Реферат: Методы и модели подготовки принятия решений
|
Название: Методы и модели подготовки принятия решений Раздел: Рефераты по менеджменту Тип: реферат |
Современная Гуманитарная АкадемияУфимский филиал РефератПо предмету: «Разработка управленческого решения» На тему: «Методы и модели подготовки принятия решений » Выполнила: Студентка М-902-Уз группы Тарасова Людмила В. Уфа 2010 СОДЕРЖАНИЕвведение................................................................................................. 3 1. Методы и модели подготовки и принятия решений (ППР)........... 4 1.1. Фундаментальные научные методы ППР...................................... 4 1.1.1. Системный подход......................................................................... 6 1.1.2. Воспроизводственный подход....................................................... 9 1.1.3. Функциональный подход............................................................. 10 1.1.4. Учет действия экономических законов........................................ 12 1.1.5. Жизненный цикл товара............................................................... 13 1.2. Аналитические методы ППР......................................................... 18 1.3. Дескриптивные методы ППР........................................................ 23 1.4. Моделирование........................................................................... 34 1.5. Технология принятия управленческого решения........................ 37 Литература........................................................................................... 44 Введение Фундаментальные научные методы ППР. Аналитические методы. Дескриптивные методы. Технология принятия УР. Моделирование. Диалоговые компьютерные системы принятия УР. Технологии интеллектуальной поддержки УР. Неопределенность и риск в УР. Формирование концепции риска. Место риска в предпринимательстве. Система рисков. Показатели риска. Виды потерь. Оценка комплексного риска. Способы оценки степени риска. Размер возможного ущерба. Риск в инвестиционной деятельности. Управление риском. Приемы снижения степени риска. Особенности подготовки УР в области инвестиционной деятельности. Некоторые УР, связанные с неопределенностью выбора результата. Влияние индивидуальных особенностей ЛПР на решение. 1. МЕТОДЫ И МОДЕЛИ ПОДГОТОВКИ И ПРИНЯТИЯ РЕШЕНИЙ 1.1. Фундаментальные научные методы ППР Любое решение — это выбор альтернативы. Управленческое решение – это результат оптимизации, экономического обоснования и выбора альтернативы из множества вариантов достижения конкретной цели системы управления. Основными факторами, оказывающими влияние на качество управленческого решения, являются следующие: – применение к системе менеджмента научных подходов и принципов, методов моделирования; – автоматизация управления; – мотивация качественного решения. Эффективность и качество управленческого решения определяется прежде всего обоснованностью методологии решения проблем, т.е. подходов, принципов, методов. Анализ теории и практики экономического управления различными объектами позволил установить необходимость применения к менеджменту 13-ти научных подходов: системного, комплексного, интеграционного, маркетингового, функционального, динамического, воспроизводственного, процессного, нормативного, количественного (математического), административного, поведенческого, ситуационного. Каждый из перечисленных подходов отражает или характеризует один из аспектов менеджмента. Они не являются синонимами, не дублируют, а дополняют друг друга, что подтверждает сравнение их содержания. Системный подход к менеджменту, – при системном подходе любая система (объект) рассматривается как совокупность взаимосвязанных элементов, имеющая выход (цель), вход, связь с внешней средой, обратную связь. В системе “вход” перерабатывается в “выход”. Комплексный подход к менеджменту, – при применении комплексного подхода должны учитываться технические, экологические, экономические, организационные, социальные, психологические, а в случае необходимости и другие (например, политические, демографические) аспекты менеджмента и их взаимосвязи. Если упустить один из обязательных аспектов менеджмента, то проблема не будет решена. К сожалению, на практике редко соблюдается это требование. Например, при появлении новых предприятий социальные вопросы откладывают “на потом”, из-за чего объект либо совсем не вводится в строй, либо используется частично. При проектировании новых орудий труда показателям экологичности уделяется второстепенное значение, поэтому они сразу становятся неконкурентоспособными. При формировании новых коллективов или при реорганизации структур редко учитываются социальные и психологические аспекты. Интеграционный подход к менеджменту – направлен на исследование и усиление взаимосвязей между: – отдельными подсистемами и элементами системы менеджмента; – стадиями жизненного цикла объекта управления; – уровнями управления по вертикали; – субъектами управления по горизонтали. Маркетинговый подход к менеджменту предусматривает ориентацию управляющей подсистемы при решении любых задач на потребителя. Приоритеты выбора критериев маркетинга таковы: – повышение качества объекта в соответствии с нуждами потребителей; – экономия ресурсов потребителей за счет повышения качества; – экономия ресурсов в производстве за счет фактора масштаба производства, научно-технического прогресса, применения системы менеджмента. Функциональный подход к менеджменту, – его сущность заключается в том, что потребность рассматривается как совокупность функций, которые нужно выполнить для ее удовлетворения. После установления функций создаются несколько альтернативных объектов для выполнения этих функций и выбирается тот из них, который требует минимум совокупных затрат за жизненный цикл объекта на единицу его полезного эффекта. При применении функционального подхода, когда идут от обратного, от потребностей, иногда создают совершенно новые оригинальные объекты. Динамический подход к менеджменту, – при его применении объект управления рассматривается в диалектическом развитии, в причинно-следственных связях и соподчиненности, проводится ретроспективный анализ за 5-10 и более предыдущих лет и дается перспективный анализ (прогноз). Воспроизводственный подход к менеджменту – подход, ориентированный на постоянное возобновление производства товара для удовлетворения потребностей конкретного рынка с меньшими, по сравнению с лучшим аналогичным объектом на данном рынке, совокупными затратами на единицу полезного эффекта. Элементы воспроизводственного подхода следующие: – применение опережающей базы сравнения припланировании обновления объекта; – трактовка закона экономии времени как экономии суммы прошлого, “живого” и будущего труда за жизненный цикл объекта на единицу его полезного эффекта; – рассмотрение во взаимосвязи воспроизводственного цикла выпускаемой, проектируемой и перспективной моделей объекта, пропорциональное по качеству и количеству воспроизводство элементов внешней среды (прежде всего макросреды страны и инфраструктуры региона); – интеграция для крупных фирм науки и производства в рамках комплексного объединения. Процессный подход к менеджменту рассматривает функции управления как взаимосвязанные. Процесс управления является общей суммой всех функций, серией непрерывных взаимосвязанных действий. Нормативный подход к менеджменту, – его сущность заключается в установлении нормативов управления по всем подсистемам системы менеджмента. Нормативы должны устанавливаться по важнейшим элементам: – целевой подсистемы (показатели качества и ресурсоемкости товара, параметры рынка, показатели организационно-технического уровня производства, социального развития коллектива, охраны окружающей среды); – функциональной подсистемы (нормативы качества планов, организованности системы менеджмента, качества учета и контроля, нормативы стимулирования качественного труда); – обеспечивающей подсистемы (нормативы обеспеченности работников и подразделений всем необходимым для нормальной работы, выполнения стоящих перед ними целей и задач, нормативы эффективности использования различных видов ресурсов в целом по фирме). Нормативами функционирования элементов внешней среды фирма не управляет, но она должна иметь банк этих нормативов, строго соблюдать, в первую очередь, правовые и экологические нормативы и принимать участие в развитии системы нормативов внешней среды фирмы. Количественный подход к менеджменту, – его сущность заключается в переходе от качественных оценок к количественным при помощи математических и статистических методов, инженерных расчетов, экспертных оценок, системы баллов и др. Управлять можно цифрами, а не словами. Административный подход к менеджменту, – его сущность заключается в регламентации функций, прав, обязанностей, нормативов качества, затрат, продолжительности, элементов системы менеджмента в нормативных актах (приказы, распоряжения, указания, стандарты, инструкции, положения и т.п.). Поведенческий подход к менеджменту, – его целью является оказание помощи работнику в осознании своих возможностей, творческих способностей на основе применения концепций поведенческих наук к построению и управлению фирмой. Основной целью этого подхода является повышение эффективности фирмы за счет повышения эффективности ее человеческих ресурсов. Правильное применение науки о поведении будет способствовать повышению эффективности как отдельного работника, так и фирмы в целом. Ситуационный подход к менеджменту базируется на том, что пригодность различных методов управления определяется конкретной ситуацией. Поскольку существует огромное количество факторов как в самой фирме, так и во внешней среде, не существует единого лучшего способа управлять объектом. Самым эффективным методом в конкретной ситуации является метод, который больше всего соответствует данной ситуации, максимально адаптирован к ней. Перечисленные подходы рекомендуется применять при решении любой задачи, возникающей при функционировании или развитии системы менеджмента, по стадиям жизненного цикла объекта при стратегическом, тактическом или оперативном управлении. 1.1.1. Системный подход Системный подход основан на исследовании объектов как систем. Система — совокупность элементов, находящихся в отношениях и связях друг с другом, которая образует определенную целостность, единство. При определении понятия системы необходимо учитывать его теснейшую взаимосвязь с понятиями целостности структуры, связи, элемента, отношения, подсистемы и др. Основными свойствами системы являются: 1) целостность (принципиальная несводимость свойств системы к сумме свойств составляющих ее элементов и невыводимость из последних свойств целого; зависимость каждого от его места, функций и т.д. внутри целого); 2) структурность (возможность описания системы через установление ее структуры, т.е. сети связей и отношений системы; обусловленность поведения системы не столько поведением ее отдельных элементов, сколько свойствами ее структуры); 3) взаимозависимость структуры и среды (система формирует и проявляет свои свойства в процессе взаимодействия со средой, являясь при этом ведущим активным компонентом взаимодействия); 4) иерархичность (каждый компонент системы, в свою очередь, может рассматриваться как система, а исследуемая в данном случае система представляет собой один из компонентов более широкой, глобальной системы); 5) множественность описания каждой системы (в силу принципиальной сложности каждой системы ее адекватное познание требует построения множества различных моделей, каждая из которых описывает лишь определенный аспект системы); 6) непрерывность функционирования и развития; 7) стремление к состоянию равновесия и устойчивости; 8) стремление к дифференциации и мобильности. Важнейшие принципы системного подхода (системного анализа): а) процесс принятия решений должен начинаться с выявления и четкого формулирования конкретных целей; б) необходимо рассматривать всю проблему как целое, как единую систему и выявлять все последствия и взаимосвязи каждого частного решения; в) необходимы выявление и анализ возможных альтернативных путей достижения цели; г) цели отдельных подсистем не должны вступать в конфликт с целями всей системы (программы); д) восхождение от абстрактного к конкретному; е) единство анализа и синтеза, логического и исторического; ж) выявление в объекте разнокачественных связей и их взаимодействия; з) рассмотрение системы с позиции “черного ящика” и др. Рассмотрим элементы принципа “черный ящик” системного подхода (рис. 1.1.).
Рис. 1.1. Основные элементы принципа “черный ящик” системного подхода При применении системного подхода на основе маркетинговых исследований сначала формируются параметры выхода — товара или услуги: что производить, с какими показателями качества, с какими затратами, для кого, в какие сроки, кому продавать и по какой цене. На эти вопросы ответы даются одновременно. Выход должен быть конкурентоспособным по нормативам. Затем определяются параметры входа: какие нужны ресурсы и информация для процесса. Потребность в ресурсах и информации прогнозируется после изучения организационно-технического уровня производства системы (уровня техники, технологии организации производства, труда и управления) и параметров внешней среды (политической, экономической, технологической, социально-демографической, культурной среды страны и инфраструктуры данного региона). Обратная связь является коммуникационным каналом от потребителей системы (“выхода”) к изготовителю товара и поставщикам (“входа”) системы. При изменении требований потребителей к товару, параметров рынка, при появлении организационно-технических новинок “вход” системы и сама система должны отреагировать на эти изменения и внести соответствующие изменения в параметры функционирования. Для обеспечения конкурентоспособности товара необходимо, чтобы: 1) результаты маркетинговых исследований гарантировали высшие мировые достижения к моменту поставки товара потребителю (другими словами — должен быть высококачественный прогноз параметров “выхода” системы; 2) “вход” системы был отличного качества; 3) внешняя среда способствовала нормальному протеканию процессов в системе; 4) организационно-технический уровень системы смог переработать качественный “вход” системы в качественный “выход”. В виде системы может выступать любая фирма, ее подразделение, отдел, машина и т.д. Для обеспечения высокого качества “выхода” системы сначала необходимо обеспечить высокое качество “входа”, а затем – высокое качество процесса и внешней среды. Применяя системный подход, структуру дерева показателей эффективности товара можно изобразить в следующем виде (см. рис. 1.2).
Условные обозначения: 0-й уровень показателей — эффективность товара (Е); 1-й уровень: 1 — суммарный полезный эффект товара (Пс); 2 — суммарные затраты за ЖЦТ (Зс); 2-й уровень : 1.1...1.8. — обобщающие показатели качества товара 2-го уровня; 2.1...2.7. — затраты по стадиям ЖЦТ; 3-й уровень : 1.2.1...1.2.4. и далее — обобщающие показатели качества товара, например, долговечность, безотказность, ремонтопригодность, сохраняемость товара; 2.1.1 ...2.1.3. и далее — комплексные затраты по направлениям работ; 4-й уровень: частные показатели качества товара и элементы затрат; 5-й уровень: факторы, влияющие на частные показатели качества и ресурсоемкости товара. 1.1.2. Воспроизводственный подход Воспроизводственный подход включает следующие элементы. 1. Применение опережающей базы сравнения при планировании обновления объекта . При планировании обновления объекта в качестве базы сравнения можно применить: а) лучший мировой образец аналогичного объекта; б) перспективные показатели, которые будут достигнуты к началу освоения нового объекта; в) перспективные показатели, которые будут конкурентоспособными в момент выхода объекта на рынок (см. рис. 1.3).
Рис. 1.3. Схема применения опережающей базы сравнения Условные обозначения: ВО — выпускаемый образец товара; ЛО — лучший аналогичный образец на данном рынке. При планировании обновления (воспроизводства) товара проводятся маркетинговые исследования с целью определения отставания от конкурентов на данном рынке по важнейшим параметрам качества и ресурсоемкости товара. Выпускаемый образец имеет параметр П1, лучший образец — П2. Значит в момент Т1 отставание выпускаемого образца от лучшего будет равно П2—П1. Однако лучший образец проектировался раньше момента Т1, поэтому его параметры уже отстают от лучших мировых достижений данной области, зафиксированных в изобретениях, патентах, научных отчетах и других источниках. Еще нужно время для реализации плановых параметров будущего товара в конструкторской документации (Т2), технологической документации (Т3), изготовления (Т4) и внедрения у потребителя (Т5). При ориентации параметров выпускаемого образца на лучший образец к моменту внедрения нового образца у потребителя (Т5) отставание от лучших мировых достижений будет равно П4—П2. Поэтому ориентация плановых показателей нового образца на показатели лучшего образца на данном рынке не обеспечит конкурентоспособности нового образца. Будет только частичное улучшение выпускаемого образца. В настоящее время в основном применяется этот подход. Некоторые конструкторские организации при планировании воспроизводства продукции ориентируются на тенденции технического прогресса на период освоения новой продукции в производстве (точка “С”). При таком подходе отставание нового образца от тенденций технического прогресса будет меньше (П4—П3). Этот подход можно применять при отсутствии экспериментальной базы, информации и средств для коренного улучшения конструкции. Фирмы, ставящие своей целью опережение конкурентов, должны спрогнозировать тенденции технического прогресса по важнейшим параметрам объекта на период до внедрения у потребителей первых образцов новых товаров, либо всей намечаемой к выпуску программы. При таком подходе по важнейшим параметрам прогнозируется точка “D” и эти параметры закладываются в техническое задание на проведение научно-исследовательских работ (НИР). 2. Трактовка закона экономии времени как экономии суммы прошлого, “живого” и будущего труда за жизненный цикл объекта на единицу его полезного эффекта. В экономической теории закон экономии времени рассматривается как экономия суммы прошлого и “живого” труда на единицу продукции или как неуклонное снижение себестоимости продукции на единицу потребительной стоимости. Этот подход охватывает только затраты в сфере производства товара, без увязки их с будущими затратами в сфере потребления и полезным эффектом товара у потребителя. Если применить к проблеме экономии времени совокупность научных подходов, то закон экономии времени будет отражать экономические процессы в динамике за весь жизненный цикл товара, тогда совокупные затраты будут равны сумме прошлого, “живого” и будущего труда (который потребуется затратить в будущем для получения от товара полезного эффекта). Математически закон экономии времени будет выглядеть таким образом: где: ПТ — затраты прошлого (овеществленного) труда на производство или потребление товара; ЖТ — затраты “живого” труда, т.е. заработная плата всех работников, приходящаяся на данный товар на данной стадии жизненного цикла, плюс прибыль на этой стадии (или необходимый и прибавочный труд); БТ — затраты будущего труда, которые будут осуществляться в будущие периоды для производства или потребления товара; Пс — суммарный за нормативный срок службы, полезный эффект или отдача товара у потребителя. 1.1.3. Функциональный подход При функциональном подходе после установления функций создаются несколько альтернативных объектов для выполнения этих функций и выбирается тот из них, который требует минимум совокупных затрат за жизненный цикл объекта на единицу его полезного эффекта. В настоящее время к управлению применяется в основномпредметный подход , при котором совершенствуется существующий объект. Например, техническая система совершенствуется путем ее доработки по результатам маркетинговых исследований, анализа научно-технического прогресса в заданной области, замечаниям и предложениям потребителей. Обычно перед конструкторами ставится следующая задача: достигнуть по важнейшим показателям качества объекта мирового уровня. Каковы недостатки такого подхода? Во-первых, сами конструкторы не заинтересованы в проведении широкого и глубокого анализа мирового рынка, в установлении для себя трудных задач. Мировой уровень потребностей к моменту внедрения объекта у потребителя объективно могут спрогнозировать не конструкторы, а маркетологи. Во-вторых, допустим, конструкторы постарались и нашли лучший мировой образец. Однако, этот образец проектировался вчера и несет в себе технические идеи вчерашнего дня. Технический прогресс не стоит на месте. Поскольку еще нужно время на разработку, освоение и производство нового образца и за этот период мировые достижения в данной области уйдут далеко вперед. Применяя предметный подход, инвесторы и менеджеры всегда будут только “догонять вчерашний день“ и никогда не выйдут на мировой уровень. При применении функционального подхода идут от обратного, от потребностей (см. стрелку на рис. 1.4).
Рис. 1.4. Схема применения функционального подхода к менеджменту При применении функционального подхода абстрагируются от объектов, выполняющих подобные функции, как будто они не существуют совсем, а ищут совершенно новые технические решения для выполнения существующих или будущих потребностей. Этот подход должен применяться в совокупности с воспроизводственным подходом, т.к. для удовлетворения потребностей нужно создать физический или другой объект. Функциональный подход реализуется в методах функционально-стоимостного анализа (ФСА). Функционально-стоимостный анализ — это метод системного исследования объектов (изделий, процессов, структур и т.п.), направленный на оптимизацию соотношения между полезным эффектом и совокупными затратами ресурсов за жизненный цикл применяемого по назначению объекта. Для повышения качества решений рекомендуется осуществлять их анализ на основе классификации по следующим признакам: – стадия жизненного цикла товара (маркетинг, НИОКР, ОТПП и др.); – подсистема системы менеджмента (целевая, функциональная и т.д.); – сфера действия (технические, экономические и др. решения); – цель (коммерческие и некоммерческие решения); – ранг управления (верхний, средний, низший); – масштабность (комплексные и частные решения); – организация выработки (коллективные и личные решения); – продолжительность действия (стратегические, тактические, оперативные решения); – объект воздействия (внешние и внутренние); – методы формализации (текстовые, графические, математические); – формы отражения (план, программа, приказ, распоряжение, указание, просьба); – сложность (стандартные и нестандартные); – способ передачи (вербальные, письменные, электронные). 1.1.4. Учет действия экономических законов Эффективность управленческих решений можно повысить за счет анализа механизма действия в конкретных ситуациях следующих экономических законов: 1) закона зависимости между ценой и предложением; 2) закона спроса и предложения; 3) закона возрастания дополнительных затрат; 4) закона убывающей доходности; 5) закона экономической взаимосвязи затрат в сферах производства и потребления; 6) закона эффекта масштаба производства; 7) закона экономии времени; 8) закона конкуренции и антимонопольного законодательства. Остановимся подробнее на механизме действия закона конкуренции и антимонопольного законодательства. Конкуренция – состязательность, соперничество, напряженная борьба юридических или физических лиц за покупателя, за свое выживание. Рассмотрим механизм действия закона конкуренции (рис. 1.5).
Рис. 1.5. Механизм действия закона конкуренции Допустим, однородную продукцию выпускают 6 фирм. Сравнивать продукцию фирм можно по показателю удельной цены (Цуд) как отношению цены к полезному эффекту, отражающему отдачу потребительских свойств продукции в конкретных условиях. В первое время самой отстающей фирмой оказалась первая, – та у которой самая высокая удельная цена. Поэтому 1-я фирма принимает стратегию перехода на вторую модель продукции, с лучшим показателем удельной цены. Аналогично поступили 2-я, 3-я и 4-я фирмы, 5-я фирма не успела перейти на новую модель, а старую модель потребители не стали покупать, и она обанкротилась. Ее место на рынке заняла 7-я фирма, сразу освоившая конкурентоспособную продукцию. Таким образом постоянно идет процесс “вымывания” с рынка некачественной, дорогой продукции. Никто никого не заставляет повышать качество работы, существует только угроза банкротства. В соответствии с законом конкуренции в мире происходит объективный процесс повышения качества продукции и снижения ее удельной цены. Закон конкуренции долгое время может действовать только при наличии качественного антимонопольного законодательства. Во всех промышленно развитых странах введены антимонопольные или антитрестовские законы, ограничивающие действия монополистов (например, в США в 1890 г.). В чем суть антимонопольного законодательства? Оно регламентирует перечень общих требований к товарам, их упаковке, экологичности, безопасности применения, организации торговли, контроля доли рынка, занятой данным изготовителем; порядок осуществления санкций в случае нарушения антимонопольного законодательства. Допустим, по данному виду продукции законодательство ограничивает действия шести предприятий: для одного изготовителя не более 35% общего объема внутреннего рынка по данной продукции, для двух изготовителей — в сумме 45 %, трех — 55% и т.д. (см. рис. 1.6). Больше можно выпускать, но тогда прибыль от программы свыше этого норматива (допустим, свыше 35%) идет в бюджет. В некоторых странах вводится и второй норматив, допустим, первый — 35%, второй — 40%. Тогда прибыль от реализации продукции объемом до 35% от объема рынка идет изготовителю, от 35% до 40% — в бюджет, а свыше 40% — в бюджет идет не только прибыль, но и часть себестоимости продукции. Таков механизм ограничения внутренней монополии (международная монополия не ограничивается).
Рис. 1.6. Схема ограничения рынка по антимонопольному законодательству В Российской Федерации основу антимонопольного законодательства составляет Закон РФ от 22.03.91 г. “О конкуренции и ограничении монополистической деятельности на товарных рынках”, который регулирует отношения хозяйствующих субъектов на республиканском и местных товарных рынках. Государственным комитетом по антимонопольной политике и поддержке новых экономических структур (ГКАП России) утверждены методические рекомендации по определению границ и объемов товарных рынков. Со стороны государства принимаются меры по предотвращению доминирующего положения на товарных рынках. 1.1.5. Жизненный цикл товара При подготовке и принятии того или иного управленческого решения необходимо учитывать жизненный цикл товара. Согласно международным стандартам ИСО серии 9000 по управлению качеством продукции типовой жизненный цикл включает следующие этапы: 1) маркетинг; 2) НИОКР; 3) материально-техническое снабжение; 4) подготовка и разработка производственных процессов; 5) непосредственно производство; 6) контроль, испытания и обследование продукции в процессе производства и выходной контроль; 7) упаковка и хранение готовой продукции; 8) реализация и распределение; 9) монтаж и эксплуатация; 10) техническая помощь в обслуживании; 11) утилизация после использования. Предложенное ИСО деление стадий жизненного цикла товара (ЖЦТ) не в полной мере отвечает принципам классификации по месту и времени выполнения работ. Например, место и время эксплуатации (9-я стадия) может совпадать с временем и местом оказания технической помощи (10-я стадия). При этом 1-я и 2-я стадии даны укрупненно, а стадия производства разбита на пять стадий (с 3-й по 7-ю). Вместе с тем не выделены в отдельную стадию работы по организационно-технологической подготовке нового производства, отличающиеся значительной сложностью, капитало- и трудоемкостью. Приведенные аргументы, а также дифференциация затрат по стадиям ЖЦТ свидетельствуют о целесообразности следующей структуры (рис. 1.7.):
Рис. 1.7. Типовая структура жизненного цикла товара Условные обозначения: 1 — стратегический маркетинг; 2 — НИОКР; 3 — организационно-технологическая подготовка нового производства; 4 — производство, (включая тактический маркетинг); 5 — подготовка товара к функционированию (транспортирование, монтаж, пуск); 6 — эксплуатация и ремонт; 7 — утилизация товара после отработки и замена новой моделью (поэтому круг не замкнут). Анализировать ЖЦТ необходимо для установления рациональности и пропорциональности распределения ресурсов по стадиям жизненного цикла, продолжительности работ на этих стадиях и нахождения резервов ресурсосбережения. Статистические данные свидетельствуют о том, что по продукции машиностроения эксплуатационные затраты за нормативный срок ее службы (сумма затрат на стадиях 5,6 и 7) до 30 раз превышают производственные затраты (сумма затрат на стадиях 1-4). По американской статистике, потери на последующих стадиях жизненного цикла объектов из-за низкого качества управленческих решений на ранних стадиях жизненного цикла находятся примерно в следующей пропорции: 1:10:100:1000, где: 1 — доллар, “сэкономленный” на стадии разработки за счет игнорирования современных методов исследования и разработок; 10 — потери в долларах на стадии освоения объекта; 100 — потери на стадии производства; 1000 — потери на стадии эксплуатации (конструкторское решение многократно тиражируется). Воспроизводственный цикл товара – это динамика сменяемости выпускаемой и перспективной моделей товара в координатах времени и программы выпуска товаров каждой модели. В общем виде процесс воспроизводства рассматривается по схеме: где: Д — деньги (капитал); СП — средства производства и труд; П — производство; Т — готовый товар; Д1 — доход от реализации товара, который должен быть больше Д, в этом случае будет обеспечено расширенное воспроизводство (если прибыль будет инвестирована). Воспроизводство отдельных видов товаров можно описать при наличии данных о структуре жизненного цикла товаров и сменяемости выпускаемой, проектируемой и перспективной моделей товаров. Воспроизводство товара по разным его моделям лучше всего описывать динамикой масштаба производства (рис. 1.8.).
Рис. 1.8. Воспроизводственный цикл товара Условные обозначения: I — выпускаемая модель; II — проектируемая модель; III — перспективная (в нормативах) модель; Т1.1 — рост производства (освоение) 1-й модели; Т 1.2 — период зрелости (серийное производство) 1-й модели; Т 1.3 — спад производства 1-й модели. Анализ схемы 1.8. позволяет сделать следующие выводы: 1) в результате проведения маркетинговых исследований, разработки обоснованных нормативов конкурентоспособности проектируемой и перспективной моделей определена стратегия освоения новых сегментов рынка, что позволит увеличить программу выпуска товара. Поэтому: N1 < N2 < N3; 2) в зависимости от количества и параметров рынка сбыта товара кривая А-В-С-D-Е может отличаться по разным объектам. Продолжительность периодов Т1, Т2 и Т3 определяется сложностью товара, условиями производства, конкурентоспособностью товара и фирмы на конкретных рынках. В принципе, чем сложнее товар, тем продолжительнее будет его жизненный цикл. Чем больше конкурентов на данном рынке, тем короче жизненный цикл товара; 3) для сохранения массы прибыли фирмы на оптимальном уровне рекомендуется точку D, точку перехода с одной модели товара на другую установить на половине программы выпуска новой модели. В точке перехода в одновременно будут выпускаться старая и новая модели товара примерно в одинаковых количествах. Потом будет рост выпуска новой модели и падение старой. На практике очень трудно организовать такую схему перехода на новую модель. Поэтому иногда переход на новую модель осуществляется путем полного прекращения выпуска старой модели, переналадки производства на новую модель и пуска новых линий с полной нагрузкой (точка в смещается в точку Е). Однако при использовании этой схемы в период переналадки, фирма не будет получать доход. Для построения воспроизводственного цикла товара необходимо спрогнозировать его параметры: координаты точек А, В, С, D, Е во времени и по программе каждой модели товара. Эта очень трудная задача, так как требуется провести маркетинговые исследования, разработать нормативы конкурентоспособности товара по конкретным рынкам, спрогнозировать в динамике технико-экономические показатели товара и бизнес-плана фирмы. Построение воспроизводственного цикла товара является началом формирования стратегии фирмы. С целью конкретизации временных параметров воспроизводственного цикла товара дополнительно рекомендуется строить ленточные графики перехода с одной модели товара на другую. Построение ленточных графиков воспроизводственного цикла товара позволяет наглядно представить в динамике стадии, на которых находятся модели, обеспечить параллельно-последовательное выполнение работ с целью ускорения выхода на рынок с новой моделью товара и оптимизировать его воспроизводственный цикл. Цикл прибыльности товара - динамика сменяемости выпускаемой, проектируемой и перспективной моделей товара в координатах времени и прибыли (затрат).Воспроизводственный цикл товара дает динамику его объема производства. Для формирования стратегии фирмы необходимо также строить цикл прибыльности товара на основе расчета прибыли по каждому виду товара в динамике. Укрупненно чистая прибыль рассчитывается по формуле: где: Пт — прогноз чистой прибыли по данному виду товара за период Т; Т — прогнозная продолжительность выпуска товара; Цt — прогнозная цена товара в году t на конкретном рынке; Сt — прогнозные издержки по выпуску товара в году; Nt — прогнозная годовая программа выпуска товара в год t; Нt — прогнозные налоги (все виды) в году t по данному товару. На основе этих прогнозов строится цикл прибыльности по каждому виду товара в динамике. На рис. 1.9. показан типовой цикл прибыльности товара. На практике формы цикла прибыльности могут быть любыми.
Рис. 1.9. Цикл прибыльности товара Условные обозначения: I — выпускаемая модель товара; II — проектируемая модель; Т1.1 — период создания первой модели товара (стратегический маркетинг, НИОКР, ОТПП); Т1.2 — период освоения (расширения программы выпуска) первой модели; Т1.3 — период зрелости (установившегося производства) первой модели; Т1.4 — период спада (сокращения производства) первой модели; З1 — затраты на стратегический маркетинг, НИОКР, ОТПП; П1 — прибыль в период зрелости первой модели; П1 — то же для второй модели. Оптимизация решения — это процесс перебора множества факторов, влияющих на результат. Оптимальное решение — это выбранное по какому-либо критерию оптимизации наиболее эффективное из всех альтернативных вариантов решение. Поскольку процесс оптимизации дорогостоящий, то его целесообразно применять при решении стратегических и тактических задач любой подсистемы системы менеджмента. Система менеджмента – система научных подходов, методов и подсистем, способствующая принятию и реализации конкурентоспособных управленческих решений. Оперативные задачи должны решаться с применением, как правило, простых эвристических методов. Эвристические методы принятия решений – специальные (индуктивные) методы решения задач, направленные на сокращение перебора альтернатив принятия решений в условиях нестандартных проблемных ситуаций. Основными методами подготовки и оптимизации управленческого решения являются следующие: – анализ; – прогнозирование; – моделирование, которое, в свою очередь, делится на логическое, физическое и экономико-математическое моделирование . Рассмотрим подробнее эти методы. 1.2. Аналитические методы ППР К анализу, также как и к другим функциям менеджмента, должны применяться научные подходы и принципы. К специфическим принципам анализа относятся следующие: 1) принцип единства анализа и синтеза предполагает разделение на составные части анализируемых сложных явлений, предметов с целью глубокого изучения их свойств и в последующем рассмотрении их в целом во взаимосвязи и взаимозависимости; 2) принцип выделения ведущего звена (ранжирование факторов) предполагает постановку целей и установление способов достижения этой цели. При этом всегда выделяется основное (ведущее) звено, применяя методы факторного анализа; 3) принцип обеспечения сопоставимости вариантов анализа по объему, качеству, срокам, методам получения информации и условиям применения объектов анализа; 4) принцип оперативности и своевременности; 5) принцип количественной определенности. Классификация методов и приемов анализа, область их применения представлена в табл. 1.1. Таблица 1.1. Классификация методов и приемов анализа, область их применения
Рассмотрим сущностьметодов анализа. Метод сравнения позволяет оценить работу фирмы, определить отклонения от плановых показателей, установить их причины и выявить резервы. Основные виды сравнений, применяемые при анализе – это: – отчетные показатели с плановыми показателями; – плановые показатели с показателями предшествующего периода; – отчетные показатели с показателями предшествующих периодов; – показатели работы за каждый день; – межзаводские сравнения; – сравнения со среднеотраслевыми данными; – показатели технического уровня и качества продукции данного предприятия с показателями родственных предприятий. Индексный метод применяется при изучении сложных явлений, отдельные элементы которых неизмеримы. Как относительные показатели, индексы необходимы для оценки выполнения плановых заданий, для определения динамики явлений и процессов. Индексный метод позволяет провести разложение по факторам относительных и абсолютных отклонений обобщающего показателя, в последнем случае число факторов должно быть равно двум, а анализируемый показатель представлен как их произведение. Балансовый метод – предполагает сопоставление взаимосвязанных показателей хозяйственной деятельности с целью выяснения и измерения их взаимного влияния, а также подсчета резервов повышения эффективности производства. При применении балансового метода анализа связь между отдельными показателями выражается в форме равенства итогов, полученных в результате различных сопоставлений. Метод цепных подстановок заключается в получении ряда корректированных значений обобщающего показателя путем последовательной замены базисных значений факторов — сомножителей фактическими. Сравнение значений двух стоящих рядом показателей в цепи подстановок позволяет исчислить влияние на обобщающий показатель того фактора, базисное значение которого заменяется на фактическое. Метод элиминирования позволяет выделить действие одного фактора на обобщающие показатели производственно-хозяйственной деятельности, исключает действие других факторов. Графический метод является средством иллюстрации хозяйственных процессов и исчисления ряда показателей и оформления результатов анализа. Графическое изображение экономических показателей различают по назначению (диаграммы сравнения, хронологические и контрольно-плановые графики), а также по способу построения – линейные, столбиковые, круговые, объемные, координатные и др. Функционально-стоимостный анализ (ФСА) — это метод системного исследования, применяемого по назначению объекта (изделия, процессы, структуры) с целью повышения полезного эффекта (отдачи) на единицу совокупных затрат за жизненный цикл объекта. ФСА в настоящее время широко применяется в промышленно развитых странах. Области применения ФСА : оптимизация конструкции машин и оборудования, технологий, организационных структур фирм и их подразделений, методов организации производства. Основные задачи ФСА: – достижение оптимального соотношения между полезным эффектом объекта и совокупными затратами за его жизненный цикл; – нахождение совершенно новых технических решений за счет применения функционального подхода; – снижение расхода различных видов ресурсов по стадиям жизненного цикла объекта за счет ликвидации или сокращения вспомогательных и вредных (ненужных) функций объекта. Основные принципы проведения ФСА: – принцип функционального подхода, т.е. рассмотрения объекта исследования с позиций тех функций, для выполнения которых он создается; – принцип стоимостной оценки, заключающийся в непрерывной экономической оценке возникающих технических решений; – принцип системного подхода к объекту ФСА; – принцип комплексного подхода; – принцип динамического подхода; – принцип полного использования достижений информатики и эвристики и др. Основные особенности проведения ФСА: – объектом анализа может быть любая система (с любым количеством элементов и связей), ее подсистемы или элементы, по которым можно количественно выразить полезный эффект их функционирования по назначению; – глобальным критерием ФСА является максимум полезного эффекта объекта на единицу совокупных затрат ресурсов за его жизненный цикл; – одновременно и с равной степенью детализации анализируется оптимальность элементов полезного эффекта и совокупных затрат по объекту; – при проведении ФСА прежде всего устанавливается целесообразность функций, которые должен выполнять проектируемый объект в конкретных условиях, либо целесообразность, достаточность и избыточность функций существующего объекта. Не функции создаются или уточняются для объекта, а наоборот, выбирается или проектируется объект для выполнения необходимых функций с минимальными затратами за его жизненный цикл. Для организации и координации работ по ФСА на фирме организуют координационный совет по проведению работ по ФСА в составе главных специалистов. Возглавляет координационный совет первый руководитель фирмы или его заместитель. Основныеэтапы проведения ФСА: 1) подготовительный; 2) информационный; 3) аналитический; 4) творческий; 5) исследовательский; 6) рекомендательный; 7) внедренческий. Экономико-математические методы анализа (ЭММ) применяются для выбора наилучших, оптимальных вариантов, определяющих хозяйственные решения в сложившихся или планируемых экономических условиях. Они могут быть использованы при оценке разработанного с помощью ЭММ плана производства продукции; оптимизации хозяйственной программы, распределения ее по цехам и оборудованию и количеству продукции (работ); оптимизации распределения хозяйственных ресурсов, раскроя материала, определения напряженности норм; оптимизации уровня унификации составляющих частей изделия и средств технологического оснащения; установления оптимальных размеров предприятия, цеха, участка, оптимального ассортимента изделий и т.д. Далее рассмотрим приемы анализа. Прием сводки и группировки. Сводка предполагает подведение общего результата действия различных факторов на обобщающий показатель производственно-хозяйственной деятельности предприятия. Группировка заключается в выделении среди изучаемых явлений характерных групп по тем или иным признакам. Сгруппированные данные оформляются в виде таблиц. Такая таблица представляет форму рационального изложения цифровых характеристик, изучаемых явлений и процессов. Прием абсолютных и относительных величин. Абсолютные величины характеризуют размеры (величины, объемы) экономических явлений. Относительные величины характеризуют уровень выполнения плановых заданий, соблюдение норм, темпы роста и прироста, структуру, удельный вес или показатели интенсивности. Прием средних величин используется для обобщающей характеристики массовых, качественно однородных, экономических явлений и позволяет выявить наиболее типичные черты данной совокупности явлений. В экономическом анализе в зависимости от конкретной цели используются различные виды средних величин: средние арифметические, геометрические, гармонические, простые, средневзвешенные. Прием динамических рядов предполагает характеристику изменений показателей во времени, демонстрацию последовательных значений показателей, вскрытие закономерностей и тенденций развития. Различают ряды моментные — для характеристики изучаемого объекта за различные моменты времени и периодические — за определенный период времени. Прием сплошных и выборочных наблюдений. Сплошные наблюдения предполагают изучение всей совокупности явлений, характеризующих какую-либо одну сторону производственно-хозяйственной деятельности предприятия. Выборочные наблюдения предполагают изучение хозяйственной деятельности предприятия на основе типовых представителей всей совокупности явлений, процессов. По данным выборочных наблюдений на основе методов теории вероятностей определяется возможность распространения выводов на всю генеральную совокупность изучаемых явлений. Прием детализации и обобщения. Детализация проводится путем разложения обобщающего (конечного) показателя на частные. Расчленяя и детализируя сложные показатели по отдельным составным частям и факторам, определяют влияние каждого из них на эти показатели. Обобщения раскрывают связь между частями целого (объекта, явления, процесса), итогами деятельности и отдельных подразделений и определяют степень их влияния на общие результаты. Факторный анализ. Это процедура установления силы влияния факторов на функцию или результативный признак (полезный эффект машины, элементы совокупных затрат, производительности труда и т.д.) с целью ранжирования факторов для разработки плана организационно-технических мероприятий по улучшению функции. Применение методов факторного анализа требует большой подготовительной работы и трудоемких моделей расчетов. Поэтому без ЭВМ не рекомендуется применять методы корреляционного и регрессионного анализа. В настоящее время для ЭВМ различных классов имеются стандартные программы по этим методам. Пользоваться установленными с помощью ЭВМ моделями очень просто. 1.3. Дескриптивные методы ППР Дескриптивные методы – это методы описания и объяснения фактов или прогноза поведения объектов. Описательный подход отличается от нормативного (или конструктивного), при котором интересуются не тем, как устроена экономика, а тем, как она должна быть устроена. В экономической литературе описательный подход иногда отождествляется с более узким понятием — “институциональный подход”. Одним из дескриптивных методов подготовки и принятия управленческого решения является прогнозирование. Под прогнозом понимается научно-обоснованное суждение о возможных состояниях объекта в будущем, об альтернативных путях и сроках его существования. Прогнозирование управленческих решений наиболее тесно связано с планированием. План и прогноз представляют собой взаимодополняющие друг друга стадии планирования при определяющей роли плана как ведущего звена управления. Прогноз в системе управления является предплановой разработкой многовариантных моделей развития объекта управления. Сроки, объемы работ, числовые характеристики объекта и другие показатели в прогнозе носят вероятностный характер и обязательно предусматривают возможность внесения корректировок. Целью прогнозирования управленческих решений является получение научно-обоснованных вариантов тенденций развития показателей качества, элементов затрат и других показателей, используемых при разработке перспективных планов и проведении научно-исследовательских (НИР) и опытно-конструкторских работ (ОКР), а также развитии всей системы менеджмента. Самым сложным в системе менеджмента является прогнозирование качества и затрат. К основным задачам прогнозирования относятся следующие: – разработка прогноза рыночной потребности в каждом конкретном виде потребительной стоимости в соответствии с результатами маркетинговых исследований; – выявление основных экономических, социальных и научно-технических тенденций, оказывающих влияние на потребность в тех или иных видах полезного эффекта; – выбор показателей, оказывающих существенное влияние на величину полезного эффекта прогнозируемой продукции в условиях рынка; – выбор метода прогнозирования и периода упреждения прогноза; – прогнозирование показателей качества новой продукции во времени с учетом влияющих на них факторов; – прогноз организационно-технического уровня производства по стадиям жизненного цикла продукции; – оптимизация прогнозных показателей качества по критерию максимально полезного эффекта при минимальных совокупных затратах за жизненный цикл продукции; – обоснование экономической целесообразности разработки новой или повышения качества и эффективности выпускаемой продукции, исходя из наличных ресурсов и приоритетов. Под полезным эффектом от эксплуатации или потребления продукции понимается выполняемая ею работа или отдача за ее срок службы. При определении полезного эффекта всю продукцию можно разделить на: – промышленную, полезный эффект которой характеризуется отдачей (сырье, материалы, смазочные материалы, топливо, значительное количество предметов народного потребления, пищевые продукты и т.д.); – промышленную, полезный эффект которой выражается выполненной работой в единицу времени (станки, подъемно-транспортные средства, полиграфическое оборудование и т.д.). При определении полезного эффекта следует брать только ту часть работы, которую получает потребитель, исключая при этом его потери. Например, для станка полезным эффектом является количество конечной продукции, произведенной на нем за нормативный срок службы. К основным принципам научно-технического прогнозирования относятся: системность, комплектность, непрерывность, вариантность, адекватность и оптимальность. Принципы системности требуют взаимоувязанности и соподчиненности прогнозов развития объектов прогнозирования и прогностического фона. Принцип непрерывности требует корректировки прогноза по мере поступления новых данных об объекте прогнозирования или о прогнозном фоне. Корректировка прогнозов должна носить дискретный характер, причем оптимальные сроки обновления прогнозов могут быть выявлены только по результатам практического использования (ориентировочно два раза в пять лет), т.е. результаты реализации прогнозов, уточнение потребностей, изменение тенденций развития объекта или прогнозного фона должны периодически поступать к разработчику прогноза. Принцип адекватности прогноза объективным закономерностям характеризует не только процесс выявления, но и оценку устойчивых тенденций и взаимосвязей в развитии производства и создании теоретического аналога реальных экономических процессов с их полной и точной имитацией. Реализация принципа адекватности предполагает учет вероятностного характера реальных процессов господствующих тенденций и оценку вероятности реализации выявленной тенденции. В результате оптимизации прогнозных значений полезного эффекта и затрат по критерию максимизации экономического эффекта из множества альтернативных вариантов должен быть выбран наилучший. Основными источниками исходной информации для прогнозирования являются: – статистическая, финансово-бухгалтерская и оперативная отчетность предприятий и организаций; – научно-техническая документация по результатам выполнения НИОКР, включая обзоры, проспекты, каталоги и другую информацию по развитию науки и техники в стране и за рубежом; – патентно-лицензионная документация. В литературе приводятся различные классификации методов прогнозирования. Практическое применение того или иного метода прогнозирования определяется такими факторами, как объект прогноза, его точность, наличие исходной информации, квалификация прогнозиста и др. В табл. 1.2 дана краткая характеристика методов прогнозирования управленческих решений. Таблица 1.2. Краткая характеристика методов прогнозирования управленческих решений в области полезного эффекта и элементов затрат по объектам
На практике на ранних стадиях разработки объекта часто ограничено количество известных параметров будущего объекта и показателей организационно-технического уровня производства у изготовителя и потребителя объекта. В этих условиях рекомендуется применять более простые, но и менее точные методы прогнозирования — методы экстраполяции , основанные на прогнозировании поведения или развития объектов в будущем по тенденциям его поведения в прошлом. Применение методов экстраполяции, как правило, не требует моделирования частных параметров объекта и показателей организационно-технического уровня производства. Наиболее распространенными являются методы экстраполяции по математическим моделям и графическая (от руки, на глазок). Оба метода требуют наличия информации о прогнозируемом параметре объекта за период в 2 и более раза больше прогнозируемого периода. Для учета изменений качества объекта в прогнозируемом периоде и организационно-технического уровня производства, у изготовителя и потребителя объекта применяются корректирующие коэффициенты. На стадиях разработки технического задания и технического проекта по объекту массового производства отсутствуют сведения по каждой детали и сборочной единице. Объекты еще не прошли опытно-промышленных испытаний. Поэтому на этих стадиях нет возможности выполнить детальные расчеты затрат на освоение, изготовление, обращение, эксплуатацию и ремонт проектируемых объектов. По продукции единичного и мелкосерийного производства нецелесообразно применять описанные выше точные методы прогнозирования. В этих случаях рекомендуется применять параметрические методы прогнозирования полезного эффекта и затрат, основанные на установлении зависимостей между параметрами объекта и организационно-технического уровня производства, с одной стороны, и полезным эффектом или элементом затрат, — с другой. Параметрические методы прогнозирования подразделяются на два вида: по удельным показателям и по уравнениям регрессии. Для установления уравнений регрессии необходимо, чтобы количество статистических данных было не менее, чем в три раза больше количества факторов. По объектам, не отвечающим этим требованиям, полезный эффект или затраты рекомендуется определять по удельным показателям. Например, полезный эффект объекта рассчитывается по формуле: где: Пjt — полезный эффект объекта в j-х условиях эксплуатации в 1-м году; Пб — среднегодовой полезный эффект базового объекта, аналогичного проектируемому; Хб — важнейшая характеристика (главная функция) базового объекта, например, часовая производительность и т.п.; Хjt — важнейшая характеристика проектируемого объекта в j-х условиях эксплуатации в t-м прогнозируемом году; К1t — коэффициент, учитывающий повышение надежности проектируемого объекта по сравнению с базовым на t-й год; К2t — коэффициент, учитывающий изменение организационно- технического уровня производства у потребителей проектируемого объекта в t-м году эксплуатации по сравнению с уровнем производства у потребителей базового объекта; К3t — коэффициент, учитывающий изменение организационно-технического уровня производства у ремонтной организации объекта в t-м году по сравнению с базовым периодом. Количество корректирующих коэффициентов можно увеличить. По аналогичной схеме определяются и элементы затрат по стадиям жизненного цикла проектируемого объекта. Например, затраты на освоение производства проектируемого объекта можно определить по формуле: где Зосв.jп — затраты на освоение проектируемого объекта на j-м предприятии; Зосв.jб — то же базового объекта; Нб и Нп — соответственно количество наименований деталей (без крепежных деталей) в базовом и проектируемом объекте; К1j — коэффициент, учитывающий изменение показателя технологической оснащенности проектируемого объекта на j-м предприятии по сравнению с базовым объектом; К2j — коэффициент, учитывающий изменение показателя освоенности деталей проектируемого объекта по сравнению с базовым объектом; К3j — коэффициент, учитывающий повышение сложности проектируемого объекта по сравнению с базовым. Коэффициенты определяются отношением соответствующего показателя по проектируемому объекту к показателю по базовому объекту. Например, коэффициент, учитывающий изменение показателя технологической оснащенности объекта, определяется по формуле: где: Носв.t — количество наименований технологической оснастки, необходимой для изготовления проектируемого объекта; Носв.б — то же базового объекта. Затраты на изготовление объекта с применением метода удельных показателей на ранних стадиях его проектирования определяются по формуле: где: Зизг.t — затраты на изготовление проектируемого объекта на j-м предприятии в t-м году; Зизг.б — затраты на изготовление базового объекта; Мб и Мt — соответственно масса базового и проектируемого объекта; Кпрt — коэффициент, учитывающий закономерность неуклонного роста производительности труда на t-й год. Кмj — коэффициент, учитывающий влияние на затраты по изготовлению масштаба выпуска проектируемого объекта по сравнению с масштабом выпуска базового объекта на j-м предприятии в t-м году. Затраты на обращение определяются индивидуально для каждого объекта. Например, затраты на транспортирование, хранение и монтаж компрессорного оборудования укрупненно можно принять равными 10% от его цены. Кроме того, для некоторых объектов необходимо строить здания для монтажа (например, для автомобиля — гараж), ремонтную базу. Эти затраты можно определить только путем составления соответствующих смет. Затраты на эксплуатацию проектируемого объекта по методу удельных показателей можно определить по формуле: где: Зэу — затраты на эксплуатацию проектируемого объекта в у-х условиях в t-м году; Зэб — среднегодовые затраты по эксплуатации базового объекта. Ранее мы рассмотрели методы прогнозирования полезного эффекта и элементов затрат по объектам, которые характеризуются одной главной функцией, либо по объектам, по которым имеется достаточное количество статистических данных (в три раза больше количества показателей объекта). По объектам, не отвечающим этим требованиям, рекомендуется использовать экспертные методы . Сущность экспертных методов прогнозирования заключается в выработке коллективного мнения группы специалистов в данной области. Существует несколько различных методов экспертной оценки развития объекта в будущем. Мы рассмотрим только один метод — метод баллов, который можно применять для прогнозирования как полезного эффекта объекта, так и элементов затрат. Сначала формируется экспертная группа из специалистов в данной области, численность которой должна быть равна или больше 9. Для повышения однородности состава группы путем анонимного анкетирования можно сделать отсев специалистов, которые, по мнению большинства, не совсем компетентны в данной области. Затем коллективно устанавливаются или выбираются несколько важнейших параметров (3-5) объекта, влияющих на полезный эффект и элементы затрат. Следующий шаг — установление важности параметра экспертным путем. Рассмотрим два метода. По первому — каждый эксперт каждому параметру объекта присваивает баллы по шкале от 0 до10. Тогда важность параметра объекта в баллах определяется по формуле: где: ai — весомость i-го параметра объекта; i — номер параметра объекта; n — количество параметров объекта; j — номер экcперта; m — количество экспертов в группе; Бij — балл, присвоенный i-му параметру j-м экспертом; Бcj — сумма баллов, присвоенных j-м экспертом всем параметрам объекта. Допустим, экспертная группа установила, что объект характеризуется четырьмя важнейшими параметрами (главными функциями). Эта группа состоит из 9 специалистов в данной области. Первый эксперт присвоил параметрам следующие баллы: первому параметру – 7 баллов, второму — 6 баллов, третьему — 2, четвертому — 5. Второй эксперт этим параметрам присвоил соответственно следующие баллы: 6, 8, 4, 4 и т.д. Сумма баллов у экспертов получилась следующая: у первого эксперта — 20 (7+6+2+5), у второго — 22 и далее соответственно 19, 25, 21, 20, 24, 23. Первому параметру эксперты присвоили следующие баллы: 7, 8, 6, 7, 8, 6 и 7. Тогда весомость первого параметра будет равна:
Аналогично определяется весомость и других параметров объекта. Весомость параметров рекомендуется определять по следующей методике. Сначала каждой эксперт находит соотношение между параметрами попарно. Если весомость данного параметра, по мнению эксперта, выше другого, с которым сравнивается данный параметр, ему присваивается два балла. Если весомость параметров одинакова, данному параметру присваивается один балл. И если весомость данного параметра ниже другого, то первому параметру баллов не дается. Допустим, что 9 экспертов четырем параметрам объекта присвоили следующие баллы (см. табл.1.3). Таблица 1.3. Результаты экспертной оценки
Средняя оценка определяется делением суммы баллов на количество экспертов. По средним оценкам рассчитывается весомость параметров (см. табл. 1.4). Таблица 1.4. Весомость параметров (а)
В табл. 1.4. значения соотношений параметров, которые отсутствуют в табл. 1.3. определены путем вычитания из второго значения обратного соотношения из табл. 1.4. Например, в табл. 1.3. отсутствует соотношение параметров Х2 и Х1, имеется соотношение обратное X1 и Х2, равное 1,2. Тогда соотношение Х2 и X1 будет обратно и равно 0,8 (2 - 1,2). Весомость параметров определяется экспертным методом по объектам, характеризующимся несколькими важнейшими параметрами разной размерности. Для того чтобы сложить (условно) подобные параметры и определить полезный эффект и элементы затрат по объекту, рекомендуется применять систему баллов. Система баллов строится следующим образом. Допустим, что установленные в табл. 1.4 весомости параметров характерны для группы приборов одного назначения: X1 — количество измеряемых параметров, Х2 — точность измерений, %, Х3 — пределы измерений основного параметра, Х4 — количество измерений в единицу времени. Максимальные значения параметров для данной группы приборов следующие: X1—4, Х2—± 5%, Х3—100 и Х4—6 измерений в минуту. По этим значениям параметров и их весомости (см. табл. 1.4) строится система баллов для прогнозирования полезного эффекта новых приборов данного класса (рис. 1.10).
Рис. 1.10. Система баллов (условная) для прогнозирования полезного эффекта приборов При построении данной системы баллов для упрощения принято, что зависимость между параметрами и полезным эффектом или элементами затрат прямо пропорциональная (линейная). При необходимости уточнения системы баллов можно построить и криволинейные зависимости. По параметру Х2 на схеме 1.10. показана обратная зависимость, т.е. с уменьшением величины, характеризующей точность измерений, полезный эффект прибора повышается. Данный класс приборов имеет точность измерений от ±1 до ±5%. Следовательно, приборам, имеющим самую высокую точность, равную ±1%, присваивается максимальное количество баллов – 4,2, а приборам, имеющим минимальную точность (±5%), баллы не присваиваются. С увеличением значений остальных параметров полезный эффект прибора увеличивается. Поэтому приборам, имеющим нулевое значение параметров Х1 Х2 и Х3, баллы не присваиваются. Для прогнозирования или расчета полезного эффекта и каждого элемента затрат по каждому классу объектов одного назначения строится своя система баллов, так как на полезный эффект и элементы затрат влияют свои факторы или параметры. Таким образом, с применением экспертных методов несколько параметров объекта приводятся к единой размерности. Пользуясь бальной оценкой совокупности параметров объектов, аналогично методу удельных показателей, можно рассчитать элементы затрат по новому объекту. Экспертные методы могут применяться не только для прогнозирования полезного эффекта или элементов затрат по объекту, но и для оценки полезного эффекта (технического уровня) серийно выпускаемого объекта, характеризующегося несколькими основными функциями. Организация работ по прогнозированию представляет собой комплекс взаимосвязанных мероприятий, направленных на создание условий для прогнозирования полезного эффекта и элементов совокупных затрат по продукции машиностроения с целью подготовки информации для принятия оперативных и стратегических решений. Принципы организации работ по прогнозированию: адресность, сбалансированность, параллельность, непрерывность, прямоточность, адекватность, управляемость, альтернативность, адаптивность. Принцип адресности состоит в выполнении прогнозов для строго определенной научно-исследовательской или проектно-конструкторской организации, а также предприятия-изготовителя объекта. Принцип параллельности проведения работ по прогнозированию различными службами используется для сокращения времени сбора и обработки исходной информации и выполнения самого прогноза. Принцип непрерывности состоит в систематическом сборе и обработке поступающей дополнительной информации после выполнения прогноза и внесения необходимых корректив в прогноз по мере необходимости. Принцип прямоточности предусматривает строго целесообразную передачу информации от одного исполнителя к другому по кратчайшему пути. Принцип автоматичности является одним из основных для сокращения времени и затрат на сбор и обработку исходных данных и выполнение прогнозирования. Принцип адекватности помогает точнее оценить вероятность реализации выявленной тенденции изменения полезного эффекта и затрат на его получение. Для использования принципа управляемости необходимо применять количественные оценки показателей качества и затрат, экономико-математические методы и модели управления. Принцип альтернативности прогнозирования связан с возможностью развития объекта, отдельных его компонентов и технологии изготовления изделия по разным траекториям, с различными затратами в зависимости от использования тех или иных принципов, закладываемых в конструкцию или технологию. Вероятностный характер прогнозирования отражает наличие случайных процессов и отклонений при сохранении устойчивости прогнозируемых тенденций. На формирование альтернатив влияют конкретные цели удовлетворения определенных потребностей потребителя и сокращение затрат на достижение этих целей. Принцип адаптивности прогнозирования заключается в изучении и максимальном использовании факторов внешней и внутренней среды объекта как системы, в приспособлении методов и параметров прогнозирования к этим факторам, к конкретной ситуации. 1.4. Моделирование Моделирование основывается на принципе аналогии, т.е. возможности изучения объекта (по каким-то причинам труднодоступного для исследования) не непосредственно, а через рассмотрение другого, подобного ему и более доступного объекта, его модели. Модель – логическое или математическое описание компонентов и функций, отображающих существенные свойства моделируемого объекта или процесса (обычно рассматриваемых как системы или элементы систем). Модель в практике подготовки и принятия управленческого решения— условный образ объекта управления. Адаптивные модели – изменяются в процессе решения задачи, в зависимости от поступающей информации о возможных результатах альтернатив решения. Дескриптивные модели – предназначены для описания объяснения наблюдаемых фактов или прогноза поведения объектов. Нормативные модели – предназначены для нахождения желательного (например, оптимального) состояния объекта. Концептуальные модели – приближенное представление о рассматриваемом объекте или процессе, фиксирующее наиболее существенные параметры и связи между ними. Физические модели – представляют собой пропорционально уменьшенные в 10 и более раз и изготовленные из различных материалов (металл, дерево, пенопласт, пластилин и др.) натуральные объекты. Они изготавливаются в уменьшенном виде с целью экономии материалов для проверки аэродинамических, эстетических, компоновочных и других характеристик объекта. Логическое моделирование – выявление горизонтальных и вертикальных причинно-следственных связей между главными факторами, характеризующими управленческие, экономические, социальные или другие процессы, с целью воспроизведения процессов при анализе, прогнозировании и оценке параметров объектов. Пример логического моделирования приведен на рис. 1.11. (диаграмма Исикавы).
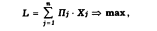
Рис. 1.11. Пример логического моделирования На логической модели анализов факторов снижения качества продукции (схема 1.12.) взято только два уровня моделирования: на 1-м уровне — машины, человек, материалы, методы; на 2-ом уровне — факторы, влияющие на 1-й уровень. Подобные модели могут иметь больше уровней и ориентированы на любой (положительный — улучшение или отрицательный — снижение, ухудшение) результат. Примером другой логической модели является операционная модель или блок-схема. Экономико-математическое моделирование представляет собой процесс выражения экономических явлений математическими моделями. Экономико-математическая модель — это схематичное представление экономического явления или процесса с использованием научной абстракции, отражение их характерных черт. Математические модели — основное средство решения задач оптимизации любой деятельности. По своей сути эти модели — средство плановых расчетов. Отметим принципиальные черты, характерные для процесса построения экономико-математической модели любого вида, их можно условно подразделитьна три этапа: 1) анализ теоретических закономерностей, свойственных изучаемому явлению или процессу и эмпирических данных о его структуре и особенностях; на основе такого анализа формируются модели; 2) определение методов, с помощью которых можно решить задачу; 3) анализ полученных результатов. Важнейшим моментом первого этапа моделирования является четкая формулировка конечной цели построения модели, а также определение критерия, по которому будут сравниваться различные варианты решения. Такими критериями в системе менеджмента могут быть: а) максимизация полезного эффекта товара при ограничении совокупности затрат; б) максимизация прибыли фирмы при условии, что качество товара не снизится; в) снижение себестоимости товара при условии, что его качество не снизится, а затраты у потребителя не увеличатся; г) рост производительности труда, улучшение использования оборудования или материалов, повышение оборачиваемости оборотных средств при условии, что качество товара не снизится и другие критерии не ухудшатся. Таким образом, в качестве критерия оптимизации может быть целое или любой компонент прибыли, эффективности товара, объема рынка при условии, что другие компоненты при этом не ухудшатся. Например, уравнение целевой функции (L) и система ограничений по оптимизации прибыли фирмы (правда, у авторов нет ограничений по качеству товара) будет иметь следующий вид:
где: хj — количество производимой продукции j-го вида в натуральных измерениях; Пj — прибыль, получаемая от производства единицы продукции j-го вида; aij — норма расхода 1-го производственного ресурса на производство единицы j-го вида продукции; w — запасы i-го вида производственного ресурса на рассматриваемый период времени. Вторым этапом моделирования экономических процессов является выбор наиболее рационального математического метода для решения задачи. Третий этап моделирования – всесторонний анализ результата, полученного при изучении экономического явления. Кибернетическое моделирование - применение общих законов кибернетики к моделированию и оптимальному управлению сложными динамическими системами независимо от их природы и сущности. 1.5. Технология принятия управленческого решения Понятие“технология принятия решения” включает ответы на следующие вопросы: – Что делать (количество и качество объекта)? – С какими затратами (ресурсы)? – Как делать (по какой технологии)? – Кому делать (исполнители)? – Когда делать (сроки)? – Для кого делать (потребители)? – Где делать (место)? – Что это дает (экономический, социальный, экологический, технический эффект)? Если вы ответили на все вопросы количественно и увязали элементы в пространстве, во времени, по ресурсам и исполнителям, значит вы разработали технологию принятия решения. При этом обязательно нужно учесть требования и применить методы, рассмотренные ранее.. Этапы процесса принятия решения: 1) выявление управленческой проблемы или задачи; 2) предварительная постановка цели; 3) сбор необходимой информации; 4) анализ информации; 5) определение исходных характеристик проблемы с учетом накладывания ограничений; 6) уточнение цели и критерия управления, их окончательная формулировка; 7) обоснование и построение формализованной модели проблемной ситуации; 8) разработка альтернативных вариантов решения проблемы; 9) выбор метода решения; 10) экономическое обоснование выбранного решения; 11) согласование решения с органами управления и исполнителями; 12) окончательное оформление и утверждение решения; 13) организация выполнения решения; 14) контроль выполнения решения; 15) стимулирование повышения качества работ, экономии ресурсов и соблюдения сроков; 16) установление обратной связи с лицом, принимающим решение, и при необходимости, корректировка цели и задач. Процесс разработки управленческого решения относится к разряду управленческих процессов. Аналогично производственным процессам подразделяютсяна основные, вспомогательные и обслуживающие. Только здесь в качестве предмета труда выступает управленческое решение, информация, нормативно-технический и управленческий документ. Если операция направлена на изменение любого параметра управленческого предмета труда, то этот процесс будет основным . К обслуживающим управленческим процессам относятся процессы по накоплению, контролю и передаче предмета труда. К вспомогательным — все те, которые создают нормальные условия для протекания основных и обслуживающих процессов: изготовление, приобретение или ремонт средств технического оснащения и т.п. Основными принципами рациональной организации любых процессов являются пропорциональность, непрерывность, параллельность, прямоточность, ритмичность, а также концентрация однородных предметов труда (деталей, информации, документов т.п.) в одном месте, гибкость процесса. Рассмотрим эти принципы подробнее. Пропорциональность — принцип, выполнение которого обеспечивает равную пропускную способность разных рабочих мест одного процесса, пропорциональное обеспечение рабочих местинформацией, материальными ресурсами, кадрами и т.д. О принципе пропорциональности следует помнить при решении любых вопросов, т.к. “скорость эскадры определяется скоростью самого тихоходного судна”. Пропорциональность определяется по формуле:
где: Мmin — минимальная пропускная способность или пари метр рабочего места в технологической цепи (например, мощность, разряд работ, объем и качество информации и т.п.); Мmax — максимальная способность. Непрерывность — принцип рациональной организации процессов определяется отношением рабочего времени к общей продолжительности процесса:
где: Траб — продолжительность рабочего времени; Тц — общая продолжительность процесса, включающая простои или пролеживание предмета труда между рабочими местами, на рабочих местах и т.п. Параллельность — принцип рациональной организации процессов, характеризующий степень совмещения операций во времени. Виды сочетаний операций: последовательное, параллельное и параллельно-последовательное. Коэффициент параллельности рекомендуется определять формуле:
Прямоточность — принцип рациональной организации процессов, характеризующий оптимальность пути прохождения предмета труда, информации и т.п. Коэффициент прямоточности рекомендуется определять по формуле:
где: Допт - оптимальная длина пути прохождения предмета труда, исключающего лишние звенья, возвраты на прежнее место; Дфакт — фактическая длина пути прохождения предмета труда. Ритмичность — принцип рациональной организации процессов, характеризующий равномерность их выполнения во времени. Коэффициент ритмичности рекомендуется определять по формуле:
где Viф — фактический объем выполненной работы за анализируемый период (декада, месяц, квартал) в пределах плана (свыше плана не учитывается); Viп — плановый объем работ. Для оптимизации продолжительности этапов (операций) и распределения ресурсов, а также для обеспечения ее наглядности рекомендуется применять сетевые методы . Для “увязки” работ и исполнителей рекомендуется строить оперограммы. Применение оперограмм позволит обеспечить наглядность взаимосвязей работ и исполнителей. Сетевое планирование и управление (СПУ) — графоаналитический метод управления процессами создания (проектирования) любых систем. Сетевой график — это полная графическая модель комплекса работ, направленных на выполнение единого задания, в которой (модели) определяется логическая взаимосвязь, последовательность работ и взаимосвязь между ними. Основными элементами сетевого графика являются работа (изображается стрелкой) и событие (изображается кружком). На рис. 1.12 приведен пример сетевого графика комплекса работ по маркетингу на первой стадии жизненного цикла товара.
Рис. 1.12. Сетевой график комплекса работ по маркетингу на первой стадии жизненного цикла товара 1.6. Диалоговые компьютерные системы и технологии интеллектуальной поддержки УР В настоящее время ЭВМ находят широкое применение во многих областях человеческой деятельности, в том числе и при принятии решений. Самым естественным образом на их долю выпадает выполнение таких функций, как хранение и обработка большого количества информации, выполнение трудоемких расчетов при решении оптимизационных задач, наглядного представления информации и т.д. Особый интерес, с точки зрения практики принятия решений, представляют случаи, когда: – интересующие лиц, принимающих решения (ЛПР), экономические процессы практически не допускают прямых натуральных экспериментов; – имеется лишь частичная формализация проблемы, то есть имеется качественное, а не количественное описание какой-то части проблемы; – решение вырабатывается в результате неоднократного взаимодействия ЛПР и ЭВМ. Между ЛПР и ЭВМ осуществляется диалог в реальном масштабе времени с непосредственным и оперативным обменом сообщениями в удобной для пользователя форме. ЭВМ по заданной программе имитирует, воспроизводит течение изучаемого процесса при нескольких вариантах управления, задаваемых ЛПР, который анализирует и оценивает полученные результаты. При этом ЛПР явно или неявно оценивает результаты по многим критериям, и постепенно, после нескольких попыток, определяет, в какой степени область возможных решений допускает одновременное улучшение по многим критериям. В итоге ЛПР приходит к разумному компромиссу в значениях различных критериев. Такой способ формирования решения обычно называютимитационным моделированием. Как правило, имитационные модели сложны, большого размера, в них много внешних переменных, (то есть переменных, значения которых задаются извне, а не исследователем). В таких моделях могут рассматриваться сразу несколько аспектов проблемы (экологические, демографические, производственные, транспортные и т.д.), могут быть блоки решений каких-то оптимизационных задач, необходимые для модели базы данных, какие-то дополнительные возможности. Важнейшим этапом принятия управленческого решения является организация технологического процесса переработки информации с помощью новых информационных технологий (НИТ). Новые информационные технологии включают: – новые технологии коммуникаций на основе локальных и распределительных сетей ЭВМ; – новые технологии обработки информации на основе персональных компьютеров (ПЭВМ) и специализированных рабочих мест; – технологии, исключающие бумагу как основной носитель информации; – новые технологии принятия решений на основе средств искусственного интеллекта – баз знаний, экспертных систем, систем моделирования с различными формами представления моделируемых ситуаций и т.п. Внедрение новых информационных технологий в управленческую деятельность преследует не только автоматизацию рутинных методов обработки информации, но и организацию информационно-коммуникативного процесса на качественно новом уровне. О широких возможностях новых информационных технологий можно судить по перечню функций, которые обеспечиваются в результате ее внедрения (см. табл. 1.5.). Таблица 1.5.Функции новых информационных технологий
Составляющим элементом технологии принятия и реализации управленческого решения являютсятехнические средства управления, в том числе: – средства сбора, хранения и передачи информации (картотеки, микрофильмы, электронная, телефонная и др. связь); – средства обработки информации (компьютеры, дисплеи, графопостроители, микрокалькуляторы и т.п.); – средства выдачи отображения информации (световое табло, звуковые сигналы и т.п.); – средства копирования и размножения документов; – средства для составления документов; – средства для обработки документов. Важнейшим условием совершенствования технологий принятия и реализации решений являетсяавтоматизация этого процесса на основе компьютерной техники и автоматизированных систем (АС) управления предприятиями (АСУП), управления качеством продукции (АСУКП), управления научно-исследовательскими и опытно-конструкторскими работами (АСУ НИОКР), управления технологической подготовкой производства (АСУ ТПП), системы автоматизированного проектирования (САПР), государственной системы информации (ГСИ) и др. ЛИТЕРАТУРА Базовая *1. Фатхутдинов Р.А. Разработка управленческого решения, М., 1999. или *2. Фатхутдинов Р.А. Система менеджмента, М., 1997. Дополнительная *3. Артеменко В. Г., Беллендир М.В. Финансовый анализ. М., 1997. *4. Баканов М.И. Шеремет А.Д. Теория экономического анализа. М., 1996. 5. Балабанов И.Т. Основы финансового менеджмента. М., 1998. 6. Бланк И.А. Основы финансового менеджмента. Киев, 1999. 7. Веснин. В. Р. Основы менеджмента. М., 1996. *8. Глушенко В.В., Глушенко И.И. Разработка управленческого решения. г. Железнодорожный, 1997. *9. Ковалев В.В. Финансовый анализ. Управление капиталом. Выбор инвестиций. М., 1998. *10. Трояновский В.М. Математическое моделирование в менеджменте. М., 1999. 11. Фатхутдинов Р.А. Понятийный аппарат по менеджменту. М., 1997. *12. Финансовый менеджмент / Под ред. Е.С. Стояновой, М., 1999. 13. Эддоус М. Стенсфилд Р. Методы принятия решений. Пер. с англ. / Под. ред. И.И. Елисеевой, М., 1994. |














