Шпаргалка: Методы учета затрат в менеджменте
|
Название: Методы учета затрат в менеджменте Раздел: Рефераты по менеджменту Тип: шпаргалка | |||||||||||||||||||||||||||||||||||||||||||||||||||||||||||||||||||||||||
1. Роль метода «Стандарт-кост» в управлении производством Система «стандарт-кост» представляет собой систему учета затрат и калькулирования себестоимости с использованием нормативных (стандартных) затрат. В основе ее лежит принцип учета и контроля затрат в пределах установленных норм и нормативов и по отклонениям от них. До начала производственного процесса проводится предварительное нормирование затрат. Как правило, нормативные затраты определяются по следующим статьям расходов: основные сырье и материалы; оплата труда основных производственных рабочих; накладные расходы. Нормы расходов сырья и материалов и нормы оплаты труда основных производственных рабочих исчисляются на единицу продукции. Для расчета накладных расходов составляются сметы, которые носят постоянный характер. В случае значительных колебаний объема производства, которые могут привести к изменению величины накладных расходов, составляются скользящие сметы с разбивкой всех статей накладных расходов на постоянные и переменные элементы. Для переменной части разрабатываются нормативные величины. Для расчета стандартной себестоимости нормативные затраты на сырье и материалы, на оплату труда и нормативные накладные расходы суммируются. В ходе осуществления производственной деятельности фиксируются все факты отклонений от нормативных показателей. На основе детального анализа причин отклонений разрабатываются управленческие решения по устранению этих причин. Одним из результатов может стать, в частности, уточнение самих стандартов. Среди основных недостатков системы «стандарт-кост» можно выделить следующие. 1. Система зависима от внешних условий. Изменения в законодательстве, изменения цен поставщиков, влияние фактора инфляции осложняют расчет нормативных затрат, которые должны быть неизменными в течение определенного периода. 2. Систему невозможно применить на всех стадиях жизненного цикла продукции. Как правило, в период разработки и внедрения товара на рынок затраты более непредсказуемы, поэтому расчет нормативных затрат может быть осуществлен в достаточной степени приблизительно. Кроме того, если жизненный цикл товара непродолжителен, то применение системы возможно лишь на незначительном отрезке времени. 3. Система не охватывает качественных показателей деятельности предприятия. Поскольку система опирается на показатели производительности и величины затрат при решении основной задачи – минимизация затрат и отклонений фактических показателей от нормативных, проблемы улучшения качества продукции, расширения номенклатуры дополнительных услуг остаются вне системы. 4. Отклонения от нормативных затрат, показывающие превышение фактических затрат над нормативными (или наоборот), как правило, слишком агрегированы, но не всегда привязаны к конкретным видам продукции, технологическим участкам, партиям продукции. Сфера применения данной системы учета затрат достаточно широка, исключение составляют предприятия с непостоянной номенклатурой выпускаемой продукции или нестабильной технологией производства, а также деятельность на этапе разработки и внедрения нового вида товара. Система «стандарт-кост» является продолжением нормативного метода учета затрат, но не является его аналогом. Обе системы предполагают учет полных затрат и учитывают затраты в пределах норм. В рамках нормативного метода отклонения от нормативных затрат включаются в себестоимость, тогда как в системе учета «стандарт-кост» сверхнормативные расходы относятся на финансовые результаты или на виновных лиц. При нормативном методе нормируются прямые затраты, а косвенные распределяются между объектами калькулирования индексным методом. В системе «стандарт-кост» стандарты разрабатываются для всех видов затрат, а также для доходов и некоторых производственных показателей. 2. Вычисление отклонений от норм по материальным и трудовым затратам и их анализ Отклонение представляет собой разницу между фактическим значением и значением, предусмотренным сметой (разница между фактическими и нормативными затратами). Если фактические затраты меньше нормативных, то отклонение благоприятное, и наоборот. Для прямых материалов и прямого труда, определяют два вида отклонений: отклонение по цене или по ставке и отклонение по количеству или по производительности. Отклонение по материалам: · По цене = фактически купленное кол-во * (фактическая цена – нормативная цена) · По количеству используемых материалов = нормативная цена*(фактически используемое количество – нормативное количество для фактического выпуска) Отклонение по трудозатратам: · По ставке = фактически отработанные часы * (фактическая ставка – нормативная ставка) · По производительности = нормативная ставка * (фактически отработанные часы – нормативное время для фактического выпуска) 3. Методы распределения затрат вспомогательных производств Существуют следующие методы распределения затрат вспомогательных производств: · Прямой метод (игнорирует вспомогательные услуги одного вспомогательного производства другому; все вспом. услуги списываются напрямую на затраты основного цеха); · Пошаговый метод (цикл распределения начинают с цеха, который оказывает услуг больше, чем потребляет; эти услуги распределяются между вспомогательными и производственными цехами); · Метод повторного распределения (распределение продолжается до тех пор, пока цифры не станут предельно малы); · Метод системы линейных уравнений (яв-ся наиболее точным; сначала составляется система линейных уравнений, а затем распределяются затраты в установленных долях). 4. Сущность и организация учета затрат вспомогательных производств Вспом. является производство, которое вырабатывает продукцию (работу, услуги), потребляемые основным производством, собственным капитальным строительством и реализуется на сторону, их главной особенностью является оказание друг другу услуг, которые называются встречными. Встречные услуги передаются по плановой себестоимости. По характеру вспом. произ-ва делятся на простые и сложные. Простые вырабатывают однородную продукцию и не имеют НЗП (автотранспорт, электростанции). Сложное произ-во вырабатывает разнородную продукцию, имеет НЗП и требует организации учета по отдельным видам продукции. Номенклатура затрат зависит от характера и сложности произ-ва и вкл. в себя: осн. и вспом. материалы; топливно-энергетические и технологические расходы; осн. и дополн. зарплата; отчисления на соц. нужды; накладные расходы. Учет затрат вспомогательного произ-ва ведется на счете 8310. По окончании отчетного периода счет 8310 должен быть закрыт.
5. Организация бюджетирования. Определение и сущность бюджета Бюджет для компании – высокоэффективный инструмент, позволяющий контролировать деятельность и результативность как каждого центра в отдельности, так и всего предприятия в целом. Бюджет – количественное выражение плана в натуральных и денежных измерителях. После разработки структуры бюджетов можно перейти к планированию. На этой стадии разрабатываются планы деятельности предприятия на будущий период, которые наполняют систему бюджетов конкретными показателями. В результате все мероприятия представляются в финансовом выражении в виде бюджетов. Горизонт планирования определяется в зависимости от специфики предприятия, длительности хозяйственного цикла и потребности в управлении. Для большинства предприятий горизонт планирования равен году. Планы могут составляться двумя способами: · пересчетом результатов предыдущего периода с использованием коэффициентов; · прогнозированием развития предприятия на основе оценки различных факторов. После принятия планов к исполнению нужно заложить механизм и периодичность их корректировки. Реальная ситуация может существенно отличаться от запланированной, особенно в условиях периодической российской нестабильности, и нужно иметь инструмент и возможность вносить в планы те события, которые произошли в жизни предприятия после утверждения планов. Так реализуется система бюджетного управления на предприятии. В целом система бюджетного управления охватывает весь цикл управления. Бюджетное управление – оперативная система управления компанией по центрам ответственности с помощью бюджетов, позвол-е достигать поставленных целей. В бюджетном управлении различают: центр инвестиций, центр маржинального дохода, центр выручки и центр затрат. Система бюджетного управления базируется на своей системе учета, на финансовой структуре предприятия, на системе бюджетов и процедурах контроля. Её постановка производится в следующем порядке: формулировка целей организации; утверждение финансовой структуры; разработка системы бюджетов; составление планов; контроль. Бюджетное управление – это управленческая технология финансового планирования, учета и контроля доходов и расходов, получаемых от бизнеса на всех уровнях управления, которое позволяет анализировать планируемые и финансовые показатели. Оно дает возможность составить точную, удобную для восприятия, контроля, анализа и планирования картину, отражающую реальное состояние, с четким выявлением приоритетов развития компании. Бюджетное управление предназначено для выработки и повышения финансовой обоснованности принимаемых управленческих решений. Бюджетное управление – это эффективный инструмент, который дает ясное представление о возможностях и перспективах компании. 6. Виды бюджетов и их характеристика Процесс составления орг-ей бюджета наз. Бюджет. циклом и состоит из след-х этапов: · планирование, с участием руков-ей всех центров отв-ти, дея-ти орг-ции в целом, а также ее структ-ых подразд; · определение показателей, которые будут использоваться при оценке этой дея-ти; · обсуждение возможных изменений в планах, связанных с новой ситуацией; · корректировка планов, с учетом предложенных поправок. Информация, содержащаяся в бюджете, должна быть предельно точной – определенной и значащей для ее пользователя. В зависимости от поставленных задач различают следующие виды бюджетов: генеральный и частные; гибкие и статические. Бюджет, который охватывает общую деятельность предприятия, называется генеральным. Его цель – объединить и суммировать сметы и планы различных подразделений предприятия, называемые частными бюджетами. В результате составления генерального бюджета создаются: прогнозируемый баланс; план прибылей и убытков; прогноз движения денежных средств. Генеральный бюджет любой организации состоит из двух частей: 1) операционного бюджета – включающего план прибылей и убытков, который детализируется через вспомогательные (частные) сметы, отражающие статьи доходов и расходов организации; 2) финансового бюджета – включающего бюджеты капитальных вложений(инвестиций), бюджет доходов и расходов, движение денежных средств и прогнозируемый баланс. Статистический бюджет – планируемый на конкретный уровень реализации. В этом бюджете з-ты орг-ции планируются. Стат. бюджет вкл д-ды и р-ды исходя из запланир. объема реализации. Гибкий бюджет – связывающее звено между плановым бюджетом и достигнутыми факт рез-ми. К операционным бюджетам относятся: Бюджет продаж; Бюджет запасов; Бюджет производства; Бюджет потребностей в материалах; Бюджет прямых затрат на оплату труда; Бюджет общепроизводственных расходов; Бюджет цеховой себестоимости; Бюджет коммерческих расходов; Бюджет общехозяйственных расходов; Бюджет капитальных вложений; Классификация видов бюджетов предприятия.
7. Функции бюджета. Этапы составления сметы Бюджетирование выполняет следующие основные функции: · Функция планирования. Исходя из стратегических целей предприятия, система бюджетирования решает задачи распределения финансовых ресурсов, находящихся в распоряжении предприятия. Формируется количественная определенность выбранным перспективам развития предприятия, все затраты и результаты приобретают денежное выражение. · Функция учёта. Формирует основу управленческого учёта. Позволяет получать точную информацию: по подразделениям, видам продукции и т.п. Также позволяет сравнивать намеченные цели с действительными результатами работы предприятия. · Функция контроля. Бюджет представляет собой набор показателей (критериев) которые должны использоваться при контроле деятельности предприятия. Также, бюджетное планирование позволяет выявить отклонения от плановых показателей и скорректировать действия. Бюджеты должны постоянно пересматриваться и корректироваться по мере необходимости для установления объективности затрат по достижению поставленных целей. Система бюджетирования в управленческом учёте позволяет отражать: движение денежных средств, финансовых ресурсов, активов предприятия. Рис. Этапы разработки бюджета.
Различают два подхода к составлению бюджета: 1. Подход «сверху вниз», при котором бюджет сост. одним из подразделений предприятия, чаще всего плановым отделом, далее бюджеты доводят до каждого подразделения и принимаются к исполнению; 2. «снизу вверх», при котором бюджеты сост-ся менеджерами подразделений, в соотв-ии с целями орг-ции. В дальнейшем бюджеты подразделений объед-ся в общий бюджет компании, бюджеты подразделений анализ-ся, коррект-ся и утв-ся на всех уровнях управления, далее утв-й бюджет доводится до раб-в нижнего звена. В международной практике популярен подход «по сценарию», основанный на анализе «что будет если…». Если в течении периода фактические затраты ниже или выше запланированных цифр главного бюджета, то предприятие переходит на один из составленных сценариев. 8. Комплексные затраты и методы их распределения Затраты комплексных и совместных производств – это затраты, связанные с единым технологическим процессом в ходе которого произв-ся 2 и более продукта. Основной причиной распределения затрат комплексных производств яв-ся оценка запасов и определение с/с произведенной и реализованной продукции для финансовой и налоговой отчетности. Существует 4 метода распределения комплексных затрат: 1. Метод стоимости продаж (распределяет комплексные затраты на основе рыночной стоимости продукта в точке раздела, предполагается что более высоким ценам реализации соотв-ют более высокие затраты); 2. Метод натуральных показателей (исп-ся натуральные показатели, такие как вес или объем продукции; метод исп-ся тогда, когда цены реализации совместных продуктов существенно не отличаются; предполагается, что каждый продукт приносит одинаковый доход и следовательно доля комплексных затрат начисляется на каждый продукт пропорционально его доле в общем объеме производства); 3. Метод чистой стоимости реализации (распр-ет компл. затраты на основе чистой стоимости реализации (ЧСР= цена реализации – делимые затраты (затраты, связанные с продуктом после точки раздела))); 4. Метод постоянной доли валовой прибыли (компл. затраты распр-ся так, чтобы общий% валовой прибыли был одинаков для каждого вида продукции; данный метод вкл.: расчет% валовой прибыли; определение с/с реализованной продукции и распр-ие компл. затрат). 9. Характеристика количественных показателей CVP-анализа Анализ величины издержек, объема производства и прибыли (CVP)» представляет собой анализ соотношения между суммарными затратами, доходами (и, следовательно, прибылями предприятия) и объемом производства предприятия. «Анализ безубыточности» является вариантом CVP-анализа, который исследует эти соотношения более узко. В обоих методах используются одни и те же допущения и данные. Отличия между двумя методами заключаются в разных формах представления и анализа данных, и различных областях соотношений, на которых сосредоточен каждый из методов. При необходимости из обоих методов можно извлечь одну и ту же информацию. Безубыточность – такое состояние, когда бизнес не приносит ни дохода, ни убытка. Анализ безубыточности закл. В определении точки объема продаж, в кот-ой затраты = выручке. Данную точку называют точкой безубыточности (крит. Точкой, мертвой точкой, точкой равновесия). Целью анализа безубыточности (маржинального анализа, CVP-анализа) яв-ся: установить, что произойдет с финн. Результатами, если изменить уровень деятельности или объем производства пр-ии. CVP-анализ занимает одно из центральных мест при планировании произв. деят-ти, при принятии упр. Решений, поскольку в процессе анализа изучается причинно-следственная связь конкретных показателей предприятия: ден. ед. не подверж. инф-ии; все др. переем. ост-ся пост., т.е. объем пр-ва – единственный фактор, который может вызвать изменение затрат и поступления от реализации пр-ии. Исследование такого соотношения может быть использовано предприятием при учете предположений и ограничений анализа различными способами, включая: · Сметное планирование: Анализ CVP может быть использован для прогнозирования объема продаж, необходимого предприятию для безубыточного ведения дела или получения определенной суммы прибыли. · Установление цен: Цена, установленная предприятием на свой товар или услугу, должна быть достаточной для покрытия суммарных затрат предприятия при ожидаемом объеме продаж по этой цене. Анализ CVP охватывает все эти три фактора (т.е. доходы, затраты и объем производства) и, таким образом, может быть использован для прогнозирования общей прибыли, которую предприятие получит при различных продажных ценах. · Решения по структуре затрат: Структура затрат предприятия (т.е. доли возникающих постоянных и переменных затрат) влияет на точку безубыточности и прибыльность предприятия при различных уровнях деловой активности. Анализ CVP может быть использован для оценки воздействия изменений в структуре затрат на общую прибыльность предприятия. · Решения по объему продаж: Анализ CVP может быть использован для оценки воздействия изменений в объеме продаж на общую прибыльность предприятия. Как отмечалось ранее, при использовании этого метода при принятии решений вы должны помнить о допущениях, на которых основан анализ CVP. Игнорирование допущений может привести к неправильному применению анализа CVP, если допущения являются необоснованными и, следовательно, привести к принятию неправильного решения. Основными допущениями, на которых основан анализ CVP, являются следующие: · Все затраты могут быть рассмотрены либо как постоянные, либо как переменные. · Постоянные затраты не изменяются вместе с изменениями объема производства. · Переменные затраты на единицу продукции являются постоянными (т.е. суммарные переменные затраты изменяются вместе с объемом производства, но переменные затраты в расчете на единицу продукции всегда остаются постоянными). · Продажная цена единицы продукции является постоянной (т.е. установленная однажды цена в расчете на единицу продукции не изменяется). · Объем производства является единственным фактором, влияющим на изменения затрат и доходов предприятия. · Объем продаж равен объему производства (т.е. в течение рассматриваемого периода изменений в уровнях запасов не происходит). · Ассортимент продукции на предприятии, где производится ряд различных товаров или оказывается несколько видов услуг, является неизменным. Переменные затраты и продажная цена на единицу продукции, используемые при анализе, представляют собой средневзвешенный показатель затрат на различные единицы продукции и цен на соответствующие товары или услуги. На основании приведенных выше допущений можно сделать вывод, что анализ CVP тесно связан с системой калькуляции по предельным затратам. Если мы вернемся к нашему простому примеру со счетом прибылей и убытков с калькуляцией по предельным затратам, то получим:
Анализ CVP обычно проводится с использованием графиков для представления отношения между затратами, доходами и объемом производства. В следующих двух разделах этого блока вы рассмотрите вопросы, связанные с подготовкой и объяснением этих графиков. 10. CVP -анализ, определение точки безубыточности производства, построение графика безубыточности Существует 3 метода определения точки безубыточности: 1. Метод уравнений. Выручка – Пер. затраты – Пост. затраты = Доход до налогообложения. 2. Метод маржинального дохода. Закл-ся в том, что крит. точку находят с помощью маржинального дохода. Маржинальный доход = Выручка – Пер. затраты. Тб= Пост. затраты/ МД ед. 3. Метод графического изображения. Закл-ся в том, что крит. точка нах-ся путем изображения на графике линии переем. затрат, линии пост. затрат и линии выручки. Точка пересечения линии выручки и линии пост. затрат это и есть Тб. Графики безубыточности показывают объем суммарных постоянных затрат, суммарных переменных затрат, общих затрат (сумма общих постоянных и общих переменных затрат) и совокупный доход для всех уровней деятельности (объемов продаж) предприятия при заданной цене продаж.
«Точка безубыточности» представляет собой уровень продаж, при котором совокупный доход равен суммарным затратам. В этой точке предприятие считается безубыточным (т.е. оно получает нулевую прибыль и / или несет убыток, равный нулю). На графике точка безубыточности определяется как точка пересечения прямой суммарных затрат и прямой доходов или продаж. Для руководства точка безубыточности является важным ориентиром в анализе, так как она показывает уровень продаж, ниже которого предприятие будет нести убыток. По этой причине ее можно рассматривать как минимально приемлемый уровень продаж продукции или услуг. Точку безубыточности можно также определить при помощи следующей формулы:
или
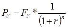
Процент маржинального дохода также называется коэффициентом P/V и просто выражает удельный маржинальный доход как процент от продажной цены единицы продукции. Обе приведенные формулы выводятся из математического уравнения, вытекающего из счета прибылей и убытков с калькуляцией по предельным затратам: Прибыль = Продажи – Переменные затраты – Постоянные затраты Сумма, на которую объем продаж превышает суммарные затраты, является прибылью, получаемой предприятием. Коэффициент P/V, известный также как коэффициент маржинальный доход / продажи (коэффициент C/S), является относительным показателем маржинального дохода, выраженного как процент от продаж. Коэффициент может быть определен в расчете на единицу продукции или при помощи показателей общего объема продаж и суммарных переменных затрат. Вы могли встречать этот коэффициент раньше под названием «валовая прибыль». Графики зависимости прибыли от объема производства. «Графики зависимости прибыли от объема производства (P/V)» представляют собой просто упрощенный вариант графика безубыточности. При их построении используются одни и те же допущения и данные, и они представляют одну и ту же информацию, но в различных форматах. График P/V упрощает график безубыточности, заменяя прямые продаж и затрат одной прямой прибыли. Это упрощение позволяет вам определять прибыль, ожидаемую при любом заданном объеме продаж, непосредственно на графике. При использовании графиков безубыточности прибыль может быть рассчитана только путем установления отклонения на графике между прямой продаж и прямой суммарных затрат при любом объеме продаж. 11. Недисконтированные методы оценок инвестиций, их сравнение 1. Метод окупаемости – определяет время, необходимое для поступления денежных средств от вложенного капитала. Период окупаемости = первоначальные инвестиции / ежегодный чистый денежный поток. Недостатки: игнорирует временную стоимость денег; игнорирование денежных потоков после времени окупаемости; 2. Учетный коэффициент окупаемости – основывается на учетной прибыли и определяется деление среднегодовой прибыли по проекту на первоначальные инвест. вложения. Недостаток: игнорирует временную стоимость денег. 12. Дисконтированные методы оценок инвестиций, их сравнение 1. Дисконтированный денежный поток. Методы диск-х ден-х потоков измеряют все ожидаемые будущие ден-ые поступления и выплаты на опред-ый момент времени. Данные методы исп-ют временную стоимость денег. Дисконтирование – процесс определения текущей стоимости будущих денежных потоков. Дисконтированная стоимость не зависит от инфляции. Будущая стоимость – стоимость в будущем, инвестируемых сейчас денежных средств FV .
где: PV - наст. ст-ть; r -%; n – число периодов. Определение будущей стоимости сегодняшних денег наз-ся компаундированием (наращиванием). Текущая стоимость. 2. Чистая приведенная стоимость (NPV) – определяет ожидаемую денежную выгоду от проекта посредством дисконтирования всех ожидаемых денежных поступлений и выплат на текущий момент времени с использованием требуемой ставки доходности.
3. Внутренняя ставка доходности (IRR) – определяет ставку дисконтирования при которой NPV равна первоначальным инвестициям, то есть равна нулю.
Сравнение NPV и IRR: · Основным преимуществом NPV над IRR яв-ся то, что NPV позволяет получать результаты в денежном измерении, а не в процентном отношении. Метод NPVвыбирает проекты, которые в большей степени увеличивают благосостояние акционеров. · Метод IRR допускает, что чистые денежные потоки реинвестируются в бизнес по внутренней норме доходности, а NPV подразумевает, что они реинвестируются по ставке дисконтирования, что более реально на практике. · NPV имеет преимущество в случаях, если в течении срока проекта имеют место несколько требуемых ставок доходности. Если проекты взаимоиск-ся, то как правило выбирают проекты с наибольшим NPV. 13. Трансфертное ценообразование: понятие, требования и значение Составной частью ценовой политики п/п яв-ся разработка механизма трансф. цен. Трансфертная (внутренняя) цена – цена, исп-ая для определения стоимости готовой пр-ии передаваемая одним центром ответственности к другим внутри одной организации. Проблема внутреннего ценообразования яв-ся актуальной для экон. деят-ти отечеств. Производителей, особенно со сложным технологическим процессом, поэтому установление трансф. цен зависит от сущ-х форм организации пр-ва, кот. Бывают 2х видов: централизованное и децентрализованное. При централизованной форме орг-ии пр-ва обмен продукцией (услугами) между центрами ответственности преимущ-но осущ-ся на основе фактической с/с. При децент. системе пр-ва, когда центра ответственности яв-ся относ-но автономными трансф. цена должна назначаться с таким расчетом, чтобы с ее помощью можно было определить реальный и достоверный показатель прибыли для каждого центра ответственности. Причинами широкого распространения этого механизма стали неразвитость рынка и рыночных институтов, высокая степень монополизации отдельных секторов экономики, отсутствие сводной информации о рыночных сделках и рыночных ценах, а также различия в условиях налогообложения в разных субъектах. С точки зрения экон. теории трансф. цена – это цена, используемая крупными компаниями, корпорациями, и в частности транснациональными, в сделках, совершаемых между своими филиалами, подразделениями или дочерними обществами. Трансфертная цена может быть ниже цены, применяемой по сходным сделкам, в несколько раз. Установление трансф. цены должно отвечать след. треб-ям: · Способствовать достижению произв. п/п намеченных целей и обеспечивать гармоничное сочетание целей подразделений с общей целью компании; · Быть гибкой и равнозначной для менеджеров разных уровней управления; · Способствовать сохранению автономности центра позволяющ. руководителям как продающих так и покупающих подразделений упр-ть затратами на децентр. основе; · Быстро реагировать на измен-ся условия рынка, давать возможность направ-ть прибыль туда, где она найдет лучшее применение; · Соотв-ть требования законодательства; · Содействовать развитию кооперации между различными подразделениями и типами пр-в. 14. Способы установления трансфертной цены Существует множество способов уст-ия трансф. цены при внутрифирменной передаче, которые объединяются в два подхода: 1. Ценообразование «затраты+»; 2. Рыночное ценообразование. Подход «затраты+» исп-ет затраты, как базу к которой прибав-ся надбавка для получения требуемой цены. Данный подход обычно прим-ся там, где менеджеры несут ответственность за расход средств в своих подразделениях. Недостатком этого подхода в-ся то, что чем выше фактическая с/с, тем выше подразделение будет уст-ть продажную цену. В рамках подхода «затраты+» выделяют несколько приемов: · Полные затраты + надбавка, согласно которому в качестве базы затрат исп-ся полные издержки на единицу продукта; · Произв-ые затраты + надбавка; · Переменные затраты + надбавка, за базу для уст-ия цены применяются только переменные затраты. Метод определения трансф. цен на основе переем. затрат имеет преимущество перед методом учета полных затрат, так как способствует лучшему исп-ию ресурсов компании в краткосрочном периоде. 15. Понятие релевантности. Релевантный подход в управлении Классификация затрат для упр. решений ключ. место занимает признак сущ-ти инф-ии согласно которому затраты, а также доходы делятся на релевантные и нерелевантные. Релевантная инф-ия сущ-на для принятия решений, т.е. она содержит те данные, которые следует принимать в расчет при подготовке инф-ии для менеджеров. Нерелевантная инф-ия вкл-ет несущ-ые избыточные данные о затратах и доходах. Релев-ые затраты и доходы – это ожидаемые будущие затраты и доходы, кот. различаются по альтернативным вариантам. Релев-ми могут быть только затраты во-первых относ-ся к будущему упр. решению, во-вторых отлис-ся по вариантам. Фактические (исторические данные) сами по себе не яв-ся релевантными. Они не будут полезными при принятии решений. Релевантный подход позволяет сконц-ть внимание только на релев-ой инф-ии. Он действует на основе 2 правил: 1. Инф-ия для руководителей должна быть предоставлена в удобном виде и не должна содержать избыточных данных; 2. Инф-ия для руководителей должна обеспечивать правильное решение. Разница в затратах и доходах по альтернативным вариантам наз-ся приростными или инкрементными затратами или доходами. Метод используемый для сравнения альтернативных проектов отклонения по статьям доходов и расходов называется приростным анализом. 16. Использование релевантного подхода в типичных хозяйственных ситуациях 3. Принятие спец. заказа. спец-е ценообразование требуется при рассмотрении единовременных заказов на пр-ию, которая не имеет долгосрочн. негат-х последствий для компании. 4. Решение типа купить или производить самим. Рук-во произв. подразделений часто сталкивается с проблемой производить самим или покупать на стороне отд-ые или все части произв-го продукта, это наиболее общая проблема произв-в треб-х сборочных операций. Для ее решения необходимо определение всех элементов затрат и доходов релев-х к такому роду решения. Здесь необходимо учитывать след-е данные: При варианте производить: · Потребность в долгосрочном оборудовании; · Переменные затраты по производству этой детали или части; · Затраты на ремонт и тех. обслуживание оборудования; При варианте купить: · Цену закупки детали, узла или полуфабриката; · Арендную плату и другие поступления, получ-ые от исп-ия освоб-ся произв-х мощностей; · Ликвид-ая ст-ть оборудования. 5. Опр-ие стр.-ры пр-ии с учетом лимитирующего фактора. В группе таких решений присутствуют ситуации, когда некот-ые факторы препятствуют расширению объема пр-ва или продаж, такие факторы яв-ся лимитирующими. Они делятся на внешние (ограничение по снабжению) и внутренние (произв-ые, фин-ые, орган-ые факторы). В условиях действия лимит-го фактора руководству часто приходится выбирать опр. виды продукции, заказы и услуги, которые приносят наибольшую прибыль, для этого исп-ся маржин. подход. 6. Решение по прекращению деят-ти неприбыльного сегмента. Основная проблема, которая необ. решить – оставить продукт, услугу или подразделение или нет. Анализ закл-ся в сравнении 2-х отчетов о доходах и расходах компании, один из кот-х вкл. все данные о сегменте, а во втором эта инф-ия исключается. Существует правило: невыгодно ликвидировать какой-либо сегмент деят-ти, для кот-го суммарный маржинальный доход превышает устранимые пост-ые затраты. Так как вместе с устранимыми затратами устранимым яв-ся и операционный доход. 7. Модернизация оборудования. принятие решений по капитальным вложениям предст-ет 1 из наиболее важных и трудных классов задач перед руководством, так как они связаны с проблемами страт. развития компании. Приобретение объектов основных средств требует затрат значительных ср-в и принятия такого рода решений требует учитывать прогнозные доходы и расходы на весь срок эксплуатации капит-х активов. 17. Калькулирование по системе – «точно в срок» Система пр-ва «точно в срок» – это метод произ. процесса при котором продукты произ-ся только тогда, когда в них есть необходимость, при этом протекающие на п/п процессы снабжения производства, орг-ые таким образом, чтобы максимально снизить непроизв. затраты, ликвидировать операции и процессы не дающие доп. улучшений пр-ии. Система может быть организованна на базе непрерывного поточного пр-ва, при этом по принципу непрерывного потока орг-ся не только произв. процесс, но и все компоненты бизнес-процесса от поставщика до покупателя. Каждая операция яв-ся продолжение предыдущей, при каждой операции произв-ся только то, что треб-ся для след операции. Движение материалов линейно, то есть они доставляются только к моменту их использования («поставка с колес»), остатки НЗП сведены к минимуму. Система зародилась в Японии в 70-х годах 20 века, в компании «Тайота» и в наст. время примен-ся с большим успехом. Главной целью системы яв-ся уничтожение любых личных расходов и эффективное исп-ие произв-го потенциала п/п. Система предусматривает уменьшение размера партий, ликвидацию НЗП и сведение к минимуму объемов ТМЗ. При этом упрощается система производственного учета: 1. Учет материалов и НЗП ведется на одном обособленном счете «Материалы и производство», т.е. затраты, связанные с приобретением материалов сразу же относятся к производственным и отражаются корреспонденцией: Дт «Материалы и производство», Кт «Задолженность поставщикам»; 2. Расходы на оплату труда осн. произв. рабочих искл. из состава прямых затрат и включается в состав ПНР; 3. ПНР закрываются не на счете» Основное пр-во», а на счете «Готовая пр-ия». Экономия или перерасход относятся к расходам периода. Т.о. в основе калькул-ой системы №точно в срок» лежит принцип ликвидации избыточной информации для управления. Достоинства системы: · Уменьшение уровня запасов и минимизация вложений в сырье и материалы; · Использование долгосрочных связей с покупателями и снижение затрат на заключение договоров; · Повышение качества пр-ии, т.к. система позволяет легко находить причину брака; · Минимальный входной контроль качества, т. к. связи с поставщиками долговременны и при заключении договоров могут быть предусмотрены меры поощрения за качественные и своевременные поставки; · Сокращение затрат на хранение, внутреннее перемещение материалов и ГП, сокращение риска потерь материалов и ГП в процессе хранения; · Сокращение объема документооборота в учете и др. 18. Характеристика функционального учета затрат (АВС-метод) АВС-костинг – это калькуляционная система, рассматр-ая операции в качестве основного объекта учета затрат. АВС исп-ет метод поэтапного распределения косвенных расходов. Система АВС иначе наз-ся калькулированием по функциям, по действиям, по операциям или функциональный учет затрат. Область применения АВС-костинга – многономенклатурные производства с высоким удельным весом косвенных расходов, а также п/п с гибкой формой орг-ии управления. АВС исп-ся как информ. основа управления для принятия упр. решений там где нужна более точная информация о с/с пр-ии. в рамках АВС выделяют 3 типа работ по способу участия их в выпуске продукции: 8. Поштучная работа (выпуск единицы пр-ии); 9. Пакетная работа (выпуск заказа); 10. Продуктовая работа (пр-во пр-ии). Такая классификация основывается на изучении зависимости между затратами и производственными процессами. Метод АВС яв-ся не только способом распределения косвенных расходов, но и как инструмент управления. Управление в разрезе отдельных операций, а не продуктов и даже не подразделений дает новые возможности для эффективного планирования и контроля затрат для их снижения. АВС информация исп-ся как для текущего управления так и для принятия страт. решений. на тактическом уровне инф-ю можно исп-ть для рекомендаций по увеличению прибыли и повышению эф-ти деят-ти. На страт. уровне как помощь в принятии решений по вопросам инвестирования, выхода на новые рынки, изм-я ассортимента и др. Основная проблема принятия АВС метода на практике – значительное усложнение учета затрат и повышение трудоемкости калькулирования. Кроме этого, с помощью АВС-костинга можно распр-ть не все косвенные расходы, а лишь те по которым можно выделить группы затрат по операциям и найти драйвера затрат и операций. Ост-ся косв. Расходы распр-ся традиционным способом. Операция – событие, задание или ед-цы работ имеющая определенную цель. Драйвер (носитель) затрат – база распределения затрат (з/п можно связывать с часами работы…). Драйвер операций – количественная мера рабочей нагрузки операции (кол-во выписанных расчетных листов по начислению з/п). 19. Учет потерь в производстве В процессе пр-ва возникают потери, которые делятся на нормативные и сверхнормативные. Нормативные – потери в пределах естественной убыли (испарение и т.д.), такие потери яв-ся неизбежными, а след-но неконтролируемыми. Нормативные потери вкл. в себя с/с пр-ии. Сверхнормативные – потери не хар-ые для процесса пр-ва, связанные с отклонением от норм, это такие потери, которые можно было избежать, т.е. контролируемые, так как они появ-ся в результате неправильной, неэффективной орг-ии пр-ва и относятся на расходы периода, т.е. невкл. в с/с и идут на уменьшение валового дохода. При включении суммы норм-х потерь в с/с пр-ии необходимо знать на каком этапе пр-ва произошли потери, если потери происходят на стадии приемки готовой пр-ии или в начале процесса, то стоимость потерь должна включаться в с/с готовой пр-ии, а если потери происходят раньше, то тогда они будут вкл-ся как в с/с готовой пр-ии, так и в стоимость НЗП на конец периода путем распределения. Распределение стоимости нормативных потерь происходит на основании коэффициентов соотношения между ед-ми ГП и НЗП: для ГП = 15/20; для НЗП = 5/20. 20. Общие понятия, требования и процедуры для определения функций затрат Определение того, как меняются расходы в зависимости от выхода пр-ии или др. видов деят-ти яв-ся важнейшим аспектом. Необходимость динамики принятия решений, планирования и управления, подготовка сметных отчетов, вычисление норм издержек и др. во многом зависит от степени достоверности оценок поведения затрат. Поведение затрат – это характеристика изменения затрат в зависимости от уровня деловой активности. Показатель деловой активности или фактор издержек – это любой фактор, изменение которого приводит к изменению общих расходов. Релев. уровень – диапазон дел. Активности (объем пр-ва или продаж) в рамках которого фактические операции осущ-ся с достаточной степенью достоверности. Динамика изменения расходов и определения динамики затрат исчисляется уровень регрессии (ф-ии затрат, левая ф-ия, ф-ия расходов), кот. Показывает ожидаемую зависимость между зависимой переменной, то есть расходами и 1 или большим числом незав-х переменных, т.е. факторов. Уровень с 1 переменной наз-ся простой регрессией и имеет вид: y=a+bx, где: y – общие затраты; a – пост. расходы; b – удельн. Переем. расходы; x – уровень активности. Уровень с 2 и более переменными называется множественной регрессией. Динамика точного оценивания результатов упр. учете, исп-ся как матем. и стат. примеры анализа: междунар. методы; проверка бумаг и их счетов; графические и диаграммы. Динамика исп-ия данных методов подразумевает необходимость соблюдения ряда требований: · Временной период должен быть достаточно длинным для того, чтобы собрать необ. объем инф-ии; · Анализу динамики подверг-ся достат. кол-во наблюдателей, а предыд. данные динамики коррект-ся с учетом будущих ожиданий; · Уровень расходов яв-ся дост-м только для релев-го диапазона, кот. Прим-сь для вывода этого уровня. |


. Фактор дисконтирования
.
, где I0
– первонач. инвестиции. Если IRR >1, то принимаем.