Контрольная работа: Эконометрическое моделирование расчет коэффициентов корреляции и регрессии, анализ одномерного
|
Название: Эконометрическое моделирование расчет коэффициентов корреляции и регрессии, анализ одномерного Раздел: Рефераты по математике Тип: контрольная работа | ||||||||||||||||||||||||||||||||||||||||||||||||||||||||||||||||||||||||||||||||||||||||||||||||||||||||||||||||||||||||||||||||||||||||||||||||||||||||||||||||||||||||||||||||||||||||||||||||||||||||||||||||||||||||||||||||||||||||||||||||||||||||||||||||||||||||||||||||||||||||||||||||||||||||||||||||||||||||||||||||||||||||||||||||||||||||||||||||||||||||||||||||||||||||||||||||||||||||||||||||||||||||||||||||||||||||||||||||||||||||||||||||||||||||||||||||||||||||||||
| МИНИСТЕРСТВО ОБРАЗОВАНИЯ И НАУКИ РФ ФЕДЕРАЛЬНОЕ АГЕНТСТВО ПО ОБРАЗОВАНИЮ ГОУ ВПО ВСЕРОССИЙСКИЙ ЗАОЧНЫЙ ФИНАНСОВО-ЭКОНОМИЧЕСКИЙ ИНСТИТУТ КАФЕДРА СТАТИСТИКИ КОНТРОЛЬНАЯ РАБОТА ПО ЭКОНОМЕТРИКЕ Москва 2008 Задача №1. Эконометрическое моделирование стоимости квартир в московской области Таблица 1 - Исходные данные для эконометрического моделирования стоимости квартир
Принятые в таблице обозначения: Y – цена квартиры – это зависимая переменная (тыс. долл.). В качестве независимых, объясняющих переменных выбраны Х1 – город области: 1 – Подольск, 0 – Люберцы; Х2 – число комнат в квартире; Х3 – общая площадь квартиры, кв. м. 1) Расчет матрицы парных коэффициентов корреляции; оценка статистической значимости коэффициентов корреляции. Для вычисления матрицы парных коэффициентов корреляции используем инструмент Корреляция (Анализ данных в Excel) Таблица 2 – Матрица парных коэффициентов корреляции
Анализ матрицы парных коэффициентов корреляции показывает, что зависимая переменная (цена квартиры) имеет тесную связь с общей площадью квартиры (ryx3=0,846) и с числом комнат в квартире. Оценку статистической значимости коэффициентов корреляции выполняем с использованием t-критерия Стьюдента. Фактическое значение этого критерия определяем по формуле (1):
Критическое значение t-статистики Стьюдента при уровне значимости 0,05 и числе степеней свободы 38: tрасч ≈ 2,0244 Таблица 3
Из таблицы (3) видно что для всех коэффициентов матрицы tнабл > tрасч, следовательно все коэффициенты корреляции статистически значимы. Между параметрами Y и X3 наиболее тесная статистическая взаимосвязь. 2) Построение поля корреляции результативного признака и наиболее тесно связанного с ним фактора. Поле корреляции имеет вид, приведенный на рис.1. Вытянутость облака точек на диаграмме рассеяния вдоль наклонной прямой позволяет сделать предположение, что существует некоторая объективная тенденция прямой линейной связи между значениями переменных Х3 и Y.
3) Расчет параметров линейной парной регрессии для каждого фактора Х. Для расчета коэффициентов регрессии используем инструмент регрессия (Анализ данных в Excel)
Модели линейной регрессии будут иметь вид: для Х1 - Y = 117,504 – 41,484 X1 для Х2 - Y = 13,212 + 33,516 X2 для Х3 - Y = -13,109 + 1,543 X3 4) Оценка качества каждой модели через коэффициент детерминации, средней ошибки аппроксимации и F-критерия Фишера. Выбор лучшей модели. Модель Х1:
R2
= 0,163;
Коэффициент детерминации равен 0,163, он показывает, что около 16,3% вариаций зависимой переменной учтено в модели и обусловлено влиянием включенных факторов, т.е. цена квартиры только на 16,3% зависит от города. Критерий Фишера равен 7,383. Табличное значение (при k1=5, k2=40-5-1=34 и а=0,05) равно 2,48. Отсюда F>Fтабл. Это означает, что уравнение регрессии с вероятностью 0,95 , следует признать адекватным. Средняя ошибка аппроксимации
Модель Х2: R2
= 0,474; Коэффициент детерминации равен 0,474. Т.е. цена квартиры на 47,4% зависит от числа комнат в квартире. Критерий Фишера равен 9,217. Табличное значение (при k1=5, k2=40-5-1=34 и а=0,05) равно 2,48. Отсюда F>Fтабл. Это означает, что уравнение регрессии с вероятностью 0.95 95 следует признать адекватным. Средняя ошибка аппроксимации Модель Х3: R2
= 0,715; Коэффициент детерминации равен 0,715. Т.е. цена квартиры на 71,5% зависит от общей площади квартиры. Критерий Фишера равен 95,313. Табличное значение (при k1=5, 2=40-5-1=34 и а=0,05) равно 2,48. Отсюда F>Fтабл. Это означает, что уравнение регрессии с вероятностью 0,95 следует признать адекватным. Средняя ошибка аппроксимации Исходя из полученных данных, делаем вывод, что наилучшая модель – модель Х3: Y = -13,109 + 1,543 X3 5) Прогнозирование среднего значения показателя Прогнозирование осуществим для модели Х3 Х3max = 169,5 Xпрогноз
= из уравнение регрессии находим Yпрогноз : Yпрогноз
= -13,109 + Изобразим графически полученные величины (Рис.3.): 6) Построение модели формирования цены квартиры за счёт значимых факторов. Экономическая интерпретация коэффициентов модели регрессии. В таблице (4) в первом столбце указан номер модели, во втором независимые переменные, в третьем столбце содержатся коэффициенты уравнения, а в четвертом t-статистика. Таблица 4
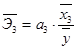
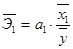
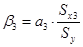
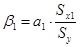
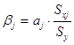
Уравнение регрессии зависимости цены квартиры от города области и общей площади квартиры, полученное на последнем шаге, можно записать в следующем виде y = 10,255 - 34,558Х1 + 1,492Х3 Коэффициенты уравнения регрессии показывают, что в Подольске цена квартиры меньше, чем в Люберцах на 34,558 тыс. долл., а при увеличении общей площади на один квадратный метр цена квартиры увеличится на 1,492 тыс. долл. 7)Оценка качества построенной модели. Оценка влияния значимых факторов на результат с помощью коэффициентов эластичности, - и - коэффициентов Сравним индекс корреляции R и коэффициент детерминации R2 полученной модели с однофакторной моделью. Таблица 5
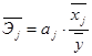
Из таблицы (5) видно, что качество новой модели лучше предыдущей однофакторной, т.к. коэффициенты ближе к единице. Теперь оценим влияние значимых факторов на результат с помощью коэффициентов эластичности, - коэффициентов с помощью формул:
где 1)
Отсюда видно, что при изменении Х1 на 1% значение Y уменьшится на 21,2%. А при изменении Х3 на 1% значение Y увеличится на 110,3%. 2) Найдем коэффициенты β для параметра Х1 и Х3 . Сначала вычислим среднеквадратические отклонения:
Тогда:
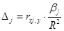
Анализ полученных данных показывает, что при увеличении Х1 на 0,5006 цена квартиры уменьшится на 0,336*51,492 = 17,301 тыс. долл. А при увеличении общей площади на 28,225 м2 Цена квартиры увеличится на 0,817*51,492 = 42,07 тыс. долл. 3) Вычислим коэффициенты Δ для параметров Х1 и Х3:
Из полученных данных мы видим, что доля влияния фактора город (Х1) в суммарном влиянии всех факторов составляет 0,164 или 16,4%, тогда как доля влияния фактора общая площадь – 0,836 или 83,6%. Задача №2. Исследование динамики экономического показателя на основе анализа одномерного временного ряда Таблица 6– Исходные данные
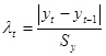
1. Выявление аномальных наблюдений Построим график временного ряда
Для выявления аномальных наблюдений воспользуемся методом Ирвина. Для всех наблюдений вычисляем величину
Где Результаты расчетов по методу Ирвина приведены в таблице (6) Таблица 6
По результатам расчетов аномальных наблюдений нет, т.к. расчетные величины 2. Построение линейной модели Таблица 7 - Промежуточные расчеты параметров линейной модели
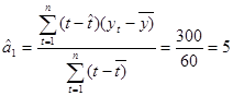
Рассчитываем параметры модели:
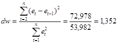
В результате расчетов получаем, что кривая роста зависимости спроса на кредитные ресурсы финансовой компании от времени имеет вид: Y(t)=17,333+5t 3. Оценка адекватности построенной модели Проверку независимости осуществляем с помощью dw-критерия Дарбина-Уотсона по формуле:
Для вычисления коэффициента Дарбина-Уотсона построим вспомогательную таблицу (8): Таблица 8
Так как dw попало в интервал от d2 до 2, то по данному критерию можно сделать вывод о выполнении свойства независимости. Это означает, что в ряде динамики не имеется автокорреляции, следовательно, модель по этому критерию адекватна. Поверку случайности проводим на основе критерия поворотных точек по формуле, количество поворотных точек р при n=9 равно 6: р>
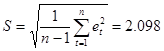
Неравенство выполняется (6>2). Следовательно, свойство случайности выполняется. Модель по этому критерию адекватна. Соответствие ряда остатков нормальному закону распределения определяем с помощью RS-критерия: RS=(emax -emin )/S
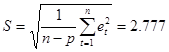
Расчетное значение RS=2,86 в интервал (2,7 – 3,7) попадает. Следовательно, по данному критерию модель адекватна. Вывод: модель статистически адекватна. 4) Оценка точности модели Оценку точности модели проводим на основе использования средней относительной ошибки аппроксимации. Получаем
Вывод: Еотн =5,75% - хороший уровень точности модели. 5) Прогноз спроса на следующие две недели. Для вычисления точечного прогноза в построенную модель подставляем соответствующие значения фактора t=n+k:
Для построения интервального прогноза рассчитываем доверительный интервал. При уровне значимости 0,3, доверительная вероятность равна 70%, а критерий Стьюдента равен 1,119:
U(1)=3.841, U(2)=4.065, Далее вычисляем верхнюю и нижнюю границы прогноза. Таблица 9
6) Графическое представление фактических значений показателя, результатов моделирования и прогнозирования. |
||||||||||||||||||||||||||||||||||||||||||||||||||||||||||||||||||||||||||||||||||||||||||||||||||||||||||||||||||||||||||||||||||||||||||||||||||||||||||||||||||||||||||||||||||||||||||||||||||||||||||||||||||||||||||||||||||||||||||||||||||||||||||||||||||||||||||||||||||||||||||||||||||||||||||||||||||||||||||||||||||||||||||||||||||||||||||||||||||||||||||||||||||||||||||||||||||||||||||||||||||||||||||||||||||||||||||||||||||||||||||||||||||||||||||||||||||||||||||||

,
и 
,
,
,



