Курсовая работа: Радиопередающие устройства
|
Название: Радиопередающие устройства Раздел: Рефераты по астрономии Тип: курсовая работа | |
Московский Государственный Авиационный Институт (Технический Университет) Кафедра 406 Курсовая работа по дисциплине “Радиопередающие устройства” Студент гр. 04–518: Мелёхин С. В. Преподаватель: Давыдова Н. С.
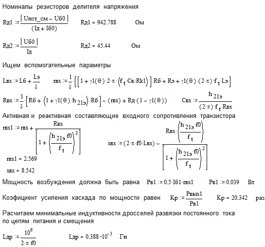
Москва 1998 Оглавление Введение...................................................................................................................................................................................... Общие положения........................................................................................................................................................................ Выбор структурной схемы передатчика........................................................................................................................ Выбор схемы включения модуляции............................................................................................................................... Выбор согласующих цепей.................................................................................................................................................... В курсовой работе необходимо разработать радиопередатчик с параметрами: рабочая частота 410 Мгц, выходная мощность 2.5 Вт, устанавлеваемый в открытом море на буе. Назначение передатчика – телеметрическая система передачи данных измерения скорости течения воды. Характеристика сигналов подлежащих передаче – АИМ-КИМ. Длительность импульсов КИМ –1.5 мксек, откуда ширина полосы пропускания пекредающего тракта должна быть не менее 350 кГц. Требуемый максимальный уровень мощьности внеполосных излучений не должен превышать -60 дБ, что обуславливает необходимость использования сложной высокоизбирательной выходной цепи оконечного каскада. Специфика места установки обуславливает выбор в качестве источника питания источник с небольшим напряжением (6‑12В). Так как передаваемые сигналы АИМ–КИМ являются импульсными и широкополосными, то нет необходимости выполнять передатчик с высокой относительной стабильностью частоты (10-5–10-6), а можно обойтись невысокой относительной стабильностью 10-3. Желательно обеспечить высокую надёжность работы передатчика и оценку хорошо или отлично за курсовую работу. Высокая надёжность может быть обеспечена при использовании минимального количества полупроводниковых приборов и разъёмных электрических соединений (что также снизит себестоимость изделия). Для уменьшения энергопотребления, что очень важно для данного устройства (радиобуй с автономным маломощным источником питания), а также для увеличения надёжности выгодно использовать в мощных оконечных каскадах услительные элементы в режиме (классе В или С) с углом отсечки 60–90°. В качестве активных усилительных элементов на данных частотах и мощностях во всех каскадах будут использоваться транзисторы. Так как не задан тип антенны то, зададимся входным сопротивлением антенны 50 Ом (полуволновый вибратор). Выбор структурной схемы передатчика. Передатчик возможно построить по нескольким структурным схемам. Разберём воможные варианты: Вариант 1. Достоинства данного варианта: Высокая стабильность частоты, простота обеспечения работы кварцевого генератора на первой гармонике кварцевого резонатора возможность обеспечения высокого КПД выходного каскада. Недостатки: Много каскадов, низкая надёжность, высокая потребляемая мощность и высокая стоимость, а также высокая сложность схемы. Вариант 2. Достоинства: Высокая стабильность частоты, меньшее число каскадов(чем в вар.1). Недостатки: Сложность обеспечения в каждом каскаде противоречивых требований к усилительным и умножительным каскадам, высокие внеполосные излучения, низкий Рвых и КПД оконечного каскада. Вариант 3. Достоинства: Простота схемы и связанная с этим высокая надёжность и низкая стоимость системы, минимальное, из выше рассмотренных схем, энергопотребление, возможность обеспечения высокого КПД выходного каскада. Недостатки: Повышенная нестабильность частоты задающего генератора, что не имеет большого значения. Из предложенных схем реализации передатчика выбираем вариант 3 с некоторыми конструктивными особенностями, перечисленными ниже: a) В качестве задающего генератора выбираем индуктивную трёхточку, так как ёмкостная трёхточка, хоть и обладает повышенной стабильностью частоты по сравнению с индуктивной трёхточкой, но на данных частотах является труднореализуемой, что обусловлено инерционным характером транзистора и характером реактивных эквивалентных проводимостей транзистора АГ. b) Расчёт электрического режима транзисторного автогенератора ведётся на основе модели инерционного транзистора, при этом для АГ необходимо выбрать транзистор с граничной частотой, большей, чем рабочая частота РПУ c) Расчёт электрического режима транзисторного усилителя мощности (ГВВ) будем вести на основе модели мощного ВЧ - транзистора для чего необходимо использовать транзисторы с граничной частотой, большей, чем удвоенная рабочая частота РДПУ. d) В один из каскадов передатчика необходимо ввести 100% АИМ (Амплитудно импульсную модуляцию). e) Между всеми усилительными и генераторными каскадами необходимо использовать согласуующие цепи для согласования активных импедансов. f) При изменении угла отсечки активных элементов меняются выходная мощность, КПД и коэфициент усиления по мощности каскадов. Исходя из их оптимального соотношения для реализации данного передатчика выберем угол отсечки всех усилительных каскадов (ГВВ) равным 90°. Угол отсечки транзистора АГ расчитывается исходя из его режима. g) Выбираем схему включения транзисторов всех усилительных каскадов (ГВВ), как каскады с общим эмиттером (ОЭ), так как на данных частотах каскад ОЭ даст больший коэфициент усиления по мощности чем ОБ, при условии использования транзисторов с граничной частотой, большей, чем удвоенная рабочая частота РДПУ. Выбор схемы включения модуляции. Так как требуется реализовать 100% АИМ, то выгодно использовать не сложные АМ - модуляторные каскады, а непосредственно управлять модуляторным каскадом изменением его напряжения питания от 0 до Uпит, при этом отпадает необходимость расчёта модуляционного предкорректора. Возможно использование нескольких вариантов включения модуляции: Вариант 1. Модуляция в задающем генераторе. Недостатки: повышенная нестабильность работы генератора и внеполосные излучения во время переходных процессов, а также сложность расчёта и управления АГ. Вариант 2. Модуляция в оконечном каскаде. Недостатки: большой коммутируемый ток и внеполосные излучения во время переходных процессов. Вариант 3. Модуляция в предоконечном каскаде. Достоинства: нет недостатков присущих предыдущим вариантам. Недостатки: есть недостатки не присущие предыдущим вариантам. Так как в режиме В или С варианты 2 и 3 будут иметь аналогичное действие, выбираем вариант 3. Распространёнными согласующими цепями для согласования активных импедансов транзисторов являются шесть разновидностей цепей: П-образная, модифицированная П-образная, Г- образная, модифицированная Г-образная, Т-образная, парралельный фильтр-пробка. ... Из них выбираем модифицированную П-образную, как удовлетворяющую условию её реализации, а также обеспечивающую улучшенное подавление высших гармоник излучения.
Рис 3 Принципиальная схема оконечного каскада
Рис 2 Принципиальная схема предоконечного каскада
Рис 1 Принципиальная схема задающего генератора
Список литературы. 1. “Методические указания к курсовому проектированию радиопередающих устройств.” Давыдова Н. С. 2. Р.А.Грановская “Расчет каскадов радиопередающих устройств” (Расчет режимов работы транзисторов генераторных каскадов) Учебное пособие Издательство МАИ , 1993 3. “Проектирование радиопередающих устройств СВЧ” Под ред. Г.М.Уткина Москва Советское радио 1979 Шифр 621.396.6(075) П-791 4. “Расчет усилительных устройств” Учебное пособие Под ред. Ю.Т.Давыдова Изд. МАИ , 1993 Шифр 621.37(075) Р-248 |













