Реферат: Расчёт и проектирование маломощных биполярных транзисторов
|
Название: Расчёт и проектирование маломощных биполярных транзисторов Раздел: Рефераты по коммуникации и связи Тип: реферат |
|
Саратовский Государственный Технический Университет Кафедра «Электронные приборы и устройства» Курсовая работаНа тему: «Расчёт и проектирование маломощных биполярных транзисторов» Выполнил: ст. Козачук В. М. Проверил: доц. Торопчин В. И. САРАТОВ 1999г. Оглавление.3.1 Техническое задание......................................................................... 2 3.2 Параметры, выбранные самостоятельно........................................... 2 3.3 Перечень используемых обозначений............................................... 3 4. Выбор технологии изготовления транзистора...................... 5 4.1 Сплавно-диффузионные транзисторы............................................... 5 4.2 Структура сплавно-диффузионного p-n-p.......................................... 7 5.1 Расчёт толщины базы и концентраций примесей.............................. 8 5.2 Расчет коэффициента передачи тока............................................... 11 5.3 Расчет емкостей и размеров переходов.......................................... 11 5.4 Расчет сопротивлений ЭС и граничных частот............................... 12 5.5 Расчет обратных токов коллектора.................................................. 14 5.7 Расчёт эксплутационных параметров.............................................. 15 6. Выбор корпуса транзистора............................................................. 16 7. Обсуждение результатов................................................................... 18 9. Список используемой литературы............................................ 20 1. Введение
Используемые физические свойства полупроводника известны и используются с конца 19 века. При изобретении радио А.С. Поповым был применен порошковый когерер, в котором использовались нелинейные свойства зернистых структур. В 1923-1924 гг. Лосев О.В. обнаружил наличие отрицательного дифференциального сопротивления и явление люминесценции в точечных контактных сопротивлениях карбида кремния. В 1940 году был изготовлен первый точечный диод. В 1948 году американский физик Дж. Бардии, а также И.Браштейн разработали и изготовили точечно-контактный транзистор, в 1952 г. впервые были созданы промышленные образцы плоскостных транзисторов. В 1956 г. началось производство транзисторов с базой, полученной методом диффузии. В начале 60-х годов была применена планарная технология изготовления транзисторов. В настоящее время рабочие частоты транзисторов достигают 50 ГГц. По уровню рассеиваемой мощности транзисторы делятся на маломощные, средней и большой мощности. 2. Цель задания
Задачей выполнения курсового проекта является разработка маломощного биполярного транзистора в диапазоне, средних и высоких частот. Целью работы над проектом является приобретение навыков решения инженерных задач создания дискретных полупроводниковых приборов, углубление знаний процессов и конструктивно технологических особенностей биполярных маломощных транзисторов.
3. ОБЩАЯ ЧАСТЬ3.1 Техническое задание.Техническое задание содержит требования к параметрам и условиям эксплуатации практикуемого прибора. В данном случае наиболее существенны следующие параметры: 1. Номинальный ток коллектора Iк ном =9мА. 2. Номинальное напряжение коллектора Uк ном =13В 3. Верхняя граничная частота fa =90МГц 4. Максимальная рассеивающая мощность Рк мах =60мВт 5. Максимальное напряжение коллектора Uк мах =18В 6. Максимальный ток коллектора Iк мах =12мА 7. Максимальная рабочая температура транзистора Тк мах =74°С 8. Коэффициент передачи тока в схеме с ОЭ β=65 3.2 Параметры, выбранные самостоятельно.1. Время жизни ННЗ τср =5мкс 2. Материал кристалла Ge 3. Тип структуры p-n-p 4. Ёмкость коллекторного перехода Ск =2пФ 5. Коофициент запаса по частоте F Х1 =1,3 6. Перепад Nб Х2 = 500 7. Отношение концентраций NОЭ / Nб =3 8. Толщина диффузионного слоя hдс = мкм 9. Скорость поверхностной рекомбинации Sрек = слус 3.3 Перечень используемых обозначенийAk - площадь коллектора; Аэ - площадь эмитера; a - градиент концентрации примесей;
Сз.к зарядная (барьерная) емкость коллекторного перехода; Сд.э - диффузионная емкость эмитерного перехода; Сз.э - зарядная (барьерная) емкость эмитерного перехода; Дп , Др - коэффициенты диффузии электронов и дырок; Днб , Доб - коэффициенты диффузии не основных и основных носителей в базе; Днэ , Доэ - коэффициенты диффузии не основных и основных носителей в эмиттере; Е — напряженность электрического поля; De - ширина запрещенной зоны; ¦ - частота; ¦a - граничная частота коэффициента передачи тока в схеме с общей базой; ¦Т » ¦b - граничная частота коэффициента передачи тока в схеме с общим эмитером; ¦max - максимальная частота генерации; hkp - толщина кристалла; hэ , hk — глубина вплавления в кристалл эмитера и коллектора; Ln , Lp - средние диффузионные длины электронов и дырок; Lнб , Lнэ средние диффузионные длины не основных носителей в базе и эмитере; Nб , Nk , Nэ — концентрации примесей в базе, коллекторе и эмитере сплавного транзистора; Nб (х ) - концентрация примеси, формирующей проводимость базы дрейфового транзистора; Nэ (x ) - концентрация примеси, формирующей проводимость эмиттера дрейфового транзистора; ni - равновесная концентрация электронов в собственном полупроводнике; nn, np - равновесные концентрации электронов в полупроводниках n - типа и p - типа; Р - мощность, рассеиваемая в коллекторе; Pk max - предельно допустимая мощность, рассеиваемая в коллекторе; Рэ - периметр эмитера; Рn , Рp - равновесные концентрации дырок в полупроводниках n -типа и p - типа; Rб , Rэ , Rк - радиусы электродов базы, коллектора, эмитера; Rm , - тепловое сопротивление; rб - эквивалентное сопротивление базы; rб ’ , rб ’’ - омическое и диффузное сопротивление базы; rэ - сопротивление эмитера без учета эффекта Эрле; rэ ’ - сопротивление эмитера с учетом эффекта Эрле; S — скорость поверхностной рекомбинации; Т — абсолютная температура; Тк — температура корпуса транзистора; Тmax - максимально допустимая температура коллекторного перехода; W - геометрическая толщина базы; Wg — действующая толщина базы; Uэб - напряжение эмитер-база; Uкб - напряжение коллектор-база; Ukpn - контактная разность потенциалов; Uпроб - напряжение пробоя; Uпрок - напряжение прокола транзистора; Uк - напряжение коллекторного перехода; Uk max - максимально допустимое напряжение на коллекторе; Iэ — ток эмитера; Iб — ток базы; Iко — обратный ток коллектора при разомкнутом эмиттере; Ikmax - максимально допустимый ток коллектора; Iген - ток термогенерации в области объемного заряда; Iрек — ток рекомбинации; a - коэффициент передачи тока в схеме с общей базой; aо - низкочастотное значение a; a* — коэффициент усиления тока коллекторного перехода за счет не основных носителей заряда; b — коэффициент передачи тока в схеме с общим эмитером; g — коэффициент инжекции эмитера; бк — толщина коллекторного перехода; e - относительная диэлектирическая проницаемость; cо – коэффициент переноса не основных носителей заряда через область базы; mэ , mб – подвижности электронов и дырок; mнб , mоб – подвижности не основных и основных носителей заряда в базе; mнэ , mоэ – подвижности не основных и основных носителей заряда в эмитере; w - круговая частота; r - удельное сопротивление полупроводника; ri - удельное сопротивление собственного полупроводника; rэ , rб , rк - удельные сопротивления эмитера, базы, коллектора; tn ,p – среднее время жизни электронов и дырок ttnp – время пролета не основных носителей заряда через базу; tn – среднее время жизни носителей заряда, обусловленное поверхностной рекомбинацией; s - удельная теплопроводность; 4. Выбор технологии изготовления транзистораОсновным элементом конструкции транзистора является кристалл, или транзисторная структура кристалла, которая представляет собой полупроводниковую пластину со сформированными на ней эмиттерным (ЭП) и коллекторным (КП) переходами. Другими элементами конструкции являются корпус, кристаллодержатель, выводы. В зависимости от технических требований предъявляемых к параметрам транзистора, применяются различные методы формирования транзисторной структуры. Низкочастотные транзисторы изготавливаются по сплавной технологии, высокочастотные – с обязательным использованием процесса диффузии примесей. Основными разновидностями технологии изготовления высокочастотных транзисторов являются: диффузионная, планарная. Чисто диффузионная технология используется для изготовления транзисторов с fα не превышающими 50-100 МГц, сплавно- и мезо- диффузионная – для диапазонов 50-100 МГц, соответственно, планарная–для fα =0,5-5ГГц. Так как граничная частота fα составляет 250 МГц, то для изготовления выберем сплавно-диффузионную технологию. 4.1 Сплавно-диффузионные транзисторы.При диффузионной технологии неоднородность эмиттерной поверхности приводит к неоднородности толщины базовой области, что ухудшает возможные частотные свойства транзистора . В сплавно-диффузионной технологии диффузией формируется лишь базовая область а КП и ЭП формируются вплавлением эмиттерной навески, под которой образуется рекристализационная зона. При этом в эмиттерную навеску вводится примесь, формирующая под эмиттером активный диффузионный слой базы. Коэффициент диффузии этой примеси должен значительно превышать коэффициент диффузии примеси, формирующей эмиттер и ЭП в рекристализационной зоне. Структура сплавно-диффузионного p-n-p транзистора изображена на рис.1. На рис.2 приведены некоторые этапы получения сплавно-диффузионного транзистора. После получения исходной р- пластины Ge, протравливают в ней лунку, углубляясь в исходную р- пластину (рис.2.1). травление лунок осуществляется методом фотолитографии. На окислённую пластину наносят фоторезистивную плёнку, её освещают через маску ультрофиолетовым светом. Экспонированные места фоторезиста поляризуются. Незаполимеризованные части фоторезиста смывают так, что он остаётся только на облучённых местах. Затем производят травление. После получения лунки проводят щдиффузию донарной примеси (рис.2.2) затем необходимо отшлифовать поверхность исходной пластины, т.о., чтобы диффузионный слой остался лишь в лунке. Диффузия донорной примеси приводит к образованию базового n- слоя (рис.2.3). С помощью электрохимического метода через маску вводят навески вплавляемого материала 1 и 4 (рис.2.4). Навеска 1 является эмиттерной, содержащая спал Ni + Al + In, а навеска 2- базовой. Затем пластину помещают в печь и нагревают до температуры, близкой к температуре плавления германия (около 900˚С). При такой темпиратуре сплавы не только переходят в жидкое состояние, но имеет место диффузия примесей из жидкой фазы в прилежащую твёрдую фазу. При этом комплексный характер сплава, находится в лунках, обеспечивает одновременное образование двух слоёв: базового и эмиттерного, благодаря резко коэффициентам диффузии донарной и акцепторной примесей в германии: донарная примесь «обгоняет» акцепторную. Под эмиттерной навеской образуется р- область, которая является эмиттером (рис.2.5). Затем получеснную структуру припаивают к кристаллодержателю. Он является выводом коллектора (рис.2.6). 4.2 Структура сплавно-диффузионного p-n-pтранзистора
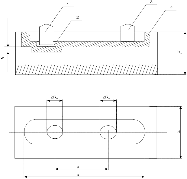
1,3 – выводы базы; 2 – рекристаллизационная область – эмиттер; n – размеры кристалла; c, в – размеры лунки; hкр – толщина кристалла; Rэ , Rб – радиусы выводов эмиттера и базы; 5. ОСНОВНАЯ ЧАСТЬРасчёт сплавно-диффузионного транзистора. Задачи расчёта В результате расчёта должны быть определены электрофизические и геометрические параметры транзисторной структуры, параметры эквивалентной Т-образной схемы транзистора по переменному току, его эксплуатационные параметры. Часть электрофизических и геометрических параметров при расчёте задаётся исходя из соображений номенклатурного порядка. В конце расчёта выбирается тип корпуса транзистора. В итоге должны иметься все геометрические и электрофизические параметры, необходимые для исполнения конструкторской и основной части технологической документации. Особенно это касается состава диффузантов, навесок и припоев. 5.1 Расчёт толщины базы и концентраций примесей.Действующая толщина базы определяется соотношением (1).
где tпр -время пролёта базы tпр= где
Задавшись величиной перепада концентраций примеси на границах базы х=200, выразим среднее значение концентрации примеси на границах базы по формуле (3).
Так как
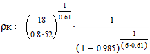
Для нахождения концентрации базы NБ используем связь напряжения пробоя Uпроб с удельным сопротивлением коллектора ρк :
где
Удельное сопротивление коллектора рассчитывается по формуле (7)
Для выбранного нами типа структуры транзистора (Ge, p-n-p) B=5.2, n=0.61, l=1/6 /1/ x=0.8 (для дрейфовых транзисторов). Подставим численные значения в выражение (7), а затем в (5).
= 0,9903 Ом*см
=12,748 В По графику изображенному на рис3.3.1 найдём величину концентрации No
Определим среднее значение концентрации примеси NБ , формирующий проводимость базы с помощью соотношений (3) и (4)
По графику, на рис 3.4.1, найдём среднее значение подвижности не основных носителей заряда в базе
Определим среднее значение коэффициента диффузии в базе, воспользовавшись соотношением (8)
где
Подставив вышеопределённые значения в формулу (1), найдём действующую толщину базы.
Величина концентрации примеси, формирующей проводимость базы, на поверхности кристалла NБ (0) определится из соотношения (10)
где х1Б =0,2 мкм αБ
- коэффициент передачи тока с общей базой
Подставим численные значения в выражение (10)
Задавшись величиной отношения Nоэ /Nб (0), найдём концентрацию эмиттерной примеси. Nоэ /Nб (0)=3. Из соотношения (12) выразим концентрацию основных носителей эмиттера. Nоэ =3*Nб (0) Nоэ
=3* Проверим не превышает ли расчётное значение напряжения пробоя коллекторного перехода Uпр величину напряжения прокола транзистора Uпрок , которое рассчитывается по формуле (13)
где Подставляя численные значения в формулы (14) и (13), найдём величину напряжения прокола транзистора.
Значение напряжения пробоя коллекторного перехода (Uпр =12.748) не превышает величину напряжения прокола транзистора Uпрок =240,0092 В (Uпрок >> Uпр ) Вычислим среднее значение удельного сопротивления области базы по формуле (15)
По графику приведённому на рис. , определим среднее значение подвижности основных носителей заряда в базе
5.2 Расчет коэффициента передачи токаЗадача: для рассчитанного Wq определить коэффициент передачи тока a0 и сравнить его с требуемым. Коэффициент передачи тока можно записать как: a0 =g0 c0 a* (16). Далее, рассчитываем коэффициент инжекции g0 : g0
=1 Для его определения необходимо найти: Lнб
= g0 =0.996913. Далее находим коэффициент переноса ННЗ через базу: c0
= 1 - Теперь необходимо рассчитать коэффициент усиления ННЗ в коллекторе по формуле: a*
= 1 + a* @ 1. и, наконец, мы можем рассчитать a0 : a0 = g0 c0 a* = 0.9905917 5.3 Расчет емкостей и размеров переходовЗадача: Определить барьерные (зарядные) емкости и величины поверхности коллекторного и эмитерного переходов, а так же геометрические размеры полупроводниковой пластины, в которой формируется транзисторная структура. 1. Зарядная емкость коллекторного перехода . Cзк и величина поверхности коллекторного перехода Sк : Коллекторный переход плавный, поэтому: Cзк
= Sк
Известно, что: Cзк = 2* 10-12 пФ и Sк = 2.678418* 10-4 см2 . Исходя из данных значений Cзк и найдено максимальное значение Sкmax . Можно считать, что: Sк max = 0.9 c в (22). Задаемся значением p = 150* 10-4 см. Добавив к нему 250 мкм находим с с = (250 + 150) * 10-4 = 400* 10-4 см 1. Зарядная емкость эмитерного перехода . Cзэ и величина поверхности эмитерного перехода Sэ : Эмитерный переход резкий, поэтому: Cзэ
= Sэ Для нахождения Cзэ необходимо найти jкрп и Аэ : jкрп
= jт Sэ
= Ik
Задаемся величиной Uэб = 0.2313273В, соответствующей Sэ = 3.769911* 10-5 см2 . Теперь можно рассчитать Cзэ по формуле (26): Cзэ =1,677762* 10-11 Ф. 3. Размеры эмитера и базы . Размеры металлических выводов определяются величиной Sэ и и глубиной вплавления электрода в кристалл hэ : Rэ
= - hэ
+ Величина hэ выбирается в пределах hэ = 10..30мкм, выбираем hэ = 20мкм. Rэ = 20мкм. Для центрального расположения выводов Rэ = Rб , Rб = 20мкм. 5.4 Расчет сопротивлений ЭС и граничных частотЗадача: определение сопротивлений эквивалентной схемы, дифференциальных, диффузионных и омических сопротивлений ЭС транзистора.
Рис. 3. Эквивалентная схема транзистора в схеме с ОБ. 1. Дифференциальное сопротивление эмитера :
2. Сопротивление базы
есть сумма омического сопротивления
Сопротивления
Для центрального расположения
Для центральной части выводов эмиттера и базы:
где
Диффузионное сопротивление учитывающее внутреннюю обратную связь в транзисторе за счет эффекта Эрли равно:
Для сплавно-диффузионных транзисторов
3. Сопротивление коллектора. Задача: определить диффузионное и омическое сопротивление коллектора. Для плавного коллекторного перехода:
где параметр Lok находится по формуле:
rk = 3,232326* 107 Ом,
4. Граничные частоты . Определив величины зарядных емкостей переходов и сопротивлений ЭС, зная время пролета базы ННЗ можно найти величину fa : fa = [2p(tпр + Сзэ rэ + Сзк rб ’ )]-1 (36), где, rэ =1,438889, Сэ =1,677762* 10-11 fa = 103,7305 МГц. Найдём величину максимальной частоты генерации, воспользовавшись выражением (37): fmax
= fmax = 150,7364 МГц. Рассчитаем граничную частоту коэффициента передачи тока в схеме ОЭ по формуле (38)
5.5 Расчет обратных токов коллектораЗадача: определить обратный ток коллекторного перехода Iк.обр . Обратный ток коллекторного перехода состоит из 3х компонент: теплового тока; тока термогенерации; тока обусловленного рекомбинацией на поверхности базы: Iк.обр = Iко + Iген + Iрек.б (39). 1. Тепловой ток слагается из 2х компонент: Iко = Iкоб + Iкок (40). Здесь токи Iкоб и Iкок токи ННЗ, попадающих в переход из областей базы и коллектора соответственно:
Iкоб = 8,450151* 10-9 А, Iкок = 1,46633* 10-7 А, Iко = 1,658616* 10-7 А. 2. Ток термогенерации коллекторного перехода Iген при заданном напряжении на коллекторном переходе много больше jk : Iген
= Iген = 2.63 10-7 А. 3. Ток поверхностной рекомбинации Iрек.б пропорционален величине поверхности, на которой происходит рекомбинация. В данном случае эту роль играет верхняя часть поверхности диффузионного слоя Аn : Аn = (p - d) + pd2 (44). Скорость поверхностной рекомбинации S = 900 см/с
Iрек = 9 10-8 А. Далее по формуле (39) находим Iк.обр : Iк.обр = 7,715074* 10-7 А. 5.6 Расчет параметров предельного режима и определение толщины элементов кристаллической структурыЗадача: Определение величины Ikmax или Pkmax , а также толщины кристалла – заготовки и других элементов кристаллической структуры. 1. Определение допустимого значения теплового сопротивления. Тепловое сопротивление RT связывает перепад температур DT между коллекторным переходом и окружающей средой с мощностью, рассеиваемой в переходе Рк : DT = RT Рк = RT Uк Iк (46). Тепловое сопротивление корпуса RTк = 0.1 К/мВт. Тепловое сопротивление транзисторной структуры RTСТ : RT = RT СТ + RT к (47). RT находим из формулы (46) RT = DT/ Рк = 0,783334 К/мВт. DT = Tk.max – Tокр.ср = 70 – 25 = 45о . Из соотношения (47) находим RTСТ : RT СТ = RT - RT к = 0,683333 К/мВт. 2. Расчет величин теплового сопротивления транзисторной структуры: RTСб
= RTСб = 0,06578575* 4,16=0,2704 К/мВт. Rт =RTCT + RТК = 0,27+0,1=0,37 К/мВт. 5.7 Расчёт эксплутационных параметров5.7.1 Максимальная расчётная мощность находится по формуле (49)
5.7.2 Рассчитаем максимальное напряжение коллектора воспользовавшись соотношением (50) Uк max = Где:
Uк max=15,565 В. 5.7.3 Максимальный ток коллектора Iк max ищется из соотношения (51) Iк
max
= Подставляя в формулу (51) рассчитанные значения Uк max и Pк max Iк max =7,812399 мА
Упрощённая структурная схема для расчёта тепло отвода дрейфового транзистора.
Рис. 4
6. Выбор корпуса транзистораКонструктивно корпус состоит из двух основных элементов: основания и баллона. Основание включает в себя: фланец, изолятор и выводы. Баллон представляет собой чашечку с буртиком. Для маломощных биполярных транзисторов наиболее подходящие металостеклянные корпуса типов КТ-1 и КТ-2. Корпус КТ-1 , металлостеклянный, герметизируемый электроконтактной сваркой. Фланец основания представляет собой металлическую чашку, заполненную стеклом (изолятор), через которое проходят выводы, имеющие буртик для герметизации электроконтактной сваркой. Корпус имеет корпусной вывод, который приварен ко дну фланца. Баллон корпуса представляет собой полый цилиндр с дном, который надевается на наружный диаметр чашки фланца. Такая конструкция полностью гарантирует отсутствие попадания выплесков при сварке внутрь рабочего объема корпуса. Данный корпус обладает высокой надежностью за счет удачной конструкции металлостеклянного изолятора, имеющего большую протяженность спая, и относительно большого объема стекла, размещенного внутри полого металлического фланца, фланец корпуса и выводы изготавливаются, как правило, из сплава 29НК (ковар), стекла марки С48-2. Заготовка стекла представляет собой таблетку с отверстиями. Баллон изготавливается из стали или никеля. Металлические детали корпуса в зависимости от типов транзисторов, для которых может быть применен этот корпус, покрываются никелем или золотом, а наружные концы выводов облуживаются. Сам корпус после герметизации для защиты от внешних климатических воздействий может иметь гальваническое или лакокрасочное покрытие. В этом корпусе как у нас, так и за рубежом выпускается много типов маломощных транзисторов с рабочими частотами до 1,5 ГГц, предназначенных как для бытовой, так и для специальной аппаратуры. Возможность монтажа в корпусе планарного или сплавно-диффузионного перехода, то есть кристалл припаивается коллекторным выводом непосредственно к фланцу, и корпус является коллекторным внешним выводом. При этом максимальные размеры кристалла могут быть 1,8х1,8 мм. Конструкция корпуса позволяет производить напайку кристалла как мягкими припоями, так и эвтектическими припоями золото-кремний и золото-германий. Возможность монтажа кристалла, когда необходимо, чтобы он был электрически изолирован от корпуса или когда необходимо иметь малые значения емкости коллектор - база Ск . В этом случае напайка кристалла производится непосредственно на один из изолированных выводов корпуса, конец которого расплющен и лежит на стекле изолятора. Это позволяет иметь значение Ск в корпусе около 0,3 пф. Конструкция этого корпуса позволяет удобно монтировать транзистор в аппаратуре. Наличие гибких выводов и строгая цилиндрическая форма баллона позволяет монтировать транзистор непосредственно на печатную плату или фиксировать его в специальном гнезде. Кроме того, строгая цилиндрическая форма баллона позволяет надевать в случае необходимости специальный теплоотводящий элемент, улучшая тем самым отвод тепла от прибора и увеличивая рассеиваемую мощность транзистора. Корпус КТ-2 , (TO-5 - зарубежное обозначение), металлостеклянный, герметизируемый электроконтактной сваркой, аналогичен по своей конструкции корпусу КТ-1 и имеет только несколько большие размеры. Его конструкция обладает такой же надежностью, отличается такой же простотой и технологичностью конструкции, как и корпус КТ-1. В этом корпусе можно монтировать все существующие типы переходов маломощных транзисторов, а также кремниевые транзисторы средней мощности (до 5Вт) при условии использования дополнительного теплоотвода. Возможность монтажа в корпусе планарной или сплавно-диффузионной структуры показана, когда кристалл своим коллекторным электродом напаивается непосредственно на фланец основания. При этом кристалл может иметь максимальные размеры 3,5 х 3,5 мм. Возможность монтажа в корпусе планарной или сплавно-диффузионной структуры, когда ее необходимо электрически изолировать от корпуса. В этом случае кристалл напаивается на один из изолированных выводов, конец которого расплющен. Вариант монтажа в этом корпусе славного перехода с кристаллом размером 2,6х2,6 мм с помощью кристаллодержателя. Этот корпус, так же как и КТ-1, удобен для монтажа в нем всех типов кристаллов, монтажа транзисторов в аппаратуре, позволяет легко надевать на цилиндрическую часть баллона дополнительный теплоотвод. Данный корпус нашел широкое применение за рубежом как для маломощных и средней мощности (до 5 Вт) транзисторов, так и для интегральных схем. Недостатком корпусов КТ-1 и КТ-2 является возможность газовыделения во внутренний объем корпуса при герметизации. Это недостаток всех горячесварочных корпусов, но он преодолевается применением защиты сплавных и сплавнодиффузионных структур различными лаками, компаундами, цеолитом. 7. Обсуждение результатов1. Коэффициент передачи тока в схеме с ОЭ b = 65, рассчитанное значение b=150,7364. Данный биполярный транзистор в схеме с ОЭ обеспечит заданный коэффициент передачи тока. 2. Граничные частоты коэффициента передачи тока fa = 90 МГц, рассчитанное значение fa = 103,73 МГц. При работе биполярного транзистора на частоте до fa коэффициент передачи тока в схеме с ОБ будет удовлетворять заданному значению. 3. Заданное максимальное напряжение на коллекторе техническое значение: Uk max = 18В, рассчитанное значение Uk max = 17.565 В. В соответствии с формулами (5) и (50) Uk max зависит от величин (1-αо ) и ρк . Первоначально Uk max было расчитанно для α=03986, тогда как при расчёте Uk max по формуле α бралось равным α=0,991. Отсюда следует, что (1-α)е уменьшилось, и рассчитанное значение оказалось меньше Uk max из ТЗ. 4. Максимальная мощность, рассеиваемая в коллекторе Pk max =60 мВт, рассчитанное значение Pk max = 60 мВт. 5. Максимальный ток коллектора Ik max = 12 мА, рассчитанное значение Ik max = 12 мА. При работе биполярного транзистора максимальный ток коллектора будет соответствовать заданному значению. В ходе проделанной работы были приобретены практические навыки решения задачи создания дискретных полупроводниковых приборов. 8. Выводы:В ходе проделанной работы были приобретены практические навыки решения инженерных задач создания дискретных полупроводниковых приборов. Нами были выбраны и рассчитаны основные параметры транзистора. Расхождения (в сторону ухудшения) составляют не более % Нами также были выбраны технология изготовления транзистора, его корпус и материалы, применяемые в призводстве. 9. Список используемой литературы1. В.И. Торопчин, Расчет и проектирование маломощных биполярных транзисторов, Саратов, 1988г, 213с. 2. Н.Н Горюнов, Справочник по полупроводниковым приборам, Москва,«Энергия», 1977г,65 с. 3. Овечкин Ю.А. Полупроводниковые приборы, Москва, «Высшая школа»,1979г,120 с. |
Рис. 2.
Структура сплавно-диффузионного p-n-p транзистора.
, (1)
, (7)

(21).
(23).
(25).
(32),
= 1,932747*
10-4
мкм (35),