Курсовая работа: Числа е та пі
|
Название: Числа е та пі Раздел: Рефераты по математике Тип: курсовая работа | |||||||||||||||
КУРСОВА РОБОТА з дисципліни „Вища математика” за темою Числа «е» та «пі» ЗМІСТ ВСТУП РОЗДІЛ І ОСОБЛИВІ ЧИСЛА МАТЕМАТИКИ „π.” ТА „е” 1.1 Сутність та історична поява чисел „π.” та „е” 1.2 Визначення понять ірраціональності та трансцендентності чисел 1.3 Доведення ірраціональності та трансцендентності числа „π” 1.4 Доведення ірраціональності та трансцендентності числа „е” РОЗДІЛ ІІ НАБЛИЖЕНЕ ОБЧИСЛЕННЯ ЧИСЛА „π” 2.1 Методи наближеного обчислення числа „π” за допомогою числових рядів 2.2 Методи наближеного обчислення числа „π” за допомогою розкладу в нескінченні ланцюгові дроби РОЗДІЛ ІІІ НАБЛИЖЕНЕ ОБЧИСЛЕННЯ ЧИСЛА „е” 3.1 Методи наближеного обчислення числа „е” за допомогою числових рядів 3.2 Методи наближеного обчислення числа „е” за допомогою розкладу в нескінченні ланцюгові дроби ВИСНОВКИ СПИСОК ВИСКОРИСТАНОЇ ЛІТЕРАТУРИ ВСТУП Сучасна математика в багатьох задачах оперує підмножиною дійсних чисел, що складається з підмножин раціональних і ірраціональних чисел, тобто з чисел які можна представити у вигляді кінцевого алгебраїчного дробу й чисел, та які не можна представити у вигляді кінцевого алгебраїчного дробу. Особливою підмножиною ірраціональних чисел є трансцендентні числа такі числа, які не є коренем ніякого багаточлена із цілими коефіцієнтами. Існування і явні побудови дійсних трансцендентних чисел обґрунтував французький учений Ж.Ліувілль на основі заміченого їм факту: ірраціональні алгебраїчні числа не допускають «дуже сильних» наближень раціональними числами. Французький учений Е.Борель встановив, що «майже всі» ірраціональні числа трансцендентні. Усім, хто вперше стикнувся з математикою в школі, відомо про 2 особливих числа: π – число, рівне відношенню довжини окружності до її діаметра; та е – основу натуральних логарифмів. Зазначені числа входять у множину формул математики, фізики, хімії, біології, а також економіки. Це свідчить про те, що вони відбивають деякі самі загальні закони природи. Хоча ще з кінця 16 в., тобто з тих пор, як сформувалися самі поняття раціональних і ірраціональних чисел, багато вчених були переконані в тім, що p число ірраціональне, але тільки в 1766 німецький математик Іоганн Генріх Ламберт (17281777), ґрунтуючись на відкритій Ойлером залежності між експонентною й тригонометричною функціями, строго довів це – „Число p не може бути представлене у вигляді простого дробу, як не були б великі чисельник і знаменник”. Також, хоча ще в середині 18 століття виникла гіпотеза про трансцендентність чисел У даній курсовій роботі розглядається сучасні доведення ірраціональності і трансцендентності чисел π і е , а також розглядаються історичні та сучасні методи наближеного обчислення їх за допомогою рядів і за допомогою ланцюгових дробів. РОЗДІЛ І ОСОБЛИВІ ЧИСЛА МАТЕМАТИКИ „π” ТА „е” 1.1 Сутність та історична поява чисел „π” та „е” Письмова історія числа p починається з єгипетського папірусу, датуємого приблизно 2000 роком до нашої ери, але воно було відомо ще древнім людям. Число p звернуло на себе увагу людей ще в ті часи, коли вони не вміли письмово викладати ні своїх знань, ні своїх переживань, ні своїх спогадів. З тих пір як перші натуральні числа 1,2,3,4,…стали нерозлучними супутниками людської думки, допомагаючи оцінювати кількості предметів або їхні довжини, площі або об'єми, люди познайомилися із числом p [21]. Тоді воно ще не позначалося однією з букв грецького алфавіту і його роль грало число 3. Неважко зрозуміти, чому числу p приділяли так багато уваги. Виражаючи величину відносини між довжиною окружності і її діаметром, воно з'явилося у всіх розрахунках пов'язаних із площею кругу або довжиною окружності. Але вже в далекій давнині математики досить швидко й не без подиву виявили, що число 3 не зовсім точно виражає те, що тепер відомо як число p (пі). Безумовно, до такого висновку могли прийти тільки після того, як до ряду натуральних чисел додалися дробові або раціональні числа. Так єгиптяни одержали результат: Позначення числа p походить від грецького слова Протягом усього існування числа p, аж до наших днів, велася своєрідна "погоня" за десятковими знаками числа p. Леонардо Фібоначі близько 1220 року визначив три перші точні десяткові знаки числа p. В 16 столітті Андріан Антонис визначив 6 таких знаків. Франсуа Вієтт (подібно Архімедові), обчислюючи периметри вписаних і описаного 322 216багатогранників, одержав 9 точних десяткових знаків. Андріан Ван Ромен таким же способом одержав 15 десяткових знаків, обчислюючи периметри 1 073 741 824багатогранників. Лудольф Ван Келень, обчислюючи периметри 32 512 254 720багатогранників, одержав 20 точних десяткових знаків. Авраам Шарп одержав 72 точних десяткових знаків числа p. В 1844 році З.Дазе обчислює 200 знаків після коми числа p, в 1847 році Т.Клаузен одержує 248 знаків, в1853 Ріхтер обчислює 330 знаків, у тім же 1853 року 440 знаків одержує З.Дазе, а у цьому ж році У.Шенкс одержує 513 знаків. З появою ЕОМ кількість вірних знаків десяткових знаків різко зростає [21]: 1949 рік — 2 037 десяткових знаків (Джон фон Нейман, ENIAC), 1958 рік — 10 000 десяткових знаків (Ф.Женюи, IBM704), 1961 рік — 100 000 десяткових знаків (Д.Шенкс, IBM7090), 1973 рік — 10 000 000 десяткових знаків (Ж.Гийу, М.Буйе, CDC7600), 1986 рік — 29 360 000 десяткових знаків (Д.Бейли, Cray2), 1987 рік — 134 217 000 десяткових знаків (Я.Канада, NEC SX2), 1989 рік — 1 011 196 691 десяткових знаків (Д.Гудновски й Г.Гудновски, Cray2+IBM3040)" При обчисленні вірних десяткових знаків числа p користувалися різними способами, деякі, як і Архімед обчислювали периметри вписаних і описаних nбагатогранників, але пізніше стали вдаватися до допомоги рядів. Так Лейбниц обчислював p за допомогою ряду [26]:
Шарп застосував ряд [21]:
Л.Ойлер за допомогою ряду [24]:
Джон Валлис ( 16161703) знайшов нескінченний добуток, за допомогою якого можна обчислити число p (пі), у вигляді [25]:
Число́ пі (позначається Грецька літерапі.
Довжина кола дорівнює p, якщо його діаметр 1 Рис.1.1. Геометричне трактування числа p Історія числа е (основа експонентної функції). e — математична константа, основа натурального логарифма, трансцендентне число. Іноді число e називають числом Ойлера або числом Непера [22]. Позначається рядковою латинською буквою «e». Чисельне значення: e = 2,718 281 828 459 045 235 360 287 471 352 662 497 757 Число e може бути визначено декількома способами [22]. · Через бескінечну межу:
Як сума ряду:
Як єдине число a , для якого виконується
Як єдине позитивне число a , для якого вірно (похідна функції дорівнює самій функції)
Число
отримане Данилом Бернулі( 17001782). В 1873 році Ерміт довів трансцендентність числа е . Л.Ойлер одержав чудовий результат, що зв'язує числа е , p :
Йому належить і заслуга визначення функції
Клас логарифмів по основі е
, називаються натуральними й позначаються як
1.2 Визначення понять ірраціональності та трансцендентності чисел Для того щоб довести ірраціональність і транcцендентність чисел Множина дійсних чисел містить у собі підмножину всіх раціональних чисел, тобто чисел, які можна представити у вигляді кінечного дробу, а всі інші дійсні числа називають ірраціональними. Означення 1.2.1. Дійсне число Існування ірраціональних чисел було доведено ще грецькими математиками. Ірраціональність числа Розглянемо найпростіші методи, які дозволяють установлювати ірраціональність деяких класів чисел. На перший погляд здається невиправданим те, що задача доказу ірраціональності якогонебудь дійсного числа а ставиться до теорії чисел, однак включення такої проблематики в теорію чисел стає відразу ясним, якщо поставити це питання в наступній формі: довести, що не існує цілих чисел Дамо спочатку одну теорему, що встановлює ірраціональність досить широкого класу дійсних чисел, які зустрічаються особливо часто в шкільних курсах алгебри й геометрії. Теорема 1.2.1 Нехай Доведення. 0ціле число, тому ми розглянемо тільки випадок
Із цього співвідношення безпосередньо видно, що Приклад 1.2.1 Якщо натуральне число Дійсно, Ірраціональність деяких дійсних числі можна встановити за допомогою критеріїв, сформульованих у наступних двох теоремах. Теорема 1.2.2. Якщо
Доведення. Нехай
Теорема 1.2.3.
Доведення. Якби Приклад 1.2.2. Довести ірраціональність числа
Візьмемо довільне
так, що Теорема 1.2.4. Якщо при деякому Інакше кажучи , якщо в розкладанні
для кожного Доведення. Якби Приклад 1.2.3.Число
Введемо визначення трансцендентності чисел. Означення 1.2.2 Будьяке неалгебраїчне число називається трансцендентним. Таким чином, 1.3 Доведення ірраціональності та трансцендентності числа „π” Доведемо ірраціональність і транcцендентність числа Теорема 1.3.1.Число Доведення. Припустимо, що
Розглянемо для такого
Заміняючи
так що
Біноміальний коэфициент З рівності 1.3.2 видно, що
Інтегруючи
тому що наступна похідна З рівності (1.3.4) одержуємо:
де Оскільки в інтервалі
і оскільки
тобто Припущення, що Теорема доведена. Ірраціональність числа була доведена вперше в 1761 році французьким математиком Ламбертом. Доказ Ламберта заснований на застосуванні безперервних дробів. π — трансцендентне число, це означає, що воно не може бути коренем багаточлена із цілими коефіцієнтами. Трансцендентність числа π була доведена в 1882 році професором Кьонінгзбергського, а пізніше Мюнхенського університетуЛіндеманом. Доказ спростив Феликс Клейн в 1894 році. Для того щоб довести трансцендентність числа π доведемо спочатку три допоміжних твердження. Лема 1.3.1. При будьякому цілому позитивному
де Доведення. Скористаємося розкладанням функції
Із цього розкладання треба, щоб
де
Тому що
Лема доведена. Лема 1.3.2 Нехай
де
Тоді
де
Покладаючи в рівності (1.3.6)
Помноживши ці рівності, відповідно, на Лема 1.3.3. Сума й добуток двох алгебраїчних чисел є числами алгебраїчними (і притім цілими алгебраїчними, якщо такими є доданки й множники). Доведення. Дійсно нехай Добуток всіх різниць виду Тепер перейдемо до доказу самої теореми, що Теорема. Доведення. Нехай
з цілими коефіцієнтами. Нехай
Розкривши дужки в лівій частині цієї рівності , одержимо
Позначимо через
де Числа Дуже важливо помітити , що якщо Дійсно, якщо
то буде також
тому що кожна із сум, що коштують у правій частині другої рівності, відрізняється від відповідної суми першої рівності, що складаються або рівними Вираз в правій частині останньої рівності є симетричним багаточленом відносно Покладемо в рівності (1.3.7) , послідовно
Якщо ми доведемо, що для деякого багаточлена Покладемо
де
Перше з рівностей (1.3.16) безпосередньо отримане з рівності (1.3.15), якщо в правій його частині розкрити дужки. При цьому одержимо
Добуток у правій частині симетричний й тому Друге з рівностей (1.3.16) виходить із рівності (1.3.15) якщо записати його у вигляді
і звільнитися від квадратних дужок. Аналогічно виходить третє з рівностей (1.3.16) і так далі. Важливо помітити, що Легко підрахувати, що
Сума
є симетричним багаточленом із цілими коефіцієнтами й тому є цілим числом. Це число, через (1.3.13) , ділиться на Ми будемо вважати
буде цілим числом, яке не ділится на Повернемося до розгляду суми
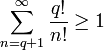
З рівності (1.3.9) , першої рівності (1.3.16) і того , що
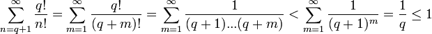
легко доглянути, що Таким чином, права частина рівності (1.3.14) є сумою цілого, відмінного від нуля, числа й числа, по модулі меншого одиниці. Така сума не може рівнятися нулю й тому рівності (1.3.14), при нашім виборі Теорема доведена. 1. 4 Доведення ірраціональності та трансцендентності числа „е” Доведемо ірраціональність і трансцендентність числа Теорема 1.4.1.Число Доведення. Припустимо, що
Із
Ми одержуємо звідси Тобто між 0 і 1 лежить ціле число. Припущення, що Теорема доведена. Другий шлях доказу ірраціональності e [23].Припустимо, що
Множачи обидві частини рівняння на
Переносимо
Всі доданки правої частини цілі, отже:
Але з іншої сторони
Знов одержуємо протиріччя. Трансцендентність Теорема 1.4.2. Число Доведення. Припустимо, що
Позначимо через При заданому
Розглянемо функцію ступеня
Інтегруючи вроздріб , знаходь :
Продовжимо цей процес, поки не дійдемо до похідної порядку
де Підставляючи в (1.4.2) замість
Надаючи
Розкладання
де
а
Розкладання
де всі коефіцієнти Диференціюючи (1.4.6), легко бачити, що при всіх таких
У сумі
перший доданок не ділиться на Ціле число, відмінне від нуля, має модуль, більший або дорівнюючий одиниці, так що Оцінимо тепер величину
У всіх інтегралах, що входять в
так , що при всіх
що суперечить отриманій раніше нерівності Таким чином, припущення, що Теорема доведена. РОЗДІЛ ІІ НАБЛИЖЕНЕ ОБЧИСЛЕННЯ ЧИСЛА „π” 2.1 Методи наближеного обчислення числа „π” за допомогою числових рядів Число p з'являється не тільки при рішенні геометричних задач. Із часу Ф.Віета (1540–1603) розвідка меж деяких арифметичних послідовностей, що встановлені простими законами, приводило до того ж числа p . У зв'язку із цим у визначенні числа p брали участь майже всі відомі математики: Ф.Віет, Х.Гюйгенс, Дж.Валліс, Г.В.Лейбніц, Л.Ойлер [21]. Вони одержували різні вирази для p у вигляді нескінченного добутку, суми ряду, нескінченного дробу. Наприклад, в 1593 Ф.Виет (15401603) вивів формулу [21]
В 1665 Джон Валліс (16161703) довів, що [21]
Або
Ця формула має його ім'я. Для практичного знаходження числа p вона мало придатна, але корисна в різних теоретичних міркуваннях. В історію науки вона ввійшла як один з перших прикладів нескінченних добутків. Готфрид Вільгельм Лейбниц (16461716) в 1673 установив наступну формулу [21]:
яка представляє число p /4 як суму ряду. Однак цей ряд сходиться дуже повільно. Щоб обчислити p з точністю до десяти знаків, треба було б, як показав Ісаак Ньютон, знайти суму 5 млрд чисел і затратити на це біля тисячі років безперервної роботи. Леонарду Ойлеру належать і інші гарні формули рядів повільної східності, що включають p [21] :
В останній формулі в чисельнику розташовані всі прості числа, а знаменники відрізняються від них на одиницю, причому знаменник більше чисельника, якщо той має вигляд 4n + 1, і менше в противному випадку. Лондонський математик Джон Мэчин (16801751) в 1706, застосовуючи формулу [21]
одержав вираження arctg 1 = 4 arctg Підстановка в нього arctg 1 = (arctg x
=
яка дотепер уважається однієї із кращих для наближеного обчислення p . Щоб знайти ті ж десять точних десяткових знаків, буде потрібно всього кілька годин ручного рахунку. Сам Джон Мэчин обчислив p з 100 вірними знаками. Скористаємося відомим рядом для арктангенса [21]:
Якщо взяти
уже придатний для обчислення/ Скористаємось формулою додавання для арктангенса
і вибираючи в якості
будемо мати
Наприклад, поклавши
Існують, однак, ряди, ще більш ефективні для розрахунку числа Покладемо
Через близькість цього числа до Поклавши:
Звідси
це формула Мєшина (J.Machin). Обчислимо по ній число
Збережені члени (2.6) перетворимо у десяткові дроби, округляючи їх ( за правилом доповнення ) на восьмому знаку. Обчислення зведені в таблицю (
З огляду на всі виправлення, маємо:
так що
Отже , остаточно C допомогою того ж ряду для arctg x і формули p
= 24 arctg значення числа p було отримано на ЕОМ з точністю до ста тисяч десяткових знаків. Такого роду обчислення становлять інтерес у зв'язку з поняттям випадкових і псевдовипадкових чисел. Статистична обробка впорядкованої сукупності зазначеної кількості знаків p показує, що вона має багато рис випадкової послідовності. А так виглядає 101 знак числа p без округлення: 3,14159 26535 89793 23846 26433 83279 50288 41971 69399 37510 58209 74944 59230 78164 06286 20899 86280 34825 34211 70679. 2.2 Методи наближеного обчислення числа „π” за допомогою розкладу в нескінченні ланцюгові дроби Згідно [2] для наближеного розрахунку числа p побудований наступний ланцюговий дріб:
(послідовність неповних часток така: 3, 7, 15, 1, 292, 1, 1, 1, 2, 1, 3, 1, 14, 2, 1, 1, 2, 2, 2, 2, 1, 84, 2, 1, 1, 15, 3, 13,...) Знайдемо підходящі для практичних розрахунків дроби використовуючи вищенаведений ланцюговий дроб:
а потім складемо таблицю для обчислення наступних дробів за допомогою рекуррентного правила:
Одержуємо підходящі дроби Щоб оцінити цю точність, використовуємо формулу [4]
У нашім випадку Виходить,
тобто точність отриманої відповіді перевищує
РОЗДІЛ ІІІ НАБЛИЖЕНЕ ОБЧИСЛЕННЯ ЧИСЛА „е” 3.1 Методи наближеного обчислення числа „е” за допомогою числових рядів Обчислимо число
Ця рівність має місце для кожного
Насамперед установимо, яким треба взяти число
тому що Для здійснення необхідної точності треба, щоб
Оборотні члени розкладання в десятковий дріб використовуємо, округляючи їх за правилом доповнення на сьомому знаку. Тоді похибка кожного члена по абсолютній величині не більше
таким чином, похибка на відкидання всіх членів розкладання, починаючи з
Але тоді число
3.2 Методи наближеного обчислення числа „е” за допомогою розкладу в нескінченні ланцюгові дроби Згідно [9] для наближеного розрахунку числа Теорема 3.2.1
Доведення . Визначимо
Цей ряд сходиться при будьяких значеннях Легко перевірити , що має місце тотожність
Дійсно, коефіцієнт при
а в правій частині рівності (3.2.2) він дорівнює
так що (3.2.2) вірне. Позначимо
То
З тотожності рівності (3.2.1) при
Оскільки
дає розкладання
Теорема доведена. Тепер розкладемо в ланцюговий дріб число Теорема.3.2.2
(послідовність неповних часток така: 2, 1, 2, 1, 1, 4, 1, 1, 6, 1, 1, 8, 1, 1, 10, 1, 1, 12, 1, 1, 14, 1, 1, 16, 1,...) , тобто елементи
Доведення. Позначимо підходящі дроби до правої частини (3.2.4) через
Беручи до уваги значення елементів ланцюгового дробу (3.2.4) , маємо:
Звідки знаходимо:
Аналогічне співвідношення маємо й для
Доведемо індукцією по
З (3.2.3) і ( 3.2.4) безпосередньо обчислюємо
тоді , використовуючи рівності (3.2.6) , одержуємо:
Згідно за принципом повної математичної індукції равенство (3.2.6) вірно для всіх Зовсім аналогічно доводиться, що
Розглядаючи тепер межу відносини величин
тобто
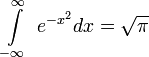
Оскільки ланцюговий дріб у правій частині (3.2.5) сходиться, ми будемо мати також, що взагалі Теорема доведена. ВИСНОВКИ У даній роботі було викладено суть і історичне поява чисел Число p – відношення довжини окружності до її діаметра, – величина постійна й не залежить від розмірів окружності. Число, що виражає це відношення, прийнято позначати грецькою буквою p (від «perijereia» – окружність, периферія). Це позначення стало вживаним після роботи Леонарда Ойлера, що ставиться до 1736, однак уперше воно було вжито Вільямом Джонсом (16751749) в 1706. Як і всяке ірраціональне число, воно представляється нескінченним неперіодичним десятковим дробом: p = 3,141592653589793238462643… Потреби практичних розрахунків, що ставляться до окружностей і круглих тіл, змусили вже в далекій давнині шукати для p наближень за допомогою раціональних чисел. У даній роботі ми довели ірраціональність і трансцендентність чисел Нескінченні ланцюгові дроби можуть бути використані для рішення алгебраїчних і трансцендентних рівнянь, для швидкого обчислення значень окремих функцій. Математиками виведена формула, яка пов’язує числа е и π , т. н. «інтеграл Пуассона» або «інтеграл Гаусса»
доводячи світове значення чисел е и π , на основі яких описуються процеси у багатьох науках та природних явищах. У сучасності ланцюгові дроби знаходять все більше застосування в обчислювальній техніці, тому що дозволяють будувати ефективні алгоритми для рішення ряду задач на ЕОМ. Так, дуже швидко працюють обчислювальні алгоритми, засновані на формулах Рамануджана
і братів Чудновських
В 1997 році Дейвід Х. Бейлі, Пітер Боруейн і Саймон Плуфф відкрили спосіб швидкого обчислення довільної двійкової цифри числа π без обчислення попередніх цифр, заснований на формулі
Невирішені проблеми сучасної математики у розділі теорії чисел:Невідомо, чи є числа π і e алгебраїчно незалежними; Невідомо, чи є суми та комбінації чисел: π + e , π − e , πe , π / e , πe , ππ трансцендентними; Дотепер нічого не відомо про нормальність числа p; невідомо навіть, які із цифр 09 зустрічаються в десятковому поданні числа p нескінченну кількість разів. СПИСОК ВИКОРИСТАНОЇ ЛІТЕРАТУРИ 1. Арнольд И.В. Теория чисел. М.: Учпедгиз, 1939. 287 с. 2. Арнольд В.И. Цепные дроби. М.: МЦМНО, 2000. 40 с. 3. Ангилейко И.М. Бесконечные ряды. – Минск: Издво „Высшая школа”, 1964 – 143 с. 4. Бескид Н.М. Цепные дроби // Научнопопулярный журнал „Квант”. М.:МЦМНО, № 1, 1970 5. Беркович Е. Мировые константы π и e в природе // Журнал «7 искусств», № 1, декабрь 2009 – http://7iskusstv.com, 2010 6. Болтянский В. Экспонента // Научнопопулярный журнал „Квант”. М.:МЦМНО, № 3, 1984 7. Бородін О.І. Теорія чисел.К.: Радянська школа, 1965. 262 с. 8. Бохан К.А. и др. Курс математического анализа т.II. М.: Просвещение 1972. 9. Бухштаб А.А. Теория чисел. М.: Просвещение, 1966. – 384 с. 10. Демидович Б.П., Марон И.А. Основы вычислительной математики. М.: Издво „Наука” – „Физматлит”, 1979. – 664 с. 11. Дринфельд Г.И. Трансцендентность чисел p и e Харьков, Издательство Харьковского госуниверситета, 1952. – 79 с. 12. Звонкин А. Что такое p// Научнопопулярный журнал „Квант”. М.:МЦМНО, № 11, 1978 13. Канторович А.В.,Крылов В.И. Приближенные методы высшего анализа. М.: Изд. Физикоматематической литературы, 1962. 708 с. 14. Крылов В.И. Вычислительные методы : учебное пособие / В.И.Крылов, В.В.Бобков, П.И.Монастырный. – М.: „Наука”, 1976. Т.1. – 304 с. 15. Крылов В.И. Вычислительные методы : учебное пособие / В.И.Крылов, В.В.Бобков, П.И.Монастырный. – М.: „Наука”, 1977. Т.2. – 399 с. 16. Кузьмин Е., Ширшов А. О числе е. // Научнопопулярный журнал „Квант”. М.:МЦМНО, № 8, 1979 17. Кымпан Ф. История числа p. М.: Наука, Гл. ред. физ.мат. лит.,1987. – 239 с. 18. Марков А. Доказательство трансцендентности числа p (невозможность квадратуры круга) Санкт Петербург, Типография Императорской академии наук, 1883. – 74 с. 19. Марчук Г.И. Методы вычислительной математики. Схемы, таблицы. – М.: « Наука», 1977.456 с. 20. Фихтенгольц Г.М. Курс дифференциального и интегрального исчисления. – М.: „Наука”, 1970. – Т.2. – 800 с. 21. http://ru.wikipedia.org/wiki/Пи _Число математическая константа, выражающая отношение длины окружности к длине её диаметра, 2010 22. http://ru.wikipedia.org/wiki/e_Число математическая константа, основание натурального логарифма, трансцендентное число. 2010 23. http://www.new_numerolog.ru Трансцендентные числа е и пи,2010 24. http://ru.wikipedia.org/wiki Ленард Эйлер, математик, 2010 25. http://ru.wikipedia.org/wiki Джон Валлис, математик, 2010 26. http://ru.wikipedia.org/wiki Лейбниц та ряди, математик, 2010 27. http://formula.co.ua/blog/about Число пі, 2010 |
або
.
; тому можна знайти
(1.3.1)
(1.3.4)
(1.3.5)

(1.3.6)




(1.3.12)


— ціле

(1.4.2)
(1.4.3)
(1.4.4)
.
,
так що


(2.2.1)
(2.2.2)
(3.2.1)
через
(3.2.4)
(3.2.5)
(3.2.6)