Реферат: Безработица и политика занятости
|
Название: Безработица и политика занятости Раздел: Рефераты по экономической теории Тип: реферат | ||||||||||||||||||||||||||||||||||||||||||||||||||||||||||||||||||||||||||||||||||||||||||||||||||||||||||||||||||||||||||||||||||||||||||||||||||||||||||||||||||||||||||||||||||||||||||||||||||||||||||||||||||||||||||||||||||||||||||||||||||||||||||||||||||||||||||||||||||||||||||||||||||||||||||||||||||||||||||||||||||||||||||||||||||||||||||||||||||||||
курсовая работа Содержание
Введение Развитие экономики, к сожалению, не всегда бывает устойчивым. В качестве главных проявлений макроэкономической нестабильности, прежде всего, называют периодические спады производства, безработицу и инфляцию. Существование и периодический рост в обществе безработицы - это такое положение, когда часть трудоспособного населения не находит работы. Безработица представляет собой макроэкономическую проблему, оказывающую наиболее прямое и сильное воздействие на каждого человека. Потеря работы для большинства людей означает снижение жизненного уровня и наносит серьезную психологическую травму. Поэтому неудивительно, что проблема безработицы часто является предметом политических дискуссий. В мире свыше 750 млн. человек, то есть почти каждый третий из трудоспособных, либо не имеют работы вообще, либо перебиваются случайными заработками. На индустриально развитые государства приходится свыше 30 млн. безработных[1] . Формирование рыночных отношений в России неизбежно привело к формированию рынка труда и как следствие - к проблемам занятости населения, экономической нестабильности и безработице. Этот переход неизбежно привел к большим переменам в использовании трудовых ресурсов, что неизбежно сказалось на эффективности использования накопленного производственного потенциала, сбалансированном обеспечении трудоспособного населения рабочими местами, способствовало возникновению локальных очагов безработицы. Начавшийся финансовый кризис также приводит к массовым увольнениям работников. Наиболее угрожающим фактором роста безработицы и массового высвобождения людей из производства является развал межхозяйственных связей и свертывание по этой причине производства на крупных и сверхкрупных предприятиях первого подразделения. Разрыв горизонтальных экономических связей, нарушение договорных обязательств по поставкам продукции сопровождаются снижением объемов продукции, сокращением числа рабочих мест и работающих. Перестройка системы управления и политического устройства общества сопровождается сокращением числа занятых на руководящих должностях в аппаратах государственного управления, в армии. Возникает специфический вид безработицы среди лиц высокой квалификации, профессионально непригодных к использованию в низовых хозяйственных звеньях производственной и непроизводственной сфер. Исходя из вышесказанного, можно сказать, что проблема безработицы в нашей стране в данный момент является особенно актуальной. Необходимо предпринимать комплексные меры, чтобы ослабить напряженность сегодняшней ситуации на рынке труда. Целью данной курсовой работы является исследование проблем безработицы и политики занятости населения в России. Поставленная цель достигается решением следующих задач: - Изучить теоретические аспекты безработицы, а именно исследовать различные подходы, существующие в экономической теории к объяснению необходимости и возможности существования безработицы, формы проявления, определение ее уровня; - Рассмотреть государственное регулирование занятости в России и особенности российской безработицы; - Рассмотреть проблемы занятости населения и пути их решения. Методологической и теоретической основой послужили труды отечественных и зарубежных авторов по вопросам безработицы и занятости населения, материалы периодической печати и научных конференций, материалы официального сайта Федеральной службы по труду и занятости, Правительства Российской Федерации и Федеральной службы государственной статистики. В работе применялись общие методы исследования - системный подход и сопоставительный анализ. Данная работа имеет традиционную структуру и состоит из введения, трех глав и заключения. Глава 1. Безработица: причины, формы, уровень 1.1 Понятие и причины безработицы Безработица - неотъемлемое свойство рыночной системы хозяйствования. Об этом свидетельствует история развития рыночной экономики. Международной организацией труда (МОТ) безработица определяетсякак контингент лиц старше определенного возраста, не имеющихработы, пригодных в настоящее время к работе и ищущих ее в рассматриваемый период. Человека можно считать безработным только при соблюдении всех трех условий. Искать работу - значит предпринимать действия в этом направлении. Такие действия включают регистрацию на бирже труда, обращение к работодателям, постоянные появления в местах, где можно получить работу (заводы, рынки труда), помещение объявлений в газетах или отклики на соответствующие объявления в прессе и т. п. В экономической теории существуют различные подходы к объяснению необходимости и возможности существования безработицы. Одну из первых подобных попыток объяснения безработицы предпринял французский экономист Ж.Б.Сэй. Рынок труда он рассматривал как частный случай закона спроса и предложения. Вывод из закона Ж.Б.Сэя достаточно ясен и прост: причина безработицы - чрезмерно высокий уровень заработной платы. Законы рынка труда Э.Б.Сэя вызвал полемику, которая длится уже полтора века. Идея автоматического равновесия спроса и предложения на рынке труда была подвергнута критике английским экономистом, священником Томасом Мальтусом (1766-1834). По его мнению, и капитал и население в течение значительного периода времени могут быть избыточными по отношению к спросу на продукцию. Причиной падения спроса является сокращение личных доходов, а уменьшение этих доходов вызывается демографическими причинами: темпы роста народонаселения превышают темпы роста производства. Следовательно, причину безработицы надо искать в чрезмерно быстром росте населения. Современный опыт социального развития показал, что во многих высокоразвитых странах имеет место предельно низкая рождаемость и даже абсолютное сокращение населения, однако безработица существует. Значит, причины безработицы - в другом. Принципиально иное объяснение причин безработицы дал К.Маркс. По его мнению, причиной безработицы является не рост заработной платы, не быстрые темпы роста народонаселения, а накопление капитала в условиях роста технического строения промышленного производства. Переменный капитал, авансируемый на покупку рабочей силы, растет более медленными темпами по сравнению с постоянным капиталом, авансируемым на покупку средств производства. В этих условиях спрос на труд отстает от темпов роста производства. Другой причиной является банкротство предприятий в условиях рынка. Факторами, усиливающими безработицу, являются кризисы и спады, миграция сельского населения в город. Через 100 лет после Ж.Б.Сэя концепция автоматического равновесия совокупного спроса и совокупного предложения на рынке труда была подвергнута критике Дж.М.Кейнсом. Кейнсианская школа искала ответ на следующие вопросы: какими факторами определяется уровень занятости в каждый момент конкретной экономической системы; почему занятость вместе с объемом производства и инвестициями время от времени испытывает резкие колебания; почему в обычных условиях уровень занятости относительно устойчив, устанавливается на таком уровне, что не достигает полной занятости (наблюдается безработица) и в то же время не опускается до социально-опасного нижнего предела? Основные идеи кратко можно свести к следующему: - при данном уровне инвестиций и денежной заработной платы экономическая система в любом краткосрочном периоде может находится в состоянии устойчивого равновесия при неполной занятости, что означает возможность существования вынужденной безработицы; - основные параметры занятости (фактический уровень занятости и безработицы, спрос на труд и уровень реальной зарплаты) устанавливаются не на рынке труда, а определяются размером эффективного спроса на рынке товаров и услуг. На рынке труда формируются уровень денежной зарплаты и зависящая от него величина предложения труда. Предложения труда указывают максимально возможный уровень занятости при данном размере денежной зарплаты; - в основе механизма формирования занятости лежат явления психологического порядка: склонность к потреблению, к сбережению, побуждения к инвестициям, предпочтения ликвидности. Уровень занятости зависит от поведения инвесторов, состояния их долгосрочных предположений, поведения всех экономических индивидов в качестве потребителей; - главный, решающий фактор формирования занятости - инвестиции оптимальных размеров. На этом пути хороши все средства, но особенно результативна с точки зрения перспектив расширения занятости организация разнообразных общественных работ, вплоть до строительства пирамид, дворцов, храмов и даже рытья и закапывания канав. Причем обладают большим мультипликационным эффектом автономные инвестиции, источником которых являются общественные инвестиции из госбюджета; - гибкая политика заработной платы (снижение зарплаты в ответ на рост безработицы) нереально в условиях экономической системы, где действуют отдельные соглашения об уровне зарплаты. Хотя сокращение зарплаты и способно привести к увеличению занятости, но косвенно, через те же кейнсианские факторы (склонность к потреблению, предельная эффективность капитала норма процента), более предпочтительна гибкая денежная политика, т.е. увеличение совокупного эффективного спроса[2] . Изложенное содержание кейнсианской теории занятости было реализовано во многих программах государственного регулирования занятости зарубежных стран. Английский экономист Артур Пигу (1877-1959) причину безработицы видел в несовершенной конкуренции, которая действует на рынке труда и ведет к завышению цены труда. Он пытался утверждать мысль, что всеобщее сокращение денежной заработной платы стимулирует занятость. Но безработица имела место и в условиях совершенной конкуренции на рынке труда, а тезис о высокой зарплате как причине безработицы выдвигался еще Ж.Б.Сэем полтора века назад. В последние годы наиболее популярны концепции «естественного», «нормального», «социально-допустимого» уровня безработицы, исследующие взаимосвязи безработицы и инфляции, денежного обращения, равновесной цены труда, соотношения спроса и предложения на труд. Разработка стратегии и тактики государственного регулирования занятости, поддержки безработных ведется с применением методов экономико-математического моделирования и графического анализа (кресты Маршала, кривые Филлипса, кривая Бэвериджа и др.). Принципиально новые подходы к данной проблеме были представлены в знаменитой работе английского экономиста Олбани Филлипса (1914-1975), которая вышла в 1958 г. Обобщив статистические данные по Великобритании за 1861-1957 гг., автор построил кривую, характеризующую взаимосвязь между среднегодовым ростом заработной платы и безработицей. Эта взаимосвязь оказалась обратной: если заработки росли, безработица была небольшой, и наоборот. Кривая О.Филлипса оказалась вогнутой относительно оси ординат: одному и тому же приращению заработной платы соответствовало сравнительно небольшое сокращение безработицы при низком ее уровне и значительное - при высоком. Сам О.Филлипс крайне осторожно подошел к интерпретации выведенной им зависимости, указывая, что для окончательных выводов необходимо более детальное исследование взаимосвязи между безработицей и ставками заработной платы. Однако последователи Дж.М.Кейнса стали увязывать кривую Филипса с ростом цен, а, следовательно, с инфляцией. На оси ординат стали откладывать уже не прирост номинальной заработной платы, а прирост цен, уровень инфляции, полагая, что рост зарплаты автоматически ведет к повышению цен, к инфляции. Теперь для увеличения занятости стали рекомендовать увеличение инфляции в пределах управляемости. Новую интерпретацию ситуации на рынке труда дали монетаристы, которые разработали теорию сдвигов кривой Филипса, или акселерационную модель. Согласно концепции монетаристов, классическая кривая Филипса верна лишь для коротких периодов времени и в том диапазоне, когда рост заработной платы соответствует реальному увеличению потребления благ, реальном повышению производительности труда. Расширить занятость на это короткое время можно только ценой ускорения (акселерации) инфляции. Отсюда и модель названа акселерационной. Общий вывод по вопросу о причинах безработицы состоит в том, что сама рыночная форма организации хозяйства неизбежно порождает безработицу, ибо она неизбежно предполагает: разорение части предприятий; накопление капитала в условиях технического и научного прогресса; диспропорциональность в динамике потребления, сбережения и инвестиций; циклический характер производства; несовершенство конкуренции на современном рынке в целом и прежде всего на рынке труда. На занятость влияют не только чисто экономические, но и социально-психологические факторы. Одним из таких социально-экономически-психологических факторов, имеющим в разных странах свою национально-историческую окраску, является парадокс эффекта дохода и связанного с ним эффекта замещения. Сущность эффекта замещения состоит в том, что увеличение роста заработной платы на первом этапе вызывает рост предложения труда, ибо на этом отрезке своей жизни каждый час свободного времени работник воспринимает как упущенную выгоду. Эту выгоду работник реализует путем превращения свободного времени в рабочее, а свободное время и досуг он замещает товарами, которые приобретает на повышенную заработную плату. Однако на определенном этапе жизни отношение человека к свободному времени меняется, ибо без досуга нет радости человеческого бытия. В связи с этим у одних работников раньше, у других позже начинает срабатывать эффект дохода. Его сущность в том, что при достижении определенного уровня материального благополучия свободное время уже не кажется упущенной выгодой, - напротив, оно теперь предстает источником радости человеческого бытия, источником счастья, наслаждения жизнью. Теперь работник сокращает предложение труда, он как бы покупает свободное время. Критически оценивая достижения зарубежной экономической мысли и практики регулирования занятости и безработицы следует подчеркнуть, что рекомендованные ими меры не могут быть автоматически перенесены на российский рынок труда без учета состояния производства, уровня жизни населения и других параметров. Безработица не является принципиально новым явлением для России. Она достигала значительных размеров в дореволюционной России, особенно велико было аграрное перенаселение. Она существовала и в советское время, но в скрытой форме. Затем экономические реформы первой половины 90-х годов имели следствием перевод скрытой безработицы в открытую, началась официальная регистрация безработных, созданы государственные службы занятости. Четко можно уже определить некоторые общие тенденции российской безработицы: рост официально зарегистрированных безработных, неравномерность темпов безработицы по отдельным видам деятельности, отраслям, регионам, увеличение продолжительности периода нахождения нового рабочего места, разнообразие форм безработицы. 1.2 Определение уровня безработицы и ее формы Большое количество неработающих людей в обществе приводит к экономическим потерям и социальным потрясениям. Чтобы государство могло проводить эффективную экономическую политику, необходимо оценить размеры безработицы, определить ее уровень. Споры по поводу определения уровня безработицы при полной занятости усугубляется тем, что на практике трудно установить фактический уровень безработицы. Все население разделено на три большие группы. В первую входят лица, не достигшие 16 лет, а также лица, находящиеся в специализированных учреждениях – т.е. лица, которые не считаются потенциальными компонентами рабочей силы. Вторую группу, составляют взрослые, потенциально имеющие возможность работать, но по какой-то причине не работающие и не ищущие работу. Третья группа – рабочая сила, в эту группу входя лица, которые могут и хотят работать. Считается, что рабочая сила состоит из работающих и безработных, но активно ищущих работу. Уровень безработицы - это доля безработной части трудовых ресурсов общества:
Точная оценка уровня безработицы осложняется из-за следующих факторов: - Частичная занятость. В официальной статистике все занятые неполный рабочий день входят в категорию полностью занятых. Считая их полностью занятыми, официальная статистика занижает уровень безработицы. - Рабочие, потерявшие надежду на получение работы. Не включая рабочих, потерявших надежду на получение работы, в категорию безработных, официальная статистика занижает уровень безработицы. - Ложная информация. Уровень безработицы может быть завышен в том случае, когда некоторые неработающие утверждают, что они ищут работу, хотя это и не соответствует действительности, а также теневая экономика способствует завышению официального уровня безработицы. Поэтому, хотя уровень безработицы является одним из важнейших показателей экономического положения страны, его нельзя считать безошибочным барометром здоровья нашей экономики. Современные экономисты рассматривают безработицу как естественную и неотъемлемую часть рыночной экономики. В этой связи целесообразно большое внимание уделять анализу форм безработицы. Основными ее формами являются: фрикционная, структурная и циклическая, имеется также специфический тип безработицы - скрытая. Фрикционная безработица порождается постоянным перемещением населения из одного региона (города, поселка) в другой, сменой профессии, этапов жизни (учеба, работа, рождение ребенка и уход за ним и т. п.). Безработица, возникающая по этим мотивам, рассматривается как добровольная, поскольку люди по собственному желанию меняют место жительства, работу, профессию, принимают решение учиться или иметь ребенка. Фрикционная безработица существует всегда, она неизбежна. Главный ее признак - низкая продолжительность, что свидетельствует о достаточно высокой эффективности рынка рабочей силы, нормальном процессе перераспределения ресурсов в экономике, а не о серьезной социальной проблеме. Существенной чертой такой безработицы является также то, что люди, ищущие работу, обладают необходимой квалификацией, профессиональной подготовкой и навыками. На их способности существует спрос со стороны фирм. Добровольный отказ от работы не исчерпывается лишь фрикционной безработицей. Добровольная безработица возникает, как уже говорилось, когда человек не хочет работать за низкую заработную плату. Кроме того, в любом обществе есть определенный процент людей, которые вообще не хотят работать (в западных странах их доля в общей сложности доходит до 15%)[3] . В эту категорию входят достаточно богатые люди, которые могут себе позволить не работать, поскольку не нуждаются в доходах от труда. Сюда же можно отнести своего рода «врожденных тунеядцев» (бомжи, клошары и т. п.), для которых бродяжничество - своеобразный стиль жизни, психологическая установка. Часть людей получают доход из других источников (находятся на иждивении супругов, государства) и считают, что тот заработок, который они получают, не компенсирует им потерю досуга или нерыночную деятельность, включающую работу по дому и воспитанию детей. Наконец, в категорию добровольных безработных нередко попадают люди с низкой квалификацией, которые не могут рассчитывать на высокие заработки, а также работники тех стран, где налоги настолько высоки, что трудовые доходы не приносят ощутимой чистой прибыли. Структурная безработица возникает в результате несовпадения спроса на рабочую силу и предложения труда, связанного с технологическими изменениями в производстве, которые порождают и структурные изменения в спросе на рабочую силу. По этой причине структурную безработицу иногда называют технологической. Под влиянием технологических изменений спрос на некоторые виды профессий прекращается, и работодатели ищут специалистов с новыми профессиями. Кроме того, происходят изменения территориального распределения рабочей силы, в результате чего в отдельных регионах может накапливаться незанятое население. В 1990-е гг. в России и других странах СНГ безработица возрастала в значительной мере за счет структурного компонента, так как, с одной стороны, спрос на многие специальности стал резко падать (инженеры, проектировщики, научно-исследовательские работники и т. д.), а с другой - появилась потребность в новых профессиях (банковские служащие, бухгалтеры, коммерсанты, менеджеры, охранники и пр.). Структурная безработица отличается от фрикционной еще и тем, что имеет более продолжительный характер. Фрикционные безработные, как правило, имеют возможность получить работу без дополнительной переподготовки, так как на рынке труда спрос на их профессии сохраняется. Напротив, структурным безработным требуется иногда не только переподготовка, но и смена места жительства. Фрикционная и структурная безработица называется также естественной безработицей. Понятие было введено в экономическую науку М. Фридманом в 1968 г. и независимо от него разработано другим американским ученым - Э. Фелпсом. Естественная безработица характеризует наилучший для экономики резерв рабочей силы, способной достаточно быстро совершать межотраслевые и межрегиональные перемещения в зависимости от потребностей производства. Так же как фабрике нужны запасные части на случай поломки какой-нибудь машины, так и экономика нуждается в запасных, незанятых работниках, готовых в любой момент приступить к работе, как только появляется вакансия. По существу, естественная безработица - это доля безработных, которая соответствует целесообразному уровню полнойзанятости в экономике, т. е. потенциальному ВВП. Понятие полной занятости не означает, что все люди трудоспособного возраста заняты в общественном производстве, поскольку фрикционная и структурная безработица неизбежна. Уровень безработицы при полной занятости определяется целым рядом факторов, и, прежде всего, минимальной заработной платой. Ее низкий уровень способствует тому, что удлиняются сроки поиска работы молодежью, впервые ищущей работу, а также теми безработными, которые ищут более высокооплачиваемую работу. На естественный уровень безработицы влияют также система социального страхования по безработице, авторитет профсоюзов, склонностьлюдей к трудовой деятельности, различия в темпах роста по секторамэкономики, налоги и т. д. Поскольку эти факторы изменчивы, то и уровень естественной безработицы с течением времени меняется. Расчеты показывают, что уровень естественной безработицы растет при увеличении фактической безработицы. Увеличение безработицы в периоды спадов производства завершается возвращением ее не к исходному уровню, а к более высокому естественному уровню. Для определения уровня естественной безработицы экономисты используют среднюю величину фактической безработицы за длительный период. Средняя величина за 40-50 лет сглаживает циклические колебания. Безработица на естественном уровне необходима, так как сдерживает инфляцию. В экономике с полной занятостью любой всплеск совокупного спроса AD оборачивается ростом уровня цен, поскольку производство не может адекватно отреагировать на возросший спрос из-за нехватки ресурсов (рис. 1).
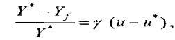
Рис. 1. Рост уровня цен под влиянием увеличения совокупного спроса при полной занятости[4] Фактический уровень безработицы в данный период может быть выше естественного уровня, и в этом случае будут наблюдаться дефицит совокупного спроса и циклическая безработица. Следовательно, циклическая безработица связана с колебаниями экономической конъюнктуры. На фазе спада в экономике спрос на товары и услуги сокращается, что ведет к сокращению производства и занятости. На фазе подъема, растет спрос на потребительские и инвестиционные товары, а значит, на рабочую силу. В некоторые периоды фактический уровень безработицы может быть ниже естественного уровня, и в этом случае экономика будет испытывать избыток совокупного спроса, а значит, инфляцию. Уровень циклической безработицы определяется как разность между фактическим и естественным уровнями безработицы. Циклическая безработица свидетельствует о неполном использовании производственных ресурсов. В этом случае фактический объем национального производства ниже потенциального. Если же фактический уровень ВВП равен потенциальному, то естественный уровень безработицы равен фактическому. В этом случае циклическая безработица отсутствует. Следовательно, чем ниже фактический ВНП по сравнению с потенциальным, тем больше циклическая безработица. Разность между потенциальным ВВП и фактическим образует конъюнктурный разрыв (разрыв ВВП), анализ которого в 1960-е гг. провел американский экономист А. Оукен. На основе эмпирических исследований он обнаружил устойчивую связь между величиной циклической безработицы и разрывом ВВП. Установленную зависимость он выразил формулой:
Смысл этой формулы выражает так называемый закон Оукена: если циклическая безработица увеличивается на 1%, то фактический ВВП отстает от потенциального на у %. Как показывают наблюдения, параметр Оукена различен для разных стран. В 1960-е гг. в США, по расчетам самого Оукена, когда уровень естественной безработицы составлял 4%, параметр у был равен 3%. Это значит, что каждый процент циклической безработицы уменьшал фактический объем ВВП на 3% по сравнению с ВВП при полной занятости. Из закона Оукена также следует, что если в период спада производство сокращается на 3%, то это увеличивает циклическую безработицу на 1%. Кроме того, закон утверждает, что ежегодный прирост реального ВВП должен составлять 3%, чтобы безработица осталась на прежнем уровне, так как примерно таким темпом ежегодно возрастает численность рабочей силы. Скрытая безработица состоит из людей, которые не входят в экономически активное население на данный момент времени, но хотели бы войти в рабочую силу, если предоставленная им работа будет для них подходящей. В российских условиях скрытой безработицей называется ситуация, когда работники, формально не разрывая трудовых отношений и считаясь занятыми, не имеют работу и не получают заработную плату или работают неполное рабочее время (день, неделю). Скрытая безработица включает потери рабочего времени в связи с низкой интенсивностью труда, потери продукции на стадии хранения, транспортировки и реализации, отвлечения рабочей силы от основной деятельности, устранение целодневных и внутрисменных потерь рабочего времени, а также излишнюю численность работников, образующуюся в результате снижения объемов производства, свертывания убыточных производств, перепрофилирования предприятия и т.д. без адекватного снижения численности работающих. Практика последних лет показала, что в периоды спада объемов производства, как правило, падает и производительность труда при сохранении численности рабочих или при их небольшом сокращении, т.е. имеется очень большой разрыв между этими процессами. Скрытую безработицу следует разделить на официальную и неофициальную. К официальной скрытой безработице относятся регистрируемые статистикой лица, находящиеся в административных отпусках по инициативе администрации, а также лица, вынужденные работать в условиях неполного рабочего времени. В неофициальную скрытую безработицу следует включать избыточную внутрипроизводственную численность работников и тех, кто ищет работу самостоятельно, не обращаясь в службы занятости. Размеры и формы существования этой части скрытой безработицы определяются с помощью проведения специальных выборочных обследований[5] . Глава 2. Безработица и политика занятости в современной России 2.1 Особенности российской безработицы Росстат подвел итоги очередного квартального обследования населения по проблемам занятости (по итогам опроса населения по состоянию на третью неделю февраля за I квартал 2009 года). Численность экономически активного населения в возрасте 15-72 лет (занятые + безработные) в феврале 2009г. составила 74,8 млн.человек, или 53% от общей численности населения страны. В численности экономически активного населения 67,7 млн. человек классифицировались как занятые экономической деятельностью и 7,1 млн. человек - как безработные с применением критериев МОТ (т.е. не имели работы или доходного занятия, искали работу и были готовы приступить к ней в обследуемую неделю). На рисунке 2. показана динамика численности экономически активного населения.
Рис. 2. Динамика численности экономически активного населения В феврале 2009г. численность экономически активного населения была ниже, чем в ноябре 2008г., на 1,1 млн.человек, или на 1,5%. Это сокращение полностью определяется уменьшением численности занятого населения. Численность экономически активного населения в апреле 2009г. составила 75,2 млн. человек, или более 53% от общей численности населения страны. Преобладающая часть занятого населения сосредоточена в организациях, не относящихся к субъектам малого предпринимательства. В марте 2009г. в них работало 36,2 млн.человек, или 53,9% общей численности занятых. Кроме того, в организациях, не относящихся к субъектам малого предпринимательства, привлекалось на условиях совместительства и по договорам гражданско-правового характера 1,8 млн.человек (в эквиваленте полной занятости). Общее число замещенных рабочих мест для полной занятости работников в этих организациях, определенное как суммарное количество работников списочного состава, совместителей и работников, выполнявших работы по договорам гражданско-правового характера, в марте 2009г. составило 38,0 млн. и было меньше, чем в марте 2008г. на 1,1 млн.человек, или на 2,7%. Безработица. Численность безработных, в соответствии с методологией МОТ, в феврале 2009г. была на 1,8 млн.человек, или на треть выше, чем в ноябре 2008г. и феврале 2008 года. В конце апреля 2009г., по оценке, 7,7 млн.человек, или 10,2% экономически активного населения, классифицировались как безработные (в соответствии с методологией Международной Организации Труда). В государственных учреждениях службы занятости населения в качестве безработных было зарегистрировано 2,3 млн.человек, в том числе 1,9 млн.человек получали пособие по безработице. В таблице 1 приведены данные по динамике численности безработных за 2008 и 1 квартал 2009 года. Таблица 1 Динамика численности безработных на конец месяца
Уровень безработицы, исчисленный как отношение численности безработных к численности экономически активного населения, в феврале 2009г. составил 9,5% и был на 2,5-2,4 процентного пункта выше, чем в ноябре 2008г. и феврале 2008 года. Численность безработных и уровень безработицы в феврале 2009г. были в среднем на треть ниже, чем в феврале 1999г., когда было отмечено их максимальное значение. На рисунке 3 график уровня безработицы за несколько лет.
Рис. 3. Уровень безработицы в России за несколько лет, по методологии МОТ Численность занятого населения в феврале 2009г. снизилась по сравнению с ноябрем 2008г. на 2,9 млн.человек, или на 4,2%, по сравнению с февралем 2008г. - на 1,8 млн.человек, или на 2,6%. Уровень занятости населения в возрасте 15-72 лет (отношение численности занятого населения к общей численности населения соответствующего возраста) в феврале 2009г. составил 60,5% против 63,1% в ноябре 2008г. и 62,1% в феврале 2008 года. По данным обследования населения по проблемам занятости в феврале 2009г., в численности безработных, по методологии МОТ, 725 тыс.человек (10%) составляли граждане, которым не может быть присвоен статус безработного в органах службы занятости населения. Среди них 315 тыс.человек (43%) - лица старше или моложе трудоспособного возраста, 281 тыс.человек (39%) - студенты и учащиеся в трудоспособном возрасте очных образовательных учреждений и 129 тыс.человек (18%) - пенсионеры по возрасту, выслуге лет или на льготных условиях. Все эти категории в обследуемый период занимались поиском работы и были готовы приступить к ней, т.е. отвечали критериям для отнесения их к безработным по методологии МОТ. В феврале 2009г. общая численность безработных по сопоставимому кругу лиц (т.е. в трудоспособном возрасте без студентов, учащихся и пенсионеров по возрасту, выслуге лет или на льготных условиях, отнесенных к безработным) превышала численность безработных, зарегистрированных в органах службы занятости, в 3,2 раза (в ноябре 2008г. - в 3,6 раза). На рисунке 4 приведен график динамики численности безработных в России за несколько лет.
Рис. 4. Динамика численности безработных в России за несколько лет. Безработица по полу и месту проживания. По сравнению с ноябрем 2008г. численность безработных мужчин увеличилась на 36,3%, безработных женщин - на 32,1%. Среди безработных по методологии МОТ доля женщин в феврале 2009г. составила 44,4%. Доля городских жителей среди безработных, по методологии МОТ, в феврале 2009г. составила 66,2% и увеличилась по сравнению с ноябрем 2008г. на 3,7 процентного пункта. Безработица городского и сельского населения характеризуется превышением уровня безработицы среди сельских жителей по сравнению с уровнем безработицы среди городских жителей. В феврале 2009г. это превышение составляло 1,5 раза. Вместе с тем, размеры увеличения численности безработных среди городского населения были более значительными, чем среди сельского населения. В феврале 2009г. численность городских жителей, классифицируемых, в соответствии с критериями МОТ, как безработные, увеличилась по сравнению с ноябрем 2008г. на 42,2%, сельских жителей - на 21,3%. Данные по численности безработных и уровень безработицы по полу и месту проживания приведены в таблице 2. Таблица 2 Численность безработных и уровень безработицы
Возрастной состав безработных. Средний возраст безработных в феврале 2009г. составил 35,2 года (в ноябре 2008г. - 34,9 года), в том числе безработных мужчин - 34,8 года, безработных женщин - 35,6 года. Молодежь до 25 лет составляет среди безработных 27,4%, лица в возрасте 50 лет и старше - 16,7%. По сравнению с ноябрем 2008г. в составе безработных увеличилась доля лиц в возрасте 20-24 года (на 0,7 процентного пункта), в возрасте 25-29 лет (на 2,6 процентного пункта), 45-49 лет (на 1,4 процентного пункта). Самый высокий уровень безработицы отмечается в возрастной группе 15-19 лет (32,1%), а также 20-24 года (18,0%). В среднем среди молодежи в возрасте 15-24 года уровень безработицы в феврале 2009г. составил 20%, в том числе среди городского населения - 18,2%, среди сельского населения - 24,4%. Коэффициент превышения уровня безработицы среди молодежи в среднем по возрастной группе 15-24 года по сравнению с уровнем безработицы взрослого населения в возрасте 30-49 лет составляет 2,6 раза, в том числе среди городского населения - 2,7 раза, сельского населения - 2,2 раза. Продолжительность поиска работы. Около 36,4% безработных - лица, срок пребывания которых в состоянии поиска работы (безработицы) не превышает 3-х месяцев. Один год и более ищут работу 27,5% безработных. По сравнению с ноябрем 2008г. доля краткосрочной безработицы (менее 3 месяцев) увеличилась на 3,4 процентного пункта, доля застойной безработицы (12 месяцев и более) сократилась на 5,8 процентного пункта. Среди сельских жителей доля застойной безработицы существенно выше, чем среди городских и в феврале 2009г. составила, соответственно, 37,5% и 22,4%. По сравнению с ноябрем 2008г. доля застойной безработицы снизилась среди сельских жителей на 4 процентных пункта, среди безработных городских жителей - на 6 процентных пунктов. Среднее время поиска работы безработными в феврале 2009г. составило 6,9 месяца. У женщин оно составило 7,3 месяца, у мужчин - 6,5 месяца. Среди городского населения средняя продолжительность безработицы уменьшилась по сравнению с ноябрем 2008г. с 7,0 до 6,2 месяца, среди сельского - уменьшилась с 8,8 до 8,2 месяца. Наличие опыта работы. Около 23,3% безработных - это лица, не имеющие опыта трудовой деятельности. В феврале 2009г. их численность составила 1,7 млн. человек. Данная группа безработных формируется преимущественно из числа молодежи (на 19,5% - за счет молодежи до 20 лет, на 48,8% - от 20 до 24 лет, на 17% - 25-29 лет). По сравнению с ноябрем 2008г. доля безработных, не имеющих опыта трудовой деятельности, сократилась на 3,7 процентного пункта. В феврале 2009г. среди безработных в 1,9 раза по сравнению с февралем 2008г. и ноябрем 2008г. увеличилась доля лиц, оставивших прежнее место работы в связи с высвобождением или сокращением численности работников. Безработица по субъектам Российской Федерации. Самый низкий уровень безработицы, по методологии МОТ, по данным обследования населения по проблемам занятости, отмечается в Центральном федеральном округе, самый высокий - в Южном федеральном округе[7] . 2.2 Государственное регулирование занятости населения Государственное регулирование рынка труда осуществляется по трем основным направлениям: трудоустройство незанятого населения и оказание помощи в профподготовке и переподготовке (биржи труда); стимулирование образования гибкого рынка труда. Правовое обеспечение трудовых отношений; социальная защита пострадавших от безработицы людей (система вспомоществования). Правовые основы государственного регулирования занятости в нашей стране разрабатывались в полном соответствии с принятыми международными обязательствами и ратифицированными нашей страной основополагающими конвенциями МОТ. Основным законодательным актом выступает федеральный закон «О занятости населения в Российской Федерации», в который по мере изменения ситуации в стране и направленности государственной политики в сфере занятости вносились изменения и дополнения. Им определены права граждан в сфере занятости, принципы и формы проведения государственной политики, регламентирован правовой и организационный статус Федеральной государственной службы занятости как единой федеральной системы органов и учреждений, деятельность которых направлена на решение широкого круга проблем. В их числе – оценка и составление прогнозов развития занятости, разработка реализации программ и мероприятий по содействию занятости, содействие гражданам в поиске работы, а работодателям – в подборе необходимых им работников, а также учет в стране безработных и осуществление социальных выплат гражданам, признанных в установленном порядке безработными. Данным законом определен и порядок финансирования политики занятости, в который с 2002 г. внесены существенные изменения. Весьма значительной вехой в развитии законодательства о занятости населения следует считать федеральный закон РФ «О внесении изменений в отдельные законодательные акты Российской Федерации в связи с совершенствованием разграничения полномочий» от 27.12.2005 г. № 199-ФЗ.Вносимые им существенные изменения сводятся к четкому разграничению функций федерального органа исполнительной власти и органов местного самоуправления в содействии занятости населения и к значительному расширению полномочий субъектов Российской Федерации и их органов в этой сфере. Это означало передачу значительного числа полномочий федерального центра органам государственной власти в регионах. В числе переданных полномочий следует выделить контроль государственных гарантий в области занятости населения, приема на работу инвалидов в пределах установленной квоты и их регистрация в качестве безработных, регистрация безработных граждан и содействие им в поиске подходящей работы, включая определенные государственные услуги по содействию в поиске подходящей работы, организация профессиональной переориентации безработных, социальных выплат и ряд других. Данным законодательным актом установлен порядок финансирования переданных на региональный уровень полномочий посредством субвенций из федерального бюджета, определяемых исходя из численности населения. Органы местного самоуправления получили право участвовать в финансировании общественных работ для граждан, испытывающих трудности в поиске работы, а также временной занятости несовершеннолетних граждан в возрасте от 14 до 18 лет. Характеризуя законодательную базу политики занятости, необходимо подчеркнуть особую роль других законодательных актов, касающихся занятости населения, в частности, федерального закона «О государственной поддержке малого предпринимательства в Российской Федерации» от 14.06.1995 г. № 180-ФЗ, предусматривающего поддержку малого предпринимательства в рамках федеральных региональных, отраслевых программ. Последние включают меры по вовлечению в предпринимательскую деятельность социально незащищенных слоев населения и направлены на рост занятости. Вместе с тем для крупномасштабного решения проблем занятости в действующем в настоящее время законодательстве отсутствуют акты по регулированию трудовой миграции. Анализируя принципы организации и направления государственного воздействия на занятость в переходный период, можно сказать, что в условиях высокого уровня безработицы и необходимости выплаты пособий большому числу безработных не были реализованы страховые принципы функционирования Государственного фонда занятости, поскольку распределение средств среди безработных осуществлялось вне зависимости от сделанных ими отчислений. Пособия по безработице определялись в зависимости от объема ресурсов этого фонда, средства которого использовались преимущественно в рамках пассивной политики, в т.ч. и на другие виды материальной поддержки безработным – оплату жилья, коммунальных услуг, пособия на транспорт, а также выплаты, связанные с преждевременным выходом на пенсию безработных. В рамках активной политики наиболее значительными были следующие виды расходов: - инвестиционная помощь органов службы занятости по поддержанию жизненно важных предприятий и льготные кредиты малым предприятиям; - финансовая помощь крупным предприятиям государственной формы собственности в целях сохранения рабочих мест, а также предприятиям социальной сферы; - обучение и переобучение безработных в соответствии с тенденциями спроса; - организация общественных работ. Главным инструментом реализации политики в сфере занятости были в 90-е годы федеральные программы по содействию занятости, направленные на преодоление безработицы в условиях дефицита рабочих мест и поддержания на определенном уровне занятости. В конечном счете, основными целями воздействия государства на положение с занятостью было: - расширение доступа незанятых граждан к активным программам содействия занятости; - осуществление превентивных мер по предупреждению высвобождения работников и смягчение последствий массовых увольнений; - дальнейшее развитие, повышение качества и продуктивности системы профессионального обучения, роста конкурентоспособности и мобильности рабочей силы. Весьма перспективным направлением содействия занятости следует считать деятельность государства по поддержке и ускорению развития малого предпринимательства, рост на его основе занятости в стране. Несмотря на возрастающие масштабы государственной финансовой поддержки малого предпринимательства - в 2005 г. в объеме 1,5 млрд.руб., в 2007 г. 3 млрд.руб., а при реализации программы развития малого и среднего бизнеса на 2005-2008 гг. Минэкономразвития России - 17 млрд.руб. Россия отстает по уровню развития малого предпринимательства от стран с развитой рыночной экономикой. При доле занятости в этом секторе трудоспособного населения на уровне 17-19% его доля в ВВП составляет 10-12% по сравнению с 50-60% в других странах. Оценивая результативность государства в сфере занятости, необходимо подчеркнуть следующие моменты: государственное воздействие позволило добиться существенного сокращения безработицы и провести широкий комплекс мер по реализации активной политики. Вместе с тем, необходимо отметить основные негативные аспекты государственной политики, появившиеся в отсутствии долгосрочной концепции политики государства на рынке труда в изменившихся макроэкономических условиях, в хроническом кризисе государственного финансирования в лице такого института, как Государственный фонд занятости. Очевидна недостаточная эффективность реализованных государственной службой занятости программ и отсутствие их интеграции с программами социально-экономического развития. Неравномерные процессы формирования рыночных отношений с учетом сложившейся в стране системы разделения общественного труда и территориального размещения производительных сил нашли свое выражение в непропорциональном размещении трудоспособного населения по территории и дифференциации в уровне и масштабах безработицы. В 17 субъектах Российской Федерации уровень безработицы превышал общероссийский в 2 и более раза. Наряду с неравномерностью в уровне безработицы и разнонаправленным изменениям в занятости в условиях переходного к рынку периода (в одних регионах занятость снижалась, в других возрастала) региональные рынки труда характеризовались преобладанием скрытых процессов в сфере занятости. Это проявляется в скрытой безработице, вынужденных администрацией внеочередных неоплаченных или частично оплаченных отпусках, распространении неполной занятости. Особенности социально-экономического развития, а также состояние рынка труда и занятости регионов как объекта государственного регулирования делали неизбежным различия в направленности региональной политики занятости. Последняя - это органическая часть национальной государственной политики с применением принципов дифференциации. Она постепенно приводит к формированию самостоятельных систем регулирования занятости на региональном уровне, призванных способствовать преодолению болезненных явлений, связанных с переходом к рынку. Только на уровне регионов могут успешно решаться вопросы достижения сбалансированности спроса на рабочую силу и ее предложения, максимальной увязки долгосрочных и среднесрочных потребностей в рабочей силе со стороны предприятий и организаций региона с системой профессиональной подготовки рабочей силы. Вместе с тем региональная политика занятости не может быть признана достаточно эффективной. Из-за нехватки финансовых ресурсов в регионах не в полной мере развертывается работа по борьбе с безработицей. Недостаточное внимание уделяется повышению качества рабочей силы с учетом требований социально-экономического развития. При этом государство, реализуя политику выравнивания бюджетного обеспечения регионов, не может обеспечить приемлемый уровень оздоровления региональных бюджетов. В результате первоочередными в регионе становятся меры по организации материальной поддержки безработных. Более того, трансформация системы финансирования политики занятости, связанная с ликвидацией Государственного фонда занятости и переходом на бюджетное финансирование, привела к тому, что региональные службы занятости фактически лишились возможности оказывать финансовую поддержку безработным в виде предоставления ссуд на открытие собственного дела. При неоднозначной оценке результативности государственной политики в сфере занятости в регионе, необходимо подчеркнуть важность накопленного опыта по регулированию регионального рынка труда и развертыванию активной политики в этой сфере. Вместе с тем отсутствуют методы оценки и анализа результативности деятельности служб занятости на местах и, прежде всего, оценки эффективности затрат на мероприятия по содействию занятости по основным направлениям, что свидетельствует о многих неиспользованных резервах совершенствования их деятельности. Проведенный анализ показывает, что на российском рынке труда в 2006-2007 гг. общий уровень безработицы снизился с 7,2% в 2006 г. до 6,1% в 2007 г. Но по-прежнему остается огромным разрыв (в 3 раза) в показателях общей безработицы в стране и официально зарегистрированной безработицы, что свидетельствует о слабой вере граждан страны в способность государственных служб занятости обеспечить их достойной работой и соответственно низких стимулах к регистрации в данных органах. По этому вопросу отметим, что за рубежом данные показатели в основном различаются незначительно, а в некоторых странах идентичны. Также нельзя положительно оценить и высокую долю преобладающей части экономически активного населения на крупных и средних предприятиях и низкую динамику уменьшения данного показателя, что подтверждает низкий уровень развития и роль малого бизнеса в стране. Здесь опять же ситуация обратная сложившейся во многих экономически развитых странах. На основе проведенного анализа видно, что нет прогресса и в выравнивании уровня безработицы по территории страны. Высокая степень дифференциации регионов по уровню безработицы, сложившаяся еще с советских времен в результате неравномерного и «очагового» развития экономики, за 2006-2007 гг. продолжает увеличиваться. Все это в целом показывает низкую эффективность деятельности госорганов занятости, а соответственно и низкую эффективность государственной политики на рынке труда. 2.3. Меры государственной поддержки рынка труда в борьбе с экономическим кризисом Правительством РФ было сказано, что социальные обязательства государства перед населением, принятые до начала кризиса, в 2009 году будут выполнены в полном объеме. В режиме немедленного реагирования Правительство Российской Федерации приняло специальные меры по снижению социальной напряженности, в первую очередь в отношении ухудшающейся ситуации на рынке труда. С начала года в 1,5 раза увеличен максимальный размер пособия по безработице. На высшем правительственном уровне организован и проводится еженедельный мониторинг увольнений работников в связи с ликвидацией организаций или сокращением персонала, а также перевода ряда предприятий в режим сокращенного рабочего времени. Задача органов власти совместно с бизнесом - обеспечить полноценное соблюдение Трудового законодательства в плане социальной защиты высвобождаемых работников, обеспечить прогнозируемость и управляемость процессов высвобождения работников, их «растянутость» во времени с тем, чтобы ни один сотрудник предприятий не был просто выброшен на улицу без средств к существованию и успел адаптироваться к новым условиям. Задача также - обеспечить повышение конкурентоспособности высвобождаемых работников на рынке труда за счет повышения их квалификации, переподготовки по востребованным специальностям, переезда в регионы с дефицитом рабочей силы соответствующей квалификации. В то же время Правительство не ставит ни перед собой, ни перед регионами задачи сохранения рабочих мест на действующих предприятиях «любой ценой». Для повышения эффективности и производительности труда, для адаптации к кризису и повышения конкурентоспособности предприятия должны освобождаться от излишней и неэффективной занятости. Этот процесс объективен. Сохранение неэффективных рабочих мест «бьет», прежде всего, по самим работникам, сохраняя неопределенность их перспектив, снижая доходы, не давая им повысить свою квалификацию и найти более достойное рабочее место. Федеральный бюджет выделил дополнительно 43,7 млрд.рублей на стабилизацию ситуации на рынке труда. Субъектами Российской Федерации приняты 82 региональные программы, предусматривающие опережающее профессиональное обучение работников в случае угрозы массового увольнения, создание временных рабочих мест, организацию переезда увольняемых на работу в другую местность. За счет этих средств проводятся специальные мероприятия по развитию малого предпринимательства и самозанятости безработных граждан. Запланировано направить на опережающее обучение, профессиональную подготовку, переподготовку и повышение квалификации 173 тыс.человек, организовать 982 тыс. временных рабочих мест и рабочих мест на общественных работах, оказать материальную поддержку на предпринимательскую инициативу 55,8 тыс. человек, оказать адресную помощь при переезде в другую местность 15 тыс. человек. Переобучение будет проходить в соответствии с анализом востребованности в среднесрочной и долгосрочной перспективе конкретных профессий. Зачисление на обучающие программы будет происходить по направлению службы занятости, которая будет информировать гражданина обо всех доступных программах. Переобучение будет проводиться на базе отобранных в результате конкурса учебных заведений, которые смогут предложить лучшие программы, ориентированные на востребованные профессии. Одним из важных направлений переподготовки будет подготовка специалистов в сфере жилищно-коммунального хозяйства. Также в целях повышения эффективности функционирования ЖКХ будут создаваться временные рабочие места в области управления домовым хозяйством многоквартирных домов (работа «управдомов»). Дополнительные бюджетные средства будут выделены на переподготовку и повышение квалификации в виде субсидий из федерального бюджета на основании специальных соглашений с субъектами Российской Федерации. Стоимость принятых региональных программ составляет более 25 млрд.рублей, из которых 90% составляют субсидии из федерального бюджета. Остальные средства будут перечисляться в регионы незамедлительно в зависимости от хода процессов, происходящих на региональных рынках труда, и, естественно, при принятии регионами дополнительных мер реагирования на возникающий риск роста безработицы. Объем бюджетных ассигнований, направляемых в виде субвенций бюджетам субъектов Российской Федерации на оказание социальной поддержки безработных граждан и осуществление активных программ содействия занятости безработных граждан будет увеличен на 33,95 млрд.рублей, в том числе 29,8 млрд.рублей на социальную поддержку граждан, признанных в установленном порядке безработными. Повышена информированность работников и работодателей по вопросам предоставления гарантий государства в области занятости населения, о ситуации на рынке труда в субъекте Российской Федерации. Во всех субъектах Российской Федерации организована работа консультационных пунктов и телефонных «горячих линий». Для содействия занятости безработных и незанятых граждан, а также граждан, находящихся под риском увольнения (проживающих во всех субъектах Российской Федерации), организована работа информационного портала «Работа в России». Обновление вакансий осуществляется еженедельно. Для обеспечения защиты трудовых прав граждан в условиях кризиса получит дальнейшее развитие система правовой помощи социально незащищенным слоям населения, в том числе посредствам организации государственных юридических бюро. Особое внимание будет уделено сохранению и созданию рабочих мест инвалидов, которые находятся в наиболее уязвимой ситуации на рынке труда. В частности, условием выделения государственной поддержки системообразующим и иным предприятиям будет сохранение рабочих мест и приоритетное трудоустройство инвалидов. В целях создания условий для трудовой занятости лиц, освобождаемых из мест лишения свободы, снижения уровня рецидивной преступности будет стимулироваться создание в субъектах Российской Федерации центров социальной реабилитации для указанной категории граждан. Для обеспечения приоритетного права российских граждан на трудоустройство на вакантные и вновь создаваемые рабочие места на 2009 год в 2 раза уменьшены квоты на привлечение иностранных работников субъектам Российской Федерации по сравнению с их предложениями[8] . Заключение Безработица - это неполное использование трудовых ресурсов (и капитала), в результате чего фактический объем национального производства оказывается ниже его потенциального уровня. Безработица возникает по разным причинам, в зависимости от которых ее можно разделить на несколько групп: вызванную избытком народонаселения (мальтузианство); обусловленную ростом органического строения капитала (марксизм); связанную с нежеланием работать за низкую заработную плату (нео- классики); обусловленную недостаточностью совокупного спроса (кейнсианцы). Безработица принимает разные формы в зависимости от причин, вызывающих ее. Фрикционная безработица возникает вследствие того, чтоопределенная часть рабочей силы находится в состоянии смены работы,места жительства, поиска работы после окончания учебы, незанятостипо причине рождения ребенка, ухода за больными родственниками ит. п. Структурная безработица является следствием изменения в структуре спроса на труд, которое вызывает несоответствие между спросомработников определенной квалификации в данном районе и предложением их или расхождение между предложением рабочих и спросом на нихпо регионам. В отличие от этих двух форм, составляющих уровень естественнойбезработицы, циклическая безработица порождена низким уровнем совокупных расходов в экономике, т. е. фазами спада и депрессии деловогоцикла. Именно поэтому рост циклической безработицы ведет к экономическим потерям в обществе. Безработица порождает не только экономические потери в виде недопроизводства ВВП, но и социальные, нравственно-психологические и даже политические издержки. От безработицы страдают личные интересы работников и их семей, рушатся судьбы и надежды миллионов людей, растут показатели таких явлений «социальной патологии», как смертность, убийства исамоубийства, грабежи, нервно-психические и другие болезни и т. п. Высокая и продолжительная безработица, сопровождаемая обнищанием широких слоев населения, может приводить к установлению диктаторских, национал-патриотических и фашистских режимов. Все это ставит борьбу сбезработицей на одно из центральных мест в системе государственногомакроэкономического регулирования экономики. Рынок труда в России нельзя назвать устоявшимся и сбалансированным, хотя во многих его сферах отмечаются позитивные изменения. Анализ российского рынка труда показывает, что на российском рынке труда в 2006-2007 гг. общий уровень безработицы снизился с 7,2% в 2006 г. до 6,1% в 2007 г. Но по-прежнему остается огромным разрыв (в 3 раза) в показателях общей безработицы в стране и официально зарегистрированной безработицы, что свидетельствует о слабой вере граждан страны в способность государственных служб занятости обеспечить их достойной работой и соответственно низких стимулах к регистрации в данных органах. По этому вопросу отметим, что за рубежом данные показатели в основном различаются незначительно, а в некоторых странах идентичны. На основе проведенного анализа видно, что нет прогресса и в выравнивании уровня безработицы по территории страны. Высокая степень дифференциации регионов по уровню безработицы, сложившаяся еще с советских времен в результате неравномерного и «очагового» развития экономики, за 2006-2007 гг. продолжает увеличиваться. Все это в целом показывает низкую эффективность деятельности госорганов занятости, а соответственно и низкую эффективность государственной политики на рынке труда. В связи с экономическим кризисом борьба с безработицей названа одной из антикризисных мер правительства. На российском рынке труда необходимо активный тип воздействия на уровень занятости, который заключается в стимулировании создания новых рабочих мест и предложении труда и мерах по сохранению и повышению уровня занятости на предприятиях. Для увеличения масштабов занятости населения необходимо следующее: 1. развитие законодательных и организационных механизмов; 2. государство обязано сформулировать общероссийские и региональные приоритеты в сфере занятости; 3. создание стабильной сети контактов между работодателями, учреждениями профессионального образования и государством. Список использованной литературы 1. Закон Российской Федерации «О занятости населения в Российской Федерации» от 19 апреля 1991 года №1032-1 2. Постановление Правительства Российской Федерации от 8 декабря 2008 года № 915 «О размерах минимальной и максимальной величин пособия по безработице на 2009 год» 3. Белокрылова А.С., Заиченко А.А. Занятость и рынок труда в переходной экономике: теория и практика. Ростов-на-Дону: Феникс, 2004 4. Бреев Б. О качестве занятости населения России. // Общество и экономика, 2005. № 7-8 с. 305-325 5. Булатов А.С. Общая экономика. М.: Юристъ, 2002 6. Ивашковский С.Н. Макроэкономика. М.: Дело, 2002 7. Калашников С. Развитие рынка труда - неотъемлемый элемент государственной политики//Человек и труд. 2007. № 5. С. 34-36 8. Кибанов А.Я. Экономика и социология труда: Учебник. - М.: ИНФРА-М, 2003 9. Козырев В.М. Основы современной экономики. М.: Финансы и статистика, 2007 10. Куликов Л.М. Основы экономических знаний: Учеб.пособие. - М.: Финансы и статистика, 2004 11. Лебедев О.Т., Филиппова Т.Ю., Каньковская А.Р. Основы экономики: Учебное пособие. СПб.: Питер, 2007 12. Макроэкономика: уч. пособие / С.Г. Капканщиков. – М.: КНОРУС, 2007 13. Официальный сайт Федеральной службы по труду и занятости http://www.rostrud.info 14. Официальный сайт Правительства РФ http://www.government.ru/ 15. Официальный сайт Федеральной службы государственной статистики http://www.gks.ru 16. Слагода В.Г. Экономическая теория. – М.: ФОРУМ, 2008 17. Теоретическая экономика/ Под ред. Г.П.Журавлевой, Н.Н.Мильчаковой. М.: ИНФРА-М, 2006 18. Экономика: Учебное пособие. Под ред. А.С.Булатова. М.: БЕК, 2002 19. Экономическая теория. / Под общей ред. В.И.Видяпина, А.И.Добрынина, Г.П.Журавлевой, Л.С. Тарасевича. – М.: ИНФРА-М, 2003 20. Экономическая теория/ Под ред. Л.И.Архипова Л.И., Нестеренко А.Н., Большакова А.К. М.:НОРМА-М , 2006 [1] Лебедев О.Т., Филиппова Т.Ю., Каньковская А.Р. Основы экономики: Учебное пособие. СПб.: 2007. - с. 171 [2] Экономическая теория/ Под ред. Л.И.Архипова Л.И., Нестеренко А.Н., Большакова А.К. М.:НОРМА-М , 2006. – c.169. [3] Экономическая теория/ Под ред. Л.И.Архипова Л.И., Нестеренко А.Н., Большакова А.К. М.:НОРМА-М , 2006. – с.263. [4] Теоретическая экономика/ Под ред. Г.П.Журавлевой, Н.Н.Мильчаковой. М.: 2006. - с. 279 [5] Кибанов А.Я. Экономика и социология труда: Учебник. - М.: ИНФРА-М, 2003. – с.321 [6] Официальный сайт Федеральной службы государственной статистики http://www.gks.ru [7] Официальный сайт Федеральной службы по труду и занятости http://www.rostrud.info [8] Официальный сайт Правительства РФ http://www.government.ru/ |
||||||||||||||||||||||||||||||||||||||||||||||||||||||||||||||||||||||||||||||||||||||||||||||||||||||||||||||||||||||||||||||||||||||||||||||||||||||||||||||||||||||||||||||||||||||||||||||||||||||||||||||||||||||||||||||||||||||||||||||||||||||||||||||||||||||||||||||||||||||||||||||||||||||||||||||||||||||||||||||||||||||||||||||||||||||||||||||||||||||





