Реферат: Основные термины и понятия сетевой экономики. Примеры Internet инноваций и их воздействия на эк
|
Название: Основные термины и понятия сетевой экономики. Примеры Internet инноваций и их воздействия на эк Раздел: Рефераты по информатике Тип: реферат | |||||||||||||
ФЕДЕРАЛЬНОЕ АГЕНТСТВО ПО ОБРАЗОВАНИЮ ГОУ ВПО «САМАРСКИЙ ГОСУДАРСТВЕННЫЙ ЭКОНОМИЧЕСКИЙ УНИВЕРСИТЕТ» Кафедра Экономической информатики РЕФЕРАТ Основные термины и понятия сетевой экономики. Примеры Internet инноваций и их воздействия на экономику. Новый объект социальной науки и его фундаментальная особенность. (тема курсового проекта)
(подпись, Ф.И.О.) Группа/курс/факультет ПИЭ-1 5 курс Факультет систем управления Дисциплина Сетевая экономика
(уч. звание, уч. степень, Ф.И.О., подпись, дата) Самара 2010 ВВЕДЕНИЕСегодня все больше признаков свидетельствует о том, что мы уже находимся на пороге новой экономической формы. Ее можно назвать и информационной экономикой, и сетевой экономикой или даже высокотехнологичной экономикой. При этом особо важную роль играет образование сетевых структур, оказывающих решающее влияние на продвижение к сетевой экономике и возникновение новой хозяйственной формы. Эти изменения в «закономерностях» формируются прежде всего там, где экономические процессы определяются научно-техническим уровнем всего народного хозяйства. Сюда можно отнести отрасли, выпускающие компьютеры, медикаменты, ракеты, самолеты, автомобили, программное обеспечение, а также телекоммуникационное оборудование. Данный список можно было бы продолжить, добавив в него продукцию, базирующуюся на микроэлектронике и телекоммуникации. Это означает, что сетевая экономика релевантна именно в хозяйственной системе, где доминируют сетевые отношения и услуги на информационной и научной базе. Говоря о новой экономике, следует начать с описания тех движущих сил, которые так сильно изменили рынок, и будут играть все большую роль в XXI веке[1] . Законы и характеристики новой экономики находятся еще в стадии становления, однако уже сегодня можно выделить наиболее существенные аспекты этого процесса. К ним относятся: - Глобализация экономики , в результате которой бизнес выходит за пределы национальных границ, совершая различные операции в глобальном масштабе, будь то размещение производственных мощностей, набор персонала, формирование стратегических альянсов и т.д. Примером создания глобально функционирующих рынков могут служить рынки банковских услуг, инвестиций и товарные рынки. - Развитие структуры сетей и сетевых систем, которые предоставляют новые уровни связей между фирмами, производителями, потребителями и поставщиками, а также между сотрудниками, и которые также формируют экономическое пространство без границ. - Системы коммуникации , прежде линейные, предназначенные для передачи более или менее одинакового содержания многим адресатам в данной географической местности, не только стали более многочисленными, разветвленными и более целенаправленными, но и интерактивными. - Изменение роли информационных технологий, которые из средств автоматизации процессов превращаются в среду развития бизнеса и экономики в целом. - Возросшее влияние на стратегию предприятий потребителя и возросший уровень его суверенитета. Переход власти в руки потребителя меняет бизнес-модель компаний, деятельность которых теперь направлена не столько на привлечение новых клиентов, сколько на удержание имеющихся. Для этого компания стремится полностью удовлетворить индивидуальные потребности каждого из них, действуя так, как если бы этот клиент был единственным. - Возрастание роли корпоративного знания и возможностей, когда новые идеи, инновации и мощный управленческий потенциал являются наиболее ценной и устойчивой формой капитала. - Интеллектуальный капитал стал важнее других видов собственности, которые служат мерилом благосостояния отдельного человека, организации и всего общества. Уже не ресурсы и драгоценные металлы обеспечивают их успех, а знания, опыт и другие ценности, созданные разумом человека. - Тенденция к образованию альянсов . Объединения партнеров и коллег, поставщиков и потребителей, основанные на взаимно гарантированных преимуществах, создают новое организационное пространство, способное противостоять гиперконкуренции. - Увеличение скорости происходящих изменений как в глобальном аспекте, так и в масштабе отдельной компании. - Возрастание уровня конкуренции на мировых рынках. События последних 10 лет показывают, как ожесточается конкуренция и в России. Местные компании теперь вынуждены конкурировать не только друг с другом, но и с международными корпорациями, успешно осваивающими российский рынок. 1. Сетевая экономика - новая форма экономического порядкаПервые упоминания об информационной революции, информационном обществе и информационной экономике появились еще в 1970-х годах (например, Э. Тофлер и Р. Дрюкер). Однако стремительное появление в реальной экономике признаков того, что считалось футуристическими предсказаниями, оказалось для ученых-экономистов несколько неожиданным событием. Об этом говорит и тот факт, что среди публикаций, посвященных новой форме экономического порядка, пока преобладают материалы скорее публицистической направленности, чем осмысление этого явления с позиций экономической теории. Основы классической рыночной теории закладывались в тот период развития социально-экономического уклада общества, когда все субъекты рынка обладали приблизительно одинаковыми возможностями по использованию информационных ресурсов. Однако последующее превращение информации в товар стимулировало внедрение передовых коммуникационных технологий в практику экономической и хозяйственной деятельности. На определенной ступени НТП (примерно в середине XX века) стало сказываться детерминирующее взаимное влияние достижений науки и техники в сфере телекоммуникаций на общий уклад экономической жизни. С этого момента экономика становится все более информационно-насыщенной и вопрос качественного доступа к информационным ресурсам выходит на одно из первых мест в конкурентной борьбе. Современные тенденции таковы, что в XXI веке информационная составляющая экономического взаимодействия может оказаться определяющей. Американский экономист Томас Стьюарт определил 1991 год как начало "информационного века", так как в этом году впервые расходы американских компаний на приобретение информационных технологий (112 млрд. долл.) превысили расходы на приобретение промышленного оборудования (107млрд. долл.). Рынок информации возник в 1950-е годы и первоначально был представлен информационными услугами академических, научно-исследовательских и государственных учреждений. К 1970-м годам на рынке информационных услуг активно начали работать коммерческие организации. С середины 1980-х годов объем продаж информации увеличивается ежегодно почти на 10 %. Главным поставщиком (до 80 % рынка информации) и одновременно главным потребителем информационных услуг (40 % телекоммуникационных услуг, 60 % рынка программного обеспечения) традиционно является США. Однако развитие Интернет вносит здесь свои коррективы. Уже сейчас более 50 % различного рода ассоциаций, связанных с информационными технологиями и телекоммуникациями, образованы за пределами США. По прогнозам NUA, Ltd., к 2011 году 70 % пользователей сети будут располагаться вне американского сегмента Интернет. В современных условиях создание и распространение Интернет-технологий дает потенциальную возможность объединения всех субъектов современной экономики в общую информационную среду. Происходящие количественные изменения во внешней среде функционирования предприятий приносят качественно новые результаты. Внедрение сетевых технологий в практику хозяйственной деятельности создает информационную среду, сходную с информационной средой малых групп. Ряд исследователей считает, что в начале XXI века социальная эволюция завершает очередной виток и современная экономическая система стремится к той точке, в которой экономический порядок базируется на сообществе экономических агентов, находящихся в непосредственном и равноправном контакте друг с другом. Примеры Интернет инноваций и их воздействие на экономикуНаблюдения за социально-экономическими приложениями современных ИКТ показывают, что наиболее заметными на данный момент явлениями в виртуальном пространстве сети Интернет являются следующие[2] : - "работа" становится "телеработой"[3] , которую можно выполнять в режиме "телеприсутствия"[4] ; - торговля превращается в "электронную коммерцию"[5] , средство платежа - в "цифровую наличность"[6] , а бизнес – в "электронный бизнес"[7] ; - поддержание контактов основано на использовании электронной почты, ICQ и т.п., а обсуждения принимают вид телеконференций, веб-форумов, чатов и др.; - "работа в коллективе" основывается на "компьютерных средствах коллективной работы"[8] , дух коллективизма, комфортность и эффективность совместной работы уже зависит от groupware[9] - особого класса компьютерными программами. Данные явления в настоящее время в большей степени связаны с развитием бизнеса и отражают распространенное среди предпринимателей современное понимание возможностей Интернет технологий для снижения затрат и повышения эффективности бизнес деятельности. По данным, опубликованным в журнале TheEconomist еще в 1999 г., около 90% высших менеджеров крупнейших международных компаний считало, что Интернет изменит или сильно повлияет на глобальный рынок в ближайшие годы. Как пример, вице-президент компании Intel (мировой лидер по производству микропроцессоров) утверждал, что через пять лет все компании будут Интернет компаниями, или они будут уничтожены конкурентами . Среди общих рассуждений, которые можно найти в западных публикациях, о том, как скажется развитие Интернета на методах и формах бизнеса, представляют интерес следующие сюжеты из публикаций в TheEconomist. Чем является Интернет для бизнеса: самым значительным явлением со времен индустриальной революции или просто обычной полезной вещью, которая совершенствует коммуникации, примерно, как телефон? Ответ, возможно, лежит посередине: Интернет внедряется в бизнес и производство гораздо глубже телефона, но он не создал полностью новую экономику, по крайней мере, пока. Уже замечено, что старые правила бизнеса (бей конкурентов, подчиняй поставщиков и держи заказчиков в неведении о тех, кто лучше тебя) работают все хуже. Интернет дает беспрецедентные возможности для сотрудничества, но пока нет ясности, как это изменит привычный способ совместной работы и облик фирмы, как предприниматели будут адаптироваться к быстро меняющимся коалициям и новым союзам между бизнесменами. Отмечается, что в результате массового использования Интернет технологий в деятельности компаний в общеэкономической среде наблюдаются следующие изменения: 1)формируются новые модели ведения бизнеса (например, информационное партнерство); 2)начинают использоваться новые принципы управления бизнесом (пример - менеджмент 5-го поколения); 3)появляются новые правила успешного индивидуального поведения (например, правила К. Келли). Первый пункт в этом списке можно проиллюстрировать материалами, также опубликованными в TheEconomist. Использование компаниями Интернета позволяет им создавать трехстороннее "информационное партнерство" со своими поставщиками и заказчиками. В условиях прямых и оперативных контактов через Интернет эти связи могут превращаться в сотрудничество, направленное на коллективный поиск путей повышения эффективности по всей цепочке от спроса до потребления, а также совместного использования полученных выгод. Примерами служат компании Cisco System, General Electric, Dell, Ford, Visa и др . Вот, например, короткое описание модели бизнеса, используемой в компании Dell (см. статью [You'llneverwalkalone]): Компания ежедневно продает компьютеры через свой веб-сайт на 15 млн долларов. Одной из причин этого является "информационное партнерство" компании с его поставщиками и заказчиками. Поставщики компании имеют постоянный онлайновый доступ к содержанию их заказов от компании через ее корпоративный экстранет (extranet). Они могут организовать свое производство и поставки так, чтобы Dell постоянно имел все необходимое для надлежащей организации производственного процесса. Допуская поставщиков в свою базу данных, Dell считает, что они будут постоянно в курсе о любых изменениях в его спросе. С другой стороны, Dell через свой веб-сайт дает заказчикам доступ к информации о прохождении их заказа через свою производственную цепочку. Что позволяет покупателям отслеживать изменения статуса в исполнении их заказа от момента его начала на заводе до момента окончания возле двери покупателя. Как только фирмы добиваются успехов в снижении их затрат и в повышении эффективности за счет капиталовложений в возможность вести свою деятельность через Интернет, то у них появляется заинтересованность, чтобы их постоянные партнеры сделали тоже самое. Исследователи отмечают, что это стимулирует распространение использования Интернет технологий в экономике по всем звеньям производственно-технологических цепочек. TheEconomist дает на этот счет и еще один пример (см. [You'll never walk alone], с. 13): Британская фирма Safeway, являющаяся владельцем серии супермаркетов, сконструировала, основанную на веб, интегрированную систему (value chain), которая внесла революционные изменения в методы их бизнеса. В разделе операций по закупке они открыли доступ сотням поставщиков к данным о содержании их складов. Это позволило поставщикам получать информацию в реальном времени о том, как продаются через каждый из торговых залов Safeway, поставляемые ими товары. В этих условиях поставщики могут отслеживать изменение спроса и вкуса покупателей, а также следить, чтобы запас товаров на складах Safeway не уменьшался. Супермаркет в свою очередь может теперь легко увеличивать количество своих поставщиков, предлагая им более широкий выбор возможностей для сотрудничества и лучшие цены, т.к. его затраты на создание таких возможностей стали существенно меньше с использованием Интернет технологий. Аналогично, затраты поставщиков на контакты с супермаркетом также уменьшились. В разделе операций по продаже товаров использование Интернет технологий дало возможность покупателям делать удаленные покупки (электронную коммерцию) и получить доступ к электронным каталогам супермаркета. Сам супермаркет получил от этого возможность собирать и анализировать данные о предпочтениях покупателей, и использовать их для организации персонифицированного продвижения (рекламы) своих товаров. Там же (см. предыдущую ссылку) отмечается, что с внедрением Интернет технологий в процесс функционирования компаний они получают ранее не мыслимые способы для интеграции их операций с внешними организациями. При этом основными направлениями развития компаний становятся: а)аутсорсинг (outsourcing)[10] ; б)уменьшение ее размеров; в)ее реинжениринг; г)полное изменение содержания бизнеса. Вертикальная интеграция компаний, которая была главным достижением индустриальной эпохи, в этих новых условиях может быть даже опасна, т.к. маловероятно, что отдельная взятая компания будет одинаково хороша во всех звеньях своего бизнес-процесса. В этих условиях целями большой компании должно стать ее превращение в своеобразный E-business коммутатор, который, как это видно из предыдущих примеров, во-первых, дает мелким фирмам стимул для использования Интернет технологий, а также создает им среду для более дешевого мониторинга спроса и предложения. Целью небольшой фирмы в этих условиях становится доказательство своей жизненной необходимости для потенциальных партнеров. Компании, использующие данные инновации должны быть готовы допустить своих поставщиков и заказчиков к внутренним процессам своей работы, а также получить аналогичное понимание бизнес процессов своих партнеров. Все это создает совершенно новые стандарты на открытость и прозрачность компаний. В итоге, можно говорить, что Интернет усиливает тенденцию к разукрупнению экономических структур. А вот как описываются принципы менеджмента 5-го поколения, которые, по мнению их автора, являются эффективнее традиционных, если на предприятии хорошо развиты информационные технологии (из обзора "Менеджмент пятого поколения: предприятие как сеть людей", см. [Чарльз Сэведж]): · связывание не начальника с подчиненным, а равноправных людей (людям должны обеспечиваться прямые контакты друг с другом); · каждый сотрудник должен иметь доступ к любой информации о предприятии; должен быть обеспечен доступ к знаниям любого сотрудника предприятия; работой должны заниматься "команды", работающие либо над определенным проектом, либо с определенным заказчиком, или классом клиентов; команды собираются из сотрудников разных отделов, или, более точно, из людей, компетентных в разных областях (в производстве, конструировании, финансах, рынках и т.д.); · поддержание целостности предприятия за счет создания сети команд (эти команды, эти подразделения могут и даже должны быть в основном "потенциальными", чтобы предприятие всегда могло отреагировать на изменяющиеся внешние условия, новые замыслы или знания. "В организации должна быть институциализирована готовность к изменениям"); · работа в режиме реального времени, которая включает в себя запараллеливание работ и итеративно-коммуникационную их организацию (вместо последовательной и кооперативной); · создание технико-организационных условий для формирования "виртуальных" команд, члены которых могут находиться в различных географических точках. Известны отчасти экстравагантные, но примечательные правила успешного индивидуального поведения в сетевой экономике, сформулированные Кевином Келли. Вот некоторые из них (см. [Kelly, Kevin]): · Все дешевеет по мере совершенствования. Следует изобретать быстрее, чем новшество станет привычным. · Развивайте не продукт, а сеть деловых связей. Преданность стандартам, а не фирме. · Нужно стремиться стать пусть менее совершенным, но более гибким и децентрализованным, чтобы на пике успеха провести демонтаж старого и идти к новому. · Новые виды постоянно замещают старые. Балансировка на грани хаоса и самообновления. · Не решайте проблемы, ищите новые возможности. Повторы, копирование, автоматизация – обесцениваются, а оригинальность, воображение, творчество – растут в цене (полный список из 12 правил в переводе на русский язык см. в [Паринов С., Яковлева Т.]). Эти правила поведения были бы полным абсурдом для традиционных социально-экономических организаций 20-го века, но в новых условиях они, действительно, не только практически осуществимы, но и полностью соответствуют духу "информационного партнерства", "виртуальных команд" и т.п. Переходя к анализу влияния сетевых инноваций на уровне компании, можно и здесь заметить присутствие знакомых признаков. Когда описанные выше модели ведения бизнеса, принципы менеджмента и индивидуального поведения глубоко проникают во внутрифирменную среду, ее организационная форма принимает новый вид, который получил название: "сетевая форма организации". Считается, что главным отличием сетевых форм организации от рыночных и иерархических является: а)длительность связей между членами организации, которые б)регламентируются этими же лицами без участия вышестоящей власти. Д. Подольны и К. Пейдж [Podolny, D.; Page, K.] описывают сетевые изменения, происходящие в последние годы во внутренней среде традиционных иерархических фирм и организаций, следующим образом: - одно из основных отличий сетевой формы организации от традиционной заключается в этических или ценностных ориентациях ее участников; - центральным элементом является "дух доброй воли" (spiritofgoodwill), который означает использование "голоса" вместо "силы" для разрешения проблем, а также высокий уровень доверия между участниками (покупатель пытается работать с продавцом, принимая во внимание недостатки в его деятельности вместо того, чтобы сменить продавца); - нормы взаимности лежат в основе сетевой организации (в отношениях между участниками преобладают чувства взаимных обязательств и ответственности, а не желание извлечь выгоду из имеющего место доверия); - члены сетевой организации составляют "моральное сообщество", в котором предполагается доверительное поведение, понимание нормативных стандартов, где оппортунизм имеет мало шансов на существование. Сетевая форма действует дополнительно к рыночному и иерархическому механизмам регулирования и поэтому конкурирует с другими двумя за обслуживание взаимодействий между людьми в экономике. Д. Подольны и К. Пейдж описывают суть экономических преимуществ сетевой формы в сравнении с рынком и иерархией следующим образом: "Созданием лучших коммуникаций, чем это может сделать рынок, сетевые формы организации облегчают лучшую координацию перед лицом изменений, значимость которых не может быть полностью передана или понята через ценовые сигналы. В это же время, поскольку границы сетевых форм организации обычно более легко управляемы, чем границы иерархий, более легким являются модификации композиции сетевых организаций [реструктуризация] как ответная реакция на эти изменения" (см. [Podolny, D.; PageK., с. 8]). Преимущества сетевых организаций описываются следующим образом: 1. Освоение новых навыков или знаний проходит лучше, чем в иерархической организации, т.к. сетевая форма предлагает лучшее разнообразие процедур поиска, чем иерархия, и обеспечивает участников более богатой и комплексной информацией, чем рынок. Это достигается двумя путями. Первый – стимулирование обучения за счет обеспечения быстрого распространения полезной информации. Второй – стимулирование синтеза новых знаний и информации на основе уже существующей у членов организации. 2. Легитимность или статус сетевой организации, в большей степени, чем у традиционной организации, определяется статусом ее членов и наоборот, статус сетевой организации легко распространяется на ее членов. Эта легитимность или статус могут в свою очередь иметь определенные экономические преимущества для участников, связанные, например, с ее выживанием, ростом и прибыльностью. 3. Экономические преимущества сетевой формы организации проявляются в некотором снижении транзакционных издержек по сравнению с традиционной командно-иерархической формой. Однако главным преимуществом являются не стоимостные, а качественные изменения. Например, более высокое качество продукции как следствие лучших коммуникаций между покупателем и поставщиком по вопросам, имеющим отношение к качеству. Другой пример – повышение адаптивности сетевой организации к непредсказуемым изменениям в окружающей среде. 4. Среди других преимуществ отмечается возможность сетевых организаций ослаблять внешние ограничения или неопределенность путем усиления своих связей с конкретными источниками, от которых эти ограничения зависят. Сетевая организация фактически является сетью малых фирм или производителей, что дает индивидам в сравнении с крупными бюрократическими формами организаций большую автономность, меньшее неравенство в распределении богатства и усиливает дух сообщества. Когда сетевые организации начинают доминировать в общеэкономической среде, можно говорить, что на данном рынке или в данной стране сформировались необходимые условия для возникновения сетевой экономики. Отмечается, что сетевая экономика будет иметь следующие особенности (см. [DeLong, BradfordJ.]): 1. Покупают только те продукты, которые можно попробовать (experience good). "Вы не можете показать людям насколько ценен ваш продукт, пока вы не дадите им его попробовать. Но как только они сделали это, у них уже нет причин, чтобы его покупать. Почему они должны платить за то, что они уже знают? Но если продавец не даст людям возможность познакомится с тем, что он продает, то, как они узнают, какую выгоду они получат, купив этот продукт?". 2. Структура затрат сетевой экономики (почти нулевые предельные затраты на расширение выпуска информационных продуктов) не позволяет выживать многим конкурентам в одном сегменте рынка. Останутся сильнейшие, т.к. затраты потребителя на переключение от одного поставщика на другого равны нулю. 3. Чем больше единиц продукта продано, тем больше вероятность, что пользователь найдет дополнительные продукты или услуги, которые будут использовать или усиливать ценность основного продукта (примером основного продукта может быть персональный компьютер IBM PC или операционная система Windows, для использования с которыми была произведена масса дополнительных продуктов). В сетевой экономике высокие объемы производства не только дешевле обходятся производителю, но и являются более ценными для потребителей. Следовательно, рост становится стратегическим императивом, т.к. только большой объем производства может сделать продукт ценным для потребителя. Однако современные ИКТ подрывают некоторые свойства экономики, которые делают "невидимую руку" рыночной системы эффектным и эффективным средством для организации производства и распределения продукции. При этом рынок теряет следующие из своих фундаментальных основ (см. [DeLong, J. Bradford; Froomkin, A. Michael]): 1. Исключительность. В сетевой экономике собственник товара не в состоянии простыми и дешевыми средствами исключить конкурентов из своего сегмента. «В отсутствие исключительности ... потенциальные пользователи [участники рынка] теряют эффективный способ дать знать рыночной системе, насколько силен их спрос и на что конкретно он направлен»; 2. Состязательность. Ослаблена в сетевой экономике, поскольку предельная стоимость тиражирования «цифровой» продукции (digital goods) становиться близкой к нулю. В извечной борьбе за покупателя (если это происходит в сетевой экономике) пропадают конкурентные различия между продавцами по их затратам на обслуживание дополнительных заказов. Из-за этого практически не достижимы такие характеристики «хорошего» рынка как «конкуренция в целях ограничения проявлений частной экономической мощи, отдача от инвестиций и трудовых усилий в соответствии с добавленной социальной ценностью, достаточность стимулов для инноваций и развития новых продуктов»; 3. Прозрачность. Во многих секторах экономики покупка товаров в настоящее время перестает быть «прозрачной» т.к. соответствующая ей транзакция, как правило, сразу не заканчивается. Акт покупки, во все больших случаях означает возникновение долгосрочных отношений между продавцом и покупателем. Эта новая черта особенно хорошо заметна по рынку программных продуктов: периодическое обновление версий программного обеспечения превращает акт покупки в процесс долгосрочного «сотрудничества» между покупателем и продавцом. Новый объект социальной науки и его фундаментальная особенностьУпомянутые выше нововведения затрагивают главным образом экономическую надстройку: сферу управления и экономическую инфраструктуру. Главным результатом этих инноваций с точки зрения общества в целом является появление феномена онлайнового сообщества[11] . Оно несет в себе новые формы социально-экономической деятельности людей, а также и новую модель общественных отношений[12] . В самом общем виде онлайновое сообщество представляет собой группу лиц, использующих Интернет технологии для совместной социально-экономической деятельности и для других взаимодействий друг с другом. Поэтому именно в рамках онлайновых сообществ становится действительно возможным применение телеработы, телеприсутствия, цифровых денег и электронной коммерции. Только среди членов онлайновых сообществ могут возникать сетевые формы организации и найти применение новые модели успешного поведения от Келвина Келли. Информационное партнерство в бизнесе, развитие форм и технологий е-бизнеса также будет наиболее успешно, если соответствующие бизнес партнеры являются членами онлайновых сообществ. Появление и распространение онлайновых сообществ не только в сфере бизнеса и экономики, но и в других областях деятельности человека может считаться основным необходимым условием для формирования Информационного Общества[13] . На данном этапе, новые качества, которыми обладает онлайновое сообщество, зачастую выглядя просто как сочетание разнообразных сетевых инноваций, повышающих эффективность уже существующих социально-экономических институтов. Однако уже на этой основе люди могут организовать свои производственные отношения по новому. Расширение и развитие сетевых форм совместной работы, на наш взгляд, приведет к появлению и новых форм общественных отношений в целом, адаптированных к возможностям Интернет технологий, и основанных на новых моделях межличностных коммуникаций. Подробнее эти вопросы мы рассматриваем в следующих главах. Онлайновое сообщество является естественной средой для формирования и развития сетевой экономики. Оно несет в себе основные свойства и особенности этой новой формирующейся социально-экономической сущности. Кроме этого, онлайновое сообщество представляет собой пример новых производственных (и уже в какой-то степени общественных) отношений[14] . Обобщая, можно утверждать, что с точки зрения социальных наук онлайновое сообщество претендует на роль "клеточки" сетевой экономики, которая должна стать основным объектом ее исследования. Главная и фундаментальная особенность совместной деятельности людей в рамках онлайновых сообществ – массовое применение прямых информационных обменов и взаимодействий. Прямые информационные взаимодействия впервые в истории человечества становятся возможными в глобальных масштабах благодаря Интернет технологиями и между членами онлайновых сообществ. Это является фундаментальным отличием онлайнового сообщества, как одной из разновидностей общественных систем, от других видов сообществ, взаимодействие в которых построено, например, на рыночных или иерархических принципах. Мы выделяем именно прямые[15] информационные взаимодействия, поскольку они характеризуются обменом информацией в реальном времени. Следовательно, еще одним важным аспектом отличия онлайнового сообщества от других видов сообществ является тот факт, что доступные их участникам прямые информационные взаимодействия дают людям лучшие возможности для управления потоком событий и согласования своей деятельности в реальном времени . В рыночной и иерархической системах согласования деятельности люди опосредуют свои взаимодействия товарными отношениями или используют промежуточные звенья и уровни иерархии, что имеет свои как положительные, так и отрицательные стороны. Подробнее эти вопросы рассматриваются ниже, но, забегая вперед, следует отметить, что у каждой системы согласования деятельности есть своя ниша. Все вместе они, дополняя друг друга, обслуживают потребности людей в координации своей деятельности в рамках всего общества. Далее будет показано, что по своей природе и принципам организации онлайновое сообщество близко к "малой группе" или общине[16] . Интересно, что некоторые исследователи прямо отделяют экономику, существующую в малых группах (общинах), от того образа экономического порядка, который сложился в 19-20 столетиях. Так, например, Пол Хейне пишет: "[традиционные представления экономической науки] мало помогают нам понять взаимоотношения людей в семье или в другой малой группе, все члены которой хорошо знают друг друга и сотрудничают на личной основе" (см. [Хейне, Пол], с. 700). Хейлбронер приводит высказывание Хайека, что становление рынка (капитализма) в процессе социальной эволюции связано с переходом от организованной маленькой группы людей, находящихся в непосредственном контакте друг с другом, к расширенному экономическому порядку" (см. [Ноув А.], с. 13). Френсис Фукуяма, называя "сетью" (network) группу "индивидуальных агентов, которые разделяют неформальные нормы или ценность сверх того, что требуют обычные рыночные транзакции" пишет о сравнении "сети" с рынком следующее: "Сеть отличается от рынка … эти отличия означают, что экономический обмен внутри сети будет осуществляться на другой базе по сравнения с экономическими транзакциями на рынке." [Fukuyama, Francis; с. 200] Если согласиться, что прообразом онлайнового сообщества являются правила поведения, отработанные в малых группах, то, следовательно, данную общественную форму нельзя признать принципиально новой, т.к. ее разновидности давно существуют и применяются в экономике[17] . Правда, до сих пор они занимали едва заметное место и практически не исследованы экономической теорией. С исторической точки зрения, рыночная и иерархическая формы управления появились после общинной, поскольку известно, что община была первым сообществом людей со своей экономикой. Поэтому более поздние формы могут считаться результатом ее социальной эволюции и адаптации к новым условиям, создаваемым в экономике социальным и технологическим прогрессом. По всей видимости, новым фактором, стимулирующим появление и развитие в общине новых форм управления, стало углубление специализации людей, вовлечение все большего их числа в общественное разделение труда. Логично предположить, что рыночные и иерархические формы возникли в ответ на не способность общинной формы управления обеспечить эффективное обслуживание системы разделения труда, когда оно стало выходить за рамки общины. Причина - ограниченные возможности средств коммуникаций и систем обмена информацией того времени, которые не обеспечивали более широкому кругу людей тот уровень обмена информацией, что был необходим для согласования деятельности на необходимом уровне. Технические ограничения на обмен информацией не позволяли при использовании общинной формы управления расширять коллектив людей, выполняющих общую работу. С другой стороны, углубление специализации и расширение коллективов исполнителей обещало дать новые экономические преимущества. Следовательно, требовалось найти новую форму управления, которая решила бы эту проблему. В результате социальной эволюции были найдены системы управления, которые смогли координировать деятельность больших коллективов людей, чем отдельная община, потому что для своей работы эти системы требовали меньших коммуникаций и менее интенсивного обмена информацией. Так, например, иерархическая форма управления основана преимущественно на выборочном и одностороннем информационном обмене (главным образом между руководителем и исполнителями), поэтому при том же уровне развитости средств обмена информацией она позволяла управлять большим количеством людей, чем общинная форма. Рыночная форма сужает обмен информацией до распространения "ценовых сигналов" и поэтому предъявляет еще более скромные требования к обмену информацией между участниками рыночных обменов по сравнению с иерархической. При том же уровне коммуникаций она позволяет регулировать совместную деятельностью еще большего количества людей, чем иерархическая и общинная формы. Таким образом, логично предположить, что специфическое для онлайновых сообществ использование прямых информационных взаимодействий в качестве основы совместной деятельности людей придает им особые свойства, отсутствующие у рыночных или иерархических сообществ. Основные понятия сетевой экономикиС одной стороны, новые информационные технологии доказывают, что рыночная система содержит еще много резервов, не востребованных даже в странах с давними рыночными традициями. С другой стороны, они создают принципиально новые условия хозяйствования, перенося все виды рыночной хозяйственной деятельности (от производства до сбыта продукции) в новую сетевую среду, которая приобретает свойства, отличные от некоторых свойств экономики рыночной. Например, под влиянием передовых информационных технологий изменяется соотношение между реальным рынком и моделью свободного рынка - теоретической абстракцией экономической науки. Одним из важнейших признаков абстрактного свободного рынка является наличие у каждого участника конкуренции полного объема рыночной информации: спрос, предложение, цены, нормы прибыли и т.п. С внедрением сетевых информационных технологий абсолютная полнота информации становится реальностью для участников рынка, замкнутых в едином сетевом сообществе, и это меняет некоторые правила игры. Однако само это явление не только не изучено, но и не имеет единого толкования среди ученых-экономистов. В докладе Европейской Комиссии глобальная сетевая экономика (англ. networked economy) определяется как "среда, в которой любая компания или индивид, находящиеся в любой точке экономической системы, могут контактировать легко и с минимальными затратами с любой другой компанией или индивидом по поводу совместной работы, для торговли, для обмена идеями и ноу-хау или просто для удовольствия". Р.И. Цвылев связывает возникновение сетевых особенностей в рыночной экономике с развитием информационных технологий, что приводит к эволюции современных экономических систем, развитию нерыночных механизмов регулирования и сетевых организационных структур. "В итоге возникает своего рода безотраслевая, сетевая экономика, основанная преимущественно на горизонтальных связях". Одна из точек зрения по этому вопросу заключается в том, что сетевая экономика - это "качественно новая форма экономического порядка, которая начинает вытеснять иерархические и рыночные формы из обслуживания экономических отношений в обществе". Например, факторы определяющие успех продукции на рынке и в сетевой среде различны (Табл. 1.). Хотя очевидно, что приведенные рассуждения в полной мере могут быть отнесены только к рынку программной продукции и информационных услуг, то есть к рынку цифровых продуктов, для которых электронные коммуникации являются естественной средой существования и транспортировки. Вместе с тем сетевые особенности в той или иной мере свойственны почти всем видам экономической деятельности, и их влияние значимо усиливается с развитием средств телекоммуникаций и с информатизацией экономики. Таблица 1. Трансформация факторов конкурентоспособности
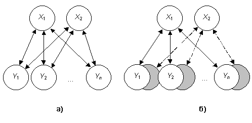
Стремительное развитие средств телекоммуникаций и явно просматривающиеся тенденции вовлечения всех форм экономической деятельности в работу в условиях единого информационного пространства заставляют более пристально рассмотреть сетевые особенности, присущие деятельности любого предприятия. При переносе хозяйственной деятельности в среду Интернет информационные связи становятся прямыми хозяйственными связями, обеспечивающими перемещение информации, финансовых средств и товаров по единым коммуникационным каналам. Говоря о сетевых информационных технологиях, сегодня обычно имеют в виду Интернет-технологии в силу их массового распространения. Однако сетевые формы ведения информационно-экономической деятельности существовали и до появления Интернет. Информационные технологии, также как и промышленные или финансовые технологии, определяют средства и форму, в которых реализуется совместная деятельность людей ради достижения определенных целей. В этом смысле сетевые информационные технологии имеют аналоги и в других областях деятельности человека. Хорошо известны промышленные технологии и технологические линии, которые объединяют в виде производственных цепочек деятельность отдельных рабочих, цехов или целых производств. Уже в XX веке появились финансовые технологии, которые объединяют денежные потоки большого количества физических и юридических лиц, для реализации совместных коммерческих проектов. В последние годы стали реальностью новые технологии, которые объединяют информационные потоки от большого количества субъектов для координации текущих и перспективных мероприятий по достижению общих целей. На этой основе базируется научное направление - экономика сетей (англ. network economics), которое исследует экономическую выгоду от объединения агентов в различного рода сети - транспортные, финансовые, информационные и т.п. Сетевые черты экономической деятельности традиционно рассматриваются при анализе предприятий и производственных процессов, организованных по сетевому признаку. К ним относятся транспортные, в первую очередь железнодорожные, перевозки, телекоммуникационные предприятия, гибкие автоматизированные производства и т.п. Для предприятий этих отраслей экономики сетевые черты являются неотъемле-мой частью производственного цикла. Понятие "сетевая экономика" - более общее по сравнению с экономикой сети и относится к изучению сетевых особенностей и явлений, имеющих место в различных ситуациях. Оказывается, что хозяйственная деятельность предприятий, работающих в условиях рыночной экономики и вертикальной формы управления, обладает, тем не менее, некоторыми чертами, присущими сетевой форме организации. При переносе деловой активности в единое информационное пространство сетевые черты становятся преобладающими. Важно понимать, как возникают и проявляются сетевые особенности хозяйственной деятельности. Рассмотрим две характеристики экономических связей, возникающих между субъектами экономики в процессе организации хозяйственной деятельности предприятия: дополнительность и совместимость. Требование дополнительности наиболее характерно для вертикально интегрированных процессов. На первом уровне иерархии производится сырье, из которого потом получаются полуфабрикаты, из которых собирают детали и на последнем уровне - готовый продукт. Каждый продукт на каждой стадии производства дополняет товар новыми чертами, превращая его, в конце концов, в изделие (Рис. 1а). Эта схема справедлива не только для производства материальных продуктов, но и в сфере услуг и иерархически организованных финансовых операций. При горизонтальной (сетевой) организации связей (Рис. 2.1в) основным свойством выступает совместимость, которая делает возможным выбор компонентов при переходе от одной стадии хозяйственного процесса к другой. Именно это свойство позволяет варьировать топологию производственной цепочки, добиваясь максимальной эффективности. В условиях командно-административной экономики вертикальная интеграция является определяющей, и при организации хозяйственной деятельности преобладает свойство дополнительности. В условиях сетевой экономики основой экономических отношений является совместимость. В рыночных условиях (Рис. 1 б) практически любая форма хозяйственных связей несет в себе черты как дополнительности, так и совместимости (Рис. 2). На практике обе характеристики взаимодействуют друг с другом. Например, организуя дополняющие производственные связи, предприятие выбирает между несколькими поставщиками (производителями) промежуточных продуктов, ориентируясь на их совместимость. Таким образом, именно совместимость делает возможным реализовать дополнительность.
Рис. 1. - Формы организации экономических связей а) - вертикальные; б) - произвольные; в) - горизонтальные Рассмотрим основные черты сетевой формы организации и ее взаимодействие с рыночными механизмами. Особенности сетевой формы проявляются как в сфере производства, так и в сфере потребления. Ранее было показано, что важнейшим проявлением сетевых свойств является повышение ценности продукта по мере увеличения количества проданных единиц. Для традиционных рыночных представлений это утверждение кажется противоречивым - увеличение ценности по мере удовлетворения спроса. Однако противоречие исчезает, если "количество проданных товаров" заменить на "ожидаемое количество проданных товаров". То есть ценность продукта увеличивается с ростом возможного количества продаж. (В случае сетевой формы организации возможное количество потребителей непосредственно связано с размером сети.)
Рис. 2. Проявление свойств дополнительности (Pд
) и Эта особенность возникает из-за того, что совместимые связи сетевой формы хозяйственной деятельности также обладают свойством дополнительности. Для предприятий сетевых отраслей дополнительность возникает явным образом, так как сами элементы сети являются компонентами, в результате объединения которых возникает конечный продукт: телефонный разговор, транспортная перевозка и т.п. Если сеть состоит из n компонентов, то количество возможных товаров/услуг равняется n·(n - 1). Каждый новый (n + 1)-й элемент добавляет 2n новых продукта/сервиса, то есть повышает потребительские свойства сети. Для несетевых отраслей хозяйства сетевые особенности проявляются опосредованно, но они существуют. В некотором смысле весь рынок товаро-денежных отношений обладает сетевыми свойствами. Акт товарообмена можно рассматривать как сложный продукт, для создания которого необходимо наличие двух дополняющих друг друга продуктов: "желание продать товар X по цене P' и "желание купить товар X по цене P'. Каждый из этих специфических продуктов, взятый в отдельности (вне связи с другими), не имеет смысла. Множества продавцов и покупателей товара X образуют сети совместимых продуктов. Используя различные рыночные модели, можно проследить, как сетевые особенности проявляются на макроуровне. С точки зрения модели совершенной конкуренции, ценность продукта X возрастает с увеличением количества проданных продуктов Y, дополнительных к X, и наоборот. То есть, чем больше продается Y, тем больше продается и X. Из этого следует, что чем больше X продано, тем выше его ценность. Возникает положительная обратная связь, которая должна была бы привести к лавинообразному росту продаж, если бы не свойственная рынку тенденция к снижению кривой спроса. Обозначим рыночную потребность в n-м экземпляре товара при условии, что ожидаемая продажа составляет n' экземпляров, как p(n, n'). В целях большей общности следует рассматривать нормализованные значения величин n и n'. Функция p(n, n') яв-ляется убывающей по первому аргументу (в соответствии с законом уменьшения спроса) и возрастающей по второму аргументу (как следствие проявления сетевого эффекта). Несмотря на то, что рыночный механизм является непрерывным процессом, для его изучения можно использовать дискретную модель, выбрав в качестве периода квантования время, за которое успевает установиться краткосрочное равновесие (время, за которое заканчиваются переходные процессы, существенные для изучаемой задачи). В условиях краткосрочного рыночного равновесия n —› n' и p(n, n') —› p(n, n). Функция p(n, n) является "моментальным" срезом сложной зависимости, взятой в конкретный период времени. Рассмотрим ее свойства. При n = 1 (продано все возможное количество товара) p(n, n) = 0. При n = 0 (нулевое ожидание спроса) p(n, n) также равна 0. Поскольку функция p(n, n) положительна и непрерывна (в силу природы описываемых процессов) и хотя бы в одной точке отлична от 0, то, следовательно, она должна иметь максимум в некоторой точке no = arg max (p(n, n)). Пример такой функции представлен на Рис. 3.
Рис. 3. - Зависимость ожидания продаж от размера С точки зрения формирования единого информационно- экономического пространства (ИЭП) предприятия, продажа товара (оказание услуги) новому потребителю означает увеличение размеров сети. То есть величина n может рассматриваться как количество элементов, вовлеченных в сеть. В условиях совершенной конкуренции размер сети стремится к no . Создание такой сети соответствует предельным издержкам co . Уменьшение предельных издержек может быть достигнуто как за счет движения влево от точки no , так и вправо. Сеть с количеством элементов, меньшим no , нестабильна, так как интересы членов сети находятся в противоречии с потребностями рынка p. Сеть с n > no приводит к уменьшению потребностей в услугах сети и поэтому ей не выгодна. Таким образом, совершенная конкуренция ограничивает размеры сети, что в условиях современных телекоммуникационных возможностей тормозит развитие сетевых услуг, востребованных обществом. Исходя из рассмотренной модели, можно было бы предположить, что монополистический рынок с возможностью монополий влиять на ожидания потребителей окажется более восприимчивым к проявлению сетевых тенденций. Однако, стремление монополий ограничить производство значительно сильнее, и поэтому монополистический рынок также не отвечает потребностям сетевой организации. Олигополистический рынок также имеет возможность влиять на ожидания потребителей. В условиях совместимости продукции олигополистических предприятий логично предположить, что каждое предприятие обеспечивает собственный прирост ожидания, используя результаты других как данность. Таким образом, N олигополистических предприятий, выпускающих совместимую продукцию, образуют сеть. При N = 1 олигополия превращается в монополию, при N = бесконечность - в совершенную конкуренцию. Однако если на рынке также присутствуют и олигополистические предприятия с несовместимой продукцией, то сетевые свойства такой более общей модели проявляются в желании или нежелании предприятий использовать общие стандарты. Пусть множество предприятий в отрасли определяется как P = {P1
, P2
, …, PN
}. На этом множестве может быть определено разбиение
Множество предприятий, образующих подмножество Cj, будем называть коалицией. Разбиение C определяет коалиционную структуру отрасли. При K = 1 все предприятия отрасли образуют единую коалицию, при K = N имеет место полная несовместимость стандартов внутри отрасли. Выбор оптимальной коалиционной структуры зависит от многих факторов. При отсутствии кооперации и сторонних платежей любое предприятие, присоединившись к коалиции, остается способным вести хозяйственную деятельность на рынке за счет собственных доходов. При отсутствии кооперации, но наличии сторонних платежей предприятия распределяют выгоды от коалиции произвольно - в целях привлечения новых членов коалиции. Члены коалиции при отсутствии кооперации образуют сообщество, для которого характерны признаки распределенной сети. Кардинальным отличием объекта изучения сетевой экономики от экономики сети является то, что в рамках экономики сети действует посылка, что сеть принадлежит одной компании или группе компаний, имеющих единые интересы. В рамках сетевой экономики рассматриваются взаимодействующие сетевые структуры, принадлежащие различным агентам экономической деятельности, имеющим свои собственные цели, которые могут совпадать, а могут и не совпадать. Для того чтобы понять, как сетевые свойства проявляются в деятельности предприятия на микроуровне, рассмотрим сначала наиболее простую модель. Пусть имеется два вида продукции - X и Y, каждый из которых выпускается в модификации X1
, X2
, …, Xm
и Y1
, Y2
, …, Yn
соответственно. Причем потребитель заинтересован в составном продукте, образованном из одного компонента вида X и одного - вида Y. Таким образом, оба продукта связаны отношением дополнительности. Будем считать, что технологии отработаны, затраты на согласование отсутствуют, ценовая дискриминация не возможна и не существует асимметричных затрат, создаваемых разными стандартами.
Рис. 4. - Граф совместимости продуктов при вертикальных и горизонтальных связях Вопрос о совместимости продукции Xi и Yj решается в зависимости от доли продукта Xi Yj в общем сбыте предприятий. Совместимость всех продуктов типа X со всеми продуктами типа Y благоприятно влияет на спрос, обеспечивая больший выбор составного продукта, но увеличивает конкуренцию между составляющими. То есть, если спрос на составной продукт больше, чем на составляющие, предприятиям свойственно стремление к совместимости продукции. В противном случае предприятия не заинтересованы в использовании единых стандартов. Кроме того, отказ от совместимости может обеспечить предприятию большую гибкость в случае изменения цен на компоненты. Если предприятия, производящие, например, продукцию X1 и Y1 (см. Рис. 5), объединены вертикальными связями, то возможно возникновения конфликта совместимости из-за разной доли компонентов и составного продукта в сбыте предприятий. Решение одного предприятия в пользу несовместимости (как требующее меньших затрат) навязывается другому при отсутствии дополнительных рычагов воздействия. Однако в случае вертикальных связей между двумя производителями принятие решения в пользу несовместимости продукции никогда не может быть выгодно обеим сторонам одновременно. До сих пор мы исходили из предположения, что любой продукт типа X может быть скомбинирован с любым продуктом типа Y. Однако если среди продуктов типа X или типа Y не существует полной взаимозаменяемости, то отдельные предприятия могут выиграть, используя частичную несовместимость. В более общем случае, когда количество комбинируемых продуктов больше двух, на принятие решения о совместимости существенное влияние оказывает отношение потребительского рынка к наличию широкого выбора. В случае несовместимости каждый производитель Y-продуктов должен выпускать две версии каждой модели, одну, совместимую с X1 , а другую - с X2 (Рис. 5 б). Из-за больших постоянных затрат (при прочих равных условиях) число производителей Y-продуктов будет меньше, чем в случае совместимости. Следовательно, на рынке будет меньшее количество модификаций составного продукта. Если рынок не чувствителен к снижению количества вариантов составного продукта, то для предприятий, производящих X-продукты, ситуация несовместимости более выгодна. И наоборот.
Рис. 5. - Схемы совместимости продукции в условиях монополистической конкуренции Ярким примером совместимости и взаимодополняемости продуктов разных отраслей является производство и распространение программного и аппаратного обеспечения. Наличие сетевых особенностей воздействует и на структуру отрасли (мезоуровень). Поскольку в сетевых условиях количество проданных товаров увеличивает его ценность, предприятие заинтересовано в максимально большом выпуске продукции. В такой ситуации даже монополии, удерживающие исключительное право на технологию, идут на, казалось бы, парадоксальный шаг - приглашение конкурентов на рынок. Монополии готовы продавать лицензии и даже субсидировать инвестиции с целью увеличения количества совместимых продуктов на рынке. Появление новых производителей имеет как рыночный (соревновательный), так и сетевой эффект. Если сетевые особенности достаточно характерны для отрасли, то последний преобладает. Корпорация Microsoft распространяет свою операционную систему Windows по символической цене, если она устанавливается производителями или продавцами на новые компьютеры. Фирма IBM, выпустив на рынок персональный компьютер, построенный по принципу открытой архитектуры, открыла доступ всем желающим к технологии производства компьютеров своего стандарта. В результате рынки большинства стран представлены именно такими персональными компьютерами. Фирма Sun в настоящее время делает принципиальную ставку на бесплатное распространение программных продуктов. В частности, разработанный этой фирмой бесплатный язык программирования Java стал практическим стандартом создания Интернет- приложений. Более того, такое решение привлекло к работе над этим программным продуктом тысячи энтузиастов, развивающих и совершенствующих язык Java также на бесплатной основе. Необходимо еще раз отметить, что рынок, связанный с компьютерными технологиями, проявляет сетевые особенности наиболее отчетливо. Открытая архитектура персональных компьютеров, жизненный цикл программного продукта, их совместимость - все это способствует развитию сетевого эффекта. Уже сегодня такие отрасли, как индустрия программных продуктов и информационного обеспечения, действуют на границе сетевой и рыночной экономик. Это означает, что предприятия этих отраслей вынуждены вести борьбу за выживание в двух экономических системах. ЛИТЕРАТУРА1. Курицкий А.Б. Интернет-экономика: закономерности формирования и функционирования. – СПб.: Издательство Санкт-Петербургского университета, 2000.2. Электронная коммерция: Учебное пособие / Под ред. Пирогова С.В.. – М.: «Перспектива», 2003. 3. http://rvles.ieie.nsc.ru/parinov/economy21.htm - Экономика 21 века на базе Интернет-технологий. 4. http://planetadisser.com/see/dis_193285.html - Глобализация и регулирование сетевой экономики в современных макроэкономических системах. 5. http://planetadisser.com/see/dis_11280.html - Управление инновационно—инвестиционной деятельностью предприятий на рынках сетевых товаров 6. http://rvles.ieie.nsc.ru/~parinov/papers/monog1.zip - К теории сетевой экономики. [1] По книге D.Shultz, P.Kitchen. Communicating globally, NTC Business Books, 2000 [2] Наиболее популярным и доступным является просто создании сайта. Опубликованные обзоры использования Интернета показывают, что если компания создает свой сайт в Интернете, то это дает ей следующие возможности (упорядочено по частоте использования): 1. Отслеживание статистики посещений сайта (кто посещает, откуда, какие разделы, как часто и т.п.); 2. Создание яркого мультимедийного образа компании (сравнимо с распространением буклетов о компании); 3. Создание базы данных заказчиков (если заказчики взаимодействуют с компанией через ее сайт, то это упрощает коммуникации и позволяет сделать их обслуживание более комплексным); 4. Осуществление онлайновых платежей (продукция и услуги компании может продаваться через ее сайт, платежи также могут полностью или частично осуществляться через сайт); 5. Создание базы данных поставщиков (если поставщики имеют возможность устанавливать контакт с компанией через ее сайт, это существенно расширяет их круг и упрощает коммуникации с ними); 6. Создание центра реагирования на запросы клиентов (заказчики и поставщики могут получать необходимую информацию с сайта компании, или запрашивать ее по электронной почте, что повышает оперативность обслуживания); 7. Осуществление разнообразных методов оплаты продукции и услуг (сайт может содержать данные обо всех возможных способах оплаты продукции и услуг компании). [3] http://www.telework.ru/, http://ieie.nsc.ru/~eto/, см. также раздел "Работа в E-conomy" [Castells, M., 2001, с. 90] [4] телеприсутствие -коммуникационный сервис, который образует интуитивный пространственный пользовательский интерфейс для навигации и выполнения физических действий, http://www.vers.co.uk/CICC/ [5] http://www.e-commerce.ru/,http://ieie.nsc.ru/~eto/ttrade/ [6] http://www.emoney.ru/ [7] См. главу "е-Бизнес и новая экономика" в [Castells, M., 2001, с. 64] [8] В западной литературе этому соответствует Computer-Supported Cooperative Work (CSCW). Компьютерные средства коллективной работы относятся к области исследований, которая связана с дизайном, адоптацией и использованием groupware. Исследуются вопросы кооперации, работы, общения и игр. Разработка программного обеспечения и моделей организационного поведения, с участием бизнесменов, программистов, психологов, антропологов и т.д. [9] Groupware (http://www.usabilityfirst.com/groupware/)- технология, сконструированная для облегчения работы группы. Может использоваться для коммуникаций, кооперации, координации, решения проблем, состязания или переговоров. [10] Аутсорсингом называется передача части задач, выполняемых сотрудниками компании, внешним организациям. [11] Как синоним используется также термин "виртуальное сообщество". В англоязычной литературе применяются термин "e-community" и "virtualcommunity". Глоссарий по Информационному Обществу (http://www.iis.ru/glossary/virtualcommunities.ru.html) дает следующее толкование этого понятия: "новый тип сообществ, которые возникают и функционируют в электронном пространстве", а также – "объединение пользователей сети в группы с общими интересами для работы в электронном пространстве". [12] Ф. Фукуяма называет подобные связи между людьми просто "сетью" (network). Вот как он их характеризует: "…сеть есть моральные связи на основе доверия. Сеть есть группа индивидуальных агентов, которые разделяют неформальные нормы или ценность сверх того, что требуют обычные рыночные транзакции." [Fukuyama, Francis, с. 199] [13] Информационное Общество - "Ступень в развитии современной цивилизации, характеризующаяся увеличением роли информации и знаний в жизни общества, возрастанием доли инфокоммуникаций, информационных продуктов и услуг в валовом внутреннем продукте (ВВП), созданием глобального информационного пространства, обеспечивающего эффективное информационное взаимодействие людей, их доступ к мировым информационным ресурсам и удовлетворение их социальных и личностных потребностей в информационных продуктах и услугах." (Глоссарий по Информационному Обществу - http://www.iis.ru/glossary/infsociety.ru.html) [14] О социальных и других аспектах общественных отношений связанных с онлайновыми сообществами см. главу "Виртуальные сообщества или сетевое общество?" в [Castells, M., 2001, с. 116]. [15] Непрямые информационные взаимодействия понимаются как случай, при котором его участники информированы друг о друге опосредованно и не имеют персонального обмена информацией в реальном времени. [16] Подробнее об этих параллелях см. в статье С. Паринов "Истоки Интернет-цивилизации", http://rvles.ieie.nsc.ru/parinov/net-istoki.htm [17] "Сеть … является такой же старой, как и сообщества людей, сами по себе; и во многих отношениях именно она была базовой формой социальных связей во многих древних обществах." [Fukuyama, Francis, с. 202] |




