Дипломная работа: Разработка мер по повышению конкурентоспособности предприятия на примере ООО ТГ Альянс
|
Название: Разработка мер по повышению конкурентоспособности предприятия на примере ООО ТГ Альянс Раздел: Рефераты по маркетингу Тип: дипломная работа | |||||||||||||||||||||||||||||||||||||||||||||||||||||||||||||||||||||||||||||||||||||||||||||||||||||||||||||||||||||||||||||||||||||||||||||||||||||||||||||||||||||||||||||||||||||||||||||||||||||||||||||||||||||||||||||||||||||||||||||||||||||||||||||||||||||
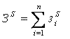
МИНИСТЕРСТВО ОБРАЗОВАНИЯ И НАУКИ РОССИЙСКОЙ ФЕДЕРАЦИИ ФЕДЕРАЛЬНОЕ АГЕНТСТВО ПО ОБРАЗОВАНИЮ Государственное образовательное учреждение высшего профессионального образования РОССИЙСКИЙ ГОСУДАРСТВЕННЫЙ ТОРГОВО-ЭКОНОМИЧЕСКИЙ УНИВЕРСИТЕТ ГОУ ВПО «РГТЭУ» ЧЕЛЯБИНСКИЙ ИНСТИТУТ (ФИЛИАЛ) Кафедра коммерции и маркетинга ДОПУСКАЕТСЯ К ЗАЩИТЕ Заведующий кафедрой к.т.н., доцент ___________ И.А. Кетова «_____»________200___г ВЫПУСКНАЯ КВАЛИФИКАЦИОННАЯ РАБОТА тема: «Разработка мер по повышению конкурентоспособности предприятия на примере ООО ТГ «Альянс». Выполнил: студент 4 курса специальности «Маркетинг» зачной формы обучения_________________________________ Е.Ю. Моисеева Научный руководитель старший преподаватель_________________________________ А. В. Старцев Научный консультант к.п.н. доцент__________________________________________ Челябинск 2010 Аннотация. Дипломная работа: Объектом исследования является механизм обеспечения конкурентоспособности на примере ООО ТГ "Альянс". Цель работы - изучение механизма обеспечения конкурентоспособности на предприятия на примере ООО ТГ "Альянс" и разработка на этой основе рекомендаций по совершенствованию механизма обеспечения конкурентоспособности. Областью возможного практического применения результатов работы являются субъекты хозяйствования, осуществляющие производственную деятельность. Содержание. Аннотация………………………………………………………………………… Введение…………………………………………………………………………. Глава 1. Конкурентоспособность предприятия как фактор его коммерческого успеха…………………………………………………………………………….. 1.1Понятие конкурентоспособности предприятия ………………………… 1.2 Факторы влияющие на конкурентоспособность торгового предприятия……………………………………………………………………... 1.3. Методика расчета эффективности мероприятий по повышению конкурентоспособности торгового предприятия…………………………… Глава 2. Анализ хозяйственно- экономического состояния ООО ТГ «Альянс»…............................................................................................................ 2.1. Краткая экономическая характеристика ООО ТГ «Альянс……..………. 2.2. Анализ финансово – экономического состояния ООО ТГ «Альянс»…... 2.3.Анализ конкурентных позиций ООО ТГ «Альянс»………………………. Глава 3. Разработка мер по повышению конкурентоспособности ООО ТГ «Альянс»………………………………………………………………………… 3.1.Краткое описание предложенных мероприятий в ООО ТГ «Альянс». 3.2. Экономическая оценка предложенных мероприятий в ООО ТГ «Альянс». 3.3 Финансовая оценка предложенных мероприятий в ООО ТГ «Альянс». Заключение Список использованных источников и литературы. Введение. По мере перехода рынка к предприятие получая экономическую самостоятельность в ведении производственно- хозяйственной деятельности, само на свой страх и риск определяет, какую продукцию, где, когда, какого качества производить, кому, на каких условиях и по какой цене её продавать. В связи с этим наиболее важной характеристикой продукции и услуг предприятий является их конкурентоспособность. Конкурентоспособность в рыночной экономике является основным фактором коммерческого успеха предприятия. В свою очередь, зависит от качества менеджмента и конкурентоспособности выпускаемой продукции, то есть от того, насколько она лучше аналогов- продукции, выпускаемой конкурирующими предприятиями. Весь анализ конкурентов для наших предприятий и фирм в лучшем случае сводился к изучению цен на изделия и услуги (чтобы «демпигнуть» при первой возможности). Зато подобный подход требует минимум затрат, сил и средств. Беда же в том, что в рамках такой тактики и стратегии никакого реального повышения конкурентоспособности не происходит. Конкурируя с лидерами, стремясь их превзойти, компания вынуждена «ходить по острию ножа», но только так можно совершенствовать управление и производство. Что ещё, кроме цен, нужно знать о своих конкурентах? Каким образом следует оценивать свои сравнительные конкурентные преимущества? Каким образом можно определить, что действительно необходимо для повышения своей конкурентоспособности в данное время и на данном предприятии? Конкурентоспособность предприятия или фирмы – это способность успешно оперировать на конкретном рынке в данный период времени путем выпуска и реализации конкурентоспособных товаров и услуг. Ещё несколько десятилетий назад научная теория конкурентоспособности практически отсутствовала. Перелом внесли работы современного американского экономиста Макла Портера, и прежде всего его концепция ценности товара и потребителя. Актуальность рассматриваемой заключается ещё и в том, что функционирование предприятий происходит в условиях жесткой конкурентной борьбы между товаропроизводителями, когда часто используются методы, связанные с нарушением норм и правил конкуренции. Это выражается в установлении демпинговых цен – продаже товаров по цене ниже себестоимости; установлении контроля над деятельностью конкурента; злоупотреблением господствующим положением на рынке; зависимости поставок конкретных товаров или предоставлении услуг от принятия ограничений по производству или распределению конкурирующих товаров; введении ограничительных условий и агентских соглашений при сбыте продукции, определяющих, когда, кому, в каких количествах и на каких условиях осуществлять поставки; тайных сговорах на торгах; ложной информации и рекламе, вводящей конкурента в заблуждение; недобросовестном копировании товаров и продукции конкурентов; нарушений стандартов и условий поставок товаров и услуг и др. Поэтому важное значение имеет такое направление маркетинговой деятельности предприятие как изучение конкурентов. Контроль за конкурентами позволит удовлетворить специфические запросы покупателя и потребителя раньше и лучше других фирм. Зная сильные и слабые стороны конкурентов, можно оценить их потенциал и цели, настоящую и бедующую стратегии. Это позволит фирме стратегически точно сконцентрировать свое внимание на том направлении, где конкурент слабее. Таким образом, можно расширить свои собственные преимущества в конкурентной борьбе. Целью выпускной квалифицированной является определение путей повышения конкурентоспособности ООО ТГ «Альянс». В соответствии с поставленной целью необходимо решить следующие задачи: 1. Изучение теоретических основ конкуренции в целом и конкурентоспособности предприятия. 2. Провести сравнительный анализ конкурентов исследуемого предприятия. 3. Оценить конкурентоспособность анализируемого предприятия. 4. Определить пути повышения конкурентоспособности предприятия. Объектом исследования является механизм обеспечения конкурентоспособности продукции на примере ООО ТГ «Альянс». Глава 1. Теоретические основы повышения конкурентоспособности предприятия. 1.1 Понятие конкурентоспособности предприятия. В условиях постоянно меняющегося состояния маркетинговой среды предпринимательские структуры оказываются в сфере конкуренции. Конкуренция – один из сущностных признаков рынка, форма взаимного соперничества субъектов маркетинговой системы и механизм регулирования осуществленного производства. Как общественная форма взаимодействия субъектов конкуренция выступает предпосылкой реализации индивидуальных экономических интересов каждого субъекта, вовлеченного в борьбу между двумя более или менее четко обозначенными соперниками по бизнесу[1]. Конкуренция выступает также инструментом в устранении и предотвращении монополий. В соответствии с законом РФ «О конкуренции на товарных рынках» [2] конкуренция состязательность хозяйствующих субъектов, когда их самостоятельные действия эффективно ограничивают возможность каждого из них односторонне воздействовать на общие условия обращения товаров на соответствующем товарном рынке. Содержательная характеристика конкуренции дана авторами И. Бернаром и Ж.-К. Колли в работе [3], где эта категория рассматривается как состояние взаимоотношений, когда происходит свободное, полное и достоверное сопоставление всех хозяйствующих субъектов в плане как предложение, так и спроса на товары и услуги. При проведении статистического анализа конкуренции принципиально важной является сформулированная здесь идея сопоставления. Для маркетолога важно видеть в конкуренции процесс соперничества между субъектами рынка (юридическими или физическими), которую осуществляют предпринимательскую деятельность и заинтересованы в аналогичной цели. В маркетинге такой целью является максимизация прибыли за счет завоевания предпочтений потребителя. Смысл конкурентной борьбы заключается в завоевании конкретных потребителей, пользующихся услугами конкурентов, а не в действиях против предприятий- соперников. Конкуренция оживляет рынок, благотворно действует на цены, вызывает в жизни новые формы сервиса, заставляет производителей осуществлять активную инновационную политику. В известном смысле конкуренция двигатель- прогресса. Упорядоченная, введенная в определенном законом рамки, справедливая конкуренция встроена в механизм маркетинга. Конкурентная борьба- составная часть маркетинговой деятельности. В последнее время в России явно проявляется тенденция к обострению конкуренции между предприятиями, которые подвергаются нарастающему совокупному воздействию конкурентных факторов. Тем не менее, на многих предприятиях не проводится целенаправленная работа по анализу конкурентов, отсутствуют систематизированные представления о том, что является конкурентоспособностью предприятия, как её создавать, поддерживать и как грамотно её реализовать. Конкурентоспособность фирмы- это реальная и потенциальная способность предприятия с учетом имеющихся у него для этого возможностей проектировать, изготовлять и реализовывать в конкретных условиях товары, которые по своим потребительским и стоимостным характеристикам в комплексе более привлекательны для потребителей, чем товары конкурентов.[1] Конкурентоспособность фирмы, как и всякого предприятия – производителя, характеризует возможности и динамику приспособления производителя к изменяющимся условиям конкуренции на рынке. Показатель конкурентоспособности производителя определяется по формуле
В качестве показателей эффективности деятельности фирмы могут использоваться такие показатели, как рентабельность, объем продаж и их модификации (рентабельность продаж, рентабельность активов, оборачиваемость товаров и др.) Конкурентоспособность предприятия в самом широком смысле можно определить как способность к достижению собственных целей в условиях противодействия конкурентов. Отсюда следует, что мерилом конкурентоспособности предприятия является «соотношение сил» между конкретным предприятием и его основными конкурентами на рынке. В теории менеджмента к основным конкурентам относят предприятия, близкие по характеристикам и стратегическому поведению. Эти предприятия образуют так называемую «стратегическую группу». [3] Цели предприятия, как правило, имеют временную привязку поэтому можно сказать, что конкурентоспособность предприятия определяется его способностью вести успешную (в отношении достижения поставленных целей) деятельность в условиях конкуренции в течении определенного времени. Конкурентоспособность является многомерным свойством, что определяется многоаспектностью самого явления конкуренции. Это означает, что менеджмент предприятия не может сосредоточивать усилия только на одном из конкурентных факторов- они должны учитываться одновременно, с учетом взаимной зависимости и времени. Многоаспектность конкуренции также проявляется в том, что предприятия могут предвидеть поведение конкурентов, а также реагировать на одну и ту же ситуацию на рынке различным образом. В следствии этого затрудняется прогнозирование ситуаций и долгосрочное планирование. Конкурентоспособность является важной интегральной характеристикой деятельности предприятия, но её повышение не должно становиться самоцелью. Необходимо ориентироваться на то, чтобы конкурентоспособность предложения, располагаемых ресурсов и менеджмента предприятия были достаточны для реализации выбранной конкурентной стратегии в целях получения желаемых результатов деятельности. Но, чтобы выиграть в конкурентной борьбе, нужно обладать определенным преимуществом на рынке, уметь создать факторы превосходства над конкурентами в сфере потребительских характеристик товара и средств его продвижения на рынке. В целях своевременного наличия приоритетов и эффективной стратегии, в наибольшей степени соответствующим тенденциям развития рыночной ситуации и основанной на сильных сторонах деятельности предприятия, любая фирма должна постоянно осуществлять текущий контроль и анализ конкурентного преимущества (превосходства) на рынке, на котором она и конкурирующая фирма предлагают аналогичные по потребительскому спросу товара или услуги. Распознавание, определение характера, признаков, выявления причин отклонений в состоянии конкурентной среды осуществляются с помощью диагностики, которая является средством, методом и инструментарием всестороннего исследования маркетинговых и, в частности, конкурентных отношений. Как отрасль знаний диагностика включает в теорию и методы организации процессов диагноза, а также принципы построения средств диагноза, классификацию возможных отклонений характеристик конкурентной среды. Выделяют три формы организации процесса установление диагноза- аналитическую , экспертную и диагностику на модели, т.е. имитационную. Аналитической диагностической называют процесс установления диагноза с помощью бесконтактных методов при использовании маркетинговой, статистической информации и методов конкурентного анализа, типологий, анализа конкурентных карт. Экспертная диагностика базируется на информации для целей диагноза, полученные контактными методами, по средствам проведения специальных экспертных и социоэкономических опросов в ходе полевых исследований. Имитационная (модельная) диагностика позволяет получить информацию об объекте диагноза путем имитационного моделирования. Результатом диагностики должен быть диагноз, т.е. определение и описание текущего и перспективного состояния конкурентной среды. На основе установленного диагноза маркетолог разрабатывает маркетинговые мероприятия для улучшения или усиления потенциала конкурентного преимущества фирмы. Постановка диагноза конкурентной среды должна базироваться на сравнении. Результаты диагностики необходимы для формирования маркетинговой информации и разработки политики конкуренции фирмы. Диагностика как процесс выявления сильных и слабых сторон как своей фирмы, так и фирм конкурентов дает возможность избежать антагонистических конфликтов в процессе взаимодействия конкурентов и более эффективно планировать и использовать свои силы и ресурсы. Концепция конкурентного преимущества должна базироваться на упреждающем, превентивном характере тактических и стратегических действий фирмы в конкурентной среде. Пассивная стратегия, т.е. стратегия следования за конкурентами, обычно, как показывает практика, является началом ухода с позиций прямой конкуренции, а значит, ухода на сегменты рынка, малопривлекательные для конкурентов. В отдельных случаях пассивный путь, т.е. проявления во взаимоотношениях с конкурентами принципа «не мешать друг другу», может быть оправдан. В тоже время не следует забывать, что отсутствие конкурентных преимуществ – верный путь к банкротству. Главными направлениями обеспечения конкурентного преимущества фирмы являются: концентрация ресурсов фирмы для упреждения действий конкурентов, удерживание инициативы в конкурентной борьбе, обеспечение ресурсного потенциала для достижения поставленных целей, разработка гибкой системы планирования деятельности фирмы на рынке путем обоснования эффективной стратегии взаимодействия с конкурентами. Конкурентное преимущество, которым обладают на конкретных рынках различные соперники (конкуренты), является существенным фактором климата, или конкурентной ситуации на рынке, на рынке товара. Конкурентное преимущество определяется набором характеристик, свойств товара или марки, который создает для фирмы определенное превосходство над своими прямыми конкурентами. [4] Превосходство оценивается относительным, сравнительным состоянием, положением фирмы по отношению конкуренту, занимающему наилучшую позицию на рынке товара или сегменте рынка. Оно может быть внешним и внутренним. Конкурентное преимущество является внешним, если оно основано на отличительных качествах товара, которые образуют «ценность для покупателя» в виду сокращения издержек или повышения эффективности. Внешнее конкурентное преимущество увеличивает рыночную долю фирмы, т.е. способность фирмы заставить рынок принять цену товара, более высокую, чем у приоритетных (самых опасных) конкурентов, но не обеспечивающих соответствующего отличительного качества. Внутреннее конкурентное преимущество базируется на превосходстве фирмы в отношении издержек производства, управление фирмой или товаром, которое создает «ценность изготовителя» и меньшую себестоимость, чем у конкурента. Это преимущество может создаваться благодаря проведению стратегии доминирования по издержкам за счет внедрения организационного и производственного нововведения фирмы. Таким образом, соотношение «рыночной силы» и «производительности» может характеризовать уровень конкурентного превосходства фирмы перед конкурентами. Достичь конкурентных преимуществ и укрепить свои позиции предприятие может за счет: обеспечения более низких издержек на производство и сбыт товара; обеспечения незаменимости продукта с помощью дифференциации. Дифференциация означает способность фирмы предложить покупателю товар, обладающей большей ценностью, т.е. большей потребительской стоимостью. Дифференциация позволяет устанавливать более высокие цены, что обеспечивает большую прибыль. Помимо этого перед предприятием стоит задача: на каком «по ширине фронта» рынке конкурировать – на всем рынке или на какой – либо его части (сегменте). Этот выбор можно осуществить, используя зависимость между долей рынка и рентабельностью фирмы. Тезис о том. Что одним из решающих факторов обеспечения конкурентоспособности является принадлежащая предприятию доля рынка, в наши дни является общепризнанным. В большинстве случаев промышленные предприятия, имеющие большую, в сравнении с конкурентами, долю рынка, имеют и более высокие показатели прибыльности. Фирмы, не обладающие возможностями для завоевания лидерства на рынке, должны сконцентрировать свои усилия на определенном сегменте и стремиться увеличивать там свои преимущества по отношению к конкурентам. Успеха добиваются не только крупные фирмы с большей долей рынка, а также относительно небольшие узкоспециализированные предприятия. Стремление небольших предприятий дублировать поведение крупных фирм, не считаясь со своими реальными возможностями, приводит к негативным последствиям – к утрате конкурентных позиций. Чтобы добиться успеха, таким предприятиям необходимо следовать правилу: «Сегментируй рынок. Сужай производственную программу. Добивайся и сохраняй максимальную долю на минимальном рынке». Размер оптимальной доли рынка регламентируется совокупностью объективных и субъективных факторов. А именно, в соответствии с действующим законодательством государство в рамках антимонопольного регулирования устанавливает предельные значения концентрации производства в руках отдельного товаропроизводителя (65%), превышение, которого влечет за собой применение санкций и принудительного ограничения деятельности отдельного товаропроизводителя на конкретном рынке. С другой стороны, необходимо учитывать характер и тенденции развития самого товарного рынка либо отрасли, поскольку изначально благоприятная ситуация растущего рынка стимулирует к появлению на нем новых конкурентов. Причем, чем выше темпы прироста отрасли, тем более привлекательны перспективы для крупного бизнеса. В качестве субъективных факторов выступают внутренние ресурсы и особенности самого хозяйствующего субъекта, поскольку сохранение и укрепление конкурентных позиций на рынке, как правило, сопровождается необходимостью привлечения дополнительных ресурсов, которые направляются либо на снижение издержек (тем самым формируются более сильные позиции в рамках ценовой конкуренции), либо на предложении уникальной продукции. И то и другое характеризует собой внутренние возможности предприятия по созданию высоких входных барьеров. Следовательно, установленные приемлемой или оптимальной доли рынка, контролируемой хозяйствующим субъектом предполагает собой процесс поиска компромиссного решения, обусловленного совокупностью объективных и субъективных факторов, влияющих на количественную меру доли рынка, занимаемую предприятием. В современной теории управления принято выделять четыре уровня или стадии конкурентоспособности (Приложение А). Каждому из них соответствуют свои подходы к организации управления и маркетинга. При первом уровне конкурентоспособности предприятий менеджеры предприятий или фирм рассматривают фактор управления как «внутренне- нейтральный». Они считают, что раз уж регулярный менеджмент в их компаниях был когда-то поставлен, то больше управление на конкурентоспособность никак не влияет. Свою роль эти менеджеры видят только в том, чтобы выпускать продукцию без особых затей, не заботясь ни о каких «сюрпризах» ни для конкурентов, ни для потребителей. Вместе с тем менеджеры настолько уверены или в качестве своих изделий, или в эффективности своих служб маркетинга и сбыта, что готовы «осчастливить» потребителей, лишь поставляя им рекламируемые товары. Любые дополнительные усилия на производстве или в управлении, по их мнению- излишества. Такой подход может принести компании успех, если она сумеет найти на рынке место, свободное от конкуренции. Обычно это характерно для малого предприятия или фирмы, ориентирующейся на нишу рынка. Но по мере увеличения масштабов бизнеса может случиться так, что компания или перерастет эту нишу и вступит в конкуренцию на новом сегменте рынка, или ниша рынка станет растущим рынком, привлекательным для других производителей. Рано или поздно конкуренция из далекой и неясной становиться низкой и зримой. Одного умения выпускать продукцию надлежащего качества и наладить регулярный менеджмент недостаточно. Нужно позаботиться о том, как превзойти в стандарты, предложенные конкурентами в области цен, издержек производства, качества, точности поставок, уровня обслуживания и т. п. Большинство российских компаний, созданных «новыми русскими» (первая модель), и бывших государственных предприятий (третья модель) независимо от масштабов бизнеса находится именно на этом уровне конкурентоспособности. Сюда же «активно опускаются» и некоторые компании из числа филиалов зарубежных фирм (вторая модель). Часть наших предприятий, применяющих «отверточную технологию» или совместно сбывающих готовые изделия,- ещё один пример предприятий второй модели, находящихся на первом уровне конкурентоспособности. Характерные черты российских предприятий первого уровня конкурентоспособности проявляются в следующем: понимание маркетинга как одной из функций управления в лучшем случае более важной, чем остальные. Отсюда и вера в безграничные возможности рекламы (особенно по телевидению) в продвижении продукта: слепая приверженность примитивной ценовой конкуренции. Считается, что достаточно снизить цену (чем больше снизить – тем лучше) и любые проблемы со сбытом «отпадут» сами собой; чуть ли не органическое неприятие исследования рынка. На таких предприятиях маркетинг воспринимается как чисто сбытовая работа. Недостаточное внимание классификации и мотивации работников, вопросам управления персоналом. Здесь, как правило, высокая текучесть кадров. При необходимости увеличить объем производства нанимается дополнительный персонал. О том, что такой подход, скорее всего, негативно отразится на качестве продукции, а значит, на её конкурентоспособности, не задумываются; непонимание роли фактора управления в целом. Вопросы совершенствования структур и систем, форм и методов управления считаются излишеством. Ставка делается на то, что было целесообразным или хорошо зарекомендовало себя в прошлом (от типа организационных структур управления до систем внутрифирменного планирования когда любой техпромфинплан просто переименовывается в бизнес- план). Доминирование в Российской Федерации (РФ) компаний первого уровня конкурентоспособности обусловлено, с одной стороны, слабостью конкуренции на внутреннем рынке из – за его не насыщенности, когда многие бывшие государственные предприятия, выпускавшие некачественную продукцию, стоят, и потребителю ничего не остается, как брать то, что завозиться из-за рубежа, тесными связями уцелевших на рынке предприятий с местными или федеральными органами власти, бюджетными деньгами. С другой стороны, оно объясняется упорством (заслуживающим лучшего применения), с которым органы государственной власти всех уровней противятся банкротству явно неконкурентоспособных предприятий (незабывая при этом стенать о недоборе налогов, как если бы кандидаты в банкроты могли бы наполнить федеральный и местные бюджеты). Все же происходит наоборот: бюджеты «тощают». Ведь в интерпретации многих менеджеров таких компаний бизнес – это, прежде всего, умение «урвать» как можно больше из госбюджета. Компании второго уровня конкурентоспособности стремятся сделать свои производственные и управленческие системы «внешне- нейтральными». Это означает, что такие предприятия должны полностью соответствовать стандартам, установленных их основными конкурентами на конкретном рынке (в отрасли или регионе). Они пытаются воспроизвести у себя то, что делают фирмы – лидеры: стремятся максимально заимствовать технические приемы, технологии, методы организации производства у ведущих предприятий отрасли, приобретать сырье и материалы, полуфабрикаты и комплектующие изделия из тех же источников, что и их главные конкуренты. Такие компании следуют тем же принципам и подходам в управлении качеством продукции и в контроле за уровнем запасов, и внутрипроизводственных заделов, устанавливают такие же по характеру отношения с работниками на своем производстве. К особенностям предприятий второго уровня конкурентоспособности в РФ относятся: превращение маркетинга в главную функцию управления. Эти компании обычно исповедают концепцию маркетинга, ориентированного на продукт. Изучение рынка для них не пустой звук, а планомерная повседневная аналитическая работа, направленная на определение тех «заветных струн» в душе потенциальных потребителей, которые можно задеть действительно эффективной рекламой; стремление стать маркетингово ориентированными фирмами, в которых все процессы планирования и развития производства базируется уже на прогнозах сбыта, составляемых при участии службы исследования рынка, более изощренные формы и методы конкуренции, где ценовая конкуренция вытесняется конкуренцией по качеству, уровня обслуживания потребителей и т.п. Такие предприятия стремятся «подтягиваться» к основным конкурентам по этим параметрам; изменение кадровой политики. Здесь руководители фирм стремятся пригласить на работу, если понадобится, управляющих и специалистов из других компаний этой же отрасли, полагаясь на их высокую квалификацию и профессиональные качества, без учета специфики конкретного предприятия или производства, ориентация на наиболее распространенные, типовые управленческие технологии (не следует путать с регулярным менеджментом), обеспечивающие успех на рынке основным конкурентам. Совершенствование организации и стимулирование труда, систем управления здесь осуществляется по принципу «разумной достаточности» (раз у конкурентов этого нет, то и нам пока не надо). Однако любая копия всегда хуже оригинала. На определенном этапе прямое заимствование переданного опыта уже не прибавляет конкурентоспособности фирме. Перед руководством таких компаний возникает вопрос если их предприятия имеют другие сравнительные преимущества в конкуренции на рынке, чем их главные соперники, то зачем им нужно обязательно придерживаться общих стандартов организации производства и управления, установившихся в отрасли? Те кто находит правильные ответы на этот вопрос, обычно «дорастают» до предприятий третьего уровня конкурентоспособности и становятся в один ряд с лидерами отраслей, а не «плетутся у них в хвосте». Отличительные черты компаний третьего уровня конкурентоспособности проявляются в следующем: в этих компаниях в центре внимания оказываются нужды и запросы потребителя, исповедуется концепция маркетинга, ориентированного на потребителя, а управление начинает активно содействовать развитию производственных систем; такие компании действительно становятся маркетингом ориентированным. Производство же в компаниях, достигнувших третьего уровня конкурентоспособности, как бы «поддерживается изнутри». На его развитие сориентированы все другие подразделения организации; в российском бизнесе компаний, действительно достигших этого уровня конкурентоспособности, считанные единицы. Поэтому главная задача для нашего менеджмента на ближайший период – подняться до третьего уровня конкурентоспособности, т.е. попытаться построить у себя управление так, как это делают лучшие компании мира; любые нововведения, изменения в области производства продукции (в ассортименте, качестве и т.п.) осуществляют здесь только тогда, когда есть уверенность в одобрении их конечными потребителями. Вместе с тем есть компании, для которых и этого оказывается недостаточно. Так, авиакомпания, обслуживающая местные авиалинии, стремиться к максимальной гибкости и оперативности в организации обслуживания пассажиров. Вероятно, для своих служб она выбирает другой тип авиалайнера, чем крупная авиакомпания, обслуживающая всю территорию страны. Это не означает, что она получит сравнительные преимущества перед мелкой авиафирмой, которая использует то же самое оборудование. В данном случае успех будет зависеть уже от того, насколько эффективно каждая из компаний использует одну и ту же технику, от того, какими сравнительными преимуществами обладает не только производственная система предприятия, но и её система управления. Иными словами, успех в конкурентной борьбе зависит не столько от производства, сколько от управления, его качества и эффективности в широком смысле. Компании третьего уровня конкурентоспособности исповедуют концепцию интегрированного маркетинга, который ориентирован на предвосхищение нужд и запросов потребителей. Другие функции управления и производственные системы совершенствуются постоянно в соответствии с требованиями маркетинга. Это может быть и организация более экономичного и быстрого перестраивающегося аппарата управления, и более высокая оперативность и гибкость в принятии решения, и лучшая мотивация работников. Эффективность производственных систем определяется не столько внутренними факторами (управленческими и в большей степени, такими как разнообразие и изощренность инструментария маркетинга, оптимальное производственное планирование или комплексное управление качеством, ориентированное на высокоиндивидуализированные и в высшей степени подвижные нужды и запросы потребителей), сколько внешними управленческими факторами (качеством организации и эффективностью системы управления). Компании, которым удалось достичь четвертого уровня конкурентоспособности, оказываются впереди конкурентов на многие годы. Они не только не стремятся копировать опыт других фирм отрасли и хотят превзойти самые жесткие из существующих стандартов. Они готовы бросить вызов любому конкуренту по всему миру в любом аспекте производства или управления. Любые изменения в управлении, организации производства, в стратегии развития осуществляются здесь с учетом результатов изучения рынка. Мало того, все функции управления оказываются непосредственно вовлеченными в процесс маркетинговых исследований или систематизацию их результатов. Все меньше маркетинговой работы сосредотачивается в специализированных подразделениях. Последние обобщают данные, интегрируют и координируют усилия других служб. Вот такие предприятия и называются предприятиями с производством мирового класса, производством постиндустриальной эры. 1.2. Факторы, влияющие на конкурентоспособность торгового предприятия. Каждое предприятие - участник рынка проводит сравнение себя с конкурентом по различным параметрам, к которым относятся и характеристики продукта. Предприятие учитывает также различия в ассортименте, в имидже предприятия, в силе маркетинга, совершенстве производства и персонала, в достигнутых результатах деятельности, в видах деятельности по формированию и расходованию ресурсов. Высокая конкурентоспособность предприятия обуславливается наличием следующих трех признаков: 1) потребители довольны и готовы купить повторно продукцию этой фирмы; 2) общество, акционеры, партнеры не имеют претензий к фирме; 3) работники гордятся своим участием в деятельности фирмы, а посторонние считают за честь трудиться в этой компании. Для того чтобы стать конкурентоспособной компанией необходимо [6]: 1. Обеспечить конкурентоспособность выпускаемой продукции в целевых сегментах рынка. Под конкурентоспособностью товара подразумевается оцененное потребителем свойство объекта превосходить в определенный момент времени по качественным и ценовым характеристикам аналоги в конкурентном сегменте рынка без ущерба для производителя. 2. Поднять потенциал конкурентоспособности предприятия, а следовательно и его подразделений, до уровня мировых производителей в данной отрасли. Этот показатель характеризует возможность успешной работы организации в будущем. Успех в текущей деятельности не гарантирует светлое будущее. Анализ конкурентоспособности промышленного предприятия предусматривает оценку возможностей конкурирующих организаций в производстве и поставке на товарный рынок продукции, которая может повлиять на снижение интереса со стороны покупателя к предприятию и его продукции. Конкурентоспособность фирмы определяется её производственным, финансово- коммерческим потенциалом, достаточным, чтобы удержать или расширить занимаемую долю рынка в условиях конкурентной борьбы. Конкурентоспособность – явление комплексное, оно включает в свою сферу и производственный, и торгово-сбытовой потенциал фирмы. Уровень конкурентоспособности зависит от наличия или отсутствия плодотворных идей и разработок, способности быстро воплотить их в жизнь, эффективности маркетинговой службы, действенности и, наконец, от её имиджа. Важную роль в обеспечении конкурентоспособности фирмы играет её интеллектуальный и научный потенциал. Одним из перспективных путей повышения конкурентоспособности является создание наукоемкой продукции за счет роста научно- технического уровня производства, внедрения методов логистики, а также сокращения времени производства и обращения, соблюдения дисциплины поставок. Поскольку для малых фирм большие вложения в НИОКР часто недоступны, им в целях выживания, на конкурентном рынке рекомендуется стратегия следования за лидером, использования возможностей франчайзинга т.п. Фирма выступающая на рынке, должна изучить свое конкурентное окружение, т.е. конкурентные силы, воздействующие на неё, которые характеризуются известной моделью движущих сил конкуренции выдающегося американского маркетолога Майкла Е, Портера. На рисунке 1изображены пять конкурентных сил, определяющих привлекательность отрасли и позиции данной фирмы и конкурентной борьбе в этой отрасли, а именно: 1. Появление новых конкурентов. 2. Угроза замены данного продукта новыми продуктами. 3. Сила позиции поставщиков. 4. Сила позиции покупателей. 5. Конкуренция среди производителей в самой отрасли [11]. Кратко рассмотрим эти конкурентные силы. При оценке угрозы появления новых конкурентов необходимо руководствоваться понятием «барьер входа в отрасль», высоту которого следует учитывать как организациям, находящимся внутри отрасли (для них чем выше барьер, тем лучше), так и организациям, которые предполагают осуществить вход в новую отрасль (для них чемм он ниже, тем лучше). Высота барьера определяется следующими факторами: 1. Экономикой масштабов. Обычно организации, впервые появившиеся на рынке, начинают деятельность по сбыту нового продукта в масштабах, существенно меньших, нежели его традиционные производители. Поэтому их производственно- сбытовые издержки выше, что обуславливает при примерном равенстве рыночных цен получение меньшей прибыли, а может быть, и убытки. 2. Привычностью марки товара. Потребители конкретных товаров ориентированы на приобретение товаров определенных марок. Новым производителям необходимо свою марку сделать популярной среди новых потребителей. Зачастую это очень сложная задача. 3. Фиксированными затратами, связанными со входом в новую отрасль (следование новым стандартам, требованиям дизайна и др.) 4.
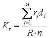
Рисунок 1. Модель движущих сил конкурентов М. Портера 5. Доступом к системе товародвижения. Традиционные производители данной отрасли могут создать барьеры для новых производителей на пути их проникновения в функционирующие сбытовые сети. В этом случае новым товаропроизводителям придется создавать свои каналы сбыта, что требует высоких затрат. 6. Доступом к отраслевой системе снабжения. В данной области существуют те же барьеры, что и в случае с системой товародвижения. 7. Отсутствием опыта производства данного вида продукта, вследствие чего себестоимость продукта в общем случае выше, чем у традиционных производителей данной отрасли. 8. Возможными ответными действиями предприятий отрасли, направленными на защиту своих интересов. Например, отказ в продаже необходимых патентов, лоббирование в правительстве и местных структурах власти своих интересов, в результате чего традиционные производители могут иметь налоговые и другие льготы, а доступ на рынок новых товаропроизводителей будет затруднен. Что касается угрозы замены данного продукта новыми продуктами, то имеется в виду производство новых продуктов, удовлетворяющих ту же потребность, но созданных на основе совершенно новых принципов. При оценке угрозы замены необходимо учитывать характеристики и цену продукта- заменителя по отношению к традиционным продуктам, цену переключения на использование нового продукта, которая может быть достаточно высокой из-за необходимости потребителям продукта- заменителя менять оборудование, переучивать кадры и др. кроме того, необходимо принимать в расчет, предрасположен ли потребитель к замене традиционно покупаемых продуктов. Сила позиции поставщиков. Она во многом определяется типом рынка, на котором действуют поставщики и предприятия отрасли. Если это рынок поставщиков, когда они диктуют свои условия предприятиям отрасли, то последние находятся в менее выигрышной позиции по сравнению со случаем, когда они доминируют на рынке (рынок потребителей). Сила позиции поставщиков определяется следующими факторами. 1. Разнообразием и высоким качеством поставляемых продуктов и поставляемых услуг. 2. Наличием возможности смены поставщиков. 3. Величиной затрат переключения потребителей на продукцию других поставщиков, обусловленных необходимостью использовать новую технологию и оборудование, решать организационные и другие вопросы. 4. Величиной объемов продукции, закупаемой у поставщиков. Большие объемы закупки сырья, материалов, комплектующих, всего необходимого для ведения производства делают поставщиков более зависимыми от предприятий, осуществляющих масштабные закупки. Сила позиции покупателей. Она, как и в предыдущем случае, во многом определяется типом рынка, на котором действуют предприятия отрасли и покупатели их продукции. Имеются в виду соответственно рынки производителя и покупателя. Сила позиции покупатлеей определяется в первую очередь следующими факторами. 1. Возможностью переключиться на использование других продуктов. 2. Затратами, связанными с этим переключением. 3. Объемом закупаемых продуктов. На уровень конкуренции внутри отрасли влияют различные факторы: · емкость рынка по каждому конкуренту; · число конкурентов; · финансовые, технологические, трудовые и другие возможности конкурентов; · объединение, слияние, сговор; · темпы роста отрасли; · увеличение цены и риска выхода из отрасли. При многообразии методов и средств конкурентной борьбы позицию предприятия определяет конкурентное преимущество. Как показывает анализ по Портеру, конкурентное преимущество может достигаться за счет более низких издержек (стратегия доминирования по издержкам), или за счет особенностей, неповторимости, уникальности товара (стратегия дифференциации). Если предприятие конкурирует на узком сегменте рынка, то может использовать сочетание стратегий. Цель модели Портера – Обеспечение оптимального управления портфелем фирмы и её финансами, причем в качестве главного фактора рассматриваются конкурентные силы рынка. Результаты анализа конкурентной среды, в которой работает предприятие, позволяет определить: · основных конкурентов; · степень конкуренции и её виды; · конкурентоспособность предприятия в настоящем и будущем; · прогноз развития предприятия на рынке. 1.3 Методика расчета эффективности мероприятий по повышению конкурентоспособности торгового предприятия. Очевидно, что определение конкурентоспособности предприятия необходимо не только и не столько для оценки количественного значения этого показателя, сколько в целях анализа конкурентоспособности рассматриваемого предприятия, выявления преимуществ и недостатков его деятельности в ходе конкурентной борьбы, закрепления первых и устранения последних. Представленная методика оценки конкурентоспособности предприятий позволяет решать указанные задачи, поскольку конкурентоспособность хозяйствующего субъекта оценивается по четко установленным количественным параметрам, что и делает возможным аналитическое разложение показателя конкурентоспособности, определение влияния каждой из аналитических единиц на формирование общего показателя конкурентоспособности предприятия. В рамках предложенной методики оценки конкурентоспособности анализ и выявление резервов повышения конкурентоспособности исследуемого предприятия может осуществляться в следующем порядке. В первую очередь производится общая оценка показателя конкурентоспособности предприятия и его динамики, на основании чего делается заключение о степени и тенденциях изменения конкурентоспособности исследуемого хозяйствующего субъекта. Далее, в соответствии с выражением (3.2.1), осуществляется оценка коэффициентов операционной эффективности и стратегического позиционирования, что позволяет сделать выводы о степени влияния на конкурентоспособность предприятия каждого из источников конкурентоспособности. Кроме того, рассматривая выражение (3.2.13), заметим, что в числителе указанного соотношения находятся показатели, отражающие эффективность хозяйственной деятельности исследуемого предприятия, а в знаменателе – эффективность хозяйственной деятельности по выборке. Действительно, ранее было показано, что конкурентоспособность предприятия есть уровень эффективности использования хозяйствующим субъектом экономических ресурсов относительно эффективности использования экономических ресурсов конкурентами. Следовательно, числитель и знаменатель выражения (3.2.13) могут рассматриваться как показатели эффективности использования экономических ресурсов исследуемым хозяйствующим субъектом и по выборке соответственно. Это позволяет нам проанализировать общий показатель конкурентоспособности предприятия в разрезе объектов сопоставления.
K0 – коэффициент эффективности хозяйственной деятельности исследуемого предприятия.
KS – коэффициент эффективности хозяйственной деятельности по выборке. Тогда показатель конкурентоспособности предприятия может быть представлен следующим образом:
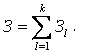
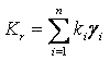
Значения коэффициента эффективности хозяйственной деятельности не поддаются строгому нормированию, однако, учитывая то, что величина каждого из сомножителей, участвующих в расчете указанного коэффициента, с точки зрения обеспечения эффективности имеет необходимое значение более единицы, можно утверждать, что необходимое значение коэффициента эффективности хозяйственной деятельности также более единицы. Разложение показателя конкурентоспособности предприятия в разрезе объектов сопоставления в сочетании с анализом динамики этих показателей позволяет сделать вывод о том, что является основной причиной сложившегося уровня конкурентоспособности: высокая эффективность рассматриваемого хозяйствующего субъекта, низкая эффективность выборки и т. д. Таким образом, анализ конкурентоспособности предприятия в разрезе источников конкурентоспособности и объектов сопоставления дает возможность выявить основные факторы, обуславливающие сложившийся уровень конкурентоспособности. Это, в свою очередь, позволяет определить базовые резервы повышения конкурентоспособности исследуемого хозяйствующего субъекта. Дальнейшим направлением анализа конкурентоспособности является разложение этого показателя по видам деятельности предприятия либо по структурным подразделениям (далее – обособленные центры деятельности), каждый из которых является обособленным центром образования затрат и соответствующей выручки предприятия. Анализ конкурентоспособности предприятия по обособленным центрам деятельности может осуществляться исходя из следующих алгебраических преобразований. Пусть предприятием осуществляется k видов деятельности (либо предприятие включает в себя k подразделений), каждый из которых является источником образования выручки предприятия. Тогда
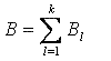
Вl – выручка l -го центра деятельности предприятия. Соответственно,
Зl – затраты l -го центра деятельности предприятия. С учетом (3.3.4) и (3.3.5) показатель операционной эффективности предприятия (3.2.2) может быть представлен в следующем виде:
rl – операционная эффективность l -го центра деятельности предприятия; dl – доля затрат l -го центра деятельности в общей сумме затрат предприятия.
Исходя из этого, коэффициент операционной эффективности (3.2.4) может быть записан так:
Rl – операционная эффективность l -го центра деятельности по выборке; Kr l – коэффициент операционной эффективности l -го центра деятельности; Yl – весовой коэффициент, определяющий влияние каждого из обособленных центров деятельности на формирование общего показателя конкурентоспособности предприятия.
Таким образом, в результате осуществленных преобразований нам удалось представить коэффициент операционной эффективности предприятия как сумму аналогичных показателей по обособленным центрам деятельности (Kr l ), скорректированных на соответствующие весовые коэффициенты (Yl ). Это, в свою очередь, позволяет оценить влияние каждого центра деятельности предприятия на формирование коэффициента операционной эффективности. С той же целью предлагается осуществить аналитическое разложение коэффициента стратегического позиционирования (3.2.10). Рассматривая соотношения (3.2.11) и (3.2.12), заметим:
αl (αl0 ) – доля выручки l -го центра деятельности в общей сумме выручки предприятия в рассматриваемом (предшествующем) периоде; Il – индекс изменения объемов выручки l -го центра деятельности предприятия. Соответственно:
Тогда:
KI l – коэффициент стратегического позиционирования l -го центра деятельности; Al – весовой коэффициент, определяющий влияние каждого центра деятельности на формирование общего показателя конкурентоспособности предприятия.
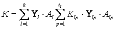
Итак, с учетом (3.2.1), (3.3.9) и (3.3.15), показатель конкурентоспособности предприятия может быть записан следующим образом:
Kl – конкурентоспособность l -го центра деятельности предприятия. В том случае, когда количество и содержание центров деятельности анализируемого предприятия и по выборке различны, при расчете конкурентоспособности по видам деятельности, не встречающимся в выборке, в качестве соответствующих величин по выборке необходимо принимать общие показатели операционной эффективности и стратегического позиционирования по выборке. По сути, это означает сопоставление того или иного обособленного центра деятельности предприятия со средними показателями предприятий-конкурентов. В этом случае
Если рассчитанный таким образом показатель конкурентоспособности анализируемого центра деятельности более единицы, то данный центр деятельности предприятия повышает конкурентоспособность предприятия в целом. Верно и обратное. Отметим, что предложенное алгебраическое разложение может быть применено и к частным показателям конкурентоспособности по любому из обособленных центров деятельности предприятия – с целью более глубокого анализа конкурентоспособности предприятия по видам деятельности. Действительно, пусть l -й центр деятельности разложим на некоторое число (tl ) элементов, каждый из которых является обособленным источником образования выручки предприятия. Аналогично приведенным выше преобразованиям получаем:
Kp , Yp , Ap – показатель конкурентоспособности и соответствующие весовые коэффициенты p -го элемента l -го центра деятельности предприятия. Тогда исходный показатель конкурентоспособности предприятия может быть записан следующим образом:
Другим направлением анализа конкурентоспособности предприятия в рамках предлагаемой методики является разложение коэффициента операционной эффективности (Kr ) в разрезе составляющих затрат. Необходимо отметить, что в этом случае в отличие от анализа конкурентоспособности предприятия по обособленным центрам деятельности, где количество и содержание центров деятельности рассматриваемого предприятия и по выборке может не совпадать, анализ конкурентоспособности по рентабельности предполагает строгое соответствие составляющих затрат рассматриваемого предприятия и по выборке. Иначе теряется всякий смысл подобного анализа. Пусть затраты на производство и реализацию продукции подразделяются на некоторое количество (n ) составляющих (по элементам затрат, по калькуляционным статьям затрат; либо, в зависимости от целей анализа, – иная классификация затрат):
Введем показатель операционной эффективности i -го элемента затрат:
Тогда рассматриваемый показатель предприятия примет вид:
Пусть имеем введенные соотношения:
di (Di ) – удельный вес i -го элемента затрат в общей сумме затрат. Отсюда
Учитывая (3.3.23) и (3.3.26), получаем:
Введем следующие переменные:
ki – относительная эффективность i -го элемента затрат;
γi – весовой коэффициент i -го элемента затрат, определяющий удельный вес относительной эффективности каждого из элементов затрат в общем коэффициенте операционной эффективности. Тогда получаем:
Предлагаемое разложение позволяет определить влияние на конкурентоспособность предприятия любой из составляющих затрат (затраты на оплату труда – эффективность использования трудовых ресурсов; материальные затраты – эффективность использования материальных ресурсов и т. д.). Отметим, что число составляющих затрат не ограничено, что позволяет добиться сколь угодно большей детализации анализа конкурентоспособности предприятия по составляющим затрат. Кроме того, предложенная методика алгебраического разложения может быть применена и к частным показателям относительной эффективности каждого из элементов затрат, что позволяет осуществлять достаточно глубокий анализ каждого из факторов конкурентоспособности предприятия. Так, предположим, что i-й элемент затрат разложим на некоторое число (mi ) составляющих. Отсюда
Рассмотренные направления анализа могут применяться в любой последовательности и в любом сочетании. Разложение по элементам затрат может быть применено к любому из частных показателей по обособленным центрам деятельности. И, наоборот, разложение по центрам деятельности может быть применено к любому из частных показателей относительной эффективности той или иной составляющей затрат. Наиболее целесообразным является разложение первоначального показателя конкурентоспособности по обособленным центрам деятельности, а затем – разложение каждого из полученных показателей конкурентоспособности по составляющим
В этом случае показатель конкурентоспособности предприятия может быть представлен в следующем виде:
Еще раз подчеркнем, что предлагаемая методика оценки и анализа конкурентоспособности допускает применение представленных ранее алгебраических разложений в любом порядке и сочетании. Иными словами, приведенная схема анализа конкурентоспособности предприятия в зависимости от целей анализа и наличия исходных данных может варьироваться. При этом очевидно, что представленные алгебраические разложения могут (и должны) применяться совместно с общеизвестными методами и приемами анализа хозяйственной деятельности. Следует отметить, что различные весовые коэффициенты, полученные в результате приведенных выше алгебраических преобразований, имеют сугубо математическое значение и необходимы в целях обоснования возможности представления исходного показателя конкурентоспособности предприятия в виде совокупности частных показателей конкурентоспособности (по обособленным центрам деятельности, по составляющим затрат). Иначе говоря, в целях экономического анализа нет необходимости в громоздких вычислениях соответствующих весовых коэффициентов, а следует лишь вычислить исходный и частные показатели конкурентоспособности предприятия. Таким образом, оценка конкурентоспособности предприятий на базе предлагаемой автором методики позволяет осуществлять сколь угодно глубокий анализ факторов, влияющих на конкурентоспособность предприятия. Указанный анализ, в свою очередь, позволяет выявить пути повышения конкурентоспособности предприятия и разработать мероприятия, направленные на достижение поставленной цели. Однако рассмотренные выше направления анализа затрагивают лишь те показатели, которые непосредственно участвуют при расчете величины конкурентоспособности предприятия, и не дают возможности проводить анализ конкурентоспособности и выявления соответствующих резервов в разрезе прочих технико-экономических показателей. Указанный недостаток преодолевается при осуществлении корреляционно-регрессионного анализа. Данный подход позволяет получить информацию о влиянии того или иного фактора на конкурентоспособность предприятия и оценить возможные изменения конкурентоспособности в результате осуществления тех или иных технико-экономических мероприятий. Суть предлагаемого метода анализа конкурентоспособности предприятия заключается в следующем. На первом этапе устанавливается перечень факторов, влияние которых на конкурентоспособность рассматриваемого хозяйствующего субъекта необходимо проанализировать. Выбор факторов определяется конкретными задачами и целями анализа. Факторами могут являться любые технические, технологические, природные, климатические, организационные, социально-демографические и другие показатели, оказывающие влияние на конкурентоспособность предприятия. Далее проводится сбор данных о величинах показателей, влияние которых на конкурентоспособность необходимо проанализировать, а также определяются значения самого показателя конкурентоспособности предприятия за соответствующие периоды. На основе имеющихся данных любым из известных способов производится построение корреляционной модели зависимости конкурентоспособности рассматриваемого хозяйствующего субъекта от анализируемых факторов. В силу того, что коэффициенты регрессии в натуральном масштабе несопоставимы, так как характеризуют влияние различных по природе факторов, для оценки степени влияния на конкурентоспособность каждой из независимых переменных следует осуществлять построение корреляционных моделей как в натуральном, так и в стандартизированном масштабе. Полученные в результате этого регрессионные уравнения и являются инструментом анализа влияния на конкурентоспособность предприятия рассматриваемых факторов. Анализ коэффициентов регрессии в уравнениях позволяет дать качественную и количественную оценку влиянию того или иного фактора на конкурентоспособность предприятия, что, в свою очередь, позволяет определить основные направления повышения конкурентоспособности предприятия. Кроме этого, полученная математическая модель позволяет осуществлять оперативное управление конкурентоспособностью предприятия. Так, если известны текущие значения показателей, включенных в математическую модель, становится возможным с определенной погрешностью спрогнозировать конкурентоспособность предприятия за соответствующий временной отрезок еще до его завершения. На основании полученных данных могут быть приняты соответствующие управленческие решения. Подобным образом может быть определено влияние тех или иных запланированных технико-экономических мероприятий на конкурентоспособность предприятия. Подставляя в полученное ранее регрессионное уравнение плановые значения соответствующих показателей после проведения указанных мероприятий, можно установить качественное и количественное влияние запланированных технико-экономических мероприятий на уровень конкурентоспособности предприятия. Результаты расчетов могут служить одним из критериев оценки целесообразности осуществления тех или иных технико-экономических мероприятий с точки зрения повышения конкурентоспособности предприятия. Особо следует отметить то, что представленные выше направления анализа конкурентоспособности должны реализовываться в сочетании с анализом состава и структуры факторов конкурентоспособности предприятия. В частности, в ходе анализа факторов конкурентоспособности было показано, что одни из них в большей степени оказывают влияние на формирование операционной эффективности, а другие – стратегического позиционирования. Исходя из этого, влияние каждого из рассматриваемых показателей на конкурентоспособность предприятия должно быть интерпретировано с учетом конкретного экономического содержания исследуемого рынка. То же самое следует отметить и в отношении коэффициентов эффективности хозяйственной деятельности исследуемого предприятия и по выборке. Иными словами, полноценный анализ конкурентоспособности предприятия не может ограничиваться только вычислением соответствующих коэффициентов, но на каждом своем этапе должен быть обогащен экономическим содержанием. В свою очередь, возможность сколь угодно глубокого аналитического разложения, а также корреляционно-регрессионного анализа показателя конкурентоспособности исследуемого хозяйствующего субъекта позволяет подтвердить либо опровергнуть предположения, сделанные на предыдущем этапе анализа. Помимо оценки и анализа конкурентоспособности предприятия представленная методика может быть применена и в целях прогнозирования этого показателя. Наиболее очевидным методом прогнозирования конкурентоспособности предприятия является прямой прогноз рассматриваемого показателя на основании его значений за ряд предшествующих периодов. Однако указанный подход базируется только на тенденциях и закономерностях динамики общего показателя конкурентоспособности предприятия за исследуемый период. В то же время показатель конкурентоспособности предприятия формируется в результате взаимодействия целого ряда параметров (см. форм. (3.2.13)), учет частных тенденций которых при данном подходе невозможен. Следствием этого является недостаточная точность прогнозирования. В целях преодоления отмеченного недостатка прогнозирование конкурентоспособности предприятия предлагается производить на основании прогноза значений каждой переменной соотношения (3.2.13). При этом, в зависимости от наличия исходных данных представленная методика оценки конкурентоспособности предприятий позволяет осуществлять прогнозирование соответствующих показателей как в целом по рассматриваемому предприятию (выборке), так и в разрезе обособленных центров деятельности. Значения параметров выражения (3.2.13) могут быть спрогнозированы посредством корреляционно-регрессионного анализа с учетом запланированных технико-экономических мероприятий, а также прочих факторов, оказывающих влияние на параметры указанного соотношения (как в отношении исследуемого предприятия, так и выборки). Далее может быть определено прогнозное значение общего показателя конкурентоспособности предприятия. Таким образом, предлагаемая методика позволяет осуществлять всесторонний анализ, а также оперативное управление и прогнозирование конкурентоспособности предприятия, что, в свою очередь, обуславливает возможность определения основных направлений повышения конкурентоспособности исследуемого хозяйствующего субъекта. Глава 2. Анализ хозяйственно – экономической деятельности ООО ТГ «Альянс». 2.1Краткая экономическая характеристика ООО ТГ «Альянс». ООО ТГ «Альянс», как юридическое лицо зарегистрировано в ИФНС РФ по налогам и сборам г. Екатеринбург, была основана в феврале 1998 года. Действует в соответствии с Гражданским кодексом Российской Федерации, Федеральным законом «Об обществах с ограниченной ответственностью, Уставом общества». Согласно Устава, Общество является юридическим лицом по законодательству РФ, является зависимым Обществом ООО ТГ «Альянс», имеет в собственности имущество, учитываемое на самостоятельном балансе. Полное наименование – Общество с ограниченной ответственностью Торговая Группа «Альянс». Место нахождения Общества: Челябинский филиал г. Челябинск, Троицкий тракт, д. 54. Основной вид деятельности предприятия – оптовая торговля упаковочными материалами. ООО ТГ «Альянс» осуществляет оптовую торговлю упаковочными материалами такими как: - Клейкие ленты типа «скотч». - Двухсторонние клейкие ленты. - Специальные и технические ленты. - Креппированные (малярные )ленты. - Стретч- пленка для упаковки поддонов (паллет). - Пищевые пленки. - Приспособления для упаковки. - Оборудования для упаковки. В состав фирмы входят: 1. Директор. 2. Отдел маркетинга и рекламы. 3. Отдел продаж. 4. Отдел операторов. 5. Отдел бухгалтерии. 6. Склад. Рассматривая маркетинговую деятельность ООО ТГ «Альянс» необходимо отметить, что на предприятии функционирует отдел маркетинга. В 2001 г. в составе предприятия был организован отдел маркетинга. В результате улучшилось продвижение товаров компании на рынок. Отдел был укомплектован в основном молодыми специалистами, маркетологами, менеджерами по продажам и по рекламе. В апреле 2005 г. в состав отдела маркетинга вошел инновационно- информационный отдел. Функции отдела маркетинга значительно увеличилось: · Реализация научно – технической политики, определяемой решениями Генерального директора; · Взаимодействие со всеми подразделениями предприятия, а также и с соответствующими внешними органами субъектов Федерации, отраслей и Министерств. Расширению деловых связей компании с предприятиями страны во многом способствует деятельность отдела маркетинга. Маркетинговые операции имеют своей целью найти рынки сбыта и обеспечить конкурентоспособность продукции. Недавно была разработано новое положение об отделе маркетинга и коммерции, согласно которому в отделе должно работать 7 человек. Однако на сегодняшний день отдел не доукомплектован специалистами, не хватает менеджера по продвижению и маркетолога- аналитика. Основные недостатки маркетинговой деятельности ООО ТГ «Альянс»: -малая численность персонала является важнейшим недостатком отдела маркетинга - в настоящее время все сотрудники отдела марктеинга трудятся над одной или несколькими проблемами, но четкого распределения обязанностей не существует. - важнейшим недостатком является и недостаточный контроль со стороны руководства за исполнением индивидуальных заданий сотрудников, что может привести к неполному выполнению заданий. - слабое планирование маркетинговой деятельности. В связи с этим функции этих сотрудников перекладываются на других работников отдела, нет четкого разграничения прав, обязанностей и ответственности между сотрудниками. Финансовое состояние предприятия, его устойчивость и стабильность зависят от результатов его производственной, коммерческой и финансовой деятельности. Если производственный и финансовый планы успешно выполняются, это положительно влияет на финансовое положение фирмы. Напротив, в результате спада производства и реализации продукции происходит повышение её себестоимости, уменьшение выручки и суммы прибыли и как следствие – ухудшение финансового состояния предприятия и его платежеспособности. 2.2 Анализ финансово-экономического состояния ООО ТГ «Альянс». Ниже представлены основные показатели финансово-хозяйственной деятельности ООО ТГ «Альянс». Таблица 1 Финансово- хозяйственные показатели.
Под затратами в данном случае понимается вся совокупность издержек предприятия: затраты, относящиеся на себестоимость продукции; коммерческие и управленческие расходы; операционные и внереализационные расходы; налоговые обязательства и прочие издержки предприятия. Соответственно к выручке также относятся доходы по всем видам деятельности организации, включая операционные, внереализационные и иные доходы. В зависимости от целей и задач оценки и анализа конкурентоспособности состав доходов и расходов предприятия может варьироваться. Относительно представленных показателей необходимо отметить, что в целом уровень и динамика основных показателей финансово-хозяйственной деятельности ООО ТГ "Альянс" руководством и собственниками предприятия оценивается положительно: с 2004 по 2007 гг. наблюдалась устойчивая тенденция к увеличению выручки от реализации продукции, сопровождавшееся соответствующим ростом чистой прибыли. Некоторое снижение выручки и прибыли в 2008-2009 гг. объясняется снижением спроса вследствие глобального финансово-экономического кризиса и, по мнению руководства предприятия, является незначительным и носит временный характер, в силу чего обеспокоенности не вызывает. В целях оценки конкурентоспособности предприятия нам требуются аналогичные показатели конкурента ООО «Экстрейч». Таблица 2. Финансово- хозяйственные показатели ООО «Экстрейч»
Следует произвести расчет показателей конкурентоспособности с разбивкой по временным интервалам (результаты расчетов представлены ниже). Таблица 3. Расчет показателей конкурентоспособности.
Как следует из представленных данных, уровень конкурентоспособности ООО ТГ "Альянс" в 2009 г. составил 0,848 , что свидетельствует о низком уровне конкурентоспособности исследуемого хозяйствующего субъекта в сопоставлении с ООО "Экстрейч". При этом показатель конкурентоспособности значительно ниже единицы, что говорит о серьезных проблемах ООО ТГ "Альянса" с точки зрения обеспечения его конкурентоспособности в сопоставлении с конкурентом. Более того, динамика рассматриваемого показателя позволяет сделать вывод о том, что конкурентоспособность исследуемого предприятия приобрела явно выраженную негативную тенденцию еще до финансово-экономического кризиса. Если в 2006 г. рассматриваемый показатель составлял 1,040 , то в 2007 г. он снизился до 0,927. Снижение продолжилось в 2008 и 2009 гг., что и привело к столь низкому уровню конкурентоспособности исследуемого предприятия в настоящее время. Общее снижение уровня конкурентоспособности за указанный период составило18,4%.
Рисунок 1. Динамика конкурентоспособности ООО ТГ «Альянс». Таким образом, конкурентоспособность ООО ТГ "Альянс" может быть охарактеризована как весьма низкая и имеющая тенденцию к снижению, что обуславливает острую необходимость разработки и внедрения мероприятий по повышению конкурентоспособности исследуемого хозяйствующего субъекта. Позволим себе заметить, что сделанные выводы принципиально отличны от оценки деятельности ООО ТГ "Альянс" его руководством и собственниками. В этом контексте иначе следует оценивать и некоторое ухудшение показателей выручки и чистой прибыли, произошедшее в 2008-2009 гг.: отмеченное скорее является следствием тенденции к снижению конкурентоспособности предприятия, наметившейся еще в 2007 г., чем проявлением последствий глобального финансово-экономического кризиса 2008 г. В этой связи актуальность разработки мероприятий по повышению конкурентоспособности предприятия многократно возрастает. Становится очевидным, что анализ показателей финансово-хозяйственной деятельности предприятия в сопоставлении с аналогичными показателями конкурентов (а не обособленно) позволяет оценить его деятельность в совсем ином свете. Для выявления причин столь низкого уровня конкурентоспособности ООО ТГ "Альянс" предлагается осуществить анализ конкурентоспособности в разрезе источников конкурентоспособности и объектов сопоставления . В первую очередь произведем декомпозицию показателя конкурентоспособности ООО ТГ «Альянс» по источникам (показатели Kr
– операционная эффективность и KI
– стратегическое позиционирование).
Рисунок 2. Динамика конкурентоспособности. Результаты расчетов показывают, что низкий уровень конкурентоспособности, сложившийся в 2009 г., в равной степени определяется низкими показателями операционной эффективности и стратегического позиционирования: оба коэффициента, характеризующие влияние источников конкурентоспособности на формирование общего уровня конкурентоспособности Исследуемого предприятия, ниже единицы. Так, значение коэффициента операционной эффективности в 2009 г. составило 0,906; стратегического позиционирования – 0,936. При этом обращает на себя внимание низкий уровень коэффициента операционной эффективности по отношению к коэффициенту стратегического позиционирования. Отсюда следует, что низкая конкурентоспособность ООО ТГ "Альянс" является результатом низкой (относительно конкурента) эффективности производства (в первую очередь), а также неудовлетворительного рыночного позиционирования. Анализ динамики коэффициентов операционной эффективности и стратегического позиционирования позволяет констатировать, что в период с 2006 по 2009 гг. коэффициент операционной эффективности снизился с 1,005 до 0,906 (на 9,8 %), коэффициент стратегического позиционирования снизился с 1,035 до 0,970 (на 9,6 %). Таким образом, отрицательная динамика уровня конкурентоспособности ООО ТГ "Альянс", наблюдающееся с 2007 г., обусловлена снижением показателей по обоим источникам конкурентоспособности. Перейдем к анализу конкурентоспособности в разрезе объектов сопоставления. Как было показано ранее, показатель конкурентоспособности предприятия может быть представлен не только как суперпозиция источников конкурентоспособности, но и как соотношение коэффициентов эффективности хозяйственной деятельности (показатели K0 – коэффициент эффективности хозяйственной деятельности исследуемго предприятия и KS – коэффициент эффективности хозяйственной деятельности конкурента). Здесь следует напомнить, что значение указанных коэффициентов ниже единицы означает, как правило, убыточность хозяйственной деятельности либо существенное падение объема выручки. Напротив, чем более коэффициент эффективности хозяйственной деятельности превышает единицу, тем выше рентабельность предприятия и лучше динамика продаж. Таким образом, декомпозиция коэффициента конкурентоспособности предприятия в разрезе объектов сопоставления позволяет локализовать факторы динамики конкурентоспособности предприятия с точки зрения места их возникновения: анализируемый хозяйствующий субъект либо конкуренты.
Рисунок 3. Динамика конкурентоспособности в разрезе объектов сопоставления. Оценка коэффициентов эффективности хозяйственной деятельности позволяет сделать вывод о том, что низкий уровень конкурентоспособности ООО ТГ "Альянс" в 2009 г. обусловлен весьма низкой эффективностью его хозяйственной деятельности. Так значение указанного показателя в 2009 г. лишь немного превышает единицу и составляет 1,020. Относительно ООО "Экстрейч" отметим, что соответствующий показатель находится на приемлемом уровне и составляет 1,203. Анализ динамики рассматриваемых коэффициентов показывает, что снижение конкурентоспособности ООО ТГ «Альянс» в 2007-2009 гг. обусловлено существенным снижением коэффициента эффективности его хозяйственной деятельности (на 16,0 % относительно уровня 2006 г.) при относительно высокой и стабильной эффективности хозяйственной деятельности конкурента (за указанный период отмечается незначительное увеличение на 3,0 %). Заметим, что если вышеотмеченная тенденция продолжится, то в ближайшее время коэффициент эффективности хозяйственной деятельности ООО ТГ "Альянс" снизится до значений ниже единицы. Тогда речь пойдет уже не о повышении конкурентоспособности, а о санации ООО ТГ «Альянс». В целях выявления причин отмеченного, далее предлагается произвести факторный анализ динамики конкурентоспособности ООО ТГ «Альянс» в разрезе показателей хозяйственной деятельности. В качестве математической модели при этом принимаем выражение (3.2.13). Осуществление факторного анализа с использованием указанного выражения позволит количественно оценить степень влияния динамики операционной эффективности и объемов продаж (как ООО ТГ «Альянс», так и ООО «Экстрейч») на динамику итогового показателя конкурентоспособности. В качестве методической основы факторного анализа используем так называемый индексный метод. Выражение (3.2.13) представляет собой мультипликативную комбинацию показателей операционной эффективности и динамики объемов продаж. Следовательно, агрегированный индекс изменения конкурентоспособности предприятия может быть представлен как соответствующая комбинация частных индексов изменения факторов модели. Таким образом, степень влияния любого из показателей хозяйственной деятельности исследуемого предприятия и конкурента на результативный показатель конкурентоспособности может быть оценена через величину соответствующего индекса изменения (темпа роста). При этом, для характеристики не только степени, но и направленности искомого влияния факторов модели, результатам расчетов следует придать знакопеременный характер, для чего темпы роста необходимо трансформировать в темпы прироста. Также отметим, что рост показателей, находящихся в знаменателе выражения (3.2.13) (показатели конкурента) будет вызывать снижение уровня конкурентоспособности исследуемого предприятия. Следовательно, влияние показателей хозяйственной деятельности ООО «Экстрейч» характеризуется величиной, обратной темпам роста (прироста) соответствующих переменных. Максимальное значение уровня конкурентоспособности ООО ТГ "Альянс" наблюдается в 2006 г. Принимаем, указанный год за базу сравнения и осуществляем сопоставление текущих показателей хозяйственной деятельности (r и I )с базисными (сами показатели ужу были рассчитаны ранее, в ходе первоначальных расчетов). Для показателей ООО «Экстрейч» (R и IS ), которые, как было показано выше, имеют обратный характер влияния на конкурентоспособность ООО ТГ «Альянс», определяются "обратные" темпы прироста, т. е. величины 2006 г. сопоставляются с базисными, в качестве которых принимаются текущие значения. Результаты расчетов представлены в таблице 4. Для наглядности результаты расчетов отображаем в виде диаграммы. Таблица 4. Результаты расчетов.
* Для отмеченных показателей определяются "обратные" темпы прироста
Рисунок 4. Степень влияния факторов на динамику конкурентоспособности ООО ТГ «Альянс». Результаты факторного анализа позволяют констатировать, что снижение уровня конкурентоспособности ООО ТГ «Альянс» (на 18,4 %) в равной степени обусловлено как спадом его операционной эффективности (на 8,0 %), так и отрицательной динамикой объемов продаж (на 8,7 %). При этом изменение показателей хозяйственной деятельности ООО «Экстрейч» оказало незначительное влияние (-1,9 и -1,0 % соответственно). Итак, подведем предварительные итоги. Конкурентоспособность ООО ТГ "Альянс" в сопоставлении с ООО "Экстрейч" может быть охарактеризована как весьма низкая и имеющая ярко выраженную тенденцию к снижению. Падение уровня конкурентоспособности ООО ТГ «Альянс» в период с 2007 по 2009 гг. является следствием отрицательной динамики по обоим источникам конкурентоспособности. При этом, особую обеспокоенность вызывает крайне низкий уровень операционной эффективности ООО ТГ "Альянс". Также в ходе анализа установлено, что низкий уровень конкурентоспособности ООО ТГ «Альянс» вызван не столько достижениями ООО «Экстрейч», сколько неудовлетворительными и постоянно ухудшающимися результатами ООО ТГ "Альянс". Сформулированные выводы обуславливают острую необходимость разработки и реализации мероприятий по повышению конкурентоспособности исследуемого хозяйствующего субъекта. При этом, результаты факторного анализа свидетельствуют о том, что указанные мероприятия должны иметь целью как повышение эффективности хозяйственной деятельности, так и обеспечение положительной и устойчивой динамики объемов производства и реализации продукции. На первый взгляд выводы весьма банальные. Казалось бы: для того, чтобы утверждать необходимость производить и продавать больше и делать это с большей прибылью, нет надобности в проведении каких-либо расчетов, эти истины самоочевидны. Отнюдь. Как упоминалось ранее, руководство ООО ТГ "Альянс" оценивает положение дел предприятия как удовлетворительное, а некоторое ухудшение показателей финансово-хозяйственной деятельности списывается на макроэкономические и конъюнктурные причины и рассматривается как временное явление. Однако, результаты расчетов показывают, что это не так. Осуществление оценки и анализа конкурентоспособности ООО ТГ «Альянс» по предлагаемой авторами методике позволяет с очевидностью доказать, что снижение уровня конкурентоспособности ООО ТГ "Альянс" началось задолго до мирового финансово-экономического кризиса. Более того, ухудшение основных технико-экономических показателей ООО «Экстрейч» в период кризиса не наблюдается. Таким образом, кризис лишь обнажил серьезные проблемы конкурентоспособности ООО ТГ "Альянс". Не секрет, что зачастую руководство считает достаточным существующий уровень динамики продаж и рентабельности (а в ряде случаев – отсутствие падения и минимальную прибыль), и не видит острой необходимости в каких-либо дополнительных усилиях в этом направлении. Естественно, что в большинстве случаев удовлетворенность текущим положением дел обосновывается всевозможными "фундаментальными" причинами и "макроэкономическими" обстоятельствами. Всё познается в сравнении. Осознание того, что ближайшие конкуренты в тех же самых "неблагоприятных" и "макроэкономических" условиях растут значительно большими темпами, обеспечивая при этом высокую рентабельность производства и реализации продукции, может кардинально изменить ситуацию. Именно с этой целью и производится оценка конкурентоспособности предприятия: дать собственникам и руководству адекватную оценку результатов финансово-хозяйственной деятельности в сопоставлении с основными конкурентами. Можно предположить, что негативной оценка конкурентоспособности ООО ТГ «Альянс» является только относительно ООО «Экстрейч». Действительно, в силу ряда причин результаты финансово-хозяйственной деятельности отдельного предприятия могут быть существенно выше отраслевых. В этом случае уровень конкурентоспособности ООО ТГ "Альянс" в сравнении с отраслевыми величинами может оказаться не столь низким. 2.3Анализ конкурентных позиций ООО ТГ «Альянс». Конкурентоспособность предприятия определяется его потенциалом, достаточным, чтобы удержать или расширить занимаемую им долю рынка в условиях конкурентной борьбы. Без этого не может быть понятным, в состоянии ли предприятие выполнить те задачи, которые вытекают из глобальных стратегических целей. Объективность и сопоставление с возможностями конкурирующей фирмы – непременное условие анализа собственного потенциала. Если некритически подойти к оценке своих возможностей, завысив их, то на рынке можно неожиданно столкнуться с более сильным противником и не быть подготовленным к активной оборонной стратегии. Такая ошибка, переоценка собственных сил и недооценка противника, может очень дорого обойтись предприятию. При изучении фирм- конкурентов особое внимание уделяется вопросам исследования специфики их маркетинговой и коммерческой работы при параллельном сопоставлении с возможностями и особенностями собственного предприятия, а именно: методике изучения рынков; товарной политике, включая технологию разработки новых товаров, составления оптимального ассортимента; ценовой политике; организации каналов товародвижения; рекламе и средствам стимулирования сбыта; кадровой политике; методам ведения переговоров; особенностям контрактов и др. Для анализа ООО ТГ «Альянс» были выбраны наиболее мощные конкуренты в финансовом отношении, выпускающие схожий ассортимент продукции, а также выполняющие ремонты оборудования. Эти предприятия определяют характер конкурентной борьбы и имеют явные конкурентные преимущества. -ООО Экстрейч -ООО Гофра- Пак -ООО Драккар -ООО Кварт-сервис -ООО Леопак Абсолютная сила бизнеса (конкурентоспособность) – взвешенная оценка позиций предприятия по списку параметров конкурентоспособности, выполненная по обычным правилам линейной свертки (оценки умножаются на веса и суммируются). Затем необходимо рассчитать относительную силу бизнеса (конкурентоспособности) – отношение абсолютной силы бизнеса нашего предприятия к показателю абсолютной силы бизнеса каждого конкурента. Данный показатель выражается в коэффициентах (в этом случае относительная сила бизнеса на сильнейшем рынке равна 1). Итак, результаты экспертной оценки по определенным критериям нашего предприятия и его конкурентов представлены в таблице Таблица 5 – Результаты анализа конкурентов
Рассчитываем относительную конкурентоспособность нашего предприятии по отношению к 1 конкуренту : 55,8/62,4=0,89. Коэффициент меньше 1, следовательно, наше предприятие менее конкурентоспособно по отношению к Экстрейч вследствие более низкого имиджа, доли рынка, уровня качества продукции, уровня цен и т.д. Рассчитываем относительную конкурентоспособность нашего предприятия по отношению ко 2 конкуренту: 55,8/48,5=1,15. Коэффициент больше 1, следовательно, наше предприятие более конкурентоспособно по отношению к ООО «Гофра- Пак» в виду более высоких оценок экспертов по следующим параметрам: уровень качества продукции, ассортимент, уровень обслуживания, система распределения, коммерческие результаты на выставках и т.д. Рассчитываем относительную конкурентоспособность нашего предприятия по отношению к 3 конкуренту: 55,8/55,3= 1,01. Коэффициент больше 1, следовательно, наше предприятие более конкурентоспособно по отношению к ООО «Драккар», так как занимает более выгодное положение по следующим параметрам: сроки поставки, система распределения, методы стимулирования сбыта и т.д. Рассчитываем относительную конкурентоспособность нашего предприятия по отношению к 4 конкуренту: 55,8/49,5=1,13. Коэффициент больше 1, следовательно, наше предприятие более конкурентоспособно по отношению к ООО «Кварт-сервис», так как имеет преимущество по таким параметрам, как : методы стимулирования сбыта, уровень качества продукции, доля рынка. Рассчитываем относительную конкурентоспособность нашего предприятия по отношению к 5 конкуренту: 55,8/68,7=0,81. Коэффициент меньше 1, следовательно, наше предприятие менее конкурентоспособно по отношению к ООО «Леопак», так как отстает по следующим параметрам конкурентоспособности: имидж фирмы, доля рынка, уровень качества продукции, система распределения. Глава 3. Разработка рекомендаций по повышению конкурентоспособности ООО ТГ «Альянс». 3.1 Краткое описание предложенных мероприятий в ООО ТГ «Альянс». |
|||||||||||||||||||||||||||||||||||||||||||||||||||||||||||||||||||||||||||||||||||||||||||||||||||||||||||||||||||||||||||||||||||||||||||||||||||||||||||||||||||||||||||||||||||||||||||||||||||||||||||||||||||||||||||||||||||||||||||||||||||||||||||||||||||||
где 



(3.3.3)
(3.3.4)
(3.3.5)
(3.3.6)
(3.3.7)
(3.3.8)
(3.3.9)
(3.3.10)
(3.3.11)
(3.3.12)
(3.3.13)
(3.3.14)
(3.3.15)
(3.3.16)
(3.3.17)
(3.3.19)
(3.3.20)
(3.3.21)
(3.3.22)
(3.3.23)
(3.3.24)
(3.3.25)
(3.3.26)
(3.3.27)
(3.3.28)
(3.3.29)
(3.3.30)
(3.3.32)
(3.3.33)
(3.3.34)
(3.3.35)
(3.3.36)


