План
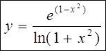
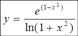
Постановка задачи
Анализ области определения функции
Рабочий лист Excel в режиме отображения значений
Рабочий лист Excel в режиме отображения формул
Постановка задачи
Для функции построить таблицу значений этой функции (протабулировать функцию) при значениях аргумента, изменяющихся на отрезке (a,b) с шагом h = (b-a)/h (n=20), найти наибольшее и наименьшее значение функции на этом отрезке и построить график.
Анализ области определения функции
При х = 0 знаменатель дроби тоже равен нулю, значит при х = 0, функция не существует. Таким образом, выражение для табулирования данной функции имеет вид:
=ЕСЛИ(C12=0;"Не сущ.";EXP(1-C12^2)/LN(1+C12^2))
Рабочий лист Excel в режиме отображения значений
Контрольная работа №1 |
| Табулирование функции одной переменной |
| Исходные данные |
| Начальная граница отрезка a = |
-1 |
| Конечная граница отрезка b = |
1 |
| Количество интервалов n = |
20 |
| Шаг табулирования h = |
0,1 |
| Результаты вычислений |
| № п/п |
x |
y |
Экстремумы |
| 1 |
-1,00 |
1,44 |
<=мин. |
| 2 |
-0,90 |
2,04 |
| 3 |
-0,80 |
2,90 |
| 4 |
-0,70 |
4,18 |
| 5 |
-0,60 |
6,17 |
| 6 |
-0,50 |
9,49 |
| 7 |
-0,40 |
15,61 |
| 8 |
-0,30 |
28,83 |
| 9 |
-0,20 |
66,59 |
| 10 |
-0,10 |
270,47 |
<=макс. |
| 11 |
0,00 |
Не сущ. |
| 12 |
0,10 |
270,47 |
<=макс. |
| 13 |
0,20 |
66,59 |
| 14 |
0,30 |
28,83 |
| 15 |
0,40 |
15,61 |
| 16 |
0,50 |
9,49 |
| 17 |
0,60 |
6,17 |
| 18 |
0,70 |
4,18 |
| 19 |
0,80 |
2,90 |
| 20 |
0,90 |
2,04 |
| 21 |
1,00 |
1,44 |
<=мин. |

Рабочий лист Excel в режиме отображения формул
Контрольная работа №1 |
| Табулирование функции одной переменной |
| Исходные данные |
| Начальная граница отрезка a = |
-1 |
| Конечная граница отрезка b = |
1 |
| Количество интервалов n = |
20 |
| Шаг табулирования h = |
=(E6-E5)/E7 |
| Результаты вычислений |
| № п/п |
x |
y |
Экстремумы |
| =СТРОКА()-11 |
=$E$5+(B12-1)*$E$8 |
=ЕСЛИ(C12=0;"Не сущ.";EXP(1-C12^2)/LN(1+C12^2)) |
=ЕСЛИ(D12=МАКС($D$12:$D$32);"<=макс.";
ЕСЛИ(D12=МИН($D$12:$D$32);"<=мин.";""))
|
| =СТРОКА()-11 |
=$E$5+(B13-1)*$E$8 |
=ЕСЛИ(C13=0;"Не сущ.";EXP(1-C13^2)/LN(1+C13^2)) |
=ЕСЛИ(D13=МАКС($D$12:$D$32);"<=макс.";
ЕСЛИ(D13=МИН($D$12:$D$32);"<=мин.";""))
|
| =СТРОКА()-11 |
=$E$5+(B14-1)*$E$8 |
=ЕСЛИ(C14=0;"Не сущ.";EXP(1-C14^2)/LN(1+C14^2)) |
=ЕСЛИ(D14=МАКС($D$12:$D$32);"<=макс.";
ЕСЛИ(D14=МИН($D$12:$D$32);"<=мин.";""))
|
| =СТРОКА()-11 |
=$E$5+(B15-1)*$E$8 |
=ЕСЛИ(C15=0;"Не сущ.";EXP(1-C15^2)/LN(1+C15^2)) |
=ЕСЛИ(D15=МАКС($D$12:$D$32);"<=макс.";
ЕСЛИ(D15=МИН($D$12:$D$32);"<=мин.";""))
|
| =СТРОКА()-11 |
=$E$5+(B16-1)*$E$8 |
=ЕСЛИ(C16=0;"Не сущ.";EXP(1-C16^2)/LN(1+C16^2)) |
=ЕСЛИ(D16=МАКС($D$12:$D$32);"<=макс.";
ЕСЛИ(D16=МИН($D$12:$D$32);"<=мин.";""))
|
| =СТРОКА()-11 |
=$E$5+(B17-1)*$E$8 |
=ЕСЛИ(C17=0;"Не сущ.";EXP(1-C17^2)/LN(1+C17^2)) |
=ЕСЛИ(D17=МАКС($D$12:$D$32);"<=макс.";
ЕСЛИ(D17=МИН($D$12:$D$32);"<=мин.";""))
|
| =СТРОКА()-11 |
=$E$5+(B18-1)*$E$8 |
=ЕСЛИ(C18=0;"Не сущ.";EXP(1-C18^2)/LN(1+C18^2)) |
=ЕСЛИ(D18=МАКС($D$12:$D$32);"<=макс.";
ЕСЛИ(D18=МИН($D$12:$D$32);"<=мин.";""))
|
| =СТРОКА()-11 |
=$E$5+(B19-1)*$E$8 |
=ЕСЛИ(C19=0;"Не сущ.";EXP(1-C19^2)/LN(1+C19^2)) |
=ЕСЛИ(D19=МАКС($D$12:$D$32);"<=макс.";
ЕСЛИ(D19=МИН($D$12:$D$32);"<=мин.";""))
|
| =СТРОКА()-11 |
=$E$5+(B20-1)*$E$8 |
=ЕСЛИ(C20=0;"Не сущ.";EXP(1-C20^2)/LN(1+C20^2)) |
=ЕСЛИ(D20=МАКС($D$12:$D$32);"<=макс.";
ЕСЛИ(D20=МИН($D$12:$D$32);"<=мин.";""))
|
| =СТРОКА()-11 |
=$E$5+(B21-1)*$E$8 |
=ЕСЛИ(C21=0;"Не сущ.";EXP(1-C21^2)/LN(1+C21^2)) |
=ЕСЛИ(D21=МАКС($D$12:$D$32);"<=макс.";
ЕСЛИ(D21=МИН($D$12:$D$32);"<=мин.";""))
|
| =СТРОКА()-11 |
=$E$5+(B22-1)*$E$8 |
=ЕСЛИ(C22=0;"Не сущ.";EXP(1-C22^2)/LN(1+C22^2)) |
=ЕСЛИ(D22=МАКС($D$12:$D$32);"<=макс.";
ЕСЛИ(D22=МИН($D$12:$D$32);"<=мин.";""))
|
| =СТРОКА()-11 |
=$E$5+(B23-1)*$E$8 |
=ЕСЛИ(C23=0;"Не сущ.";EXP(1-C23^2)/LN(1+C23^2)) |
=ЕСЛИ(D23=МАКС($D$12:$D$32);"<=макс.";
ЕСЛИ(D23=МИН($D$12:$D$32);"<=мин.";""))
|
| =СТРОКА()-11 |
=$E$5+(B24-1)*$E$8 |
=ЕСЛИ(C24=0;"Не сущ.";EXP(1-C24^2)/LN(1+C24^2)) |
=ЕСЛИ(D24=МАКС($D$12:$D$32);"<=макс.";
ЕСЛИ(D24=МИН($D$12:$D$32);"<=мин.";""))
|
| =СТРОКА()-11 |
=$E$5+(B25-1)*$E$8 |
=ЕСЛИ(C25=0;"Не сущ.";EXP(1-C25^2)/LN(1+C25^2)) |
=ЕСЛИ(D25=МАКС($D$12:$D$32);"<=макс.";
ЕСЛИ(D25=МИН($D$12:$D$32);"<=мин.";""))
|
| =СТРОКА()-11 |
=$E$5+(B26-1)*$E$8 |
=ЕСЛИ(C26=0;"Не сущ.";EXP(1-C26^2)/LN(1+C26^2)) |
=ЕСЛИ(D26=МАКС($D$12:$D$32);"<=макс.";
ЕСЛИ(D26=МИН($D$12:$D$32);"<=мин.";""))
|
| =СТРОКА()-11 |
=$E$5+(B27-1)*$E$8 |
=ЕСЛИ(C27=0;"Не сущ.";EXP(1-C27^2)/LN(1+C27^2)) |
=ЕСЛИ(D27=МАКС($D$12:$D$32);"<=макс.";
ЕСЛИ(D27=МИН($D$12:$D$32);"<=мин.";""))
|
| =СТРОКА()-11 |
=$E$5+(B28-1)*$E$8 |
=ЕСЛИ(C28=0;"Не сущ.";EXP(1-C28^2)/LN(1+C28^2)) |
=ЕСЛИ(D28=МАКС($D$12:$D$32);"<=макс.";
ЕСЛИ(D28=МИН($D$12:$D$32);"<=мин.";""))
|
| =СТРОКА()-11 |
=$E$5+(B29-1)*$E$8 |
=ЕСЛИ(C29=0;"Не сущ.";EXP(1-C29^2)/LN(1+C29^2)) |
=ЕСЛИ(D29=МАКС($D$12:$D$32);"<=макс.";
ЕСЛИ(D29=МИН($D$12:$D$32);"<=мин.";""))
|
| =СТРОКА()-11 |
=$E$5+(B30-1)*$E$8 |
=ЕСЛИ(C30=0;"Не сущ.";EXP(1-C30^2)/LN(1+C30^2)) |
=ЕСЛИ(D30=МАКС($D$12:$D$32);"<=макс.";
ЕСЛИ(D30=МИН($D$12:$D$32);"<=мин.";""))
|
| =СТРОКА()-11 |
=$E$5+(B31-1)*$E$8 |
=ЕСЛИ(C31=0;"Не сущ.";EXP(1-C31^2)/LN(1+C31^2)) |
=ЕСЛИ(D31=МАКС($D$12:$D$32);"<=макс.";
ЕСЛИ(D31=МИН($D$12:$D$32);"<=мин.";""))
|
| =СТРОКА()-11 |
=$E$5+(B32-1)*$E$8 |
=ЕСЛИ(C32=0;"Не сущ.";EXP(1-C32^2)/LN(1+C32^2)) |
=ЕСЛИ(D32=МАКС($D$12:$D$32);"<=макс.";
ЕСЛИ(D32=МИН($D$12:$D$32);"<=мин.";""))
|
|