Реферат: Учет денежных средсв
|
Название: Учет денежных средсв Раздел: Рефераты по бухгалтерскому учету и аудиту Тип: реферат | ||||||||||||||||||||||||||||||||||||||||||||||||||||||||||||||||||||
Введение Бухгалтерский учет денежных средств имеет важное значение для правильной организации денежного обращения расчетов и кредитования в народном хозяйстве, в укреплении платежной дисциплины, в эффективном использовании финансовых ресурсов. От успешности ее решения во многом зависит платежеспособность предприятия, своевременность выплаты заработной платы его персоналу, расчетов с заказчиками, платежей в бюджет и др. Целью бухгалтерского учета денежных средств - является контроль за соблюдением кассовой и расчетной дисциплины, правильностью и эффективностью использования денежных средств и кредитов, обеспечение сохранности денежной наличности и документов в кассе. В условиях рыночной экономики любой бухгалтер должен исходить из принципа, что умелое использование денег и денежных средств само по себе может приносить предприятию дополнительный доход. Поэтому нужно постоянно думать о рациональном вложении временно свободных денежных средств для получения прибыли (в депозиты банков, акции и облигации сторонних предприятий, инвестиционные фонды и т.д.). Из этой цели вытекают следующие основные задачи бухгалтерского учета денежных средств: - своевременное и правильное документирование операций по движению денежных средств и расчетов; - контроль за сохранностью денежных средств в кассе предприятия; - использованием денежных средств по их целевому назначению; - своевременность расчетов с поставщиками, покупателями (заказчиками), бюджетом, банками, органами социального страхования, рабочими и служащими и др.; - своевременная проверка расчетов с дебиторами и кредиторами для предупреждения просроченной задолженности; - своевременное выявление результатов инвентаризации денежных средств, документов и расчетов. 1. Теоретические основы учета денежных средств 1.1 Порядок ведения денежных средств в кассе Нормативные документы, регламентирующие ведение кассовых операций: · Положение о правилах организации наличного денежного обращения на территории РФ от 5 января 1998 г. № 14-П; · Порядок ведения кассовых операций в РФ от 22 сентября 1993 г. № 40; · постановление Правительства РФ от 30 июля 1993 г. № 745 «Об утверждении Положения по применению контрольно-кассовых машин при осуществлении денежных расчетов с населением и Перечня отдельных категорий предприятий, организаций, учреждений, которые в силу специфики своей деятельности либо особенностей местонахождения могут осуществлять денежные расчеты с населением без применения контрольно-кассовых машин» В соответствии с этими документами все предприятия, организации, учреждения независимо от организационно-правовой формы обязаны: - приходовать полученные наличные средства в кассу, хранить свободные денежные средства в учреждениях банка (п. 2.1 Положения ЦБ РФ № 14-П) - иметь кассу и кассовую книгу для осуществления наличных расчетов, наличные деньги хранить в кассе в пределах установленного банком лимита (п. 2.5 Положения ЦБ РФ № 14-П) - производить платежи по своим обязательствам перед другими предприятиями, как правило в безналичном порядке, а наличными деньгами – в пределах установленной ЦБ РФ суммы (предельный размер расчетов наличными деньгами между юридическими лицами по одной сделке установлен в сумме 60 000 руб. по одному платежу – указание ЦБ РФ от 14 ноября 2001 г. № 1050-У) - производить прием наличных денег от населения с обязательным применением контрольно-кассовых машин и с соблюдением требований постановления Правительства РФ от 30 июля 1993 г. №745. В штате предприятия предусмотрена должность кассира, который несет материальную ответственность за сохранность всех принимаемых им ценностей. После издания приказа о назначении на работу кассира руководитель предприятия обязан под расписку ознакомить его с Порядком ведения кассовых операций в РФ, вслед за тем с кассиром заключается договор о полной материальной ответственности. На основании заключенного с ним договора о материальной ответственности кассир несет ответственность за сохранность средств в кассе, правильность оформления первичных документов и ведения кассовой книги, а также за сохранность всех принятых ценностей и за ущерб, причиненный предприятию, как в результате умышленных действий, так и небрежного или недобросовестного отношения к своим обязанностям. Договор о материальной ответственности с кассиром заключается в соответствии со ст. 244 ТК РФ и постановлением Минтруда РФ от 31 декабря 2002 г. № 85 «Об утверждении перечней должностей и работ, замещаемых или выполняемых работниками, с которыми работодатель может заключать письменные договоры о полной индивидуальной или коллективной (бригадной) материальной ответственности, а также типовых форм договоров о полной материальной ответственности». Письменные договоры о полной материальной ответственности могут быть заключены предприятием, учреждением, организацией с работниками, достигшими 18-летнего возраста, занимающими должности или выполняющими работы, непосредственно связанные с хранением, обработкой, продажей (отпуском), перевозкой или применением в процессе производства переданных им ценностей, если должности, занимаемые работниками, или выполняемые ими работы предусмотрены в специальном перечне, утвержденном в установленном порядке. Отсутствие договора о полной материальной ответственности исключает возможность взыскания сумм допущенных недостач в полном объеме. В этом случае к кассиру может быть применена только ограниченная материальная ответственность: взыскан ущерб, в размере, не превышающем его оклада. На малых предприятиях, не имеющих в штате кассира, обязанности последнего выполняются главным бухгалтером или другим работником по письменному распоряжению руководителя при условии заключения с ним договора. В случае необходимости временной замены кассира исполнение его обязанностей возлагается на другого работника по письменному приказу руководителя предприятия. Договор о материальной ответственности заключается с ним в обычном порядке. Кассиру запрещается передоверять выполнение порученной ему работы другим лицам. Помещение кассы для обеспечения необходимых условий сохранности денежных средств должно быть специально оборудовано. Доступ в помещение кассы лицам, не имеющим отношения к ее работе, воспрещается, а двери в кассу во время совершения операций должны быть заперты с внутренней стороны. Всю полноту ответственности за создание условий сохранности денег в помещение кассы, а также при доставке их из банка несет руководитель предприятия. Кассы предприятий могут быть застрахованы в соответствии с действующим законодательством Перед открытием помещения кассы и металлических шкафов кассир обязан осмотреть сохранность замков, дверей, оконных решеток и печатей, убедиться в исправности охранной сигнализации. В соответствии с правилами все предприятия независимо от формы собственности должны хранить свои денежные средства в банке. Наличные деньги, полученные кассой, расходуются только на те цели, на которые они получены: на выдачу заработной платы, на командировочные, хозяйственные и другие расходы. Максимальная сумма, которая может находиться в кассе, определяется лимитом. Лимит остатка наличных денег в кассе устанавливается обслуживающим банком всем предприятиям, организациям, учреждениям независимо от формы собственности. Сумма наличных денег в кассе на конец рабочего дня, превышающая лимит остатка, подлежит сдаче в банк для последующего зачисления на счет организации. Предприятия, не имеющие лимита остатка, должны ежедневно сдавать всю наличность в банк. Не сданная в банк денежная наличность считается сверхлимитной Лимит остатка кассы для предприятий устанавливается банком по согласованию с предприятьем в размере, необходимом для обеспечения нормальной работы. Лимит определяется исходя из объемов налично-денежного оборота предприятий с учетом особенностей режима его деятельности, порядка и сроков сдачи наличных денежных средств в банк, обеспечения сохранности сокращения встречных перевозок ценностей. Сверх установленного лимита деньги могут храниться в кассе только в дни выплаты заработной платы в течении трех дней , включая день получения денег в банке. Всю денежную наличность сверх лимита предприятия обязаны сдавать непосредственно в дневные или вечерние кассы банков, а также инкассаторам. Порядок и сроки сдачи наличных денег устанавливаются учреждениями банков каждому предприятию по согласованию с их руководителем исходя из необходимости ускорения оборачиваемости денег и своевременного поступления их в кассы в дни работы учреждений банков. При этом устанавливаются следующие сроки сдачи предприятиями наличных денежных средств: - для предприятий, расположенных в населенном пункте, где имеются учреждения банков, - ежедневно в день поступления наличных денег в кассы предприятий; - для предприятий, которые в силу специфики своей деятельности и режима работы, а также при отсутствии вечерней инкассации или вечерней кассы учреждения банка не могут ежедневно в конце рабочего дня сдавать наличные денежные средства в учреждения банков, - на следующий день; - для предприятий, расположенных в населенном пункте, где нет учреждений банков, а также находящихся от них на отдаленном расстоянии, - 1 раз в несколько дней. Наличные деньги, принятые от физических лиц в уплату налогов, страховых и других сборов, сдаются непосредственно в учреждения банков. В отдельных случаях предприятия имеют право хранить в своих кассах и сверхлимитные денежные средства. В таких случаях предприятиям необходимо соблюдать следующие условия: - данные сверхлимитные средства быть предназначены для оплаты труда, выплаты пособий по социальному страхованию и стипендий; - срок наличия сверхлимитных средств в кассе не должен превышать 3-х рабочих дней, включая день получения денег в банке (для предприятий, расположенных в районах Крайнего Севера и приравненных к ним местностях – до 5-ти дней); - указанные сверхлимитные остатки должны быть получены в обслуживающем предприятие банковском учреждении, а не накоплены за счет выручки, поступающей в его кассу. Таким образом, для правильного определения потребности предприятия в наличных денежных средствах с учетом установленного ему лимита, сумма, подлежащая снятию с расчетного счета, определяется по формуле: П = ОР + Л – ОП – О, Где П – потребность; ОР – ожидаемый расход; Л – лимит хранения денежных средств; ОП – ожидаемый приход наличных денежных средств в кассу предприятия за счет выручки от реализации и других операций; О – остаток наличных денежных средств в кассе на дату определения потребности. Лимит остатка кассы может пересматриваться в течение года в установленном порядке по обоснованной просьбе предприятия, а также в соответствии с договором банковского счета В том случае, когда предприятие имеет несколько счетов в разных банках, лимит остатка кассы устанавливает один из банков, а в другие банки достаточно представить копию такого решения. Согласно указанию ЦБ РФ "Об установлении предельного размера расчетов между юридическими лицами" данный предел составляет 100 000 рублей по одной сделке. Т.е. по договорам, стоимость которых больше указанной суммы, расчеты наличными деньгами запрещены. К расчетам с физическими лицами и индивидуальными предпринимателями данное ограничение не применяется. Для того чтобы остаток наличных денег в кассе на конец рабочего дня не превышал лимита, организация для передачи денег в банк может заключить договор с инкассаторской службой учреждения банка или специализированной инкассаторской службой, имеющим лицензию Банка России на осуществление соответствующих операций по инкассации денежных средств и других ценностей. Порядок оформления и передачи наличных денег инкассаторам предусмотрен положением ЦБ РФ от 9 октября 2002 г. № 199-П «О порядке ведения кассовых операций в кредитных организациях на территории РФ». Заключив договор, организация заказывает изготовление специального пломбира, на котором должны быть выгравированы номер и сокращенное наименование организации или ее фирменный знак. Один экземпляр заверенного образца пломбы передается организации для предъявления инкассаторам при получении ими сумок с ценностями, второй экземпляр — в кассовое подразделение кредитной организации для осуществления контроля при приеме денег от инкассаторов. Кассир организации к каждой сдаваемой инкассаторам сумке с денежной наличностью выписывает препроводительную ведомость. Первый экземпляр препроводительной ведомости вкладывается в сумку. Второй экземпляр (накладная к сумке) передается инкассатору при получении им сумки. Третий экземпляр (копия препроводительной ведомости) остается у кассира. Третий экземпляр препроводительной ведомости с подписью и печатью инкассатора служит основанием для составления бухгалтером расходного кассового ордера (форма № КО-2) и для отражения в кассовой книге расхода наличных денег по кассе организации. Сумка с денежной наличностью пломбируется кассиром организации таким образом, чтобы предотвратить ее вскрытие. Перед получением ценностей инкассатор-сборщик предъявляет кассиру организации документ, удостоверяющий личность, доверенность на получение ценностей, явочную карточку и порожнюю сумку. Кассир организации предъявляет образец оттисков пломбиров, сумку с ценностями и два экземпляра препроводительной ведомости. Инкассатор-сборщик принимает сумку с ценностями с проверкой целости упаковки, наличия целых и четких оттисков пломб, соответствия их имеющемуся образцу, проверяет правильность заполнения препроводительной ведомости и передает кассиру организации порожнюю сумку и явочную карточку для заполнения. Затем инкассатор проверяет соответствие суммы, указанной в явочной карточке кассиром, суммам в накладной и копии препроводительной ведомости, сумм цифрами и прописью, номера сумки, указанного в явочной карточке и сопроводительных документах, номеру принимаемой сумки, после чего на копии препроводительной ведомости расписывается, ставит печать и дату приема сумки. Исправления при заполнении явочной карточки не допускаются. Неправильно произведенная запись зачеркивается, на свободном поле явочной карточки делается новая запись, заверенная подписью кассира организации. Производить записи в явочной карточке инкассатору не разрешается. Статьей 15.1 «Нарушение порядка работы с денежной наличностью и порядка ведения кассовых операций» КоАП РФ установлено, что нарушение порядка работы с денежной наличностью и порядка ведения кассовых операций, выразившееся в осуществлении расчетов наличными деньгами с другими организациями сверх установленных размеров, неоприходовании (неполном оприходовании) в кассу денежной наличности, несоблюдении порядка хранения свободных денежных средств, а равно в накоплении в кассе наличных денег сверх установленных лимитов, влечет наложение административного штрафа на должностных лиц в размере от четырех тысяч до пяти тысяч рублей; на юридических лиц - от сорока тысяч до пятидесяти тысяч рублей. Статьей 15.2 «Невыполнение обязанностей по контролю за соблюдением правил ведения кассовых операций» КоАП РФ установлено, что невыполнение должностным лицом учреждения банка обязанностей по контролю за выполнением организациями или их объединениями правил ведения кассовых операций влечет наложение административного штрафа в размере от 20 до 30 МРОТ. В соответствии со ст. 23.5 КоАП РФ дела об административных правонарушениях, предусмотренных ст. 15.1, 15.2, рассматривают налоговые органы. Статьей 15.4 «Нарушение срока представления сведений об открытии и о закрытии счета в банке или иной кредитной организации» КоАП РФ установлено, что нарушение установленного срока представления в налоговый орган или орган государственного внебюджетного фонда информации об открытии или о закрытии счета в банке или иной кредитной организации влечет наложение административного штрафа на должностных лиц в размере от одной тысячи до двух тысяч рублей. Применение контрольно-кассовой техники при осуществлении наличных денежных расчетов и расчетов с использованием платежных карт осуществляется в соответствии с Федеральным законом от 22 мая 2003 г. 54-ФЗ «О применении контрольно кассовой техники при осуществлении наличных денежных расчетов и (или) расчетов с использованием платежных карт». Под контрольно-кассовой техникой (далее — ККТ), используемой при осуществлении наличных денежных расчетов и расчетов с использованием платежных карт, понимаются контрольно-кассовые машины (далее — ККМ), оснащенные фискальной памятью, электронно-вычислительные машины, в том числе персональные, программно-технические комплексы, которые подлежат обязательной регистрации в Государственном реестре контрольно-кассовой техники. Организации и индивидуальные предприниматели, применяющие контрольно-кассовую технику, обязаны: - осуществлять регистрацию контрольно-кассовой техники в налоговых органах; - применять при осуществлении наличных денежных расчетов и расчетов с использованием платежных карт исправную ККТ, опломбированную в установленном порядке, зарегистрированную в налоговых органах и обеспечивающую надлежащий учет денежных средств при проведении расчетов (фиксацию расчетных операций на контрольной ленте и в фискальной памяти); - выдавать покупателям (клиентам) при осуществлении наличных денежных расчетов и расчетов с использованием платежных карт в момент оплаты отпечатанные ККТ кассовые чеки; - обеспечивать ведение и хранение в установленном порядке документации, связанной с приобретением и регистрацией, вводом в эксплуатацию и применением ККТ, а также обеспечивать должностным лицам налоговых органов, осуществляющих проверку в соответствии с п. 1 ст. 7 Закона 54-ФЗ, беспрепятственный доступ к соответствующей ККТ, предоставлять им указанную документацию; - производить при первичной регистрации и перерегистрации ККТ введение в фискальную память ККТ информации и замену накопителей фискальной памяти с участием представителей налоговых органов. На приобретаемые предприятием ККМ должны быть заключены договоры с центром технического обслуживания (ЦТО) или заводом-изготовителем об их принятии на техническое обслуживание и ремонт (п. 2 приказа Госналогслужбы России от 22 июня 1995 г. ВГ-З-14/36). Чек контрольно-кассовой машины должен содержать следующие реквизиты, установленные постановлением Правительства РФ от 7 августа 1998 г. № 904: - наименование организации; - идентификационный номер организации-налогоплательщика (ИНН); - заводской номер ККМ; - порядковый номер чека; - дату и время покупки (оказания услуги); - стоимость покупки (услуги); - признак фискального режима 1.2 Организация учета денежных средств на расчетном счете Предприятия вне зависимости от форм собственности обязаны хранить свои денежные средства в банке. Расчеты предприятий по своим обязательствам с другими предприятиями, как правило, в безналичном расчете, при этом посредником при расчетах выступают учреждения банков и небанковские кредитные организации. Банковская система РФ включает в себя Банк России, кредитные организации, а также филиалы и представительства иностранных банков. Правовое регулирование банковской деятельности осуществляется в соответствии с ГК РФ, Федеральным законом «О Центральном банке Российской Федерации (Банке России)», другими федеральными законами и нормативными актами ЦБ. Понятие кредитной организации и банка определено в Федеральном законе от 2 декабря 1990 г. № 395-1 «О банках и банковской деятельности». Кредитная организация – юридическое лицо, которое для извлечения прибыли как основной цели своей деятельности на основании специального разрешения (лицензии) ЦБ РФ имеет право осуществлять банковские операции, предусмотренные ФЗ. Банк – кредитная организация, которая имеет исключительное право осуществлять в совокупности следующие банковские операции: - привлечение во вклады денежных средств физических и юридических лиц; - размещение указанных средств от своего имени и за свой счет на условиях возвратности, платности, срочности; - открытие и ведение банковских счетов физических и юридических лиц Клиенты самостоятельно выбирают банки для кредитно-расчетного обслуживания и могут производить все виды банковских операций в одном или нескольких банках. Безналичные расчеты осуществляются банками с банковских счетов предприятий, а также могут осуществляться через банки, в которых не открыты счета предприятий, осуществляемых платежи, либо в пользу которых произведен платеж. Для ведения расчетов между предприятиями, обслуживаемыми различными банками, имеет значение характер взаимоотношений между банками. Организация расчетов в этом случае возложена на расчетно-кассовые центры (РКЦ), созданные ЦБ РФ по территориальному принципу. Каждому учреждению банка в РКЦ открывается корреспондентский счет для проведения расчетов, где на соответствующем балансовом счете банк хранит свои собственные средства, а РКЦ осуществляет безналичные расчеты клиентов и самого банка. Расчеты между РКЦ по расчетным операциям клиентов банков осуществляются через МФО (межфилиальные обороты), которые есть у каждого РКЦ. Схема расчетов с участием РКЦ представлена на рис. 1.
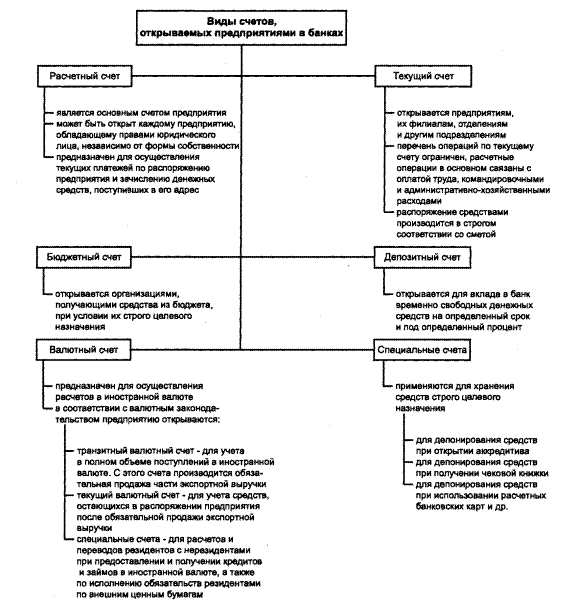
Рис. 1. Схема расчетов с участием РКЦ Клиенты вправе открывать необходимое им количество расчетных, депозитных и иных счетов в любой валюте в банках с их согласия, если иное не установлено федеральным законом. (ст. 30 закона № 395-1). Отношения между банками и клиентами носят двойственный характер. При заключении договора банковского счета клиенту открывается счет в банке на условиях, согласованных сторонами. Виды счетов, открываемых предприятиями в банках, представлены на рис. 2.
Рис. 2. Виды счетов, открываемых предприятиями в банках Банк обязан заключить договор банковского счета с клиентом, обратившимся с предложением открыть счет на объявленных банком для открытия счетов данного вида условиях, соответствующих требованиям, предусмотренным законом и установленными в соответствии с ним банковскими правилами (ст. 846 ГК РФ). Банк не вправе отказать в открытии счета, совершение соответствующих операций по которому предусмотрено законом, учредительными документами банка и выданным ему разрешением (лицензией), за исключением случаев, когда такой отказ вызван отсутствием у банка возможности принять на банковское обслуживание либо допускается законом или иными правовыми актами. При необоснованном уклонении банка от заключения договора банковского счета клиент вправе предъявить ему претензии, предусмотренные п. 4 ст. 445 ГК РФ. В соответствии с п. 9 ст. 5 Закона №395-1, открытие кредитной организацией банковского счета юридическому лицу осуществляется на основании: · свидетельства о государственной регистрации юридического лица; · свидетельства о постановке на учет в налоговом органе. Вместе с перечисленными документами в банк предоставляется карточка с образцами подписей и оттиска печатей, оформленная в соответствии с указанием ЦБ РФ от 21 июня 2003 г. № 1297-У. Карточка с образцами прописей и оттиска печати подписывается руководителем и главным бухгалтером предприятия, которому открывается счет. право первой подписи принадлежит руководителю предприятия, а также должностным лицам, уполномоченным руководителем. Право второй подписи принадлежит главному бухгалтеру или лицам, уполномоченным на ведение бухгалтерского учета письменным распоряжением. Правом первой и второй подписи могут обладать одновременно несколько работников предприятия. При этом сотрудник предприятия не может быть наделен одновременно правом первой и второй подписи. Если в штате предприятия нет должности главного бухгалтера (другого должностного лица, выполняющего его функции), карточка подписывается только руководителем. В этом случае в карточке в поле «Фамилия, имя, отчество» вместо указания лица, наделенного правом второй подписи, указывается: «Бухгалтерский работник в штате не предусмотрен» Подлинность собственноручных подписей лиц, обладающим правом первой и второй подписи, может быть удостоверена нотариально. Карточка может быть оформлена без нотариального свидетельствования подлинности подписей в присутствии сотрудника кредитной организации в соответствии с порядком, установленным указанием ЦБ РФ от 21 июня 2003 г. № 1297-У. Банк обязан сообщить об открытии или закрытии счете организации, индивидуального предпринимателя в налоговый орган по месту их учета в пятидневный срок со дня соответствующего открытия или закрытия такого счета (ст. 86 ч I НК РФ). Отсутствие договора банковского счета в виде единого документа, подписанного сторонами, не означает отсутствия договорных отношений. При открытии банковского счета возникают 2 группы отношений: Во-первых, банк обязуется принимать и зачислять на счет денежные средства, которые перечисляются его клиенту, а также выдавать по требованию последнего необходимые уму сумму в порядке, установленным законодательством и договором. Банк может использовать находящиеся на счете денежные средства по-своему усмотрению. Поэтому за остаток на счете банк выплачивает клиенту проценты (ст. 845 ч. II ГК РФ). Во-вторых, банк выполняет поручения клиента о производстве платежей и о получении денег, следуемых клиенту. В этих отношениях банк следует признать комиссионером или поверенным клиента в зависимости от используемой в каждом конкретном случае формы безналичных расчетов. Расторжение договора банковского счета является основанием закрытия счета клиента. Клиент вправе досрочно в одностороннем порядке расторгнуть договор банковского счета без объяснения причин. При этом договор расторгается по заявлению клиента. Банк может расторгнуть договор только в судебном порядке в следующих случаях: · когда сумма денежных средств, хранящихся на счете клиента, окажется ниже минимального размера, предусмотренного банковскими правилами или договором, если такая сумма не будет восстановлена в течение месяца со дня предупреждения банка об этом; · когда отсутствуют операции по этому счету в течение года, если иное не предусмотрено договором (ст. 859 ГК РФ). Списание денежных средств со счета производится в соответствии со статьей 855 Гражданского кодекса РФ часть вторая. При наличии на счете денежных средств, сумма которых достаточна для удовлетворения всех требований, предъявленных к счету, списание этих средств со счета осуществляется в порядке поступления распоряжений клиента и других документов на списание (календарная очередность), если иное не предусмотрено законом. При недостаточности денежных средств на счете для удовлетворения всех предъявленных к нему требований списание денежных средств осуществляется в следующей очередности: · в первую очередь осуществляется списание по исполнительным документам, предусматривающим перечисление или выдачу денежных средств со счета для удовлетворения требований о возмещении вреда, причиненного жизни и здоровью, а также требований о взыскании алиментов; · во вторую очередь производится списание по исполнительным документам, предусматривающим перечисление или выдачу денежных средств для расчетов по выплате выходных пособий и оплате труда с лицами, работающими по трудовому договору, в том числе по контракту, по выплате вознаграждений по авторскому договору; · в третью очередь производится списание по платежным документам, предусматривающим перечисление или выдачу денежных средств для расчетов по оплате труда с лицами, работающими по трудовому договору (контракту), а также по отчислениям в Пенсионный фонд РФ, Фонд социального страхования РФ, Государственный фонд занятости населения РФ и фонды обязательного медицинского страхования; · в четвертую очередь производится списание по платежным документам, предусматривающим платежи в бюджет и внебюджетные фонды, отчисления в которые не предусмотрены в третьей очереди; · в пятую очередь производится списание по исполнительным документам, предусматривающим удовлетворение других денежных требований; · в шестую очередь производится списание по другим платежным документам в порядке календарной очередности. Списание средств со счета по требованиям, относящимся к одной очереди, производится в порядке календарной очередности поступления документов. Формы безналичных расчетов Все безналичные расчеты, осуществляемые предприятием, можно разделить на две группы: · расчеты по обязательствам перед бюджетом, внебюджетными фондами и другие подобные платежи · расчеты по товарным операциям и другим хозяйственным договорам. Платежи первой группы, как правило, производятся по платежным поручениям, а расчеты второй группы осуществляются в различных формах. Расчеты по товарным операциям и другим хозяйственным договорам можно классифицировать по различным признакам (рис. 3).
Рис. 3. Классификация форм безналичных расчетов Банк России устанавливает правила, формы, сроки и стандарты осуществления безналичных расчетов, руководствуясь Положением о безналичных расчетах в РФ от 3 октября 2002 г. №2-П. Положение о расчетах исходит из принципа свободы выбора предприятиями форм расчетов и закрепления их в договорах, а также невмешательства банка в договорные отношения предприятий. Безналичные расчеты предприятия могут производиться: · платежными поручениями; · аккредитивами; · чеками; · платежными требованиями; · инкассовыми поручениями. Безналичные перечисления и выдачу наличных денег банк производит с согласия (акцепта) распорядителя счета или по его поручению. Платежное поручение - письменное распоряжение владельца счета (плательщика) обслуживающему его банку, оформленное расчетным документом, перевести определенную сумму на счет получателя средств, открыв в этом или в другом банке. Платежное поручение исполняется банком в срок, предусмотренный законодательством, или в более короткий срок, если это установлено договором банковского счета. Платежными поручениями могут производиться: - перечисления денежных средств за поставленные товары, выполненные работы, оказанные услуги; - перечисления денежных средств в бюджеты всех уровней и во внебюджетные фонды; - перечисления денежных средств в целях возврата (размещения) кредитов (займов, депозитов) и уплаты процентов по ним; - перечисления денежных средств в других целях, предусмотренных законодательством или договором. Платежные поручения принимаются банком независимо от наличия денежных средств на счете плательщика. В соответствии с условиями основного договора платежные поручения могут использоваться для предварительной оплаты товаров, работ, услуг или для осуществления периодических платежей. При отсутствии или недостаточности денежных средств на счете плательщика, а также если договором банковского счета не определены условия оплаты расчетных документов сверх имеющихся на счете денежных средств, платежные поручения помещаются в карточку «Расчетные документы, не оплаченные срок» и оплачиваются по мере поступления средств в очередности, установленной законодательством. Аккредитив представляет собой условное денежное обязательство, принимаемое банком (банк-эмитент) по поручению плательщика, произвести платежи в пользу получателя средств по предъявлении последним документа, соответствующих условиям аккредитива, или предоставить полномочия другому банку (исполняющий банк) произвести такие платежи. Платеж по аккредитиву производится суммы аккредитива на счет получателя средств. Аккредитив предназначен для расчетов с одним получателем средств. Порядок расчета по аккредитиву устанавливается в одном договоре, в котором отражаются следующие условия: - наименование банка-эмитента; - вид аккредитива; - способ извещения получателя средств об открытии аккредитива; - способ извещения плательщика о номере счета для депонирования средств, открытого исполняющим банком; - полный перечень и точная характеристика документов, предоставляемых получателем средств; - сроки действия аккредитива, представления документов, подтверждающих поставку товара (выполнение работ, оказание услуг), и требования к оформлению указанных документов; - условия оплаты (с акцептом или без акцепта) - ответственность за неисполнение (ненадлежащее исполнение) обязательства Следует различать следующие виды аккредитивов: 1) покрытые (депонированные) или непокрытые (гарантированные); 2) отзывные или безотзывные. Покрытыми (депонированными) считаются аккредитивы, при открытии которых банк-эмитент перечисляет собственные средства плательщика или предоставленный ему кредит в распоряжение банка поставщика (исполняющий банк) на отдельный балансовый счет «Аккредитивы» на весь срок действия обязательств банка-эмитента. При установлении между банками корреспондентских отношений непокрытый (гарантированный) аккредитив может открываться в исполняющем банке путем предоставления ему права списывать всю сумму аккредитива с ведущегося у него счета банка-эмитента. Отзывным называется аккредитив , который может быть изменен или аннулирован банком-эмитентом без предварительного согласования с поставщиком (например, в случае несоблюдения условий, предусмотренных договором, досрочного отказа банка-эмитента гарантировать платежи по аккредитиву). Отзыв аккредитива не создает каких-либо обязательств банка-эмитента перед получателем средств. Исполняющий банк обязан осуществить платеж или иные операции по отзывному аккредитиву, если к моменту их совершения им не получено уведомление об изменении условий или отмене аккредитива. Безотзывной аккредитив – это аккредитив, который не может быть изменен или аннулирован без согласия поставщика, в пользу которого он открыт. Поставщик может досрочно отказаться от использования аккредитива, если это предусмотрено условиями аккредитива. Заявление об открытии аккредитива представляется в количестве экземпляров, необходимом банку плательщика для выполнения условий аккредитива. Для получения средств по аккредитиву поставщик, отгрузив товары, представляет реестр счетов, отгрузочные и другие предусмотренные условиями аккредитива документы в банк. Документы, подтверждающие выплаты по аккредитиву, должны быть представлены поставщиком банку до истечения срока аккредитива и подтверждать выполнение всех условий аккредитива. При нарушении хотя бы одного из этих условий выплаты по аккредитиву не производятся. Если условиями аккредитива предусмотрен акцепт уполномоченного покупателя, то указанные лица обязаны представить исполняющему банку: паспорт или другой, заменяющий его документ; образец своей подписи; командировочное удостоверение или доверенность, выданные организацией, открывшей аккредитив, а проверяется наличие акцептной надписи и соответствие подписи уполномоченного представленному им образцу. Не принимаются к оплате реестры счетов без указания в них даты отгрузки, номеров товарно-транспортных документов, почтовых квитанций при отправке товара, номеров или дат приемно-сдаточных документов и видов транспорта, которым отправлен груз при приеме товара представителем покупателя на месте у поставщика. Реестр счетов представляется поставщиком банку в трех экземплярах, из которых первый экземпляр используется в качестве мемориального ордера, третий выдается поставщику в качестве расписки в приеме реестра счетов, а второй — с приложением товарно-транспортных документов и отметкой банка отсылается банку-эмитенту для вручения плательщику и одновременно отражения по счету «Аккредитивы к оплате». Выплата аккредитивов наличными деньгами не допускается. Банки не несут ответственности за последствия задержки или утери в пути каких-либо документов. Закрытие аккредитива в банке поставщика производится: - по истечении срока аккредитива; - по заявлению поставщика об отказе от дальнейшего использования аккредитива до истечения срока на основании заявления поставщика об отказе от дальнейшего использования аккредитива (банку-эмитенту посылается уведомление исполняющим банком, а неиспользованная сумма перечисляется банку плательщика по его указанию на счет); - по заявлению покупателя об отзыве аккредитива полностью или частично аккредитив закрывается или уменьшается в день получения сообщения от банка-эмитента, но не более суммы остатка на счете «Аккредитивы». О закрытии аккредитива посылается уведомление банку-эмитенту. Чеком признается ценная бумага, содержащая ничем не обусловленное распоряжение чекодателя банку произвести платеж указанной в нем суммы чекодержателю. В качестве плательщика по чеку может быть указан только банк, где чекодатель имеет средства, которыми он вправе распоряжаться путем выставления чеков. Отзыв чека до истечении срока для его предъявления не допускается. Это является отличием чека от аккредитива. Чек должен содержать: - наименование «чек», включенное в текст документа; - поручение плательщику выплатить определенную денежную сумму; - наименование плательщика и указание счета, с которого должен произведен платеж; - указание валюты платежа; - указание даты и места составления чека; - подпись лица, выписавшего чек, - чекодателя. Отсутствие в документе какого-либо из указанных реквизитов лишает его силы чека. Чек, не содержащий указание места его составления, рассматривается как подписанный в месте нахождения чекодателя. Чек может быть именным и на предъявителя. Именным называется чек, выписанный на определенное лицо, предъявительским – чек, который оплачивается его предъявителю. Именной чек не подлежит передаче. Предъявительский чек может быть передан новому владельцу с помощью индоссамента (передаточной надписи на оборотной стороне чека), удостоверяющей переход прав по чеку. Чек может быть представлен к платежу одним из следующих способов: - непосредственным предъявлением банку-плательщику; - предъявлением чека в банк, обслуживающий чекодержателя, на инкассо- в этом случае оплата чека происходит в порядке исполнения инкассового поручения. Платеж по чеку может быть гарантирован полностью или частично посредством аваля (гарантия платежа по чеку), который может даваться любым лицом, за исключением плательщика. Платежное требование представляет собой требование поставщика к покупателю оплатить на основании направленных в обслуживающий банк плательщика расчетных и отгрузочных документов, стоимость поставленной по договору продукции, выполненных работ и оказанных услуг. Платежные требования выписываются поставщиком на установленном бланке и вместе с документами направляются в трех экземплярах в банк покупателя, который передает платежное требование плательщику, а отгрузочные документы оставляет в картотеке к счету плательщика. Платежное требование принимается при наличии средств на счете плательщика. Об отгрузке полностью или частично оплатить платежное требование плательщик уведомляет обслуживающий его банк в течении трех дней В платежном требовании, кроме реквизитов, которые должны содержать все расчетные документы, указывается: - условие оплаты; - срок для акцепта; - дата отсылки (вручения) плательщику предусмотренных договором документов, в случае если эти документы были отосланы (вручены) им плательщику; - наименование товара (выполненных работ, оказанных услуг), номер и дата договора, номера документов, подтверждающих поставку товара (выполнения работ, оказания услуг), способ доставки товара, дата поставки товара (выполнения работ, оказания услуг). Расчеты посредством платежных требований могут осуществляться с предварительным акцептом и без акцепта плательщика. Срок для акцепта платежных требований определяется сторонами по основному договору. При этом срок для акцепта должен быть не менее пяти рабочих дней. Последний экземпляр платежного требования используется для извещения плательщика о поступлении платежного требования. Этот экземпляр расчетного документа передается плательщику для акцепта не позднее следующего рабочего дня со дня поступления в банк платежного требования. Передача платежных требований плательщику осуществляется исполняющим банком в порядке, предусмотренном договором банковского счета. Плательщик имеет право досрочно акцептовать платежное требование путем предоставления в банк соответствующего заявления. Без акцепта плательщика расчеты платежными требованиями осуществляются в случаях: · установленных законодательством; · предусмотренных сторонами по основному договору при условии предоставления банку, обслуживающему плательщика, права на списание денежных средств со счета плательщика без его распоряжения. Плательщик обязан предоставить в обслуживающий банк сведения о кредиторе (получателе средств), который имеет право выставлять платежные требования на списание денежных средств в безакцептном порядке. Отсутствие условия о безакцептном списании денежных средств в договоре банковского счета, либо дополнительного соглашения к договору банковского счета, а также отсутствие сведений о кредиторе и иных сведений является основанием для отказа банком в оплате платежного сведения без акцепта. Инкассовые поручения является расчетным документом, на основании которого производится списании денежных средств со счета плательщика в бесспорном порядке. Инкассовые поручения применяются: · в случаях, когда бесспорный порядок взыскания денежных средств установлен законодательством, в том числе для взыскания денежных средств органами, выполняющими контрольные функции; · для взыскания по исполнительным документам; · в случаях, предусмотренных сторонами по основному документу, при условии предоставления банку, обслуживающему плательщика, права на списание денежных средств со счета плательщика без его распоряжения. При взыскании денежных средств со счетов в бесспорном порядке, в случаях, установленных законом, в инкассовом поручении в поле «Название платежа» должна быть сделана ссылка на соответствующий закон (с указанием его номера и даты принятия) При взыскании денежных на основании исполнительных документов инкассовое поручение должно содержать ссылку на дату и номер исполнительного документа, а также наименование органа, вынесшего решение, подлежащее принудительному исполнению. Инкассовое поручение на взыскание денежных средств со счетов, выставленные на основании исполнительных документов, принимаются банком взыскателя с приложением подлинника исполнительного документа, либо его дубликата. 2. Учет денежных средств 2.1 Учет денежных средств в кассе 2.1.1 Аналитический учет денежных средств в кассе Денежные средства организаций находятся в кассе в виде наличных денег и денежных документов на счетах в банках, в выставленных аккредитивах и на открытых особых счетах, в чековых книжках и т.д. Ведение кассовых операций возложено на кассира, который несет полную материальную ответственность за сохранность принятых ценностей. Для учета кассовых операций применяются следующие типовые межведомственные формы первичных документов и учетных регистров. Эти регистры аналитического учета по счету 50 «Касса» указаны в таблице 1. Таблица 1 Регистры аналитического учета по счету 50 «Касса»
Эти формы утверждены постановлением Госкомстата России от 18 августа 1998 г. N 88 по согласованию с Министерством финансов России и введены в действие с 1 января 1999 г. Поступление денег в кассу и выдачу из кассы оформляют приходными и расходными кассовыми ордерами. Подчистки, помарки и исправления, хотя бы и оговоренные, в этих документах не допускаются. Заработную плату, пенсии, пособия по временной нетрудоспособности, премии, стипендии выдают из кассы не по кассовым ордерам, а по платежным или расчетно-платежным ведомостям, подписанным руководителем организации и главным бухгалтером. Приходные и расходные кассовые ордера или заменяющие их документы до передачи в кассу регистрируются бухгалтерией в журнале регистрации приходных и расходных кассовых документов (форма N КО-3). Кассир при получении приходных и расходных кассовых ордеров или заменяющих их документов: - проверяет наличие и подлинность на документах подписи главного бухгалтера, а на расходном кассовом ордере или заменяющем его документе — разрешительной надписи (подписи) руководителя предприятия или лиц, на это уполномоченных; - проверяет правильность оформления документов; - проверяет наличие перечисленных в документах приложений. В случае несоблюдения одного из этих требований кассир возвращает документы в бухгалтерию для надлежащего оформления. Вслучае соблюдения всех перечисленных выше требований и соответствия документов кассир принимает наличные деньги. При приеме наличных денег кассир проверяет их платежеспособность в соответствии с Признаками платежеспособности банкнот и монет Банка России, утвержденными положением ЦБ РФ от 9 октября 2002 г. 199-П. Полученная кассиром сумма должна соответствовать указанной в приходном кассовом ордере. После приема денег кассир подписывает квитанцию и расшифровывает подпись (ставит фамилию и инициалы), заверяет печатью (штампом) кассира. Квитанция к приходному кассовому ордеру, подписанная главным бухгалтером или лицом, на это уполномоченным, и кассиром, заверенная печатью (штампом) кассира или оттиском кассового аппарата, выдается на руки сдавшему деньги. Приходные кассовые ордера или заменяющие их документы немедленно после получения или выдачи по ним денег подписываются кассиром, а приложенные к ним документы погашаются штампом или надписью от руки «Оплачено» с указанием даты (числа, месяца, года). Наличные деньги, не подтвержденные приходными кассовыми ордерами, считаются излишком кассы и зачисляются в доход предприятия Приходный кассовый ордер и квитанция к приходному кассовому ордеру заполняются одновременно. Квитанция приходного ордера выдается только после получения денег. В соответствии с п. 14 Порядка ведения кассовых операций в Российской Федерации» выдача наличных денег из касс предприятий производится по расходным кассовым ордерам (форма КО-2) или надлежаще оформленным другим документам (платежным ведомостям (расчетно-платежным), заявлениям на выдачу денег, счетам и др.) с наложением на эти документы штампа с реквизитами расходного кассового ордера. Выдача денег по расходным кассовым ордерам. Выдача денег лицам, не состоящим в списочном составе предприятия, производится по расходным кассовым ордерам, выписываемым отдельно на каждое лицо, или по отдельной ведомости на основании заключенных договоров. Документы на выдачу денег должны быть подписаны руководителем, главным бухгалтером предприятия или лицами, на это уполномоченными. В тех случаях, когда на прилагаемых к расходным кассовым ордерам документах, заявлениях, счетах и т. д. имеется разрешительная надпись руководителя предприятия, подпись его на расходных кассовых ордерах не обязательна. В случае соблюдения всех перечисленных выше требований и соответствия документов кассир выдает наличные деньги. При выдаче денег по расходному кассовому ордеру или заменяющему его документу отдельному лицу кассир: · требует предъявления документа (паспорта или другого документа), удостоверяющего личность получателя. На предприятии выдача денег может производиться по удостоверению, выданному данным предприятием, при наличии на нем фотографии и личной подписи владельца. Выдачу денег кассир производит только лицу, указанному в расходном кассовом ордере или заменяющем его документе. Если выдача денег производится по доверенности, оформленной в установленном порядке, в тексте ордера после фамилии, имени и отчества получателя денег бухгалтерией указывается фамилия, имя и отчество лица, которому доверено получение денег. Доверенность остается в документах дня, как приложение к расходному кассовому ордеру; · записывает наименование и номер документа, кем и когда он выдан и отбирает расписку получателя. Расписка в получении денег может быть сделана получателем только собственноручно чернилами или шариковой ручкой с указанием полученной суммы: рублей — прописью, копеек — цифрами; · выдает деньги получателю. При завершении операции кассир обязан подписать расходные кассовые ордера, а приложенные к ним расходные документы погасить штампом или надписью: «Оплачено» с указанием числа, месяца и года. Выдача денег по другим документам. Оплата труда, выплата пособий по социальному страхованию и стипендий производятся кассиром по платежным (расчетно-платежным) ведомостям без составления расходного кассового ордера на каждого получателя. На титульном (заглавном) листе платежной (расчетно-платежной) ведомости делается разрешительная надпись о выдаче денег за подписями руководителя и главного бухгалтера предприятия или лиц, на это уполномоченных. В аналогичном порядке могут оформляться и разовые выдачи денег на оплату труда (при уходе в отпуск, по болезни и др.), а также выдача депонированных сумм и денег под отчет на расходы, связанные со служебными командировками, нескольким лицам. Разовые выдачи денег на оплату труда отдельным лицам производятся, как правило, по расходным кассовым ордерам. Выдача денег лицам, привлекаемым на сельскохозяйственные и погрузочно-разгрузочные работы, а также для ликвидации последствий стихийных бедствий, может производиться по ведомости. Ведомости составляются отдельно по каждой организации, работники которой были направлены на указанные работы, и заверяются, кроме подписи руководителя и главного бухгалтера предприятия — организатора работ, подписью уполномоченного соответствующей организации. Если выдача денег производится по доверенности, оформленной в установленном порядке, в ведомости перед распиской в получении денег кассир делает надпись: «По доверенности». Доверенность остается в документах дня, как приложение к ведомости. По истечении установленных сроков оплаты труда, выплаты пособий по социальному страхованию и стипендий (не свыше трех рабочих дней, а для предприятий, расположенных в районах Крайнего Севера и приравненных к ним местностях, — до пяти дней, включая день получения денег в банке) кассир должен: - в платежной (расчетно-платежной) ведомости построчно проверить выданную заработную плату и против фамилий лиц, которым не произведены указанные выплаты, в графе «расписка в получении» поставить штамп или сделать отметку от руки: «Депонировано»; - закрыть платежную (расчетно-платежную) ведомость двумя суммами: в конце ведомости необходимо сделать надпись о фактически выплаченных и депонированных суммах, сверить их с общим итогом по платежной ведомости и скрепить надпись своей подписью. Если деньги выдавались не кассиром, а другим лицом, то на ведомости дополнительно делается надпись: «Деньги по ведомости выдавал (подпись)». Выдача денег кассиром и раздатчиком по одной ведомости запрещается - составить реестр депонированных сумм; - передать в бухгалтерию платежную ведомость и реестр невыданной заработной платы для проверки и выписки расходного кассового ордера на выданную сумму; - записать в кассовую книгу фактически выплаченную сумму и поставить на ведомости штамп: «Расходный кассовый ордер _____». Бухгалтерия производит проверку отметок, сделанных кассиром в платежных (расчетно-платежных) ведомостях, и подсчет выданных и депонированных по ним сумм и передает кассиру расходный кассовый ордер для регистрации в кассовой книге. Суммы невостребованной заработной платы кассир сдает в банк на расчетный счет предприятия с указанием: «депонированные суммы». Банк должен учитывать эти суммы отдельно, так как они могут быть востребованы в любой день, их нельзя использовать на другие выплаты предприятия (погашение задолженностей и т. п.). На сданные в банк депонированные суммы составляется один общий расходный кассовый ордер. Расходные кассовые ордера, оформленные на основании платежных (расчетноплатежных) ведомостей на оплату труда и других приравненных к ней платежей, регистрируются после их выдачи. Регистрация приходных и расходных кассовых документов может осуществляться с применением средств вычислительной техники. При этом в машинограмме «Вкладной лист журнала регистрации приходных и расходных кассовых ордеров», составляемой за соответствующий день, обеспечивается также формирование данных для учета движения денежных средств по целевому назначению. Прием и выдача денег по кассовым ордерам может производиться только в день их составления. Выдача приходных и расходных кассовых ордеров или заменяющих их документов на руки лицам, вносящим или получающим деньги, запрещается. Выдача денег из кассы, не подтвержденная распиской получателя в расходном кассовом ордере или другом заменяющем его документе, в оправдание остатка наличных денег в кассе не принимается. Эта сумма считается недостачей и взыскивается с кассира. Книга учета принятых и выданных кассиром денежных средств . На предприятиях, имеющих большое количество подразделений, обслуживаемых центральными кассами, оплата труда, выплаты пособий по социальному страхованию могут производиться несколькими кассирами или доверенными лицами (раздатчиками). В этом случае главный (старший) кассир перед началом рабочего дня выдает другим кассирам авансом необходимую для расходных операций сумму наличных денег под расписку в книге учета принятых и выданных кассиром денежных средств (форма КО-5). Кассиры (раздатчики) в конце рабочего дня обязаны отчитаться перед главным (старшим) кассиром в полученных денежных суммах и сдать ему остаток наличных денег под расписку в книге учета принятых и выданных кассиром денежных средств. По авансам, полученным для оплаты труда и выплаты стипендий, кассир обязан отчитаться в срок, указанный в платежной ведомости для их выплаты. До истечения этого срока кассиры (раздатчики) обязаны ежедневно сдавать в кассу остатки наличных денег, не выданных по платежным ведомостям. Эти деньги сдаются в опечатанных кассирами сумках, пакетах и других упаковках главному (старшему) кассиру под расписку с указанием объявленной суммы. Все операции по поступлению и расходованию денежных средств кассир записывает в кассовую книгу (форма № КО-4) (регистр аналитического учета), которая должна быть пронумерована, прошнурована и опечатана сургучной или мастичной печатью. Количество листов в ней должно быть заверено подписями руководителей организации и главного бухгалтера. В конце рабочего дня кассир подсчитывает в кассовой книге итоги операций за день и выводит остаток денег в кассе на следующий день. Записи в кассовой книге ведут шариковой ручкой или чернилами через копировальную бумагу на двух листах. Каждый лист кассовой книги состоит из двух равных частей: одна из них (с горизонтальной линовкой) заполняется кассиром как первый экземпляр, вторая (без горизонтальных линеек) заполняется кассиром как второй экземпляр с лицевой и оборотной стороны через копировальную бумагу. Предварительно лист сгибают по линии отреза, подкладывая отрывную часть листа под ту часть листа, которая остается в книге. Для ведения записей после «Переноса» отрывную часть листа накладывают на лицевую сторону неотрывной части листа и продолжают записи по горизонтальным линейкам оборотной стороны неотрывной части листа. Первые экземпляры листов остаются в кассовой книге. Вторые экземпляры служат отчетом кассира и до конца операций за день не отрываются. Один лист книги отрывной, его сдают в конце дня со всеми приходными и расходными документами в качестве отчета по кассовым операциям под расписку в кассовой книге. Подчистки и неоговоренные исправления в кассовой книге запрещаются. Сделанные исправления заверяются подписями кассира и главного бухгалтера организации. Записи в кассовую книгу производятся кассиром сразу же после получения или выдачи денег по каждому ордеру или другому заменяющему его документу. Ежедневно в конце рабочего дня кассир подсчитывает итоги операций за день, выводит остаток денег в кассе на следующее число и передает в бухгалтерию в качестве отчета кассира второй отрывной лист (копию записей в кассовой книге за день) с приходными и расходными кассовыми документами под расписку в кассовой книге. Контроль за правильным ведение кассовой книги возлагается на главного бухгалтера предприятия. Ведение кассовой книги автоматизированным способом. На предприятиях при условии обеспечения полной сохранности кассовых документов кассовая книга может вестись автоматизированным способом, при котором листы кассовой книги формируются в виде машинограмм: «Вкладной лист кассовой книги» и «Отчет кассира». Обе машинограммы должны: – составляться к началу следующего рабочего дня; – иметь одинаковое содержание; – включать все реквизиты, предусмотренные формой кассовой книги. Нумерация листов кассовой книги в этих машинограммах осуществляется автоматически в порядке возрастания с начала года. В машинограмме «Вкладной лист кассовой книги» последним за каждый месяц должно автоматически печататься общее количество листов кассовой книги за каждый месяц, а в последней за календарный год — общее количество листов кассовой книги за год. Кассир после получения машинограмм «Вкладной лист кассовой книги» и «Отчет кассира» обязан проверить правильность составления указанных документов, подписать их и передать отчет кассира вместе с приходными и расходными кассовыми документами в бухгалтерию под расписку во вкладном листе кассовой книги. В целях обеспечения сохранности и удобства использования машинограммы «Вкладной лист кассовой книги» в течение года хранятся кассиром отдельно за каждый месяц. По окончании календарного года (или по мере необходимости) машинограммы «Вкладной лист кассовой книги» брошюруются в хронологическом порядке. Общее количество листов за год заверяется подписями руководителя и главного бухгалтера предприятия, и книга опечатывается. 2.1.2 Синтетический учет денежных средств в кассе Денежные средства, хранящиеся в кассе, учитывают на синтетическом счете 50 "Касса". В дебет его записывают поступление денежных средств в кассу, а в кредит - выбытие денежных средств из кассы. К счету 50 "Касса" могут быт открыты субсчета: 50-1 "Касса организации"; 50-2 "Операционная касса"; 50-3 "Денежные документы" и др. На субсчете 50-1 "Касса организации" учитывают денежные средства в кассе. Если организация проводит кассовые операции с иностранной валютой, то к счету 50 "Касса" открывают субсчета для обособленного учета движения каждой наличной иностранной валюты. На субсчете 50-2 "Операционная касса" учитывают наличие и движение денежных средств в кассах товарных контор (пристаней) и эксплуатационных участков, остановочных пунктов, речных переправ, судов, в билетных и багажных кассах портов, вокзалов и т.п. Этот субсчет открывается организациями при необходимости. На субсчете 50-3 "Денежные документы" учитывают находящиеся в кассе организации почтовые и вексельные марки, оплаченные авиабилеты, марки государственной пошлины и другие денежные документы. Для учета операций в иностранной валюте в организациях создается специальная касса. Кассам устанавливаются лимиты в иностранной валюте. Они должны быть обеспечены всеми инструкциями, контрольными и справочными материалами (справочниками по иностранной валюте, образцами дорожных чеков и еврочеков и т.п.). Кассиры обязаны строго соблюдать правила совершения операций по приему и выдаче валюты из кассы. При приеме от клиентов платежных документов в иностранной валюте кассир должен проверить их подлинность и платежеспособность по имеющимся контрольным материалам, а также полноту и правильность заполнения реквизитов документов. В кассу принимается наличная иностранная валюта, не вызывающая сомнений в ее подлинности и платежеспособности. Поврежденные, ветхие, вызывающие сомнение в платежеспособности денежные знаки от клиентов кассиром не принимаются. Оплату товаров и услуг разрешается принимать в нескольких иностранных валютах. Пересчет других видов иностранных валют в доллары осуществляется по рыночному курсу, информация о котором присылается банком в кассу. Таблица пересчета должна быть доступной для посетителей. При расчетах за валюту сдача выдается обычно в валюте платежа. С согласия покупателей сдача может быть выдана в другой свободно конвертируемой валюте. Выдача сдачи в рублях запрещается. Для обособленного учета наличия и движения наличной иностранной валюты к счету 50 "Касса" открывают соответствующие субсчета. Находящиеся в кассе организации почтовые и вексельные марки, оплаченные авиабилеты, марки государственной пошлины и другие денежные документы учитывают на субсчете 50-3 "Денежные документы" счета 50 "Касса" в сумме фактических затрат на их приобретение. Учет поступления и выбытия денежных документов оформляют приходными и расходными кассовыми ордерами. Данные кассовых ордеров кассир записывает в книгу движения денежных документов, являющуюся регистром аналитического учета денежных документов. Аналитический учет денежных документов ведут по их видам. Один-два раза в месяц кассир составляет в кассовой книге отчет по поступившим и выбывшим документам. Основанием для записей по счету 50 служат отчеты кассира. Для учета кассовых операций в бухгалтерии ведут специальные регистры: журнал-ордер № 1 и ведомость № 1 по счету 50 «Касса» (регистры синтетического учета). В журнале-ордере № 1 кассовые операции записываются по кредиту счета 50 «Касса», в ведомости № 1 – по дебету счета 50 «Касса». Основанием для заполнения журнала-ордера № 1 и ведомости № 1 служат отчеты кассира. Каждому отчету в регистре отводится одна строка независимо от периода, за который составлен кассовый отчет. Количество занятых строк в журнале должно соответствовать количеству сданных кассиром отчетов. Однако при незначительном количестве кассовых документов допускается записи операций в регистры производить не ежедневно, а за 3—5 дней, в целом по нескольким отчетам кассира. В этом случае в графе «Дата» указываются начальные и конечные числа, за которые производятся записи, например: 1—3, 15—17 и т. д. Итоги за день (несколько дней) в разрезе корреспондирующих счетов устанавливаются путем подсчета сумм однородных операций, отраженных в кассовом отчете или в приложенных к нему документах, согласно бухгалтерской разметке, предварительно проставляемой в отчете кассира или на документах. Остаток средств в кассе приводится в ведомости только на начало и конец месяца. На протяжении месяца для контроля и оперативных целей используются данные об остатках средств, показанные в отчетах кассира. Поступление наличных денег в кассу отражаются следующими бухгалтерскими проводками: 1. Получены наличные деньги со счетов в банках: Дебет 50 «Касса» Кредит 51 «Расчетный счет»; 52 «Валютный счет»; 55 «Специальные счета в банках». 2. Поступления наличных денег от реализация продукции, основных средств, прочих активов: Дебет 50 «Касса» Кредит 62 « Расчеты с покупателями и заказчиками »; 76 « Расчеты с разными дебиторами и кредиторами »; 90 « Продажи »; 91 « Прочие доходы и расходы ». 3. Возврат в кассу ранее выданных авансов, излишне выплаченных сумм заработной платы, неизрасходованных подотчетных сумм: Дебет 50 «Касса» Кредит 62 « Расчеты с покупателями и заказчиками »; 70 « Расчеты с персоналом по оплате труда »; 71 « Расчеты с подотчетными лицами »; 76 «Расчеты с разными дебиторами и кредиторами ». 4. Поступления наличных денег в погашение задолженности по материальному ущербу и очередным платежам работников - заемщиков, по вкладам в уставный капитал предприятия, от квартиросъемщиков и по исполнительным документам: Дебет 50 « Касса » Кредит 73/1 «Расчеты с персоналом по прочим операциям»; 75 «Расчеты с учредителями»; 76 «Расчеты с разными дебиторами и кредиторами». 5. Получены наличные деньги от дочерних (зависимыми) организации и подразделений организации: Дебет 50 « Касса » Кредит 79 « Внутрихозяйственные расчеты ». 6. Поступление в кассу процентов по векселям, дивидендов по ценным бумагам, доходов от долевого участия в других организациях: Дебет 50 « Касса » Кредит 76 «Расчеты с разными дебиторами и кредиторами ». 7. Получены наличными краткосрочные и долгосрочные кредиты банков: Дебет 50 «Касса» Кредит 66 « Расчеты по краткосрочным кредитам и займам »; 67 « Расчеты по долгосрочным кредитам и займам ». 8. Поступления наличных денег от заимодавцев по предоставленным им краткосрочным и долгосрочным кредитам и другим привлеченным средствам, а также целевого финансирования: Дебет 50 « Касса » Кредит 66 « Расчеты по краткосрочным кредитам и займам »; 67 « Расчеты по долгосрочным кредитам и займам »; 86 « Целевое финансирование ». 9. Поступления наличных денег в счет доходов будущих периодов (арендная плата авансом, плата за коммунальные услуги и т.д.) Дебет 50 « Касса » Кредит 98 « Доходы будущих периодов ». Выбытие наличных денег оформляются следующими бухгалтерскими проводками: 1. Оплачены из кассы расходы по приобретению оборудования, требующего монтажа, объектов основных средств, материалов, МБП, товаров, а также расходы основных и вспомогательных цехов общепроизводственного и общехозяйственного назначения, обслуживающих производств и хозяйств, будущих периодов, коммерческие расходы, затраты на реализации готовой продукции, основных средств, прочих активов: Дебет 07 « Оборудование к установке »; 08 « Вложения во внеоборотные актива »; 20 « Основное производство »; 23 « Вспомогательное производство »; 25 « Общепроизводственные расходы »; 26 « Общехозяйственные расходы »; 29 « Обслуживающие производства и хозяйства »; 41 « Товары »; 44 « Расходы на продажу »; 90 « Продажи »; 91 « Прочие доходы и расходы »; 97 « Расходы будущих периодов ». Кредит 50 «Касса» 2. Сданы в кассу денежные средства для зачисления на расчетный и валютный счета, для приобретения денежных документов и на денежные переводы: Дебет 51 « Расчетный счет »; 52 « Валютный счет »; 55 « Специальные счета в банках »; 50 « Касса ». Кредит 50 « Касса » 3. Оплачены наличными краткосрочные и долгосрочные финансовые вложения, задолженность поставщикам по авансам полученным, различным внебюджетным фондам, бюджету, по отчислениям в социальные фонды: Дебет 08 « Вложения во внеоборотные актива»; 60 « Расчеты с поставщиками и подрядчиками »; 58 « Финансовые вложения »; 76 « Расчеты с разными дебиторами и кредиторами »; 68 « Расчеты по налогам и сборам »; 69 «Расчеты по социальному страхованию и обеспечению» Кредит 50 « Касса » 4. Выданы из кассы заработная плата, подотчетные суммы, займы работникам, начисленные дивиденды сторонним работникам, суммы по исполнительным документам: Дебет 70 « Расчеты с персоналом по оплате труда »; 71 « Расчеты с подотчетными лицами »; 73 « Расчеты с персоналом по прочим операциям »; 75 « Расчеты с учредителями »; 76 « Расчеты с разными дебиторами и кредиторами » Кредит 50 « Касса » 5. Выданы из кассы наличные средства дочерним организациям и подразделениям организации: Дебет 79 « Внутрихозяйственные расчеты » Кредит 50 « Касса » 6. Оплачены из кассы некомпенсируемые расходы, связанные со стихийными бедствиями: Дебет 99 « Прибыли и убытки » Кредит 50 « Касса » 7. Выданы из кассы суммы единовременной помощи работникам и другие выплаты за счет прибыли организации: Дебет 91 « Прочие доходы и расходы » Кредит 50 « Касса » 8. Погашена задолженность по кредитам и заемным обязательствам наличными: Дебет 66 «Расчеты по краткосрочным кредитам и займам» 67 « Расчеты по долгосрочным кредитам и займам » Кредит 50 « Касса » 9. Оплачены из кассы расходы, осуществляемые за счет средств целевого назначения: Дебет 86 « Целевое финансирование » Кредит 50 « Касса ». В кассе организации помимо наличных денежных средств хранятся документы строгой отчетности (денежные документы, ценные бумаги, бланки строгой отчетности). К денежным документам относятся почтовые марки, марки государственной пошлины, вексельные марки, путевки в дома отдыха и санатории, проездные билеты на транспорт, оплаченные авиабилеты и другие денежные документы, которые подлежат учету по фактической стоимости приобретения на счете 50 «Касса», субсчет 3 «денежные документы». Денежные документы хранятся в несгораемом шкафу кассы организации до передачи по назначению (например, под отчет). Лицом, материально ответственным за хранение денежных документов, является кассир организации. Операции по приобретению выдаче денежных документов показаны в таблице 2. Таблица 2 Операции по приобретению и выдаче денежных документов
Бланки строгой отчетности — это документы определенной формы, в которых предусмотрены необходимые реквизиты. Их унификация и стандартизация способствует ускорению и упрощению процессов составления документов. К бланкам строгой отчетности План счетов бухгалтерского учета относит квитанционные книжки, бланки удостоверений, дипломов, различные абонементы, талоны, билеты, бланки товарно-сопроводительных документов и т. п. Они учитываются на забалансовом счете 006 «Бланки строгой отчетности» в условной оценке до момента выдачи под отчет. Операции, связанные с бланками строгой отчетности представлены в таблице 4 Таблица 4 Операции, связанные с бланками строгой отчетности
2.1.3 Инвентаризация кассы В сроки, установленные руководителем предприятия, а также при смене кассиров на каждом предприятии производится инвентаризация кассы с полным полистным пересчетом денежной наличности и проверкой других ценностей, находящихся в кассе (бланков ценных бумаг, бланков документов строгой отчетности). Для производства инвентаризации кассы приказом руководителя предприятия назначается комиссия. Приказ (постановление, распоряжение) о проведении инвентаризации (форма № ИНВ-22) является письменным заданием, конкретизирующим содержание, объем, порядок и сроки проведения инвентаризации проверяемого объекта, а также персональный состав инвентаризационной комиссии. Приказ подписывается руководителем организации, регистрируется в журнале учета контроля за выполнением приказов (постановлений, распоряжений) о проведении инвентаризации (форма № ИНВ-23) и вручается председателю инвентаризационной комиссии. В ходе инвентаризации проверяется правильность оформления кассовых документов; ведения кассовой книги; соблюдения лимитов остатка наличных денежных средств, установленных обслуживающими организацию учреждениями банков; применения контрольно-кассовой техники. При осуществлении наличных расчетов с применением контрольно-кассовой техники инвентаризация денежных средств начинается с проверки их фактического наличия в операционных кассах. На каждый объект ККТ должны быть в наличии документы, связанные с его приобретением, регистрацией и вводом в эксплуатацию. Фактический остаток денежной наличности в кассе сверяется с данными журнала кассира-операциониста (форма № КМ-4). При расхождении результатов сумм на контрольной ленте с суммой наличных денежных средств устанавливается причина расхождения, а выявленные недостачи или излишки заносят в соответствующие графы журнала кассира-операциониста. При проведении инвентаризации оформляется акт о переводе показаний суммирующих денежных счетчиков на нули (форма № КМ-1). Результаты инвентаризации денежных средств в операционных кассах определяются путем сверки фактического наличия денежных средств, указанных в журналах кассира-операциониста, с данными учета по счету 50 «Касса», субсчет «Операционная касса». Результаты инвентаризации денежных средств, находящихся в основной кассе организации (в том числе иностранной валюты), определяются путем сверки фактического наличия денежных средств в кассе с учетными данными по счету 50 «Касса». Для оформления инвентаризации применяют формы первичной учетной документации, к ним относятся: · ИНВ – 15 «Акт инвентаризации наличных денежных средств»; · ИНВ – 16 «Инвентаризационная опись ценных бумаг и бланков документов строгой отчетности»; · КМ – 9 «Акт о проверке наличных денежных средств кассы». Результаты инвентаризации оформляются актом в двух экземплярах и подписываются всеми членами комиссии и лицами, ответственными за сохранность ценностей, и доводятся до сведения руководителя организации. Один экземпляр акта передается в бухгалтерию организации, второй — остается у материально ответственного лица. При смене материально ответственных лиц акт составляется в трех экземплярах. Один экземпляр передается материально ответственному лицу, сдавшему ценности, второй — материально ответственному лицу, принявшему ценности, и третий — в бухгалтерию. Во время инвентаризации операции по приему и выдаче денежных средств, разных ценностей и документов не производятся. Не допускается проведение инвентаризации при неполном составе инвентаризационной комиссии. Никаких подчисток и помарок в описях не допускается. Исправления оговариваются и подписываются членами комиссии и материально ответственным лицом. При обнаружении ревизией недостачи или излишка ценностей в кассе в акте указываются их сумма и обстоятельства возникновения. На оборотной стороне акта материально ответственное лицо пишет объяснение о причинах излишков или недостач, установленных инвентаризацией, а руководитель предприятия — решение по результатам инвентаризации. Результаты ревизии отражаются в акте о проверке наличных денежных средств кассы (форма № КМ – 9). Отражение инвентаризации денежных средств оформляются следующими бухгалтерскими проводками: 1. Обнаружены излишки денежных средств: Дебет 50 « Касса », Кредит 91« Прочие доходы и расходы », субсчет 1 «Прочие доходы»; 2. Обнаруженные в результате инвентаризации недостачи взыскиваются с кассиров: Списание недостающих денег в кассе: Дебет 94 « Недостачи и потери от порчи ценностей », Кредит 50 «Касса»; Предъявление иска кассиру: Дебет счета 73 «Расчетов с персоналом по прочим операциям» субсчет 2 «Расчетов по возмещению материального ущерба», Кредит 94 « Недостач и потерь от порчи ценностей »; 3. По мере взноса кассира в возмещении недостач делаются записи: Дебет 50 «Касса», 51 «Расчетный счет», 70 «Расчеты с персоналом по оплате труда», Кредит счета 73 «Расчетов с персоналом по прочим операциям» субсчет 2 «Расчетов по возмещению материального ущерба». 2.2 Учет денежных средств на расчетном счете Документы на получение (выдачу) наличных денежных средств должны быть составлены в соответствии с требованиями Положения о порядке ведения кассовых операций в кредитных организациях на территории Российской Федерации, утвержденного ЦБ РФ от 9 октября 2002 г. № 199-П. При операциях с наличными средствами используются: чек денежный и объявление на взнос наличными. Для получения денег со своего расчетного счета в банке предприятию выдается чековая книжка. Чек денежный - является приказом предприятия банку о выдаче с расчетного счета предприятия указанной в нем суммы наличных денег, необходимых на выплату заработной платы, пособий или пенсий, командировочные расходы, хозяйственные нужды. Чек может выписываться на сумму, не превышающую остатка денежных средств на расчетном счете. Чек выписывается от руки чернилами или шариковой ручкой, при этом Ф.И.О. получателя средств и сумма пишутся с заглавной буквы, обязательно с начала строки, а свободные места в строках прочеркиваются сплошной чертой. Никакие поправки и помарки в чеках не допускаются. Испорченные чеки из чековой книжки не удаляются. Наименование владельца счета, номер счета и наименование кредитной организации в чеках могут обозначаться штампами. Чеки выписываются на имя конкретного получателя средств. Одновременно с заполнением чека его реквизиты переносятся в корешок, остающийся у предприятия в чековой книжке и являющийся оправдательным документом. Чек действителен в течение 10 дней со дня его выписки, не считая дня выписки, без исправления даты, указанной на документе. Клиент банка обязан указать на обороте денежных чеков назначении сумм платежа, сведения о которых заверяются подписями чекодателя. Предприятия, организации и учреждения, которые в установленных случаях по условиям своей деятельности не расшифровывают свои расходы, представляют в кредитные организации денежные чеки без указания назначения сумм платежа. При решении вопроса о выдаче наличных денег на цели, указанные в чеке, банки могут запросить от обслуживаемых предприятий необходимые документы. На денежных чеках, на основании которых выдаются деньги и другие ценности, должны делаться отметки о предъявлении паспорта или заменяющего его документа получателя. На каждую полученную в банке сумму бухгалтер выписывает приходный кассовый ордер на имя получателя с указанием номера чека, при этом квитанция прикладывается к выписке банка. Сдача наличных денег в банк оформляется объявлением на взнос наличными. Объявление на взнос наличными представляет собой комплект документов, состоящий из объявления, ордера и квитанции и выписывается при внесении наличных денег на расчетный счет. В нем проставляются номер расчетного счета, сумма взноса и дата. В подтверждение о получении денег банк выдает плательщику квитанцию, которая служит оправдательным документом. Порядок и сроки сдачи наличных денег устанавливаются обслуживающими учреждениями банков каждому предприятию по согласованию с их руководителем, исходя из необходимости ускорения оборачиваемости денег и своевременного поступления их в кассы в дни работы учреждений банков. При этом могут устанавливаться следующие сроки сдачи предприятиями наличных денежных средств: -для предприятий, расположенных в населенном пункте, где имеются учреждения банков, - ежедневно в день поступления наличных денег в кассы предприятий; -для предприятий, которые в силу специфики своей деятельности и режима работы, а также при отсутствии вечерней инкассации или вечерней кассы учреждения банка не могут ежедневно в конце рабочего дня сдавать наличные денежные средства в учреждения банков, - на следующий день; -для предприятий, расположенных в населенном пункте, где нет учреждений банков, а также находящихся от них на отдаленном расстоянии, - 1 раз в несколько дней. При приеме наличных денежных средств от юридических средств операционный работник банка проверяет правильность заполнения объявления на взнос наличными, оформляет его и передает объявление на взнос наличными в кассу. Кассовый работник, получив объявление на взнос наличными, проверяет наличие и тождественность подписи операционного работника банка имеющемуся образцу, сличает соответствующие суммы цифрами и прописью, вызывает вносителя денег и принимает от него банкноты полистно, монету – по кружкам. После приема денег кассовый работник сверяет сумму, указанную в объявлении на взнос наличными, с суммой, фактически оказавшейся при пересчете. При соответствии сумм кассовый работник подписывает объявление, квитанцию и ордер, ставит печать на квитанцию и выдает ее вносителю денег. квитанция затем прикладывается к расходному кассовому ордеру и является оправдательным документом. В тех случаях, когда кассовым работником установлено расхождение между суммой сдаваемых клиентом денег и суммой, указанной в объявлении на взнос наличными, объявление на взнос наличными переоформляется клиентом на фактически вносимую сумму денег. Кроме того, прием в кассу кредитной организации и зачисление денежной наличности на счет клиента – юридического лица производиться также по препроводительной ведомости к сумке с рублевой денежной наличностью. В кредитных организации ведется список организаций, сдающих денежную наличность в сумках, с указанием в нем наименования организаций, количества и номеров, закрепленных за каждой организацией сумок, причем эти организации представляют образцы оттисков пломбиров, которыми будут опломбировываться сумки. Оттиск пломбы должен содержать номер и сокращенное наименование организации или ее фирменный знак. первый экземпляр препроводительной ведомости вкладывается в сумку; второй и третий – соответственно накладная к сумке и копия препроводительной ведомости – представляются в кредитную организацию вместе с сумкой. При необоснованном уклонении банка от заключения договора банковского счета клиент вправе предъявить ему требования, предусмотренные пунктом 4 статьи 445 Гражданского кодекса РФ. Для открытия счета в банк организация представляет следующие документы: · заявление на открытие счета; · копия решения о создании организации или учредительные и иные документы, необходимые при государственной регистрации, подтверждаются в соответствии с законодательством РФ создание организации; · свидетельство о регистрации; · копия устава (положения); · карточка с образцами подписей и оттиска печати; свидетельство о постановке на учет в налоговом органе. Безналичные расчеты предприятия могут производиться: · платежными поручениями; · аккредитивами; · чеками; · платежными требованиями; · инкассовыми поручениями. Подробно это рассмотрено в главе 1. Синтетический учет операций по расчетному счету бухгалтерия предприятия ведет на активном счете 51 «Расчетные счета». В случае наличия у организации нескольких расчетных счетов учет движения средств по каждому из них производится раздельно на открываемом к счету 51 субсчете. Для учета операций, отражаемых на счете 51 «Расчетный счет», в бухгалтерии ведут специальные регистры: журнал-ордер № 2 и ведомость № 2 (регистры синтетического учета). Все записи в этих регистрах ведутся на основании выписок банка из расчетного счета и приложенных к ним документов, на основании которых кредитная организация зачисляет или списывает средства с расчетного счета организации. Выписка банка – регистр аналитического учета по расчетному счету. Выписка из расчетного счета — это копия лицевого счета предприятия, открытого ему банком. Она отражает движение денежных средств на расчетном счете предприятия. В выписке указываются: - номер расчетного счета клиента; - дата предыдущей выписки и ее исходящий остаток (он же является входящим остатком для последующей выписки); - номера документов, на основании которых зачислены или списаны денежные средства; - корреспондирующий счет-шифр бухгалтерии банка, которым закодированы финансовые операции предприятия; - суммы по дебету и кредиту; - остаток наличия средств на дату выписки. Выписка с приложением оправдательных документов передается предприятию ежедневно или в другие установленные сроки. Все приложенные к выписке документы гасятся штампом «Погашено». На полях проверенной выписки против сумм операций и в документах проставляются коды счетов, корреспондирующих со счетом 51, а на документах указывается еще и порядковый номер его записи в выписке. В журнале-ордере № 2 отражаются обороты по кредиту счета 51, обороты по дебету счета записываются в разных журналах-ордерах, а контролируются ведомостью № 2. Группировка сумм для отражения необходимых итогов в журнале-ордере и ведомости осуществляется путем подсчета соответствующих данных в выписках или приложенных к ним документах согласно приведенным в них бухгалтерским разметкам. В журнале-ордере и в ведомости записи делаются по корреспондирующим счетам итогами по одной выписке банка. Условием для заполнения регистров является использование одной строки для каждой выписки независимо от того, за какой период она составлена. Количество занятых строк журнала-ордера № 2 и ведомости № 2 за каждый месяц должно быть одинаковым и равно количеству полученных за этот период выписок из банка. Остаток средств на расчетном счете в банке приводится в ведомости только на начало и конец месяца. На протяжении месяца для оперативных целей используются данные об остатках средств, показанные в выписках банка. Итоговые обороты и сальдо по журналу-ордеру и ведомости переносятся в конце месяца в главную книгу на счет 51. Поступление денежных средств на расчетный счет отражается следующими проводками: 1. Получено на расчетный счет из кассы организации: Дебет 51 «Расчетный счет» Кредит 50 «Касса»; 2. Поступили платежи от покупателей продукции, товаров, услуг, имущества организации, в том числе авансы под поставку товара: Дебет 51 «Расчетный счет» Кредит 62 «Расчеты с покупателями и заказчиками»; 3. Получены краткосрочные кредиты и займы: Дебет 51 «Расчетный счет» Кредит 66 «Расчеты по краткосрочным кредитам и займам»; 4. Получены долгосрочные кредиты и займы: Дебет 51 «Расчетный счет» Кредит 67 «Расчеты по долгосрочным кредитам и займам»; 5. Получены суммы вкладов в уставный капитал: Дебет 51 «Расчетный счет» Кредит 75 «Расчеты учредителями»; 6. Получена разная дебиторская задолженность, выручка за проданное имущество организации от покупателей имущества, оказанные услуги и выполненные работы от покупателей: Дебет 51 «Расчетный счет» Кредит 76 «Расчеты с разными дебиторами и кредиторами»; 8. Сумма, поступившая на расчетный счет излишне перечисленных налогов и сборов в бюджет: Дебет 51 «Расчетный счет» Кредит 68 «Расчеты по налогам и сборам»; 8. Сумма возврата излишне перечисленных отчислений и возмещения фондами: Дебет 51 «Расчетный счет» Кредит 69 «Расчеты по социальному страхованию и обеспечению»; 9. Поступили денежные средства в счет причитающейся прибыли по договору доверительного управления имуществом: Дебет 51 «Расчетный счет» Кредит 79 «Внутрихозяйственные расчеты»; 10. Отражены доходы, поступившие в счет будущих периодов: Дебет 51 «Расчетный счет» Кредит 98 «Доходы будущих периодов». Выбытие денежных средств с расчетного счета отражается следующими бухгалтерскими проводками: 1. Получены наличные деньги в кассу: Дебет 50 «Касса»Кредит 51 «Расчетный счет»; 2. Перечислены наличные деньги с расчетного счета на валютный счет: Дебет 52 «Валютный счет» Кредит 51 «Расчетный счет»; 3. Оплата счетов и векселей поставщикам, перечисление аванса : Дебет 60 «Расчеты с поставщиками и подрядчиками», Кредит 51 «Расчетный счет»; 4. Перечисление ЕСН в Федеральный бюджет и в социальные фонды: Дебет 69 «Расчеты по социальному страхованию и обеспечению»; Кредит 51 «Расчетный счет»; 5. Перечисление налогов и сборов бюджет ( по видам налогов и сборов): Дебет 68 «Расчеты по налогам и сборам» Кредит 51 «Расчетный счет»; 6. На сумму заработной платы, перечисленной работникам: Дебет 70 «Расчеты с персоналом по оплате труда» Кредит 51 «Расчетный счет»; 7. На сумму денежных средств, перечисленных учредителям организациям: Дебет 75/1 «Расчеты с учредителями» Кредит 51«Расчетный счет»; 7. Перечислено разным кредиторам: Дебет 76 «Расчеты с разными дебиторами и кредиторами» Кредит 51 «Расчетный счет». 2.3 Учет денежных средств на специальных счетах в банке Помимо счета 51 «Расчетный счет» предусмотрено использование счета 55 «Специальные счета в банках». На счете 55 «Специальные счета в банках» учитывают наличие и движение денежных средств в отечественной и зарубежной валютах, находящихся в аккредитивах, чековых книжках, иных платежных документах (кроме векселей), на текущих, особых и специальных счетах, а также движение средств целевого финансирования в той их части, которая подлежит обособленному хранению. К этому счету могут быть открыты субсчета: 55-1 «Аккредитивы», 55-2 «Чековые книжки», 55-3 «Депозитные счета» и другие. Порядок осуществления расчетов при аккредитивной форме расчетов регулируется Центральным банком РФ. В соответствии с п. 1 ст. 867 ГК РФ при расчетах по аккредитиву банк, действующий по поручению плательщика об открытии аккредитива и в соответствии с его указанием (банк-эмитент), обязуется дать полномочие другому банку (исполняющему банку) произвести платежи получателю средств. В случае открытия покрытого (депонированного) аккредитива банк-эмитент при его открытии обязан перечислить сумму аккредитива (покрытие) за счет плательщика в распоряжение исполняющего банка на весь срок действия обязательства банка-эмитента (п. 2 ст. 867 ГК РФ). Порядок осуществления расчетов по аккредитиву регулируется Положением о безналичных расчетах в Российской Федерации, утвержденным ЦБ РФ от 3 октября 2002 г. № 2-П. В соответствии с п. 5.1 Положения о безналичных расчетах в Российской Федерации при расчетах по аккредитиву плательщик представляет в банк-эмитент два экземпляра заявления на открытие аккредитива (по форме, разработанной банком-эмитентом), в котором поручает банку-эмитенту открыть аккредитив. 1. Зачисление денежных средств в аккредитивы (т. е. открытие аккредитива) отражается следующей проводкой: Дебет 55-1 «Аккредитивы» Кредит 51 «Расчетный счет», 52 «Валютный счет», 66 « Расчеты по краткосрочнм кредитам и займам»; 2. Использование аккредитивов для оплаты счетов Дебет 60 «Расчеты с поставщиками и подрядчиками» или других подобных счетов Кредит 55-1 «Аккредитивы»; 3. Неиспользованные средства в аккредитивах возвращают в организацию на восстановление того счета, с которого они были ранее перечислены (т. е. неиспользованная сумма аккредитива зачисляется на расчетный счет). Дебет 51 «Расчетный счет», 52 «Валютный счет», 66 « Расчеты по краткосрочнм кредитам и займам» Кредит 55-1 «Аккредитивы». Аналитический учет по субсчету 55-1 «Аккредитивы» ведут по каждому выставленному аккредитиву. На субсчете 55-2 «Чековые книжки» учитывают движение средств, находящихся в чековых книжках. Порядок осуществления расчетов чеками регулируется банком. Чеком признается ценная бумага, содержащая ничем не обусловленное распоряжение чекодателя банку произвести платеж указанной в нем суммы чекодержателю. В качестве плательщика по чеку может быть указан только банк, где чекодатель имеет средства, которыми он вправе распоряжаться путем выставления чеков (пп. 1, 2 ст. 877ГК РФ, п. 7.1 Положения о безналичных расчетах в Российской Федерации). 1. Выданные чековые книжки отражают следующей бухгалтерской проводкой: Дебет 55-2 «Чековые книжки» Кредит 51 «Расчетный счет», 52 «Валютный счет», 66 « Расчеты по краткосрочным кредитам и займам». 2. По мере оплаты задолженности чеками их списывают следующими бухгалтерской проводкой: Дебет 76 «Расчеты с разными дебиторами и кредиторами» Кредит 55 «Специальные счета в банках». 3. Суммы оставшихся неиспользованных чеков и возвращенных в банк списывают: Дебет 51 «Расчетный счет», 52 «Валютный счет», 66 « Расчеты по краткосрочным кредитам и займам» Кредит 55- 2 «Чековая книжка». Аналитический учет по субсчету 55-2 ведут по каждой полученной чековой книжке. На субсчете 55-3 «Депозитные счета» учитывают движение средств, вложенных организацией в банковские и другие вклады. 1. Перечисление денежных средств во вклады отражают: Дебет 55 «Депозитные счета» Кредит 51 «Расчетный счет», 52 «Валютный счет». При возвращении кредитной организацией сумм вкладов производят обратные бухгалтерские записи. Также производится начисление процентов по депозитному вкладу организации, которое отражается записью Дебет 76 «Расчеты с прочими дебиторами и кредиторами» Кредит 91-1 «Прочие доходы». Перечисление суммы процентов по депозитному вкладу организации отражается записью Дебет 51 «Расчетный счет», 52 «Валютный счет». Кредит 91-1. Аналитический учет по субсчету 55-3 «Депозитные счета» ведут по каждому вкладу. Наличие и движение средств в иностранных валютах учитывают на счете 55 «Специальные счета в банках» обособленно. Аналитический учет по данному счету должен обеспечить получение данных о наличии и движении денежных средств в аккредитивах, чековых книжках и тому подобное на территории страны и за рубежом. 2.4 Учет переводов в пути Денежные средства, поступающие в кассу организации, подлежат сдаче на счета в кредитных организациях. Порядок и сроки сдачи наличных денежных средств устанавливаются кредитной организацией с учетом территориального расположения организации, режима работы и специфики деятельности. При этом денежные средства могут быть сданы в кассы кредитной организации, инкассаторам, в сберегательные кассы или в кассы почтовых отделений. В период с момента передачи денежных средств инкассаторам или непосредственно кредитным организациям, сберегательным кассам или почтовым отделениям сданные денежные средства учитывают на активном синтетическом счете 57 "Переводы в пути". Основанием для принятия денежных средств на учет по счету 57 являются квитанции кредитной организации, сберегательной кассы или почтового отделения, копии сопроводительных ведомостей на сдачу выручки инкассаторам или другие подобные документы. Движение денежных средств (переводов) в иностранной валюте учитывают на счете 57 обособленно. 1. Из кассы перечислены денежные средства в банк (выручка и т.п.), отражаемые как денежные средства в пути (переводы): Дебет 57 «Переводы в пути» Кредит 50 «Касса». 2. Денежные средства, числившиеся в пути, зачислены на расчетный или валютный счет: Дебет 51 «Расчетный счет», 52 «Валютный счет» Кредит 57 «Переводы в пути». 2.5 Отражение движения денежных средств в бухгалтерской отчетности Отчет о движении денежных средств (далее - ОДДС) – основной источник информации для анализа денежных потоков. Анализ отчета о движении денежных средств позволяет существенно углубить и скорректировать выводы относительно ликвидности и платежеспособности организации, ее будущего финансового потенциала, полученные предварительно на основе статичных показателей в ходе традиционного финансового анализа. Основная цель ОДДС состоит в представлении информации об изменениях в денежных средствах и их эквивалентах для характеристики способности организации генерировать денежные средства. Денежные потоки организации классифицируются в разрезе текущей, инвестиционной и финансовой деятельности. Структура отчета о движении денежных средств Структура отчета о денежных потоках1. Итог раздела I: чистый приток (+) / отток (-) денежных средств от операционной (текущей) деятельности предприятия. 2. Итог раздела II: чистый приток (+) / отток (-) денежных средств от инвестиционной деятельности предприятия. 3. Итог раздела 111: чистый приток (+) / отток (-) денежных средств от финансовой деятельности предприятия. 4. Изменение величины денежных средств (стр. I +/- стр. 2 + / - стр. 3). 5. Величина денежных средств на начало отчетного периода. 6. Величина денежных средств на конец отчетного периода (стр. 4 + стр. 5). Методическая база по составлению отчета о движении денежных средств в настоящее время определяется в России Приказом Минфина РФ от 22 июля 2003 г. № 67н «О формах бухгалтерской отчетности организаций». Отчет о движении денежных средств представлен в виде формы № 4 годовой бухгалтерской отчетности. Под денежными средствами понимают остаток денежных средств и денежных эквивалентов на расчетных, валютных и специальных банковских счетах, в кассе. Эквиваленты денежных средств - краткосрочные, высоколиквидные вложения, легко обратимые в определенную сумму денежных средств подвергающиеся незначительному риску изменения ценности, со сроком размещения обычно не более трех месяцев (а также овердрафтное кредитование). Денежные потоки - это приток и отток денежных средств и их эквивалентов. Текущая деятельность - основная, приносящая доход, и прочая деятельность, кроме инвестиционной и финансовой. Инвестиционная деятельность - приобретение и реализация долгосрочных активов и других инвестиций, не относящихся к денежным эквивалентам. Финансовая деятельность - деятельность, которая приводит к изменениям в размере и составе собственного и заемного капитала организации (без учета овердрафтного кредитования). В настоящее время существуют два основных подхода к определению величины чистого денежного потока от текущей деятельности далее - ЧДТП). В зарубежной практике данный показатель получил широкую известность как Cash Flow from Operation - или, сокращенно, FfO. Первый из них заключается в расчете ЧДПТ из учетных записей организации, когда используются данные об обороте на счетах денежных средств и не привлекаются данные финансовых форм отчетности (баланса и отчета о прибылях и убытках). Второй подход состоит, напротив, в привлечении для расчета ЧДПТ таких финансовых форм.Следовательно, в первом случае уместно говорить о первичном характере расчета ЧДПТ, а во втором - о производном (вторичном). Вместе с тем в практике анализа денежных потоков используются два основных алгоритма расчета ЧДПТ - на базе баланса и отчета о прибылях и убытках. В соответствии с первым величина ЧДПТ определяется путем корректировки статей отчета о прибылях и убытках, в том числе продаж и себестоимости продаж с учетом изменений в течение периода в запасах, операционной дебиторской и кредиторской задолженностей, а также других неденежных статей. Следовательно, такой метод следует назвать производным прямым. В соответствии со вторым алгоритмом при расчете ЧДПТ величина чистой прибыли (убытка) корректируется на сумму операций неденежного характера, связанных с выбытием долгосрочных активов, и на величину изменения оборотных активов и текущих пассивов. Этот метод принято считать производным косвенным.Таким образом, сегодня существуют три основных метода расчета чистого денежного потока от текущей деятельности (ЧДПТ): первичный прямой, производный прямой и производный косвенный. Однако применение производного прямого метода в России затруднительно, так как в отчете о прибылях и убытках отражается нетто-выручка (очищенная от НДС), в то время как в балансе дебиторская задолженность контрагентов включает причитающийся к уплате от покупателей НДС. С учетом этого на практике наибольшее распространение получилидва метода: прямой (первичный) и косвенный. Чистые денежные потоки от инвестиционной и финансовой деятельности рассчитываются только прямым методом. ОДДС позволяет получить информацию: · о способности организации получить прирост денежных средств в ходе своей деятельности; · о способности организации сейчас и в перспективе отвечать по своим финансовым обязательствам, платить дивиденды и оставаться кредитоспособной; · о возможных расхождениях между величиной годовой чистой прибыли/убытка и реальным чистым денежным потоком по основной (текущей) хозяйственной деятельности и причинах этого несоответствия; · о влиянии на финансовое состояние организации ее инвестиционных и финансовых операций, связанных и не связанных с движением денежных средств; · о воздействии на будущее финансовое состояние организации принятых в прошлые периоды решений в области инвестиций и финансирования; Несмотря на полезность структуризации денежных потоков по трем областям деятельности (текущей, инвестиционной и финансовой), как, например, в соответствии с МСФО 7, не меньший интерес для анализа денежных потоков представляет информация о внутренних и внешних источниках финансирования организации и направлениях использования ее финансовых средств. Внешние источники финансирования - рост величины собственного капитала (в первую очередь уставного) и заемного (прежде всего общей суммы кредитов и займов). Снижение же величины собственного и заемного капитала можно, соответственно, считать внешним использованием денежных средств. К внутренним финансовым источникам относятся денежные средства на начало отчетного периода, притоки денежных средств от инвестиционной деятельности, выручка от продажи (т.е. дезинвестиции) необоротных активов, ценных бумаг и иных долгосрочных финансовых вложений, в том числе доходы от таких вложений, и т. д. и чистый денежный поток от текущей деятельности (ЧДПТ). Последний является основным источником самофинансирования организации и поэтому должен составлять существенную долю в структуре внутреннего финансирования любого хозяйствующего субъекта.Рассчитывая ЧДПТ косвенным методом, можно выделить две его составляющие: активное самофинансирование и скрытое финансирование.Направления инвестиций (дезинвестиций) организации. Под активным самофинансированием понимается использование, прежде всего собственных средств (чистой прибыли и амортизационных отчислений), а под скрытыми финансовыми источниками - те, которые могут быть на определенном отрезке времени приравнены к собственным, например изменение величины собственного оборотного капитала, доходы будущих периодов. Изменение величины собственного оборотного капитала как основного скрытого финансового источника можно рассчитать как суммарную величину изменения размера оборотных активов и кредиторской задолженности. Рост величины оборотных активов (материальных оборотных активов и дебиторской задолженности) считают инвестиционными вложениями (инвестициями), а ее снижение - напротив, дезинвестициями.Раздел I ОДДС позволяет использовать главное достоинство прямого метода расчета ЧДПТ, т. е. возможность выявить структуру валовых денежных потоков. Имея такую информацию за ряд отчетных периодов, можно определить тенденцию изменения данной структуры и учесть ее при прогнозе денежных потоков. Раздел II ОДДС дает расшифровку прочих поступлений и выплат денежных средств, что особенно важно при их существенной доле в валовом денежном потоке. Раздел III ОДДС отражает неденежные операции (бартер, взаимозачет и т. п.), внутренние денежные потоки (корреспонденции между бухгалтерскими счетами денежных средств), раскрытие которых нецелесообразно в основной части ОДДС. Такие внутренние денежные обороты, например, поступление денежных средств в кассу из банка организации (Дт 50 - Кт 51) и возврат денежных средств из кассы в банк (Дт 51 - Кт 50), лишь дублируют денежные потоки и рассматриваются не как движение денежных средств, а как способ управления ими.В свою очередь использование косвенного метода расчета ЧДПТ позволяет показать, за счет каких неденежных статей величина чистой прибыли (убытка), заявленной организацией в отчете о прибылях и убытках, отличается от величины ЧДПТ. Нередко случается, что предприятие в условиях использования метода начисления имеет существенную прибыль и вместе с тем низкую платежеспособность.Как внешний, так и внутренний анализ такого ОДДС можно провести следующим образом. 1-й этап. Подготовка отчета о движении денежных средств к экономическому чтению. 2-й этап. Экономическое чтение отчета о движении денежных средств во взаимосвязи с другими формами бухгалтерской отчетности. 3-й этап. Анализ информации. Цель первого этапа - оценить «качество» исходных данных и прежде всего отчета о движении денежных средств по следующим позициям: - определение внешних и внутренних пользователей отчетности; - анализ структуры отчета о движении денежных средств; - определение состава и величины денежных активов, для которых в ОДДС рассчитываются денежные потоки; - проверка полноты учета расходов и доходов, не связанных с денежными потоками; - распределение по видам деятельности неоднозначно классифицируемых потоков (например, связанных с выплатой и получением процентов, дивидендов и налогов). Цель второго этапа - экономическое чтение форм финансовой отчетности для последующего анализа. Цель третьего этапа - всесторонняя оценка ликвидности и финансового равновесия организации, выявление резервов повышения эффективности использования ее финансовых ресурсов. Это подготовительный этап для финансового прогнозирования как базы последующего стратегического анализа и управления организацией. Классификация финансовых показателей на этом этапе производится исходя из задачи удовлетворения запросов каждой группы пользователей подобной информации (инвесторов, кредиторов, государства. п.). Показатели для оценки «качества» ЧДПТ. Позволяют оценить возможность ошибочных выводов при использовании величины ЧДПТ в системе финансовых показателей. Показатели ликвидности. Характеризуют уровень платежеспособности организации. Инвестиционные показатели. Характеризуют способность организации покрыть свои инвестиционные вложения без привлечения источников внешнего финансирования, т. е. степень внутреннего самофинансирования. Показатели финансовой политики. За счет противопоставления отраженных в ОДДС источников финансирования можно получить представление о финансовой политике и об относительном значении каждого такого источника для организации. Анализируя объем и временной аспект используемых источников финансирования, субъект анализа делает вывод о положении данной организации на рынке капитала. Показатели рентабельности. Отражают эффективность использования капитала организации. Оценка «качества» выручки от продажи позволяет выявить степень расхождения величины «денежной» выручки (по оплате) и полученной по данным бухгалтерского учета. Заключение В этой курсовой были рассмотрены вопросы: нормативно – правового регулирования банковской деятельности и ведения кассовых операций; документального оформления и движения денежных средств в кассе; документального оформления и операции по расчетному счету и специальным счетам в банке. В ходе изучения данных вопросов было установлено, что: расчеты наличными деньгами между организациями, осуществляемые через кассу, лимитируются законодательством. по согласованию с банком устанавливается лимит остатка наличных денег в кассе. Все сверхлимитные остатки сдаться в банк в установленные сроки; правила проведения кассовых операций, порядок выдачи и приема наличных денег, а также порядок оформления кассовых документов регламентируются специальными инструкциями ЦБ РФ; наличные деньги на командировочные и административно-хозяйственные расходы выдаться только работникам организации. Произведенные ими расходы имеют документальное подтверждение; расчеты между организациями производятся в безналичном порядке через их счета, открытые в банковских организациях Российской Федерации. Формы расчетных документов соответствуют установленным стандартам; формы расчетов между предприятиями установлены нормативными документами Банка России. Также в курсовой работе был рассмотрен вопрос отражения движения денежных средств в бухгалтерской отчетности. Список использованной литературы 1. Закон РФ «О бухгалтерском учете», принятый ГД РФ от 21 ноября 1996 г. № 129-ФЗ 2. Закон РФ «О Центрально Банке Российской Федерации (Банке России)», принятый ГД РФ от 10 июля 2002 г N 86-ФЗ. 3. Закон РФ «О банках и банковской деятельности», принятый ГД РФ от 2 декабря 1990 г. № 395-1. 4. Гражданский кодекс Российской Федерации. – СПб.: «Издательский дом Герда», 2008. 5. Кодекс об административных правонарушениях (КоАП), принятый ГД РФ от 30 декабря 2001 г. N 195-ФЗ. 6. Налоговый кодекс Российской Федерации (НК РФ) часть 1, принятый ГД РФ от 31 июля1998 г. N 146-ФЗ. 7. Трудовой кодекс Российской федерации (ТК РФ), принятый ГД РФ от 30 декабря 2001 г. № 197-ФЗ 8. Постановление Минтруда РФ от 31 декабря 2002 г. № 85 «Об утверждении перечней должностей и работ, замещаемых или выполняемых работниками, с которыми работодатель может заключать письменные договоры о полной индивидуальной или коллективной (бригадной) материальной ответственности, а также типовых форм договоров о полной материальной ответственности». 9. Положение Центрального банка Российской Федерации «О безналичных расчетах в Российской Федерации» от 3 октября 2002 г. № 2-П. 10.Порядок ведения кассовых операций в РФ, утв. Решением Совета Директоров ЦБ РФ от 22 сентября 1993 г. № 40. 11.Положение ЦБ РФ «О правилах организации наличного денежного обращения на территории РФ» от 5 января 1998 г. N 14-П. 12.Положение ЦБ РФ «О порядке ведения кассовых операций в кредитных организациях на территории РФ» от 9 октября 2002 г. № 199-П 13.Инструкция ЦБ РФ от 14 сентября 2006 г. N 28-И «Об открытии и закрытии банковских счетов, счетов по вкладам (депозитам)». 14.Указание Центрального банка Российской Федерации от 3 марта 2003 г. № 1256-У «О внесении изменений и дополнений в Положение Банка России от 03.10.2002 г. № 2-П "О безналичных расчетах в Российской Федерации». 15.Указание Центрального банка Российской Федерации от 14 ноября 2001 г. № 1050-У «Об установлении предельного размера расчетов наличными деньгами в Российской Федерации между юридическими лицами по одной сделке». 16.Указание Центрального банка Российской Федерации от 21 июня 2003 г. № 1297-У « О порядке оформления карточки с образцами подписей и оттиска печати». 17.План счетов Бухгалтерского учета и инструкция по применению – М.: "Книга сервис", 2003. 18.Астахов В.П. Бухгалтерский финансовый учет. – Ростов н/Д: "Март", 2007. 19.Безруких П.С. Кашаев А.Н. Рогулин Д.А. Бухгалтерский учет. - М.: Финансы и статистика, 2006. 20.Белов А.А.; Белов А.Н. Бухгалтерский учет. Теория и практика: Учебник. – М.: Изд-во Эксмо, 2005. 21.Булатов М. А. Теория бухгалтерского учета: Учебное пособие. – М: Экзамен, 2005. 22.Бухгалтерский финансовый учет/ Под ред. Ю.А. Бабаева. – М.: Вузовский учебник, 2006. 23.Глушков И. Е. Бухгалтерский учет на современном предприятии. – М.: Кнорус-Экор-книга, 2002 г.; 24.Гомола А.И. Бухгалтерский учет: Учебник.; М.:Академия; 2008. 25.Камышанов П.И., Камышанов А.П. Бухгалтерский финансовый учет: Учебное пособие: - М.: Омега-Л, 2004. 26.Каморджанова Н.А., Карташова И.В. Бухгалтерский учет. 6-е изд. - СПб.: Питер, 2008. 27.Керимов В.Э. Бухгалтерский финансовый учет. Учебник для ВУЗов. М: Дашков и К, 2008 28.Кондраков Н.П. Бухгалтерский учет. – М.: ИНФРА –М, 2004. 29.Краснова Л. П., Шалашова Н.Т., Ярцева Н. М. Бухгалтерский учет. – М.: Юристъ, 2007. 30.Пошерстник Н. В. Бухгалтерский учет на современном предприятии. – М: Проспект, 2007. 31.Райзберг Б.А., Лозовский Л.Ш., Стародубцева Е.Б. Современный экономический словарь.-5-е изд., перераб. и доп.-М., 2006. 32.Финансовый учет/Под ред. Проф. В.Г. Гетьмана. – М.: Финансы и статистика, 2005. |
||||||||||||||||||||||||||||||||||||||||||||||||||||||||||||||||||||


