Реферат: Магнитные и электромагнитные поле

Название: Магнитные и электромагнитные поле
Раздел: Рефераты по физике
Тип: реферат

Магнитные и электромагнитные поле.

Электрическое и магнитные поля тесно связаны между собой. В природе существует электромагнитное поле - чисто электрические и чисто магнитные поля являются лишь его частными случаями. Изменяющиеся электрические и магнитные поля индуктируют друг друга.(под изменением поля надо понимать не только изменение его интенсивности, но и движение поля как целого).

Устройство передачи магнитных доменов использует самовозбуждающее управляющее поле для перемещения магнитного домена в тонком магнитном слое из ферромагнитного материала. Слой управления перемещением доменов сформирован из токопроводящего материала. При подаче на управляющий слой электрического поля по соседству с магнитным слоем и в управляющем слое возникает равномерно распределенный электрический ток. Магнитный домен, расположенный в магнитном слое, изменяет плотность тока в управляющем слое и вырабатывает вблизи себя область токового возмущения. Ток возмущения, взаимодействуя с магнитным полем домена, обеспечивает выработку результирующего индуцированного управляющего магнитного поля. Скорость и направление распространения магнитного домена управляются путем изменения прикладываемого электрического поля или путем изменения тока возмущения в управляющем слое.

Взаимное индуктирование электрического и магнитного полей происходит в пространстве с огромной скоростью /со скоростью света/ и представляет собой распространение электромагнитных волн. Такими электромагнитными волнами являются радиоволны, свет - инфракрасный, видимый, ультрафиолетовый, а также рент -геновские и гамма-лучи. Поэтому многие эффекты, описанные в этом разделе, имеют аналоги и в оптике, и, наоборот, "оптические" эффекты широко применяются в радиотехнике, особенно в диапазоне СВЧ (например, эффект Фарадея).

Магнитное поле может быть создано постоянными магнитными, переменными электрическим полем и движущимися электрическими зарядами, в частности теми, которые движутся в проводнике, создавая электрический ток.

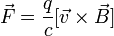
Сила Лоренца

Сила, действующая на заряженную частицу, движущуюся в магнитном поле:

,

.

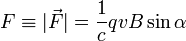
где:

  • c — электродинамическая постоянная
  • q — заряд частицы
  • v — скорость частицы
  • B — магнитная индукция поля
  • α — угол между вектором скорости и вектором магнитной индукции.

,

.

где:

  • c — электродинамическая постоянная
  • q — заряд частицы
  • v — скорость частицы
  • B — магнитная индукция поля
  • α — угол между вектором скорости и вектором магнитной индукции

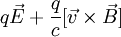
При движении заряженной частицы в электромагнитном поле на неё будут действовать и электрическое, и магнитное поле, а полная сила есть сумма сил со стороны первого и второго:

,

где:

  • E — напряжённость электрического поля,
  • Fm — сила действующая со стороны магнитного поля (сила Лоренца в узком смысле),
  • Fe — сила, действующая со стороны электрического поля,
  • остальные обозначения - см. выше.

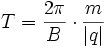
В однородном магнитном поле, направленном перпендикулярно вектору скорости, под действием силы Лоренца заряженная частица будет равномерно двигаться по окружности постоянного радиуса r . Сила Лоренца в этом случае является центростремительной силой:

,

.

При скорости v намного меньшей скорости света период T не зависит от v :

,

.

Если заряженная частица движется в магнитном поле так, что вектор скорости v составляет с вектором магнитной индукции B угол α, то траекторией движения частицы является винтовая линия с радиусом r и шагом винта h :

, ,

, .

Сила Лоренца используется в телевизионных электронно-лучевых трубках, а также в масс-спектрометрии и МГД генераторах.

.