Контрольная работа: Организация и функционирование электронных вычислительных машин
|
Название: Организация и функционирование электронных вычислительных машин Раздел: Рефераты по логике Тип: контрольная работа | ||||||||||||||||||||||||||||||||||||||||||||||||||||||||||||||||||||||||||||||||||||||||||||||||||||||||||||||||||||||||||||||||||||||||||||||||||||||||||||||||||||||||||||||||||||||||||||||||||||||||||||||||||||||||||||||||||||||||||||||||||||||||||||||||||||||||||||||||||||||||||||||||||||||||||||||||||||||||||||||||||||||||||||||||||||||||||||||||||||||||||||||||||||||||||||||||||||||||||||||||||||||||||||||||||||||||||||||||||||||||||||||||||||||||||||||||||||||||||||||||||||||||||||||||||||||||||||
Белорусский Государственный Университет Информатики и Радиоэлектроники Контрольная работа по дисциплине Организация и функционирование ЭВМ Выполнил: Проверил: Cмоленский П.О. Пешков А.Т. Зачетная книжка №510701 (Ликвидация академической разницы) Минск, 2009 Задание 1.1 Задание предполагает нахождения значений С1, С2, С3, С4, определяемые выражениями: С1 = А+В, С1 = А-В, С1 = В- А+, С1 =- А –В При выполнении задания операнды А и В необходимо представить в двоично-десятичной системе, сформировать для них прямые коды и, используя заданный код в варианте по правилам двоично-десятичной арифметики, описанной в разделе «Арифметика с алгебраическими двоично-десятичными числами», найти значения С1, С2, С3, С4. Результат должен быть представлен в прямом коде. Условие: Операнд А Операнд В Код, используемый при выполнении задания: дополнительный. Решение: С1 = А+В С2 = А − В = A + (−B) С3 = В − А = B + (−A) С4 = − А – В = - (A+B)
Дополнительный код нужно заменить инверсным и учесть это при коррекции. (см. аналогичные примеры по операциям с 2 10-ыми числами в методических материалах). Задание 1.2 Задание предполагает выполнение заданной операции над числами А и В, представленными с плавающей точкой. При выполнении задания порядки и мантиссы операндов А и В, заданные в таблице, необходимо представить в двоичной системе счисления и сформировать для них прямые коды. Разрядность модуля порядка должна быть равна 3, разрядность модуля мантиссы - 6 . Результат (порядок и мантисса) должен быть представлен в прямом коде в нормализованной форме. Условие:
Решение:
Выравнивание порядков:
Значит, сдвигаем мантиссу числа B на 2 вправо: [Bм] = 1.001 100 Сумма мантисс:
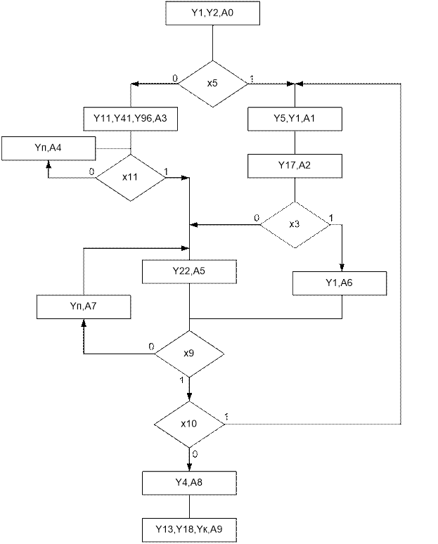
С1 - { Задание 1.2 принято. Задание 2.1 Задание относится к разделу “Схемотехнические основы ЗВМ” и состоит из двух частей: - построить блок управления аппаратного принципа, реализующий заданную ГСА ( ГСА - граф- схема алгоритма). - построить блок управления микропрограммного принципа, реализующий заданную ГСА. Задание 2.1 Построить цифровой автомат заданного типа (Мили или Мура) для заданной ГСА, используя заданный тип триггера (RS-, D-, T-триггер). Тип автомата, номер ГСА (соответствует номеру рисунка, на котором она находится) и тип триггера выбирается из табл.2. Тип триггера (ТТ), тип цифрового автомата (ТЦА), номер ГСА (ГСА) задается колонками, соответственно, 1,2 и 3. Номер варианта определяется последними двумя цифрами зачетной книжки (равен 30).
Исходная схема (рис. 1)
Решение: Обозначим в данной ГСА операционные вершины как Ai вершины (состояние) графа автомата Мура.
Имея граф автомата Мура, объединенная кодированная таблица переходов и выходов цифрового автомата строится за счет нахождения всех существующих путей из каждой вершины графа в ближайшую другую вершину с указанием условий, при которых имеет место данный путь, и вырабатываемых выходных сигналов, которые в автомате Мура однозначно определяются конечным состоянием (конечной вершиной): Аi {xs s s , xp s p ...xf s f ,уn (А J ),... уm (А J )} А J , где: - Аi , АJ - соответственно, начальная и конечная вершина пути; - xs s s , xp s p ...xf s f - условия, через которые проходит рассматриваемый путь из Аi в АJ ; - уn (А J ),... уm (А J ) - выходные сигналы автомата, однозначно зависящий от конечного состояния АJ. . Объединенной кодированной таблицы переходов и выходов цифрового автомата составляется на основе всех возможных путей из всех вершин графа автомата. В таблице приведена объединенной кодированной таблицы переходов и выходов для графа автомата Мура.
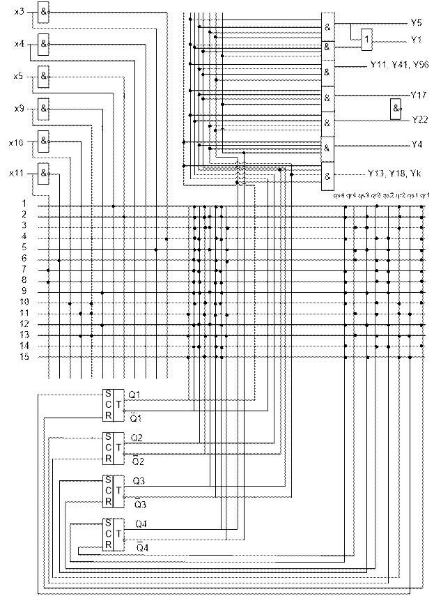
_ _ _ _ _ _ _ _ _ _ _ _ _ _ _ _ _ _ qr1= Q1Q2Q3Q4x5+ Q1Q2Q3Q4x5+ Q1Q2Q3Q4+ Q1Q2Q3Q4x3+ Q1Q2Q3Q4x3+ Q1Q2Q3Q4x11+ _ _ _ _ _ _ _ _ _ _ _ Q1Q2Q3Q4x11+ Q1Q2Q3Q4x9+ Q1Q2Q3Q4x9x10+ Q1Q2Q3Q4x9+ Q1Q2Q3Q4(1,2,3,4,5,6,7,8,9,10,12,14) _ _ _ _ _ _ qs1= Q1Q2Q3Q4x9x10+ Q1Q2Q3Q4(11,13,15) _ _ _ _ _ _ _ _ _ _ _ _ _ _ _ qs2 = Q1Q2Q3Q4x3+ Q1Q2Q3Q4x3+ Q1Q2Q3Q4x11+ Q1Q2Q3Q4x11+ Q1Q2Q3Q4x9+ Q1Q2Q3Q4 (4,5,6,7,8,9,12,14) _ _ _ _ _ _ _ _ _ _ _ _ _ _ _ _ _ qr2 = Q1Q2Q3Q4x5+ Q1Q2Q3Q4x5+ Q1Q2Q3Q4+ Q1Q2Q3Q4x9x10+ Q1Q2Q3Q4x9x10+ Q1Q2Q3Q4 (1,2,3,10,11,13,15) _ _ _ _ _ _ _ _ _ _ qs3 = Q1Q2Q3Q4x5+ Q1Q2Q3Q4+ Q1Q2Q3Q4x3+ Q1Q2Q3Q4x9(2,3,5,9,12) _ _ _ _ _ _ _ _ _ _ _ _ _ _ _ _ _ _ _ qr3= Q1Q2Q3Q4x5+ Q1Q2Q3Q4x3+ Q1Q2Q3Q4x11+ Q1Q2Q3Q4x11+ Q1Q2Q3Q4x9x10+ Q1Q2Q3Q4x9x10+ _ _ _ _ Q1Q2Q3Q4+ Q1Q2Q3Q4(1,4,6,7,8,10,11,13,14,15) _ _ _ _ _ _ _ _ _ _ _ _ _ _ _ _ qs4= Q1Q2Q3Q4x5+ Q1Q2Q3Q4x5+ Q1Q2Q3Q4x3+ Q1Q2Q3Q4x11+ Q1Q2Q3Q4x9+ Q1Q2Q3Q4x9x10+ _ _ _ _ Q1Q2Q3Q4+ Q1Q2Q3Q4(1,2,4,7,8,9,10,12,14,15) _ _ _ _ _ _ _ _ _ _ _ _ _ qr4= Q1Q2Q3Q4+ Q1Q2Q3Q4x3+ Q1Q2Q3Q4x11+ Q1Q2Q3Q4x9x10(3,5,6,11,13) Схемаавтомата:
В Вашей схеме выходные сигналы зависят от входных, что не соответствует Вашему типу цифрового автомата Задание 2.2 Написать микропрограмму, соответствующую заданной ГСА, с учетом заданных множества микроопераций (Y), множества проверяемых условий (Х), ёмкости запоминающего устройства (ЗУ) и начального адреса размещения микропрограммы (МП) в ЗУ. В каждом адресе запоминающего устройства может храниться 16 бит информации. Обозначение ук соответствует микрооперации, обозначающей последнюю микрокоманду в микропрограмме. Если это допускает длина микрокоманды, использовать модификатор дисциплины перехода.
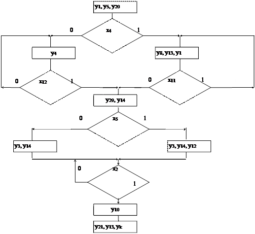
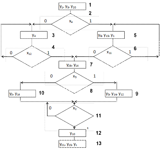
Решение: Исходная схема (рис. 4)
Микропрограмма должна реализовать алгоритм, заданный ГСА на рисунке:
Управления объект, характеризуется следующими параметрами: - множество проверяемых условий - X ={x1 ,x1 , .. x15 .}; - множество выполняемых микроопераций - Y ={y1 ,y2 , .. y120 , yк } (yк - микрооперация , означающая последнюю микрокоманду микропрограммы); - ёмкость памяти для записи микропрограмм - Vзу = 1кбайт = 2*29 байт; - длина ячейки памяти - L = 16 бит; - начальный адрес размещения составляемой микропрограммы в памяти - Ан =421; Исходя из характеристик управляемого объекта, следует: - длина поля для кодирования микроопераций равна к=7 - длина поля для кодирования условий равна р=4 - длина кода адреса равна р=9
Не указано, какое соответствие у Вас между дисциплинами перехода и значением модификатора М.
Задание 2.2 принято. |
||||||||||||||||||||||||||||||||||||||||||||||||||||||||||||||||||||||||||||||||||||||||||||||||||||||||||||||||||||||||||||||||||||||||||||||||||||||||||||||||||||||||||||||||||||||||||||||||||||||||||||||||||||||||||||||||||||||||||||||||||||||||||||||||||||||||||||||||||||||||||||||||||||||||||||||||||||||||||||||||||||||||||||||||||||||||||||||||||||||||||||||||||||||||||||||||||||||||||||||||||||||||||||||||||||||||||||||||||||||||||||||||||||||||||||||||||||||||||||||||||||||||||||||||||||||||||||





МКО
МКП