Дипломная работа: Исследование структурной надежности методом статистического моделирования
|
Название: Исследование структурной надежности методом статистического моделирования Раздел: Рефераты по информатике Тип: дипломная работа | |||||||||||||||||||||||||||||||||||||||||||||||||||||||||||||||||||||||||||||||||||||||||||||||||||||||||||||||||||||
|
ВВЕДЕНИЕ 1 МЕТОДЫ ИССЛЕДОВАНИЯ СТРУКТУРНОЙ НАДЕЖНОСТИ 1.1 Точный метод анализа структурной надежности 1.2 Приближенные методы анализа структурной надежности 1.2.1 Метод разложения 1.2.2 Метод сечений или совокупности путей 1.2.3 Метод двухсторонней оценки 1.2.4 Метод статистической оценки структурной надежности 2 ИССЛЕДОВАНИЕ СТРУКТУРНОЙ НАДЕЖНОСТИ МЕТОДОМ СТАТИСТИЧЕСКОГО МОДЕЛИРОВАНИЯ 2.1 Критерии оценки структурной надежности методом статистического моделирования 2.2 Разработка алгоритма расчета структурной надежности 2.2.1 Алгоритм расчета структурной надежности сети связи методом статистического моделирования 2.2.2 Алгоритм интерфейсной части программы расчета надежности сети методом статистического моделирования 2.3 Разработка программы расчета структурной надежности методом статического моделирования 2.3.1 Разработка расчетной части программы расчета структурной надежности сети 2.3.2 Разработка интерфейсной части программы расчета структурной надежности сети 3 БЕЗОПАСНОСТЬ ЖИЗНЕДЕЯТЕЛЬНОСТИ ЗАКЛЮЧЕНИЕ Приложение А Методические указания по работе с программой БИБЛИОГРАФИЯ ВВЕДЕНИЕ Разработка современных информационных систем включает в качестве одного из обязательных этапов проектирования анализ их надежности. Проблема усложняется тем, что коммутационные сети, к анализу которых в конечном итоге сводится данная задача, являются сильно связными структурами (междугородние сети связи, системы управления). Это затрудняет, а порой делает невозможным расчет их надежности строго аналитическими методами, как это имеет место, например, для параллельно-последовательных сетей. Единственным численным методом расчета надежности сильно связанных сетей остается метод полного перебора, который, однако, даже с привлечением быстродействующих ЭВМ, не позволяет анализировать сети, содержащие более 15-20 случайных компонент. В тех случаях, когда в состав информационной системы включены не только физические объекты (каналы связи, транспортные средства, релейно-контактные элементы и тому подобное), но и объекты, означающие такие понятия, как ”логическая связь”, ”операция” и тому подобное. Одним из способов повышения надежности таких сетей является простое дублирование составляющих их элементов. Однако, вследствие ограниченности ресурсов, такой путь в большинстве случаев нерационален. В инженерной практике при решении подобного рода задач часто прибегают к методу частичного перебора. Так, например, при выборе оптимальной структуры сети связи в качестве частных вариантов могут анализироваться некоторые типовые схемы соединения узловых пунктов. Например, так называемый, радиальный принцип соединения узлов, принцип связи ”каждого с каждым” или ”каждого с ближайшим”, иерархический принцип соединения и другие. Одним из основных критериев оценки этих вариантов является, прежде всего, надежность передачи сообщения в сети. Среди методов вероятностного анализа коммуникационных сетей будем различать алгоритмические, являющиеся по существу программами для решения задач на ЭВМ, и методы аналого-вероятностного моделирования. Одним из основных методов решения поставленных задач является метод статистического моделирования. Критерием оценки структурной надежности сетей связи, по этому методу, является вероятность наступления события - сеть связанна. 1 МЕТОДЫ ИССЛЕДОВАНИЯ СТРУКТУ РНОЙ НАДЕЖНОСТИ. 1.1 Точный метод анализа структурной надежностиВведем несколько определений из теории графов. Определение: ориентированная сеть Индексы при элементах множества X указывают на их ориентацию [1]. Так, для ребра Определение: ориентированная релейно-стохастическая сеть –
причем Определение: если в сети Вероятность сложного события Обратимся к общему случаю
Положим, что надежность равна единице. Пронумеруем элементы множества Обозначим
где Тогда вероятность каждого из возможных состояний сети будет определяться следующим образом:
где таким образом, поскольку Определим переключательную функцию
где
где Составление формулы (1.1) для конкретных сетей и последующее ее решение является, в общем случае, практически единственным точным численным методом оценки величины надежности релейно-стохастической сети между произвольной парой узлов. Как составление, так и решение формулы (1.1) – исключительно трудоемкий процесс, поскольку в ее основе лежит перебор всех состояний системы. Решение же данной формулы с использованием ЭВМ при 1.2 Приближенные методы анализа структурной надежности1 .2.1 Метод разложенияНесколько менее трудоемким является метод, основанный на разложении структуры сети относительно какого-нибудь ее элемента (метод разложения Шеннона ‑ Мура). Идея этого метода заключается в том, чтобы свести анализируемую структуру к последовательно-параллельным соединениям [2] и тем самым избежать полного перебора состояний. Для примера рассмотрим сеть простейшей структуры в виде мостика (рисунок 1.1). Для простоты положим, что узлы этой сети идеально надежны, а ветви имеют конечную надежность рi, i = Таким образом, мы “ разложили ” сеть относительно элемента 5, в результате чего получили две подсети с числом элементов на единицу меньше, чем в исходной сети. Поскольку обе подсети представляют собой последовательно-параллельные структуры, то можно сразу записать искомое выражение для вероятности связности сети относительно узлов r, l, используя для компактности обозначение
В более сложных структурах может потребоваться неоднократное применение теоремы разложения. Так, на рисунке 1.2 показано разложение относительно элемента 7 (верхняя строка), а затем по элементу 8 (нижняя строка). Получившиеся четыре подсети имеют последовательно-параллельные структуры и больше не требуют разложений. Легко видеть, что на каждом шаге число элементов в получающихся подсетях уменьшается на единицу, а число подсетей, требующих дальнейшего рассмотрения удваивается. Поэтому описанный процесс в любом случае конечен, а число результирующих последовательно-параллельных структур составит 2m, где т — число элементов, по которым пришлось провести разложение. Трудоемкость этого метода можно оценить величиной 2m, что меньше трудоемкости полного перебора, но все еще неприемлемо для расчета надежности реальных сетей коммутации.
Рисунок. 1.2. Последовательное разложение сети 1 .2.2 Метод сечений или совокупности путейРассмотрим еще один метод расчета структурной надежности сетей. Предположим, что необходимо определить вероятность связности сети между заданной парой узлов A и B. Критерием исправной работы сети в данном случае является наличие хотя бы одного пути передачи информации между рассматриваемыми узлами. Предположим, что имеется список возможных путей в виде перечня элементов (узлов и направлений связи), входящих в каждый путь. В общем случае пути будут зависимы, поскольку любой элемент может входить в несколько путей. Надежность Rs любого пути s можно вычислить по формуле последовательного соединения Искомая надежность
где Из определения условной вероятности
где символ (¤) означает, что при перемножении показатели надежности всех элементов, входящих в первые r путей и общих с (r + l)-м путем, заменяются единицей. С учетом (1.3) можно переписать (1.2): ∆
где ∆ (r + 1) ‑ пути; Учитывая, что приращение надежности ∆Hr+1 численно равно уменьшению ненадежности ∆Qr+1 получаем следующее уравнение в конечных разностях: ∆
Легко проверить, что решением уравнения (1.5) является функция:
В случае независимых путей операция символического умножения совпадает с обычным умножением и выражение (1.6) дает коэффициент простоя системы, состоящей из параллельно включенных элементов. В общем случае необходимость учета общих элементов путей заставляет производить умножение согласно (1.6) в алгебраическом виде. При этом число членов в результирующей формуле с умножением на каждый очередной двучлен удваивается и окончательный результат будет иметь 2r членов, что эквивалентно полному перебору совокупности всех r путей. Например, при r = 10 число членов в окончательной формуле превысит 1000, что уже выходит за рамки ручного счета. С дальнейшим увеличением числа путей довольно быстро исчерпываются и возможности современных ЭВМ. Однако свойства введенной выше операции символического умножения позволяют существенно сократить трудоемкость расчетов. Рассмотрим эти свойства более подробно. Согласно операции символического умножения для показателя надежности pi любого элемента справедливо следующее правило: pi ¤ pi = pi (1.7) Напомним, что второй сомножитель (1.7) имеет смысл вероятности исправной работы i-го элемента при условии его исправности, которая, очевидно, равна единице. Для сокращения дальнейших выкладок введем следующее обозначение ненадежности i-го элемента:
С учетом (1.7) и (1.8) можно записать следующие простые правила преобразования выражений: 1. 2.
3. 4. 5. Для примера использования этих правил при расчете надежности рассмотрим простейшую сеть связи, изображенную на рисунке 1.3. Буквы, стоящие у ребер графа, обозначают показатели надежности соответствующих линий связи. Узлы для простоты будем считать идеально надежными. Предположим, что для связи между узлами А и В можно использовать все пути, состоящие из трех и менее последовательно включенных линий, то есть следует учесть подмножество путей {μ} = { ab, cdf, cgb, ahf }. Определим приращение надежности, обеспечиваемое каждым последующим путем, по формуле (1.4) с учетом (1.6): ∆
где
Рисунок.1.3 - Пример сети расчета на ограниченном подмножестве путей
Рисунок 1.4 - Пример сети для расчета надежности по полной совокупности путей Применяя последовательно формулу (1.10) и правила символического умножения (1.9) к рассматриваемой сети, получаем: ∆
∆
∆
∆
При расчете последнего приращения мы использовали правило 4, которое можно назвать правилом поглощения длинных цепей короткими; в данном случае его применение дает b ¤ cgb = b. Если разрешено использование других путей, например пути cdhb, то не представляет труда рассчитать обеспечиваемое им приращение надежности ∆
HR = Так, для рассмотренного примера в предположении, что надежность всех элементов сети одинакова, то есть a = b = c = в = f = h = g = p, получаем:
При машинной реализации в основу расчета можно также положить формулу (1.5) ,с учетом того, что
Таким образом, окончательное выражение, согласно формуле (1.5), можно записать в виде следующего рекуррентного соотношения:
При начальном условии В качестве примера рассчитаем надежность сети, изображенной на рисунке 1.4, относительно узлов А и В, между которыми имеется 11 возможных путей передачи информации. Все расчеты сведены в таблицу 1.1: перечень элементов, входящих в каждый путь, результат умножения надежности данного пути на значение Qr, полученное при рассмотрении всех предыдущих путей, и результат упрощения содержимого третьего столбца по правилам (1.9). Окончательная формула для Таблица 1.1 Результаты расчета надежности сети, изображенной на рисунке 1.4
Для уменьшения объема вычислений не следует без необходимости раскрывать скобки; если промежуточный результат допускает упрощения (приведение подобных членов, вынесение за скобку общего множителя и так далее), их следует выполнить. Поясним несколько шагов расчета. Поскольку Q0 = 1 (при отсутствии путей сеть разорвана), то для Q1 из (1.13) Рассмотрим подробнее шаг, на котором учитывается вклад пути 9. Произведение показателей надежности составляющих его элементов, записанное во втором столбце таблицы 1.1, переносится в третий. Далее в квадратных скобках записана вероятность разрыва всех предыдущих восьми путей, накопленная в четвертом столбце (начиная с первой строки), с учетом правила (1.7), согласно которому показатели надежности всех элементов, вошедших в путь 9, заменяются единицами. Вклад четвертой, шестой и седьмой строк оказывается равным нулю по правилу 1. Далее выражение, стоящее в квадратных скобках, упрощается по правилам (1.9) следующим образом:
Аналогичным образом производится расчет относительно всех других путей. Использование рассматриваемого метода позволяет получить общую формулу структурной надежности, содержащую в рассмотренном случае всего 15 членов вместо максимального числа 211=2048, получающегося при непосредственном перемножении вероятностей отказов этих путей. При машинной реализации метода удобно представить все элементы сети в позиционном коде строкой бит и использовать встроенные булевы функции для реализации логических элементов преобразований (1.9). До сих пор рассматривались показатели структурной надежности сети относительно выделенной пары узлов. Совокупность таких показателей для всех или некоторого подмножества пар может достаточно полно характеризовать структурную надежность сети в целом. Иногда используется другой, интегральный, критерий структурной надежности. По этому критерию сеть считается исправной, если имеется связь между всеми ее узлами и задается требование на вероятность такого события. Для расчета структурной надежности по этому критерию достаточно ввести обобщение понятия пути в виде дерева, соединяющего все заданные узлы сети. Тогда сеть будет связана, если существует, по крайней мере, одно связывающее дерево, и расчет сводится к перемножению вероятностей отказа всех рассматриваемых деревьев с учетом наличия общих элементов. Вероятность отказа дерева s определяется аналогично вероятности отказа пути, то есть:
где pis – показатель надежности элемента i, входящего в дерево s; ns – число элементов в этом дереве. Рассмотрим для примера простейшую сеть в виде треугольника, стороны которого взвешены показателями надежности а, b, с соответствующих ветвей. Для связности такой сети достаточно существования, по крайней мере, одного из деревьев аb, bс, са. Используя рекуррентное соотношение (1.4), определяем вероятность связности этой сети H cb = ab + bca + cab. Если а = b = с = р, получаем следующее значение вероятности связности, которое легко проверить перебором: H cb = 3р2 – 2р3. Для расчета вероятности связности достаточно разветвленных сетей вместо перечня связывающих деревьев, как правило, удобнее пользоваться перечнем сечений {σ} которые приводят к потере связности сети по рассматриваемому критерию. Легко показать, что для сечения справедливы все введенные выше правила символического умножения, только вместо показателей надежности элементов сети в качестве исходных данных следует использовать показатели ненадежности q = 1 – p. Действительно, если все пути или деревья можно считать включенн
ыми “ параллельно ” с учетом их взаимозависимости, то все сечения включены в этом смысле “ последовательно ”. Обозначим вероятность того, что в некотором сечении s нет ни одного исправного элемента, через
где qis – показатель ненадежности элемента, входящего в пятое сечение. Вероятность Нcb связности сети можно тогда представить аналогично (1.6) в символическом виде:
где r – число рассматриваемых сечений. Другими словами, для того чтобы сеть была связна, необходимо, чтобы одновременно были исправны хотя бы по одному элементу в каждом сечении с учетом взаимной зависимости сечений по общим элементам. Формула (1.15) является в некотором смысле двойственной по отношению к формуле (1.6) и получается из последней заменой путей на сечения и вероятностей исправной работы на вероятности пребывания в состоянии отказа. Аналогично двойственным по отношению к формуле (1.13) является рекуррентное соотношение: Hr+1 = Hr – πr+1 ¤ Hr.(1.16) Рассчитаем для примера вероятность связности рассмотренной выше треугольной сети с набором сечений ab, bc, ca. Согласно (1.15) при начальном условии Hcd = ab – bca – cab, а при одинаковых показателях ненадежности элементов сети (a = b = c = q) получим: Метод сечений можно, конечно, применять и для расчета вероятности связности сети относительно выделенной пары узлов, особенно в тех случаях, когда число сечений в рассматриваемой сети значительно меньше числа нулей. Однако наибольший эффект в смысле сокращения трудоемкости вычислений дает одновременное использование обоих методов. 1 .2. 3 Метод двухсторонней оценкиПри проектировании реальных сетей обычно отсутствует необходимость точного расчета надежности сети, так как исходные данные по надежности элементов задаются, как правило, с некоторой конечной точностью. Проектировщикам необходимо лишь убедиться в том, что надежность сети, с одной стороны, не ниже заданной и, с другой стороны, не имеет экономически необоснованного запаса. Другими словами, на практике достаточно гарантировать, что истинное значение надежности Можно ожидать, что оценка надежности сети с заданной конечной точностью позволит сократить трудоемкость расчетов в тем большей мере, чем ниже требуемая точность оценки. Действительно, при расчете надежности по совокупности путей, добавление каждого следующего пути приводит к увеличению надежности, а при расчете по совокупности сечений добавление каждого следующего сечения приводит к уменьшению структурной надежности, что создает предпосылки для двусторонней оценки структурной надежности с гарантированной точностью по ограниченным наборам путей и сечений. Рассмотрим эту возможность более подробно. Обозначим через
Функция
Рисунок 1.5. Характер изменения оценок структурной надежности по совокупности путей и сечений Точность оценки может быть задана в виде допустимых отклонений от истинного значения
В ходе расчетов, решения о рассмотрении на следующем шаге очередного пути или сечения целесообразно принимать по критерию большего абсолютного приращения надежности по соответствующему параметру, то есть по m или r. Пример. Пусть необходимо оценить надежность сети, представленной графом на рисунке 1.6, с точностью H ± 0,01. Узлы сети идеально надежны. Линии, обозначенные буквами, имеют одинаковую надежность Выпишем первые несколько путей и сечений, которые могут потребоваться для расчета: М' = { аbс, def, abhf, dgbc...}; S' = { ad, be, cf, age...}. Полные множества путей М и сечений S для рассматриваемого метода можно не выписывать. При необходимости, если на начальном подмножестве М', S' не удается достичь необходимой точности, эти подмножества можно будет расширить по ходу расчетов. Поскольку первые два пути из М' независимы, можно сразу записать начальную нижнюю оценку вероятности несвязности сети:
Переходя к оценке надежности,
При рассмотрении сечений запись вида
Разница между полученными верхней и нижней оценками составляет 0.044, что больше 0.02, поэтому необходимо продолжить расчет. Добавление следующего пути дает большее абсолютное приращение надежности, чем добавление следующего сечения. Поэтому вводим в рассмотрение очередной путь abhf из множества М' согласно формуле (1.17):
Отсюда получаем очередную оценку надежности снизу
Убеждаемся, что заданная точность еще не достигнута и добавление очередного пути снова даст большее абсолютное приращение надежности, поэтому вводим следующий путь dgbc из множества М' для уточнения нижней границы надежности:
что соответствует Разница между верхней и нижней оценками надежности теперь составляет:
Рисунок 1.6. - Пример сети для двусторонней оценки надежности Для разветвленных сетей связи использование предлагаемого метода позволяет значительно сократить трудоемкость расчетов, по сравнению с методом полного перебора путей или сечений, а также гарантирует любой заданный уровень точности, в оценке вероятности события – сеть связанна. 1 .2.4 Метод статистической оценки структурной надежности Широко распространенным методом оценки надежности сложных технических систем является метод статистических испытаний. Однако для получения статистически достоверных результатов, особенно при высокой исходной надежности элементов системы и ее большой структурной избыточности, требуются значительные затраты машинного времени. Опыт показывает, что основные затраты времени при статистических испытаниях сложной системы сопряжены с проверкой ее работоспособности в каждой реализации [6]. При высокой исходной надежности pi элементов или большой структурной, избыточности, характерной для разветвленных сетей коммутации, проверка на работоспособность подавляющего большинства реализации дает положительный результат, что обусловливает их ма лую информативность. Поэтому возникает естественное желание найти некоторое преобразование сети, позволяющее искусственно уменьшить исходную надежность ее элементов, чтобы быстрее набрать необходимую статистику отказов и получить обратное преобразование, позволяющее пересчитывать получаемые результаты на реальные показатели надежности элементов сети. Покажем, что такая возможность действительно существует. Назовем разрезом подмножество элементов системы, удаление которых приводит к потере работоспособности. Рассмотрим некоторый разрез u, в который входит ровно z элементов. Частота выпадения такого разреза при статистических испытаниях стремится по ходу испытаний к ее вероятности :
Если обозначить через N общее число элементов сети, то вероятность Ри можно записать в виде:
Изменим исходные показатели надежности системы таким образом, чтобы каждый сомножитель
Тогда надежность нового элемента будет определяться формулой:
Если произвести преобразование (1.19) для всех элементов сети, то вероятность выпадения разреза u в процессе испытаний изменится и составит:
Введем коэффициент
тогда, подставляя в (1.21) старое и новое значения частоты выпадания разреза u, получим:
Если в разрез u входит ровно z элементов, то:
где второй сомножитель является константой для исходной системы. Отсюда следует, что предлагаемое преобразование показателей надежности не приводит к нарушению относительной частоты появления разрезов фиксированного веса z, так как коэффициент убыстрения для всех этих разрезов одинаков. Однако, относительная частота появления разрезов веса z + w, по сравнению с разрезами веса z, увеличивается в Пересчет вероятности появления разреза u из преобразованной системы в исходную производится в соответствии с (1.21):
Для выполнения обратного преобразования (1.22) кроме факта отказа системы необходимо фиксировать и вес z соответствующего разреза. Из (1.22) следует, что каждый случай появления разреза u с весом z в преобразованной системе соответствует
где При возникновении очередного отказа m в преобразованной системе оценки надежности Рm исходной системы уточняются в соответствии с выражением:
где Возникает вопрос, каким следует выбирать параметр преобразования γ для максимального убыстрения процесса статистических испытаний конкретной системы? Из (1.20) следует, что при γ = 1 изменение исходной надежности не происходит и убыстрение отсутствует. Если выбрать γ слишком большим, то в преобразованной системе будут в основном возникать разрезы большого веса, не характерные для исходной системы, причем их вклад в результирующую надежность при больших z в соответствии с (1.22) будет невелик. Поэтому параметр γ следует выбирать таким образом, чтобы максимизировать вероятность возникновения наиболее “ вероятных ” разрезов. Рассмотрим этот вопрос более подробно. Для простоты положим, что показатели надежности всех элементов системы одинаковы и равны р. Обозначим через P(z) вероятность возникновения отказовых состояний веса z. Очевидно, что вероятность потери работоспособности системы тогда будет:
Обыч
но для реальных систем значение
Для надежных систем в выражении (1.23) можно пренебречь всеми членами, кроме первого ненулевого, соответствующего минимальному разрезу веса
Из условия
Подставляя выражение (1.25) в (1.20), нетрудно убедиться, что оптимальное значение Убыстрение темпа набора статистики отказов в соответствии с (1.24), когда
Так, для системы с параметрами p = 0,99, N = 20, z0 = 3 время испытаний можно сократить приблизительно в 150 раз для достоверности получаемых результатов не хуже, чем в случае прямого набора статистики отказов системы. 2 ИССЛЕДОВАНИЕ СТРУ КТУРНОЙ НАДЕЖНОСТИ МЕТОДОМ СТАТИСТИЧЕСКОГО МОДЕЛИРОВАНИЯ 2.1 Критерии оценки структурн ой надежности методом статистического моделирования Современные сети коммутации имеют весьма сложную структуру [7]. Прежде всего, необходимо сформулировать критерий отказа сети. Через сеть обменивается информацией большое число пар абонентов, причем часто требуется, чтобы вероятность наличия связи между корреспондентами выделенной пары (r, l) была не менее заданной Рrl. Под наличием связи понимается существование, по крайней мере, одного исправного пути между соответствующими узлами. Конечно, в сложной сети наличие исправного пути еще не гарантирует немедленного установления соединения, так как элементы этого пути могут быть заняты для обмена информацией других корреспондентов. Однако, если предположить, что термин “наличие связи” относится только к информации высшей категории (доля которой в реальных сетях обычно весьма мала) и элементы любого исправного пути способны обеспечить обмен этой информацией в интересах всех корреспондентов, которые им могут воспользоваться, то возникает возможность рассматривать все пары корреспондентов независимо с точки зрения наличия связи между ними. В элементах сети, производительность которых недостаточна для обслуживания суммарной нагрузки высшей категории, можно предусмотреть большее число s рабочих компонентов. Таким образом, сеть обладает заданной надежностью, если вероятность наличия связи или, как говорят, вероятность связности Hrl для каждой пары узлов не менее заданной Рrl. В этих условиях расчет структурной надежности сети сводится к расчету вероятности связности между узлами. Следующим критерием оценки структурной надежности является интегральный критерий. По этому критерию сеть считается исправной (связной), если имеется связь между всеми ее узлами и задается требование на вероятность такого события. Последний критерий как раз и используется при оценке структурной надежности сети методом статистического моделирования. 2.2 Разр аботка алгоритма расчета структурной надежности 2.2.1 Алгоритм расчета структурной надежности сети связи методом статистического моделирования Опишем сначала принцип расчета структурной надежности сети методом статистического моделирования [4]. Сеть связи задают в виде вероятностной матрицы смежности
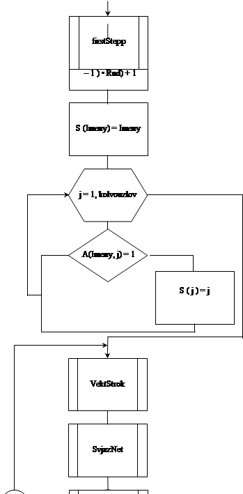
где Производится На первом этапе вырабатывают если если Результаты сравнения записываются в матрицу На втором этапе производится проверка структуры сети, которая описана матрицей Результатом оценки структурной надежности сети является значение Проверка сети на связность может осуществляться, например, на основе процедуры “соединения”. Ее суть заключается в следующем. На анализируемой сети выбирается произвольный узел. Далее находят смежные ему узлы и соединяют с ним. Это происходит до тех пор, пока сеть не представится в виде одного узла – “точки” (в случае если, сеть связана) или множества узлов (если сеть не связана). Разработанный на основе всего выше изложенного алгоритм программы, в общем виде, отобразим на рисунке 2.1. Опишем с начала переменные, используемые в этом алгоритме: i, e и j – переменные используемые в циклах типа for – next основной процедуры расчета надежности сети; PlasResult – хранит число благоприятных исходов; x( ) – динамический массив, равномерно распределенных в интервале (0, 1) чисел; Nnoi – хранит текущий номер испытания; maxNnoi – хранит общее число испытаний; PP – хранит значение вероятности события – сеть связна; Imeny – хранит номер случайно выбранного узла; S( ) – динамический массив, для хранения номеров смежных узлов; Nnew – хранит информацию о наличии новых смежных вершин; sngStartWork(1, 2) – массив дат начала и конца расчета надежности сети; sngStartWorkSEC – хранит число секунд расчета надежности сети; bar – промежуточная переменная для хранения текущего номера испытаний.
Рисунок 2.1 – Алгоритм расчета структурной надежности сети Отобразим более подробно алгоритмы тех процедур, которые непосредственно участвуют в определении события – сеть связна. Алгоритмы этих процедур разместим в порядке их вызова основной программой расчета структурной надежности сети связи методом статистического моделирования. Порядок вызова этих процедур и краткое описание их задачи сведем в таблицу 2.1. Таблица 2 .1 – Процедуры определения связности сети
Рисунок 2.2 – Алгоритм процедуры “ VektStrok ”
Рисунок 2.3 – Алгоритм процедуры “ SvjazNet ”
Рисунок 2.4 – Алгоритм процедуры “ FinishAns wer ” 2.2.2 Алгоритм интерфейсной части программы расчета надежности сети методом статистического моделирования Приведем рисунок алгоритма программы интерфейса.
2.3 Разработка программы расчета структурной надежности методом 2.3.1 Разработка расчетной части программы расчета структурной надежности сети Option Explicit Dim A (200, 200) As Single, p As Integer Public maxNnoi As Single, flgstopuser As Boolean Private Sub firstStepp (A( ) As Single, x( ) As Single) Dim n As Integer Dim i As Integer Dim j As Integer n = 1 For i = 1 To ((FrmSSN.kolvouzlov) - 1) '4 For j = i + 1 To (FrmSSN.kolvouzlov) '5 If A (i, j) > 0 Then If x (n) < A (i, j) Then A (i, j) = 1 Else A (i, j) = 0 End If n = n + 1 End If A (j, i) = A (i, j) Next j Next i End Sub Private Sub VektStrok (Nnew, Imeny As Integer, S( ) As Integer, A( ) As Single) Dim k As Integer Dim j As Integer For k = 1 To (FrmSSN.kolvouzlov) If S (k) > 0 Then For j = 1 To (FrmSSN.kolvouzlov) A (Imeny, j) = A (Imeny, j) + A (k, j) If A (Imeny, j) > 1 Then A (Imeny, j) = 1 End If Next j End If Next k Nnew = 0 End Sub Private Sub SvjazNet (Imeny As Integer, A( ) As Single, p As Integer) Dim j As Integer p = 1 For j = 1 To (FrmSSN.kolvouzlov) If A (Imeny, j) = 0 Then p = 0 Exit Sub End If Next j End Sub Private Sub FinishAnswer (A( ) As Single, PlasResult As Integer, Imeny As Integer, p _ As Integer, S() As Integer, Nnew As Integer) Dim j As Integer Dim Pm (1 To 6) As Integer Dim Nbg As Integer, nUlvekt As Integer If p <> 0 Then PlasResult = PlasResult + 1 Exit Sub End If Nbg = 0 Nnew = 0 nUlvekt = 0 For j = 1 To (FrmSSN.kolvouzlov) If A (Imeny, j) = 1 Then Pm (j) = j Else: nUlvekt = nUlvekt + 1 End If Next j If nUlvekt = (FrmSSN.kolvouzlov) Then Exit Sub End If For j = 1 To (FrmSSN.kolvouzlov) If Pm (j) <> S (j) Then S (j) = Pm (j) Nnew = Nnew + 1 End If Next j End Sub Private Sub FormirNLmassWork ( ) Dim initm As Integer For initm = 1 To FrmSSN.kolvolin FrmSSN.numUZmu initm, FrmSSN.kolvouzlov, 2, na1, na2 A (na1, na2) = FrmSSN.UvmLN (initm) A (na2, na1) = A (na1, na2) Next initm End Sub Public Sub cmdrasch_workmod ( ) Dim i As Integer, j As Integer Dim PlasResult As Integer, e As Integer Dim x( ) As Single, C As Integer Dim Nnoi As Integer Dim PP As Currency, Imeny As Integer Dim S ( ) As Integer Dim Nnew As Integer Dim sngStartWork (1, 1 To 2) As Date Dim sngStartWorkSEC As Single, bar As Integer frmBrWk.PrgBarWSind.Min = 0: frmBrWk.PrgBarWSind.Max = 100 frmBrWk.PrgBarWSind.Visible = False frmBrWk.LblSwrE(1).Caption = 0 PlasResult = 0 ReDim Preserve x (FrmSSN.kolvolin) ReDim Preserve S (FrmSSN.kolvouzlov) Randomize For Nnoi = 1 To maxNnoi DoEvents If MdlWorkSpase.flgstopuser = True Then Exit For If Nnoi = 1 Then sngStartWork(1, 1) = Now sngStartWorkSEC = Timer frmBrWk.LblSwrE(1).Caption = sngStartWork(1, 1) End If For e = 1 To FrmSSN.kolvolin x (e) = Rnd Next e firstStepp A, x'1 Imeny = (((FrmSSN.kolvouzlov) - 1) * Rnd) + 1 S (Imeny) = Imeny For j = 1 To FrmSSN.kolvouzlov If A (Imeny, j) = 1 Then S (j) = j End If Next j VektStr: VektStrok Nnew, Imeny, S, A'2 SvjazNet Imeny, A, p'3 FinishAnswer A, PlasResult, Imeny, p, S, Nnew'4 If Nnew <> 0 Then GoTo VektStr End If For i = 1 To FrmSSN.kolvouzlov S (i) = 0 For j = 1 To FrmSSN.kolvouzlov A (i, j) = 0 Next j Next i bar = Nnoi frmBrWk.PrgBarWSind.Value = ((bar / maxNnoi) * 100) frmBrWk.PrgBarWSind.Visible = True Next Nnoi If MdlWorkSpase.flgstopuser = True Then Exit Sub PP = (PlasResult / maxNnoi) sngStartWorkSEC = (Timer - sngStartWorkSEC) sngStartWork (1, 2) = Now: frmBrWk.LblSwrE(0).Caption = sngStartWork(1, 2) UserFormVorkClosed sngStartWorkSEC, maxNnoi, PP, sngStartWork End Sub Private Sub UserFormVorkClosed (sngStartWorkSEC, maxNnoi, PP, sngStartWork) Dim work As Integer, TimeWork As String Dim bufchench1 As Date, bufchench2 As Currency If sngStartWork (1, 1) <> sngStartWork (1, 2) Then If (sngStartWork (1, 2) - sngStartWork (1, 1)) > sngStartWorkSEC _ And (sngStartWork (1, 2) - sngStartWork (1, 1)) < 1 Then GoTo 12 bufchench1 = (sngStartWork(1, 2) - sngStartWork(1, 1)) TimeWork = Str(bufchench1) Else 12: bufchench2 = sngStartWorkSEC TimeWork = Str (0) & Str (bufchench2) & " секунды" End If work = MsgBox("Расчет структурной надежности закончен !" & vbCrLf & Chr$(13) & "Число испытаний : " & maxNnoi & vbCrLf & "Вероятность связности : " & PP & vbCrLf & "Расчет длился около : " & TimeWork, vbInformation + vbOKOnly, " ") sngStartWork(1, 1) = 0: sngStartWork(1, 2) = 0 sngStartWorkSEC = 0: frmBrWk.PrgBarWSind.Value = 0 Unload frmBrWk End Sub 2.3 .2 Разработка интерфейсной части программы расчета структурной надежности сети Интерфейсная часть программы состоит из четырех частей, а именно: · первая, основная часть, располагается в файле формы основного окна “ FrmSSN ”; · следующая часть располагается в файле формы окна расчета структурной надежности “ frmBrWk ”; · третья часть программы находится в файле формы окна конфигурирования координатной сетки “ FrmPrWeb ”; · четвертая, последняя, часть программы – в файле формы окна ввода числовой характеристики выбранной линии “ FrmNwORsZ ”. Приведем листинги данных частей, интерфейсной части программы расчета структурной надежности сети, в этом же порядке. Первая часть Option Explicit Public kolvouzlov As Integer, needFRsave As Boolean Public kolvolin As Integer Dim znak As Boolean, zamok As Boolean Dim x1 As Integer, y1 As Integer Dim x2 As Integer, y2 As Integer Dim MasKoLuZv(1 To 200, 1 To 5) As Single Dim keeCH As Boolean Dim deletealluz As Boolean, deletealllinsv As Boolean Dim keeAB As Boolean, testimonial As Boolean Dim testNyn As Boolean, change As Boolean Dim mlinesSV(1 To 400, 1 To 10) As Single, SFALNAME As String Const myORno As String = "sns" Dim zapros As Boolean Public poweb As Boolean Public shwebx As Single, shweby As Single Public bJampWeb As Boolean Private Sub svayzy (x1, x2, y1, y2, iduzla, Index, mlinesSV, kolvolin) Dim i As Integer, j As Integer On Error GoTo metSVx If deletealllinsv = True And kolvolin > 0 Then FrmSSN.Enabled = False FrmSSN.MousePointer = 3 For i = 1 To kolvolin For j = 1 To 10 mlinesSV(i, j) = 0 Next j: Next i kolvolin = 0 Else For i = 1 To kolvolin If mlinesSV(i, 1) = 0 Then mlinesSV(i, 1) = iduzla: mlinesSV(i, 2) = Index mlinesSV(i, 3) = x1: mlinesSV(i, 4) = y1 mlinesSV(i, 5) = x2: mlinesSV(i, 6) = y2 mlinesSV(i, 7) = 0 mlinesSV(i, 8) = 0: mlinesSV(i, 9) = 0 '-номера вершин (новые) mlinesSV(i, 10) = 0 '-вес линии Exit Sub End If Next i End If FrmSSN.Enabled = True FrmSSN.MousePointer = 0 brcoutSVX: Exit Sub metSVx: MsgBox "Error № " & Err.Number & " " & " (" & Err.Description & ") occured.", vbCritical, "Error" GoTo brcoutSVX End Sub Private Sub LinColorsv (NuMl As Integer, LcolorS, mlinesSV) On Error GoTo HTYH Select Case mlinesSV(NuMl, 7) Case Is = 0 LcolorS = vbBlue Case Is = 1 LcolorS = vbRed Case Is = 2 LcolorS = RGB(210, 0, 210) End Select HTYH: End Sub Private Sub CmdBk_Click ( ) Dim nnoN As Integer CmdWORKsch.Enabled = False Cmd1.Visible = True Cmd2.Visible = True keeAB = False For nnoN = 1 To kolvouzlov nnOuzN((MasKoLuZv(nnoN, 1))).Enabled = False Next nnoN CmdFwd.Enabled = False CmdBk.Enabled = False Frame1.Enabled = True Frame1.Caption = ("План сети") End Sub Private Sub CmdFwd_Click ( ) CmdFwd.Enabled = False CmdBk.Enabled = True If keeAB = False Then Frame1.Caption = ("Параметры") Cmd1.Visible = False Cmd2.Visible = False keeAB = True If change = True Or change = False Then TestNet testNyn End Sub Private Sub TestNet (testNyn) '-проверка связанных узлов Dim tuZnSvYnOk As Integer, nuzysy As Integer On Error GoTo metTNx If change = False And kolvouzlov = 0 Then GoTo 101 For tuZnSvYnOk = 1 To kolvouzlov If MasKoLuZv(tuZnSvYnOk, 1) > 0 And MasKoLuZv(tuZnSvYnOk, 4) >= 1 Then nuzysy = nuzysy + 1 End If Next tuZnSvYnOk If nuzysy = kolvouzlov And nuzysy > 1 Then testNyn = True For tuZnSvYnOk = 1 To kolvouzlov If MasKoLuZv(tuZnSvYnOk, 1) > 0 Then nnOuzN(MasKoLuZv(tuZnSvYnOk, 1)).Move (MasKoLuZv(tuZnSvYnOk, 2) – _ (nnOuzN(MasKoLuZv(tuZnSvYnOk, 1)).Width / 2)), (MasKoLuZv(tuZnSvYnOk, 3) – – (nnOuzN(MasKoLuZv(tuZnSvYnOk, 1)).Height / 2)) nnOuzN(MasKoLuZv(tuZnSvYnOk, 1)).Visible = True: nnOuzN(MasKoLuZv(tuZnSvYnOk, 1)).Enabled = True End If Next tuZnSvYnOk change = False Else 101: nuzysy = 0 nuzysy = MsgBox(" ВЫ допустили ошибку. Данная сеть НЕ связна !!! " _ & vbCrLf & vbCr & " Это не позволит вам ввести характеристики сети" _ & vbCrLf & " Для исправления ошибки нажмите : << Назад >>" _ , vbCritical + vbOKOnly, " Проверка связности сети ") Frame1.Enabled = False CmdFwd.Enabled = False End If brcoutTN: Exit Sub metTNx: MsgBox "Error № " & Err.Number & " " & " (" & Err.Description & ") occured.", vbCritical, "Error" GoTo brcoutTN End Sub Private Sub CmdWEB_Click ( ) Dim Wsetki As Single, Hsetki As Single Dim i As Integer, j As Integer Dim shag As Boolean, LcolorS As Double Const webxy As Single = 201 On Error GoTo metWEBx If poweb = False Then shwebx = webxy shweby = shwebx End If If bJampWeb = True And keeCH = True Then shag = True: GoTo 7 ElseIf bJampWeb = True And keeCH = False Then shag = False: GoTo 7 End If If keeCH = False Then 8: Picture1.DrawStyle = 2 For Wsetki = (shwebx) To (Picture1.Width) Step (shwebx) Picture1.Line ((Wsetki), 1)-((Wsetki), (Picture1.Height - 1)) Next Wsetki For Hsetki = (shweby) To (Picture1.Height) Step (shweby) Picture1.Line (1, Hsetki)-((Picture1.Width - 1), Hsetki) Next Hsetki keeCH = True Else '*перерисовка линий S-T* 7: Picture1.DrawStyle = 6 Picture1.Cls For i = 1 To kolvolin If mlinesSV(i, 1) <> 0 Then LinColorsv i, LcolorS, mlinesSV '- определение цвета линии Picture1.Line ((mlinesSV(i, 3)), (mlinesSV(i, 4)))-((mlinesSV(i, 5)), _ (mlinesSV(i, 6))), LcolorS End If '*перерисовка линий E-D* Next i If shag = True Then GoTo 8 keeCH = False End If Picture1.DrawStyle = 6 brcoutWEB: Exit Sub metWEBx: MsgBox "Error № " & Err.Number & " " & " (" & Err.Description & ") occured.", vbCritical, "Error" GoTo brcoutWEB End Sub Private Sub Cmd1_Click ( ) '-уменьшение узла Dim ti As Integer, tip As Integer On Error GoTo metGGG If Optuzel.Value = False Then Exit Sub: Picture1.AutoRedraw = False: Picture1.Enabled = False For ti = Pct1.lBound To kolvouzlov If (Pct1(0).Width) > 402 Then '-мин размер для индекса=400 If ti > 0 Then tip = MasKoLuZv(ti, 1) Else tip = ti Pct1(tip).Visible = False Pct1(tip).Width = (Pct1(0).Width - 20) Pct1(tip).Height = (Pct1(0).Height - 20) If ti <> 0 Then Pct1(tip).Left = (Pct1(tip).Left + 10) Pct1(tip).Top = (Pct1(tip).Top + 10) Pct1(tip).Visible = True End If End If Next ti Picture1.AutoRedraw = True: Picture1.Enabled = True brcoutGGG: Exit Sub metGGG: MsgBox "Error № " & Err.Number & " " & " (" & Err.Description & ") occured.", vbCritical, "Error" GoTo brcoutGGG End Sub Private Sub Cmd2_Click ( ) '-увеличение узла Dim i As Integer, pip As Integer On Error GoTo metTYP If Optuzel.Value = False Then Exit Sub: Picture1.AutoRedraw = False: Picture1.Enabled = False For i = 0 To kolvouzlov If (Pct1(0).Width) < 700 Then If i > 0 Then pip = MasKoLuZv(i, 1) Else pip = i Pct1(pip).Visible = False Pct1(pip).Width = (Pct1(0).Width + 20) Pct1(pip).Height = (Pct1(0).Height + 20) If i <> 0 Then Pct1(pip).Left = (Pct1(pip).Left - 10) Pct1(pip).Top = (Pct1(pip).Top - 10) Pct1(pip).Visible = True End If End If Next i Picture1.AutoRedraw = True: Picture1.Enabled = True brcoutTYP: Exit Sub metTYP: MsgBox "Error № " & Err.Number & " " & " (" & Err.Description & ") occured.", vbCritical, "Error" GoTo brcoutTYP End Sub Private Sub CmdWORKsch_Click ( ) Dim parallyn As Integer, zn As Integer Dim zun As Integer Dim ikf As Integer On Error GoTo metBRsy If testimonial = True Then zn = 0 For parallyn = 1 To kolvolin If mlinesSV(parallyn, 10) > 0 And mlinesSV(parallyn, 8) > 0 _ And mlinesSV(parallyn, 9) = 0 Then For ikf = 1 To kolvouzlov If MasKoLuZv(ikf, 1) > 0 And MasKoLuZv(ikf, 1) = mlinesSV(parallyn, 2) Then mlinesSV(parallyn, 9) = MasKoLuZv(ikf, 5) Exit For End If Next ikf ElseIf mlinesSV(parallyn, 10) > 0 And mlinesSV(parallyn, 8) = 0 _ And mlinesSV(parallyn, 9) > 0 Then For ikf = 1 To kolvouzlov If MasKoLuZv(ikf, 1) > 0 And MasKoLuZv(ikf, 1) = mlinesSV(parallyn, 1) Then mlinesSV(parallyn, 8) = MasKoLuZv(ikf, 5) Exit For End If Next ikf ElseIf mlinesSV(parallyn, 10) > 0 And mlinesSV(parallyn, 8) = 0 _ And mlinesSV(parallyn, 9) = 0 Then For ikf = 1 To kolvouzlov If MasKoLuZv(ikf, 1) > 0 And MasKoLuZv(ikf, 1) = mlinesSV(parallyn, 1) Then mlinesSV(parallyn, 8) = MasKoLuZv(ikf, 5) ElseIf MasKoLuZv(ikf, 1) > 0 And MasKoLuZv(ikf, 1) = mlinesSV(parallyn, 2) Then mlinesSV(parallyn, 9) = MasKoLuZv(ikf, 5) End If Next ikf End If If mlinesSV(parallyn, 8) > 0 And mlinesSV(parallyn, 9) > 0 _ And mlinesSV(parallyn, 10) > 0 Then zn = zn + 1 Next parallyn zun = 0 For parallyn = 1 To kolvouzlov If MasKoLuZv(parallyn, 5) <> 0 Then zun = zun + 1 Next parallyn If zn = kolvolin And zun = kolvouzlov Then Load frmBrWk frmBrWk.Show vbModal Exit Sub Else 247: zn = MsgBox(" Вы ввели НЕ все параметры сети. " & vbCrLf & _ " Проверьте ! ВСЕ ЛИ узлы пронумерованы " & vbCrLf & _ " Для ВСЕХ ЛИ линий вы ввели характеристики ?", _ vbCritical + vbOKOnly, _ " Ошибка ввода числовых характеристик сети !") Exit Sub End If Else GoTo 247 End If brcoutZZ: Exit Sub metBRsy: MsgBox "Error № " & Err.Number & " " & " (" & Err.Description & ") occured.", vbCritical, "Error" GoTo brcoutZZ End Sub Private Sub Form_Load ( ) On Error GoTo metLFM FrmSSN.MousePointer = vbArrow Picture2.Visible = True keeCH = False bJampWeb = False deletealluz = False deletealllinsv = False CmdFwd.Enabled = False CmdBk.Enabled = False CmdWORKsch.Enabled = False keeAB = False testNyn = False change = False testimonial = False needFRsave = False zapros = False poweb = False '&&& начальная установка подменю mnuClose.Enabled = False mnuSave.Enabled = False mnuSaveAs.Enabled = False mnuweb.Enabled = False mnuwebYN.Checked = False mnuWBconf.Enabled = False '&&& Picture1.Visible = False: Frame1.Visible = False Cmd1.Visible = False: Cmd2.Visible = False CmdWEB.Enabled = False brcoutLFM: Exit Sub metLFM: MsgBox "Error № " & Err.Number & " " & " (" & Err.Description & ") occured.", vbCritical, "Error" GoTo brcoutLFM End Sub Private Sub mnuClose_Click ( ) Dim emss As Integer On Error GoTo metClDf If needFRsave = True Then emss = MsgBox(" Вы хотите сохранить внесенные изменения ?",_ vbExclamation + vbYesNo, " Закрытие файла ") If emss = vbYes Then mnuSave_Click End If SFALNAME = "" Picture2.Visible = True: Picture1.Visible = False Frame1.Visible = False: Cmd1.Visible = False Cmd2.Visible = False: CmdWEB.Visible = False Opt1.Value = True: CmdWORKsch.Enabled = False zapros = False poweb = False mnuOpen.Enabled = True deletealluz = True: deletealllinsv = True Picture1.Cls: svayzy 0, 0, 0, 0, 0, 0, mlinesSV, kolvolin NeWorKorrkolUZ 0, kolvouzlov, 0, 0, 0 LblLN(1).Caption = 0 LbluZ(1).Caption = 0 mnuNew.Enabled = True mnuClose.Enabled = False mnuSave.Enabled = False mnuSaveAs.Enabled = False mnuweb.Enabled = False mnuwebYN.Checked = False keeAB = False testimonial = False needFRsave = False CmdFwd.Enabled = False CmdBk.Enabled = False brcoutDf: Exit Sub metClDf: MsgBox "Error № " & Err.Number & " " & " (" & Err.Description & ") occured.", vbCritical, "Error" GoTo brcoutDf End Sub Private Sub mnuExit_Click ( ) Dim emss As Integer If needFRsave = True Then emss = MsgBox(" Вы хотите сохранить внесенные изменения ?", _ vbExclamation + vbYesNo, " Завершение работы с программой ") If emss = vbYes Then mnuSave_Click End If Unload FrmSSN Set FrmSSN = Nothing End Sub Private Sub mnuNew_Click ( ) On Error GoTo metOUTsbA Picture2.Visible = False: Picture1.Visible = True Frame1.Visible = True: Cmd1.Visible = True Cmd2.Visible = True: CmdWEB.Visible = True mnuOpen.Enabled = False mnuNew.Enabled = False mnuClose.Enabled = True mnuSave.Enabled = True mnuSaveAs.Enabled = True mnuweb.Enabled = True deletealluz = False deletealllinsv = False testimonial = False needFRsave = False brcoutA0: Exit Sub metOUTsbA: MsgBox "Error № " & Err.Number & " " & " (" & Err.Description & ") occured.", _ vbCritical, "Error" GoTo brcoutA0 End Sub Private Sub mnuOpen_Click ( ) Dim ORnost As String, msNMF As Integer Dim nF As Integer Dim BREDpt As Boolean On Error GoTo metERSSst BREDpt = False mnuNew.Enabled = False mnuweb.Enabled = True deletealluz = False deletealllinsv = False cldfilfunk.Flags = cdlOFNHideReadOnly cldfilfunk.ShowOpen SFALNAME = cldfilfunk.FileName ORnost = Right$(SFALNAME, 4) If Len(SFALNAME) = 0 Then 564:mnuNew.Enabled = True mnuweb.Enabled = False Exit Sub End If If myORno = Right$(SFALNAME, 3) And 46 = Asc(Mid(ORnost, 1, 1)) Then FCnetR BREDpt cldfilfunk.FileName = "" If BREDpt = True Then GoTo 564 netUPload Else msNMF = MsgBox("Данный файл НЕ является файлом приложения SSN", _ vbCritical + vbOKOnly, " Не верный формат файла ") cldfilfunk.FileName = " " mnuNew.Enabled = True mnuweb.Enabled = False Exit Sub End If brcout77: Exit Sub metERSSst: MsgBox "Error № " & Err.Number & " " & " (" & Err.Description & ") occured.", _ vbCritical, "Error" GoTo brcout77 End Sub Private Sub netUPload ( ) Dim w As Integer On Error GoTo metERSS03 For w = 1 To kolvouzlov Load nnOuzN(MasKoLuZv(w, 1)) Load Pct1(MasKoLuZv(w, 1)) Pct1(MasKoLuZv(w, 1)).Move MasKoLuZv(w, 2) – – Pct1(MasKoLuZv(w, 1)).Width / 2, _ MasKoLuZv(w, 3) – Pct1(MasKoLuZv(w, 1)).Height / 2 Pct1(MasKoLuZv(w, 1)).Visible = True If MasKoLuZv(w, 1) > 0 Then nnOuzN(MasKoLuZv(w, 1)).Move (MasKoLuZv(w, 2) – – (nnOuzN(MasKoLuZv(w, 1)).Width / 2)), _ (MasKoLuZv(w, 3) – (nnOuzN(MasKoLuZv(w, 1)).Height / 2)) nnOuzN(MasKoLuZv(w, 1)).Visible = True nnOuzN(MasKoLuZv(w, 1)).Enabled = True End If If testimonial = True And MasKoLuZv(w, 5) > 0 Then nnOuzN(MasKoLuZv(w, 1)).Text = MasKoLuZv(w, 5) nnOuzN(MasKoLuZv(w, 1)).BackColor = RGB(0, 250, 243) nnOuzN(MasKoLuZv(w, 1)).Locked = True End If Next w bJampWeb = True CmdWEB_Click bJampWeb = False Picture2.Visible = False: Picture1.Visible = True Frame1.Visible = True: Cmd1.Visible = True Cmd2.Visible = True: CmdWEB.Visible = True mnuClose.Enabled = True mnuSave.Enabled = True mnuSaveAs.Enabled = True mnuOpen.Enabled = False LbluZ(1).Caption = kolvouzlov LblLN(1).Caption = kolvolin If keeAB = True Then Cmd1.Visible = False Cmd2.Visible = False End If brcout3: Exit Sub metERSS03: MsgBox "Error № " & Err.Number & " " & " (" & Err.Description & ") occured.", vbCritical, "Error" GoTo brcout3 End Sub Private Sub FcnetR (Bpt As Boolean) Dim st0 As String, j As Integer Dim nF As Integer, nwwd As Integer Dim clermgs As String, st1 As String Dim stx As String On Error GoTo kasjakmet nF = FreeFile st1 = "777*NSN!& – _ &!SEV_*_ftAC*&&&*015401680161013101470146013600163046014101740162 _ 0174099016801610168011209901700*777" Open SFALNAME For Input As #nF Input #nF, st0 If st0 <> st1 Then clermgs = "Данный файл НЕ является файлом приложения SSN" GoTo 22 End If Input #nF, stx keeAB = CBool(stx) Input #nF, stx testimonial = CBool(stx) Input #nF, stx kolvouzlov = CInt(stx) For nwwd = 1 To kolvouzlov For j = 1 To 5 Input #nF, MasKoLuZv(nwwd, j) 'stx Next j Next nwwd '-конец ввода массива узлов Input #nF, stx Input #nF, stx kolvolin = CInt(stx) For nwwd = 1 To kolvolin For j = 1 To 10 If j = 10 Then Input #nF, mlinesSV(nwwd, j) mlinesSV(nwwd, j) = mlinesSV(nwwd, j) / 1000 Else Input #nF, mlinesSV(nwwd, j) 'stx End If Next j Next nwwd '- конец ввода массива линий 23: Close #nF Exit Sub kasjakmet: Select Case Err Case Is = 76 clermgs = " Путь " & SFALNAME & " НЕ найден " Case Is = 62 GoTo 23 Case Else clermgs = "Данный файл НЕ является файлом приложения SSN" End Select 22: nwwd = MsgBox(clermgs, vbInformation + vbOKOnly, " Ошибка чтения файла") Bpt = True GoTo 23 End Sub Private Sub mnuSave_Click ( ) If SFALNAME <> "" And needFRsave = True And zapros = False Then cldfilfunk.Flags = cdlOFNOverwritePrompt FCnetM ElseIf needFRsave = True Then mnuSaveAs_Click End If End Sub Private Sub mnuSaveAs_Click ( ) cldfilfunk.Flags = cdlOFNOverwritePrompt cldfilfunk.ShowSave SFALNAME = cldfilfunk.FileName If Len(SFALNAME) = 0 Then Exit Sub myNfkorr End Sub Private Function CheckNames (name As String) As Boolean Dim Result As Boolean Result = True If (InStr(name, "\")) Then Result = False If (InStr(name, "/")) Then Result = False If (InStr(name, ":")) Then Result = False If (InStr(name, ";")) Then Result = False If (InStr(name, "*")) Then Result = False If (InStr(name, """")) Then Result = False If (InStr(name, "?")) Then Result = False If (InStr(name, ">")) Then Result = False If (InStr(name, "<")) Then Result = False If (InStr(name, "|")) Then Result = False If (InStr(name, ",")) Then Result = False CheckNames = Result End Function Private Sub myNfkorr ( ) Dim chstras As String, snumpoint As Integer Dim rrr As String On Error GoTo 898 rrr = cldfilfunk.FileTitle If CheckNames(rrr) = False Or Len(rrr) = 0 Then 11:MsgBox " Недопустимое имя файла " zapros = True cldfilfunk.FileName = "" Exit Sub ElseIf 46 = Asc(Mid(rrr, 1, 1)) Then GoTo 11 End If chstras = Right$(SFALNAME, 4) If myORno <> Right$(SFALNAME, 3) And 46 = Asc(Mid(chstras, 1, 1)) Then Mid(SFALNAME, (Len(SFALNAME) - 2), 3) = myORno ElseIf myORno <> Right$(SFALNAME, 3) And 46 <> Asc(Mid(chstras, 1, 1)) Then If InStr(1, SFALNAME, ".") <> 0 Then SFALNAME = Left$(SFALNAME, (InStr(1, SFALNAME, ".") - 1)) SFALNAME = SFALNAME & ".sns" Else SFALNAME = SFALNAME & ".sns" End If End If FCnetM brcout: Exit Sub 898: MsgBox "Error № " & Err.Number & " " & " (" & Err.Description & ") occured.", vbCritical, "Error" GoTo brcout End Sub Private Sub FcnetM ( ) Dim st0 As String, j As Integer Dim nF As Integer, nwwd As Integer Dim clermgs As String On Error GoTo kasjakmet nF = FreeFile st0 = "777*NSN!& – _ &!SEV_*_ftAC*&&&*015401680161013101470146013600163046014101740162 _ 0174099016801610168011209901700*777" FrmSSN.Enabled = False FrmSSN.MousePointer = 11 Open SFALNAME For Output As #nF Write #nF, st0 Write #nF, CStr(keeAB) Write #nF, CStr(testimonial) Print #nF, CStr(kolvouzlov), For nwwd = 1 To kolvouzlov If MasKoLuZv(nwwd, 1) > 0 Then Write #nF, For j = 1 To 5 Print #nF, MasKoLuZv(nwwd, j), Next j End If Next nwwd '-конец ввода массива узлов Write #nF, Write #nF, Print #nF, CStr(kolvolin), For nwwd = 1 To kolvolin If mlinesSV(nwwd, 1) > 0 Then Write #nF, For j = 1 To 10 If j = 10 Then Print #nF, (mlinesSV(nwwd, j) * 1000), Else Print #nF, mlinesSV(nwwd, j), End If Next j End If Next nwwd '- конец ввода массива линий Write #nF, needFRsave = False 23: Close #nF FrmSSN.Enabled = True FrmSSN.MousePointer = 0 Exit Sub kasjakmet: Select Case Err Case Is = 76 clermgs = " Путь " & SFALNAME & " НЕ найден " SFALNAME = "" Case Is = 62 GoTo 23 Case Is = 53 clermgs = " Требуемый файл был удален или перемещен " clermgs = clermgs & vbCrLf & " Используйте меню " & " Файл \ Сохранить как..." Case Else MsgBox "Error № " & Err.Number & " " & " (" & Err.Description & ") occured.", vbCritical, "Error" GoTo 23 End Select nwwd = MsgBox(clermgs, vbInformation + vbOKOnly, _ " Ошибка сохранения файла") cldfilfunk.FileName = "" GoTo 23 End Sub Public Sub ZAPWEB ( ) If keeCH = False Then CmdWEB_Click Else CmdWEB_Click keeCH = False CmdWEB_Click End If End Sub Private Sub mnuWBconf_Click ( ) On Error GoTo 1111 Load FrmPrWeb FrmPrWeb.Show vbModal brt1: Exit Sub 1111: MsgBox "Error № " & Err.Number & " " & " (" & Err.Description & ") occured.", vbCritical, "Error" GoTo brt1 End Sub Private Sub mnuwebYN_Click ( ) '-активизация/де активизация сетки Static webyes As Integer On Error GoTo metERSS01 webyes = webyes + 1 If webyes = 1 Then mnuwebYN.Checked = True: CmdWEB.Enabled = True mnuWBconf.Enabled = True Else webyes = 0 mnuwebYN.Checked = False: CmdWEB.Enabled = False mnuWBconf.Enabled = False End If brcout1: Exit Sub metERSS01: MsgBox "Error № " & Err.Number & " " & " (" & Err.Description & ") occured.", vbCritical, "Error" GoTo brcout1 End Sub Private Sub nnOuzN_GotFocus (Index As Integer) nnOuzN(Index).SelStart = 0 nnOuzN(Index).SelLength = 3 End Sub Private Sub nnOuzN_KeyPress (Index As Integer, KeyAscii As Integer) Dim messege0 As Integer, zapMuzElin As Integer On Error GoTo metERSS1 If Optlinswyazi.Value = True Or Opt1.Value = True Then Exit Sub If KeyAscii = 13 Then If KeyAscii = 13 And nnOuzN(Index).Locked = True Then Exit Sub If Val(nnOuzN(Index).Text) = 0 Or Not IsNumeric(nnOuzN(Index)) Then messege0 = MsgBox("Данный параметр НЕ может содержать буквенные или нулевые значения ", vbCritical + vbOKOnly, " Ошибка пользовательского ввода !!! ") Exit Sub Else nnOuzN(Index).Text = Val(nnOuzN(Index).Text) nnOuzN(Index).BackColor = RGB(0, 250, 243) nnOuzN(Index).Locked = True: nnOuzN(Index).Locked = True '- код присвоения нового номера узлу < и в м линий > For zapMuzElin = 1 To kolvouzlov If MasKoLuZv(zapMuzElin, 1) = Index Then MasKoLuZv(zapMuzElin, 5) = Val(nnOuzN(Index).Text) End If Next zapMuzElin For zapMuzElin = 1 To kolvolin If mlinesSV(zapMuzElin, 1) > 0 Then If mlinesSV(zapMuzElin, 1) = Index Then mlinesSV(zapMuzElin, 8) = Val(nnOuzN(Index).Text) ElseIf mlinesSV(zapMuzElin, 2) = Index Then mlinesSV(zapMuzElin, 9) = Val(nnOuzN(Index).Text) End If End If Next zapMuzElin '-присвоение нового номера узлу<и в м линий> needFRsave = True testimonial = True End If Else If nnOuzN(Index).Locked = True Then messege0 = MsgBox("Вы хотите изменить номер выбранного узла : " _ & nnOuzN(Index).Text , vbQuestion + vbYesNo, " Изменение номера узла ") If messege0 = vbYes Then nnOuzN(Index).BackColor = vbGreen nnOuzN(Index).Locked = False Exit Sub End If End If End If brcout10: Exit Sub metERSS1: MsgBox "Error № " & Err.Number & " " & " (" & Err.Description & ") occured.", vbCritical, "Error" GoTo brcout10 End Sub Private Sub Opt1_Click ( ) Opt1.Value = True If keeAB = False Then CmdFwd.Enabled = True End Sub Private Sub Opt1_GotFocus ( ) Opt1.DownPicture = LoadPicture(App.Path & "\Arrow_1.cur") If keeAB = False Then CmdFwd.Enabled = True Else CmdFwd.Enabled = False CmdWORKsch.Enabled = True CmdBk.Enabled = True End If End Sub Private Sub Opt1_LostFocus ( ) Opt1.Picture = LoadPicture(App.Path & "\Busy_m.cur") End Sub Private Sub Optlinswyazi_Click ( ) CmdFwd.Enabled = False CmdBk.Enabled = False Optlinswyazi.Value = True Opt1.Picture = LoadPicture(App.Path & "\Busy_m.cur") Picture1.MousePointer = vbArrow End Sub Private Sub Optuzel_Click ( ) CmdFwd.Enabled = False CmdBk.Enabled = False Optuzel.Value = True Opt1.Picture = LoadPicture(App.Path & "\Busy_m.cur") Picture1.MousePointer = 2 End Sub Private Sub svjaziuz (idsuz1 As Integer, idsuz2 As Integer, MasKoLuZv, kolvouzlov) Dim nomuz As Integer On Error GoTo metERSS2 For nomuz = 1 To kolvouzlov If MasKoLuZv(nomuz, 1) > 0 And MasKoLuZv(nomuz, 1) = _ idsuz1 Or MasKoLuZv(nomuz, 1) = idsuz2 Then MasKoLuZv(nomuz, 4) = MasKoLuZv(nomuz, 4) + 1 End If Next nomuz brcout20: Exit Sub metERSS2: MsgBox "Error № " & Err.Number & " " & " (" & Err.Description & ") occured.", vbCritical, "Error" GoTo brcout20 End Sub Private Sub Pct1_GotFocus(Index As Integer) Pct1(Index).MousePointer = vbArrow End Sub Private Sub testlSN (tochka1 As Integer, tochka2 As Integer, SVLT( ) As Single, _ zkk As Boolean) Dim mnl As Integer, msSVsp As Integer On Error GoTo metERSS3 FrmSSN.Enabled = False FrmSSN.MousePointer = 11 FrmSSN.Picture1.MousePointer = 11 For mnl = 1 To kolvolin If SVLT(mnl, 1) > 0 Then If SVLT(mnl, 1) = tochka1 And SVLT(mnl, 2) = tochka2 Or SVLT(mnl, 2) = _ tochka1 And SVLT(mnl, 1) = tochka2 Then msSVsp = MsgBox(" Выбранная вами пара узлов уже соединена ", _ vbInformation + vbOKOnly, " Ограничение ввода ") zkk = True FrmSSN.Enabled = True FrmSSN.MousePointer = 0 Exit Sub End If End If Next mnl zkk = False FrmSSN.Enabled = True FrmSSN.MousePointer = 0 FrmSSN.Picture1.MousePointer = 1 brcout30: Exit Sub metERSS3: MsgBox "Error № " & Err.Number & " " & " (" & Err.Description & ") occured.", vbCritical, "Error" GoTo brcout30 End Sub Private Sub Pct1_MouseDown (Index As Integer, Button As Integer, Shift As Integer, _ x As Single, Y As Single) Static iduzla As Integer, i As Integer Dim nResult As Integer, niduzla As Integer Dim nPredeL1 As Integer On Error GoTo metERSS4 If Optlinswyazi.Value = True And Button <> vbRightButton Then If keeAB = True Then Exit Sub Pct1(Index).BackColor = vbBlack If znak = True Then x1 = Pct1(Index).Left + ((Pct1(Index).Width) / 2) y1 = Pct1(Index).Top + (Pct1(Index).Height / 2) iduzla = Index znak = False Else: If iduzla = Index Then Exit Sub x2 = Pct1(Index).Left + (Pct1(Index).Width / 2) y2 = Pct1(Index).Top + (Pct1(Index).Height / 2) nResult = MsgBox(" Соединить узлы ? ", vbYesNo + vbExclamation, _ " Соединение выбранных узлов !") If nResult = vbYes Then zamok = False Pct1(iduzla).BackColor = vbBlue: Pct1(Index).BackColor = vbBlue svjaziuz iduzla, Index, MasKoLuZv, kolvouzlov testlSN iduzla, Index, mlinesSV, zamok If zamok = True Then GoTo 2 kolvolin = kolvolin + 1 LblLN(1).Caption = Str(kolvolin) If kolvolin > 400 Then nPredeL1 = MsgBox(" количество линий = 400 ! ", vbOKOnly, _ " предел количества линий ") If nPredeL1 = vbOK Then GoTo 2 End If svayzy x1, x2, y1, y2, iduzla, Index, mlinesSV, kolvolin needFRsave = True change = True Picture1_GotFocus Else: 2: x1 = 0 x2 = 0 y1 = 0 y2 = 0 znak = True Pct1(iduzla).BackColor = vbBlue: Pct1(Index).BackColor = vbBlue End If End If ElseIf Button = vbRightButton And Optuzel.Value = True Then If keeAB = True Then Exit Sub Pct1_deluzel Index, Button, Shift, x, Y '- удаление узла и его линий Exit Sub End If brcout40: Exit Sub metERSS4: MsgBox "Error № " & Err.Number & " " & " (" & Err.Description & ") occured.", vbCritical, "Error" GoTo brcout40 End Sub Private Sub Pct1_deluzel (Index As Integer, Button As Integer, Shift As Integer, _ x As Single, Y As Single) Dim nResult As Integer, eraseslin As Integer Dim i As Integer, j As Integer Dim o As Integer On Error GoTo metERSS5 Pct1(Index).BackColor = vbRed nResult = MsgBox(" Удалить узел ?", vbYesNo + vbExclamation, _ " Удаление выбранного узла ! ") If nResult = vbYes Then NeWorKorrkolUZ Index, kolvouzlov, x, Y, 0 '-коррекция числа узлов kolvouzlov = kolvouzlov - 1 LbluZ(1).Caption = Str(kolvouzlov) Unload nnOuzN(Index) Unload Pct1(Index) needFRsave = True change = True eraseslin = 0 '- удаление связанных с узлом линий If kolvolin > 0 Then FrmSSN.Frame1.Enabled = False FrmSSN.Picture1.MousePointer = 11 For i = 1 To kolvolin If mlinesSV(i, 1) = Index Or mlinesSV(i, 2) = Index Then mlinesSV(i, 1) = 0: mlinesSV(i, 2) = 0: mlinesSV(i, 3) = 0 mlinesSV(i, 4) = 0: mlinesSV(i, 5) = 0: mlinesSV(i, 6) = 0 mlinesSV(i, 7) = 0: mlinesSV(i, 8) = 0: mlinesSV(i, 9) = 0: mlinesSV(i, 10) = 0 eraseslin = eraseslin + 1 End If Next i FrmSSN.Frame1.Enabled = True FrmSSN.Picture1.MousePointer = 0 korrmlinesSV mlinesSV, kolvolin, eraseslin bJampWeb = True CmdWEB_Click bJampWeb = False End If Else: Pct1(Index).BackColor = vbBlue: End If brcout50: Exit Sub metERSS5: MsgBox "Error № " & Err.Number & " " & " (" & Err.Description & ") occured.", vbCritical, "Error" GoTo brcout50 End Sub Private Sub korrmlinesSV (mlinesSV, kolvolin, eraseslin) Dim masslinesSV() As Single, fth As Integer Dim i As Integer, j As Integer FrmSSN.Frame1.Enabled = False FrmSSN.Picture1.MousePointer = 11 On Error GoTo metERSS6 ReDim Preserve masslinesSV((kolvolin - eraseslin), 10) fth = 0 For i = 1 To kolvolin If mlinesSV(i, 1) > 0 Then fth = fth + 1 If fth <= (kolvolin - eraseslin) Then For j = 1 To 10 masslinesSV(fth, j) = mlinesSV(i, j): mlinesSV(i, j) = 0 Next j End If End If Next i For i = 1 To (kolvolin - eraseslin) For j = 1 To 10 mlinesSV(i, j) = masslinesSV(i, j) masslinesSV(i, j) = 0 Next j Next i: kolvolin = kolvolin - eraseslin LblLN(1).Caption = Str(kolvolin) FrmSSN.Frame1.Enabled = True FrmSSN.Picture1.MousePointer = 1 brcout60: Exit Sub metERSS6: MsgBox "Error № " & Err.Number & " " & " (" & Err.Description & ") occured.", vbCritical, "Error" GoTo brcout60 End Sub Private Sub Picture1_GotFocus ( ) If Optlinswyazi.Value = True And x1 <> 0 And y2 <> 0 And y1 <> 0 Or x2 <> 0 Then Picture1.DrawStyle = 6 Picture1.Line (x1, y1)-(x2, y2), vbBlue x1 = 0 x2 = 0 y1 = 0 y2 = 0 znak = True End If Picture1.DrawStyle = 6 End Sub Private Sub Picture1_MouseDown (Button As Integer, Shift As Integer, x As Single, _ Y As Single) Dim i As Integer, txtid As Integer On Error GoTo metERSS7 Picture1.DrawStyle = 6 i = Pct1.UBound txtid = nnOuzN.UBound Pct1(i).MousePointer = vbArrow If Optuzel.Value = True And kolvouzlov <= 200 Then If keeAB = True Then Exit Sub If x < (Pct1(i).Width / 2) Or ((Picture1.Width) - x) < (Pct1(i).Width / 2) Or _ Y < (Pct1(i).Height / 2) Or ((Picture1.Height) - Y) < (Pct1(i).Height / 2) Then Exit Sub Load nnOuzN (txtid + 1) Load Pct1(i + 1) Pct1(i + 1).Move x - Pct1(i + 1).Width / 2, Y - Pct1(i + 1).Height / 2 Pct1(i + 1).Visible = True znak = True kolvouzlov = kolvouzlov + 1 NeWorKorrkolUZ 0, kolvouzlov, x, Y, i '- запись новых узлов LbluZ(1).Caption = Str(kolvouzlov) needFRsave = True change = True Else If Optlinswyazi.Value = True And Button = vbRightButton Then SVPprln mlinesSV, x, Y End If End If brcout70: Exit Sub metERSS7: MsgBox "Error № " & Err.Number & " " & " (" & Err.Description & ") occured.", vbCritical, "Error" GoTo brcout70 End Sub Private Sub svjasiUZdel (numlinBRC As Integer, allUZsee As Integer) Dim UNz As Integer On Error GoTo metERSS8 FrmSSN.Frame1.Enabled = False FrmSSN.Picture1.MousePointer = 11 For UNz = 1 To allUZsee If MasKoLuZv(UNz, 1) > 0 Then If MasKoLuZv(UNz, 1) = mlinesSV(numlinBRC, 1) Or MasKoLuZv(UNz, 1) = _ mlinesSV(numlinBRC, 2) Then MasKoLuZv(UNz, 4) = MasKoLuZv(UNz, 4) - 1 End If End If Next UNz FrmSSN.Frame1.Enabled = True FrmSSN.Picture1.MousePointer = 1 brcout80: Exit Sub metERSS8: MsgBox "Error № " & Err.Number & " " & " (" & Err.Description & ") occured.", vbCritical, "Error" GoTo brcout80 End Sub Private Sub SVPprln (mlinesSV, x, Y) Dim l As Integer, yyy As Double Dim xxx As Double, nSovpad As Integer Dim StrLinsV As Integer, DelAscK As Integer Dim flagsovp As Boolean, raznostimin() As Double Dim nuy As Integer, whatlin( ) As Integer On Error GoTo metERSS9 FrmSSN.Frame1.Enabled = False FrmSSN.Picture1.MousePointer = 11 nSovpad = 0 For l = 1 To kolvolin If mlinesSV(l, 3) >= mlinesSV(l, 5) And mlinesSV(l, 3) - mlinesSV(l, 5) <= 15 Then GoTo 73 If mlinesSV(l, 3) <= mlinesSV(l, 5) And mlinesSV(l, 5) - mlinesSV(l, 3) <= 15 Then 73:Select Case x Case Is >= mlinesSV(l, 3) If x - mlinesSV(l, 3) <= 17 Then GoTo 77 Case Is <= mlinesSV(l, 3) If mlinesSV(l, 3) - x <= 17 Then GoTo 77 Case Is >= mlinesSV(l, 5) If x - mlinesSV(l, 5) <= 17 Then GoTo 77 Case Is <= mlinesSV(l, 5) If mlinesSV(l, 5) - x <= 17 Then 77:StrLinsV = l FlinEd raznostimin, whatlin, x, Y, StrLinsV, mlinesSV, nSovpad, StrLinsV If StrLinsV <> 0 Then nSovpad = 1 GoTo 78 End If End If End Select Else If mlinesSV(l, 4) >= mlinesSV(l, 6) And mlinesSV(l, 4) - mlinesSV(l, 6) <= 15 Then GoTo 74 If mlinesSV(l, 4) <= mlinesSV(l, 6) And mlinesSV(l, 6) - mlinesSV(l, 4) <= 15 Then 74: Select Case Y Case Is >= mlinesSV(l, 4) If Y - mlinesSV(l, 4) <= 17 Then GoTo 77 Case Is <= mlinesSV(l, 4) If mlinesSV(l, 4) - Y <= 17 Then GoTo 77 Case Is >= mlinesSV(l, 6) If Y - mlinesSV(l, 6) <= 17 Then GoTo 77 Case Is <= mlinesSV(l, 6) If mlinesSV(l, 6) - Y <= 17 Then GoTo 77 End Select End If End If Next l For l = 1 To kolvolin If mlinesSV(l, 6) = mlinesSV(l, 4) Then mlinesSV(l, 6) = (mlinesSV(l, 6) + 2) If mlinesSV(l, 5) = mlinesSV(l, 3) Then mlinesSV(l, 5) = (mlinesSV(l, 5) + 2) yyy = ((Y - mlinesSV(l, 4)) / (mlinesSV(l, 6) - mlinesSV(l, 4))) xxx = ((x - mlinesSV(l, 3)) / (mlinesSV(l, 5) - mlinesSV(l, 3))) If xxx < 0 Then xxx = (xxx * (-1)) If yyy < 0 Then yyy = (yyy * (-1)) If xxx = 0 Or yyy = 0 Then GoTo 36 If yyy >= xxx And (yyy - xxx) < 0.554 Then 36: nuy = nuy + 1 ReDim Preserve raznostimin(nuy) raznostimin(nuy) = (yyy - xxx): GoTo 32 ElseIf yyy <= xxx And (xxx - yyy) < 0.554 Then nuy = nuy + 1 ReDim Preserve raznostimin(nuy) raznostimin(nuy) = (xxx - yyy) 32: nSovpad = nSovpad + 1: StrLinsV = l ReDim Preserve whatlin(1, nSovpad) whatlin(1, nSovpad) = l FlinEd raznostimin, whatlin, x, Y, StrLinsV, mlinesSV, nSovpad, StrLinsV End If yyy = 0: xxx = 0 Next l If nSovpad > 1 Then flagsovp = False lIniTiS whatlin, nSovpad, StrLinsV, raznostimin( ), flagsovp If flagsovp = True Then nSovpad = 1 End If 78: FrmSSN.Frame1.Enabled = True FrmSSN.Picture1.MousePointer = 1 If nSovpad = 1 And StrLinsV <> 0 Then mlinesSV(StrLinsV, 7) = 1 bJampWeb = True CmdWEB_Click bJampWeb = False If keeAB = True Then GoTo 179 DelAscK = MsgBox("Удалить линию ? ", vbExclamation + vbYesNo, _ " Удаление выбранной линии ") If DelAscK = vbYes Then bJampWeb = True svjasiUZdel StrLinsV, kolvouzlov mlinesSV(StrLinsV, 1) = 0: mlinesSV(StrLinsV, 2) = 0: mlinesSV(StrLinsV, 3) = 0 mlinesSV(StrLinsV, 4) = 0: mlinesSV(StrLinsV, 5) = 0: mlinesSV(StrLinsV, 6) = 0 mlinesSV(StrLinsV, 7) = 0: mlinesSV(StrLinsV, 8) = 0: mlinesSV(StrLinsV, 9) = 0 mlinesSV(StrLinsV, 10) = 0 korrmlinesSV mlinesSV, kolvolin, nSovpad needFRsave = True change = True CmdWEB_Click bJampWeb = False Else mlinesSV(StrLinsV, 7) = 0 176: bJampWeb = True CmdWEB_Click bJampWeb = False End If End If Exit Sub 179: Load FrmNwORsZ FrmNwORsZ.TxtOzN(0).Text = mlinesSV(StrLinsV, 10) FrmNwORsZ.TxtOzN(0).Locked = True FrmNwORsZ.Show vbModal If Len(FrmNwORsZ.TxtOzN(1).Text) <> 0 Then mlinesSV(StrLinsV, 10) = Val(FrmNwORsZ.TxtOzN(1).Text) Unload FrmNwORsZ mlinesSV(StrLinsV, 7) = 2 needFRsave = True testimonial = True GoTo 176 ElseIf mlinesSV(StrLinsV, 10) <> 0 Then mlinesSV(StrLinsV, 7) = 2 GoTo 176 Else mlinesSV(StrLinsV, 7) = 0 GoTo 176 End If brcout90: Exit Sub metERSS9: MsgBox "Error № " & Err.Number & " " & " (" & Err.Description & ") occured.", vbCritical, "Error" GoTo brcout90 End Sub Private Sub NeWorKorrkolUZ (deliduz, kolvouzlov, x, Y, ci) Dim iuz As Integer, juz As Integer Dim UZkorR() As Integer, ff As Integer Dim kkk As Integer On Error GoTo metERSS10 If deletealluz = True And kolvouzlov > 0 Then FrmSSN.Enabled = False FrmSSN.MousePointer = 11 For iuz = 1 To kolvouzlov If MasKoLuZv(iuz, 1) <> 0 Then Unload nnOuzN(MasKoLuZv(iuz, 1)) Unload Pct1(MasKoLuZv(iuz, 1)) End If For juz = 1 To 5 MasKoLuZv(iuz, juz) = 0 Next juz Next iuz kolvouzlov = 0 Else FrmSSN.Enabled = True FrmSSN.MousePointer = 0 If deliduz = 0 Then For iuz = 1 To kolvouzlov If MasKoLuZv(iuz, 1) = 0 Then MasKoLuZv(iuz, 1) = ci + 1: MasKoLuZv(iuz, 2) = x MasKoLuZv(iuz, 3) = Y: MasKoLuZv(iuz, 4) = 0 MasKoLuZv(iuz, 5) = 0 End If Next iuz Else FrmSSN.Enabled = False FrmSSN.MousePointer = 11 If kolvouzlov = 1 Then kkk = kolvouzlov Else kkk = kolvouzlov - 1 ReDim Preserve UZkorR(kkk, 5) For iuz = 1 To kolvouzlov If deliduz = MasKoLuZv(iuz, 1) Then MasKoLuZv(iuz, 1) = 0: MasKoLuZv(iuz, 2) = 0: MasKoLuZv(iuz, 3) = 0 MasKoLuZv(iuz, 4) = 0: MasKoLuZv(iuz, 5) = 0 End If Next iuz For iuz = 1 To kolvouzlov If MasKoLuZv(iuz, 1) <> 0 Then ff = ff + 1 For juz = 1 To 5 UZkorR(ff, juz) = MasKoLuZv(iuz, juz): MasKoLuZv(iuz, juz) = 0 Next juz End If Next iuz For iuz = 1 To kolvouzlov - 1 For juz = 1 To 5 MasKoLuZv(iuz, juz) = UZkorR(iuz, juz) Next juz: Next iuz End If End If FrmSSN.Enabled = True FrmSSN.MousePointer = 0 brcout100: Exit Sub metERSS10: MsgBox "Error № " & Err.Number & " " & " (" & Err.Description & ") occured.", vbCritical, "Error" GoTo brcout100 End Sub Private Sub lIniTiS (whatlin, nSovpad, StrLinsV, raznostimin() As Double, _ sovp As Boolean) Dim ar As Integer, perehod As Boolean Dim vib As Integer, arda As Integer Dim prraznmin(1) As Double, wtlpr() As Integer ReDim Preserve wtlpr(1, nSovpad) On Error GoTo metERSS11 For arda = 1 To nSovpad '- 1 For ar = 1 To nSovpad - 1 If raznostimin(ar) = 0 And raznostimin(ar + 1) > 0 Then raznostimin(ar) = raznostimin(ar + 1): raznostimin(ar + 1) = 0 whatlin(1, ar) = whatlin(1, ar + 1): whatlin(1, ar + 1) = 0 ElseIf raznostimin(ar) > raznostimin(ar + 1) And raznostimin(ar + 1) <> 0 Then prraznmin(1) = raznostimin(ar): wtlpr(1, ar) = whatlin(1, ar) raznostimin(ar) = raznostimin(ar + 1): whatlin(1, ar) = whatlin(1, ar + 1) raznostimin(ar + 1) = prraznmin(1): whatlin(1, ar + 1) = wtlpr(1, ar) End If Next ar Next arda ar = 0: arda = 0 For ar = 1 To nSovpad If raznostimin(ar) > 0 Then StrLinsV = whatlin(1, ar): whatlin(1, ar) = 0 sovp = True Exit For End If Next ar ar = 0 brcout110: Exit Sub metERSS11: MsgBox "Error № " & Err.Number & " " & " (" & Err.Description & ") occured.", vbCritical, "Error" GoTo brcout110 End Sub Private Sub FlinEd (rzn( ) As Double, wlinw( ) As Integer, x, Y, StrLV, mlSV, _ SVPD As Integer, StrLinsV) On Error GoTo metERSS12 If mlSV(StrLV, 3) < x And x > mlSV(StrLV, 5) Then GoTo 977 If mlSV(StrLV, 3) > x And x < mlSV(StrLV, 5) Then GoTo 977 If mlSV(StrLV, 4) < Y And Y > mlSV(StrLV, 6) Then GoTo 977 If mlSV(StrLV, 4) > Y And Y < mlSV(StrLV, 6) Then 977: If SVPD <> 0 Then rzn(SVPD) = 0 StrLinsV = 0 Else If mlSV(StrLV, 3) = x And x <> mlSV(StrLV, 5) Then Select Case x Case Is > mlSV(StrLV, 5) If x - mlSV(StrLV, 5) > 17 Then GoTo 977 Case Is < mlSV(StrLV, 5) If mlSV(StrLV, 5) - x > 17 Then GoTo 977 End Select End If If mlSV(StrLV, 3) <> x And x = mlSV(StrLV, 5) Then Select Case x Case Is > mlSV(StrLV, 3) If x - mlSV(StrLV, 3) > 17 Then GoTo 977 Case Is < mlSV(StrLV, 3) If mlSV(StrLV, 3) - x > 17 Then GoTo 977 End Select End If If mlSV(StrLV, 4) = Y And Y <> mlSV(StrLV, 6) Then Select Case Y Case Is > mlSV(StrLV, 6) If Y - mlSV(StrLV, 6) > 17 Then GoTo 977 Case Is < mlSV(StrLV, 6) If mlSV(StrLV, 6) - Y > 17 Then GoTo 977 End Select End If If mlSV(StrLV, 4) <> Y And Y = mlSV(StrLV, 6) Then Select Case Y Case Is > mlSV(StrLV, 4) If Y - mlSV(StrLV, 4) > 17 Then GoTo 977 Case Is < mlSV(StrLV, 4) If mlSV(StrLV, 4) - Y > 17 Then GoTo 977 End Select End If End If brcout120: Exit Sub metERSS12: MsgBox "Error № " & Err.Number & " " & " (" & Err.Description & ") occured.", vbCritical, "Error" GoTo brcout120 End Sub Public Sub numUZmu (LN As Integer, MKUN As Integer, a12 As Integer, na1, na2) Dim t As Integer Dim td As Integer For td = 1 To a12 For t = 1 To MKUN If MasKoLuZv(t, 1) = mlinesSV(LN, td) Then If td = 1 Then na1 = t Exit For ElseIf td = 2 Then na2 = t Exit For End If End If Next t Next td End Sub Public Property Get UvmLN (LNmSV As Integer) As Single UvmLN = mlinesSV(LNmSV, 10) End Property Public Property Get webchS (NWMW As Integer) As Single Select Case NWMW Case Is = 1 webchS = shwebx Case Is = 2 webchS = shweby End Select End Property Вторая часть Dim flagnext As Boolean, flaghehe As Boolean Private Sub CmdNOWer_Click ( ) Unload frmBrWk End Sub Private Sub CmdOKWer_Click ( ) Dim msg As Integer If frmBrWk.FramNsInf.Caption = "Расчет" Then Exit Sub If TextMNI.Locked = True Then Exit Sub If Val(TextMNI.Text) = 0 Or Not IsNumeric(TextMNI) Then msg = MsgBox("Данный параметр НЕ может содержать буквенные или _ нулевые значения " & vbCrLf & _ " Значением параметра может быть только целое число !!! " _ , vbCritical + vbOKOnly, " Ошибка пользовательского ввода !!! ") Exit Sub Else MdlWorkSpase.maxNnoi = Val(TextMNI.Text) TextMNI.BackColor = RGB(0, 250, 243) TextMNI.Locked = True: TextMNI.Locked = True needFRsave = True flagnext = True End If End Sub Private Sub CmmEd_Click ( ) Dim edms As Integer If flaghehe = True Then Exit Sub MdlWorkSpase.flgstopuser = True edms = MsgBox(" Прервано пользователем !", vbInformation + vbOKOnly, _ " Останов расчета структурной надежности") frmBrWk.PrgBarWSind.Value = 0 frmBrWk.FramNsInf.Enabled = True flaghehe = True End Sub Private Sub CmmSt_Click ( ) Dim hehe As Integer If flagnext = False Then hehe = MsgBox(" Невозможно начать расчет Немея числа испытаний !!!", _ vbCritical + vbOKOnly, " Ошибка пользовательского ввода ") flaghehe = True Exit Sub End If frmBrWk.FramNsInf.Enabled = False MdlWorkSpase.flgstopuser = False flaghehe = False MdlWorkSpase.cmdrasch_workmod End Sub Private Sub Form_Load ( ) frmBrWk.FramNsInf.ZOrder 0 flagnext = False frmBrWk.FramNsInf.Enabled = True End Sub Private Sub TbSW_Click ( ) Dim ntemp As Integer ntemp = TbSW.SelectedItem.Index If ntemp = 2 Then frmBrWk.FramNsInf.ZOrder 1 frmBrWk.FramWorkStart.ZOrder 0 ElseIf ntemp = 1 Then frmBrWk.FramNsInf.ZOrder 0 frmBrWk.FramWorkStart.ZOrder 1 End If End Sub Private Sub TextMNI_KeyPress (KeyAscii As Integer) Dim m2sg As Integer If frmBrWk.FramNsInf.Caption = "Расчет" Then Exit Sub If TextMNI.Locked = True Then msg = MsgBox("Вы хотите изменить число испытаний ? : " & TextMNI.Text _ , vbQuestion + vbYesNo, " Новое число испытаний ") If msg = vbYes Then TextMNI.BackColor = vbGreen TextMNI.Locked = False Exit Sub End If End If End Sub Третья часть Option Explicit Private Sub CmdnulST_Click ( ) On Error GoTo 2311 FrmSSN.poweb = False FrmSSN.bJampWeb = False FrmSSN.ZAPWEB Unload FrmPrWeb 2311: End Sub Private Sub CmdWno_Click ( ) Unload FrmPrWeb End Sub Private Sub CmdWOK_Click ( ) FrmPrWeb.Hide End Sub Private Sub CmdWup_Click ( ) Dim xsh As Single Dim ysh As Single Dim msnoes As Integer On Error GoTo Qat5 If CheckNames2(TxtWbMm.Text) = False Or Len(TxtWbMm.Text) = 0 Then msnoes = MsgBox("Значение масштаба НЕ может содержать пробелы !" _ & vbCrLf & "Данный параметр может содержать только числа !", _ vbCritical + vbOKOnly, " Ошибка пользовательского ввода !!! ") CmdWup.Enabled = True FramWMb.Enabled = True Exit Sub End If If OptWW1(1).Value = False Then '(1440 / 2.54)-при 72dpi ,(1080/2.54) - при 96dpi xsh = (1080 / 2.54) * CSng(TxtXYwB(0)) FrmSSN.shwebx = 0 FrmSSN.shwebx = Round(xsh) FrmSSN.shweby = 0 FrmSSN.shweby = Round(xsh) Else xsh = (1080 / 2.54) * CSng(TxtXYwB(0)) ysh = (1080 / 2.54) * CSng(TxtXYwB(1)) FrmSSN.shwebx = 0 FrmSSN.shwebx = Round(xsh) FrmSSN.shweby = 0 FrmSSN.shweby = Round(ysh) End If FrmSSN.poweb = True CmdWup.Enabled = False FramWMb.Enabled = False FrmSSN.bJampWeb = False 'True FrmSSN.ZAPWEB If UpDnXY(1).Enabled = False And LstWmB.ListIndex > (-1) Then FrmSSN.LblMB2.Caption = FrmPrWeb.TxtWbMm.Text & Chr$(32) & _ FrmPrWeb.LstWmB.List(LstWmB.ListIndex) ElseIf LstWmB.ListIndex = (-1) And UpDnXY(1).Enabled = False Then msnoes = MsgBox("Вы не выбрали единицы измерения масштаба ! ", _ vbCritical + vbOKOnly, " Ошибка пользовательского ввода") CmdWup.Enabled = True FramWMb.Enabled = True Exit Sub End If bcoutQ5: Exit Sub Qat5: MsgBox "Error № " & Err.Number & " " & " (" & Err.Description & ") occured.", vbCritical, "Error" GoTo bcoutQ5 End Sub Private Function CheckNames2 (name As String) As Boolean Dim Result As Boolean On Error GoTo Qat6 Result = True If (InStr(name, "-")) Then Result = False If (InStr(name, "+")) Then Result = False If (InStr(name, " ")) Then Result = False If (InStr(name, ".")) Then Result = False If (InStr(name, "]")) Then Result = False If (InStr(name, "[")) Then Result = False If (InStr(name, "}")) Then Result = False If (InStr(name, "{")) Then Result = False If (InStr(name, "!")) Then Result = False If (InStr(name, "@")) Then Result = False If (InStr(name, "$")) Then Result = False If (InStr(name, "%")) Then Result = False If (InStr(name, "^")) Then Result = False If (InStr(name, "&")) Then Result = False If (InStr(name, "\")) Then Result = False If (InStr(name, "/")) Then Result = False If (InStr(name, ":")) Then Result = False If (InStr(name, ";")) Then Result = False If (InStr(name, "*")) Then Result = False If (InStr(name, """")) Then Result = False If (InStr(name, "?")) Then Result = False If (InStr(name, ">")) Then Result = False If (InStr(name, "<")) Then Result = False If (InStr(name, "|")) Then Result = False CheckNames2 = Result bcoutQ6: Exit Function Qat6: MsgBox "Error № " & Err.Number & " " & " (" & Err.Description & ") occured.", vbCritical, "Error" GoTo bcoutQ6 End Function Private Sub Form_Load ( ) Dim promw1 As Single Dim promw2 As Single Dim spwx As Single Dim spwy As Single On Error GoTo Qat1 OptWW1(0).Value = True promw1 = FrmSSN.webchS(1) promw2 = FrmSSN.webchS(2) If promw1 = promw2 And promw1 > 201 Then TxtXYwB(0).Text = (2.54 * promw1) / 1080 spwx = (2.54 * promw1) / 1080 If spwx > 0.5 Then spwx = (spwx - 0.5) * 10 Else spwx = (0.5 - spwx) * 10 End If UpDnXY(0).Value = spwx TxtXYwB(1).Text = (2.54 * promw2) / 1080 spwy = (2.54 * promw2) / 1080 If spwy > 0.5 Then spwy = (spwy - 0.5) * 10 Else spwy = (0.5 - spwy) * 10 End If UpDnXY(1).Value = spwy End If bcoutQ1: Exit Sub Qat1: MsgBox "Error № " & Err.Number & " " & " (" & Err.Description & ") occured.", vbCritical, "Error" GoTo bcoutQ1 End Sub Private Sub OptWW1_Click (Index As Integer) On Error GoTo Qat2 CmdWup.Enabled = True If Index = 0 Then FramWMb.Enabled = True OptWW1(0).Value = True TxtXYwB(1).Enabled = False UpDnXY(1).Enabled = False FrmSSN.LblMB2.Enabled = True ElseIf Index = 1 Then FramWMb.Enabled = False OptWW1(1).Value = True TxtXYwB(1).Enabled = True UpDnXY(1).Enabled = True FrmSSN.LblMB2.Enabled = False End If bcoutQ2: Exit Sub Qat2: MsgBox "Error № " & Err.Number & " " & " (" & Err.Description & ") occured.", vbCritical, "Error" GoTo bcoutQ2 End Sub Private Sub TxtWbMm_Change ( ) Dim mgW As Integer On Error GoTo Qat3 If Len(TxtWbMm.Text) > 0 Then If Asc(TxtWbMm.Text) = 48 Then Exit Sub If Asc(Mid(TxtWbMm.Text, 1, 1)) = 32 Then 12: mgW = MsgBox("Данный параметр НЕ может содержать пробелов ! ", _ vbCritical + vbOKOnly, " Ошибка пользовательского ввода !!! ") Exit Sub ElseIf InStr(1, TxtWbMm.Text, " ") > 0 Then If Asc(Mid(TxtWbMm.Text, InStr(1, TxtWbMm.Text, " "), 1)) = 32 Then GoTo 12 End If End If If Len(TxtWbMm.Text) = 5 And Val(TxtWbMm.Text) = 0 Or _ Val(Mid(TxtWbMm.Text, 1, 1)) = 0 Or Not IsNumeric(TxtWbMm) Then mgW = MsgBox("Данный параметр может содержать только числа больше нуля!"_ & vbCrLf & "Дробную часть числа отделять ЗАПЯТОЙ ! ", _ vbCritical + vbOKOnly, " Ошибка пользовательского ввода !!! ") Exit Sub End If bcoutQ3: Exit Sub Qat3: MsgBox "Error № " & Err.Number & " " & " (" & Err.Description & ") occured.", vbCritical, "Error" GoTo bcoutQ3 End Sub Private Sub TxtWbMm_GotFocus ( ) TxtWbMm.SelStart = 0 TxtWbMm.SelLength = 5 End Sub Private Sub UpDnXY_MouseDown (Index As Integer, Button As Integer, _ Shift As Integer, x As Single, Y As Single) On Error GoTo Qat4 CmdWup.Enabled = True If OptWW1(1).Value = False Then FramWMb.Enabled = True If UpDnXY(Index).Value > 0 And UpDnXY(Index).Enabled = True Then TxtXYwB(Index).Text = 0.5 + (UpDnXY(Index).Value / 10) ElseIf UpDnXY(Index).Value = 0 And TxtXYwB(Index).Text = 0.6 Then TxtXYwB(Index).Text = TxtXYwB(Index).Text - 0.1 End If bcoutQ4: Exit Sub Qat4: MsgBox "Error № " & Err.Number & " " & " (" & Err.Description & ") occured .", vbCritical, "Error" GoTo bcoutQ4 End Sub Четвертая часть Private Sub CmdZNC_Click (Index As Integer) TxtOzN(1).Text = " " Unload FrmNwORsZ End Sub Private Sub CmdZYL_Click (Index As Integer) Dim prob As String, nbs As Integer Dim nokorrZ As Integer If Len(TxtOzN(1).Text) > 0 And Len(TxtOzN(1).Text) <> 1 Then prob = TxtOzN(1).Text For nbs = 1 To Len(TxtOzN(1).Text) If Asc(Mid(prob, nbs, 1)) = 32 Then GoTo 11 If nbs = 2 And 46 = Asc(Mid(prob, nbs, 1)) Then GoTo 12 ElseIf nbs = 2 And 46 <> Asc(Mid(prob, nbs, 1)) Then GoTo 11 ElseIf nbs = 1 And 48 <> Asc(Mid(prob, nbs, 1)) Then GoTo 11 End If If 48 > Asc(Mid(prob, nbs, 1)) Or 57 < Asc(Mid(prob, nbs, 1)) Then 11: nokorrZ = MsgBox(" Значение выбранной линии НЕ может быть целым числом!" _ & vbCrLf & " НЕ может быть больше единицы !" & vbCrLf & _ " НЕ может содержать пробелов или букв !!!", vbCritical + vbOKOnly, _ " Ошибка пользовательского ввода ") TxtOzN(1).Text = "00000" prob = TxtOzN(1).Text Exit Sub 12: End If Next nbs TxtOzN(1).Text = prob TxtOzN(1).BackColor = RGB(0, 250, 243) TxtOzN(1).Locked = True FrmNwORsZ.Hide Else nokorrZ = MsgBox(" Вы ввели пустую строку или целое число !!! ", _ vbCritical + vbOKOnly, " Ошибка пользовательского ввода ") End If End Sub Private Sub TxtOzN_GotFocus (Index As Integer) TxtOzN(1).SelStart = 0 TxtOzN(1).SelLength = Len(TxtOzN(1).Text) End Sub 3 Б ЕЗОПАСН ОСТЬ ЖИЗНЕДЕЯ ТЕЛЬНОСТИ Так как большая часть дипломной работы выполняется на компьютере, то в данном разделе мы рассмотрим некоторые вопросы охраны труда при работе с дисплеем. Психофизиологические требования к дисплеюПод дисплейным устройством понимается устройство ввода-вывода данных для отображения на экране в форме, удобной пользователю, и для ее редактирования в интерактивном режиме. Дисплеи совместно с другими устройствами ввода-вывода являются своеобразным “окном” в ЭВМ, обеспечивая не просто отображение результатов обработки, но и диалог с человеком. Визуализация вопросов и ответов, отображение текстов, рисунков, графиков, аналогичные изображениям в печатных и рукописных материалах, возможность вносить изменения и дополнения в обозримые человеком фрагменты, хранение и повторение материала, перевод его на другие носители и ряд прочих функциональных возможностей делают дисплеи универсальным средством, как отображения, так и управления информацией. При работе с дисплеем наибольшее количество информации человеку поступает посредством зрительного анализатора, раздражителем которого является свет, а рецептором – глаз. Перегрузка зрительного анализатора приводит к его быстрому утомлению, а иногда и расстройству функций. Поэтому проектирование дисплея осуществляют с учетом психофизиологических требований, вытекающих из особенностей и характеристик зрительного восприятия. На основании психофизиологических требований определяются светотехнические параметры дисплея, размеры экрана и символов, цветовые параметры, скорость смены информации. Предлагаемый набор параметров, прежде всего, применим для дисплеев на базе ЭЛТ, как получивших наиболее широкое распространение и как наиболее полно исследованных. При определении оптимального яркостного режима восприятия информации с экрана дисплея устанавливают уровень яркости, соотношение яркостей в поле зрения и уровень контраста. Оптимальной считают ту яркость, при которой максимально проявляются контрастная чувствительность глаза, острота зрения и быстрота различения сигналов. Комфортной нижней границей уровня яркости светящихся сигналов можно считать 30 [кд / м], а верхняя граница определяется значением слепящей яркости. Яркость символов на экране обязательно согласуют с яркостью фона и окружающим освещением. При обратном контрасте яркостный контраст рекомендуется выбирать в пределах 85-90 [%] с возможностью регулировки яркости знака, а при прямом контрасте - 75-80 [%] с возможностью регулировки яркости фона экрана. Прямой контраст предпочтительнее обратного. Вопрос об использовании цвета при воспроизведении информации на экране решают в каждом конкретном случае путем тщательного анализа и исследования. Учитывают то, что вклад цветового контраста в восприятие яркостного контраста невелик, максимальное проявление остроты зрения находится в желто-зеленой области спектра, скорость различения цветных светящихся знаков минимальна для крайних цветов спектра, при увеличении насыщенности цвета символы воспринимаются лучше. Выбор размера экрана и символов осуществляют с учетом требуемого объема предъявляемой информации, легкости ее считывания и длительности работы с экраном. Основные ограничения на размеры связаны со стремлением обеспечить оптимальные углы обзора и оптимальную остроту зрения. Размер полезной площади экрана выбирают в пределах 30, чтобы не превышать оптимального угла зрения 15градусов по вертикали и горизонтали от нормальной линии взора, когда знаки опознаются без поворота головы, а мышцы глаз, шеи и плеч не напряжены. Плоскость экрана располагают перпендикулярно к нормальной линии взора. Рабочее местоРабочее место – это оснащенное техническими средствами пространство, где осуществляется деятельность исполнителя. Организацией рабочего места называется система мероприятий по оснащению рабочего места средствами и предметами труда и размещение их в определенном порядке. Совершенствование организации рабочего места является одним из условий, способствующих повышению производительности труда. Организация рабочего места включает антропометрические и биологические характеристики человека, выбор физиологически правильного рабочего положения и рабочих зон, рациональную компоновку рабочего места, учет факторов внешней среды. Антропометрические характеристики человека определяют габаритные и компоновочные параметры рабочего места и свободные параметры отдельных его элементов. Положение тела и наиболее частые позы, которые принимает или вынужден принимать человек при выполнении работы, являются одним из основных факторов, определяющих производительность труда. Работу оператора организуют в положении сидя. При этом основная нагрузка падает на мышцы, поддерживающие позвоночный столб и голову, а подавляющая часть массы тела передается на бедра, препятствуя проникновению крови в нижнюю часть тела. Поэтому при длительном сидении время от времени необходимо смещать массу тела и сменять фиксированные рабочие позы. К тому же при работе сидя обычно естественный спинно-поясничный прогиб вперед изменяется на изгиб назад, что зачастую является причиной болей в пояснице. Для физиологически правильно обоснованного рабочего положения сидя рекомендуется обеспечить следующие оптимальные положения частей тела: корпус выпрямлен, сохранены естественные изгибы позвоночного столба и угол наклона таза, нет необходимости в сильных наклонах туловища, поворотах головы и крайних положениях суставов конечностей. Пространственная организация рабочего места. Это размещение в определенном порядке элементов основного и вспомогательного оборудования относительно друг друга и работающего человека. Пространственная организация рабочего места определяется размерами и формой сенсорного и моторного пространства, формой и параметрами элементов рабочего места и пространственным расположением элементов относительно работающего. Основными элементами рабочего места, оснащенного дисплеем, являются: рабочее кресло, рабочая поверхность, экран дисплея и клавиатура. Рабочее кресло обеспечивает поддержание рабочей позы, в положении сидя, и чем дольше это положение в течение рабочего дня, тем настоятельнее требования к созданию удобных и правильных рабочих сидений. Можно дать следующие рекомендации по конструированию рабочего кресла: необходимость регулировки наиболее важных его элементов - высоты сиденья, высоты спинки сиденья и угла наклона спинки; причем процесс регулировки не должен быть сложным. Установка правильной высоты сиденья является первоочередной задачей при организации рабочего места, так как этот параметр определяет прочие пространственные параметры - высоту положения экрана, клавиатуры, поверхности для записей, и др. Диапазон регулировки высоты сиденья находится в пределах 380-500 [мм]. Регулируемая высота рабочей поверхности оптимальна в пределах 670-800 [мм], при отсутствии регулировки - 725 [мм]. Высота нижнего ряда клавиатуры от плоскости пола может быть 620-700 [мм], обычно рекомендуют 650 [мм]. Если использован стол стандартной высоты, то для удобства работы клавиатуру можно разместить в углублении стола или на отдельной плоскости. Передний ряд клавиш располагают таким образом, чтобы клавиатуру можно было без труда, обслуживать, слегка, согнутыми, пальцами, при, свободно опущенных плечах, и горизонтальном, положении рук; плечо и предплечье при этом образуют угол в 90 градусов. Высота экрана определяется высотой уровня глаз наблюдателя и требованием перпендикулярности плоскости экрана к нормальной линии взора. Если позволяют размеры и масса, то рекомендуется снабжать экраны основанием с поворотным кронштейном, допускающим регулировку экрана по высоте, по наклону вперед-назад и при горизонтальном вращении вокруг вертикальной оси. Компоновка рабочего места, оснащенного дисплеем. Широко варьируется в зависимости от вида выполняемой работы, комплектности технических средств и носит нестандартный характер. При компоновке рабочего места, оборудованного дисплеем, в первую очередь исходят из типа выполняемых задач и длительности работы. Нельзя создать фиксированную и при этом оптимальную компоновку, которая была бы удобной для всех пользователей. Если производится работа только по вводу данных, то экран и клавиатуру удобно располагать на одной линии, а документ - слева от клавиатуры. Для задач, требующих длительных записей, внесения поправок в документ, документ и экран могут размещаться на одной линии, а клавиатура смещается вправо или экран и клавиатура остаются на одной линии, а документ переносится вправо от клавиатуры. Наиболее правильный путь - это компоновка основных элементов рабочего места по желанию пользователя. Рабочая средаЛюбая работа выполняется в определенной рабочей среде, где одновременно проявляются много различных факторов, воздействующих на организм человека. Рассмотрение рабочей среды как единого целого не исключает необходимости изучения отдельных ее составляющих и их нормирования. Освещение рабочего места. В наибольшей степени отрицательное физиологическое воздействие на операторов дисплеев связано с дискомфортными зрительными условиями из-за неправильно спроектированного освещения: прямые и отраженные от экрана блики, вуалирующие отражения, неблагоприятное распределение яркости в поле зрения, неверная ориентация рабочего места относительно светопроемов. Оптимальной считается освещенность рабочих помещений для работы с видеотерминалами 300-500 [лк]. Рекомендуется, чтобы соотношение яркости экрана и непосредственного ближайшего окружения не превышало 3:1. Рабочее место, оборудованное дисплеем, располагают таким образом, чтобы в поле зрения оператора не попадали окна или осветительные приборы; они не должны находиться и непосредственно за спиной оператора. Добиваются уменьшения отражений на экране от различных источников искусственного и дневного света. Когда искусственный свет смешивается с естественным, рекомендуется использовать лампы, по спектральному составу наиболее близкие к солнечному свету. Желательно выбирать светильники с рассеивателями, а все блестящие детали осветительного оборудования, которые могут попасть в поле зрения, заменять на матовые. На функциональную деятельность человека, его самочувствие и здоровье огромное влияние оказывают метеорологические условия рабочей среды. Плохие метеоусловия нарушают терморегуляцию и тепловой баланс организма и вызывают простудные вирусные заболевания. В машинном зале температура воздуха должна быть 19-23 [°С], относительная влажность воздуха 55 [%], скорость движения воздуха на уровне лица не выше 0,1 [м/с], атмосферное давление 1012,25 [кПа]. Нормальные метеоусловия обеспечиваются системами водяного отопления, вентиляции, кондиционирования воздуха и герметизацией помещения. По мнению специалистов, работа у дисплея не связана с вредным радиобиологическим воздействием. Допустимая мощность дозы радиобиологического излучения перед экраном на расстоянии 5 [см] от его поверхности равна 0,5 [мР/ч]. Рентгеновское излучение уменьшается пропорционально квадрату расстояния до экрана. Так, на расстоянии от экрана 50 [см] оно составляет 0,005 [мР/ч]. Исследования характера и интенсивности излучений дисплея, с целью определения воздействия электромагнитных излучений на оператора при длительной работе, показали, что уровни облучения в ультрафиолетовой, инфракрасной и видимой областях спектра оказались ниже допустимых значений. Аналогичный вывод, был сделан и в отношении рентгеновского излучения. Таким образом, считается, что интенсивность излучения экрана дисплея не достигает предельно допустимой дозы радиации и, следовательно, условия труда можно отнести к безопасным. Но до тех пор, пока не будут проведены тщательные исследования по комплексному изучению воздействия излучений на организм человека, рекомендуется принимать следующие меры предосторожности: 1. ограничить дневную продолжительность рабочей деятельности перед дисплеем; 2. использовать отражающие и поглощающие экраны; 3. не размещать дисплеи концентрированно в рабочей зоне; 4. выключать дисплей, если ЭВМ не используется. Воздействие шума. Установлено, что шум неблагоприятен для человека, особенно при длительном воздействии. У оператора это выражается в снижении работоспособности, в ускорении развития зрительного утомления, изменении цветоощущения, повышении расхода энергии и т.д. Рекомендуется, чтобы шум в помещении, где выполняют работу, требующую концентрации внимания, не превышал 55 [дБ], а при однообразной работе - 65 [дБ]. Шум от отдельных приборов не должен более чем на 5 [дБ] превышать фоновый шум. Основными мерами борьбы с шумом являются устранение или ослабление причин шума в самом его источнике в процессе проектирования, использование средств звукопоглощения, рациональная планировка производственных помещений. В этой главе мы рассмотрели некоторые вопросы охраны труда при работе с дисплеем: дали краткую характеристику дисплея, определили психофизиологические требования к дисплею, проанализировали принципы организации рабочего места оператора, уделили особое внимание рассмотрению рабочей среды. Проведенный анализ меро приятий соответствует современным требованиям обеспечения жизнедеятельности человека при работе с компьютером. В данной дипломной работе разработана программа, которая позволяет рассчитывать структурную надежность сетей связи методом статистического моделирования. Программа имеет следующие достоинства: 1. имеет простой и легкодоступный интерфейс; 2. дает наглядное, а не цифровое представление сети; 3. облегчает задачу расчета структурной надежности сети связи; Использование данной программы в учебном процессе поможет студентам лучше закрепить теоретические знания в области оценки структурной надежности сетей связи. Освободит их от необходимости проведения трудоемких и объемных расчетов, что в конечном счете уменьшит затраты учебного времени необходимого для приобретения новых знаний и практических навыков. Приложение А Методические указания по работе с программой Для того чтобы работать с программой по расчету структурной надежности сети “ SafeNet1 ” необходимы следующие аппаратные и программные средства: 1. процессор Intel Pentium 166 MHz и выше; 2. операционная система Windows 95 (98, NT); 3. оперативная память 32 Mb (рекомендуется); 4. рабочее разрешение дисплея 800 x 600, размер шрифта 96dpi. Основные этапы работы с программой SafeNet1 I. Загрузка программы в память; II. Разработка проекта a) разработка нового проекта или загрузка файла проекта: - формирование плана сети, - ввод числовых характеристик сети, - расчет структурной надежности сети, b) сохранение и закрытие проекта; III. Выход из программы. Опишем более подробно суть каждого из выше перечисленных этапов. Загрузка программы в памятьЗагрузка программы SafeNet1 в память компьютера пользователя происходит после того как пользователь запустит на выполнение файл SafeNet1.exe. Для этого он должен выбрать данный файл и нажать клавишу “ Enter ”, либо дважды щелкнуть на нем или его ярлыке. Разработка проекта Данный этап начинается с того, что пользователь решает, будет ли он создавать новый проект или же он загрузит файл проекта, если таковой имеется, путем выбора соответствующего подменю в меню “ Ф айл ”. Активизация как самого меню “ Файл ” так и подменю “ Н овый ” и подменю “ О ткрыть ” может быть осуществлена либо щелчком мыши, либо путем нажатия соответствующих комбинаций клавиш: · меню “ Ф айл ” – “ Alt + Ф ”, · подменю “ Н овый ” – “ Ctrl + N ”, · подменю “ О ткрыть ” – “ Ctrl + O ”. После этого пользователь может либо приступить к формированию плана сети (создается новый проект) с последующим вводом числовых характеристик сети и расчетом ее структурной надежности, либо ввести недостающие характеристики (если это необходимо) и приступить к расчету структурной надежности. Как при формировании плана сети так и при вводе числовых характеристик выбор объекта (линия – линия связи, узел – узел коммутации), с которым пользователь в данный момент будет работать, осуществляется щелчком мыши на соответствующих кнопках “ линия связи ” или “ узел связи ”. Формирование плана сети При создании нового проекта на дисплее отображается рабочее окно и пользователь может сразу же приступать к формированию плана сети. Формирование плана начинается с размещения на рабочем поле узлов коммутации. Для более удобного их размещения пользователь может использовать координатную сетку, которая должна быть с начала активизирована, то есть необходимо поставить флажок в меню ” С етка \ Активна ”. Для размещения узлов необходимо нажать кнопку “ узел связи ”, выбрать место на рабочем поле, поместив над ним курсор, и нажать левую кнопку мыши. Для удаления узла необходимо при нажатой кнопке “ узел связи ” поставить курсор над ним и нажать правую кнопку мыши. Для соединения узлов необходимо нажать кнопку “ линия связи ”, поместить курсор сначала над одним из соединяемых узлов и нажать правую кнопку мыши (выбранный узел будет окрашен в черный цвет), а затем над другим. Для удаления линии связи необходимо при нажатой кнопке “ линия связи ” поставить курсор над ней и нажать правую кнопку мыши, выбранная линия будет окрашена в красный цвет. Ввод числовых характеристик сети Для перехода к вводу числовых характеристик сети нужно сначала нажать кнопку с изображением песочных часов так чтобы на кнопке изображение изменилось на курсорную стрелку и нажать кнопку “ вперед ”. Для ввода номера узла необходимо нажать кнопку “ узел связи ”, выбрать узел, нажимая “ Tab ”, и в его поле ввода (находится внутри узла) ввести его номер, затем необходимо нажать “ Enter ”. Для изменения номера узла нужно выбрать соответствующий узел и нажать любую кнопку на клавиатуре, затем можно будет либо ввести новый номер (смотри выше), либо оставить существующий. Для того чтобы ввести характеристику линии необходимо нажать кнопку “ линия связи ”, поставить курсор над линией и нажать правую кнопку мыши, выбранная линия будет окрашена в красный цвет. Внимание, перед вводом числового значения убедитесь, что выбрана нужная линия! После ввода числового значения линия будет окрашена в малиновый цвет. Расчет структурной надежности сети После нажатия кнопки “ перейти к расчету ” если все узлы пронумерованы, то есть поле ввода у узлов – голубое, и все линии малинового цвета, то появится окно “ Расчет структурной надежности ”. Во вкладке “ Испытания ” необходимо ввести число испытаний и нажать кнопку “ ОК ”, после чего во вкладке “ Расчет ” можно будет нажать кнопку “ начать”. Нажатие кнопки “ ОТМЕНА ” приведет к закрытию окна. Процесс расчета будет отображаться в поле “ Выполнено ”. Нажатие кнопки “ стоп ” приведет к сбросу расчета. После завершения расчета появится окно сообщения с результатами расчета структурной надежности сети методом статистического моделирования, его закрытие закроет и окно “ Расчет структурной надежности ”. Сохранение и закрытие проекта Для того чтобы сохранить проект нужно выбрать подменю ” Сохр анить ” или подменю “ Сохра нить как…” в меню “ Ф айл ”. Для активизации меню любого уровня можно нажать следующую комбинацию клавиш “Alt + подчеркнутая буква ” или же (только для подменю) комбинацию, которая располагается с правой стороны от названия подменю. При сохранении проекта с помощью подменю “ Сохра нить как…” всегда будет появляться окно “ Сохранение ” и пользователь может назначить новый или уже существующий файл для сохранения проекта. Если же пользователь выберет подменю ” Сохр анить ”, то только при первом сохранении нового проекта появится окно “ Сохранение ”. Закрыть проект, так же как и сохранить, пользователь может в любое время, при этом если были внесены какие либо изменения, то появится окно запроса сохранения этих изменений. При положительном ответе если пользователь создавал новый проект и еще ни разу не сохранял его, то появится окно “ Сохранение ”. В этом окне пользователь может ввести имя файла или выбрать уже существующий. Если же проект уже был сохранен, то изменения будут сохранены в том же файле. Выход из программы Завершить работу с программой SafeNet1 можно либо выбрав соответствующее подменю “ Вы ход ” в меню “ Ф айл ”, либо нажать находящуюся в верхнем правом углу кнопку “ Закрыть ” причем, если имеются не сохраненные изменения, то пользователю нужно будет выполнить те же действия что и при закрытии проекта. После этого программа выгрузится из операционной памяти и освободит все системные ресурсы, которые она затребовала у операционной системы при свое й загрузке. БИБЛИОГРАФИЯ 1. Гладкий В.С. Вероятностные вычислительные модели.– M.: Наука, 1873. – 300с. 2. Мизин И.А., Богатырев В.А., Кулешов А.П. Сети коммутации пакетов / Под ред. В.С. Семенихина.– М.: Радио и связь, 1986. – 408 с., ил. 3. Теория сетей связи.– М.: Радио и связь, 1981.– 192 с., ил. 4. Гладкий В.С., Малиновский С.Т., Новиков С.Н. Оценка структурной надежности методом статистического моделирования. Методические указания.– М.: 1987. – 46 с., ил. 5. Бойченко В.М., Гладкий В.С., Черный Е.И. Аналого-вероятностное моделирование систем из ненадежных элементов.– Изв. АН СССР, Техническая кибернетика, 1967, № 1. 6. Толчан А.Я. О связности сети. Принципы построения сетей и систем управления. –М.: Наука, 1964. 7. Бесслер Р., Дойч. Проектирование сетей связи.– М.: Радио и связь, 1988. |
|||||||||||||||||||||||||||||||||||||||||||||||||||||||||||||||||||||||||||||||||||||||||||||||||||||||||||||||||||||
,
является полной группой несовместных событий, то
,
,
,(1.1)
Рисунок 1.1. Метод разложения
∆
,

.
;
.
,
,
,
.(1.23)
.

