Книга: Розвязування економетричних задач
|
Название: Розвязування економетричних задач Раздел: Рефераты по математике Тип: книга | ||||||||||||||||||||||||||||||||||||||||||||||||||||||||||||||||||||||||||||||||||||||||||||||||||||||||||||||||||||||||||||||||||||||||||||||||||||||||||||||||||||||||||||||||||||||||||||||||||||||||||||||||||||||||||||||||||||||||||||||||||||||||||||||||||||||||||||||||||||||||||||||||||||||||||||||||||||||||||||||||||||||||||||||||||
| Лабораторна робота № 1 Тема. Застосування електронних таблиць EXCEL та пакетів прикладних програм для розв’язування економетричних задач Мета роботи: ознайомитися з порядком застосування електоронних таблиць та пакетів прикладних програм у сатистичних та економетричних розрахунках. Завдання 1. Ознайомитися з прийомами використання електронних таблиць EXCEL для економетричних розрахунків. 2. Ознайомитися з функціональними можливостями професійних пакетів прикладних програм статистичної обробки даних STATGRAFICS, SPSS. Хід роботи 1. 1) Для ознайомлення з можливостями застосування електронних таблиць в економетричних розрахунках скласти в оболонці EXCEL розрахункову табл. 1.1. Занести вихідні дані – ряди даних для змінних X, Y. Розрахувати значення граф 4 – 7, а також значення параметрів A, B за формулами:
Таблиця 1.1 Макет розрахункової таблиці для виконання завдання 1
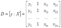
Для розрахунків використати функції СУММ, СРЗНАЧ, СТЕПЕНЬ, КОРЕНЬ, СУММПРОИЗВ, ЧСТРОК. 2) Ознайомитися з можливостями EXCEL при виконанні операцій з матрицями. Використовуючи функції ТРАНСП, МУМНОЖ, МОБОР, виконати дії з матрицями (завдання 1.2). Вихідні дані для розрахунків: матриця в = (12 х 4) y – вектор розмірністю (12 х 1) Для виконання завдання необхідно згадати елементи матричного обчислювання. Елементи лінійної алгебри 1. Матриці При розв’язуванні економічних задач використовуються таблиці значень, системи регресій, які зручно записувати з використанням матричних позначень. Основні визначення Матриці – це прямокутні таблиці елементів, розташованих по рядках та стовпцях:
Матриця Елемент, який знаходиться в i-му рядку та в j-му стовпці, позначається через Матриця, в якій число рядків дорівнює числу стовпців, називається квадратною. Порядок квадратної матриці визначається одним числом – кількістю рядків (стовпців). Матриця, яка складається з одного рядка елементів, називається вектором-рядком.
Матриця, яка складається з одного стовпця елементів, називається вектором-стовпцем.
Квадратна матриця називається діагональною, якщо елементи, які не належать головній діагоналі, дорівнюють нулю. Діагональна матриця, в якої кожен елемент головної діагоналі дорівнює одиниці, називається одиничною і позначається буквою Одинична матриця має вигляд:
Матриця, в якої всі елементи дорівнюють нулю, називається нульовою. Квадратна матриця Рівність двох матриць. Матриця
2. Дії над матрицями Додавання матриць Додавання матриць вводиться тільки для матриць одного порядку. Сумою двох матриць
Множення числа на матрицю Добутком числа
Для додавання і множення матриць на число справедливі такі операції:
- комутативний закон додавання матриць;
в)
г)
ґ) - дистрибутивний закон множення суми чисел на матрицю. Добуток матриць Добуток двох матриць вводиться лише для узгоджених матриць. Дві матриці Якщо матриці
Квадратну матрицю можна помножити саму на себе, тобто піднести до квадрата. Для дій над матрицями справедливі такі властивості:
б)
в) - комутативний закон множення квадратної матриці Транспонування матриць Матриця Для елементів транспонованих матриць виконується умова
Якщо квадратна матриця Властивості транспонованих матриць: 1. 2. 3. 4.
Інвертування матриць Розглянемо невироджену матрицю n-го порядку:
Квадратна матриця Квадратна матриця Визначення рангу матриці Якщо у будь-якій матриці виділити r довільних столбців та r довільних рядків, то з елементів матриці, які містяться на перетині цих рядків і стовпців, можна скласти визначник r-го порядку. Його називають мінором r-го порядку. Рангом матриці називають число, яке дорівнює найвищому порядку її мінора, відмінного від нуля (rang [A]). Диференціальне обчислювання в матричній формі Розглянемо деякі випадкидиференціального обчислювання в матричній формі, які використовуються в економетриці. 1.Похідна від скалярного добутку векторів (
2.Розглянемо добуток
3. Друга частинна похідна по вектору х :
2. Для побудови та аналізу економетричних моделей, а також для прогнозування економічних процесів застосовується ряд професійних пакетів прикладних програм. Такими є пакет STATGRAFICS, SPSS. В рамках лабораторної роботи необхідно поверхньо ознайомитися з призначенням цих пакетів, їх функціональними можливостями та особливостями, а також послідовністю операцій, які виконуються з їх застосуванням. Завдання для самостійної роботи студентівЗавдання 1.1Згадати правила виконання операцій з матрицями (додавання, множення, транспонування, інвертування, диференціювання).Завдання 1.2Виконати дії над матрицями:
Вихідні дані для розрахунків:
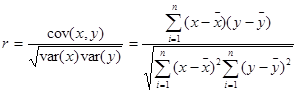
Лабораторна робота № 2 Тема. Парна лінійна регресія Мета роботи: навчитися будувати парну лінійну регресійну модель економічних процесів. Завдання1. На основі спостережених даних показника Y і фактора X знайти оцінки: 1) коефіцієнтів кореляції і детермінації; 2) параметрів лінії регресії 2. Побудувати ANOVA-таблицю для парної регресії. 3. Використовуючи критерій Фішера, з надійністю P=0.95 оцінити адекватність прийнятої моделі статистичним даним. 4. Розрахувати інші показники якості моделі. 5. Використовуючи t-статистику, з надійністю Р=0.95 оцінити значущість коефіцієнта кореляції. 6. Використовуючи t-статитстику, з надійністю Р=0.95 оцінити значущість параметрів моделі та визначити інтервали довіри для параметрів. 7. Якщо модель адекватна статистичним даним, то знайти: 1) з надійністю Р=0.95 надійні зони базисних даних; 2) точковий прогноз показника; 3) інтервальні прогнози показника та його математичного сподівання. 8. На основі одержаної економетричної моделі зробити висновки. Хід роботи1. 1) Коєфіцієнт кореляції є мірою щільності зв’язку між змінними. Коєфіцієнт кореляції між двома рядами спостережуваних змінних X та Y розраховується за формулою:
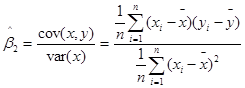
Коефіцієнт детермінації дорівнює квадрату коефіцієнта кореляції. 3) Вводиться гіпотеза, що між фактором Х та показником Y існує лінійна стохастична залежність Оцінки параметрів
(або
де n – кількість спостережень. Для роботи використовується пакет EXCEL. Складається розрахункова таблиця за макетом (табл.2.1) і розраховуються оцінки параметрів: Таблиця 2.1Розрахункова таблиця для оцінки параметрів парної лінійної моделі (за формулами (2.1), (2.3))
Результат розрахунків – вектор параметрів 2. Для проведення дисперсійного аналізу складається ANOVA-таблиця (табл. 2.2): Таблиця 2.2ANOVA-таблиця
У разі парної регресії К=2 – кількість оцінюваних параметрів. Для розрахунку ANOVA-таблиці розрахункова табл. 2.1 додається такими графами : Продовження табл. 2.1
3. Перевірка моделі на адекватність за допомогою критерія Фішера здійснюється за 6-ти-кроковою схемою. КРОК 1. Формулюються нульова та альтернативна гіпотези:
КРОК 2. Задається рівень значущості : КРОК 3. Обчислюється F-відношення:
КРОК 4. Знаходиться критичне значення F-розподілу Фішера при заданому рівні значущості та з (К-1), (n-K) ступенями вільності (функція FРАСПОБР в EXCEL) - КРОК 5. Порівнюється розрахункове та критичне значення функції F-розподілу. КРОК 6. Робиться висновок. Якщо 4. Розраховуються інші показники адекватності моделі: 1) Середня помилка прогнозу ME:
2) Дисперсія помилок VAR:
3) Середній квадрат помилки MSE (з ANOVA-таблиці):
4) Абсолютна середня процентна помилка MAPE:
Якщо MAPE<10% - існує висока точність прогнозу; 10%< MAPE<20% - добра точність; 20%< MAPE<50% - задовільна точність; MAPE>50% - незадовільна точність. 5) Середня процентна помилка MPE:
(MPE<|5%|) 6) Середня абсолютна помилка MAE:
5. Оцінка значущості коефіцієнта кореляції здійснюється за допомогою t-теста (6 кроків). КРОК 1. Формулюються нульова та альтернативна гіпотези:
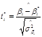
КРОК 2. Обирається рівень значущості: КРОК 3. Знаходиться розрахункове значення t-статистики:
де R – вибірковий коефіцієнт кореляції. КРОК 4. За таблицями t-розподілу Ст’юдента знаходиться критичне значення функції розподілу КРОК 5. Розрахункове значення t-статистики порівнюється з табличним. Знаходиться критична зона (рис. 2.1). КРОК 6. Якщо розрахункове значення t-статистики потрапляє в критичну зону, то
Рис.2.1. Графічне зображення критичної зони для розрахункового значення t-статистики. 6. Етапи тестування за критерієм Ст’юдента на значимість параметрів моделі КРОК 1. Формулюються нульова та альтернативна гіпотези:
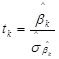
КРОК 2. Обирається рівень значущості КРОК 3. Будується t-статистика для кожного параметру:
де
КРОК 4. За таблицями t-розподілу Ст’юдента знаходиться критичне значення функції розподілу КРОК 5. Розрахункове значення t-статистики порівнюється з табличним. Знаходиться критична зона. КРОК 6. Якщо значення Для того, щоб визначити, як параметри
7. Прогнозування за моделлю простої лінійної регресії. Точковий прогноз дає значення залежної змінної для відповідного значення
Надійні зони для базисних даних та прогнозні інтервали знаходяться за формулами: а) для окремоно значення y:
б) для математичного сподівання y:
Для розрахунків доповнити розрахункову табл. 2.1 графами: Продовження табл.2.1
8. Зробити висновки щодо: 1) економічної інтерпретації параметрів моделі; 2) інтерпретації коефіцієнта кореляції; 3) адекватності побудованої моделі; 4) прогнозу показника. Оформити звіт про виконання лабораторної роботи. Завдання для самостійної роботи студентівЗавдання 2.1Виконати завдання лабораторної роботи № 2 на основі даних спостереження (табл 2.3): Таблиця 2.3Вихідні дані для побудови простої лінійної регресійної моделі
(abc – три останні цифри шифру студента) Завдання 1.2 Припустимо, що Ви збираєте дані про річний продаж фірмою продукції (y) і суми, які витрачено на наукові дослідження (x). Ви маєте таку статистику: cov(x,y)=300; var(y)=125; var(x)=880. Середній річний продаж ( Середня сума витрат на наукові дослідження ( Підрахуйте коефіцієнт кореляції між продажем і сумою, використаною на наукові дослідження. Визначте коефіцієнт детермінації. Знайдіть параметри регресії Завдання 1.3 Проведено оцінку регресії та розраховані SSE та SSR: SSE=53.27 SSR=202.91. Розрахуйте SST, R2 , r. Завдання 1.4 Вивчаючи зміну попиту на товар залежно від його ціни, отримано такі результати:
n=4. Фірма встановлює на товар ціну: 1,75 грн. Спрогнозуйте попит і побудуйте 95%-й інтервал довіри для математичного сподівання прогнозу. Завдання 1.5 Ви оцінюєте таку регресію:
n=28;
Перевірте значимість нахилу при 95%-ному рівні довіри. Побудуйте 90%-ний інтервал довіри для нахилу. Завдання 1.6 На яку додаткову оплату може очікувати особа, яка навчалась додатково 1 рік, якщо співвідношення між заробітною платою (в грн.) – y і освітою (в роках) – x має вигляд:
Завдання 1.7 Припустимо, що Ви підрахували кореляцію між двома випадковими змінними, яка дорівнює 0.62. Якщо для оцінки коефіцієнта кореляції було використано 25 спостережень, використайте 5%-ний рівень значимочті, щоб перевірити значимість коефіцієнта кореляції. Завдання 1.8 Припустимо,що Ви оцінюєте залежність доходу відповідно до кількості років навчання, використовуючи 30 спостережень. Середньоквадратичні відхилення параметрів подано в дужках.
(4,8) (127) а) перевірте значимість нахилу при 5%-ному рівні значимості; б) побудуйте 95%-ний інтервал довіри для нахилу. Завдання 1.9 Припустимо, що в регресії із завдання 1.8 SSE=75, SSR=81. Використайте F-тест для перевірки адекватності регресії. Лабораторна робота № 3 Тема. Парна нелінійна регресія Мета роботи: навчитися будувати парну нелінійну регресійну модель економічних процесів. Завдання1. Виконати завдання для самостійної роботи 3.1. 2. На основі статистичних даних показника Y і фактора X (вихідні дані з л.р.№1) знайти оцінки параметрів лінії регресії, якщо припустити, що стохастична залежність між фактором X і показникомY має визляд однієї з вищерозраховуваних функцій (завдання 1) 3. Використовуючи критерій Фішера з надійністю P=0.95, оцінити адекватність прийнятої моделі статистичним даним. 4. Побудувати ANOVA-таблицю для нелінійної моделі. 5. Якщо з заданою надійністю прийнята модель адекватна експерементальним даним, то знайти: а) з надійністю Р=0.95 довірчу зону базисних даних; б) точкову оцінку прогнозу; в) з надійністю Р=0.95 інтервальну оцінку прогнозу 6. Зробити висновки щодо ступеню апроксимації вихідних даних лініями простої лінійної та нелінійної регресії. 7. Побудувати графіки: а) фактичних даних; б) лінії прямої регресії та її довірчу зону (л.р.№2); в) нелінійної функції та її довірчу зону. Хід роботи1. Зведення кривих зростання до лінійної функції дає змогу оцінити параметри методом 1МНК та використовувати подальший аналіз моделі. Приклад 3.1 Зведення нелінійної парної регресії 2. Вводиться гіпотеза, що між фактором X та показником Y (вихідні ряди даних беруться з л.р.№1) існує нелінійна залежність (завдання 3.1, за вибором). Заміною приводиться нелінійна парна регресія до парної лінійної вигляду:
Параметри оцінюються за формулами, аналогічними (2.1) – (2.3) із застосуванням пакету EXCEL. 3. Перевірка моделі на адекватність за критерієм Фішера проводиться за 6-ти кроковою схемлю (п.3, л.р.№2). 4. Розраховується ANOVA-таблиця (табл.2.2). 5. За формулами (2.18) – (2.20) у разі адекватності моделі розраховуються з надійністю Р=0.95 довірчі зони базисних даних, точкова оцінка прогнозу, з надійністю Р=0.95 інтервальна оцінка прогнозу індивідуального заначення показника Y та його математичного сподівання. 6. На основі результатів дисперсійного аналізу зробити висновки щодо порівняної якості двох побудованих моделей – парної лінійної та нелінійної (критерій – min SSE). 7. Проводиться графічний аналіз даних: а) будується діаграма розсіювання (на координатну площину наносяться сточки спостережуваних даних); б) зображуються графіки оцінених лінійної та нелінійної функцій регресії та їх довірчі зони в) робляться висновки. Завдання для самостійної роботи студентівЗавдання 3.1Шляхом необхідних перетворень та заміни змінних звести наведені нелінійні функції до лінійного вигляду.
Завдання 3.2 Чи можна параметри модифікованої експоненти розрахувати за методом найменших квадратів? Поясніть відповідь. Завдання 3.3 Наведені такі дані (табл.3.1): Таблиця 3.1. Вихідні дані для побудови моделі
(abc – три останні цифри шифру студента) Побудуйте за наведеними даними модель вигляду
оцініть її параметри. Лабораторна робота № 4 Тема. Багатофакторна модель лінійної регресії Мета роботи: навчитися моделювати економічні процеси за допомогою моделі багатофакторної лінійної регресії, оцінювати якість моделі та застосовувати її для прогнозу та прийняття рішень. ЗавданняПідприємство має велику кількість філіалів, і керівництво цього підприємства хотіло б знати, як Y (річний товарообіг одного філіалу, млн.грош.од.) функціонально залежить від X2 – торговельної площі, тис. м2 , та X3 – середньоденної інтенсивності потоку покупців, тис.чол/день. Конкретно необхідно визначити, яке значення має кожний коефіцієнт такого регресійного рівняння: Для дванадцяти філіалів за певний рік маємо фіксовані значення показників Y, X2 та X3 (табл. 4.1). Таблиця 4.1Просторові дані за філіалами підприємства
1. Оцінити параметри моделі за методом 1МНК (у матричній формі). Інтерпретувати отримані оцінки. 2. Оцінити стандартизовані регресійні коефіцієнти ("бета-коефіцієнти"). Інтерпретувати оцінені стандартизовані коефіцієнти регресії. 3. Скласти до числового прикладу вектори 4. Розрахувати значення величин 5. Оцінити еластичність товарообігу відносно торговельної площі та відносно середньоденної частоти потоку покупців, обчисливши коефіцієнти еластичності. 6. Перевірити значимість окремих коефіцієнтів регресії (провести t-тестування), визначити їх інтервали довіри. 7. Розрахувати та інтерпретувати коефіцієнт детермінацї, частинний коефіцієнт детермінації та зкоректований коефіцієнт детермінації. 8. Перевірити модель на адекватність за допомогою F-критерію Фішера. 9.У разі адекватності моделі обчислити та інтерпретувати для регресії: - точковий прогноз товарообігу t+1-го філіалу; - 99%-ний прогнозний інтервал математичного сподівання товарообігу цього філіалу; -
99%-ний прогнозний інтервал безпосередньо самого товарообігу yt+1 цього філіалу, якщо задані такі значення регресорів: Хід роботи1. Для знаходження вектора оцінок параметрів багатофакторної лінійної моделі застосовується метод 1МНК у матричній формі:
Параметри лінійної регресії інтерпретуються так: зміна величини к-го регресора на одиницю свого виміру за інших рівних умов призведе до зміни оціненої величини 2. Стандартизовані коефіцієнти регресії обчислюються за формулою:
Емпіричний стандартизований регресійний коефіцієнт 3. Складаються такі вектори і матриці:
4. Розраховуються величини:
5. Коефіцієнти еластичності розраховуються за формулою:
де 6. t-тест для перевірки гіпотези про числові значення окремих коефіцієнтів регресії проводиться за 6-тикроковою схемою (схема наведена у л.р.№ 2, п. 6). Інтервал довіри для регресійного коефіцієнта Довірчий інтервал для дійсного значення регрессійного коефіцієнта
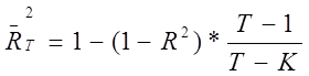
7. Коефіцієнт детермінації Три формули для розрахунку коефіцієнта детермінації: 1) 2) 3) Регресійне рівняння оцінене тим краще, чим більше за інших рівних умов Частинний коефіцієнт детермінації
де
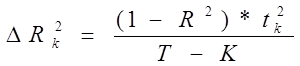
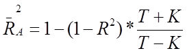
Т – довжина ряду спостережень; К – кількість регресорів; Т-К – кількість ступенів вільності. З двох варіантів регресійних рівнянь, які відрізняються на величину зкоректованого коефіцієнта детермінації, але мають однаково гарні інші критерії якості, обирають варіант з більшим значенням зкоректованого коефіцієнта детермінації. Зкоректований коефіцієнт детермінації за Тейлом:
Зкоректований коефіцієнт детермінації за Амемієй:
8. F-тест може бути проведений за схемою, яка складається з 6-ти кроків. КРОК 1. Формулюється пара гіпотез:
КРОК 2. Обирається рівень значимості. КРОК 3. Визначається табличне значення F-критерію (функція FРАСПОБР в EXCEL). КРОК 4. Числове значення F-статистики може бути розраховане за спрощеною формулою із застосуванням коефіцієнта детермінації :
КРОК 5. Порівнюється розрахована величина F з її табличним значенням та приймається рішення у відповідності з правилом застосування F-тесту:
КРОК 6. Інтерпретуються результати тесту. 9. У разі адекватності моделі вона застосовується для прогнозування економічного показника. 1) Точковий прогноз регресанда одержують, виходячи з оціненого регресійного рівняння:
2) Прогнозні інтервали для математичного сподівання та індивідуального значення регресанда визначається при рівні довіри (1-
де - помилка прогнозу при оцінці математичного сподівання регресанда
( де - помилка прогнозу при оцінці індивідуального значення регресанда
Як висновок наводиться геометрична інтерпретація прогнозних інтервалів. Обидва прогнозних інтервали є найменшими при Завдання для самостійної роботи студентівЗавдання 4.1Є такі дані (табл. 4.2) Таблиця 4.2 Вихідні дані для побудови класичної регресійної моделі
(abc – три останні цифри шифру студента) 1. Оцініть параметри лінійної регресійної моделі 2. Перевірте на значимість оцінені параметри з рівнем значимості 5% за t-тестом Ст’юдента. 3. Перевірте адекватність моделі за F-тестом при 5%-ному рівні значимості. 4. У разі адекватності моделі зробіть 95%-ний прогноз індивідуального значення регресанда та його математичного сподівання. Завдання 4.2 Ви оцінюєте таку модель:
Підрахуйте коефіцієнт детермінації Завдання 4.3 Скільки ступенів вільності мають чисельник та знаменник F-статистики в регресії, що складається з 50 спостережень та 5 незалежних змінних? Лабораторна робота № 5. Тема. Виробничі функції Мета роботи: навчитися аналізувати виробничі процеси за допомогою виробничої функції. ЗавданняПобудуйте виробничу функцію Кобба-Дугласа, використовуючи дані про випуск продукції, витрати основних виробничих фондів, витрати праці за 10 років, наведені в табл. 5.1. Розрахуйте характеристики: - середню продуктивність ресурсів; - граничну ефективність ресурсів; - еластичність випуску за ресурсами; - потребу в ресурсах; - фондоозброєність праці; - граничну норму заміщення витрат праці виробничими фондами; - еластичність заміщення ресурсів. Таблиця 5.1 Вихідні дані для побудови виробничої функції
Хід роботи1. Для розрахунку параметрів функції використовуємо рівняння:
Прологарифмуємо вихідне рівняння:
Введемо заміну змінних:
Одержуємо лінійну форму виробничої функції:
параметри якої оцінемо за методом 1МНК. 2. Розрахуємо основні характеристики цієї функції. 1. Середня продуктивність праці:
Із зростанням витрат праці (величины Х2) середня продуктивність праці знижується (показник степеню від’ємний). Це зумовлено тим, что кількість засобів праці залишається незмінною, і тому фондоозброєність праці спадає, а разом із нею і продуктивність. Із збільшенням же основних фондів (величины Х1) середня продуктивність праці зростає. Середня фондовіддача:
Із збільшенням фондів середня фондовіддача спадає (при незмінних трудовых ресурсах), а зростання залученої до виробництва робочої сили (за фіксованої величини фондів) призводить до зростання фондовіддачі. 2. Гранична продуктивність праці:
Із зростанням витрат праці за незмінних фондів гранична продуктивність праці знижується. Із зменшенням обсягу фондів за незмінних трудових ресурсах (тобто при збільшенні фондоозброєності праці), гранична продуктивність праці зростає. Гранична фондовіддача:
При збільшенні обсягу виробничих фондів за незмінних трудовых ресурсах гранична фондовіддача знижується. При збільшенні обсягу трудових ресурсів при незмінних фондах гранична фондовіддача зростає. Еластичність випуску продукції за витратами праці:
Таким чином, показник ступеню Еластичність випуску продукції за витратами засобів праці:
Показник ступеню 3. Потреба в ресурсах Виробнича функція дозволяє розрахувати потребу в одному з виробничих факторів при заданому обсязі випуску та величині іншого фактора:
Фондоозброєність праці: Виробнича функція дозволяє досліджувати питання співвідношення, взаємодії, заміщення ресурсів. На основі отриманих вище співвідношень визначається важливий економічний показник – фондоозброєність праці: 4. Гранична норма заміщення праці основними фондами дорівнює:
5. Еластичність заміщення ресурсів Функція Кобба-Дугласа має еластичність заміщення праці капіталом, яка дорівнює 1. Завдання для самостійної роботи студентівЗавдання 5.1Побудуйте виробничу функцію Кобба-Дугласа, використовуючи дані про випуск продукції, витрати основних виробничих фондів, витрати праці за 6 років, наведені в табл. 5.2. Розрахуйте характеристики: - середню продуктивність ресурсів; - граничну ефективність ресурсів; - еластичність випуску за ресурсами; - потребу в ресурсах; - фондоозброєність праці; - граничну норму заміщення витрат праці виробничими фондами; - еластичність заміщення ресурсів. Таблиця 5.2 Вихідні дані для побудови виробничої функції
(abc – три останні цифри шифру студента). Інтерпретувати одержані результати та зробити економічні висновки. Лабораторна робота № 6 Тема. Взаємозалежні економетричні моделі Мета роботи: навчитися оцінювати параметри системи взаємозалежних рівнянь. Завдання1. На основі статистичних даних за 10 періодів ендогенних величин: Y1 – експорт, Y2 – імпорт і екзогенних величин: Х1 – національний дохід; Х2 – оборот зовнішньої торгівлі, використовуючи метод 2МНК, оцінити параметри структурної системи регресій:
2. Для даних значень екзогенних величин знайти точкові оцінки прогнозу ендогенних величин та зробити аналіз взаємного впливу величин. Вихідні дані для розрахунків: Таблиця 6.1Вихідні дані для оцінки параметрів структурної системи регресії
Хід роботи1. Для вибору методу оцінки параметрів сумісної системи регресій перевіримо її ідентифікацію. Умова ідентифікації регресії має вигляд
де n – число ендогенних величин у системі регресій, m – число екзогенних величин у системі регресій, ni і mi – відповідно число ендогенних і екзогенних величин в і-й регресії. Для першої регресії ця умова запишеться так: 2+2 - (2+2)=0 Оскільки 0<1, то умова ідентифікації невиконана. Тому для оцінки параметрів структурної системи регресій (6.1) використовуємо метод 2МНК.
або в розгорнутій формі:
Оцінки параметрів для прогнозної системи регресій (6.4) знаходимо за методом 1МНК за формулою в матричній формі:
ДРУГИЙ КРОК МНК. Величини
2. Для отримання точкової оцінки прогнозу використовується приведена (прогнозна) форма системи регресій (6.4). Зробити висновок щодо прогнозних значень ендогенних величин та взаємного впливу ендогенних змінних (інтерпретувати коефіцієнти Завдання для самостійної роботи студентівЗавдання 6.1На основі статистичних даних за 6 періодів, використовуючи метод 2МНК, оцінити параметри структурної системи регресій:
Для даних значень екзогенних величин знайти точкові оцінки прогнозу ендогенних величин та зробити аналіз взаємного впливу величин. Література 1. Грубер Й. Эконометрия. Т.1. Введение в эконометрию. – К., 1996. 2. Замков О.О., Толстопятенко А.В.,Черемных Ю.Н. Математические методы в экономике. – М.:МГУ им. М.В. Ломоносова, 1997. 3. Лук’яненко І.Г., Краснікова Л.І. Економетрика:Підручник. – К.: Тов. “Знання”, 1998. 4. Лук’яненко І.Г., Краснікова Л.І. Економетрика:Практикум з використанням комп’ютера. - К.: Тов. “Знання”, 1998. 5. Толбатов Ю.А. Економетрика:Підручник для студентів екон.спец.вищ.навч.закл. – К.:Четверта хвиля,1997. |

.
.
.
.
.
.
, abc – три останні цифри шифру студента,
.
,
)
,
;
.
- вектор спостережуваних значень показника Y;
- вектор оцінених значень регресанда;
- вектор дійсних, але невідомих параметрів регресії;
- вектор 1МНК-оцінок параметрів моделі;
- 1МНК-оцінка вектору помилок;
- матриця регресорів;
- матриця даних.

;
.
,
;
.
.
.