Реферат: Водозаборные сооружения и насосные станции I подъёма

Название: Водозаборные сооружения и насосные станции I подъёма
Раздел: Рефераты по экологии
Тип: реферат

Водозаборные сооружения и насосные станции I подъёма

Курсовая работа студента Осокина Евгения

Санкт-Петербургский Государственный Технический Университет

Санкт-Петербург 1999

Глава 1. Описание комплекса сооружений

1.1. Описание естественных условий

Гидрологические условия. Источником водозабора является река. Условия забора воды - средние. Максимальный расход расчетной вероятности составляет 1700 м3/с, соответствующий ему уровень равен 110,0 м. Минимальный расход расчетной вероятности составляет 30 м3/с, соответствующий ему уровень составляет 99,0 м.

Шуголедовые условия. На реке шуга имеется 21 день. Толщина льда составляет 0,8 м.

Геологические условия. Аллювиальные отложения в русле представляют собой разнозернистый песок. Подстилающими породами являются суглинки. Их отметка кровли равна 92,0 м.

1.2. Состав комплекса сооружений

В состав комплекса сооружений входят:

1) водозаборные сооружения,

2) расчистка перед водозаборными сооружениями,

3) здание насосной станции с необходимым гидромеханическим, энергетическим и вспомогательным оборудованием,

4) напорные трубопроводы.

Комплекс сооружений располагается на левом берегу. Забор воды осуществляется из открытого источника (реки). Здание станции является совмещенным.

1.3. Конструктивное решение насосной станции

Для обеспечения необходимой высоты всасывания заглубляем здание насосной станции. Конструкцию подземной части здания принимаем камерного типа, выполненной в виде тонкостенной полой конструкции с толщиной стен 1 м. Высота камеры составляет 15м. Здание опирается на фундаментную бетонную плиту переменной толщины. Под сухой и мокрой камерами толщина плиты составляет 1,5 м. При переходе от одной камеры к другой плита увеличивается по высоте до 3,5 м. Отметка подошвы фундамента сухой камеры составляет 94,7 м.

Отметка пола сухой камеры составляет 96,5 м.

Здание имеет прямоугольную форму в плане с размерами 21,1´23,4 м. Вода от здания насосной станции к потребителю подается по двум трубопроводам диаметром каждый 1000 мм.

1.4. Оборудование насосной станции

Станция оборудована 4 насосами типа 18НДс с горизонтальной осью (три насоса рабочих и один запасной). Отметка оси насосов составляет 98,0 м. Для привода насосов применяем синхронные двигатели типа ДА304-450Х-4У1. Трубы в пределах станции выполняются из стали, отдельные звенья труб соединяются сваркой при помощи фланцев. Для предотвращения повреждения труб при прохождении через бетонные стены применяем сальники.

На всасывающей линии устанавливаем задвижку с ручным приводом параллельную чугунную с невыдвижным шпинделем типа 30ч914бр. На напорной линии устанавливаем задвижку с электроприводом параллельную чугунную с невыдвижным шпинделем 30ч914бр. Такую же задвижку устанавливаем на флейте и магистральных трубопроводах. Для предотвращения обратного тока воды через насос устанавливаем обратный чугунный поворотный клапан 19ч16р с 1 клапанным отверстием.

1.5. Машинный зал насосной станции

Машинный зал состоит из подземной части и верхнего строения. Верхнее строение начинается с отметки 112,0 м. Верхнее строение представляет собой каркасную конструкцию. Несущий каркас здания состоит из системы колонн, на которые опираются фермы перекрытия и подкрановые балки. Балки выполнены из металла, кононны - из бетона. На стальные фермы укладываются сборные железобетонные плиты с утеплением из шлака. Верхнее рулонное покрытие укладываем на клебемассе по цементной корке толщиной 20 мм.

Машинный зал обслуживается мостовым электрическим краном грузоподъемностью

8 т с пролетом 16,5 м.

На отметке пола верхнего строения машинного зала расположены монтажная площадка, помещение пульта управления и помещение РУ.

1.6. Сороудерживающие устройства

Для предотвращения попадания наносов, мусора и плавающих предметов в водозаборной части насосной станции устанавливаем на входных окнах решетки в количестве 4 шт. В водоприемной части устанавливаем вращающиеся сетки с лобовым подводом воды в количестве 4 шт.

Глава 2. Выбор основного оборудования насосной станции

2.1. Выбор насоса и построение характеристики системы

2.1.1. Определение геометрического и полного напора

Полный напор насоса определяется, как

НП = НГ +, (2.1)

где НГ - геометрический напор, м,

- потери напора по длине магистральных водопроводов, м:

, (2.2)

где а - потери напора на 1 км длины водовода, м,

- длина напорных магистральных водопроводов, равная 4000 м.

Геометрический напор определяется, как

НГ = ÑПод - ÑУВmin + Dh, (2.3)

где ÑПод - отметка подачи, равная 140 м,

ÑУВmin - минимальный уровень воды в реке, равный 99,0 м,

Dh - потери напора на станции до насоса, м.

Dh = Dhсет + Dhреш + Dhст , (2.4)

Dh =0,15 + 1,0 + 5,00 =6,15 м.

Тогда НГ = 140 – 99 + 6,15 =46,65 м.

Примем, что магистральный водопровод является двухниточным, тогда расход воды через один водовод равен:

, (2.5)

где - расход, забираемый из реки, равный 2 м3/с = 2000 л/с,

n - число ниток.

л/с

Согласно [1, с.47] выбираем стальные трубы наивыгоднейшего диаметра в = 1000 мм. Также определяем следующие величины: v = 1,26 м/с, а =1,7 м.

Тогда м.

Определяем полный напор: НП =46,65+4,675 =51,375 м.

2.1.2. Определение расчетного расхода насоса

Зададим число рабочих насосов на станции, равное 3. Тогда расход воды, приходящийся на один насос:

, (1.6)

где - расход, забираемый из реки, равный 2,0 м3/с =2000 л/с,

nН - число рабочих насосов.

л/с.

2.1.3. Выбор насоса

По величинам полного напора и расчетного расхода насоса определяем тип насоса и его габаритные размеры. Согласно [2, с.56] выбираем насос типа 18НДс, имеющий следующие характеристики:

частота вращения n = 960 об/мин,

диаметр рабочего колеса в = 700 мм,

мощность электродвигателя N = 520 кВт,

КПД h = 91%,

вес 3300 кг.

Габаритные размеры насоса в мм (рис.1):


А = 900

Б = 1180

В = 475

Г = 620

Д = 560

Е = 850

Ж = 425

З = 55

И = 8

К = 1115

Л = 1015

М = 150

Н = 900

О = 1100

П = 1100

Р = 250

С = 250

Т = 195

d0 = 46

Входной патрубок:

D = 500

a = 715

d = 32

o = 650

Количество отверстий - 20.

Выходной патрубок:

D1 = 450

a1 = 640

d1 = 27

o1 = 585

Количество отверстий - 20.

2.1.4. Построение характеристики работы водовода данного диаметра.

Для построения характеристики зададим расходы, меньшие и большие заданного, определим полные напоры, соответствующие этим расходам и сведем все вычисления в табл. 1. Характеристика представлена на рис.2.

Таблица 1

Расходы Q, л/с

Потери по длине на 1 км трубопровода а, м

Потери по длине Dhl, м

Полный напор НП , м

800

1,12

4,48

51,578

900

1,39

5,56

52,766

1000

1,70

6,80

54,130

1100

2,05

8,20

55,670

1200

2,45

9,80

57,430

Характеристика наглядно показывает, что для оптимальной работы насосной станции следует окончательно выбрать три рабочих насоса 18НДс и один запасной, при условии работы двух магистральных водоводов диаметром 1000 мм.

2.2. Подбор рабочей арматуры трубопроводов

2.2.1. Подбор задвижки на всасывающей линии

На всасывающей линии выбираем задвижку с ручным приводом параллельную чугунную с невыдвижным шпинделем (рис.3), рассчитанную на давление 6 кг/см2. Диаметр условного прохода D0 = 600 мм по [4, с.148]. Выбираем задвижку 30ч914бр весом 1766 кг. С невыдвижным шпинделем, тип электропривода 87В080-Е, тип электродвигателя АОС42-4 Æ 2, время открытия 2 мин.

Габаритные размеры (в мм):

L = 800,

H = 1928,

A = 935,

D = 320,

h1 = 404,

h2 = 510,

d = 100,

L1 =603,

d0 = 200,

L2 =382,

l1=180,

H1=1681,

L3=625.

2.2.2. Подбор задвижки на напорной линии

На напорной линии выбираем задвижку с электроприводом параллельную чугунную с невыдвижным шпинделем (рис.3), рассчитанную на давление 6 кг/см2. Выбор осуществляется по диаметру напорного патрубка D0 = 600 мм по [4, с.156].

Выбираем задвижку 30ч914бр весом 1766 кг, время открытия 2 мин, тип электропривода 87В080-Е, тип электродвигателя АОС42-4 Æ 2.

Габаритные размеры (в мм):

L = 800,

L1 = 603,

L2 = 382,

l1 = 180,

H = 1928,

H1 = 1681,

A = 935,

D = 320

d =100,

d0 =200,

L3 =625.

2.2.3. Выбор задвижки на флейте и магистральных водоводах

Задвижку на флейте и магистральных водоводах выбираем той же марки, что и в п.2.1.2, но на D0 =1000 мм, то есть берем задвижку 30ч915бр весом 8511 кг, время открытия составляет 6,6 мин, давление 6 кг/см2, тип электропривода 87Д450-Е, тип электродвигателя АОС51-4 Æ 2.

Габаритные размеры (в мм):

L = 1400,

L1 = 820,

L2 = 532,

l1 = 315,

H = 3295,

H1 = 3095,

A = 1596,

D =400,

d =200,

d0 =320,

L3=1082.

2.2.4. Выбор обратного клапана на напорной линии

Обратный клапан препятствует обратному току через насос воды, находящейся в напорном трубопроводе, который может вызвать следующие нежелательные последствия:

1) опорожнение напорных водоводов через насос;

2) обратное вращение насоса; в этом случае насос будет работать как водяная турбина, а электромотор превратиться в генератор, работающий без нагрузки, что опасно для целости насоса и мотора.

Обратный клапан устанавливается между напорным патрубком насоса и задвижкой. Это позволяет отключать его от водопровода во время ремонта клапана.

Обратный клапан подбираем на давление 10 кг/см2 и диаметр условного прохода D0 =600 мм по [4, с.179]. Выбираем весом 1215 кг, тип 19ч16р, кол-во отверстий 1 шт. Рис. 4.

Габаритные размеры (в мм):

L = 1300,

L1 = 723,

H = 648,

D = 835,

d0 = 100,

d=240

2.3. Выбор электродвигателя

Тип электродвигателя определяется по требуемой мощности электродвигателя

N=520 кВт и числу оборотов насоса n=960 об/мин. Из [5] принимаем двигатель ДА304-450Х-4У1 весом 3350 кг, мощностью 630 кВт и с частотой вращения 960 об/мин. КПД двигателя равно 94,3%, с удельной массой 5,2 кг/кВт.

Габаритные размеры (в мм):

b10=900,

b11 = 1040;

b30 = 1420;

b31 = 760;

d1 = 110;

h = 450;

h5 = 116;

h37 = 1410;

h34=205;

l10 = 1000;

l11 = 1290;

l30 = 2110;

l31 = 224;

l34=8

2.4. Определение отметок оси насоса и пола насосной станции

2.4.1. Определение отметки оси насоса

Отметку оси насоса определим по формуле:

Ñ1 = ÑУВmin - Dhвс, (2.13)

где ÑУВmin - минимальный уровень воды в реке, равный 99,0 м,

Dhвс,-общие потери напора на всасывающей линии, включая потери на сороудерживающем оборудовании, равные 1 м.

Ñ1 = 99,0 - 1 = 98,0 м

2.4.2. Определение отметки верха фундамента насоса

Отметку верха фундамента насоса определим по формуле:

ÑФн = Ñ1 - А1 , (2.14)

где А1 - расстояние от оси насоса до фундамента, равное 850 мм (габаритный размер насоса Е)

ÑФн = 98,0 - 0,85 = 97,15 м

Принимаем ÑФн = 97,2 м

2.4.3. Определение отметки пола насосной станции

Ñ П = ÑФн - 0,7 м (2.15)

Ñ П = 97,2 - 0,7 = 96,5 м

2.4.4. Определение верха отметки фундамента станции

ÑФн.с. =Ñ П - 0,3 м (2.16)

ÑФн.с. = 96,5 - 0,3 = 96,2 м

2.4.5. Определение отметки дна котлована для насосной станции

Ñ 2 = ÑФн.с. - 1,5 м , (2.17)

где 1,5 м - толщина фундаментной плиты.

Ñ 2 = 96,2 - 1,5 = 94,7 м

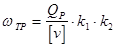
2.5. Определение размеров сороудерживающих решеток

2.5.1. Определение площади решеток

Требуемая площадь решеток определяется по формуле:

, (2.18)

где [v] - допускаемая скорость на решетке, равная 0,1…0,3 при заборе воды из шугоносной реки с растительным загрязнителем через затопленный водоприемник,

- коэффициент, учитывающий стеснение потока стержнями решеток:

, (2.19)

где a - расстояние между стержнями решеток в свету, равное 50 мм,

d - диаметр стержней решетки, равный 6 мм,

- коэффициент, учитывающий засорение решеток, равный 1,25.

Тогда:

м2

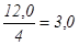
2.5.2. Определение габаритных размеров решеток, их количества и веса

Зададимся количеством окон водоприемника. Пусть их будет 4. Тогда требуемая площадь одной сетки равна м2 . Зададимся стандартной высотой решетки мм. Тогда ширина решетки равна м, что также соответствует стандарту. Вес решетки определяется из расчета 70 кг на 1 м2 площади решетки, следовательно, вес одной решетки составляет 280 кг.

Таким образом, окончательно выбираем 4 окна, в каждом из которых установлена сороудерживающая решетка 2000´2000 мм, весом 280 кг.

Для очистки решетки от растительных загрязнений применяется грейфер.

2.5.3. Определение величины заглубления окон

Уровень верха водоприемного окна определяется по формуле:

ÑО = ÑУВmin - dлgл, (2.20)

ÑО = 99,0-1,0 = 98,0 м.

2.6. Определение размеров сеток

2.6.1. Определение требуемой рабочей площади сетки

Выбираем сетку вращающуюся бескаркасного типа с лобовым подводом воды. Сетки этой конструкции имеют ряд достоинств по сравнению с сетками других конструкций: они обладают наилучшими гидродинамическими условиями работы, так как поток подходит к сетке равномерно по всему фронту сетки и спокойно; промывное устройство действует эффективно, все загрязнения смываются и не попадают в зону очищенной воды. Отсутствие каркаса сокращает расход металла, конструкция всего агрегата несложна и компактна, занимаемая агрегатом площадь минимальна.

Технические данные:

1) расчетный расход воды 1,5-2,5 м3/с,

2) ширина полотна сетки 2 м,

3) скорость движения полотна сетки 3,82 м/мин,

4) размер ячеек в свету 3´3 мм,

5) сетка применима при колебаниях уровня воды до 15 м.

Требуемая рабочая площадь сетки определяется по формуле:

, (2.21)

где [v] - допускаемая скорость на сетке, равная 0,4 м/с при наличии растительного загрязнителя в водоеме-источнике,

- коэффициент, учитывающий стеснение потока сеткой:

, (2.22)

где a - размер ячейки сетки в свету, равное 3 мм,

d - диаметр проволоки полотна сетки, равный 0,6 мм,

- коэффициент, учитывающий засорение сетки, равный 1,25,

- коэффициент, учитывающий стеснение потока рамкой, равный 1,20.

Считаем, что насосную станцию обслуживают 4 сетки.

м2

Требуемая площадь одной сетки равна м2

2.6.2. Определение рабочей высоты сетки и величины заглубления

Определим рабочую высоту сетки:

м.

Таким образом, заглубление низа сетки под УВmin составит 2,0 м.

2.7. Определение высоты здания насосной станции

Высота машинного зала представляет собой сумму высот подземной части и верхнего строения.

2.7.1. Определение высоты подземной части здания насосной станции

Высота подземной части определяется по формуле:

hп.ч. > hф + hнас + HS,доп + DНБ + hзап , (2.23)

где hф - толщина фундаментной плиты, равная 1,5 м,

hнас - высота насоса от верха фундаментной плиты до оси рабочего колеса, равная 2,05м,

HS,доп - высота всавывания, равная 1 м,

DНБ - амплитуда колебаний воды в источнике, равная 8,3 м,

hзап - необходимое превышение отметки пола верхнего строения над максимальным уровнем воды в источнике, принимается равным 2 м.

hп.ч. = 1,5+2,05+1+8,3+2,0 =14,85 м.

Глава 3. Расчет здания станции на сдвиг и всплытие

3.1. Расчет здания насосной станции на всплытие

Расчет здания насосной станции на всплытие выполняем по первому предельному состоянию. Критерием устойчивости является соблюдение неравенства:

, (3.1)

где - расчетное обобщенное силовое воздействие,

- расчетная обобщенная несущая способность сооружения или основания,

Расчетное обобщенное силовое воздействие равно силе противодавления:

, (3.2)

где - напор на здание станции, равный 13,8 м,

- размеры здания станции в плане, 21,1´23,4,

- удельный вес воды, 1 т/м3 .

тс

Расчетная несущая способность равна весу станции вместе с оборудованием:

R = Gф + Gст + Gоб , (3.3)

где Gф - вес фундаментной части, т,

Gст - вес стен, т,

Gоб - вес оборудования, т.

Gф = тс

Gст = тс

Gоб =88,7 тс

Тогда:

Вывод: здание станции устойчиво к всплытию.

3.2. Расчет здания насосной станции на сдвиг

Расчет выполняем по первому предельному состоянию с целью обеспечения несущей способности основания.

Критерием устойчивости здания на сдвиг является условие (3.1).

Расчетная обобщенная сдвигающая сила равна давлению грунта:

, (3.4)

где h - высота той части стены станции, которая подвергается давлению грунта, h = 15,0 м,

g - удельный вес грунта засыпки (1,6 т/м3), грунт - крупнозернистый песок,

j - угол внутреннего трения грунта засыпки, равный 45°.

тс

Сила предельного сопротивления равна:

, (3.5)

где - сила бокового сжатия грунта, тс,

, (3.6)

тс

тс

Следовательно, здание станции устойчиво на сдвиг.