Курсовая работа: Статистика внешнеэкономических связей Динамика экспорта и импорта в РФ
|
Название: Статистика внешнеэкономических связей Динамика экспорта и импорта в РФ Раздел: Рефераты по экономике Тип: курсовая работа | ||||||||||||||||||||||||||||||||||||||||||||||||||||||||||||||||||||||||||||||||||||||||||||||||||||||||||||||||||||||||||||||||||||||||||||||||||||||||||||||||||||||||
Курсовая работа по дисциплине Статистика на тему Статистика внешнеэкономических связей. Динамика экспорта и импорта в РФ Выполнил Студент курса Группы Отделения Руководитель Санкт-Петербург 2007 СодержаниеГлава 1. Эконометрическое моделирование динамики экспорта РФ.. 8 1.2. Дисперсионный анализ для линейной регрессии. 14 1.3. Изучение качества линейной регрессии. 16 1.4. Колеблемость признака. 18 Глава 2. Эконометрическое моделирование динамики импорта РФ.. 21 2.2. Дисперсионный анализ для линейной регрессии. 25 2.3. Эластичность показательной регрессии. 27 2.4. Изучение качества линейной регрессии. 27 Доверительные интервалы для оцененных параметров. 27 Критерий Фишера значимости всей регрессии. 28 2.5. Колеблемость признака. 29 ВведениеОбсудим внешнеэкономическую деятельность. Рассмотрим структуру импорта и экспорта. Как считают эксперты Минэкономразвития, в российском импорте ведущее положение сохранят закупки машинно-технических изделий. Сохраняется высокий удельный вес продовольственных товаров. В среднесрочной перспективе в структуре импорта машин и оборудования возрастет доля инвестиционных товаров и снизится удельный вес низкотехнологичного и потребительского импорта. Расширению закупок инвестиционных товаров будут способствовать меры по стимулированию внутренних инвестиций, а также снижение ставок пошлин на ввоз технологического оборудования. Прогнозируется, что импорт машин и оборудования к 2009 г. может возрасти в 2-2.5 раза по сравнению с 2006 г. Несмотря на ожидаемый рост производства основных видов продовольствия, отечественный АПК пока не в состоянии полностью удовлетворить спрос населения по ряду товарных групп, поэтому на период до 2008 г. сохранятся поставки из-за рубежа отдельных видов продовольствия и сельскохозяйственного сырья. В то же время на импорт продовольствия сдерживающее влияние будут оказывать принимаемые правительством Российской Федерации меры по защите отечественных товаропроизводителей. В связи с введением в 2003 г. тарифных ограничений на импорт мяса говядины и свинины прогнозируется некоторое снижение закупок мяса свежего и мороженого. В результате введения квотирования импорта мяса птицы его ввоз значительно сокращается. Восполнить указанное сокращение объемов импорта планируется за счет увеличения отечественного производства аналогичной продукции. Увеличение посевных площадей и валового сбора сахарной свеклы позволит в ближайшее время преодолеть многолетнюю тенденцию снижения производства сахара из этого сырья и несколько сократить ввоз сахара-сырца. Прогнозируется увеличение импорта зерновых культур. Объемы импорта кофе и чая будут определяться ростом платежеспособного спроса населения и емкостью внутреннего рынка, который при нынешнем уровне потребления почти насыщен. Важными статьями импорта останутся медикаменты и некоторые виды химической продукции. По продукции легкой промышленности ожидается увеличение импорта тканей, не производимых в России или производимых в недостаточном количестве, спрос на которые на внутреннем рынке будет расширяться вместе с ростом благосостояния населения. Предполагается увеличение импорта обуви, как за счет снижения ставок ввозных таможенных пошлин, так и за счет уменьшения доли теневой продукции вследствие ужесточения таможенного администрирования. По прогнозам Минэкономразвития РФ, импорт продовольствия к 2009 году вырастет. Рост доходов населения ведет к опережающему спросу на высококачественные товары, и отечественное производство не может удовлетворить этот спрос в полном объеме. Важно не только точно прогнозировать объем импорта, но и точно учитывать его объем [6]. Реальный размер импорта в Россию, согласно тщательно собранным данным иностранных таможен, примерно на треть выше объема того же импорта, но по данным российской официальной статистики. Так, исходя из данных статистических и таможенных органов внешнеторговых партнеров России, в 2005 году в нашу страну было экспортировано товаров и услуг на сумму $128 млрд., тогда как российская статистика импорта зафиксировала лишь $98,3 млрд. В Федеральной таможенной службе разность объясняют как занижением таможенной стоимости товаров, так и расхождением методик учета: российская статистика не учитывает мелких челноков и автоперегонщиков. Чистый экспорт за отчётный период определяется как алгебраическая разность в стоимостном выражении между экспортом и импортом товаров и услуг. Однако поскольку несбалансированность в международной торговле благами производственного назначения в любой стране компенсируется потребительскими благами, то чистый экспорт может отображаться только через потребительские блага. Поэтому под чистым экспортом следует понимать превышение экспорта потребительских благ над их импортом. При отрицательном чистом экспорте имеет место превышение импорта потребительских благ над экспортом. Если при этом фактически вообще даже нет импорта потребительских благ, но имеет место превышение импорта благ производственного потребления, то данная страна вместо производства этого количества импортируемых производственных благ свои ресурсы использует на дополнительное производство потребительских благ [2]. Большинство стран стремятся, чтобы их экспорт преобладал над импортом. Однако не всем это удаётся. В мировом масштабе сумма превышений экспорта над импортом у одних стран равна сумме превышений импорта над экспортом у других. Если на уровне микроэкономики можно понять стремление предпринимателей к увеличению экспорта, так как это вообще связано с расширением рынков сбыта своих товаров и услуг, то на уровне макроэкономики обосновать преимущество преобладания экспорта над импортом совсем не просто. При продолжительном чистом экспорте страна становится кредитором относительно других стран, а при отрицательном чистом экспорте (т. е. при преобладании импорта над экспортом) у данной страны возникает внешний долг. Чистый экспорт или преобладание импорта в долгосрочном периоде в принципе невозможны, так как никто не решится продолжительное время непрерывно торговать в долг. Использование при этом золотых резервов следует рассматривать как бартерный обмен, что равнозначно продаже золота как товара на экспорт. Превращение национальной валюты в конвертируемую международную возможно для любой богатой страны, свободно торгующей со многими странами мира и не создающей излишних таможенных барьеров, защищающих своих производителей. В этом случае остальные страны в торговле между собой используют валюту богатых стран. После того, как деньги какой-то страны станут конвертируемой международной валютой, их распространение в других странах происходит не только в результате отрицательного чистого экспорта, но и путём предоставления кредитов другим странам непосредственно в национальной валюте своей страны. В случае возникновения за какой-то отчётный период (год) чистого экспорта из внутреннего рынка оказывается изъятой часть потребительских благ, за создание которой сфера потребления в этом году получила свой доход. Значит, весь доход сферы потребления будет теперь уже обмениваться (возвратится производственной сфере) только на часть потребительских благ, оставшуюся от экспорта на внутреннем рынке[1] . Для производственной сферы чистый экспорт в национальной валюте, как и дефицит госбюджета, представляет собой дополнительный её чистый доход со всеми аналогичными последствиями [6]. Разумеется, чистый экспорт возникает в условиях успешной конкуренции данной страны на внешних рынках и, естественно, сопровождается некоторым расширением рынков сбыта благ производственного и личного потребления (иногда за счёт демпинговых цен), что связано с дополнительными чистыми инвестиционными благами. При отрицательном чистом экспорте (превышении импорта над экспортом), возникшем впервые, на внутренний рынок в данном периоде поступает дополнительный объём потребительских благ, на приобретение которых сфера потребления расходует часть своего дохода. Значит, только оставшаяся часть её дохода будет израсходована на весь объём произведенных за этот период потребительских благ в производственной сфере (и полностью оплаченных сфере потребления) [9]. Следовательно, имеет место дефляция, уровень которой равен проценту чистого экспорта (т. е. импорта) к НД. Если же импортируются средства производственного назначения, значит, вместо чистых инвестиций в стране производится больше потребительских благ, что равнозначно их импортированию. Конечные результаты при этом будут одни и те же. В этом случае, как и при дефиците госбюджета, только вместо внутреннего долга импорт вызывает внешний долг, содержание которого связано с дополнительными издержками, которые могут покрываться только дополнительным производством потребительских благ на экспорт, что связано с инфляцией, как и само погашение долга от импорта. Поскольку при чистом экспорте некоторая часть реальных потребительских благ уходит с внутреннего рынка на внешние, то реальное потребление населения и государства сокращается на процент, равный проценту чистого экспорта к НД. И, наоборот, при чистом отрицательном экспорте (т. е. импорте) на внутренний рынок поступает дополнительное количество реальных потребительских благ из-за рубежа, что увеличивает реальное потребление населения и государства на процент, равный проценту импорта к НД. При этом в практике фактическое изменение государственного и личного потребления обычно отличается от процентов чистого экспорта или импорта к НД, так как на изменение потребления влияют ещё и другие факторы[2] . Цель работы: смоделировать тренд, характеризующий динамику экспорта, импорта РФ, дать прогноз. Глава 1. Эконометрическое моделирование динамики экспорта РФПриведем данные экспорта РФ за период 1999-2006. Отметим, что мы взяли в качестве начальной даты 2000г., т.к. начиная с этого года объем экспорта стал увеличиваться после кризиса 1998г. Если бы мы взяли данные с 1995г., то получили бы излом в 1990г., который сделал бы нашу модель малопригодной для прогнозирования. Все данные получены с сайта информационного агентства Прайм-тасс http://e3.prime-tass.ru. Экспорт выражается в млрд.долларов.
Построим показательную регрессию для экспорта [20] Обозначим ln(f)=y, ln(a)=alpha, ln(b)=beta. Получим
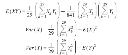
Оценим линейную регрессию 1.1.Построение регрессииДля регрессии вида найдем коэффициенты по формулам [11]
Вычислим
Тогда
Откуда Тогда линейная регрессия будет иметь вид
Смысл коэффициента beta заключается в том, что при изменении значения X на 1 единицу Y меняется на 0,05.Параметры показательной регрессии
Нарисуем точки и регрессию:
1.2. Дисперсионный анализ для линейной регрессииСреднее Y Остаточная вариация (RSS)
Общая вариация (TSS)
Объясняемая вариация (ESS)
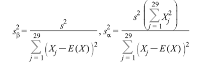
Правило сложения дисперсий выполняется Подсчитаем оценку дисперсии ошибки, т.е. [4]
Среднее X Найдем оценки дисперсий коэффициентов регрессии по формулам
Получим 1.3. Изучение качества линейной регрессииДоверительные интервалы для оцененных параметров
уровень доверия Количество степеней свободы 27. Критическое значение статистики Стьюдента Доверительный интервал [8] для beta равен Не можем на данном уровне значимости принять гипотезу beta=0 т.к. не попадает в доверительный интервал. Доверительный интервал для alpha
равен Мы не можем на данном уровне значимости принять гипотезу alpha=0 т.к. не попадает в доверительный интервал. Критерий Фишера значимости всей регрессии Коэффициент корреляции [12]
где
показывает, что связь сильна. Коэффициент детерминации
показывает, что регрессия объясняет 94, 69 процентов вариации признака. Убедимся в значимости модели с помощью статистики Фишера
которая больше критического значения
Следовательно, регрессия значима. Проверим значимость коэффициента корреляции [7]
поэтому выборочный коэффициент корреляции значимо отличается от нуля. Средняя ошибка аппроксимации
1.4. Колеблемость признакаКолеблемость - это отклонения уровней динамического ряда от тренда, т.е. остатки регрессии [19]. Найдем остатки регрессии (т.е. очищаем признак от тренда)
Нарисуем график остатков
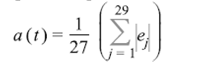
Среднее линейное отклонение уровней ряда от тренда описывается показателем
т.е. среднее абсолютное отклонение от тренда равно Амплитуда колебаний есть разность максимального и минимального отклонения и показывает максимальный разброс отклонений [3].
Выполним прогноз на следующие кварталы:
Как можно видеть, экспорт значимо моделируется показательным временным трендом, а все предпосылки метода наименьших квадратов выполняются. Значит, мы нашли значимую регрессию, обладающую хорошими прогнозными свойствами. Глава 2. Эконометрическое моделирование динамики импорта РФ
Приведем массив данных
Обозначим ln(f)=y, ln(a)=alpha, ln(b)=beta [3] Получим
Оценим линейную регрессию 2.1. Построение регрессииДля регрессии вида
найдем коэффициенты по формулам
Вычислим
Тогда
Откуда Тогда линейная регрессия будет иметь вид
Смысл коэффициента beta заключается в том, что при изменении значения X на 1 единицу Y меняется на 0,05 единиц Параметры показательной регрессии
Нарисуем точки и регрессию:
2.2. Дисперсионный анализ для линейной регрессииСреднее Y Остаточная вариация (RSS)
Общая вариация (TSS)
Объясняемая вариация (ESS)
Правило сложения дисперсий выполняется Подсчитаем оценку дисперсии ошибки, т.е.
Среднее X Найдем оценки дисперсий коэффициентов регрессии по формулам
Получим 2.3. Эластичность показательной регрессииПодсчитаем функцию эластичности по формуле В нашем случае
или Значение эластичности в средней точке Показывает, что при изменении X на 1% Y меняется на 5,72 процентов [13]. 2.4. Изучение качества линейной регрессииДоверительные интервалы для оцененных параметров
уровень доверия Количество степеней свободы 30 Критическое значение статистики Стьюдента Доверительный интервал для beta
равен
Не можем на данном уровне значимости принять гипотезу beta=0 т.к. не попадает в доверительный интервал. Доверительный интервал для alpha
равен Мы не можем на данном уровне значимости принять гипотезу alpha=0 т.к. не попадает в доверительный интервал. Критерий Фишера значимости всей регрессииКоэффициент корреляции
где
показывает, что связь сильна Коэффициент детерминации показывает, что регрессия объясняет 94,68 процентов вариации признака. Убедимся в значимости модели с помощью статистики Фишера
которая больше критического значения
Следовательно, регрессия значима Проверим значимость коэффициента корреляции
поэтому выборочный коэффициент корреляции значимо отличается от нуля. Средняя ошибка аппроксимации
2.5. Колеблемость признакаКолеблемость - это отклонения уровней динамического ряда от тренда, т.е. остатки регрессии. Найдем остатки регрессии (т.е. очищаем признак от тренда)
Нарисуем график остатков
Среднее линейное отклонение уровней ряда от тренда описывается показателем
т.е. среднее абсолютное отклонение от тренда равно Амплитуда колебаний есть разность максимального и минимального отклонения и показывает максимальный разброс отклонений.
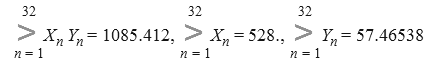
ЗаключениеВажнейшей составляющей методологии прогнозирования товарного импорта-экспорта является определение набора факторов и тенденций, которые необходимо учитывать при разработке долго-, средне- и кратко- срочных прогнозов[3] . В отечественной и зарубежной практике прогнозирования существуют серьезные разночтения по данному вопросу, которые обусловлены конкретными целями, стоящие перед аналитиками. Можно выделить основные принципы отбора объясняющих переменных для целей моделирования товарного импорта в РФ: · формирование набора факторов, имитирующих реальный механизм функционирования рыночной экономики; · сочетание структурного и высокочастотного подхода для описания функциональных взаимосвязей товарного импорта с другими макроэкономическими показателями (основанных соответственно на концепциях межотраслевого баланса и системы национальных счетов); · проверка значимости тенденций, условий и факторов при помощи тестирования статистических гипотез; · разделение объясняющих переменных модели, которые оказывают реальное воздействие на развитие товарного импорта в РФ, и переменных, которые подчиняются законам роста импорта и имеют с ним максимальный индекс корреляции. С формальной точки зрения прогноз представляет собой некоторый алгоритм, преобразующий прошлые и настоящие данные об исследуемом явлении или процессе, в значения характеристик явления (процесса) для момента, отстоящего от текущего момента на срок, называемый упреждением прогноза. Социально-экономические прогнозы по сроку упреждения подразделяются на: краткосрочные, с упреждением 1-2 года, среднесрочные, с упреждением 5-10 лет, долгосрочные, с упреждением 15-20 лет[4] . В случае долгосрочного прогнозирования необходимо учитывать следующие тенденции и факторы: · опережающее развитие ВЭД по сравнению с темпами роста национальной экономики; · повышение в производстве и торговле доли готовых товаров (кроме отечественной экономики; · основные выгоды от глобализации получают развитые страны и находящиеся в них ТНК, присваивающие большую часть технологической ренты; · динамика мировых цен, где наблюдаются значительные колебания, особенно под воздействием среднесрочных циклов; · влияние колебаний цен на российский импорт будет усиливаться; · на динамику и структуру экспорта и импорта РФ оказывают воздействие геоэкономические факторы, вступление РФ в ВТО усилит влияние западных ТНК на внешнюю торговлю. В среднесрочном прогнозировании решающими являются: динамика и структура производства и потребления основных товаров с учетом отраслевых взаимосвязей; · динамика цен основных экспортных и импортных товаров; · темпы роста инфляции, условия торговли, валютные курсы; · таможенно- тарифное и нетарифное регулирование. В краткосрочном прогнозировании следует отдавать приоритет: · регулирующей роли государства; · специфике производства и потребления; · отраслевой структуре экономике; · влиянию сезонных изменений на динамику производства, потребления и запасов; · степень загрузки производственных мощностей; · норма безработицы; · портфель и интенсивность поступления заказов; · характер движения цен. На уровне отдельных товаров и отраслей результативность анализа и прогнозирования зависит от правильной диагностики переживаемой фазы жизненного цикла и оценки возможных сроков перехода к следующей фазе. В прогнозировании импорта методологически корректно опираться на факторы и тенденции, в динамике которых проявляется определенная регулярность. В случае, если происходят качественные изменения, которые кардинально меняют общую картину, начиная с некоторого момента времени, целесообразно вводить фиктивные переменные в качестве регрессоров модели. Таким образом, методологически правильная структуризация факторов прогнозного фона позволит осуществить всесторонний анализ развития товарного импорта, что подготовит условия для спецификации связей эконометрической модели. Статистика экспорта импорта – один из самых востребованных объектов на рынке информационных услуг для компаний, занимающихся ввозом и вывозом самых различных товаров – как потребительских, так и бизнес-продукции [1]. На основе этих данных можно проводить самые разные маркетинговые исследования[5] , касающиеся и структуры рынка в целом, и целесообразности ведения внешнеэкономической деятельности на рынке той или иной страны. Фактически, статистика экспорта импорта является краеугольным камнем для полного и исчерпывающего маркетингового исследования, необходимым (а зачастую – и достаточным) фактором для получения гарантированно достоверных результатов. Выполним прогноз на четыре квартала 2007г.
Суммарный импорт за год составит 59,68 млрд. Выполним прогноз на четыре квартала 2008г.
Суммарный импорт за год составит 72,99 млрд. Мы видим, что импорт растет о показательному закону. Это связано как с укреплением курса рубля, так с увеличением дохода населения и недостаточным уровнем отечественного производства промышленных и сельскохозяйственных товаров. Россия разрабатывает меры для поддержки экспорта. Среди мер государственной поддержки экспорта промышленной продукции особое значение имеет финансовая поддержка, к которой относят кредитование экспорта, гарантирование экспортных операций, возмещение части процентных ставок по экспортным кредитам. За рубежом для реализации финансовых мер поддержки экспорта созданы специализированные институты – экспортные кредитные агентства, экспортно-импортные банки. Чаще всего ресурсная база таких организаций формируется за счет средств государственных бюджетов, а также за счет собственных и привлекаемых средств. Что касается Российской Федерации, то до последнего времени мерам финансовой поддержки экспорта не уделялось достаточного внимания, и, в основном, государственная финансовая поддержка экспорта промышленной продукции осуществлялась в области предоставления кредитов правительствам иностранных государств и распространялась на крупные комплектные поставки, строительство объектов за рубежом и содействие в рамках военно-технического сотрудничества, что затрагивало лишь небольшую долю общего объема промышленного экспорта. В этой связи в 2003 году была разработана и одобрена распоряжением Правительства (14 октября 2003 г. № 1493-р.) Российской Федерации Концепция развития государственной финансовой (гарантийной) поддержки экспорта промышленной продукции в Российской Федерации. Концепция определяет основные цели, задачи и приоритеты государственной финансовой поддержки российского промышленного экспорта и предусматривает меры по ее развитию. Концепцией предусмотрены следующие механизмы финансовой поддержки экспорта: Гарантийная поддержка (государственное гарантирование политических и долгосрочных коммерческих рисков при проведении экспортных операций). Определение номенклатуры промышленной продукции, для экспорта которой необходима государственная гарантийная поддержка, осуществлялось исходя из фактора её конкурентоспособности. Страны, экспорту в которые оказывается поддержка, разделены на 2 категории: · страны, перечень которых с определением предельных объемов гарантирования и категорий страновых рисков для каждого государства утвержден распоряжением Правительства Российской Федерации от 28 июня 2006 г. №926-р. Эти страны в большинстве своем не имеют инвестиционного кредитного рейтинга. Поэтому при экспорте в такие страны требуется государственная контр-гарантия в качестве обеспечения. Предельный размер покрытия зависит от категории риска страны и варьируется от 85 до 95 %. · страны, обладающие инвестиционным кредитным рейтингом по шкале одного из трех рейтинговых агентств. При экспорте в указанные страны не требуется государственной контр-гарантии в качестве обеспечения, принимаются иные формы обеспечения. Предельный размер покрытия будет в каждом случае определяться Минфином России, но не превышать 90%. Возмещение части процентных ставок по экспортным кредитам; Федеральным законом «О федеральном бюджете на 2007 год» предусмотрено выделение средств в размере 3,0 млрд. рублей для реализации механизма возмещения части процентных ставок по кредитам, предоставляемым российскими кредитными организациями российским экспортерам промышленной продукции. Для получения возмещения необходимо выполнение следующих условий: · экспорт промышленной продукции не менее 3 лет · направление кредитных ресурсов на осуществление экспорта промышленной продукции с высокой степенью переработки; · своевременное исполнение кредитных договоров; · отсутствие просроченной задолженности по обязательным платежам в федеральный бюджет и в государственные внебюджетные фонды. Преимущественным правом на получение возмещения обладают организации, являющиеся победителями международных тендеров на поставку промышленной продукции. Размер возмещения: При привлечении кредита в российских рублях возмещение осуществляется из расчета двух третьих произведенных затрат на уплату процентов по кредиту при условии, что процентная ставка по кредиту будет менее или равна ставки рефинансирования ЦБ РФ, действующей на дату последней уплаты процентов. Если процентная ставка по кредиту больше ставки рефинансирования ЦБ РФ, действующей на дату последней уплаты процентов, возмещение осуществляется исходя из расчета двух третьих ставки рефинансирования, действующей на дату уплаты процентов. При привлечении кредита в иностранной валюте возмещение осуществляется в рублях из расчета двух третьих произведенных затрат на уплату процентов по кредиту и исходя из курса рубля к иностранной валюте, установленному ЦБ РФ на дату осуществления указанных затрат. При расчете максимального размера возмещения процентная ставка по привлеченному кредиту в иностранной валюте принимается равной 12 процентам годовых. Долгосрочное экспортное кредитование. Концепцией развития государственной финансовой (гарантийной) поддержки экспорта промышленной продукции в Российской Федерации предусмотрено экспортное кредитование за счет (с участием) средств федерального бюджета. Согласно Концепции экспортные кредиты за счет (с участием) средств федерального бюджета предполагается предоставлять как правительствам иностранных государств, так и импортерам российской промышленной продукции или их банкам в соответствии с законодательством Российской Федерации. Однако, в настоящее время данный механизм финансовой поддержки экспорта не используется и выделение средств на экспортное кредитование Федеральным законом «О федеральном бюджете на 2007 год» не предусмотрено. Вместе с тем, в 2006 году ЗАО Росэксимбанк www.eximbank.ruпривлекло под государственные гарантии 70 млн. долл. для кредитования экспортных операций. Литература1. Сельцовский В.Л., Экономико-статистические методы анализа внешней торговли, М.: Финансы и статистика, 2004г. 2. Елисеева И.И. Общая теория статистики: Учебник для ВУЗов. – М.: Финансы и статистика, 1999. 3. Ефимова М.Р. Общая теория статистики: Учебник.- М.: Финансы и статистика, 1999. 4. Ефимова М.Р. Практикум по общей теории статистики: Учебн. пособие.- М.: Финансы и статистика, 1999. 5. Козлов В.С., Эрлих Я.М., Долгушевский Ф.Г. Общая теория статистики: Учебник.- М.: Статистика, 1975. 6. Копылова О.Ф. Индексы внешней торговли М.: Рио РТА. 2001г. 7. Общая теория статистики: Статистическая методология в изучении коммерческой деятельности. Учебник для ВУЗов.- М.: Финансы и статистика, 1999. 8. Общая теория статистики: Учебник/ Под ред. А.А. Спирина, О.Э. Башиной.- М.: Финансы и статистика, 1996. 9. Общая теория статистики: Учебник/ Под ред. А.М. Гольдберга, В.С. Козлова.- М.: Финансы и статистика, 1985. 10. Ряузов Н.Н. Общий курс статистики.- М.: Статистика, 1979. 11. Ряузов Н.Н. Практикум по общей теории статистики.- М.: Финансы и статистика, 1981. 12. Статистика таможенных платежей. Курс лекций, М.: РТА. 1997г. 13. Теория статистики: Учебник для ВУЗов/ Под ред.Шмойловой Р.А.- М.: Финансы и статистика, 1996. 14. Теория статистики: Учебник/ Под ред. проф. Р.А. Шмойловой.- М.: Финансы и статистика, 1996. [1] Вследствие этого фактора появляется инфляция, уровень которой равен проценту чистого экспорта к НД данного года. [2] Полагать, что за счёт преобладания импорта над экспортом можно значительно увеличивать личное и государственное потребление, нет оснований, так как в других странах с положительным чистым экспортом личное потребление при этом будет сокращаться. [3] Седова Е.И. Романчук Л.В., Рябушкин Б.Т., Гуменюк В.Е. Методологические подходы к восстановлению динамического ряда показателей экспорта и импорта РФ по основным группам товаров за 1990-1994гг. Вопросы статистики, 6/2007 [4] Королев И.С., Жуковская В.М., Трофимова И.Н., Чертко Н.Т . «Зеркальная» статистика импорта потребительских товаров. Вопросы статистики. 2/2007 [5] Капралова Н.Л . Внешнеэкономическая активность как фактор конкурентоспособности. Вопросы статистики. 8/2007 |






































