Реферат: Спектральные характеристики
|
Название: Спектральные характеристики Раздел: Рефераты по физике Тип: реферат |
Спектральные характеристики Демидов Р.А., ФТФ, 2105ВведениеВ первой части работы я поставил себе цель описать линейные операторы в целом, а также подробно рассказать о важной характеристике спектра операторов – спектральном радиусе. В этой части работы я подробнее остановлюсь на не менее важной характеристике спектров – резольвенте, и расскажу о связи этой характеристики с подвидами спектра оператора – с остаточным, точечным и непрерывными его частями. Вначале, опять же, необходимо остановиться на некоторых основных определениях и понятиях теории линейных операторов. Итак: - Пусть A - оператор, действующий в конечномерном линейном пространстве E. Спектром оператора называется множество всех его собственных значений. - Квадратную матрицу n×n можно рассматривать как линейный оператор в n-мерном пространстве, что позволяет перенести на матрицы «операторные» термины. В таком случае говорят о спектре матрицы . - Пусть A - оператор, действующий в банаховом пространстве E над полем k. Число λ называется регулярным для оператора A, если оператор R(λ) = (A − λI)-1 , называемый резольвентой оператора A, определён на всём E и непрерывен. - Множество регулярных значений оператора A называется резольвентным множеством этого оператора, а дополнение резольвентного множества - спектром этого оператора. - Максимум модулей точек спектра оператора A называется спектральным радиусом этого оператора и обозначается через r(A). При этом выполняется равенство:
Это равенство может быть принято за определение спектрального радиуса,приусловии существования данного предела. Теперь рассмотрим состав самого спектра. Он неоднороден, и состоит из следующих частей: - дискретный (точечный) спектр - множество всех собственных значений оператора A - только точечный спектр присутствует в конечномерном случае; - непрерывный спектр - множество значений λ, при которых резольвента (A - λI)-1 определена на всюду плотном множестве в E, но не является непрерывной; - остаточный спектр - множество точек спектра, не входящих ни в дискретную, ни в непрерывную части. Таким образом, мы видим, что спектр оператора состоит из 3-х больших частей, принципиально различных. Свойства резольвентыТеорема 1
: Доказательство.
Резольвента существует и ограничена. Чтд. Теорема 2:
Доказательство. - Если построена биекция, то не существует - Если - точка точечного спектра, то Теорема 3:
(Тождество Гильберта)
Доказательство.
Следствия: 1) 2) Итак, Упражнение: (Примеры вычисления спектрального радиуса)
Возьмем
Таким образом Теорема 4:
всякая к.ч Доказательство. ]
Спектральная теория в электроникеПолезнейшим приложением спектральной теории в физике является теория спектров электрических сигналов. Суть теории состоит в том, что любой сигнал на входе линейной цепи возможно представить совокупностью гармонических колебаний, или тестовых сигналов, заданной частоты, вопрос такого разложения состоит в нахождении амплитуд результирующих колебаний. Последние вычисляются определенным образом.
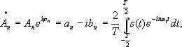
Классическое преобразование Фурье представляет из себя линейный оператор. Спектральная теория здесь работает следующим образом – для периодических входных сигналов для нахождения соответствующих амплитуд используется интегральное преобразование – дискретный Фурье- образ:
в котором разложение начинается с частоты следования wк . В данном случае очевидно, что, раз выходной сигнал представляется суммой бесконечного ряда, то мы имеем дело с точечным спектром сигнала , поскольку он дискретен. Следовательно, любое периодическое колебание можно рассматривать как сигнал с дискретным спектром, поскольку непрерывным спектром он не обладает. Однако, если же взять непериодический сигнал, например, единичный прямоугольный импульс, то вводится понятия прямого и обратного преобразований Фурье :
где S(w) – спектральная плотность сигнала s(t). Соответственно, S(w) – непрерывная по w функция, и в данном. Заключение В работе не ставилась цель охватить весь курс спектральной теории и спектрвльных характеристик, а ставилась цель изучить основные спектральные характеристики линейных операторов, и обрисовать применение этих понятий. Опять же, класс Фурье преобразований включает в себя намного больший объем, чем тот, о котором упомянуто в работе, они используются в теории алгоритмов при кодировке и сжатии информации в цифровом формате изображений JPEG, в вейвлет - преобразованиях. Новое поколение функциональной электроники содержит на элементарном уровне элементы, способные производить непрерывные преобразования Фурье и Лапласа, что намного ускоряет работу электронных устройств. В общем и целом, наряду с первой частью работа дает представление о б основных спектральных характеристиках линейных операторов и их применении в различных областях математики, информатики и физики. Список литературы 1. Лекции по математической физике, Попов И.Ю., СПбГУ ИТМО, кафедра высшей математики. 2. Элементы теории функций и функционального анализа, А.Н. Колмогоров и С.В. Фомин. 3. Теория цепей и сигналов, Новиков Ю.Н. 4. Свободная энциклопедия Википедия. 5. Сжатие данных, изображения и звука, Д. Сэломон. |





