Контрольная работа: Исследование операций
|
Название: Исследование операций Раздел: Рефераты по информатике Тип: контрольная работа | ||||||||||||||||||||||||||||||||||||||||||||||||||||||||||||||||||||||||||||||||||||||||||||||||||||||||||||||||||||||||||||||||||||||||||||||||||||||||||||||||||||||||||||||||||||||||||||||||||||||||||||||||||||||||||||||||||||||||||||||||||||||||||||||||||||||||||||||||||||||||||||||||||||||||||||||||||||||||||||||||||||||||||||||||||||||||||||||||||||||||||||||||||||||||||||||||||||||||||||||||||||||||||||||||||||||||||||||||||||||||||||||||||||||||||||||||||||||||||||||||||||||||||||||||||||||||||||||||||||||||||||||||||||||||||||||||||||||||||||||||||||||||||||||||||||||
| Курсовая работа по дисциплине «Исследование операций» Нормоконтроллёр: Плотникова Н. В. _______ «____» ___________ 2005 г. Руководитель: Плотникова Н. В. _______ «____» ___________ 2005 г. Автор: Студент группы ПС-346 Нечаев Л. В. ___________ «____» ___________ 2005 г. Работа защищена с оценкой______________ «____» ___________ 2005 г. Оглавление Задача 1............................................................................................................................................. 3 Условие......................................................................................................................................... 3 Решение....................................................................................................................................... 3 Ответ: ............................................................................................................................................ 5 Задача 2............................................................................................................................................. 6 Условие......................................................................................................................................... 6 Решение....................................................................................................................................... 6 Ответ:............................................................................................................................................. 8 Примечание:................................................................................................................................ 8 Задача 3........................................................................................................................................... 10 Условие....................................................................................................................................... 10 Решение..................................................................................................................................... 10 Ответ:........................................................................................................................................... 14 Задача 4........................................................................................................................................... 15 Условие....................................................................................................................................... 15 Решение..................................................................................................................................... 15 Ответ:........................................................................................................................................... 19 Приложение 1................................................................................................................................ 20 Список использованной литературы...................................................................................... 22 Задача 1 УсловиеОператор связи оказывает 2 вида услуг: 1. Предоставление одной линии телефонной сети общего пользования (ТСОП) и трёх линий цифровой связи (ЦС); 2. Предоставление одной линии ЦС и двух линий ТСОП. Стоимость услуг указана в табл. 1: Таблица 1
Сети связи и эксплуатируемое оборудование накладывает следующие ограничения на количество используемых линий связи: ТСОП ≤ 300 ЦС ≤ 120 ТСОП+2*ЦС ≤ 380 Определить оптимальное соотношение услуг 1 и 2, которые оператор должен предоставлять для получения максимальной выручки. Решение1. Обозначим за x1 количество оказанных услуг с номером `1', а x2 – количество оказанных услуг с номером `2'. 2. Учтём ограничения задачи: 3. Составим целевую функцию, которую нужно максимизировать: 4. Задача сведена к следующей задаче линейного программирования: «Найти значения аргументов x1 и x2, при которых функция 5. Решим выше представленную задачу графическим методом, так как в задаче присутствуют только 2 переменные x1 и x2. Для этого: Изобразим многоугольник решений в плоскости x2Ox1:
График представлен на рис. 1.
В начале максимизации наибольшее значение целевой функции равно 0, также F проходит через начало координат (пунктирная линия на рис. 1). Вектор Оптимальное решение находится в точке (0; 95), находящейся на пересечении прямых Итак, для получения наибольшей прибыли (57000 ед.) оператор связи должен не предоставлять услуг 1, а услуг 2 предоставить в количестве 95 штук. Ответ:– Не предоставлять yслуг #1 – Yслуг #2 предоставить в количестве 95 штук. Задача 2УсловиеРешение задачи линейного программирования. С помощью симплекс–таблиц найти решение задачи линейного программирования: определить экстремальное значение целевой функции F=CTx при условии Ax B, где CT = [ c1 c2 . . . c6 ]T , ВT = [ b1 b2 . . . b6 ]T , XT = [ x1 x2 . . . x6]T , А= [aij] (i=1,6; j=1,3). Таблица 2
РешениеСоставляем систему:
Целевая функция имеет вид Приведем систему ограничений к виду основной задачи линейного программирования:
Пусть х1, х2 – свободные переменные, х3, х4, х5 – базисные. Приведем систему и целевую функцию к стандартному виду, для построения симплекс-таблицы:
Составляем симплекс-таблицу. Это решение является допустимым, но не опорным, т.к. присутствует отрицательный свободный член во второй строке. Ликвидируем его путём замены базисных переменных на основные. В строке x4 находится отрицательный элемент a42=-2, следовательно, столбец x2 – разрешающий. Наименьшее отношение между свободным членом и эл-том разрешающего столбца (см. поле «оценка») будет в первой строке и элемент a32 – разрешающий. Получилась таблица 3 (верхние числа). Таблица 3
Теперь преобразуем таблицу по следующему алгоритму: 1. Выделим разрешающий элемент aij; 2. Найдём обратную ему величину λ=1/aij и запишем её в правом нижнем углу этой же ячейки; 3. Все элементы разрешающей строки, кроме разрешающего элемента, умножим на λ и запишем внизу соответствующей ячейки; 4. Все элементы разрешающего столбца , кроме разрешающего элемента, умножим на -λ и запишем внизу соответствующей ячейки; 5. Выделим все верхние числа в разрешающей строке, и все нижние - в разрешающем столбце; 6. Для каждого из остальных элементов запишем в нижнюю часть ячейки произведение выделенных чисел, стоящих в той же строке и в том же столбце, что и данный элемент; 7. Перепишем таблицу, заменив переменные: элементы разрешающих строки и столбца – значениями, стоящими в нижних частях этих ячеек; оставшиеся элементы – суммой чисел, стоящих в верхних и нижних частях ячеек. Применительно к текущему шагу, разрешающий элемент a32, λ = 1 / a32 = 1. После указанных выше преобразований, получим новую таблицу (табл. 4): Таблица 4
Решение снова не может быть опорным, т.к. присутствует отрицательный свободный член во второй строке. Попытаемся ликвидировать его путём замены базисных переменных на основные. Но в строке x4 больше нет отрицательных элементов, следовательно, невозможно выбрать разрешающий столбец. Заметим, что в строке целевой функции нет отрицательных элементов, значит оптимальное решение, в случае отмены ограничений на переменные, достигнуто. Ограничивающая система уравнений не имеет решений при неотрицательных значениях всех переменных. Ответ:Система уравнений несовместима в области положительных значений переменных. Примечание:Этот же результат получен и при решении данной задачи в пакете Mathematica:
УсловиеРешение транспортной задачи: 1. Записать условия задачи в матричной форме. 2. Определить опорный план задачи. 3. Определить оптимальный план задачи. 4. Проверить решение задачи методом потенциалов. Таблица 5
РешениеЗаметим, что общее количество запасов (700+600+200+200+100=1800) меньше количества заявок (300+700+1000=2000), следовательно имеем открытую транспортную задачу с избытком заявок. Добавим строку с фиктивными запасами для дополнения задачи до задачи закрытого типа. После корректировки получаем транспортную задачу с правильным балансом (табл. 6): Таблица 6
Найдём опорное решение методом наименьших затрат (табл. 7): Таблица 7
Выбранный план перевозок является допустимым, т.к. при нём все заявки удовлетворены и все запасы израсходованы, сумма перевозок по строке равна запасу соответствующего пункта отправления, а сумма перевозок по столбцу – заявке соответствующего пункта назначения. Сумма запасов равна сумме заявок, и выражается числом 2000, стоящим в правом нижнем углу таблицы. Данное распределение является базисным (заполнено m+n-1=8 ячеек таблицы), следовательно, задача готова к решению. Первоначально затраты на перевозку составят:
Составим матрицу оценок методом потенциалов: Начнём с первого столбца. Пусть потенциал этого столбца равен нулю. Рядом с потенциалом в скобках записываем номер шага. После прибавления потенциала к коэффициентам затрат первого столбца коэффициент затрат заполненной клетки (1;1) не изменится; чтобы полученный после сложения коэффициент стал равен 0, потенциал первой строки таблицы должен быть равен -10; для обнуления коэффициента затрат клетки (1;2) потенциал второго столбца должен быть -10 и т.д. Изменённые коэффициенты выписываются в виде матрицы оценок:
Критерий оптимальности (базисное распределение поставок верно тогда и только тогда, когда оценки всех свободных клеток неотрицательны) на данном шаге не выполнен – присутствуют 2 свободные клетки с отрицательными оценками. Продолжим оптимизацию (табл. 8). Составим цикл пересчёта для клетки (5;2) и дадим поставку неё: Таблица 8
В верхнем правом углу знаком «+» отмечаются те клетки, поставки в которые увеличатся, а знаком «-» - те, в которые уменьшатся. Наибольшая возможная поставка, исходя из текущего цикла пересчёта равна min {100, 100, 100} = 100. Передвигаем её по циклу (табл. 9): Таблица 9
После передвижения освободились сразу 2 клетки, решение перестало быть базисным. Для того, чтобы оно осталось базисным, дадим фиктивную поставку в клетку (4;2). Снова составляем матрицу оценок по вышеприведённому алгоритму:
На текущем шаге клеток с отрицательной оценкой нет, следовательно, критерий оптимальности выполнен. Проверим решение с помощью метода потенциалов (табл. 10). Примем a1 = 0, тогда bj = cij – ai (для заполненных клеток). Если найденное решение справедливо, то во всех пустых клетках таблицы Δij = cij – (ai + bj ) ≥ 0, и Δij = 0 в заполненных клетках. Получим следующую таблицу (в скобках показаны оценки клеток): Таблица 9
Условие Δij ≥ 0 выполняется, следовательно, решение верное. Ответ:Таблица 10
Суммарные затраты на перевозку составляют:
Задача 4УсловиеРешение задачи нелинейного программирования Определить экстремум целевой функции вида F = c11x12+c22x22+c12x1x2+b1x1+b2x2 при условиях a11x1+a12x2<=>p1 a21x1+a22x2<=>p2 . Данные располагаются в табл. 11. 1. Найти стационарную точку целевой функции и исследовать ее (функцию) на выпуклость (вогнутость) в окрестностях стационарной точки. 2. Составить функцию Лагранжа. 3. Получить систему неравенств в соответствии с теоремой Куна-Таккера. 4. Используя метод искусственных переменных составить симплекс-таблицу и найти решение полученной задачи линейного программирования. 5. Дать ответ с учетом условий дополняющей нежёсткости. Таблица 11
РешениеЦелевая функция имеет вид:
Ограничения:
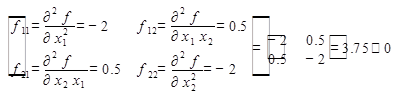
1. Определим относительный максимум функции. Для этого необходимы координаты стационарной точки
Получили стационарную точку (1.6;4.4). 2. Исследуем стационарную точку на максимум, для чего и определим вогнутость функции f.
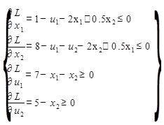
Условия выполняются, следовательно целевая функция является строго вогнутой в окрестности стационарной точки. 3. Составим функцию Лагранжа:
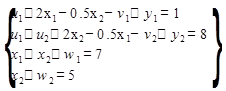
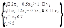
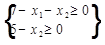
А) Перепишем систему А: A1) A2) перепишем систему Б: Б2) Решим систему А2 с помощью метода искусственных переменных.
Вводим псевдоцелевую функцию
базисные переменные: y1, y2, w1, w2 свободные переменные: x1, x2, v1, v2, u1, u2
Решаем эту задачу симплекс-методом с помощью таблиц и небольшой программы на языке Си, текст которой приведён в Приложении 1. Таблица 12
Таблица 13
Таблица 14
Оптимальное решение: y1=y2=u1=u2=v1=v2=0 x1=1.6 x2=4.4 w1=1 w2=0.6 Проверим условие дополняющей нежёсткости: xi*vi=0 ui*wi=0 Условия выполняются, следовательно, x1=1.6, x2=4.4 являются решением исходной задачи kвадратичного программирования. Координаты стационарной точки совпадают с координатами, полученных в качестве ответа. Стационарная точка удовлетворяет условиям ограничений. Значение функции в точке (x1;x2) равно 0. Ответ:x1=1.6 x2=4.4 f(x1;x2) = 0 Приложение 1Для решения задачи #4 использована следующая программа на языке Си, скомпилированная gcc (GCC) 4.0.0 20050519 (Red Hat 4.0.0-8). Её текст приведён ниже: #include <stdio.h> #define x 7 #define y 5 double mc[x*y] = { 1, 2, -0.5, 1, 0, -1, 0, 8, -0.5, 2, 1, 1, 0, -1, 7, 1, 1, 0, 0, 0, 0, 5, 0, 1, 0, 0, 0, 0, 9, -1.5, -1.5, -2, -1, 1, 1 }; double mt[x*y]; void mprint (double* m, int xs, int ys) { int i, j; printf ("\n"); for (j = 0; j < ys; j++) { for (i = 0; i < xs; i++) { printf ("%10.4lg ", m[j*xs+i]); } printf ("\n"); } } int main (void) { int i, j, i1, j1, it, jt; double msx, msx1; // Выбираем разрешающий эл-т nextmtx: printf ("\nИсходная матрица коэффициентов:"); mprint (mc, x, y); getch (); msx = 10000.; for (i = 0; i < x; i++) { if (mc[(y-1)*x+i] < 0) { // Возможно, найден разрешающий столбец for (j = 0; j < y; j++) { // Ищем наименьшее отношение своб. члена к эл-ту разр. столбца if (mc[j*x+i] < 1e-32) continue; // Нулевой или отрицательный msx1 = mc[j*x] / mc[j*x+i]; if (msx > msx1) // Частное св.ч / р.эл { msx = msx1; // наименьшее ищем it = i; jt = j; // координаты р.эл. } } if (msx > 9999.) continue; // Нет положительных эл-тов else // найден р.эл., mx != 0 { i = it; j = jt; // его координаты } printf ("\n Разрешающий элемент: a(%d;%d) = %lg", j+1, i+1, mc[j*x+i]); if (mc[j*x+i] > 0) { // Это и есть разрешающий элемент (s_el), находим обратную величину mt[j*x+i] = 1. / mc[j*x+i]; for (i1 = 0; i1 < x; i1++) { // Разрешающая строка ( 1/s_el) if (i1 == i) continue; // Пропустить сам s_el mt[j*x+i1] = mt[j*x+i] * mc[j*x+i1]; } for (j1 = 0; j1 < y; j1++) { // Разрешающий столбец (-1/s_el) if (j1 == j) continue; // Пропустить сам s_el mt[j1*x+i] = - mt[j*x+i] * mc[j1*x+i]; } // успешно составлены разр. строка и столбец. // теперь составляем остальные коэфф-ты for (j1 = 0; j1 < y; j1++) { if (j1 == j) continue; // Пропустить всю разреш. строку for (i1 = 0; i1 < x; i1++) { if (i1 == i) continue; // И столбец тоже // Произведение нижней части столбца // на верхнюю часть строки mt[j1*x+i1] = mt[j1*x+i] * mc[j*x+i1]; } } /* * Всё. Готова матрица нижних значений, теперь нужно * поместить всё на свои места в mc */ printf ("\nМатрица нижних значений:"); mprint (mt, x, y); getch (); for (j1 = 0; j1 < y; j1++) { for (i1 = 0; i1 < x; i1++) { if ((j1 == j) || (i1 == i)) { /* * Разрешающая строка или столбец * просто ложим элементы в mc */ mc[j1*x+i1] = mt[j1*x+i1]; } else // иначе - сумму mc[j1*x+i1] += mt[j1*x+i1]; } } // Всё готово к очередному шагу. goto nextmtx; // след. матрица } // Этот эл-т не подходит, т.к. он отрицательный } // Если так и не было подходящего эл-та, то проверяем след. столбец } // отрицательны коэфф-тов при целевой ф-ции не найдено, следовательно, решение оптимально printf ("\nОптимизировано. Ответ:"); mprint (mc, x, y); return 0; } Программа компилировалась командной строкой: gcc simplex.c -o simplex , запускалась: ./simplex и выдавала на консоль пошаговое решение задачи, которое было занесено в симплекс-таблицы (см. табл. 12-14) четвёртой задачи данной курсовой работы. Список использованной литературы1. Кремер Н. Ш., Путко Б. А., Трощин И. М. «Исследование операций в экономике» - М.: ЮНИТИ, 2004. - 407 с. 2. Плотникова Н. В. Курс лекций (ПС) |
||||||||||||||||||||||||||||||||||||||||||||||||||||||||||||||||||||||||||||||||||||||||||||||||||||||||||||||||||||||||||||||||||||||||||||||||||||||||||||||||||||||||||||||||||||||||||||||||||||||||||||||||||||||||||||||||||||||||||||||||||||||||||||||||||||||||||||||||||||||||||||||||||||||||||||||||||||||||||||||||||||||||||||||||||||||||||||||||||||||||||||||||||||||||||||||||||||||||||||||||||||||||||||||||||||||||||||||||||||||||||||||||||||||||||||||||||||||||||||||||||||||||||||||||||||||||||||||||||||||||||||||||||||||||||||||||||||||||||||||||||||||||||||||||||||||
.






15 -
,
,

Б)
.Вводим дополнительные переменные v1, v2, w1, w2, превращающие неравенства системы А1 в равенства: 
- условия дополняющей нежёсткости
