на АГНКС, но и на ЦПА. Подобная ситуация заставляет заниматься непрофильными видами деятельности (переоборудование автотранспорта на пропан-бутановое топливо). ЦПА – можно рассматривать как поставщика дополнительных составляющих, существенно влияющего на успех и популярность переоборудования автотранспорта на КПГ, что в конечном счете влияет на показатели реализации КПГ и загрузки АГНКС. Важно, чтобы разрешение на перевод автотранспорта на пропан-бутановое топливо не повлияло на желание потенциальных потребителей перейти на КПГ.
Источник конкурентного преимущества «Ленавтогаз» - в наличии уникального поставщика исходного ресурса – компримированного природного газа, дорогостоящего оборудования (сеть АГНКС и ЦПА), навыках по переоборудованию автотранспорта на КПГ (подтвержденных соответствующими лицензиями). Кроме того, выгодно расположение по отношению к источникам сырья (но не к потребителям - сеть АГНКС по Северо-западу ограничена 11 станциями).
2.2 Разработка и принятие решения в условиях риска Одно из главных правил управленческой деятельности гласит: не избегать риска, а предвидеть его, стремясь снизить до возможно более низкого уровня. Это требует грамотного управления рисками, т.е. своевременного предвидения, заблаговременного выявления неопределенностей и их последствий на деятельность организации для разработки и реализации УР по их уменьшению. Организация процесса управления риском и снижением неопределенностей представлена на рис.1. Для анализа риска нужна прежде всего, быстрая и достоверная информация. В условиях более жесткой конкуренции, вызванной глобализацией рынков, победу будут одерживать не крупные предприятия над малыми, а динамичные над медленно реагирующими на изменение обстановки. Второй этап управления риском — выявление риска. Для того чтобы выявить, оценить риск и принять соoтветствующее решение по его снижению, необходимо cобрать исходную информацию об объекте — носителе риска. Эта стадия включает два этапа: отбор информации о структуре объекта и выявление опасностей или инцидентов. Основные методы получения исходной информации об исследуемых объектах:
Рис.1 Схема управления рисками.
В условиях неопределенности на рынке газомоторного топлива, проблема принятия управленческого решения в условиях риска для Ленавтогаз весьма актуальна. Сооружение новых АГНКС или центров по переоборудованию автомобилей на газ требуют очень весомых затрат. Например, на АГНКС в среднем уходит 25-35 млн. руб., а на центр по переоборудованию 45-50 млн. руб. Проект по вводу новой АГНКС прорабатывается заместителем директора и главным инженером, которые рассматривают вопрос с разных сторон в силу своей специфики. Экономической стороной вопроса занимается зам директора, поэтому рассмотрим подробней его действия: · проводит изучение внешней среды новой местности · подсчитывает затраты · рассчитывает ожидаемую прибыль · проводит анализ рисков Маркетинговый отдел проводит SWOT- анализы. Подобный SWOT- анализ проведен мною для газомоторного топлива для северо-запада России. Рис.2 Полученный проект координируется директором филиала, который передает его в головной офис ООО «Газпром трансгаз Санкт-Петербург» для принятия окончательного решения. В случае положительного исхода проект датируется из «Газпром трансгаз Санкт-Петербург». Как мы видим, проект проходит много стадий, что избавляет руководство от принятия необдуманного , поспешного решения. Конечно, у этой системы есть и свои минусы как, например, значительное удаление центра принятия окончательного решения от самой причины возникновения вопроса, но все же положительных моментов значительнее больше.
Рис.2
2.3 Способы оценки степени риска.
При принятии управленческих решений требуется оценить степень риска и определить его величину. Степень риска — это вероятность наступления случая потерь, а также размер возможного ущерба от него. Риск предпринимателя количественно характеризуется субъективной оценкой вероятной (т.е. ожидаемой), величины максимального и минимального дохода (убытка) от данного вложения капитала. При этом, чем больше диапазон между максимальными минимальным доходом (убытком) при равной вероятности их получения, тем выше степень риска . Риск представляет собой действие в надежде на счастливый исход по принципу «повезет — не повезет». Принимать на себя риск предпринимателя вынуждает прежде всего неопределенность хозяйственной ситуации, т.е. неизвестность условий политической и экономической обстановки, окружающей ту или иную деятельность, и перспектив изменения этих условий. Чем больше неопределенность хозяйственной ситуации при принятии решения, тем больше и степень риска. Неопределенность хозяйственной ситуации обусловливается следующими факторами: отсутствием полной информации, случайностью, противодействием. Отсутствие полной информации о хозяйственной ситуации и перспектив ее изменения заставляет предпринимателя искать возможность приобрести недостающую дополнительную информацию, а при отсутствии такой возможности начать действовать наугад, опираясь на свой опыт и интуицию. Случайность во многом определяет неопределенность хозяйственной ситуации. Случайность — это то, что в сходных условиях происходит неодинаково, и поэтому ее заранее нельзя предвидеть и спрогнозировать. Однако при большом количестве наблюдений за случайностями можно обнаружить, что в мире случайностей действуют определенные закономерности. Математический аппарат для изучения этих закономерностей дает теория вероятности. Случайные события становятся предметом теории вероятности только тогда, когда с ними связываются определенные числовые характеристики — их вероятности. Случайные события в процессе их наблюдения повторяются с определенной частотой. Частота случайного события представляет собой отношение числа появлений этого события к общему числу наблюдений. Частота обычно обладает статистической устойчивостью в том смысле, что при многократном наблюдении ее значения мало меняются. Таким образом, частоты случайного события как бы группируются около некоторого числа. Устойчивость частоты отражает некоторое объективное свойство случайного события, заключающееся в определенной степени его возможности. Мера объективной возможности случайного события А называется его вероятностью. Именно около числа этой вероятности группируются частоты события А. Вероятность любого события колеблется от 0 до 1,0. Если вероятность равна нулю, то событие считается невозможным. Если же вероятность равна единице, то событие определяется как достоверное. Вероятность позволяет прогнозировать случайные события. Она дает им количественную и качественную характеристику. При этом уровень неопределенности и степень риска уменьшаются. Противодействие также во многом определяет неопределенность хозяйственной ситуации. На любое действие всегда имеется противодействие. К противодействиям относятся катастрофа, пожар и другие природные явления, война, революция, забастовка, различные конфликты в трудовых коллективах, конкуренция, нарушения договорных обязательств, изменение спроса, аварии, кражи и т.п. Предприниматель в процессе своих действий должен выбрать такую стратегию, которая позволит ему уменьшить степень противодействия, что, в свою очередь, снизит и степень риска. Математический аппарат для выбора стратегии в конфликтных ситуациях дает теория игр. Она позволяет предпринимателю или менеджеру лучше понимать конкурентную обстановку и свести к минимуму степень риска. Анализ с помощью приемов теории игр побуждает предпринимателя (менеджера) рассматривать все возможные альтернативы как своих действий, так и стратегии партнеров, конкурентов. Формализация данного процесса позволяет улучшить понимание проблеме целом. Таким образом, теория игр — собственно наука о риске. Теория игр позволяет решать многие экономические проблемы, связанные с выбором, определением наилучшего положения, подчиненного только некоторым ограничениям, вытекающим из условий самой проблемы. Риск имеет математически выраженную вероятность наступления потери, которая опирается на статистические данные и может быть рассчитана с достаточно высокой степенью точности. Чтобы количественно определить величину риска, необходимо знать все возможные последствия какого-нибудь отдельного действия и вероятность самих последствий. Вероятность — это возможность получения определенного результата. Применительно к экономическим задачам методы теории вероятности сводятся к определению значений вероятности наступления событий и к выбору из возможных событий самого предпочтительного исходя из наибольшей величины математического ожидания. Иначе говоря, математическое ожидание какого-либо события равно абсолютной величине этого события, умноженной на вероятность его наступления. Например, у «Ленавтогаз» имеются два варианта вложения капитала. Установлено, что при вложении капитала в газозаправку на в районе А получение прибыли в сумме 25 тыс. руб. имеет вероятность 0,6, а при вложении капитала в газозаправку в районе Б получение прибыли в сумме 30 тыс. руб. имеет вероятность 0,4. Тогда ожидаемое получение прибыли от вложения капитала (т.е. математическое ожидание) составит: по району А — 15 тыс. руб. (25 х 0,6); по району Б — 12 тыс. руб. (30 х 0,4). Вероятность наступления события может быть определена с помощью :
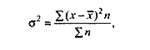
Величина риска (степень риска) измеряется двумя критериями. 1. среднее ожидаемое значение; 2. изменчивость (колеблемость) возможного результата. Среднее ожидаемое значение связано с неопределенной ситуацией. Среднее ожидаемое значение — это средневзвешенное для всех возможных результатов, где вероятность каждого результата используется в качестве частоты или веса соответствующего значения. Среднее ожидаемое значение измеряет результат, который мы ожидаем в среднем. Например, если известно, что при вложении капитала в (АГНКС) А из 120 случаев прибыль 25 тыс. руб. была получена в 48 случаях (вероятность 0,4), прибыль 20 тыс. руб. была получена в 36 случаях (вероятность 0,3) и прибыль 30 тыс. руб. была получена в 36 случаях (вероятность 0,3), то среднее ожидаемое значение составит 25 тыс. руб. (25 х 0,4 + 20x0,3 + 30x0,3). Аналогично можно вычислить, что при вложении капитала в (АГНКС) Б средняя прибыль составила 30 тыс. руб. (40 х 0,3 + 30 х 0,5 + + 15 х 0,2). Сравнивая две суммы ожидаемой прибыли при вложении капитала в (АГНКС) А и Б, можно сделать вывод, что при вложении в газозаправку А величина получаемой прибыли колеблется от 20 до 30 тыс. руб. и средняя величина составляет 25 тыс. руб.; при вложении капитала в газозаправку Б величина получаемой прибыли колеблется от 15 до 40 тыс. руб. и средняя величина составляет 30 тыс. руб. Средняя величина представляет собой обобщенную количественную характеристику и не позволяет принять решения в пользу какого-либо варианта вложения капитала. Изменчивость возможного результата представляет собой степень отклонения ожидаемого значения от средней величины. Для этого на практике обычно применяют два близко связанных критерия: дисперсию и среднее квадратическое отклонение. Дисперсия представляет собой среднее взвешенное из квадратов отклонений действительных результатов от средних ожидаемых:
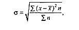
где а2 — дисперсия; Среднее квадратическое отклонение определяется по формуле
где а — среднее квадратическое отклонение. При равенстве частот имеем частный случай:
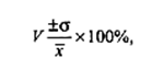
Среднее квадратическое отклонение — именованная величина и указывается в тех же единицах, в каких измеряется варьирующий признак. Дисперсия и среднее квадратическое отклонение — меры абсолютной колеблемости. Для анализа обычно используют коэффициент вариации. Он представляет собой отношение среднего квадратического отклонения к средней арифметической и показывает степень отклонения полученных значений:
где V— коэффициент вариации, %; Коэффициент вариации — относительная величина. Поэтому на его размер не оказывают влияния абсолютные значения изучаемого показателя. С помощью коэффициента вариации можно сравнивать даже колеблемость признаков, выраженных в разных единицах измерения. Коэффициент вариации может изменяться от 0 до 100 %. Чем больше коэффициент, тем сильнее колеблемость. Установлена следующая качественная оценка различных значений коэффициента вариации :
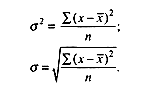
Можно применять также несколько упрощенный метод определения степени риска. Количественно риск инвестора характеризуется оценкой им вероятной величины максимального и минимального доходов. Чем больше диапазон между этими величинами при равной их вероятности, тем выше степень риска. Поэтому для расчета дисперсии, среднего квадратического отклонения и коэффициента вариации можно использовать следующие формулы:
где а2 —дисперсия; Риском можно управлять, т.е. использовать различные приемы, позволяющие в определенной степени прогнозировать наступление рискового события и принимать меры к снижению степени риска. Эффективность организации управления риском во многом определяется классификацией риска./p>
Заключение Подводя итог проделанной работе, необходимо проследить, насколько она соответствует поставленной цели, которая заключалась в том, чтобы понять и оценить эффективность управленческих решений, как в целом, так и на фирме, где я проходил производственную практику. С поставленной задачей, на мой взгляд, я справился. В первой главе было описано, что такое управленческие решения, по каким критериям они оцениваются, какие факторы на них влияют, что определяет эффективность управленческих решений и принятие решений в условиях риска. Вторая глава является практической частью работы. В ней отражена методика принятия управленческих решений, которую возможно применить на предприятии где я проходил практику. Подводя итог, хочу отметить тот факт, что с учетом возможной реализацией предложенных мероприятий «Ленавтогаз» вполне способен закрепиться на более выгодном месте на рынке, и даже расширить свою нишу путем проведения хорошо продуманных и спланированных рекламных акций. При благоприятных условиях развития ситуации на рынке, учитывая темпы роста самого рынка, а также иссякающие запасы нефти, можно предположить, что в дальнейшем фирма упрочит свое положение на рынке и сможет на равных конкурировать с производителями традиционных видов топлива. Для стабильного активного развития в существующей ситуации необходим постоянный приток инвестиций, а это всегда риск, в развитие газомоторной инфраструктуры и парка техники, работающей на природном газе, активная маркетинговая политика, а также согласованные действия руководства, персонала АГНКС и работников ЦПА. Стратегия развития в классическом понимании основана на разработке конкурентной стратегии как стержневого элемента. Ввиду того, что рынок как предложения КПГ на АГНКС, так и ЦПА, представлен единственным продавцом – «Ленавтогазом», вести речь о конкуренции как таковой, трудно. Предприятия, готовые переоборудовать автотранспорт на метан имеются, но для стабильной работы им практически всегда необходимы партнерские отношения с «Ленавтогазом».
Список используемой литературы: 1. Цыгичко В.Н. Руководителю - о принятии решений.-М.:ИНФРА-М,2006 г. 2. Стратегический менеджмент, под ред Верховской О. ; 2006 3. Гинзбург А. И., Экономический анализ. Предметы и методы. Комплексный и локальный анализы. Оценка управленческих решений, Питер, 2007 г. 4. Ларичев О. И. Теория и методы принятия решений; М: «Логос», 2000 г. 5. Соболь И. М., Статников Р. Б., Выбор оптимальных параметров в задачах со многими критериями; М: «Наука», 2000 г. 6. Менеджмент, Юрайт, под ред Томилова В.В; 2003 7. Трофимова Л.А., Трофимов В.В. Информационные технологии менеджмента//Актуальные вопросы менеджмента: Сб. трудов ФМ СПбГУ – СПб.: Изд-во «Недра», 1998. 8. Коротков Э.М. Концепция менеджмента. – М.: ДЕКА, 1996. 9. Глущенко В. В., Глущенко И.И. Разработка управленческого решения. Прогнозирование и планирование. Теория проектирования экспериментов. – г. Железнодорожный Моск. Обл.: ТОО НЦП «Крылья», 1997. 10. Вертакова Ю.В., Козьева И.А., Кузьбожев Э.Н., Управленческие решения: разработка и выбор. - М.: КНОРУС, 2005 г. 11. Голубков Е.П. Какое принять решение? – М.: Экономика, 1990 г. 12. Ларичев О. И. Наука и искусство принятия решений; М: «Наука», 1998 г. 13. Райзберг Б. А., Лозовский Л. Ш., Стародубцева Е. Б. Современный энциклопедический словарь, Издательский Дом «ИНФРА-М», 2007 г. 14. http://www.lentransgaz.ru - Официальный сайт ООО «Газпром трансгаз Санкт-Петербург» [1] Роберт Саймон, лауреат нобелевской премии по теории разработки управленческого решения. [2] Коротков Э.М. Концепция менеджмента. – М.: ДЕКА, 1996. – с. 27 [3] Коротков Э.М. Концепция менеджмента. – М.: ДЕКА, 1996. – с. 70 [4] Трофимова Л.А., Трофимов В.В. Информационные технологии менеджмента//Актуальные вопросы менеджмента: Сб. трудов ФМ СПбГУ – СПб.: Изд-во «Недра», 1998. [5] Трофимова Л.А., Трофимов В.В. Управленческие решения (методологические аспекты) – Изд-во: СПбГУЭФ, 2000, с.17. [6] Глущенко В. В., Глущенко И.И. Разработка управленческого решения. Прогнозирование и планирование. Теория проектирования экспериментов. – г. Железнодорожный Моск. Обл.: ТОО НЦП «кРЫЛЬЯ», 1997. – 400 С. [7] Евланов Л.Г. Теория и практика управленческих решений. – М.: Экономика, 2004 г. Литвак Б.Г. Управленческое решение. – М.: Ассоциация авторов и издателей «ТАНДЕМ», издательство ЭКМОС, 2005. – 248 С. |



рационального планирования.







