Реферат: Металлические конструкции одноэтажного производственного здания
|
Название: Металлические конструкции одноэтажного производственного здания Раздел: Рефераты по строительству Тип: реферат |
| Министерство образования РФ Сибирская Государственная Автомобильно-дорожная Академия Кафедра «Строительные конструкции» ПОЯСНИТЕЛЬНАЯ ЗАПИСКА К КУРСОВОМУ ПРОЕКТУ: « Металлические конструкции одноэтажного производственного здания » Выполнил: студент гр. 42 ПГС Сердюк В.М. Проверила: преподаватель Кононова Р.М. Омск-2005 г Содержание: 1. Исходные данные 2. Определение основных размеров поперечной рамы цеха. 3. Расчет подкрановой балки. 4. Сбор нагрузок на поперечную раму 5. Статический расчет поперечной рамы 6. Расчет и конструирование колонны 7. Расчет базы колонны 8. Расчет и конструирование стропильных ферм 9. Список литературы Исходные данные:
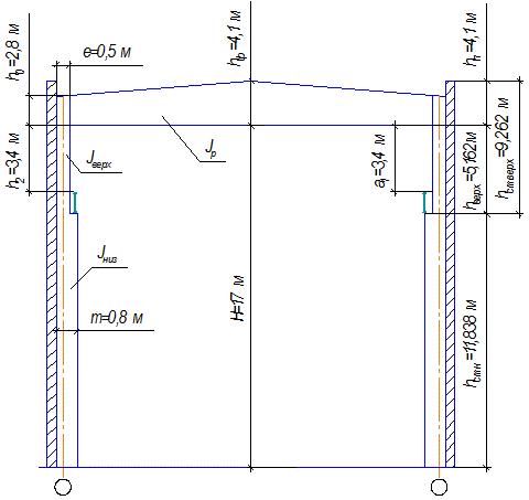
1. длина здания 48 м ; 2. высота от пола до головки подкранового рельса 12,8 м ; 3. район строительства г. Бухара; 4. грузоподъёмность крана 50 т ; 5. пролёт цеха 34 м ; 6. колонны сплошного сечения, шаг колонн 12 м 7. подкрановая балка составного сечения, сварная. Определение основных размеров поперечной рамы цеха.
Для крана грузоподъёмностью Q=200 т определяем необходимые для расчета характеристики [1, прил.1]: Пролёт мостового крана Lk = L – 1,5м = 34м – 1,5м = 32,5 м; Характеристики мостового крана: · пролёт 36 м; · максимальное усилие колеса Fк max =540 кН; · вес тележки Gт =180 кН; · вес крана с тележкой Gк =900 кН; · высота крана Нк =3150 мм; · свес мостового крана (за осью подкранового рельса) В1 =300 мм; · тип кранового рельса КР-80; · высота рельса hр =130 мм;
Зная габаритные размеры мостового крана определяем основные размеры поперечной рамы: Высота колонны от обреза фундамента до оси нижнего пояса ригеля определяется по формуле: Н=h1 +h2 +h3 где: h1 =12,8 м [задание], h2 =Нк +150+100 – расстояние от головки подкранового рельса до оси нижнего пояса ригеля, 150 мм – минимальная величина, учитывающая высоту выступающих вниз элементов связей по нижним поясам ферм и прогиб конструкций покрытия, 100 мм – минимальный зазор м/у конструкцией крана и низом покрытия, h2 =3150+150+100=3400 мм=3,4 м h3 =0,8 м – заглубление башмаков колонн рамы ниже уровня пола цеха. Н=12,8+3,4+,8=17 м Высота сечения надкрановой части колонны: е = 500 мм Высоту сечения подкрановой части колонны из условия свободного прохода крана назначают не менее:
где: D=100 мм – минимальный зазор между внутренней гранью колонны и конструкцией мостового крана; В1 =200 мм –свес мостового крана (за осью подкранового рельса). m=500+200+100=800 мм Данная высота должна удовлетворять условиям жесткости:
m > 772,7 мм – условие выполняется. По [1, прил. 14, табл. 5] принимаю m=800 мм. Расчётный пролёт рамы равен расстоянию м/у осями надкрановых частей колонн:
Lp=34000-500+500=34000 мм =34 м. Расчётный пролёт ригеля рамы:
Lф=34000-500=35000 мм =33,5 м. Высоту ригеля в середине пролета hф и на опоре hо принимаем по [7] в зависимости от Lф : hф =4,1 м, hо =2,8 м.
Расчет подкрановой балки.
В проекте необходимо произвести расчет и конструирование однопролетной подкрановой балки несимметричного, постоянного сечения со специальной тормозной балкой. 1. Определение расчетных усилий. Величина расчетного изгибающего момента от вертикальных сил:
где
Mmax=0,95*1,1*0,85*1,05*1,1*540*2*5,245/2=2906 кНм Расчетный изгибающий момент от поперечных тормозных сил определяется по той же линии влияния, что и Mmax и при том же загружении:
где: nо =2 – число колёс с одной стороны крана; Q=50 т – номинальная грузоподъёмность крана; Gт =180 кН – вес тележки.
Mz=0,95*1,1*0,85*1,1*16,75*2*5,245/2=85,8 кНм Расчётная поперечная сила в сечении у опоры от вертикальной нагрузки:
Qmax=0,95*1,1*0,85*1,04*540*1,1*(6,755+5,245)/12 кН 2. Подбор сечения подкрановой балки. Согласно условиям работы проектируемых конструкций принимаем сталь марки С255 ГОСТ 27772–88 с расчетным сопротивлением: · по пределу текучести Ry=23 кН/см² · по временному сопротивлению Ru=35,5 кН/см² Наименьшая допустимая высота балки из условия жесткости:
где Ry=23 кН/см² – расчетное сопротивление материала балки [2 табл.51*] Е=2,06*10 кН/см² – модуль упругости стали nср =1,1 – осреднённый коэффициент перегрузки [4 стр.12] n0 =600 – величина, обратная предельному значению относительного прогиба балки [4 стр12] l=12 м – расчетный пролет балки hmin=5*23*600*1200/(34*2,06*10000*1,1)=1,52 см Толщина стенки определяется по эмпирической формуле:
По Сортаменту на сталь прокатную толстолистовую принимаем стенку балки толщиной tст. =14 мм Оптимальная высота балки из условия прочности, отвечающая наименьшей её массе при упругой работе материала:
где к = 1,1 Wтр – требуемый момент сопротивления сечения балки
Wтр=290600/(0,9*23)=14039 см³
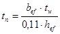
По Сортаменту принимаем высоту стенки балки hст. =1600 мм [1 пр.14 табл.5] Минимальная ширина полок: верхней bb min=2*(hp/2+2+3)=2*(13/2+2+3)=23 см По [1 пр.14 табл.5] принимаем bb min=40 см нижней bн min=(6d+tст)=(6*2+1,4)=13,4 см – из условия размещения болтов По [1 пр.14 табл.5] принимаем bн min =26 см Толщину полок определяем по [2 табл.30]:
где bef=(40-1,4)/2=19,3 см tw=1,4 см – толщина стенки балки hef=160 см – расчетная высота балки tп=19,3*1,4/(0,11*160)=0,86 см По [1 пр.14 табл.5] принимаем t=1,54 см Конструктивные требования, предъявляемые к сечению сварной подкрановой балки: · tп max=40 мм · tст ≤ tп ≤3 tст – из условия свариваемости · tст=8 – 16 мм · из условия обеспечения местной устойчивости поясов [4 стр.13]:
Принимаем подкрановую балку: hст =160 см tст =1,6 см bв =40 см bн =26 см tп =1,6 см Тормозная балка Тормозная балка состоит из швеллера и горизонтального листа. · швеллер №14: Ао = 15,6 см2 – площадь сечения швеллера Jz о = 45,4 см4 – момент инерции швеллера относительно Zo yo =1,67 см – расстояние от оси Zo до наружной грани стенки швеллера · толщина горизонтального листа тормозной балки 0,6 см · ширина листа:
где: 6 см – необходимый зазор между тормозной балкой и стеновыми панелями 3 см – минимальная величина нахлёстки горизонтального листа на пояс bг.л.=80-0,5*40-6+3=57 см По [1, Прил.14, табл.5] принимаем bг.л.=55 см. 3. Проверка принятого сечения подкрановой балки по нормальным напряжениям. Координата центра тяжести сечения подкрановой балки относительно середины высоты стенки:
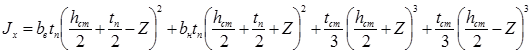
Момент инерции сечения подкрановой балки относительно оси Х1 , проходящей через центр тяжести сечения:
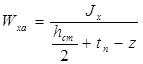
Момент сопротивления для крайних волокон верхнего пояса:
Wxa=1157352/(80+1,6-5,491)=15207 см³ Момент сопротивления для крайних волокон нижнего пояса:
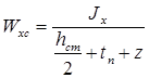
Wxс=1157352/(80+1,6+5,491)=13289 см³ Положение центра тяжести тормозной балки относительно оси Z1 – Z1 стенки балки:
Момент инерции тормозной балки относительно оси Z – Z:
где: y1=40/2+23,06=43,06 см
y2=55+40/2+2,0-3-23,06=50,94 cм
Момент сопротивления тормозной балки для точки a:
Момент сопротивления тормозной балки для точки d:
Проверка нормальных напряжений в наиболее напряжённых точках сечения подкрановой и тормозной балок:
σа=290600/15207+8508/2414=22,63 кН/см² <23 кН/см² [1,6%] σc=290600/13289=21,87кН/см² <23 кН/см² [4,9%] σd=8508/2041=4,17 кН/см² <23 кН/см² Проверка выполнена. 4. Проверка прочности стенки балки по касательным напряжениям. Наибольшие касательные напряжения действуют в фибрах, расположенных по нейтральной оси балки:
где Qmax =2065 кН – максимальная перерезывающая сила в опорном сечении Snc – статический момент полусечения балки относительно оси Х1
Rs – расчетное сопротивление стали на срез (сдвиг) [2 табл.1]
где γm=1,05 – коэффициент надежности по материалу [2 табл.2] Rs=0,58*24/1,05=13,26 кН/см² τmax= 549*8706/(115735*1,6)=2,95 кН/см² < 13,26 кН/см² Проверка выполнена. 5. Проверка стенки балки на местное смятие. Давление колёс крана через подкрановый рельс и верхний пояс передаётся на стенку балки. Под воздействием этого давления может произойти смятие стенки.
где γf =1,1 – коэффициент для кранов среднего режима работы; n=1,2 – коэффициент перегрузки для крановой нагрузки; lм – условная длина распределения давления колёс крана:
где с=3,25 – коэффициент для сварных балок Jn – сумма моментов инерции пояса балки и кранового рельса относительно собственных осей:
Jn =40*1,6³/12+1547,4=1561,1 см4
σm=1,1*540*1,2/(1,4*33,7)=12,56 кН/см² <23 кН/см² Проверка выполнена. 6. Расчет поясных швов балки. Верхние поясные швы в подкрановых балках, непосредственно воспринимающие нагрузки от кранов, должны выполняться с проваром на всю толщину стенки. Такие швы равнопрочны материалу балки и расчётом не проверяются. Нижние поясные швы воспринимают сдвигающее усилие и их толщина должна быть не менее:
где Sn – статический момент нижнего пояса относительно оси Х1
Sn=26*1,6*(160/2+1,6/2+5,491)=3589,7 см3 βш =1,1; βс. =1,15 – коэффициенты, учитывающие глубину проплавления шва для автоматической сварки в лодочку [2 табл.53];
kш=549*3589,7/(2*19,7*1157352)=0,047 см Согласно расчёту и [2, табл.38] при толщине наиболее толстого из свариваемых элементов t=1,6 см принимаем большее значение kш=0,5 см для автоматической сварки с тавровыми двусторонними угловыми швами. 7. Проверка местной устойчивости стенки подкрановой балки. Устойчивость стенки балки должна быть обеспечена при любом напряжённом состоянии, т.е. условная гибкость стенки:
Рёбра ставятся на равных расстояниях по длине всей балки. Расстояние между рёбрами не должно превышать amax=2*hcт=2*160=320 см, т.к. λст>3,2. В стенке, укреплённой только поперечными рёбрами, ширина каждого из парных симметричных рёбер жёсткости должна быть не менее:
bp=1600/30+40=93 мм, по [4 прил.2] принимаем bp=100 мм. Толщина рёбра должна быть не менее
По [4 прил.2] принимаем tp=7 мм. Проверка устойчивости стенки балки расчетом не требуется, если при наличии местных напряжений
т.к. неравенство не соблюдается, то проверка устойчивости стенки балки должна производиться с учетом всех компонентов напряженного состояния. Устойчивость стенки балки несимметричного сечения проверяется по формуле:
где γст =0,9 – коэффициент для подкрановых балок σ, τ, σм – нормальные, касательные, местные напряжения в рассчитываемом отсеке стенки от внешней нагрузки; σкр, τкр, σкр – критические напряжения для отсека стенки. Краевое сжимающее напряжение σ у расчетной границы отсека:
где z1 =hcт/2+tn-z=80+1,6-5,491=76,12 см Мср , Qср – средние значения изгибающего момента и перерезывающей силы в пределах отсека. Т.к. длина отсека a превосходит высоту hст , то σ и τ вычисляются по средним значениям момента Мср и перерезывающей силы Qср для наиболее напряженного участка отсека длиной, равной расчетной высоте отсека hст . Средний изгибающий момент отсека:
где α=1,05 – коэффициент, учитывающий собственный вес подкрановой балки, принимаемый по [4, табл. 2.1] Σyi – сумма ординат линии влияния
M1=0,95*1,1*0,85*1,05*540*(5,245+6,755)*4,4/12*1,1=243800 кНсм M2=0,95*1,1*0,85*1,05*540*(5,245+6,755)*5,244/12*1,1=290500431970 кНсм M3=0,95*1,1*0,85*1,05*504*2*5,245/21,1=290600 кНсм Мср=(243800+290500+290600)/3=275000 кНсм
Среднее значение перерезывающей силы в пределах рассчитываемого отсека определяется по эпюре перерезывающих сил (см. рис.) по формуле:
где Q1 – перерезывающая сила в пределах отсека, вычисленная только от действия подвижной крановой нагрузки Fк ; аi – участок эпюры с постоянными ординатами в пределах отсека; ар =160 cм – расчетная ширина отсека стенки или участие отсека, равного hст . Qcp=(540*84,5+0*75,5)*1,04/160=297 кН
Местные напряжения σм определены в пункте 5: σм=12,56 кН/см² Касательные напряжения:
При отношении размеров отсека I случай. Предполагая, что потеря устойчивости стенки происходит по одной полуволне, нормальные критические напряжения находятся по формуле:
где С2 = 37,825 – коэффициент, принимаемый по [4 табл.2.4] hb – расстояние от нейтральной оси до верхней границы отсека hb=Z1-tn=76,12-1,6=74,52 см
σкр=84,7*23/3,56²=153,7 кН/см² Касательные критические напряжения:
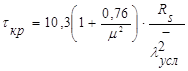
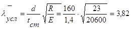
где Rs =13,26 кН/см² μ=1,875 – отношение большей сторон отсека a=300 cм к меньшей d=hст =160 см
τкр=10,3*(1+0,76/1,875²)*13,26/3,82²=11,38 кН/см² Критические местные напряжения:
где С1 – коэффициент, принимаемый для сварных балок по [4, табл.2.3] в зависимости от степени упругого защемления стенки в поясах δ
где β – коэффициент, зависящий от условий работы сжатого пояса. При крановых рельсах, прикрепленных к поясу болтам, β=2. δ=2*40*(1,6/1,4)³/160=0,75 Принимаем С1 = 41,8
σмкр=41,8*23/7,16²=18,75 кН/см² II
случай.
Предполагая, что потеря устойчивости стенки балки происходит по двум полуволнам, местные критические напряжения определяем по формуле с подстановкой а/2 вместо а в [4, табл.2.3] и формулу
Принимаем С1 = 17 σмкр=17*23/3,58²=30,51 кН/см²
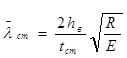
где С2 = 30 – коэффициент, принимаемый по [4 табл.2.4] hb – расстояние от нейтральной оси до верхней границы отсека hb=Z1-tn=76,12-1,6=74,52 см
σкр=30*23/3,56²=54,44 кН/см² Устойчивость стенки для полной длины волны:
Устойчивость стенки для полуволны:
8. Расчет опорного ребра подкрановой балки Опорные ребра балок обеспечивают устойчивость стенки, воспринимают опорную реакцию и через сварные швы передают её на стенку балки. Ширина торцевого опорного ребра:
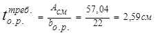
где bp=10 см – ширина промежуточного ребра жёсткости По [1 пр.14 табл.5] принимаем bo.p.=22 см Площадь поперечного сечения опорного ребра:
где F=2065 кН – опорная реакция подкрановой балки, численно равная Qmax Rсм.т =Run/γm=38/1,05=36,2 кН/см² – расчётное сопротивление на смятие торцевой поверхности [2 табл.1]. Асм=2065/36,2=57,04 см² Требуемая толщина ребра:
По [1 пр.14 табл.5] принимаем to.p.=2,8 см Из условия устойчивости ребра, его толщина должна быть не менее:
to.p.=2,8 см>0,74 см – условие выполнено. Т.к. опорное ребро выступает за крайнее волокно нижнего пояса на 20 мм и эта величина не превышает значение 1,5 to.p=1,5*28=42 мм, следовательно, выступающая часть не будет подвержена смятию. Площадь поперечного сечения опорного стержня:
Ао.с.=22*2,8+0,65*1,4²*√(20600/23)=99,73 см² Проверка устойчивости:
где φ=0,926 – коэффициент продольного изгиба опорного стержня с гибкостью λ определяется [2 табл.72]
где Jо.с – момент инерции сечения опорного стержня относительно оси Z
σ=2065/(0,926*99,73)=22,36 кН/см² <23 кН/см² – условие выполняется.
Сбор нагрузок на поперечную раму. 1. Постоянные нагрузки. · Погонная нагрузка на ригель рамы
где gфер =0,2 кН/м2 – вес несущих и ограждающих конструкций фермы [5 табл.1] gплит =1,7 кН/м2 – вес железобетонных плит покрытия ПР.116-15 [5 табл.1] gкров = 1,0 кН/м2 – вес конструкций кровли [5 табл.1] В=12м – шаг поперечных рам Γf =1,05 [3 табл.1], γf =1,1 [3 табл.1], γf =1,3 [3 п.3.7] – коэффициенты надёжности по соответствующим нагрузкам. qn=(0,2*1,05+1,7*1,1+1,0*1,3)*12=40,56 кН/м · Вес стенового ограждения
где γf =1,1 – коэффициент надежности по нагрузке [3 табл.1] hст.верх.. = 9,26 м – высота стены hст.низ.. = 11,84 м – высота стены Gст.верх.=1,1*0,6*12*9,26=55,56 кН Gст.низ.=1,1*0,6*12*11,84=109,5 кН · Вес колонны
где γf =1,05 – коэффициент надежности по нагрузке [3 табл.1]
Gk=1,05*0,4*12*34/2=85,7 кН Gк.верх.=0,2*85,7=17,14 кН Gк.низ.= 0,8*188,1=68,56 кН · Вес подкрановых балок
где γf =1,05 [3 табл.1] Gп.б.=1,05*0,3*12*34/2=64,26 кН 2. Временные нагрузки. · Снеговая нагрузка При расчёте рамы снеговую нагрузку равномерно распределённой по длине ригеля.
где γf = 1,4 – коэффициент надёжности по снеговой нагрузке [3 п.5.7] Sо = 0,5 кН/м² – нормативное значение веса снегового покрова на 1 м2 горизонтальной поверхности земли [3 табл.4] μ = 1 – коэффициент перехода от веса снегового покрова земли к снеговой нагрузке на покрытие [3 прил.3] qсн=1,4*0,5*1*12=8,4 кН/м · Ветровая нагрузка Действие ветра на сооружение вызывает давление с наветренной стороны и отсос с противоположной. Величина расчётного ветрового давления различна по высоте и учитывается введением в расчётные формулы коэффициента ki [3 п.6.5 табл.6]
где γf = 1,4 – коэффициент надёжности по ветровым нагрузкам [3 п.6.11] w0 = 0,38 кН/м² – нормативное значение ветрового давления [3 п.6.4] qB10=1,4*0,38*1*12=6,384 кН/м qB17=1,4*0,38*1,175*12=7,50 кН/м qB21,0=1,4*0,38*1,260*12=8,04 кН/м
Для упрощения расчёта поперечника ветровую распределённую нагрузку, действующую на колонну заменяем равномерно распределённой нагрузкой на всю расчётную высоту колонны. Рассчитаем с некоторым приближением это эквивалентное распределённое давление:
Эквивалентное ветровое давление распределяется на активное и пассивное согласно аэродинамическим коэффициентам С.
Сосредоточенное ветровое давление в пределах высоты фермы и парапета:
где hn=4,1 м – высота парапета W=0,5*(7,5+8,04)*4,1=31,86 кН Wa=0,8W=0,8*31,86=25,49 kH Wp=0,6W=0,6*31,86=19,12 kH · Нагрузка от мостовых кранов Поперечные рамы воспринимают вертикальные (Dmax и Dmin ) (от веса кранов с грузом) и поперечную горизонтальную (Т) (от торможения тележки крана с грузом) крановые нагрузки. При расчёте однопролётных рам крановую нагрузку учитываем от одновременного действия двух кранов. Крановую нагрузку от вертикального давления и поперечного торможения на раму определяют в результате невыгоднейшего загружения линии влияния опорного давления. Наибольшее вертикальное давление кранов:
Наименьшее вертикальное давление кранов:
где γf = 1,1 [3 п.4.8] ψ – коэффициент сочетаний [3 п.4.17] Σyi – сумма ординат линии влияния
где Q=50 т – грузоподъемность крана Qк =900 кН – вес крана с тележкой no=2 – число колес с одной стороны крана
Dmax=1,1*0,85*540*(0,4367+0,8742+1+0,5625)=1451 kH Dmin=1,1*0,85*155*(0,4367+0,8742+1+0,5625)=416,5 kH
Нормативное горизонтальное давление колеса крана (от торможения тележки) на крановый рельс:
Gт =700 кН – вес тележки крана
T=1,1*0,85*16,75*2,8734=45 kH Статический расчет поперечной рамы. Поперечная рама является трижды статически неопределимой системой, распределение внутренних усилий в которой зависит от соотношения жестокостей отдельных её элементов. Поэтому для статического расчёта необходимо знать ориентировочные значения моментов инерции. · Момент инерции ригеля:
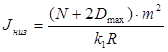
где q – расчётная нагрузка на 1 п.м. ригеля от постоянной и снеговой нагрузок; q=40,56+8,4=48,96 кН/м Jp=0,055*48,96*34²*4,1/230000=0,0568 м4 · Момент инерции сечения нижней части колонны:
где N – нормальная сила в нижней части колонны от постоянной нагрузки и снега; k1 = 3,0 при шаге рам 12 м m – высота сечения нижней части колонны
Jниз=(398,3+2*1451)*0,8²/(3*230000)=0,00306 м4 · Момент инерции сечения верхней части колонны:
где: е = 0,5 м – высота сечения верхней части колонны Jверх=(0,77*0,00306)/(0,8/0,5)²=0,0009207 м4 После расчётов на ЭВМ, результаты заносим в таблицу «Расчётные усилия в колонне металлической рамы». Расчет и конструирование колонны. 1. Подбор сечения нижней части колонны.
где R=23 кН/см2 – расчетное сопротивление материала колонны. ex – эксцентриситет продольной силы
Расчетные усилия: M =-1068,98 кНм N =-2398,15 кН ех=1068,98/2398,15=0,45 м
Определим расчётные длины подкрановой и надкрановой частей колонны с постоянным моментом инерции в плоскости рамы. · Нижний (подкрановый) участок колонны:
· Верхний (надкрановый) участок колонны:
где μ1 и μ2 – коэффициенты расчетных длин При соблюдении условий:
l1 =h-a=17-5,13=11,87 м l2 =a =5,13 см F1 и F2 – расчетные продольные силы в нижнем и верхнем сечении колонны, отвечающие наиболее невыгодной комбинации загружения рамы. F1= -2398,15 kH F2= -858,96 kH 5,13/11,87=0,43<0,6 2398,15/85896=2,79<3 Условия не выполняются. n = J 2 * L 1 / J 1 * L 2 α1 = L2 /L1 * √J1 /J2 *β , где J1 , J2 – соответственно моменты инерции нижнего и верхнего участков колонны
β = ( F 1 + F 2) / F 2 , где F1 , F2 – соответственно расчётные продольные силы в нижнем и верхнем сечениях колонны, отвечающие наиболее невыгодной комбинации загружения рам. β = (905,02+2398,15)/2398,15=1,38 n = 0,0009207*11,87/0,00306/5,13=0,696 α1 = 5,13/11,87 * √0,00306/0,0009207/1,38 =0,671
ПРИНИМАЕМ μ1 = 1,77 μ2 = 2,64 Lp 1 = 1,77*11,83= 20,94 (м) Lр2 = 2,64*5,13 = 13,54 (м) Компонуем сечение, учитывая: · · tп max=40 мм · tст ≤ tп ≤3 tст – из условия свариваемости · tст=8 – 16 мм · из условия обеспечения местной устойчивости поясов
· Согласно [1 прил.14 табл.5] принимаем: hст =80 см tст =1,0 см bп =40см tп =2,8 см · hст /tст =80/1=80 – условие выполняется · bп /tп =40/2,8=14,29<29,93– условие выполняется · bп /(h-a)=40/(1700-513)=0,034>0,33– условие выполняется Находим геометрические характеристики принятого сечения: · · · · · ·
λy <150 – распорку в центре колонны ставить не надо
2. Проверка устойчивости нижней части колонны в плоскости действия момента.
где gс = 1 – коэффициент условий работы [2 табл.6] jвн
– коэффициент, определяется в зависимости от значений приведённого относительного эксцентриситета m1
x
и условной гибкости
где η– коэффициент влияния формы сечения [2, табл.73]
η=(0,5+0,1*1,27)+0,02*(5-1,27)*1,87=1,32 m1X=1,32*1,27=1,67 jвн =0,447 σ=2398,15/(0,447*304)=17,66 кН/см² <23 кН/см² – условие выполняется. 3. Проверка устойчивости нижней части колонны из плоскости действия момента.
где jу =0,435 – коэффициент продольного изгиба [2 табл.72] с – коэффициент, определяемый в зависимости от:
где
M3-3=-505,99 кНм M4-4=1068,99 кНм mx=543,99*304/(10665*2398,15)=0,647 При mx<5 где α=0,7 [2 табл.10] β= c=1,158/(1+0,7*0,647)=0,797 σ=2398,15/(0,797*0,438*304)=22,72 кН/см² <23 кН/см² – условие выполняется. 4. Проверка устойчивости полок и стенки колонны принятого сечения. Устойчивость полок колонны обеспечивается если:
Для проверки местной устойчивости стенки находим:
α=(17,91+2,13)/17,91=1,12
где τ– среднее касательное напряжение в стенке
Q50,64 кН – перерезывающая сила в расчетном сечении, численно равная алгебраической сумме распоров Н при неблагоприятном сочетании нагрузок. τ=50,94/(80*1)=0,637 кН/см² β=1,4*(2*1,12-1)*0,637/17,91=0,0617 hст /tст <115,97 80/1<115,97– проверка выполнена Ребра жесткости необходимы, если соблюдается условие:
Ширина ребра:
bp=800/30+40=66,7 мм Принимаем bp=20 см [1 прил.14 табл.5] Толщина ребра:
Принимаем tp=1,4 мм [1 прил.14 табл.5] Шаг ребер жесткости: S = (2,5…3)hст . Размеры сечения надкрановой части колонны принимаем конструктивно по нижней части колонны. Расчет базы колонны. 1. Определение размеров опорной плиты и базы в плане. Ширина опорной плиты базы:
где bn =40 см – ширина полки колонны tтр =1,4 см – толщина траверсы [4 стр.21] a = 4 см – выступ плиты за траверсой [4 стр.21] В=40+2*1,4+2*4=50,8 см Принимаем В = 50см [1 прил. 14 табл. 5] Длина опорной плиты:
где N и М – расчетные усилия N=-2398,15 kH, M=1068,98 kHм
Для бетона класса В15 Rpc =88,5 кгс/см2 =0,885 кН/см² γ=³√2 – как для отдельно стоящего фундамента. Rb=0,885*2=1,77 кН/см²
Минимальная длина плиты базы из конструктивных соображений равна:
где m = 80см – высота сечения подкрановой части колонны с1 = 25см – минимальная длина консольного выступа плиты Zmin=80+2*25+2*2,8=135,6 см Длину плиты принимают не менее Z и не менее Zmin, она должна быть кратной единому модулю 100 мм. Принимаем Z = 1400 см 2. Толщина плиты базы. Конструкцию базы нужно проектировать с учетом необходимого подкрепления опорной плиты траверсами, рёбрами и создания упоров для анкерных болтов: Траверсы принимаем длиной:
Принимаем lтр=32 см Вычисляем фактические напряжения под плитой базы:
Принимая напряжения под плитой равномерно распределённым и равным наибольшему в пределах этого участка, определяем изгибающие моменты в каждом участке плиты: · участок 1 Пластина, опертая по 3-м сторонам. b1/d1=9,3/40=0,23<0,5 следовательно расчетный момент определяют как для консоли.
· участок 2 Пластина, опертая по 4-м сторонам
где a = 0,125 – коэффициент, определяемый в зависимости от отношения большего размера пластинки к меньшему [1, табл. 8.6]. М2=0,125*0,853*16,5²=29,03 кНсм · участок 3 Пластина, опертая по 3-м сторонам. b3/d3=39,2/25,6=1,53
где β=0,127 – коэффициент, определяемый в зависимости от отношения закреплённой стороны пластинки bi к свободной di , [1, табл. 8.7]. М3=0,127*0,551*25,6²=46,22 кНсм · участок 4 Пластина, опертая по 3-м сторонам. b4/d4=26/25,7=1,01 => β=0,112 М4=0,112*0,689*26²=52,2 кНсм · участок 5 Пластина, опертая по 3-м сторонам. b5/d5=26/25,8=1,52 => β=0,127 М5=0,127*0,443*25,8²=37,5 кНсм По наибольшему моменту определяем толщину плиты базы: Mmax=52,2 кНсм
Принимаем tпл=4 см [1 прил.14 табл.5]. 3. Расчет траверс базы колонны. Определяем высоту траверс: · из условия прочности угловых швов, соединяющих траверсу с полкой колонны:
где с = 27,2 см – величина консольного выступа плиты за пояс колонны
[1 табл. 5.1] (автоматическая сварка под флюсом проволокой Св-08А) gс = 1 – коэффициент условий работы конструкции βz = 1,1 – коэффициент глубины проплавления угловых швов при автоматической сварке [1 табл.5.3]
kш = 0,7 см – катет шва, принимаемый по [1 табл.5.4],
· из условия прочности траверсы на изгиб:
где М – изгибающий момент, действующий в сечении одной траверсы
М=0,25*53*27,2²*(0,941+0,689)=15979кНсм
· из условия прочности траверсы на срез:
Rs=13,26 кН/см² – расчетное сопротивление стали на срез (сдвиг) [2 табл.1] hтр=0,5*53*27,2*0,5* (0,941+0,689)/(1,4*13,26)=31,6 см Высоту траверсы принимаем по большему из трёх размеров в соответствии с [1 прил.14 табл.5]: hтр =56 см Высота траверсы не должна превышать допустимой расчётной длины шва:
lш=56 см<74,8=85*1,1*0,8 – условие выполняется 4. Расчёт анкерных болтов. Требуемую площадь анкерных болтов определяем из предположения, что растягивающая сила Z, соответствующая растянутой зоне эпюры напряжений, полностью воспринимается анкерными болтами.
Требуемая площадь сечения одного болта:
где М=-91309 кНсм, N=393,76 кН – изгибающий момент и продольная сила в сечении n =4 – количество анкерных болтов с одной стороны базы
а = 44,3см yб = 104,3 см
Согласно расчёту и [6 табл. II.1.2] принимаем по 2 анкерных болта Ø64 мм на каждую ось. Крепление плиты базы к фундаменту анкерными болтами осуществляется при помощи неравнобоких уголков, связывающих отдельные полутраверсы в единую систему. Толщину уголков принимают в пределах 14…16 мм, ширину горизонтальной полки уголка определяют: bуг≥е+1,5 da +tуг где е = 80 мм - приближение к траверсе [6, табл.II.1.2] tуг =14 мм – принятая толщина уголка da =64 мм – принятый диаметр анкерного болта bуг=80+1,5*64+14=190 мм Принимаем уголок 200´125´14 мм [1 прил.14 табл.5] Расчет и конструирование стропильных ферм. Определения расчётных усилий в стержнях производим в табличной форме. 1. Подбор сечения стержней фермы. Сечения сжатых стержней назначаем исходя из требуемой площади и радиусов инерции сечения:
где
В соответствии с требуемой площадью сечения и радиусами сечения по сортаменту [1 прил.14, табл.3 или 4] подбираем требуемое сечение элемента фермы. Сечения растянутых стержней назначаем исходя из требуемой площади сечения:
Необходимо произвести проверки принятых сечений: · по прочности и устойчивости стержней ферм:
где
· гибкости стержней ферм где: [2 табл.19 и 20]; · соблюдение конструктивных требований: минимально допустимый размер уголка 50´50 мм; · условие экономии металла: необходимо стремиться к тому, чтобы окончательно подобранное сечение элемента фермы имело параметры, близкие к предельным. 2. Расчёт нижнего опорного узла. · Нагрузки на узел. Опорное давление фермы Fф определяем как сумму усилий в надкрановой части колонны от постоянной и снеговой нагрузок [сечение 2–2, табл.1]. Fф = 905,02 кН. Максимальная величина распора Н= Mф / hф =-58.04/2.8=20.73 кН [табл. 2] · Размеры опорной фасонки. Толщину опорной фасонки принимаем равной толщине узловых фасонок фермы. Ширину и высоту опорной фасонки назначаем в зависимости от необходимых длин швов, прикрепляющих уголки раскоса и нижнего пояса к опорной фасонке. – по обушку:
где b – размер стороны уголка; zо – расстояние от обушка до ц.т.;
Для уголка 200х16 (D1)
Для уголка 180х12 (U1)
– по перу:
Для уголка 200х16 (D1)
Для уголка 180х12 (U1)
Швы крепления фланца к фасонке воспринимают опорную реакцию фермы Fф и внецентренно приложенную (относительно центра шва) силу Н. Под действием этих усилий угловые швы между фланцем и фасонкой работают на срез в двух направлениях. Проверка прочности соединений по металлу шва для наиболее нагруженной точки:
где:
условие выполняется. · Опорный фланец. Площадь торца определяется из условия смятия:
где - толщина опорного фланца tфл = 1,8 см. - ширина опорного фланца bфл = 16 см. - высота опорного фланца hфл = 50,2 см. Опорный фланец крепить к полке колонны на болтах грубой или нормальной точности (отверстия д.б. на 3-4 мм больше диаметра болтов, чтобы на болты не передавалась опорная реакция фермы в случае неплотного опирания фланца на опорный столик). Сварные швы, приваривающие опорный столик к колонне:
где 1,2 – коэффициент, учитывающий неплотное опирание фланца на опорный столик.
- толщина опорного столика tоп = 3,5 см. - ширина опорного столика bоп = 20,0 см. - высота опорного столика hоп = 46 см. 3 . .Расчёт монтажного стыка полуферм. Горизонтальные полки поясных уголков перекрывают сверху гнутой листовой накладкой. Площадь сечения определять по усилию Nн , приходящемуся на обушки поясных уголков.
где b – ширина вертикальной полки; zо – положение ц.т. поясного уголка; Nn – расчётное значение в верхнем поясе.
Ширину поясной накладки bн принимаем конструктивно из условия размещения сварных швов:
где с – свес накладки над уголком для размещения шва; dф – толщина фасонки фермы,
Принимаем:
Длина поясной накладки определяем длиной швов lш1 прикрепляющих полунакладку к полкам поясных уголков:
где Остальная часть усилий в поясе N2 передаётся через швы ш2 и ш3 на полуфасонки.
Для восприятия вертикальных составляющих усилий в верхнем поясе назначаем 4 шва ш4
длиной
Принимаем
: Полуфасонки соединяются двухсторонними накладками на фасонку длиной Катет шва, прикрепляющего накладку к полуфасонке, определяется из условия равнопрочности:
Принимаем:
Условие прочности конькового узла:
где
F2-2 – площадь сечения; W2-2 – минимальный момент сопротивления относительно оси, проходящей через ц.т. сечения,
условие выполняется. [18%] Список литературы 1. Металлические конструкции /под ред. Е.И.Беленя – 6-е изд.- М.: Стройиздат, 1986.-560 с. 2. СНиП II-23-81. Строительные нормы и правила. Нормы проектирования. Стальные конструкции. – М.: Стройиздат, 1982. 3. СНиП 2.01.07-85 Строительные нормы и правила. Нормы проектирования. Нагрузка и воздействия. - М.: Стройиздат. 4. Определение основных размеров поперечной рамы цеха. Расчёт подкрановой балки./ Методические указания к курсовому проекту по металлическим конструкциям /Сост. Ю.А.Лось – Омск, 1987. 5. Методические указания к курсовому проекту по металлическим конструкциям / Расчёт и конструирование стропильных ферм / Сост. Ивасюк И.М. – Омск – 1987. 6. Методические указания к курсовому проекту по металлическим конструкциям / Расчёт поперечной рамы цеха / Сост. Кононова Р.М. – Омск – 1987. 7. Методические указания по курсовому проекту металлические конструкции одноэтажного производственного здания /Таблицы усилий в элементах ферм от единичных нагрузок /Сост. Ю.А. Лось – Омск, 1977. |

=1700/22=772,7 мм





см






,
,
см³


,
;
;





принимаем min значение 
– условие не выполняется, следовательно, стенку балки необходимо укреплять парными поперечными рёбрами жёсткости.
,










:



0,81<0,9 – условие выполняется.
, 0,78<0,9 –условие выполняется













- условная гибкость в плоскости рамы
,
[2 табл.10]
– условие выполняется.



– условие выполняется.










,
,
,
.
;
;
;
,
;
;
.
;
;
,