Курсовая работа: Расчет коэффициента ассиметрии при рассеянии релятивистских частиц на кулоновском потенциале
|
Название: Расчет коэффициента ассиметрии при рассеянии релятивистских частиц на кулоновском потенциале Раздел: Рефераты по физике Тип: курсовая работа | |||||||||||||||||||||||||||||||||||||||||||||||||||||||||||||||||||||||||||||||||||||||||||||||||||||||||||||||||||||||||||||||||||||||||||||||||||||||||||||||||||||||||||||||||||||||||||||||||||||||||||||||||||||||||||||||||||||||||||||||||||||||||||||||||||||||||||||||||||||||||||||||||||||||||||||||||||||||||||||||||||||||||||||||||||||||||||||||||||||||||||||||||||||||||||||||||||||||||||||||||||||||||||||||||||||||||||||||||||||||||||||||||||||||||||||||||||||||||||||||||||||||||||||||||||||||||||||||||||||||||||||||||||||||||||||||||||||||||||||||||||||||||||||||||||||||||||||||||||||||||||||||||||||||||||||||||||||||||||||||||||||||||||||||||||||||||||||||||||||||||||||||||||||||||||||||||||||||||||||||||||||||||||||||||||||||||||||||||||||||||||||||||||||||||||||||||||||||||||||||||||||||||||||||||||||||||||||||||||||||||||||||||||||||||||||||||||||||||||||||||||||||||||||||||||||||||||||||||||||||||||||||||||||||||||||||||||||||||||||||||||||||||||||||||||||||||||||||||||||||
Министерство образования Республики Беларусь Учреждение образования «Брестский государственный университет имени А.С. Пушкина» Кафедра теоретической физики КУРСОВАЯ РАБОТА по физике Расчет коэффициента ассиметрии при рассеянии релятивистских частиц на кулоновском потенциале Выполнил Студент физического факультета Группы Научный руководитель Брест, 2010 Содержание Введение 1. Дифференциальное сечение 2. Поляризация 3. Случай Кулоновского поля 4. Эксперименты, подтверждающие теорию Мотта 5. Экспериментальная работа Шермана 6. Практическая часть Заключение Список используемой литературы Введение Объект исследования – электронный пучок, рассеивающийся на мишень. Цель работы – вычисление коэффициента ассиметрии, функции Шермана и дифференциального сечения при рассеянии релятивистских частиц на кулоновском потенциале. Рассеяние частиц – изменение направления движения частиц в результате столкновений с другими частицами. Количественно рассеяние характеризуется эффективным или дифференциальным сечением рассеяния. Все началось с того, что Резерфорд установил при помощи рассеяния альфа-частиц на золотой фольге строение атома и получил формулу для расчета дифференциального сечения рассеяния в классической релятивисткой механике, которая является функцией от Моттом было показано, что при рассеянии релятивистских неполяризованных электронов происходит частичная поляризация, а при рассеянии частично поляризованных электронов возникает азимутальная асимметрия, т.е. зависимость интенсивности рассеяния частично-поляризованного пучка от угла Эти формулы были получены Моттом [6]. Их особенность заключается в том, что для нахождения численных значений дифференциальных сечений и степени ассиметрии используются не функции, а ряды. Они были получены путем решения уравнений Дирака. Вонг также получил решение уравнений Дирака, которое отличалось от соотношений, полученных Моттом, значениями коэффициентов Dk . Вонг пришел к выводу, что асимптотическое аналитическое выражение для сечения рассеяния в приближении малых α совпадает с аналитическим выражением для сечения Мотта в том же приближении [5,6]. Однако ни Мотт ни Вонг численно суммирования не проводили, а лишь находили различные приближения для рядов [5,6]. Численные подсчеты функции S (θ) по формулам Мотта были выполнены Шерманом. Данная функция, называемая функцией Шермана, используется в детекторах Мотта, которые в настоящее время являются основным средством для анализа поляризации электронов. В данной работе мы рассчитали функцию Шермана по формулам Мотта и сравнили ее с значениями приведенными Шерманом. В ходе этого обнаружилось, что при малых углах и скоростях мы получаем расхождение с Шерманом, а при больших углах наблюдается хорошее согласие. Также в данной работе мы сравнили экспериментальные значения S
(θ)
при рассеянии электронов золотом с энергиями в диапазоне от 45 до 245 кэВ на угол Уверенно утверждать, что метод Вонга больше соответствует действительности, мы пока не можем, так как был рассмотрен слишком маленький экспериментальный материал. Проблема требует дальнейших исследований. 1. ДИФФЕРЕНЦИАЛЬНОЕ СЕЧЕНИЕ Выясним теперь, как должны быть изменены соотношения, полученные для расчета интенсивности рассеяния, когда движение рассматриваемых частиц описывается не уравнением Шредингера, а уравнениями Дирака [6]. Волновая функция
Дифференциальное сечение I( I( Величины
Отсюда независимо от ориентации спина. Аналогичное соотношение существует между значениями I( В действительности падающий электронный пучок обычно неполяризован. Такой пучок можно рассматривать как пучок, образованный равным числом электронов с параллельными и с антипараллельными ориентациямп спинов по отношению к направлению распространения. Сначала мы исследуем рассеяние в этих двух частных случаях. Асимптотическая форма функций
Формулы (А) относятся к электронам со спинами, параллельными направлению падения пучка, а формулы (В) — к электронам со спинами, антипараллельными этому направлению. Для определения функций f 1 , f 2 , g 1 , g 2 можно воспользоваться решениями уравнений (9.10), найденными Дарвином для того случая, когда скалярный потенциал V зависит только от r , а векторный потенциал равен нулю. Дарвин получил следующие группы решений:
где
AG- l -1 решение аналогичной пары уравнений, получаемой путем замены lна –l-1. Исключая функцию Fl находим
Где
Подстановка
приводит к уравнению, имеющему вид уравнения Шредингера [см. формулу (2.12)]
Где
Аналогичный результат получается также и для функции Первые два члена выражения (9.23), определяющего Ul (r), не зависят от спина электрона и являются типичными для уравнения Клейна-Гордона, описывающего бесспиновую частицу. Остальные члены связаны со спин-орбитальным взаимодействием и зависят не только от потенциала, но также и от силы и ее радиальной производной. Отсюда следует, что собственные решения
так как значение l(l+1) остается неизменным при замене l на – l -1 . С помощью решений (9.19) (А) можно получить функции
Это дает
Сопоставляя полученные формулы с выражением (2.1), легко убедиться в том, что не релятивистский случай соответствует условию В случае антипараллельных спинов [решения (В)] аналогичным образом находим
И
Где
В общем случае произвольного исходного направления спинов, когда падающая волна описывается функциями
линейная комбинация найденных выше решений дает u3
=Af-Bge-i u4
=Bf+Age-i так что
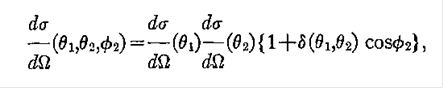
2. ПОЛЯРИЗАЦИЯ Из выражения (9.28) следует, что рассеяние частично поляризованного пучка зависит не только от угла
затем на мишень С. Этот рассеянный пучок частично поляризован в результате рассеяния на мишени В, так как рассеивающее поле оказывает различное влияние па электроны с параллельными и антипараллельными спинами. Электронные пучки, испытавшие вторичное рассеяние в направлениях СDч СЕ под одним и тем же углом Подробная теория такого двойного рассеяния впервые была разработана Моттом [11]. Падающий неполяризованный пучок мы, как всегда, будем считать состоящим из равного количества электронов со спинами, параллельными и антипараллельными направлению падения пучка [6]. Для электронов падающего пучка, обладающих антипараллельными спинами,
После первичного рассеяния на угол
(член еikz
и постоянный множитель здесь опущены). Подставляя эти функции в выражение (9.28) вместо А и В, получаем интенсивность |
u
3
|2
+|
u
4
|2
вторичного рассеяния. Вычисления производятся точно таким же образом и тогда, когда электроны падающего пучка обладают спинами, параллельными направлению падения. Складывая полученные значения интенсивности,находим интенсивность рассеяния в направлении (
Где
Из этой формулы видно, что при данных значениях 1+ где
Зависимость этого множителя от угла
При В общем случае при малых значениях
Где
Фазы 3. СЛУЧАИ КУЛОНОВСКОГО ПОЛЯ Рассмотрим теперь рассеяние быстрых электронов неэкранированным атомным ядром с зарядом Z е , когда V =- Ze / r Как и в нерелятивистском случае, исследованном в гл. 3, медленное убывание этого потенциала с расстоянием вызывает изменение асимптотической формы функций
Где Уравнения (9.20), определяющие функции
Записывая
Имеем
Где Разлагая
Находим, что регулярные решения могут быть представлены в виде
Где
Это дает
Где
Где Постоянная
Записывая
И подставляя (9.42) и соответствующее выражение для ехр(2
i
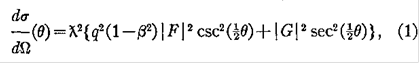
Следовательно, дифференциальное сечение равно |
f
|2+|
g
|2
= Функции F и G не могут быть получены в конечной форме; при рассеянии легкими элементами они могут быть,однако, разложены в ряд по степеням В предельном случае
Где R
=
Разлагая F и G в ряд по степеням F
=
F
0
+ G
=
G
0
+ Воспользовавшись формулой (9.45) при
ПосколькуF
иGдолжны зависеть от
Эта формула справедлива для всех значений v
при условии, что величина Следовательно, в рассматриваемом приближении формула Резерфорда должна быть умножена на выражение
Первый множитель учитывает лоренцево сжатие, второй связан с наличием спина. Поскольку в этом приближении как f, так и g вещественны (если опустить общий фазовый множитель
При v / c =0,81 эта функция приобретает минимальное значение, равное 0,2(Z/137)2 . Дифференциальное сечение (9.17), вычисленное в том же приближении, содержит множитель [13,14]
Вместо множителя
В случае рассеяния тяжелыми элементами отношение Z/137уже не является малым, и приближенные формулы (9.47),(9.48) перестают быть справедливыми. Мотт впервые определил численные значения дифференциальных сечений и степени асимметрии с помощью точных формул (9.45). В 1932 г. он вычислил
С тех пор было проведено много дальнейших расчетов; в настоящее время имеются таблицы дифференциальных сечений для рассеяния электронов ядерными кулоновскими полями в широком интервале значений углов и энергии. Так, например, Доггет и Спенсер [15] протабулировали значения
Фактически Параметр ассиметрии еще называют функцией Шермана, так как этот параметр был числено подсчитан Шерманом. Параметр
Рис. 38 иллюстрирует зависимость сечений однократного рассеяния от угла и энергии для рассеяния ртутью (Z=80). По оси ординат отложено отношение r найденной интенсивности рассеяния к интенсивности рассеяния, определяемой формулой Резерфорда
Учитывающей зависимость массы от скорости. В случае тяжелых элементов приближенное значение r
фигурирующее в формуле (9.47), становится очень неточным.
Зависимость степени асимметрии
Рис. 40. Зависимость степени асимметрии На рис. 40 представлена зависимость 4. ЭКСПЕРИМЕНТЫ, ПОДТВЕРЖДАЮЩИЕ ТЕОРИЮ Хотя первые эксперименты по проверке предсказаний теории рассеяния быстрых электронов, принадлежащей Мотту, находились в резком противоречии с ней, теперь очевидно, что эта теория хорошо согласуется с результатами наблюдений. Следует, однако, учитывать, что мы имеем дело со столкновениями электронов с ядрами при таких энергиях, когда структура ядра не должна влиять на результаты опытов. Результаты наблюдений, проведенных до 1942 г., обзор которых сделан в работе Урбана [20], дают очень нечеткую картину. Однако вскоре после воины, Ван дер Грааф и сотр. [21, 22] выполнили эксперименты с электронами в области энергий от 1,27 до 2,27 Мэв и углов рассеяния от 20 до 50°, обнаружившие хорошее согласие с теорией. Опыты в более широком диапазоне углов проводились Байярдом и Интема [23] также с использованием генератора Ван дер Граафа. В табл. 9.1 приведены некоторые из полученных ими результатов, относящиеся к рассеянию электронов с энергией 1 Мэв на алюминии и золоте, которые сравниваются с вычисленными значениями. Как видно из таблицы, согласие является очень хорошим, так что нет основания сомневаться в справедливости теории для рассматриваемого интервала энергий. Сравнение теоретических и экспериментальных значений дифференциального сечения рассеяния электронов с энергией 1 Мэв на алюминии и золоте
Был предпринят ряд попыток обнаружить на опыте предсказываемый теорией эффект асимметрии при двойном рассеянии электронов ядрами золота. Вплоть до появления работы Шелла, Чейза и Майерса [35] эти попытки оставались, однако, безуспешными. Для того чтобы можно было обнаружить эффект асимметрии, существенно, конечно, устранить деполяризующее влияние многократного рассеяния. Золотая фольга, использовавшаяся в опытах Даймонда [32] и Рихтера [33] в качестве источника рассеяния, была достаточно тонкой, для того чтобы можно было пренебречь многократным рассеянием электронов, приводящим к ряду отклонений на малые углы; однако вероятность отклонения на 90° в результате двух последовательных отклонений сравнимой величины, по-видимому, не была при этом достаточно малой.
Отклонение на 90° становится заметным [36—38] только тогда, когда электроны рассеиваются «отражающей» стороной фольги (рис. 41, а). В этом случае электрон, испытавший отклонение на 45°, движется в фольге почти параллельно ее слою, и, следовательно, вероятность того, что он испытает вторичное отклонение на 45°, значительна. С другой стороны, в случае «прохождения» (фиг. 41, б) либо первичное, либо вторичное отклонение электрона должно составлять 135° и поэтому гораздо менее вероятно. Как Даймонд [32], так и Рихтер [33] наблюдали рассеяние электронов на 90° от отражающих поверхностей фольги при таких условиях, когда эффект должен был бы играть существенную роль. Исследования Шелла, Чейза и Майерса подтвердили отсутствие заметной асимметрии при аналогичных условиях опыта; для пучка электронов с энергией 400 кэвэти авторы получили, однако, значение 200 Наиболее точные измерения коэффициента асимметрии сейчас принадлежат Спиваку и др. [39]. Они измеряли асимметрию при рассеянии электронов с энергиями от 45 до 245 кэв, золотом при углах Сравнение экспериментальных и теоретических значений параметра асимметрии
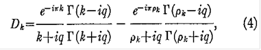
Согласие можно считать хорошим, особенно в случае высоких энергий. Некоторое несоответствие, увеличивающееся с уменьшением энергии, возможно, отчасти связано с тем, что при вычислениях трудно учесть экранирование. В качестве других опытов, которые очень хорошо согласуются с теорией, следует упомянуть наблюдения, проведенные Петтусом [40] и Нельсоном и Пиддом [41]. 5.ЭКСПЕРИМЕНАЛЬНАЯ РАБОТА ШЕРМАНА Теория электронов Дирака была применена Moттом к рассеянию электронов ядрами, чтобы исследовать возможные эффекты поляризации в двойных экспериментах рассеяния. Теоретические результаты для ожидаемой поляризации и для дифференциальных поперечных сечений рассеяния медленно вовлекают в условно сходящиеся ряды, которые не поддаются легкому вычислению. Moтт вычислил результаты для золота (Z=79) в 90 градусах. Барлет и Ватсон суммировали ряд в цифровой форме для ртутных ядер (Z=80) по диапазону углов и энергий. Позже, другие исследователи выполнили числовые вычисления. В работе Шермана ряд Moтта, поляризация, и дифференциальное поперечное сечение рассеяния оценены для рассеяния электронов ядрами заряда Z=80, 48, и 13, в энергиях, данных отношением электронной скорости, чтобы осветить скорость, Формулы, которыми пользовался в своих расчетах Шерман, имеют следующий вид: Отличительное поперечное сечение для неполяризованного луча электронов, рассеянных через угол
Где
где
Где
где Г- гамма функция, и
где Отношения гамма функций, которые появляются в формуле (4) были оценены при использовании отношений рекурсии для гамма функций и приближения Стерлинга следующим образом:
В последнем уравнении x обращается или к k или к pk в формуле (4). [Отношение гамма функции, которое появляется на определении Fo , может быть записано
где С этими приближениями были оценены Dk . Эти условия были вставлены в (3) и ряд, Fi и Gi были определены в численной форме. Так как эти ряды являются условно сходящимися и сходятся очень медленно, использовались два преобразования. Сначала "сокращенный" ряд Yennie, Ravenhall, и Wilson8 использовался, чтобы улучшить конвергенцию под маленькими углами. Это преобразование может быть применено к любому ряду полиномов Лежандра, данных
где
или
Где
Ряды для F 1 и G 1 были "сокращены" в этой манере с m=3. Второе преобразование было применено к сокращенному ряду. Это - известное преобразование Эйлера, которое является соответствующим для этих рядов. Это преобразование дано
Где Данные полученные Шерманом Z =80
Z = 4 8
Z= 13
[3]. В данной работе мы рассчитали функцию Шермана S (θ) по формулам Мотта и сравнили ее с значениями приведенными Шерманом [3]. В ходе этого обнаружилось, что при малых углах и скоростях мы получаем расхождение с Шерманом, а при больших углах наблюдается хорошее согласие. Z=80
Z=48
Z=13
Также мы рассчитали функцию Шермана по формулам Вонга, которые он получил путем решения уравнений Дирака [5]. Они отличались от соотношений, полученных Моттом, значениями коэффициентов Dk . Вонг пришел к выводу, что асимптотическое аналитическое выражение для сечения рассеяния в приближении малых α совпадает с аналитическим выражением для сечения Мотта в том же приближении. Z=80
Z=48
Z=13
Также в данной работе мы сравнили экспериментальные значения функции Шермана S
(θ)
при рассеянии электронов золотом с энергиями в диапазоне от 45 до 245 кэВ на угол Результаты представлены в таблице.
Уверенно утверждать, что метод Вонга больше соответствует действительности, мы пока не можем, так как был рассмотрен слишком маленький экспериментальный материал. Проблема требует дальнейших исследований. Заключение В данной работе мы хотели выяснить, какой метод расчета функции Шермана является более точным: по формулам, полученные Моттом или Вонгом. Так как эта функция используется в детекторах Мотта, которые в настоящее время являются основным средством для анализа поляризации электронов и очень важно правильно ее подсчитывать [4]. Для сравнения мы рассмотрели экспериментальные значения, полученные Спиваком для золота и высчитанные нами численные значения функции Шермана по формулам Мотта и Вонга. В ходе этого из представленных нам ряда значений наиболее близкими к экспериментальным являются значения, рассчитанные по формулам Вонга. Однако строго утверждать этот факт мы не можем, так как нами была рассмотрена лишь небольшая выборка значения и проблема требует дальнейшего рассмотрения. Список литературы 1. Mott, N.F. The Solution of the Wave Equation for the Scattering of Particles by a Coulombian Centre of Force. / N.F. Mott // Proc. Roy. Soc. – 1928 A118. – P. 542-549. 2. Mott, N.F. The Scattering of Fast Electrons by Atomic Nuclei / N.F. Mott // Proc. Roy. Soc. A – 1929. – V. 124 – P. 425 – 442. 3. Sherman, N. Coulomb Scattering of Relativistic Electrons by Point Nuclei / N. Sherman // Phys. Rev. – 1956. – V. 103, № 6. – P. 1601–1607. 4. Петров, В.Н. Компактный эффективный анализатор спиновой поляризации электронов / В.Н. Петров, В.В. Гребенщиков, Б.Д. Грачев, А.С. Камочкин, М.К. Ярмаркин / Письма в ЖТФ. – 2004. – т. 30, вып. 4. – С. 5. Wong, M.K.F. Coulomb scattering of fast electrons / M.K.F. Wong // Phys. Rev.D – 1982. – V. 26, № 4. – P. 927–930. 6. Мотт, Н. Теория атомных столкновений / Н. Мотт, Г. Месси. – М. : Изд-во иностр. лит., 1969. – 756 с. |
|||||||||||||||||||||||||||||||||||||||||||||||||||||||||||||||||||||||||||||||||||||||||||||||||||||||||||||||||||||||||||||||||||||||||||||||||||||||||||||||||||||||||||||||||||||||||||||||||||||||||||||||||||||||||||||||||||||||||||||||||||||||||||||||||||||||||||||||||||||||||||||||||||||||||||||||||||||||||||||||||||||||||||||||||||||||||||||||||||||||||||||||||||||||||||||||||||||||||||||||||||||||||||||||||||||||||||||||||||||||||||||||||||||||||||||||||||||||||||||||||||||||||||||||||||||||||||||||||||||||||||||||||||||||||||||||||||||||||||||||||||||||||||||||||||||||||||||||||||||||||||||||||||||||||||||||||||||||||||||||||||||||||||||||||||||||||||||||||||||||||||||||||||||||||||||||||||||||||||||||||||||||||||||||||||||||||||||||||||||||||||||||||||||||||||||||||||||||||||||||||||||||||||||||||||||||||||||||||||||||||||||||||||||||||||||||||||||||||||||||||||||||||||||||||||||||||||||||||||||||||||||||||||||||||||||||||||||||||||||||||||||||||||||||||||||||||||||||||||||||
d
d













и
определены (1), 




