Реферат: Анализ эффективности использования сырья и материалов
|
Название: Анализ эффективности использования сырья и материалов Раздел: Рефераты по астрономии Тип: реферат | ||||||||||||||||||||||||||||||||||||||||||||||||||||||||||||||||||||||||||||||||||||||||||||||||||||||||||||||||||||||||||||||||||||||||||||||||||||||||||||||||||||||||||||||||||||||||||||||||||||||||||||||||||||||||||||||||||||||||||||||||||||||||||||||||||||||||||||||||||||||||||||||||||||||||||||||||||||||||||||||||||||||||||||||||||||||||||||||||||||||||||||||||||||||||||||||||||||||||||||||||||||||||||||||||||||||||||||||||||||||||||||||||||||||||||||||||||||||||||||||||||||||||||||||||||||||||||||||||||||||||||||||||||||||||||||||||||||||||||||||||||||||||||||||||||||||||||||||||||||||||
|
Введение Без использования сырья и материалов не может быть организовано ни одно производство, следовательно, при рассмотрении любого производства всегда встает вопрос об эффективности их использования как составляющей эффективности производства вообще. Этим обусловлена актуальность выбранной темы исследования в данной дипломной работе – «Анализ эффективности использования сырья и материалов». Регламентация учета сырья и материалов проводится в рамках выбора учетной политики предприятия. Поэтому будет удобно – там, где это уместно – рассматривать учет сырья и материалов в рамках рассмотрения учетной политики, т.е. в некоторых случаях будем говорить не столько об учете сырья и материалов, сколько об учетной политике вообще. Целью настоящего дипломного исследования является рассмотреть методы анализа и повышения эффективности использования сырья и материалов, а также рассмотреть практическое применение этих методов на примере конкретного предприятия. Для достижения этой цели в работе решаются следующие промежуточные задачи : 1. раскрывается сущность понятий сырья и материалов как части материально-производственных запасов; 2. рассматриваются методы оценки эффективности использования сырья и материалов; 3. иллюстрируется применение этих методов на примере конкретного предприятия – ЗАО «Мустанг-Плюс», занимающегося производством и продажей глиняной посуды; 4. методами системного анализа (с использованием системного подхода) разрабатываются рекомендации по повышению эффективности использования сырья и материалов на ЗАО «Мустанг-Плюс». В настоящей работе будет приведена методика расчета и анализа коэффициентов эффективности использования сырья и материалов сначала в общем виде, затем эта методика будет адаптирована применительно к предприятию, занимающемуся производством глиняной посуды. Адаптация необходима в силу того, что: 1) общая методика предполагает расчет и анализ коэффициентов, не относящихся к данному конкретному производству; например, для рассматриваемого в дипломной работе предприятия ЗАО «Мустанг-Плюс» нет необходимости рассматривать коэффициент топливоемкости, т.к. топливо не используется на данном предприятии; 2) адаптация также необходима для конкретизации коэффициентов; так, например, для рассматриваемого ниже предприятия целесообразно «коэффициент сырьеемкости» конкретизировать до «коэффициента глиноемкости» и т.п. Еще одно замечание. Расчет и анализ соответствующих коэффициентов будет проводиться по трем отчетным периодам: первый из них продолжительностью 1 неделя, второй – месяц, третий – 2 недели. Такая разница в продолжительности отчетных периодов не является помехой для анализа, т.к. основные показатели эффективности являются относительными, поэтому, несмотря на разницу продолжительности отчетных периодов, можно проследить динамику этих показателей во времени и сделать вывод. Глава 1. Сырье и материалы как объект учета и анализа 1.1. Сырье и материалы: понятие, сущность и значение для производственного процесса Необходимым условием организации производства продукции является обеспечение его материальными ресурсами: сырьем, материалами, топливом, энергией, полуфабрикатами и т.д. Постоянное увеличение используемых в производстве орудий труда, расширение объемов производства, ввод в действие новых основных фондов и капитальное строительство требуют все большего и большего количества сырья, материалов, топлива и энергии. Сырье, материалы, топливо и энергия объединим в данном контексте общим понятием - материальные ресурсы (дальше в тексте МР). Переход к рыночной системе экономики, требует научного нормирования МР. Объективной расчетной базой как планов социально-экономического развития, так и планов отраслей народного хозяйства и промышленных предприятий являются научно обоснованные нормативы и рассчитанные на их основе нормы затрат материальных ресурсов. Введем необходимые понятия. Стоимость материальных ресурсов входит в себестоимость продукции по элементу «Материальные затраты» и включает в себя цену их приобретения (без учета НДС и акцизов), наценки, комиссионные вознаграждения, уплачиваемые снабженческим и внешнеэкономическим организациям, стоимость услуг бирж, таможенных пошлин, плату за транспортировку, хранение и доставку, осуществленные сторонними организациями. Удовлетворение потребности предприятия в материальных ресурсах может обеспечиваться двумя путями: экстенсивным и интенсивным. Экстенсивный путь предполагает увеличение добычи и производства материальных ресурсов и связан с дополнительными затратами. Кроме того, рост объема производства при существующих технологических системах привел к тому, что темпы истощения природных ресурсов и уровень загрязнения окружающей среды вышли за допустимые пределы. Поэтому рост потребности предприятия в материальных ресурсах должен осуществляться за счет более экономного их использования в процессе производства продукции или интенсивным путем. Изыскание внутрипроизводственных резервов экономии материальных ресурсов составляет содержание экономического анализа, который предполагает следующие этапы : 1. Оценка качества планов материально-технического снабжения и анализ их выполнения; 2. Оценка потребности предприятия в материальных ресурсах; 3. Оценка эффективности использования материальных ресурсов; 4. Факторный анализ общей материалоемкости продукции; 5. Оценка влияния стоимости материальных ресурсов на объем производства продукции. Источники информации для анализа материальных ресурсов: план материально-технического снабжения, заявки, спецификации, договоры на поставку сырья и материалов, формы статистической отчетности о наличии и использовании материальных ресурсов и его затратах на производство и реализацию продукции, плановые и отчетные калькуляции себестоимости выпускаемых изделий, данные о нормативах и нормах расходов материальных ресурсов. 1.1.1. Оценка качества планов материально-технического снабжения Важным условием бесперебойной нормальной работы предприятия является полная обеспеченность потребности в материальных ресурсах (MPi ) источниками покрытия (Ui ): MPi = Ui . Различают внутренние (собственные) источники и внешние . К внутренним источникам относят сокращение отходов сырья, использование вторичного сырья, собственное изготовление материалов и полуфабрикатов, экономию материалов в результате внедрения достижений научно-технического прогресса. К внешним источникам относят поступление материальных ресурсов от поставщиков в соответствии с заключенными договорами. Потребность в завозе материальных ресурсов со стороны определяется разностью между общей потребностью в i-м виде материальных ресурсов и суммой внутренних источников ее покрытия. Степень обеспеченности потребности в материальных ресурсах договорами на их поставку оценивается с помощью следующих показателей: - коэффициент обеспеченности по плану
- коэффициент обеспеченности фактический
Анализ данных коэффициентов проводится по каждому виду материалов. Особое внимание при анализе уделяется выполнению плана по срокам поставки материальных ресурсов или ритмичности поставок. Для оценки ритмичности поставок используются показатели: - коэффициент неравномерности поставок материалов:
где x –процент выполнения плана поставки по периодам (дням, декадам, месяцам); f – план поставки за те же периоды; - коэффициент вариации:
где Δ f
– отклонение объема поставки по периодам от плана; k
– количество анализируемых периодов; Неритмичная поставка материальных ресурсов ведет к простоям оборудования, потерям рабочего времени, необходимости сверхурочных работ. Оплата простоев не по вине рабочих и сверхурочных работ ведет к увеличению себестоимости выпускаемой продукции и соответственно к снижению прибыли предприятия. 1.1.2. Оценка потребности в материальных ресурсах Условием бесперебойной работы предприятия является полная обеспеченность материальными ресурсами. Потребность в материальных ресурсах определяется в разрезе их видов на нужды основной и не основной деятельности предприятия и на запасы, необходимые для нормального функционирования на конец периода. Потребность в материальных ресурсах на образование запасов определяется в трех оценках: - в натуральных единицах измерения, что необходимо для установления потребности в складских помещениях; - в денежной (стоимостной) оценке для выявления потребности в оборотных средствах и увязки с финансовым планом; - в днях обеспеченности – в целях планирования и контроля за выполнением графика поставки. Обеспеченность предприятия запасами в днях исчисляется по формуле:
где Здн – запасы сырья и материалов, в днях; Зmi – запасы i- ого вида материальных ресурсов в натуральных или стоимостных показателях; Pдi – средний дневной расход i-ого вида материальных ресурсов в тех же единицах измерения. Средний дневной расход каждого вида материалов рассчитывается делением суммарного расхода i-ого вида материальных ресурсов за анализируемый период (MРi ) на количество календарных периодов (Д) :
В процессе анализа фактические запасы важнейших видов сырья и материалов сопоставляют с нормативными и выявляют отклонение. Проверяют также состояние запасов сырья и материалов на предмет выявления излишних и ненужных. Их можно установить по данным складского учета путем сравнения прихода и расхода. К неходовым относят материалы, по которым не было расходов более одного года. 1.2 Нормативное регулирование учета сырья и материалов Сырье и материалы, исследуемые в данной работе, являются частью материально-производственных запасов, поэтому вопрос нормативного регулирования их использования уместно рассмотреть на более общем уровне – на уровне нормативного регулирования учета материально-производственных запасов (МПЗ). Что следует относить к материально-производственным запасам, определено в Положении по бухгалтерскому учету «Учет материально-производственных запасов» ПБУ 5/01, утвержденном приказом Минфина РФ от 9 июня 2001 г. № 44н (далее по тексту ПБУ 5/01). Готовая продукция и товары являются частью материально-производственных запасов (МП3). Однако в свете формирования учетной политики по данным позициям имеется большое количество специфических (касающихся только их) положений. Поэтому в данном разделе речь пойдет непосредственно о материальных ценностях, учитываемых на счете 10 «Материалы», а готовая продукция и товары рассмотрены в отдельных разделах. Материально-производственные запасы принимаются к бухгалтерскому учету по фактической себестоимости (п. 5 ПБУ 5/01). Однако их оценка (определение этой фактической себестоимости) может отличаться. Это зависит от способа получения данных МП3. Так, фактической себестоимостью материально-производственных запасов, приобретенных за плату, признается сумма фактических затрат организации на приобретение за исключением налога на добавленную стоимость и иных возмещаемых налогов (кроме случаев, предусмотренных законодательством РФ). К таким затратам на приобретениеМП3 относятся (п. 6 ПБУ 5/01): - суммы, уплачиваемые в соответствии с договором поставщику (продавцу); - суммы, уплачиваемые организациям за информационные и консультационные услуги, связанные с при обретением материально-производственных запасов; - таможенные пошлины; - невозмещаемые налоги, уплачиваемые в связи с приобретением единицы материально-производственных запасов; - вознаграждения, уплачиваемые посреднической организации, через которую при обретены материально-производственные запасы; - затраты по заготовке и доставке материально-производственных запасов до места их использования, включая расходы по страхованию. Данные затраты включают, в частности, затраты по заготовке и доставке материально-производственных запасов; - затраты по содержанию заготовительно-складского подразделения организации, затраты на услуги транспорта по доставке материально-производственных запасов до места их использования, если они не включены в цену материально-производственных запасов, установленную договором; начисленные проценты по кредитам, предоставленным поставщиками (коммерческий кредит); начисленные до принятия к бухгалтерскому учету материально-производственных запасов проценты по заемным средствам, если они привлечены для приобретения этих запасов; - затраты по доведению материально-производственных запасов до состояния, в котором они при годны к использованию в запланированных целях. Данные затраты включают затраты организации по подработке, сортировке, фасовке и улучшению технических характеристик полученных запасов, не связанные с производством продукции, выполнением работ и оказанием услуг; - иные затраты, непосредственно связанные с приобретением материально-производственных запасов. Не включаются в фактические затраты на приобретение МПЗ общехозяйственные и иные аналогичные расходы, кроме случаев, когда они непосредственно связаны с их приобретением (например, командировочные расходы по заключению договоров на поставку МП3, затраты на экспедиторские услуги и т. п.). Фактическая себестоимость МП3, которые организация изготавливает самостоятельно, определяется исходя из фактических затрат, связанных с производством данных запасов (п. 7 ПБУ 5/01). Учет и формирование затрат на производство МП3 осуществляются организацией в порядке, установленном для определения себестоимости соответствующих видов продукции. Фактическая себестоимость материально-производственныx запасов, внесенных в счет вклада в уставный капитал организации, определяется исходя из их денежной оценки, согласованной учредителями или участниками организации, если иное не предусмотрено законодательством РФ. Если МП3 получены организацией по договору дарения или безвозмездно или остались от выбытия основных средств и другого имущества, их фактическая себестоимость определяется исходя из их текущей рыночной стоимости на дату принятия к бухгалтерскому учету (п. 9 ПБУ 5/01). При этом для целей налогообложения рыночная стоимость определяется с учетом требований статьи 40 НК РФ. Оценка материалов при их отпуске в производство (и ином выбытии) осуществляется организацией одним из следующих методов (п. 16 ПБУ 5/01): - по себестоимости каждой единицы; - по средней себестоимости; - по себестоимости первых по времени при обретения материально-производственных запасов (метод ФИФО); - по себестоимости последних по времени приобретения материально-производственных запасов (метод ЛИФО). По себестоимости каждой единицы оцениваются материалы, используемые в особом порядке (драгоценные металлы, драгоценные камни и т. п.), а также материально-производственные запасы, которые не могут обычным образом заменять друг друга. Данный метод при меняется только в исключительных случаях. Поэтому подробнее остановимся на наиболее распространенных способах списания материалов в производство. Большинство предприятий при меняют при отпуске материалов на производственные цели метод оценки по средней себестоимости, которая определяется по каждому виду (группе) материалов как частное от деления общей себестоимости вида (группы) материалов на их количество. Материалы могут расходоваться не только на основное производство, но и по другим направлениям (вспомогательные производства, общецеховые или общехозяйственные расходы, обслуживающие хозяйства и т. п.). В последнем случае в учетной политике организации необходимо также предусмотреть вариант и методику распределения величины таких отклонений между различными счетами затрат (например, пропорционально стоимости материалов по учетным ценам, списанным на соответствующие счета учета затрат). Оценка запасов методом ФИФО основана на допущении, что материальные ресурсы используются в течение отчетного периода в последовательности их закупки, т.е. ресурсы, первыми поступающие в производство (в торговле - в продажу), должны быть оценены по себестоимости первых по времени закупок с учетом стоимости ценностей, числящихся на начало месяца. При применении этого метода оценка материальных ресурсов, находящихся в запасе (на складе) на конец отчетного периода, производится по фактической себестоимости последних по времени закупок, а в себестоимости реализованной продукции (работ, услуг) учитывается стоимость ранних по времени закупок. Метод ЛИФО основан на противоположном допущении, чем метод ФИФО, т.е. ресурсы, первыми поступающие в производство (продажу), должны быть оценены по себестоимости последних в последовательности по времени закупок. При применении этого метода оценка материальных ресурсов, находящихся в запасе (на складе) на конец отчетного периода, производится по фактической себестоимости ранних по времени закупок, а в себестоимости реализованной продукции (работ, услуг) учитывается стоимость поздних по времени закупок. В третьей – рекомендательной – главе настоящей дипломной работы наряду с рекомендациями по снижению норм расходом сырья и материалов будут даны рекомендации по изменению учетной политики конкретного предприятия в целях более эффективного оценивания и расходования сырья и материалов.
источник анализа1.3.1 Формы первичных учетных документов Унифицированные формы первичных документов В соответствии с пунктом 1 статьи Закона о бухгалтерском учете все хозяйственные операции, проводимые организацией, должны оформляться оправдательными документами. Причем такие документы принимаются к учету только в том случае, если они составлены по форме, содержащейся в альбомах унифицированных форм первичной учетной документации. Такие унифицированные формы первичных документов принимаются соответствующими постановлениями Госкомстата РФ. К примеру: - постановление Госкомстата РФ от 18 августа 1998 г. №88 «Об утверждении унифицированных форм первичной учетной документации по учету кассовых операций, по учету результатов инвентаризации»; - постановление Госкомстата РФ от 28 ноября 1997 г. №78 «Об утверждении унифицированных форм первичной учетной документации по учету работы строительных машин и механизмов, работ в автомобильном транспорте»; - постановление Госкомстата РФ от 25 декабря 1998 г. №132 «Об утверждении унифицированных форм первичной учетной документации по учету торговых операций»; - постановление Госкомстата РФ от 30 октября 1997 г. № 71а «Об утверждении унифицированных форм первичной учетной документации по учету труда и его оплаты, основных средств и нематериальных активов, материалов, малоценных и быстроизнашивающихся предметов, работ в капитальном строительстве» и др. Неунифицированные формы первичных документов Если для подтверждения совершенных в учете операций унифицированные формы каких-либо первичных документов отсутствуют, предприятия вправе самостоятельно разработать такую документацию. При этом необходимо соблюдать требования законодательства в части принятия к учету первичных документов, которые должны иметь следующие обязательные реквизиты (п. 2 ст. 9 Закона о бухгалтерском учете): а) наименование документа; б) дату составления документа; в) наименование организации, от имени которой составлен документ; г) содержание хозяйственной операции; д) измерители хозяйственной операции в натуральном и денежном выражении; е) наименование должностей лиц, ответственных за совершение хозяйственной операции и правильность ее оформления; ж) личные подписи указанных лиц. В практической части данной дипломной работы будут рассмотрены разработанные конкретным предприятием внутренние формы первичной документации (так же как и учетных регистров), которые должны быть в обязательной форме зафиксированы в его учетной политике – альбом неунифицированных форм утверждается в составе учетной политики в качестве ее приложения. Наиболее часто при меняются первичные документы по вводу в эксплуатацию и списанию НМА. В данном случае можно воспользоваться, к примеру, унифицированными формами по учету основных средств. 1.3.2 Организация внутреннего контроля и документооборот Под документооборотом понимается создание или получение от других предприятий, принятие к учету, обработка и передача в архив первичных документов. Движение же первичных документов в бухгалтерском учете регламентируется графиком документооборота, который может быть оформлен в виде схемы, таблицы или иным способом как приложение к учетной политике предприятия. Графиком устанавливается рациональный документооборот, то есть предусматривается оптимальное число подразделений и исполнителей для прохождения каждого первичного документа, определяется минимальный срок его нахождения в подразделении. График документооборота может содержать перечень работ по созданию, проверке и обработке документов в каждом подразделении предприятия, а также конкретных исполнителей с указанием их взаимосвязи и сроков выполнения работ. Ответственность за соблюдение графика документооборота, а также за своевременное и доброкачественное создание документов, своевременную передачу их для отражения в бухгалтерском учете и отчетности, за достоверность содержащихся в документах данных несут лица, создавшие их и подписавшие. Контроль за соблюдением графика документо6борота осуществляет, как правило, главный бухгалтер предприятия. Для составления схем документооборота применяются различные методики. Наиболее распространенные заключаются в описании процесса учета по рабочим местам учетных служб. По итогам такого описания составляются перечни входящих и исходящих документов по каждому рабочему месту учетных работников. Затем происходит группировка документооборота по подразделениям, объединяемая затем в общую схему документооборота по предприятию в целом. Однако следует отметить, что схема документооборота разрабатывается каждым предприятием самостоятельно. Для обеспечения сохранности имущества, законности и целесообразности ведения финансово-хозяйственной деятельности, а также достоверности учетных и отчетных данных в организации должна быть налажена система внутрихозяйственного контроля. В этой связи Положение о внутреннем (внутрихозяйственном) контроле может быть утверждено руководителем предприятия как в виде самостоятельного документа, таки в составе учетной политики в качестве ее приложения. К числу позиций, которые целесообразно было бы включить в состав Положения о внутреннем контроле, можно отнести следующие: - наличие в организации необходимых документов, устанавливающих и объясняющих ее учетную политику, методы и процедуры учета; - периодичность внесения необходимых поправок и дополнений в документы, устанавливающие и объясняющие правила и методы бухгалтерского учета; - существование распределения сфер ответственности и делегированных полномочий, включая перечень конкретных лиц, наделенных полномочиями утверждения различных видов типичных и не типичных операций (правом подписи финансовых документов); - предусматривается, что лица, распоряжающиеся денежными средствами и материальными ценностями, не ведут бухгалтерский учет операций с этими активами и не имеют доступа к учетным регистрам, кроме кассира, который ведет кассовую книгу; - наличие у главного бухгалтера организации достаточных полномочий, позволяющих ему контролировать работу своих сотрудников и состояние учета в различных подразделениях, в том числе расположенных в разных местах; - ограничение доступа к главной бухгалтерской книге и сопутствующим записям кругом лиц, отвечающим за ее ведение; - осуществление проверки (утверждения) всех без исключения бухгалтерских проводок уполномоченными сотрудниками соответствующего уровня; - применение руководством организации (бухгалтерии) процедур контроля за вводимыми в компьютерную бухгалтерскую программу данными с целью обеспечения уверенности в том, что все утвержденные операции по вводу данных обработаны правильно и проведены через данную электронную систему единственный раз; - существование методов контроля за использованием и хранением файлов на внешних накопителях и внутренних файлов, включая хранение необходимых данных в виде резервных копий; - отделение функции итоговой проверки и утверждения финансовой отчетности от функции ее подготовки; - применение процедур проверки, обеспечивающих подтверждение бухгалтерской отчетности соответствующими учетными записями, регистрами и прочей документацией; - обеспечение достаточной степени контроля за сохранностью основных средств, материалов и иного имущества; - использование методов контроля и существование средств обеспечения сохранности денежных средств в кассе и подотчетных сумм; - регулярность проведения инвентаризационных проверок с внесением соответствующих данных этих проверок в учетные регистры; - финансовые, расчетные, кредитные операции осуществляются финансовым отделом организации; - обработку приходных документов на поступившие материальные ценности, обработку расчетных документов, учет реализации продукции (работ, услуг), учетные регистры ведут специалисты бухгалтерии, допущенные к этой деятельности согласно должностным инструкциям; - при поступлении первичных документов в бухгалтерию они подлежат обязательной проверке по форме и содержанию; - не принимаются к исполнению и оформлению первичные документы по операциям, которые противоречат законодательству и установленному порядку приемки, хранения и расходования денежных средств, товарно-материальных ценностей и т. п., В том числе порядку, установленному распорядительными документами руководства организации; - принятые к учету первичные документы должны иметь отметку, исключающую возможность их повторного использования. Ответственность за своевременное и качественное создание первичных документов, за достоверность содержащихся в них данных возлагается на составивших и подписавших их лиц; - перечень должностных лиц, которые имеют право подписи на отпуск материальных ценностей, на приход и расход денежных средств, на принятие к учету представительских, командировочных расходов и других хозяйственных операций, определяется внутренними распорядительными документами организации; - лица, получившие доступ к информации, содержащейся в регистрах бухгалтерского учета и во внутренней бухгалтерской отчетности, обязаны хранить коммерческую тайну; - предоставление этой информации внешним пользователям не допускается, кроме случаев, предусмотренных законодательством и учредительными документами организации. В заключительной главе настоящей дипломной работы будут описаны формы отчетности по расходу сырья и материалов.1.4. Методика оценка эффективности использования материальных ресурсов 1.4.1. Свод показателей эффективности Прежде чем давать свод показателей эффективности использования сырья и материалов, дадим свод обозначений, которыми будем пользоваться в настоящей работе. Обобщающие показатели: МЕ – материалоемкость продукции; МО – материалоотдача продукции; УМ – удельный вес материальных затрат в себестоимости продукции; КМ – коэффициент использования материалов. Частные показатели: СМЕ – сырьеемкость продукции; ММЕ – металлоемкость продукции; ТМЕ – топливоемкость продукции; ЭМЕ – энергоемкость продукции. Прочие обозначения: ТП – объем товарной продукции; VВП – количество произведенной продукции; УД – удельный вес определенного вида продукции; ЦП – уровень отпускных цен на продукцию; МЗ – сумма материальных затрат; УР – расход материала на единицу продукции; ЦМ – стоимость материалов; Э – экономия; М0 , М1 – норма расхода материала до и после внедрения мероприятия; VВПМ – выпуск продукции в натуральном выражении с момента внедрения мероприятия и до конца года; ЗМ – затраты, связанные с внедрением мероприятия. Теперь приступим собственно к коэффициентам, показывающим эффективность использования сырья и материалов. В процессе потребления материальных ресурсов в производстве происходит их трансформация в материальные затраты, поэтому уровень их расходования определяется через показатели, исчисленные исходя из суммы материальных затрат. Для оценки эффективности материальных ресурсов используется система обобщающих и частных показателей (табл.1). Применение обобщающих показателей в анализе позволяет получить общее представление об уровне эффективности использования материальных ресурсов и резервах его повышения. Частные показатели используются для характеристики эффективности потребления отдельных элементов материальных ресурсов (основных, вспомогательных материалов, топлива, энергии и др.), а также для установления снижения материалоемкости отдельных изделий (удельной материалоемкости). Таблица 1 Показатели эффективности материальных ресурсов
В зависимости от специфики производства частными показателями могут быть: сырьеемкость – в перерабатывающей отрасли; металлоемкость – в машиностроении и металлообрабатывающей промышленности; топливоемкость и энергоемкость – на предприятиях ТЭЦ; полуфабрикатоемкость – в сборочных производствах и т.д. Удельная материалоемкость отдельных изделий может быть исчислена как в стоимостном, так и в условно-натуральном и натуральном выражении. В процессе анализа фактический уровень показателей эффективности использования материалов сравнивают с плановым, изучают их динамику и причины изменения. 1.4.2. Факторный анализ общей материалоемкости продукции Материалоемкость, так же как и материалоотдача, зависит от объема товарной (валовой) продукции и суммы материальных затрат на ее производство. В свою очередь объем товарной (валовой) продукции в стоимостном выражении (ТП) может измениться за счет количества произведенной продукции (VВП), ее структуры (УД) и уровня отпускных цен (ЦП). Сумма материальных затрат (МЗ) также зависит от объема произведенной продукции, ее структуры, расхода материала на единицу продукции (УР) и стоимости материалов (ЦМ). В итоге общая материалоемкость зависит от структуры произведенной продукции, нормы расхода материалов на единицу продукции, цен на материальные ресурсы и отпускных цен на продукцию. (рис.1). Рис. 1. Схема факторной системы материалоемкости
Факторная модель будет иметь вид
Это один из основных факторов, влияющих на материалоемкость (общую, частную, удельную). Поэтому необходимо остановиться на оценке состояния нормирования сырья и материалов. В связи с этим выше были введены в рассмотрение такие показатели (коэффициенты), как сырьеемкость продукции (СМЕ), металлоемкость продукции (ММЕ), топливоемкость продукции (ТМЕ), энергоемкость продукции (ЭМЕ). Влияние факторов первого порядка на материалоотдачу или материалоемкость можно определить способом цепной подстановки:
Для расчета нужно иметь следующие данные: I. Затраты материалов на производство продукции: МЗ = Σ (VВПi . УРi . ЦМi ). II. Стоимость товарной продукции: ТП = Σ (VВПi . ЦПi ). На основании приведенных данных о материальных затратах и стоимости товарной продукции рассчитываются показатели материалоемкости продукции. Затем переходят к изучению материалоемкости отдельных видов продукции и причин изменения ее уровня. Она зависит от норм расхода материалов, их стоимости и отпускных цен на продукцию.
1.4.3. Оценка влияния материальных ресурсов на объем производства продукции Влияние материальных ресурсов на объем производства продукции рассчитывается на основе следующей зависимости: VВП = МЗ× МО или VВП = МЗ/МЕ . Для расчета влияния факторов на объем выпуска продукции по первой формуле можно применить способ цепных подстановок, абсолютных или относительных разниц, интегральный метод, а по второй – только прием цепных подстановок или интегральный метод. Результаты анализа материальных затрат используются при нормировании расходов сырья и материалов на изготовление продукции, а также при определении общей потребности в материальных ресурсах на выполнение производственной программы. Решение аналитических задач по оценке эффективности использования материальных ресурсов и обеспеченности предприятия сырьем и материалами является задачей логистики, в частности по составлению заявок, выбору поставщиков, управлению запасами, определению оптимальной партии поставляемых ресурсов. На основе проведенного анализа в заключение производят подсчет резервов повышения эффективности использования материальных ресурсов, не используемых в отчетном году. Ими могут быть повышение технического уровня производства за счет внедрения новых производственных технологий, механизации и автоматизации производственных процессов, изменения конструкций и технологических характеристик изделий, улучшения организации и обслуживания производства, улучшения МТС и использования материальных ресурсов и др. Экономия (Э) от данных мероприятий может быть определена по формуле:
где М1 , М0 - норма расхода материала до и после внедрения мероприятия; ЦМ - цена материала; VBПm - выпуск продукции в натуральном выражении с момента внедрения мероприятия и до конца года, Змр - затраты, связанные с внедрением мероприятия. 1.4.4. Внедрение мероприятий по снижению расходов сырья и материальных ресурсов Описанная выше модель расчета эффективности использования сырья и материалов требует внедрения мероприятий по снижению нормы расходов. В следующей главе дипломной работы пойдет речь об описании этих мероприятий с точки зрения системного анализа. Приведем вкратце методологию системного анализа применительно к рассматриваемой в данной работе проблеме снижения расходов сырья и материалов. В самом общем смысле под системой понимается объединение некоторого многообразия в единое и четко расчлененное целое, элементы которого по отношению к целому и другим частям системы занимают определенные положения. Понятие системы является основным для общефилософской теории систем, которая, в свою очередь, является основой для системного анализа (СА). Системным анализом (СА) называется теория (наука), задачей которой является описание сложных организационных систем, выявление закономерностей их развития и построение теории и практических методов для решения текущих задач управления. Для вновь создаваемых систем задача СА состоит в нахождении такой организации и порядка функционирования системы, которые позволяют достичь поставленных целей наилучшим образом. Таким образом, основное назначение СА – это поиск управляющих воздействий на систему в определенных условиях для достижения конкретной цели. Практическая направленность СА может быть представлена в виде фундаментального принципа СА – принципа ЦЕЛИ. Этот принцип гласит, что любой системный объект должен рассматриваться не вообще, а только с точки зрения решения конкретной задачи, стоящей перед лицом, принимающим решение (ЛПР). Именно целью управления и проектирования является форма описания объекта, его системный и функциональный разрезы, выбор параметров описания и показателей качества функционирования. Основным свойством систем является то, что любая система, во-первых, включена в систему более высокого порядка (и т.д. до бесконечности); во-вторых, сама состоит из систем (подсистем) более низкого (до бесконечности) ранга; в-третьих, любая система являет собою целостность в том смысле, что свойства системы как целого не совпадает с совокупностью свойств ее компонентов. Тогда, с утилитарной точки зрения, СА связан с выделением системы из внешней среды и определением совокупности последовательных, логичных шагов рассмотрения проблемы. Рассмотренные свойства и принципы описания систем определяют методы системного анализа (СА) сложных организационных систем. Эти методы можно разбить на следующие основные группы: · методы выделения рассматриваемой системы из систем более высокого ранга (очерчивание границ рассматриваемой системы); · методы выделения подсистем и элементов рассматриваемой системы; · методы описания выделенных подсистем и их свойств; · методы описания свойств системы как целого (раскрытие целостности системы). Вместе с тем следует подчеркнуть, что конкретные приложения теории систем совсем не очевидны, и каждое из них является важным научным результатом. В СА используется вся совокупность системных свойств и принципов описания. Но, одновременно, СА является развитием и конкретизацией теории систем , т. к. переходит к конкретному классу объектов управления. Проблема принятия решений имеет много аспектов – философских, социологических, психологических, биологических и т.д. Особое значение эта проблема приобрела в общей теории управления в связи с необходимостью создания и повышения эффективности систем управления, в том числе автоматизированных, в различных сферах народного хозяйства. Выбор некоторой альтернативы обычно определяется термином ПРИНЯТИЕ РЕШЕНИЯ. Это может быть выбор плана развития системы, какое-либо административное решение, выбор варианта прогноза и т.п. В общем случае содержание процедуры принятия решения совпадает с содержанием процедуры системных исследований, если процедура принятия решений имеет системный характер. Одна из задач СА, важная для раскрытия темы данной работы – выбор и получение необходимой информации на каждом этапе анализа, что связано с управлением конкретным источником информации (измерительным прибором, моделью, экспертом). Принятие решения не является каким-то единовременным, обособленным актом. Это процесс, протекающий во времени и состоящий из нескольких этапов: 1.осознание того состояния или ситуации, в которой находится принимающий решение человек; 2.формирование желания изменить (или сохранить) существующее состояние системы определенным образом – этап установки цели, которой желательно достичь; 3.определение всех возможных способов достижения цели или перехода в желаемое состояние; 4.выбора из множества возможных способов наилучшего в смысле эффективности достижения цели с соблюдением при этом правил выбора; 5.реализация решений. Методология принятия решения в самом общем виде может основываться на: 1) накопленном опыте; 2) интуиции; 3) здравом смысле; 4) научном подходе. Последний – научный подход – применим, если проблема поддается количественному анализу; тогда наилучшее решение может быть получено с математической строгостью. Собственно говоря, по общепринятому мнению, научный подход к принятию решения как раз и заключается в построении математической модели с последующим ее исследованием. Продвижение (promotion) – это любая форма сообщений, используемых фирмой для информации, убеждения или напоминания людям о своих товарах, услугах, образах, идеях, общественной деятельности или влиянии на общество. Планирование продвижения представляет собой систематическое принятие управленческих решений, касающихся всех сторон этой деятельности. Фирма может передавать нужные ей сообщения через фирменные названия, упаковку, витрины магазинов, персональный сбыт, отраслевые выставки, лотереи, средства массовой информации (газеты, телевидение, радио, журналы, прямые почтовые послания, наружные объявления и др.). Эти сообщения могут делать упор на информацию, убеждение, страх, общительность, эксплуатационные характеристики продукции, юмор или сравнения с конкурентами. Управленческое решение – это результат конкретной управленческой деятельности менеджера. Управленческие решения – главное средство воздействия, с помощью которого обеспечивается нормальное функционирование систем. Решение определяет программу действий для достижения цели, этапы работ и последовательность их выполнения, методы и средства, круг исполнителей границы их ответственности и полномочий, сроки выполнения работ. От качества принимаемых решений во многом зависит общий уровень результативности управления. Решения принимаются на всех уровнях управления, но они различны по степени важности и сфере воздействия. Анализ практики подготовки и принятия решений дает основание предположить, что независимо от их видов объективно существует единая принципиальная методология (рис.3). Рис.3. Комплексный процесс подготовки и принятия управленческого решения
Процесс подготовки и принятия решения состоит из нескольких этапов. Методология выработки и реализации решения прежде всего требует ответа на вопрос о причинах возникновения ситуации. Решение – это организационная реакция на возникшую проблему, этап изучения ситуации направлен на признание или не признание существующей в организации проблемы. Интерпретация проблемы – это придание значения и определение той, которая признана. Проблема может быть определена как возможность, как кризис или как рутинная. Первый тип проблемы необходимо обнаружить и раскрыть. Второй и третий тип проблемы сами и требуют вмешательства менеджера. Определение и последующее формулирование проблемы позволяют менеджеру ранжировать ее в ряду других проблем. Постановка цели определяет программу деятельности. Чем правильнее и точнее выбрана цель, тем эффективнее могут быть выбраны средства для ее достижения. Цель должна быть определена и в результате оценки ситуации, сложившейся непосредственно в органе управления. Но уточнением общей цели предстоящего решения ограничиться нельзя. Необходимо представить себе, какие конкретные задачи для подразделений аппарата управления, отдельных работников возникают в связи с этим. Одним из этапов в подготовке решений является сбор и изучение информации по вопросу цели решения. Информация – основа управления. Чтобы решение было обоснованных, необходимо выполнить большое количество операций по сбору, систематизации и обработке информации. Информация – это исходных материал для подготовки и принятия решений, но она необходима на всех стадиях их исполнения. Стадия выработки решения состоит из этапов разработки, оценки и выбора альтернатив. Как только определены факторы, ограничивающие решение, менеджер может начать работу по поиску альтернатив или возможных направлений действий для решения проблемы. Все предложенные альтернативы на следующем этапе должны быть сравнены друг с другом или оценены для последующего выбора лучшей из них. Оценка предполагает определение отрицательных и положительных сторон рассматриваемой альтернативы и достижение между ними некоего уровня компромисса, который и будет установленным стандартом (критерием). При этом используются как количественные, так и качественные или неосязаемые измерители (трудовые отношения, политическая ситуация, отношение к риску и т.д.). Выбор альтернативы является вершиной в процессе принятия решения. Предыдущий анализ альтернатив позволяет резко сузить рамки предстоящего выбора. При выборе альтернативы используются три подхода: прошлый опыт, проведение эксперимента, исследования и анализ. Глава 2. Анализ показателей эффективности использования сырья и материалов на ЗАО «Мустанг-Плюс» 2.1. Краткая характеристика ЗАО «Мустанг-Плюс» В настоящей дипломной работе все теоретические исследования будут проиллюстрированы на примере предприятия ЗАО "Мустанг-Плюс". Уставной капитал организации образован за счет вкладов учредителей (владельцев). Участники данного общества не отвечают по его обязательствам и несут риск убытков, связанный с деятельностью общества, в пределах стоимости своих вкладов. Высшим органом общества является общее собрание его участников. Для текущего руководства деятельностью общества создан исполнительный орган. В ЗАО "Мустанг-Плюс" он является единоличным в лице генерального директора. ЗАО "Мустанг-Плюс" занимается производственно-коммерческой деятельностью. ЗАО "Мустанг-Плюс"относится к специализированным видам. Основная продукция, которую производит данное предприятие – глиняная посуда. Потребителями продукции ЗАО "Мустанг-Плюс"являются в основном население (использование посуды в домашних хозяйствах), а также предприятия и организации (юридические лица), использующие, в основном, декоративную глиняную посуду. Организация образовалась в 1996 году.Она относится к разряду малых производственных предприятий с численностью работников 25 человек. ЗАО "Мустанг-Плюс"имеет в собственности сооружения, машины, оборудование. Помещение под производственный цех арендует. Предприятие имеет свой магазин в городе. Офис компании находится по адресу: г. Новосибирск, пр. Дзержинского, 75. На рис. 4 представлена организационная структура ЗАО "Мустанг-Плюс". Рис.4. Организационная структура управления ЗАО "Мустанг-Плюс"
В процессе своей деятельности фирма выполняет ряд функций, которые делятся на основные и вспомогательные, и в соответствии с которыми построена организационная структура управления предприятием. К основным функциям относятся: – производство, закупки, сбыт, транспортировка, хранение и учет. К вспомогательным функциям относятся: – доставка продукции по просьбе покупателя; – содержание офиса и прилегающих территорий; – содержание складов; – содержание транспорта; – охрана объектов; – погрузочно-разгрузочные работы; – работа с персоналом. Маркетинговые исследования рынка товаров фирмы показали, что она теряет свои конкурентные позиции в связи с появлением новых конкурентов на рынке г. Новосибирска, предлагающих аналогичную продукцию. Эти же исследования показали, что фирма должна перейти на новую модель товара с показателями качества, отвечающими требованиям конкурентоспособности. Для этого необходимо, как будет видно из приведенных ниже расчетов, повысить эффективность использования сырья и материалов на этом предприятии. 2.2. Расчет коэффициентов эффективности использования сырья и материалов за три отчетных периода 2.2.1. Расчет коэффициентов эффективности за период 2.02.03–8.02.03 На рассматриваемом предприятии – ЗАО «Мустанг-Плюс» выпускается три основных вида продукции: тарелки, кружки и вазы. Сначала рассчитаем такие показатели, как затраты материалов на производство продукции и, исходя из этого, цен на продукцию. Напомним, что согласно математической модели, описанной в предыдущем пункте, для расчета нужно иметь следующие данные: I. Затраты материалов на производство продукции: МЗ = Σ (VВПi . УРi . ЦМi ). II. Стоимость товарной продукции: ТП = Σ (VВПi . ЦПi ). Приведем эти данные по ЗАО «Мустанг-Плюс» в следующей таблице с расшифровкой обозначений. Временной интервал, для которого приведены данные – неделя.
На основании приведенных данных о материальных затратах и стоимости товарной продукции рассчитываются показатели эффективности использования сырья и материалов: 1) Общая себестоимость продукции: ОС=1000·17+1500·23+500·52=77500 руб. 2) Затраты материалов на производство продукции: МЗ=1000·13,2+1500·14,3+500·28,5=48900 руб. 3) Стоимость товарной продукции: ТП=1000·33+1500·50+500·120=84300 руб. 4) Общая материалоемкость продукции: МЕ=0,3·МЕ1
+0,5·МЕ2
+0,2·МЕ3
= 5) Общая материалоотдача по всем видам продукции: МО= 6) Удельный вес материальных затрат в себестоимости продукции: У= 7) Сырьеемкость продукции: СМЕ= 8) Энергоемкость продукции: ЭМЕ= 2.2.2. Расчет коэффициентов эффективности за период 8.02.03–8.03.03 В качестве второго отчетного периода – месяц. Методика расчетов позволяет брать отчетные периоды разной длины, т.к. самые важные коэффициенты эффективности являются относительными.
На основании приведенных данных о материальных затратах и стоимости товарной продукции рассчитываются показатели эффективности использования сырья и материалов: 1) Общая себестоимость продукции: ОС=4500·17,6+6200·22,9+2000·53=327180 руб. 2) Затраты материалов на производство продукции: МЗ=4500·13,44+6200·14,04+2000·28,95=205428 руб. 3) Стоимость товарной продукции: ТП=4500·33+6200·50+2000·120=698500 руб. 4) Общая материалоемкость продукции: МЕ=0,35·МЕ1
+0,49·МЕ2
+0,16·МЕ3
= 5) Общая материалоотдача по всем видам продукции: МО= 6) Удельный вес материальных затрат в себестоимости продукции: У= 7) Сырьеемкость продукции: СМЕ= 8) Энергоемкость продукции: ЭМЕ= 2.2.3. Расчет коэффициентов эффективности за период 8.03.03–21.03.03 В качестве второго отчетного периода – месяц. Методика расчетов позволяет брать отчетные периоды разной длины, т.к. самые важные коэффициенты эффективности являются относительными.
На основании приведенных данных о материальных затратах и стоимости товарной продукции рассчитываются показатели эффективности использования сырья и материалов: 1) Общая себестоимость продукции: ОС=2200·17,7+3000·23+1000·53=160940 руб. 2) Затраты материалов на производство продукции: МЗ=2200·13,56+3000·14,17+1000·28,95=101292 руб. 3) Стоимость товарной продукции: ТП=2200·33+3000·50+1000·120=251550 руб. 4) Общая материалоемкость продукции: МЕ=0,32·МЕ1
+0,48·МЕ2
+0,2·МЕ3
= 5) Общая материалоотдача по всем видам продукции: МО= 6) Удельный вес материальных затрат в себестоимости продукции: У= 7) Сырьеемкость продукции: СМЕ= 8) Энергоемкость продукции: ЭМЕ= 2.3. Сравнительный анализ значений коэффициентов за три периода Приведем таблице коэффициентов, рассчитанных выше:
Представим графически эти данные. 1) Возрастание общей материалоемкости продукции:
2) Падение общей материалоотдачи продукции:
3) Возрастание удельного веса материальных затрат в себестоимости продукции:
4) Возрастание сырьеемкости продукции:
5) Изменение энергоемкости продукции:
Таким образом, на протяжении трех отчетных периодов наблюдается ухудшение основных показателей, характеризующих эффективность использования сырья и материалов на ЗАО «Мустанг-Плюс». Значит, на ЗАО «Мустанг-Плюс» выявляется проблема повышения эффективности использования сырья и материалов. Следующая глава работы будет посвящена разработке рекомендаций по разрешению этой проблемной ситуации. В предыдущей главе был проведен анализ основных показателей эффективности использования сырья и материалов. Была выявлена проблема ухудшения значений этих показателей, в связи с чем возникла необходимость разработки мероприятий по повышению эффективности использования сырья материалов. Необходимые рекомендации будут разрабатываться методами системного анализа. 3.1. Дерево целей для повышения эффективности использования сырья и материалов 3.1.1. Выбор принципа детализации Одной из главных задач системного анализа есть определение и детализация на составные элементы и путей их достижения, выявление существующих между ними взаимосвязей, обеспечение определенной логики решения возникшей проблемы. Решению этих проблем в значительной мере способствует применение метода структуризации, который позволяет рассмотреть их более подробно. Метод структуризации основан на дезагрегировании исследуемой проблемы на составные элементы с последующей возможной численной оценкой их относительной важности. Такую процедуру называют построением дерева целей. Но при построении учитываются не только цели, но и средства их достижения (мероприятия и ресурсы), поэтому в общем случае такие деревья называют деревьями взаимосвязей. При этом под деревьями взаимосвязей следует понимать связный неориентирванный граф, вершины которого интерпретируются как элементы дерева, а ребра – как связи между ними. Одна из главных задач построения деревьев взаимосвязей состоит в том, чтобы установить полный набор элементов на каждом уровне и определить взаимосвязи и соподчиненность между ними (качественный аспект). Другая задача – последующее определение коэффициента относительной важности (КОВ) элементов каждого уровня дерева взаимосвязей (количественный аспект). Общими правилами построения деревьев взаимосвязи являются следующие: · соподчиненность – элементы нижнего уровня подчиняются элементам более высокого уровня, вытекают из них, обеспечивают их реализацию; · сопоставимость – на каждом уровне дерева взаимосвязей рассматриваются элементы, сопоставимые по своему масштабу и значимости, полученные в результате детализации по одному принципу; · полнота – дерево взаимосвязей на каждом уровне включает все элементы; · определенность – формулировка целей и других элементов дерева взаимосвязей позволяет оценить степень их достижения в количественной или порядковой форме («больше-меньше», «лучше-хуже»); · возможность внесения корректировок в дереве взаимосвязей как при изменении самих целей, так при возможности их реализации. При построении деревьев взаимосвязей необходимо определиться с принципом детализации. Существуют два основных принципа детализации: предметный и функциональный. Предметный принцип, в соответствии с которым элементы дерева взаимосвязи разбиваются на элементы той же природы, только более дробные. Иначе говоря, при применении предметного принципа на разных уровнях дерева взаимосвязей представлены элементы одного и того же типа, но сформулированные с разной степенью детализации. Функциональный принцип применяется для того, чтобы раскрыть содержание детализированного элемента с точки зрения определения направления действий по достижению целей данного элемента. При применении данного принципа в формулировках детализирующих элементов меняются содержание функций, направления действия. 3.1.2. Построение дерева целей Для построения дерева целей необходимо составить список подцелей, обеспечивающих достижения цели более высокого уровня. Для ЗАО «Мустанг-Плюс» это дерево с выделенными подцелями выглядит следующим образом (рис. 5). Рис.5. "Дерево целей " для различных вариантов пповышения эффективности использования сырья и материалов на ЗАО «Мустанг-Плюс»
3.1.3. Расчет коэффициентов относительной важности мероприятий После построения дерева целей необходимо проранжировать определенные цели по степени их важности. Это необходимо сделать для того, чтобы отобрать наиболее важные цели, на достижение которых нам необходимо обратить наибольшее внимание и затратить на это достаточное количество ресурсов. Для получения наиболее объективной информации прибегнем к помощи экспертного анализа дерева целей. Мнение группы экспертов, имеющих достаточную компетенцию в данной проблеме, является более объективным по сравнению с мнением индивидов. Кроме того, преимущество групповой оценки заключается в возможности разностороннего анализа проблемы. Наиболее распространенными в практике экспертных оценок являются анкетные методы и методы групповой оценки. Будем использовать анкетный метод экспертного оценивания. Анкетными методами можно оценить коэффициенты относительной важности (КОВ) одного уровня дерева, т.к. по существу нужно упорядочить элементы (цели, подцели) по важности с точки зрения обеспечения цели верхнего уровня. Наиболее распространенными из анкетных методов являются ранжирование и нормирование. В своей работе мы будем использовать для получения экспертной оценки метод ранжирования, т.к. он является наиболее распространенным и легким в использовании. Метод ранжирования состоит в том, что эксперту предлагается присвоит числовые ранги каждому из приведенных в анкете факторов. Ранг, равный единице, присваивается наиболее важному, по мнению эксперта, фактору. Ранг, равный двум, присваивается следующему по важности фактору и т.д. В анкете экспертного опроса мы собираем оценки отдельных экспертов, после чего они обрабатываются и получается сводная оценка всей группы. Проиллюстрируем вышеизложенное на примере анкет экспертной оценки задач, решение которых необходимо для решения проблемы разработки нового конкурентоспособного продукта на ЗАО «Мустанг-Плюс». Анкета экспертного опроса Уважаемые господа эксперты! Для увеличения доходов на ЗАО «Мустанг-Плюс» необходимо занять значительную нишу на рынке, для чего необходимо создать новый конкурентоспособный продукт. Просим Вас высказаться по поводу того, какие из ниже перечисленных задач имеют первоочередное значение для создания нового конкурентоспособного продукта на ЗАО «Мустанг-Плюс».
Благодарим за оказанное внимание. Экспертные оценки (метод ранжирования)Количество экспертов – 4; количество факторов – 3; максимальная оценка – 3.
Нетрудно найти, что сумма всех баллов, выставленных всеми экспертами Рассчитаем важность каждого фактора (коэффициенты относительной важности) как удельный вес сумм оценок этого фактора в общей сумме экспертных оценок.
Из полученных данных видно, что наибольшее предпочтение эксперты отдали цели «Использование нового – более дешевого – сырья и материалов» – 0,42; на втором месте «Использование добавок, снижающих потребление сырья» – 0,35; на третьем месте «Модернизация имеющейся производственной линии» – 0,23. Для выяснения степени согласованности экспертов вычисляется коэффициент конкордации, который в данном случае равен
Как известно, такое значение коэффициента конкордации говорит о довольно высокой степени согласованности экспертов. 3.1.4. Дерево решений для увеличения прибыли предприятия Построив дерево целей, получаем поле сложных проблем, решение которых приведет нас к достижению поставленной главной цели – освоение нового конкурентоспособного продукта за счет снижение затрат сырья и материалов при его производстве. Однако, каждая проблема нижнего уровня дерева целей, имеет значительное количество вариантов решения. Чтобы выбрать наиболее оптимальный вариант, используется метод построения дерева решений. При помощи дерева решений структурируется поле вариантов решения поставленных проблем. Причем эти варианты становятся все более конкретными по мере ветвления дерева вниз по уровням. Свойством дерева решений является то, что при его построении используется логика «ИЛИ», т.е. он состоит из альтернативных вариантов решения проблемы, из которых мы выбираем наиболее оптимальный. Для выявления наиболее оптимального решения используются методы количественной оценки альтернатив решения проблемы. Для этого мы используем нормированную шкалу оценки, т.к. она наиболее точно отражает степень дифференциации различных альтернатив. В процессе построения дерева целей для ЗАО «Мустанг-Плюс» выяснилось, что главная цель этого предприятия – завоевание прочной ниши на рынке за счет освоения нового конкурентоспособного продукта – достигается шестью альтернативными способами. Для отыскания лучшего из них необходимо построить и количественно оценить дерево решений. Для получения количественных оценок дерева решений необходимо рассмотреть различные альтернативы с учетом следующих факторов: «Затраты на реализацию» и «Экономический эффект» выбранной альтернативы. Сначала приведем дерево решений, соответствующее построенному выше дереву целей. Производить новый конкурентоспособный товар можно в трех вариантах. Воспользуемся опять построением "дерева решений" для структурирования возможных вариантов решения о производстве (рис.6). Для того, чтобы выбрать один, наиболее оптимальный вариант, необходимо оценить каждый из них. Для количественной оценки дерева решений введем понятие семейства. Семейство охватывает какой-нибудь элемент и непосредственно с ним связанные элементы нижнего уровня. В дереве решения можно выделить следующие 4 семейства:
На следующем этапе экспертам предлагалась следующая анкета.
В результате анкетирования эксперты дали следующие оценки (число экспертов – 4, число факторов – 6, максимальная оценка – 4 балла).
Тогда сумма всех баллов, выставленных всеми экспертами
Значение этого коэффициента не говорит о том, что эксперты не согласованы в своих оценках. Рассчитаем коэффициенты относительной важности альтернатив (подцелей, факторов).
После описания каждого семейства необходимо провести оценку эффективности ветвей. Для этого перемножаем оценки элементов дерева, относящихся к каждому семейству:
Эти результаты дают непосредственную ранжировку по степени важности альтернатив достижения главной цели предприятия. Наибольшая величина произведения – 0,0875 – находим у элемента 2.4, т.е. у альтернативы «Снижение норм расходов сырья и материалов путем использования добавок и модернизации имеющейся технологии выпуска продукции». Как и было указано в работе, для выбора собственно стратегии разрешения проблемной ситуации на фирме использовались не сами КОВ, а ранжируемые величины – произведения КОВ. Чтобы определить последовательность действий, необходимо составить сетевой график мероприятий по разработке нового дизайна, что и будет сделано в следующем параграфе. 3.1.5. Сетевой график реализации мероприятий по снижению норм потребления сырья и материалов Итак, на основании применения метода ранжирования к экспертным оценкам, был сделан следующий вывод. Для достижения главной цели предприятия – повышения эффективности затрат на сырье и материалы – необходимо разработать модернизацию имеющейся технологии для снижения норм расходов сырья и материалов. Задача этого параграфа – построить сетевой график реализации мероприятий по разработке модернизации технологии с расчетом основных числовых характеристик этого графика. Для построения сетевого графика, необходимо определить состав и последовательность работ и оценить их длительность. Сетевые графики строят исходя из дерева целей. Для определения состава работ проекта необходимо реализовать следующие работы:
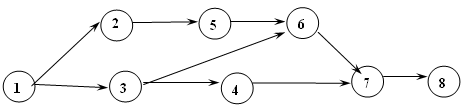
Рис 7.Сетевой график реализации проекта
Приведем методику расчета параметров сетевого графика. При составлении и расчетах сетевого графика использовались следующие параметры: длительность работ в днях
Здесь ранние и поздние сроки начала и конца работ зависят от многих факторов, учет которых не может быть проведен в рамках небольшой контрольной работы. Рассчитаем резервы времени:
Рассчитаем длины всех путей и выберем критический:
Отсюда видно, что критический путь данного графика: 1→2→5→6→7→8, т.к. этот путь имеет наибольшую длину (продолжительность). Продолжительность этого пути в днях: 2+3+3+4+2=14 дней. Максимальный резерв по времени в критическом пути, т.е. резерв, который мог бы образоваться, если бы все работы начинались в самый поздний из возможных и заканчивались в самый ранний из возможных для них сроков: 0+2+2+3+0=7 дней. Исходя из перечня предложенных работ по выполнению проекта, затрат на каждый этап реализации и персонала фирмы, необходимо составить календарный план работ с указанием ответственных исполнителей.
3.2. Расчет экономии после внедрения проекта по снижению норм расхода сырья и материалов Экономия (Э) от данных мероприятий может быть определена по формуле:
где М1 , М0 - норма расхода материала до и после внедрения мероприятия; ЦМ - цена материала; VBПm - выпуск продукции в натуральном выражении с момента внедрения мероприятия и до конца года; Змр - затраты, связанные с внедрением мероприятия. Тогда, если внедряемое мероприятие по совершенствованию имеющейся технологии производства позволит снизить норму расхода сырья и материалов на 5%, то за год (52 недели) при средней цене единицы продукции, равной (33+50+120)/3=68 руб., при среднем объеме выпуска (1000+1500+500)/3=1000 штук в неделю и при стоимости проекта модернизации имеющейся технологии (предыдущий пункт) 26700 рублей, экономия средств составит
Итак, в настоящей дипломной работе были достигнуты следующие результаты: 1. Приведена методика расчета коэффициентов, показывающих эффективность использования сырья и материалов, причем эта методика была адаптирована для производства глиняной посуды. 2. По данным конкретного предприятия – ЗАО «Мустанг-Плюс» – был проведен анализ значений коэффициентов и выявлена проблема повышения эффективности использования сырья и материалов. 3. Методами системного анализа для ЗАО «Мустанг-Плюс» были разработаны рекомендации по повышению эффективности использования сырья и материалов с расчетом графика внедрения соответствующих мероприятий и их экономической эффективности. Выскажем несколько заключительных соображений. Процесс производства является важнейшей стадией кругооборота средств предприятия. В ходе этого процесса предприятие, расходуя материальные, трудовые и финансовые ресурсы, формирует себестоимость оказанных услуг, что, в конечном счете, при прочих равных условиях существенно влияет на финансовый результат работы предприятия - его валовую прибыль или убыток. Поэтому любой предприниматель старается управлять процессом производства, от которого зависят объем выпуска продукции, ее качество и конкурентоспособность. Правильная организация использования затрат на производство, с одной стороны, обеспечивает действенный контроль за эффективным использованием на предприятии материальных, трудовых и финансовых ресурсов и, с другой стороны, позволяет предприятию избежать конфликтных ситуаций во взаимоотношениях с налоговой службой при решении вопросов налогообложения прибыли. Учет процесса производства позволяет предприятию выявить фактическую себестоимость оказанных услуг. Получение наибольшего эффекта с наименьшими затратами, экономия трудовых, материальных и финансовых ресурсов зависят от того, как решает предприятие вопросы снижения себестоимости продукции. Непосредственной задачей анализа являются: проверка обоснованности плана по себестоимости, прогрессивности норм затрат; оценка выполнения плана и изучение причин отклонений от него, динамических изменений; выявление резервов снижения себестоимости; изыскание путей их мобилизации. Выявление резервов снижения себестоимости должно опираться на комплексный технико-экономический анализ работы предприятия: изучение технического и организационного уровня производства, использование производственных мощностей и основных фондов, сырья и материалов, рабочей силы, хозяйственных связей. Наибольшая доля в затратах на производство промышленной продукции приходится на сырье и основные материалы, а затем на заработную плату и амортизационные отчисления. В легкой промышленности доля сырья и основных материалов составляет 86%, а заработной платы с отчислениями на социальное страхование - около 9%. Себестоимость продукции находится во взаимосвязи с показателями эффективности производства. Она отражает большую часть стоимости продукции и зависит от изменения условий производства и реализации продукции. Существенное влияние на уровень затрат оказывают технико-экономические факторы производства. Это влияние проявляется в зависимости от изменений в технике, технологии, организации производства, в структуре и качестве продукции и от величины затрат на ее производство. Анализ затрат, как правило, проводится систематически в течение года в целях выявления внутрипроизводственных резервов их снижения. В себестоимость продукции ( работ, услуг ) предприятия включаются затраты, связанные с использованием в процессе производства природных ресурсов, сырья, материалов, топлива, энергии, основных средств, трудовых ресурсов и прочие затраты на ее производство и реализацию, в частности: - затраты на подготовку и освоение производства; - затраты, непосредственно связанные с производством продукции, обусловленные технологией и организацией производства, включая материальные затраты и расходы на оплату труда работников, расходы по контролю производственных процессов и качества выпускаемой продукции; - расходы, связанные с обслуживанием производственного процесса; - затраты, по обеспечению нормальных условий труда и техники безопасности; - расходы, связанные с управлением производством; - выплаты, предусмотренные законодательством о труде за непроработанное время, оплата очередных и дополнительных отпусков; - отчисления на государственное социальное страхование, в Пенсионный фонд Российской Федерации и другие внебюджетные фонды; - затраты на воспроизводство основных производственных фондов включаются в себестоимость продукции в форме амортизационных отчислений; - амортизация нематериальных активов; - прочие расходы. Следует отметить, что часть расходов, включаемых в себестоимость продукции (работ, услуг) нормируется для целей налогообложения, например, расходы на подготовку кадров, рекламу, представительские расходы и т. п. В себестоимость включают полную сумму таких расходов, но при расчете налогооблагаемой прибыли к ее фактически полученной величине прибавляют расходы, произведенные предприятием сверх норм. Кроме того, в себестоимость продукции включают потери от брака, потери от простоев по внутрипроизводственным причинам и от недостачи поступивших материальных ресурсов в пределах норм естественной убыли. Монографическая и учебная литература1. Алборов Р.А. Выбор учетной политики предприятия: Принципы и практические рекомендации. – М.: 2003. – 208 с. 2. Баканов М.И., Шеремет А.Д. Теория экономического анализа: Учебник. - 3-е изд., перераб. - М.: Финансы и статистика, 1994. – 288 с. 3. Барышников Н.П. Бухгалтерский учет, отчетность и налогообложение. – М.: Информ.-изд. дом “Филинъ”, 2001. – 301 с. Барышников Н.П. В помощь бухгалтеру и аудитору. – М.: Информ.-изд. дом “Филинъ”, 2000. – 287 с. 4. Барышников Н.П. Организация и методика проведения общего аудита. - М.: Информ - изд. Дом “ФИЛИНЪ”, 2002. - 409 с. 5. Бухгалтерский учет. Учебник./Под ред. А.Д. Ларионова. - М.: “Проспект, 2003, - 397 с. 6. Бухгалтерский учет: Учебник/ П.С. Безруких, Н.П. Кондаков, В.Ф. Палий и др.; под ред. П.С. Безруких.- М.: Бухгалтерский учет, 2002.- 528 с. 7. Глушков Е.П. Бухгалтерский учет на современном предприятии. –М.: Кнорус, 2001. – 615 с. 8. Данилевский Ю.А. Бухгалтерский учет. Вопросы и ответы. - М.: Бухгалтерский учет, 2002. - 39 с. 9. Кондраков Н.П. Бухгалтерский учет: Учебное пособие – 3-е изд., перераб. и доп. – М.: ИНФРА-М, 2000.- 635с. 10. Нидлз Б.В. Принципы бухгалтерского учета. – М.: Финансы и статистика, 2003. – 496 с. 11. Савицкая Г.В. Анализ хозяйственной деятельности предприятия. – М.: ЮНИТИ, 2002. – 266 с. 12. Шеремет А.Д., Суйц В.П. Анализ хозяйственной деятельности предприятия: Учебное пособие. - М.: Инфра, 2002. – 392 с. 13. Шишкин А.К. Учет, анализ, аудит на предприятии: Учебное пособие для вузов. - М.: Аудит, ЮНИТИ, 1999. - 496 с. Статьи из журналов газет14. Бакаев А. Бухгалтерский учет в 2002 году. // Финансовая газета, 2002 -№3. 15. Горшков Д.А. О налоговых режимах для субъектов малого предпринимательства// Налоговый вестник, №6, 2001. 16. Киселев Н.М. Учетная политика организации на 2003 год.// Финансовая газета, 2002 - № 51, 52. 17. Кожинов В.В. Перевод российского бухгалтерского учета в систему международных стандартов. // Финансовый бизнес. – №1, 2002. - с.41. 18. Козлова Е.П. Бухгалтерский учет и отражение в учетной политике затрат на производство. // Журнал «Главбух», №8, 2002. – стр.8-11. 19. Корабельников Г.А. Минибухгалтерия. // Журнал «Главбух» №2, 2002. – Стр. 47-51. 20. Макарьева В.И. Практические советы по бухгалтерскому учету для целей налогообложения. Приложение к журналу Налоговый вестник. Москва 2001. – 178 с. 21. Монахова Т.Н., Еремина М.В. Учетная политика в кредитных организациях. // Налоговый вестник №6 2002. – стр.15-20. 22. Обзор нормативных актов, опубликованных в первой половине августа 2003г. // Журнал «Главбух» №8, 2003. – Стр. 7. 23. Уваров С.О. Как бухгалтеру разобраться с нормативными документами. // Журнал «Главбух», №5 2002. – Стр. 107-109. 24. Чечета А.П. Анализ финансового состояния предприятия // Журнал «Бухгалтерский учет», № 6 2002 – Стр. 9-13. Законодательные и инструктивные материалы 25. Бакаев А.С. Нормативное обеспечение бухгалтерского учета. Анализ и комментарии. - М.: Международный центр финансово-экономического развития, 2001. - 125 с. 26. Бухгалтерский учет: Основные документы (ПБУ). Профессиональные комментарии. – Изд. 4-е, перераб. и доп. – М.: ИД ФБК-ПРЕСС, 2003. – 456 с. 27. Бухгалтерский учет и аудит. Практическое пособие с комментариями. Т.1. Составители пособия и авторы комментариев Громов В.Г. и Громова М.Б. Снкт-Петербург, 2002. – 322 с. 28. Бухгалтерский учет и налоги. Нормативные документы. – М.: Издательство “Ланкс”, 2003. – 304 с. 29. Бухгалтерско-аудиторский портфель: Книга предпринимателя. Книга бухгалтера. Книга аудитора./ Отв. ред. Рубин К.Б. - М.: Соминтек, 2000, - 394 с. 30. Брызгалин А.В., Берник В.Р., Головкин А.Н., Ярошенко А.В. Профессиональный комментарий к Положению о составе затрат по производству и реализации продукции. – М.: Издательство “Аналитика-Пресс”, 2000. 31. Документооборот в бухгалтерском и налоговом учете. - 2-е изд., перераб. и доп./ Касьянова Г.Ю., Котко Е.А. - М.: Издательско-консультационная компания “Статус-Кво 97”, 2002. - 405 с. 32. Козлова Е.П., Галанина Е.Н. Бухгалтер и налоговый инспектор: проблемы и решения: Консультация - Изд. 2-е перераб. и доп. – М.: Финансы и статистика, 2002. – 348 с. 33. Макарьева В.И. Комментарий к Положению о составе затрат по производству и реализации продукции. - М. Бухгалтерский учет 2002. – 423 с. 34. Международные стандарты финансовой отчетности 2002: издание на русском языке.- М: Аскери-АССА, 2002. – 490 с. 35. Налоговый кодекс РФ, части первая и вторая. – М.: Приор, 2003. – 156 с. 36. О бухгалтерском учете: Федеральный закон от 21.11.96г. №129-Фз. 37. Основные документы бухгалтерского учета. - М.: “ПРИОР”, 1999. - 80 с. 38. План счетов бухгалтерского учета. – М.: “ПРИОР”, 2003. - 160 с. 39. План счетов бухгалтерского учета финансово-хозяйственной деятельности организаций и Инструкция по его применению: Приказ Минфина РФ № 94н от 31.10.00// План счетов бухгалтерского учета.– М.: Приор, 2001.-190с. 40. Положение по бухгалтерскому учету "Учетная политика организации", ПБУ 1/98: Утверждено приказом Минфина РФ от 09.12.1998 № 60н. |
||||||||||||||||||||||||||||||||||||||||||||||||||||||||||||||||||||||||||||||||||||||||||||||||||||||||||||||||||||||||||||||||||||||||||||||||||||||||||||||||||||||||||||||||||||||||||||||||||||||||||||||||||||||||||||||||||||||||||||||||||||||||||||||||||||||||||||||||||||||||||||||||||||||||||||||||||||||||||||||||||||||||||||||||||||||||||||||||||||||||||||||||||||||||||||||||||||||||||||||||||||||||||||||||||||||||||||||||||||||||||||||||||||||||||||||||||||||||||||||||||||||||||||||||||||||||||||||||||||||||||||||||||||||||||||||||||||||||||||||||||||||||||||||||||||||||||||||||||||||||




















.
.