Реферат: Разработка математической модели

Название: Разработка математической модели
Раздел: Рефераты по банковскому делу
Тип: реферат

В данной статье использованы статистические данные о 300 самых крупных российских КБ. Указанные данные опубликованы в журнале «Профиль», № 4, 2002 по состоянию на 1 декабря 2001 г. Ввиду того, что эти статистические данные приведены в тыс. рублей, соответствующие цифры имеют до 9 разрядов. Поэтому для снижения масштабов программных расчетов все исходные статистические данные были переведены в долларах США по курсу 31,2 руб. за 1 доллар. Следует также отметить, что капиталы 75 из 300 КБ приведены с учетом субординированного кредита. И, наконец, в 300 КБ включено несколько КБ с иностранным капиталом, действующих на территории России.

Результаты обработки описанных статистических данных приведены в таблице.

Таблица

Статистические характеристики
Показатели КБ

Общая сумма показателей КБ,
млн. долл.

Показатель СБР,
млн. долл.

Ошибка оценки показателя СБР,
млн. долл.

Капитал

13 908,539

46,362

12,233

Работающие активы

60 708,608

202,362

76,099

Ликвидные активы

8 633,986

28,780

8,447

Обязательства до востребования

44 703,655

149,012

68,625

Суммарные обязательства

62 836,715

209,456

79,111

Защита капитала

2 907,717

9,692

6,260

Уставной фонд

6 978,691

23,262

5,547

Суммарные активы

77 796,050

259,320

90,350

Прибыль

1 826,533

6,088

2,548

Привлеченные средства других КБ

7 890,639

26,302

5,511

В первом столбце таблицы приведены общие суммы соответствующих показателей 300 КБ. Во втором столбце приведены средние арифметические значения соответствующих показателей КБ, которые, в свою очередь, являются показателями среднего банка России (СБР), характеризующего собой РБС в целом. В третьем столбце представлены ошибки оценки средних арифметических значений, т.е. ошибки оценки показателей СБР.

Данная выборка из 300 самых крупных российских КБ является системообразующим ядром РБС, и характеристики этого ядра, в соответствии с положениями выборочной теории, можно распространить на всю РБС. Так, учитывая что все показатели КБ в составе РБС имеют распределение Гаусса (Hauss) и это проверено по критериям согласия, можно утверждать следующее:

  • если взять значение какого-то показателя СБР в пределах плюс-минус одного среднеквадратического отклонения (СКО), то этот показатель будет верен для 68% банков РБС;
  • если взять значение показателя СБР в пределах плюс-минус два СКО, то этот показатель будет верен для 95% банков РБС;
  • если же взять значение показателя СБР в пределах плюс-минус три СКО, то этот показатель будет верен для более, чем 99% банков РБС.

В целом, в каждый момент РБС представляет собой изменяющуюся во времени генеральную совокупность рейтингов КБ как реализаций случайных процессов, происходящих в банках этой РБС. Эта генеральная совокупность имеет свои статистические характеристики, в т. ч. центр группирования (среднее арифметическое), рассеяние (дисперсия, СКО, коэффициент вариации), закон распределения и др.

Разработка математической модели

Разработку математической модели оценки рейтингов КБ и РБС целесообразно начать с выбора коэффициентов, всесторонне характеризующих как каждый КБ, так и РБС в целом. В настоящее время существует достаточно много показателей КБ, опубликованных, например, в работах [6, 7]. C учетом существующей практики оценки экономического состояния КБ с помощью коэффициентов выберем для математической модели оценки рейтингов КБ и РБС следующие коэффициенты.

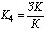
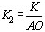
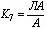
Коэффициенты достаточности капитала

— показывает, насколько вложения КБ в работающие активы (Ар) защищены собственным капиталом КБ (К), которым будут погашаться возможные убытки в случае невозврата или возврата в обесцененном виде того или иного работающего актива.

— показывает отношение капитала КБ к суммарным обязательствам (СО), — т. е. масштаб осуществляемых КБ операций.

— показывает, какая часть собственного капитала КБ сформирована за счет прибыли, т. е. за счет деятельности самого КБ (УФ — уставной фонд).

— показывает, насколько КБ учитывает инфляционные процессы и какую долю своих активов размещает в недвижимости, ценностях, оборудовании (ЗК — защищенный капитал).

Коэффициенты ликвидности КБ

— коэффициент мгновенной ликвидности показывает, насколько КБ использует клиентские деньги в качестве собственных кредитных ресурсов (ЛА — ликвидные активы, ОВ — обязательства до востребования).

— показывает, какую часть суммарных обязательств КБ может вернуть по первому требованию клиентов.

— показывает долю ликвидных активов в общей сумме активов (А) и характеризует масштаб принимаемых КБ рисков.

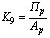
Коэффициенты рентабельности КБ

— характеризует эффективность использования банком привлеченных ресурсов (Пр — прибыль КБ).

— характеризует эффективность операций КБ.

— показывает эффективность использования собственного капитала.

— показывает размер прибыли по отношению к валюте баланса или эффективность использования всех ресурсов.

— показывает эффективность работы КБ, т. е. способность наращивать свой капитал за счет прибыли, а не за счет дополнительных эмиссий акций.

Коэффициент качества активов

— показывает, в какой мере КБ использует имеющиеся у него ресурсы для получения дохода.

Коэффициенты качества пассивов

— характеризует стабильность ресурсной базы, которую обеспечивают долгосрочные обязательства.

— показывает зависимость ресурсной базы КБ от рынка краткосрочных банковских капиталов (Кр — сумма привлеченных кредитов банков).

Используя данные таблицы, рассчитаем выбранные коэффициенты, которые характеризуют средний банк России:

К1 = 0,229; К2 = 0,221; К3 = 0,498; К4 = 0,209; К5 = 0,193;

К6 = 0,137; К7 = 0,111; К8 = 0,029; К9 = 0,030; К10 = 0,131;

К11 = 0,023; К12 = 1,993; К13 = 0,780; К14 = 0,288; К15 = 0,874.

Теперь уравнение для оценки рейтингов КБ и РБС можно записать в виде:

W = Р1 К1 + Р2 К2 + ... + Р15 К15 ,

где: Р1 , Р2 , ... ,Р15 — «финансовые веса» коэффициентов.

Для расчета «финансовых весов» коэффициентов рассчитаем опорное значение рейтинга СБР. С этой целью примем «веса» всех коэффициентов равными, т.е. К1 = К2 = ... = К15 = 1. В результате суммирования выше обозначенных значений коэффициентов получим опорное (базовое, исходное, нулевое) значение рейтинга СБР W = 5,746 .

Далее используем метод оценки функций влияния того или иного коэффициента на выходную сумму этих коэффициентов и по степени этого влияния определим «финансовый вес» каждого коэффициента.

Определение «финансовых весов» коэффициентов необходимо, ибо простая сумма этих коэффициентов может давать ошибочную оценку рейтинга КБ. Например, высокий рейтинг КБ может быть получен за счет больших значений менее важных показателей КБ, в то время как более важные показатели КБ будут иметь достаточно скромные значения.

Определение «финансовых весов» показателей КБ является достаточно трудной задачей. Качественных решений этой задачи много (см. выше), что негативно, так как это означает, что существует много мнений о «финансовых весах» тех или иных показателей КБ и нет единого мнения об этих «весах» тем более в математической форме.

Определение «финансовых весов» показателей КБ и с их помощью «весов» коэффициентов выходит за рамки определения «весов» в математике. Определение «математических весов», например, слагаемых в сумме, не представляет труда и несколько таких методов предложено в работах автора [1 — 5]. Так, при работе с детерминированными процессами «математические веса» зависят от точности измерения наблюдений. При работе со случайными процессами «математические веса» также зависят от точности оценки наблюдений, т. е. от их дисперсии.

Таким образом, «математические веса» показателей базируются на точности определения этих показателей, что в банковском деле может быть неприемлемо. Так, показатель, имеющий большой «математический вес», при определении рейтинга КБ может играть незначительную роль и наоборот. Поэтому «финансовые веса» показателей КБ и, соответственно, коэффициентов уравнения рейтинга целесообразно определять по степени влияния этих показателей на выходную сумму указанного уравнения.

Для получения оценок функций влияния необходимо давать одному показателю уравнения (модели) определенное отклонение, фиксировать все остальные показатели и измерять выходной результат модели, т. е. отклонение результата модели от его опорного значения, которое определено выше и составляет W = 5,746 .

Выбор отклонений показателей СБР от их средних значений осуществлялся с учетом ограничений, чтобы не создавать нереальные ситуации типа ОВ > СО и т.д. Расчет «финансовых весов» показателей СБР проводился дважды. На первом этапе отклонения показателей СБР от их средних значений брались в диапазоне плюс-минус 20 %. На втором этапе в качестве отклонений показателей СБР от их средних значений бралась плюс-минус одна ошибка оценки среднего арифметического соответствующего показателя СБР (см. таблицу). Результаты оценки «финансовых весов» показателей СБР по вышеуказанным двум этапам полностью совпали, что свидетельствует о корректности этих оценок.

Таким образом, были определены «финансовые веса» десяти показателей СБР: К, Ар, ЛА, ОВ, СО, ЗК, УФ, А, Пр, Кр. Используя эти «веса», можно легко находить «финансовые веса» коэффициентов модели и, соответственно, рейтинги КБ и РБС.

Технику определения «финансовых весов» показателей КБ покажем на примере капитала СБР. Варьируя значением капитала СБР $46,362 млн. (см. таблицу) в пределах плюс-минус 20%, получаем:

  • при значении капитала СБР $55,634 млн. модель дает на выходе W = 6,262, что превышает опорное значение W = 5,746 на 0,516;
  • при значении капитала СБР $37,089 млн. модель дает на выходе W = 5,217, что ниже опорного значения W = 5,746 на 0,529;
  • разделив сумму отклонений модели от опорного значения на диапазон изменения капитала $18,545млн., получим, что «финансовый вес» капитала равен Р (К) = (0,516 + 0,529) / $18,545 млн. = 0,05634 1/млн.

Аналогично рассчитаны и «финансовые веса» других показателей:

Р(Ар) = 0,00252 1/млн.; Р(СО) = 0,00223 1/млн.;

Р(УФ) = —0,11069 1/млн.; Р(ЗК) = 0,02166 1/млн.;

Р(ЛА) = 0,01537 1/млн.; Р(ОВ) = —0,00612 1/млн..;

Р(А) = —0,00370 1/млн.: Р(Пр) = 0,03532 1/млн..;

Р(Кр) = —0,00475 1/млн.

Полученные оценки «финансовых весов» показателей СБР свидетельствуют об их большом разбросе и о необходимости их масштабирования. Как видно из изложенных результатов, наибольшие «финансовые веса» имеют такие показатели как УФ, К, Пр, ЗК и ЛА.

Применение разработанной модели для оценки рейтингов КБ и РБС

Таким образом, получены «финансовые веса» всех показателей КБ, входящих в коэффициенты модели оценки рейтингов. Указанные «веса» для более удобного их использования необходимо масштабировать. С этой целью умножим все исходные «финансовые веса» на 100, после чего запишем эти «веса» в окончательном виде:

Р(УФ) = —11,069 1/млн..; Р(К) = 5,634 1/млн..; Р(Пр) = 3,532 1/млн..;

Р(ЗК) = 2,166 1/млн..; Р(ЛА) = 1,537 1/млн..; Р(ОВ) = —0,612 1/млн..;

Р(Кр) = —0,475 1/млн..; Р(А) = —0,370 1/млн..; Р(Ар) = 0,252 1/млн..;

Р(СО) = 0,223 1/млн..

Наличие отрицательных «финансовых весов» естественно, так как все входящие в модель рейтинга коэффициенты являются отношениями соответствующих показателей. Поэтому, если знаменатель какого-то отношения уменьшается, то это отношение растет и, следовательно, растет и искомый рейтинг. Это значит, что «финансовый вес» рассмотренного знаменателя в отношении будет отрицательным.

Полученные «финансовые веса» характеризуют значимость широко известных банковских показателей и коэффициентов в принятой модели оценки рейтингов . Автор предлагает общий математический подход к оценке рейтингов КБ и РБС. Разумеется, любой пользователь может включать в предложенную модель новые коэффициенты и исключать из нее уже существующие. Так, например, в модель можно включать коэффициент, характеризующий качество ссудного портфеля КБ с точки зрения наличия просроченной задолженности, коэффициент, показывающий долю кредитов в сумме работающих активов, что свидетельствует об активности КБ на рынке услуг, коэффициент клиентской базы, показывающий долю расчетных и текущих счетов в привлеченных ресурсах, коэффициент, показывающий, насколько КБ сохраняет разумное соотношение между ликвидностью и рентабельностью операций, различные кросс-коэффициенты и др.

Используя вышеприведенные «финансовые веса», для СБР, характеризующего РБС в целом, получаем, что рейтинг СБР и, соответственно, рейтинг системообразующего ядра РБС составляет W = 16,183 . Заметим здесь, что рейтинг СБР — это рейтинг центра группирования российских банков. Это значит, что рейтинги отдельных КБ могут быть как выше, так и ниже рейтинга СБР.

Для иллюстрации работоспособности предложенного метода рассчитаем рейтинги нескольких КБ, находящихся в РБС на различных уровнях иерархии:

Газпромбанк ... 15,240, Евротраст ... 19,020, Желдорбанк ... 27,988, Автогазбанк ... 19,800 и т. д.

Как следует из приведенных оценок, рейтинги банков-гигантов типа Газпромбанк могут быть ниже рейтингов более мелких банков. Это значит, что рейтинг КБ зависит не столько от его размера, сколько от его организации. Кроме того, этот количественный факт свидетельствует и о том, что закрытие малых и средних российских банков является преждевременным [8].

Таким образом, предложен математический метод количественной оценки рейтингов отдельных КБ и РБС в целом. Метод позволяет классифицировать КБ по экономическому состоянию на основе модели и введенных «финансовых весов» показателей КБ. Метод также позволяет с необходимой периодичностью оценивать рейтинги КБ и РБС во времени, что может являться основой для их прогнозирования в интересах реализации оптимального управления как отдельными КБ, так и РБС в целом.