Курсовая работа: Принципы и методы кредитования. Виды используемых ссудных счетов
|
Название: Принципы и методы кредитования. Виды используемых ссудных счетов Раздел: Рефераты по финансам Тип: курсовая работа |
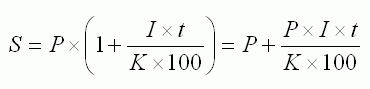
Министерство образования и науки Российской Федерации Федеральное агентство по образованию Филиал ГОУ ВПО «Санкт – Петербургского государственного Инженерно – экономического университета» в г. Вологда Кафедра экономики и управления Курсовая работа по дисциплине: «ДЕНЬГИ. КРЕДИТ. БАНКИ» На тему: «Принципы и методы кредитования. Виды используемых ссудных счетов» Выполнил: Костенко Людмила Сергеевна Студент 4 курса, спец. 080105 Срок обучения: 5 лет 10 мес. Группа Ф – 6 № зачетной книжки 02 – 54 Подпись: ___________________________ Преподаватель: Вихарева Е. В. Должность: __________________ Оценка: ____________дата: _________ Подпись: _________________________ Вологда 2009Содержание ВВЕДЕНИЕ………………………………………………………………………..3 ГЛАВА 1. Теоретическое задание I. Принципы и методы кредитования…………………………………………….4 1. Виды и формы банковских кредитов…………………………………………4 2. Характеристика методов кредитования и принципы банковского кредитования………………………………………………………………………9 3. Краткосрочное кредитование и его методы………………………………...13 II. Виды используемых ссудных счетов………………………………………...15 1. Формы ссудных счетов…………………………………………………........15 2. Простые ссудные счета…………………………………………………........20 3. Кредитование по специальным ссудным счетам…………………………..22 ГЛАВА 2. Практическое задание Задача №1 тема «Активные операции банков»………………………………...23 Задача №3 тема «Пассивные операции банков»……………………………….24 ЗАКЛЮЧЕНИЕ…………………………………………………………………..25 СПИСОК ИСПОЛЬЗУЕМЫХ ИСТОЧНИКОВ………………………………..27 Введение Перемены, происходящие в экономике России, предполагают существенные изменения во взаимоотношениях банков с субъектами хозяйствования - предприятиями, организациями, другими банками. Банки как коммерческие организации, основными операциями которых являются кредитование, расчетные, депозитные, кассовые и другие операции, несут при их проведении самые разнообразные риски: не возврат выданного кредита, неуплату процентов по ссуде, риски расчетные, валютные, процентных ставок и т.п. Высокая рискованность банковских операций главным образом связана с условиями и результатами деятельности его клиентов. Финансовая устойчивость банка должна быть обеспечена квалифицированным выбором партнеров на внутреннем и внешнем рынках. Важнейшим средством такого выбора является экономический анализ деятельности клиента. Анализ предоставляет руководству банка информацию, позволяющую оценивать вероятность выполнения клиентом своих обязательств и принимать соответствующие управленческие решения. Экономический анализ деятельности клиента должен осуществляться банком постоянно, начиная с первого этапа - подготовки к заключению договора на обслуживание клиента. Особенно глубоким должен быть экономический анализ (анализ кредитоспособности) при заключении кредитных договоров. Это позволит предотвратить неоправданные с точки зрения денежного обращения и народного хозяйства кредитные вложения, их структурные сдвиги, обеспечить своевременный и полный возврат ссуд, что имеет важное значение для повышения эффективности использования материальных и денежных ресурсов. I. Принципы и методы кредитования 1. Виды и формы банковских кредитов В мировой практике отсутствует единая классификация банковских кредитов, так как распространение их всевозможных форм зависит от уровня экономического развития страны, её традиций, исторически сложившихся способов предоставления ссуд и их погашения и укоренившихся стереотипов в сознании населения. Банковские кредиты могут быть классифицированы по основным группам заёмщиков. Получателями банковских кредитов выступает правительство, другие банки, министерства, промышленно-финансовые организации и население. По назначению использования различаются кредиты: 1) Бюджетные; 2) Промышленные; 3) Сельскохозяйственные; 4) Торговые; 5) Инвестиционные; 6) Потребительские и т.п. В зависимости от области функционирования банковские кредиты могут быть двух видов: ссуды для финансирования основного либо оборотного капиталов. Последние, в свою очередь, подразделяются на кредиты, которые направляются в сферу производства или обращения. В практике российских банков на данном этапе преобладают ссуды, направленные на финансирование торговых и спекулятивных операций. По размерам кредиты могут подразделяться на крупные, средние и малые. Однако в международной практике отсутствуют единые критерии подхода для группировки кредитов по этому признаку. Нижняя планка для средних по сумме кредитов проходит где-то на уровне 100 тыс. долларов, а высшаяподнимается до 1-10 млн. долларов. Кредиты на сумму до 100 тыс. долларов, по-видимому, следует отнести к группе малых. По срокам погашения кредиты бывают: 1) до востребования 2) срочные. Срочные кредиты подразделяются на кратко-, средне- и долгосрочные. Классификация ссуд в соответствии с этим критерием разных стран варьируется. Российские банки занимаются в основном краткосрочным кредитованием. По обеспечению кредиты бывают: необеспеченными обеспеченными. Последние по характеру обеспечения подразделяются на: залоговые, гарантированные, застрахованные и т.д. Кредиты без обеспечения называются также доверительными и представляются, как правило, только под соло-вексель (обязательство заемщика возвратить ссуду). Кредиты без обеспечения выдаются на основании учета высокой репутации заемщика и оценки уровня его доходов. По способам предоставления различаются компенсационные и платные кредиты. В первом случае кредит направляется на расчетный счет заемщика для компенсации последнему его собственных затрат. При этом имеется ввиду зачисление также ссудных средств авансового характера. Во втором случае банковская ссуда поступает непосредственно на оплату расчетно-денежных документов, предъявленных заемщиком для погашения и связанных с осуществлением операций по кредитованию. В то же время кредиты могут быть разовыми, то есть предоставляются в срок и в сумме, предусмотренные в договоре, заключенном сторонами. Однако в практике многих стран постепенно получает самое широкое распространение кредитные линии. Кредитная линия - это юридически оформленное обязательство банка перед заемщиком предоставить ему в течение определенного периода времени кредиты в пределах согласованного лимита. Кредитная линия имеет преимущество перед разовым соглашением для обеих сторон: для заемщика - это более определенная перспектива коммерческой деятельности, экономия накладных расходов и времени. Неизбежно связанных с ведением переговоров и заключения каждого отдельного соглашения. Это относится и к кредитору. Однако условия соглашения о кредитной линии могут быть пересмотрены обоими участниками сделки. Так, банк может отказаться от предоставления кредита до окончания оговоренного срока, если, например, финансовое положение заемщика существенно ухудшится и им не будут выполнены другие условия соглашения сторон. Заемщик в силу тех или иных причин может не использовать кредитную линию полностью или частично. Если кредитор стремится закрепиться на рынке заёмщика на долгие годы, то он иногда идёт на предоставление кредитной линии на длительный срок. За рубежом, прежде всего в США, получили широкое распространение несколько видов кредитных линий, в том числе возобновляемая и сезонная. В отличие от классического варианта кредитной линии соглашение о возобновляемом кредите - это твердое обязательство банка выдать ссуду. Клиент уплачивает комиссию за право получить заем на определенную дату. В то же время договор о возобновляемом кредите имеет. Как правило, оговорку «О существенном ухудшении положения клиента». Эта оговорка дает право банку - кредитору отказаться от предоставления ссуды, если финансовое положение заемщика станет неудовлетворительным. Возобновляемая кредитная линия предоставляется заемщику, который испытывает нехватку оборотных средств для поддержания и расширения объема производства и сбыта. Срок такого кредита не превышает одного года. Заемщик, погасивший часть кредита, может получить новую ссуду в пределах установленного лимита и срока действия договора. Возобновляемый кредит берет, например, оптовик, размер операций которого возрастает и поэтому он нуждается в дополнительном финансировании. Сезонная кредитная линия предоставляется банком, если у фирмы периодически возникают потребности в оборотных средствах, связанные с сезонно цикличностью производства или необходимость образования запасов товаров на складе. Такая линия может быть открыта фермеру, нуждающемуся весной в закупке семян, удобрений, сельхозмашин, транспорта, запасных частей к ним. Получателем сезонного кредита может быть предприниматель, специализирующийся на изготовлении и сбыте сезонной одежде, обуви либо рождественских игрушек, елочных украшений и подарков, сельскохозяйственных товаров. С открытием кредитной линии тесно связаны специфические операции, среди которых резервный (гарантийный) кредит (иначе его называют кредит «стенд бай»). Этот кредит может быть получен при необходимости в течение обусловленного срока. Он используется для поддерживания других кредитных операций, а также для покрытия несбалансированности внешних расчетов. Очень часто предоставление кредита «стенд бай» сопровождается выставлением резервного (гарантийного) аккредитива. Такой аккредитив открывается по просьбе компании, получающей гарантийный кредит, в пользу банка - кредитора в качестве обеспечения. Аккредитив открывается в банке, в котором обслуживается клиент. Одна из форм кредитования, получающая все более широкое распространение, - предоставление ссуд с использованием банковских кредитных карточек. По каждой кредитной карточке определяется лимит кредитования, который может периодически пересматриваться. Кредит предоставляется путем оплаты услуг торговых и сервисных организаций, оказанных владельцу карточки. Банковские кредиты по порядку погашения можно разделить на две группы. В первую группу можно включить кредиты, погашаемые единовременно, во вторую - кредиты с рассрочкой платежа. По видам процентных ставок банковские кредиты можно подразделить на две группы: 1) кредиты с фиксированной процентной ставкой 2) кредиты с плавающей процентной ставкой. Ссуды могут быть выданы на условиях фиксированной процентной ставки, которая устанавливается на весь период кредитования, и не подлежит пересмотру. Заемщик принимает на себя обязательство в этом случае оплатить проценты по неизменной согласованной ставке за пользование кредитом вне зависимости от изменения конъюнктуры на рынках процентных ставок. Это выгодно как кредитору, так и заемщику, поскольку обе стороны имеют возможность точно рассчитать свои доходы или расходы, связанные с использованием предоставленного кредита. Фиксированные процентные ставки, как правило, применяются при краткосрочном кредитовании. В странах рыночной экономики широко практикуется предоставление кредитов как фиксированными, так и плавающими процентными ставками. Плавающие ставки - это ставки, которые постоянно изменяются в зависимости от ситуации, складывающейся на кредитных рынках, с которыми они связаны. Хотя приведенная классификация банковских кредитных операций (как и любая другая) обобщает российский и зарубежный опыт в этой области, она не может считаться исчерпывающей. Постоянно появляются новые виды и формы банковских кредитов. Эта классификация носит весьма условный характер, так как на практике любой кредит отвечает не одному, а нескольким критериям и может служить иллюстрацией для нескольких классификационных групп. 2. Характеристика методов кредитования и принципы банковского кредитования Основным элементом в системе банковского кредитования являются методы кредитования, так как они определяют ряд других элементов этой системы, таких как вид ссудного счета, способ регулирования ссудной задолженности, формы и порядок контроля за целевым использованием заемных средств и своевременным их возвратом. Метод кредитования можно определить как совокупность приемов, с помощью которых банки осуществляют выдачу и погашение кредитов. Таких методов три: 1) метод кредитования по обороту; 2)метод кредитования по остатку; 3) оборотно - сальдовый метод. При кредитовании по обороту кредит следует за движением, оборотом объекта кредитования. Кредит авансирует затраты заемщика до момента высвобождения ресурсов. Размер ссуды возрастает по мере увеличения потребности в ссуде и погашается по мере снижения этой потребности. Данный метод обеспечивает непрерывное, по мере снижения или увеличения потребности синхронное движение кредита, является непрерывно возобновляющимся процессом. При кредитовании по остатку кредит взаимосвязан с остатком товарно-материальных ценностей и затрат, вызвавших потребность в ссуде. К примеру, предприятие может уже закупить необходимые ему ценности за счет своих финансовых источников и лишь, затем обратится в банк за ссудой под их обеспечение, тем самым, компенсируя произведенные затраты. Кредит в этом случае выдается под остаток товарно-материальных ценностей, в порядке компенсации, а не авансирования затрат (уже произведенных в данном случае) на приобретение необходимых материалов. На практике кредитование по обороту и по остатку могут сочетаться, образуется оборотно - сальдовый метод, когда кредит на первой стадии выдается по мере возникновения в нем потребности, а на второй стадии погашается в строго определенные сроки, которые могут не совпадать с объемом высвобождающихся ресурсов. Организационно движение кредита (его выдача и погашение) отражается на ссудных счетах клиента, которые открывает ему банк. Банковское кредитование предприятий и других организационно-правовых структур на производственные и социальные нужды осуществляется при строгом соблюдение принципов кредитования, которые представляют собой главный элемент системы кредитования, поскольку отражают сущность и содержание кредита, а также требования объективных экономических законов, в том числе и в области кредитных отношений. К принципам кредитования относятся: срочность возврата, дифференцированность, обеспеченность и платность. Особенностью, которая отличает кредит как экономическую категорию от других экономических категорий товарно-денежных отношений, является возвратность. Она является неотъемлемой чертой кредита, его атрибутом, без которой он не может существовать. Срочность кредитования представляет собой необходимую форму достижения возвратности кредита. Этот принцип означает, что кредит должен быть, не просто возвращён, а возвращён в строго определённый срок, т.е. в нём находят конкретное выражение факторы времени. И, следовательно, срочность есть временная определённость возвратности кредита. Срок кредитования является предельным временем нахождения ссуженных средств в руках заёмщика и выступает той мерой, за пределами которой количественные изменения во времени переходят в качественные: если нарушается срок пользования ссудой, то искажается сущность кредита, он теряет своё подлинное назначение, что отрицательно складывается на состоянии денежного обращения в стране. Сроки кредитования устанавливаются банком исходя из сроков оборачиваемости кредитуемых материальных ценностей, но не выше нормативных. С этим принципом очень тесно связаны два других принципа кредитования, таких, как дифференцированность и обеспеченность. Дифференцированность кредитования означает, что коммерческие банки не должны однозначно подходить к вопросу о выдаче кредита своим клиентам, претендующим на его получение. Кредит должен предоставляться только тем клиентам, которые в состоянии его своевременно вернуть. В таком случае дифференциация кредитования должна осуществляться на основе показателей кредитоспособности, под которой понимается финансовое состояние предприятия, дающая уверенность в способности и готовности заёмщика возвратить кредит в оговоренный договором срок. Эти качества потенциальных заёмщиков оцениваются посредством анализа их баланса на ликвидность, обеспеченность хозяйства собственными источниками, уровень его рентабельности на текущий момент и в перспективе. В современных условиях, говоря об обеспеченности ссуд, следует иметь в виду наличие у заёмщиков юридически оформленных обязательств, гарантирующих своевременный возврат кредита: залогового обязательства, договора-гарантии, договора-поручительства. Принцип платности кредита означает, что каждый заёмщик должен внести банку определённую плату за временное заимствование у него для своих нужд денежных средств. На практике реализация этого принципа осуществляется посредством банковского процента. Ставка банковского процента - это своего рода «цена» кредита. Банку платность кредита обеспечивает покрытие его затрат, связанных с уплатой процентов за привлечённые в депозиты чужие средства, затрат по содержанию своего аппарата, а также обеспечивает получение прибыли для увеличения ресурсных фондов кредитования (резервного, уставного) и использования на собственные и иные нужды. Совокупное применение на практике всех принципов банковского кредитования позволяет соблюсти как общегосударственные интересы, так и интересы обоих субъектов кредитной сделки. Таким образом, мировой практике банковской деятельности известны самые разнообразные виды кредитов. Их классификация возможна по различным признакам, в том числе: по основным группам заемщиков, назначению. Срокам, характеру обеспечения, способам предоставления и полгашения, выдачи процентных ставок и способам их уплаты т.д. С помощью разнообразных кредитов банки решают задачи увеличения прибыли за счет расширения объема ссудных операций, диверсификации клиентской базы, поиска источников доходов, компенсирующих риски по кредитам и депозитам. 3. Краткосрочное кредитование и его методы В настоящее время в России наиболее распространённым видом кредитования является краткосрочное кредитование. Это может быть обусловлено многими факторами. Для оценки этих факторов необходимо выявить как положительные, так и отрицательные стороны данного типа кредитных операций. Данный анализ будет не полный, если не рассмотреть оба субъекта кредитной сделки. Для начала попытаемся взглянуть на проблему глазами банковского служащего. Краткосрочное кредитование является наименее рискованным, так как кредит обычно выдаётся, в среднем, на 3 – 8 месяцев. В рамках данного периода представляется возможным оценить как экономическую ситуацию в целом по стране, так и кредитоспособность отдельного заёмщика, что не всегда удаётся осуществить на более длительный срок. Это связано, прежде всего, с тем, что на состояние финансового рынка влияют не только экономические причины, но и ряд других, которые следует принимать во внимание в условиях долгосрочного планирования. Заёмщик же порой нуждается больше в долгосрочном кредите, нежели в краткосрочном. Это объясняется тем, что эффект от запланированного инвестиционного проекта может следовать не сразу после осуществления вложений. Именно в этом и расходятся мнения кредиторов и заёмщиков. Кредитор стремится как можно быстрее получить доход от произведённой кредитной операции, а заёмщик – как можно дольше отдавать плату за пользование денежными средствами контрагента. Методы краткосрочного кредитования зависят от особенностей кругооборота и организации оборотных средств в различных отраслях народного хозяйства. Кредитование сверхнормативных остатков ценностей на отдельных стадиях кругооборота применяется в сезонных отрасляхпромышленности, где плановые запасы создаются в основном в период заготовки сельскохозяйственного сырья, а также в других отраслях хозяйства. Кредитование по обороту на всех стадиях движения материальных ценностей используется в отраслях с равномерным характером производства и сбыта готовой продукции, а по товарообороту — в оптовой и розничной торговле и материально-техническом снабжении, где также имеется систематическая потребность в банковских ссудах. Каждый метод кредитования характеризуется определенным способом выбора объектов банковского кредита. При кредитовании по остатку ссуды выдаются под отдельные виды, а при кредитовании по обороту — под совокупность различных видов материальных ценностей. Этим определяется степень участия банковского кредита в кругообороте оборотных средств предприятий и хозяйственных организаций. II . Виды используемых ссудных счетов 1. Формы ссудных счетов Ссудный счет - это такой счет, на котором отражается долг клиента банку по полученным кредитам, выдача и погашение ссуд. При общем единстве схемы отражения задолженности, выдачи и погашения кредита ссудные счета могут различаться между собой: 1) по цели открытия; 2) по взаимосвязи с оборотом. По цели открытия ссудные счета могут быть депозитно-ссудными, когда клиент получает право при исчерпании собственных средств, положенных в банке на депозит, на получение кредита в определенных размерах. Наиболее часто такими ссудными счетами может пользоваться население, накапливающее свои сбережения на счетах и получающее возможность в случае необходимости воспользоваться кредитом банка. Из депозитного в ссудный счет он превращается в том случае, если сальдо на нем становится дебетовым. Ссудные счета могут открываться исключительно для целей расходования валюты кредита. Это своего рода счета с кредитовым оборотом, со снижающимся дебетовым сальдо, в разовом порядке полученным кредитом на цели его последующего использования и с постепенным погашением ссуды. Метод кредитования обусловливает форму ссудного счёта, используемого для выдачи и погашения кредита. Ссудные счета бывают: 1. Специальные ссудные счета – открываются заёмщикам, испытывающим постоянную потребность в банковском кредите, когда кредитом опосредуется большая часть платёжного оборота хозорганов. По этому счёту должны идти регулярные выдачи кредита и погашение. 2. Простые ссудные счета – используются в банковской практике преимущественно для выдачи разовых ссуд. Погашение задолженности по этим счетам осуществляется в согласованные с заёмщиком сроки. В этом же классе выделяются накопительно - расходные ссудные счета, сочетающие как движение средств по кредиту, так и по дебету счета. К примеру, депозит клиента может систематически пополняться за счет новых накоплений, но их расходование всегда будет превышать поступления, в связи с чем сальдо на счете продолжает быть дебетовым. По взаимосвязи с оборотом ссудные счета могут быть трех типов: 1) оборотно - платежными; 2) сальдово - компенсационными 3) оборотно - сальдовыми. Три данных типа ссудных счетов по существу соответствуют трем методам кредитования: по обороту; по остатку; оборотно - сальдовому методу. При открытии оборотно - платежного ссудного счета клиент получает возможность оплачивать платежные документы по самым разнообразным потребностям: счета за товары и услуги, чеки на заработную плату, платежные поручения на погашение кредиторской задолженности, перечисление налогов и других платежей. Для всех этих платежей достаточно иметь один оборотно - платежный, или оборотно - сальдовый счет, на который будут поступать определенные платежи в погашение образующейся ссудной задолженности. Для производства всех платежей клиент может воспользоваться и сальдово - компенсационным счетом, но тогда ему необходимо открывать их столько, сколько возникает у него таких потребностей. У клиента может быть столько сальдово - компенсационных счетов, сколько он имеет частных объектов кредитования. Данный ссудный счет по сравнению с двумя предшествующими счетами менее гибок, требует большего технического оформления, вместе с тем на нем более четко прослеживается целевое назначение кредита. На практике оборотно - платежные и оборотно - сальдовые счета применяются при интенсивном платежном обороте, в сезонных отраслях промышленности, торговле, сельском хозяйстве, заготовительных организациях, непрерывных, практически каждодневных поставках товарно-материальных ценностей и затратах. Сфера применения сальдово - компенсационных счетов несколько уже, они применяются при разовых, эпизодических потребностях клиентов в дополнительных финансовых ресурсах. Особую разновидность оборотно - платежных ссудных счетов составляет контокоррент. Контокоррентный кредит. Имеющийся зарубежный опыт применения в банковской практике контокоррентных счетов свидетельствует о том, что: во-первых , контокоррентный счет банк открывает таким клиентам, с которыми он имеет длительные и прочные отношения и которые испытывают регулярную потребность в банковском кредите; во-вторых , контокоррентные отношения между клиентом и банком являются сугубо добровольными, т.е. они не могут быть навязаны извне по какой-либо указке, распоряжению, а также по настоянию одной из сторон этих отношений; в-третьих , поскольку контокоррентный счет используется для рационализации платежного оборота хоз. органов, то контокоррентный кредит по своей природе - это бланковый кредит, который предназначен для покрытия отрицательного сальдо счета. И, следовательно, контокоррентный счет в первую очередь должен открываться предприятиям с исключительно высокой кредитной репутацией, а затем уже клиентам, предоставившим в качестве обеспечения лимитированной величины дебетового сальдо счета гарантии третьих лиц, договор залога ценных бумаг или определенной части имущества и т.п.; в-четвертых , в целях обеспечения банковской ликвидности контокоррентный кредит предоставляется в основном для финансирования текущего производства и обращениям и не связан с финансированием инвестиций; в-пятых , в силу обеспечения клиентам возможности оперативно воспользоваться правом привлечения заемных средств для уравновешивания обязательств и требований по счету контокоррентный кредит относится к числу наиболее дорогих кредитов. Кроме того, за обслуживание контокоррентного счета банк в обязательном порядке взимает с заемщика еще и оборотную комиссию; в-шестых , использование заемщиком контокоррентного кредита не исключает оформления им в банке других кредитов, если ожидается временное увеличение потребности в заемных средствах, превышающее запланированный размер дебетового сальдо по контокорренту; в-седьмых , правильное течение контокоррентных отношений характеризуется особым договором между банком и клиентом, который содержит ряд оговорок, освобождающих банк как лицо, наиболее рискующее при такой форме кредита, от невыгодных правовых последствий ответственности. Существенным пунктом в договоре является не обусловленное никаким сроком право банка на закрытие этого счета. Разновидностью контокоррентного кредита является овердрафт. При данной форме расчетный счет клиента не только сохраняется, но и на нем разрешается иметь дебетовое сальдо. Это означает, что, не открывая отдельного ссудного счета, клиент сверх своих остатков и поступлений средств на расчетный счет получает право на дополнительную оплату расчетных документов и денежных чеков за счет ресурсов банка. Так же как и контокоррент, овердрафт вводится для первоклассных заемщиков и при соблюдении, по крайней мере, двух условий. Во-первых, в прогнозируемом (плановом) периоде необходимо, чтобы в итоге источники оборотных средств клиента превышали размер их размещения. Во-вторых, требуется согласие клиента положить на год минимально стабильную величину его денежных средств на срочный депозит в данном банке. Депозитная гарантия является одной из форм обеспечения возвратности кредита. 2. Простые ссудные счета Простые ссудные счета используются при возникновении разовой потребности в заемных средствах в связи с накоплением различных видов товарно-материальных ценностей, осуществлением тех или иных производственных затрат, отвлечением средств в расчеты, потребностями в текущих платежах и др. По этим счетам предоставляются ссуды для покрытия произведенных затрат и под фактически накопленные запасы (остатки) товарно-материальных ценностей, оплаченные с расчетного счета. При кредитовании по остатку организация платежного оборота в связи с обязательствами хозяйственно-финансовой деятельности осуществляется по расчетным счетам с предоставлением банковских ссуд под отдельные виды запасов товарно-материальных ценностей для восстановления собственных средств, вложенных в хозяйственный оборот. Банковские ссуды при этом носят компенсационный характер. Предприятие может кредитоваться по нескольким простым ссудным счетам. Метод кредитования по остатку получил дальнейшее развитие в кредитовании по укрупненному объекту, или на совокупную потребность в заемных оборотных средствах. Этот метод стал применяться с 1988 г. Кредит предоставляется по одному ссудному счету с закрытием целевых счетов по отдельным видам ценностей, что позволяет существенно упростить ведение банковского учета задолженности по ссудам. Кредит выдается на основе оборотно - сальдового метода, имеющего черты кредитования по обороту и по остатку. В ходе реорганизации хозяйственного и кредитного механизмов, а также организационно-экономических приемов предоставления банковских ссуд (механизма кредитования) во всех отраслях народного хозяйства была внедрена типовая методика определения размера кредита по укрупненному объекту или на совокупную потребность в заемных оборотных средствах с применением единого ссудного счета. Различие сохраняется в выборе ссудных счетов (простой — при кредитовании промышленности и сельского хозяйства и спецссудный — при кредитовании материально-технического снабжения и торговли), а также принятии в расчет кредита норматива собственных оборотных средств (полностью—в промышленности и сельском хозяйстве, на основе долевого участия — в снабжении и торговле). 3. Кредитование по специальным ссудным счетам При кредитовании по специальным ссудным счетам используются такие элементы механизма кредитования, как: а) постоянно действующий специальный ссудный счет; б) контрольная цифра кредитования, в) погашение задолженности с расчетных счетов. Определение размера и проверка обеспечения кредита товарно-материальными ценностями производятся в основном по методике, предусмотренной для простых ссудных счетов, с учетом конкретных особенностей кредитования отдельных отраслей хозяйства. Рассмотрим типовую методику на примере объединения пищевой промышленности, тыс. руб. Регулирование задолженности по спецссудному счету производится одновременно с проверкой обеспечения кредита по простым ссудным счетам. В нашем примере этот фактор не учитывается. Расчет производится по установленной Госбанком форме и представляется в кредитующее учреждение за три дня до начала очередного квартала. Оплата материальных ценностей и услуг со специальных ссудных счетов производится ежедневно, и поэтому плановые платежи в погашение задолженности по этим счетам вносятся не реже одного раза в 5 дней. В день наступления срока платежа соответствующая сумма денежных средств перечисляется с расчетного счета на спецссудный, а при отсутствии средств переносится на счет просроченных кредитов. Раздел 2. Практическое задание Задача №1 Банк предоставил ссуду в размере 100 тыс. руб. на 30 месяцев под 30% годовых на условиях ежегодного начисления процентов. Какую сумму предстоит вернуть банку по истечении срока? Решение. Банки могут давать ссуду на нецелое число лет. В этом случае проценты могут начисляться одним из двух методов: а) по схеме сложных процентов: FV = Px (1 + i)n + f б) по смешанной схеме, когда используется схема сложных процентов для целого числа лет и схема простых процентов – для дробной части года: FV = P x (1 + i)n x (1 + f x i), где: f – дробная часть года; n – целое число лет. Тогда: а) по схеме сложных процентов: FV = Px (1 + i)n + f = 100 х (1 + 0,3)2+0,5 = 100 х 1,32,5 = 192,7 тыс. руб. б) по смешанной схеме процентов: FV = P х (1 + i)n x (1 + fxi) = 100 х (1 + 0,3)2 х (1 + 0,5 х 0,3) = 194,4 тыс. руб. Задача № 3 Рассчитать сумму первоначального вклада. Данные для расчета: банк предлагает 15% годовых. Инвестор, делая вклад, хочет иметь на счете через год 10 тыс. руб., процент начисления - простой. Решение: Формула простых процентов по вкладам:
Значение символов: S =10 тыс.рублей I = 15% t = 365 дней K = 365 дней P = 10 / (1 + 15*365/365*100) = 8,7 тыс.рублей Сумма первоначального вклада составляет 8,7 тыс. рублей. Заключение Кредит способен оказывать активное воздействие на объем и структуру денежной массы, платежного оборота, скорость обращения денег. Вызывая к жизни различные формы кредитных денег, он может обеспечить в период перехода России к рынку создание базы для ускоренного развития безналичных расчетов, внедрения их новых способов. Все это будет способствовать экономии издержек обращения и повышению эффективности общественного воспроизводства в целом. Благодаря кредиту происходит более быстрый процесс капитализации прибыли, а, следовательно, концентрации производства. Он может сыграть заметную роль и в осуществлении программы приватизации государственной и муниципальной собственности на основе акционирования предприятий. Условием размещения акций на рынке являются накопление значительных денежных капиталов и их сосредоточение в кредитной системе. Кредитная система в лице банков принимает активное участие и в самом выпуске, и размещении акций. Кредит стимулирует развитие производительных сил, ускоряет формирование источников капитала для расширения воспроизводства на основе достижений научно-технического прогресса. Регулируя доступ заемщиков на рынок ссудных капиталов, предоставляя правительственные гарантии и. льготы, государство ориентирует банки на преимущественное кредитование тех предприятий и отраслей, деятельность которых соответствует задачам осуществления общенациональных программ социально-экономического развития. Государство может использовать кредит для стимулирования капитальных вложений, жилищного строительства, экспорта товаров, освоения отсталых регионов. Без кредитной поддержки невозможно обеспечить быстрое и цивилизованное становление фермерских хозяйств, предприятий малого бизнеса, внедрение других видов предпринимательской деятельности на внутригосударственном и внешнем экономическом пространстве. Список использованных источников 1. Жуков Е. Ф., Максимова Л. М. «Банки и банковские операции: Учебник для вузов»- М.; Банки и биржи, ЮНИТИ, 2001 г. – 452 стр. 2. Дробозина Л. А., Окунева Л. П., Андросова Л. Д. «Финансы. Денежное обращение. Кредит: Учебник для вузов» - М.: Финансы, ЮНИТИ, 2002 г. – 342 стр. 3. А.Н. Трошин, В.И. Фомкина «Финансы, денежное обращение и кредиты» - М., 2000 г. – 245 стр. 4. Алтапов Г. Е., Базулин Ю. В. «Деньги. Кредит. Банки» – М.: ТК Велби, изд-во «Проспект», 2000г. – 624 стр. 5. «Деньги. Кредит. Банки», Учебники, учебные пособия – Ростов – на – Дону, Феникс, 2001 г. – 448 стр. 6. «Деньги. Кредит. Банки», Учебные пособия для студентов высш. учебн. заведений – М.: ВЛАДОС, 2003 г. 368 стр. 7. Ковалев А. П. «Финансы. Денежное обращение. Кредит» – Ростов – на – Дону, Феникс, 2001 г. – 480 стр. 8. Балабанов И. Т. «Банки и банковское дело» – СПб.: Питер, 2000г. – 256 стр. 9. Березина М. П. «Вопросы теории безналичных расчетов» Банковское дело – М.: Юнити, 1998 г. – 254 стр. 10. Лаврушина О. И. «Деньги. Кредит. Банки» - М.: «Финансы и статистика», 1999 г. – 448 стр. 11. Ивасенко А. Г. «Безналичные расчеты: сущность, проблемы, перспективы развития» - М.: «Финансы и статистика», 1996 г. –106 стр. 12. Солнцев О. Г. «Проблемы денежного оборота и банковской системы» Банковское дело – М.: Юнити, 1997 г. – 365 стр. 13. Маркова О. М., Сахаров В. И. «Коммерческие банки и их операции» – М.:, Банки и биржи – Юнити, 1995 г. – 423 стр. 14. Дробозина Л. Т. «Деньги. Кредит. Банки» – М.: Инфра - М., 1997 г. – 325 стр. |
