Реферат: Банковский менеджмент 5
|
Название: Банковский менеджмент 5 Раздел: Рефераты по банковскому делу Тип: реферат |
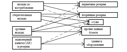
МИНИСТЕРСТВО ОБРАЗОВАНИЯ И НАУКИ РОССИЙСКОЙ ФЕДЕРАЦИИ ФЕДЕРАЛЬНОЕ АГЕНСТВО ПО ОБРАЗОВАНИЮ ГОУВПО РОССИЙСКИЙ ГОСУДАРСТВЕННЫЙ ТОРГОВО-ЭКОНОМИЧЕСКИЙ УНИВЕРСИТЕТ КОНТРЛЬНАЯ РАБОТА по дисциплине «Банковское дело» на тему 19: «Банковский менеджмент» Выполнил: Козлов Иван Владимирович 33 группа заочно-сокращенное Преподаватель: Ващекина И.В. Москва 2010 СОДЕРЖАНИЕ 1. Понятие, сущность и принципы банковского менеджмента.3 2. Финансовый менеджмент, его основные направления.8 3. Стратегическое и тактическое планирование, разработка политики коммерческого банка.11 4. Управление активами, пассивами, ликвидностью, доходностью, рисками.15 5. Управление персоналом банка.23 1. Понятие, сущность и принципы банковского менеджмента. Эффективность деятельности кредитных организаций во многом определяется состоянием банковского менеджмента. Банковский менеджмент - это система управления кредитной организацией, основанная на использовании современных эффективных форм, средств и методов управления банковской деятельностью в условиях рыночной экономики. Она представляет собой воздействие субъекта управления на объект управления для достижения поставленной цели. В сфере банковской деятельности в качестве субъекта управления выступают органы управления кредитными организациями. Объектами управления в кредитных организациях являются денежные ресурсы банка и их движение (финансовый менеджмент), организационные структуры банковской системы (отдельного банка) и персонал банка. Сфера функционирования банковского менеджмента охватывает построение процессов по рациональному управлению денежными потоками и использованию знаний и опыта банковского персонала как необходимое условие эффективного менеджмента в коммерческом банке. Поэтому процессы управления человеческим капиталом должны происходить в неразрывной связи с управлением собственным и заемным капиталом, обеспечивая его эффективное использование в интересах банка и его клиентов. Вышесказанное предопределяет структуру основных задач банковского менеджмента с учетом их содержания: I. Банковская политика: 1) Постановка главных задач, выделение основной цели существования банка; 2) Разработка комплексных программ и проектов, обеспечивающих достижение основных целей существования банка; 3) Разработка методологии управления деятельностью банка; 4) Разработка организационной структуры банка в соответствии с выбранной политикой развития банка; 5) Стратегия управления персоналом банка: а) в области организации работы персонала; 6) в области мотивации персонала; в) в области определения эффективности работы персонала; г) в области стимулирования инновационного потенциала персонала; д) в области продвижения персонала. II. Банковский маркетинг: 1) Установление существующих и потенциальных рынков банковских услуг; 2) Выбор конкретных рынков и выявление потребностей банковской клиентуры; 3) Установление долго- и краткосрочных целей для развития существующих и создания новых видов банковских услуг; 4) Внедрение новых видов услуг в практику и контроль банка за реализацией программ внедрения. III. Создание банковских продуктов 1) Разработка методов изменения состояния, свойств, формы денежных средств в процессе деятельности банка для удовлетворения потребностей существующих и потенциальных клиентов банка; 2) Внедрение новых банковских технологий обслуживания клиентов. IV. Формирование клиентской базы банка, обслуживание клиентов, продажа услуг 1) Укрепление позиций на освоенных сегментах рынка банковских услуг (кредитных, операционных, инвестиционных, трастовых) для привлеченных групп клиентов (хозяйствующие субъекты, государственные учреждения, 2) Завоевание новых рынков банковских услуг; 3) Повышение конкурентоспособности, расширение ресурсной базы банка, создание дополнительных доходоприносящих денежных потоков; 4) Получение прибыли. V. Экономика и финансы 1) Приращение капитала; 2) Управление прибылью и ликвидностью; 3) Максимизация управленческого вознаграждения; 4) Обеспечение стабильности развития банка; 5) Обоснование финансовых решений; б) Управление издержками банка. VI. Информационно-аналитическое обеспечение 1) Создание информационно-аналитической системы планирования и реализации финансовых операций. VII. Администрирование 1) Приведение организационной структуры банка, классификации и квалификации персонала в соответствие с выбранной стратегией развития банка. Особенности банковской деятельности дают основание рассматривать банковский менеджмент в качестве обособленной системы управления. Система банковского менеджмента, направленная на разработку управляющих воздействий, может быть представлена следующим образом: 1. Программирование деятельности банка - формирование целевой программы исходя из схемы: "банковский продукт - клиент". 2. Планирование деятельности банка - разработка количественных (критических) параметров, которые должны соответствовать программным целям кредитной организации. Критические параметры - размер собственного капитала, достаточность собственного капитала, допустимые параметры изменения во времени портфеля активных и пассивных операций, структура активных пассивных операций, мультиплицирующий эффект собственного капитала банка и т.д. - должны изменяться на интервале планирования деятельности. 3. Информационно-аналитическое обеспечение - его основой являются первичные документы, регистрирующие конкретную операцию или сделку с банковской клиентурой. Именно сделка, но не бухгалтерская проводка, является первичной информационной ячейкой. 4. Экономика и финансы - обоснование заданных нормативных ограничений на параметры деятельности банка и контроль за случайными факторами, которые могут привести к отклонению от заданной целевой программы, а также оценка степени выполнения программы банка. 5. Технологии - разработка функционально-технологической документации, которая отражает потребности внешней среды, а также корреспонденция разработанной функционально-технологической документации с действующим регламентом банковских операций и услуг. 6. Маркетинг - выявление потребностей внешней среды и мониторинг ее изменений. 7. Контрольно-административная деятельность, которая включает обслуживание процессов оперативного сопровождения управляющих воздействий. 8. Экспертиза и консультации - экспертиза, консультации и сопровождение направлений, связанных с управляющими воздействиями внешней среды. 9. Обеспечение - материально -техническое и кадровое обеспечение. 10. Паблик рилейшнс - информационно-исследовательское обеспечение, реклама и продвижение схемы" банковский продукт-клиент" на рынок. Таким образом, система банковского менеджмента, направленная на разработку управляющих воздействий, охватывает основные параметры банковской деятельности, не затрагивая изменений основополагающих банковских операций и услуг в процессе ее реализации. К общим принципам современного менеджмента относятся, в частности, принцип оптимального сочетания централизации и децентрализации в управлении, принцип сочетания прав, обязанностей и ответственности, принцип демократизации управления. Наряду с общими в каждой сфере могут действовать принципы, выражающие специфические требования к управлению в данной сфере деятельности, отражающие ее особенности. Исходя из особенностей банковской системы, основные принципы банковского менеджмента можно сформулировать следующим образом: · разграничение функций между двумя уровнями банковской системы - Центральным банком и коммерческим банком; · сочетание экономических интересов коммерческого банка с требованиями государственной денежно-кредитной политики; · поднадзорность коммерческого банка Центральному банку; · минимизация банковских рисков. Банковский менеджмент осуществляется на правовой основе, которую составляют банковское, гражданское, залоговое, налоговое, трудовое законодательство, другие федеральные законы РФ, указы Президента РФ, нормативные акты, издаваемые директивными органами, ЦБ РФ и др. Взаимоотношения банков с вкладчиками, банками-корреспондентами и иными контрагентами строятся на основе договоров, определяющих права, обязанности и ответственность сторон, т.е. на правовой основе. Посредством функции планирования определяются цели и задачи кредитной организации на долгосрочный и текущий период, сроки и средства, необходимые для их выполнения. Базой планирования служат результаты маркетинговых исследований. Важную роль маркетинг играет в определении цен банковских услуг, их сбыте посредством рекламы, организации связи с общественностью, в формировании и поддержании имиджа банка. Мотивация (стимулирование), как функция управления, проявляется в создании наиболее благоприятных условий, побуждающих персонал банка и каждого работника к эффективному труду. Учет и контроль, как функция управления, используется руководством кредитной организации в целях обеспечения сохранности и размещения денежных и материальных ресурсов, соблюдения законности в их образовании и использовании. Учет и контроль служат также информационной базой для подготовки и принятия управленческих решений. Цель банковского менеджмента - организационное обеспечение получения прибыли от предпринимательской деятельности банка. Банковский менеджмент в современной России находится в стадии становления и развития. Основными направлениями этого процесса по мнению специалистов следует считать: · совершенствование банковского менеджмента; · развитие стратегического направления; · развитие банковского маркетинга; · развитие аналитической работы по оценке платежеспособности, кредитоспособности, финансовой устойчивости клиентов; · хеджирование банковских рисков. Актуальными вопросами развития банковского менеджмента являются также дальнейшая автоматизация банковских процессов, повышение доходности банков, рост профессионального уровня персонала банка и др. 2. Финансовый менеджмент, его основные направления. Одной из составных частей банковского менеджмента является финансовый менеджмент банка. Финансовый менеджмент - это вид профессиональной деятельности по формированию управляющих воздействий на организационно-хозяйственную систему и принятию рациональных решений в условиях неопределенности и многокритериальности выбора в целях реализации стратегии и тактики финансового обеспечения коммерческой деятельности, позволяющих управлять денежными потоками и находить оптимальные финансовые решения, - выступает в качестве звена, связывающего экономические интересы клиента банка, банковского и клиентского менеджмента. Содержанием финансового менеджмента банка является разработка и реализация экономической политики кредитной организации, управление ее капиталом, активами и пассивами, ликвидностью, доходностью, банковскими рисками, направленными на выполнении функций банка и достижение им цели своей деятельности - извлечение прибыли. Посредством финансового менеджмента руководство коммерческого банка решает следующие задачи: · формирование собственных и привлеченных (заемных) денежных ресурсов, необходимых для осуществления · рациональное размещение денежных ресурсов в целях получения прибыли; · максимизация доходов и минимизация расходов, связанных с деятельностью банка; · регулирование проходящих через банк (включая его филиалы и отделения) денежных потоков; · соблюдение обязательных экономических нормативов, устанавливаемых коммерческим банкам Центральным банком РФ; · минимизация банковских рисков; · обеспечение ликвидности банка; · другие задачи по оптимизации экономических результатов деятельности банка. Основными инструментами финансового менеджмента, как подсистемы управления коммерческой деятельностью банка, являются планирование, мониторинг, экономический анализ, прогнозирование, учет и контроль. Финансовый менеджмент в коммерческом банке чаще всего рассматривают с позиции "банк - клиент". В этом случае финансовый менеджмент клиента с позиции банка определяют как: - изучение особенностей деятельности клиента - рынок, его сегмент, связи с поставщиками и покупателями; - оборачиваемость средств, изменение сумм свободных остатков на счетах, колебания объемов дебиторской и кредиторской задолженностей, возможностей высвобождения денежных средств для инвестирования; - изучение качества менеджмента и степени готовности предприятия принимать и использовать предлагаемые банковские продукты; - оценка потребностей клиента в инвестициях и изучение конкретных проектов хозяйственной деятельности клиента с позиции возможного участия банка в их финансировании; - оптимизация финансовых потоков клиента как метод управления сбалансированной ликвидностью банка и диверсификацией вложений банка путем использования различных финансовых инструментов рынка и собственных банковских финансовых технологий, отвечающих потребностям банка и клиента. С помощью этих и других инструментов руководство банка, как субъект управления, формирует и реализует экономическую политику в области банковской деятельности, обеспечивает соблюдение обязательных экономических нормативов и других требований, устанавливаемых Центральным банком РФ, принимает меры по поддержанию и повышению конкурентоспособности банка. В связи с этим предметом деятельности финансового менеджмента банка являются разработка и использование систем и методик рационального планирования и реализации финансовых операций. Становление и развитие банковского менеджмента в современной России происходит в условиях экономического кризиса, что негативно сказывается на всей российской банковской системе. Многие банки не обладают значительным собственным капиталом, что ограничивает возможности их активного участия на финансовом рынке. Непосредственные причины финансовых затруднений многих коммерческих банков - отсутствие стратегического планирования, неумение грамотно сформировать кредитный портфель, управлять рисками. Недооценка важности планирования, в том числе долгосрочного, в России обусловлена ломкой прежней административно-командной системы управления экономикой, в том числе банками. Чтобы выжить и удержать позиции в конкурентной борьбе, банки должны заниматься долгосрочным планированием. Правильность такого подхода сознают руководители крупнейших коммерческих банков. В рамках стратегического плана могут предусматриваться меры по увеличению капитала, освоению новых банковских продуктов и технологий, осуществлению кредитной, процентной, инвестиционной политики, по повышению квалификации кадров, ожидаемые финансовые результаты и др. Для претворения в жизнь стратегического плана развития кредитная организация посредством банковского менеджмента решает следующие задачи: - наиболее полное и качественное удовлетворение потребностей рынка в банковских услугах; - соблюдение обязательств банка перед клиентами, вкладчиками, партнерами и другими контрагентами; - привлечение и рациональное размещение денежных ресурсов; - обеспечение ликвидности баланса банка; - внедрение прогрессивных банковских технологий; - совершенствование организационной структуры кредитной организации; - обеспечение конкурентоспособности и имиджа банка; - обеспечение экономической безопасности банка; - подготовка , переподготовка и повышение квалификации кадров; - удовлетворение социальных потребностей работников банка. 3. Стратегическое и тактическое планирование, разработка политики коммерческого банка. Планирование - одна из важнейших функций менеджмента. Оно дает начало управленческому процессу, устанавливает цель, перспективу, необходимые пропорции. Функция организации позволяет реализовать планы путем установления определенной последовательности выполнения операций, выбора методов и средств. Особую значимость банковское планирование приобретает в условиях усиливающейся банковской конкуренции и при стремлении банков повысить эффективность своих операций. Не только план как формальный документ, но и сам процесс планирования побуждает руководство заглянуть в будущее, распознать проблемы и найти способы их решения. В связи с тем, что планирование является многоуровневой деятельностью, различают следующие виды планирования: 1) стратегическое планирование; 2) тактическое планирование; 3) финансовое планирование. Стратегическое планирование - это деятельность верхнего уровня. Она отражается в идеях, концепциях, задачах, подходах. Стратегическое планирование формулирует широкие идеи и цели, развивает стратегии (определяет пути и средства достижения целей). Благодаря стратегическому планированию определяется перспектива развития учреждения, разрабатывается концептуальная основа для принятия кардинальных решений в части будущих рынков, продукции, структуры, прибыльности и профиля риска банка. Но стратегический план не отличается подробностью. В нем даются ответы на вопросы: "кто? ", "что? " и "как? " (Кто будут наши клиенты? Что за продукцию и услуги банк будет им предлагать? Как банк удовлетворит потребности рынка?). Роль стратегического планирования неоднозначна в разной среде. Если условия мало меняются, то роль его незначительна. Достаточно внести небольшие коррективы, и прежний успех в банковской деятельности обеспечен. Роль стратегического планирования возрастает в следующих ситуациях: - если среда быстро меняется, особенно после длительного периода стабильности; - если банки должны изменить конкурентную позицию и финансовый профиль, пытаясь диверсифицировать операции по традиционному бизнесу и внедрить операции по новому бизнесу; - если банк реконструировался и намерен изменить характер своих рынков, операций и управления. Тактическое планирование ориентируется на конкретные мероприятия, представляет собой второй уровень планирования. Оно реализуется в форме конкретного плана действий (мероприятий) для достижения конкретной цели и является поддержкой стратегического плана. На третьем уровне планирования осуществляется финансовое планирование и разработка бюджетов, где определяются финансовые показатели для конкретизации целей, стратегий и заданий плана. Эти показатели служат надежным средством контроля за показателями деятельности банка в предстоящем году. Процесс составления бюджета является неотъемлемой частью процесса управления риском, потому что он определяет целый ряд оперативных параметров и границ (стандартов) для всех подразделений, на основании которого может осуществляться ежедневный мониторинг. Отклонение от норматива, определенного в бюджете, сигнализирует о том, что риск банка может отклониться от приемлемого в бюджетном году уровня. Бюджет разрабатывается сверху вниз или снизу вверх. В первом случае финансовые задачи и оперативные задания для подразделений разрабатывает руководство банка, а подразделения в соответствии с этими заданиями определяют свои бюджеты и направляют руководству. При втором подходе руководство разрабатывает только общие направления, в рамках которых подразделения составляют свои планы на предстоящий период и представляют для просмотра и обсуждения руководству. Обсуждение ведется вместе с линейными руководителями подразделений, и после этого бюджет принимает конкретную форму. Первый подход бывает эффективным в таких ситуациях, когда учреждение должно очень быстро реагировать на изменения внешней среды или банку нужно пересмотреть свои действия при сохранении прибыльности операций. При планировании сверху вниз обеспечивается большая привлеченность персонала банка к разработке конечных целей деятельности. Но при таком планировании необходим справедливый подход руководства к нуждам всех подразделений. В противном случае будет нарушено нормальное сотрудничество линейных руководителей подразделений и руководства банка в целом. Поскольку показатели бюджета являются инструментом управления, необходим мониторинг бюджета. Для наблюдения за бюджетом составляются ежемесячные или ежеквартальные отчеты, на основе которых выявляются и анализируются причины расхождений, намечаются корректирующие меры. Процесс составления стратегических и оперативных планов может идти параллельно. В ряде случаев стратегическое планирование опережает оперативное. Стратегические (долгосрочные) планы разрабатываются независимо от ежегодного оперативного планирования. Исследование стратегии банка часто является ответом на необходимость важных перемен в банке, на изменение в перспективе внешней среды, реакцией на изменение текущей и перспективной ориентации банка. Процесс стратегического планирования, по мнению многих банков, должен быть постоянным. Он не ограничивается составлением пяти- и десятилетних планов. Эти планы должны постоянно обновляться в связи с неустойчивостью рынка, постоянными изменениями на финансовых рынках. Следовательно, процесс стратегического планирования является неизбежным компонентом постоянной управленческой практики банка. На уровне банка в целом планирование начинается с определения сверхзадачи (миссии) и постановки конкретных задач в увязке с имеющимися возможностями и ресурсами. На уровне структурных подразделений цели, задачи, стратегии, рыночные приоритеты сравниваются с корпоративной стратегией с тем, чтобы в рамках общих оперативных планов банка увязать общебанковские интересы и интересы подразделений. 4. Управление активами, пассивами, ликвидностью, доходностью, рисками. Управление капиталом предполагает: • обоснование его достаточности в соответствии с объемом, структурой и содержанием активных операций банка. Так, чем больше доля рисковых активов, тем сравнительно большего размера требуются собственные средства. В любом случае банки с высокой долей капитала считаются более надежными и конкурентоспособными; • выбор оптимального для данного момента способа наращивания капитала. • учет стоимости и рисков привлечения средств клиентов и других кредитных организаций (в финансовом менеджменте рассматривается как самостоятельное направление - “управление пассивами”). Управление активами и пассивами предполагает использование таких методов формирования ресурсов и их размещения по активным операциям, которые обеспечат оптимальное для банка соотношение ликвидности, доходности и риска. При организации депозитных операций следует: • разнообразить депозиты по срокам, размерам и формам, обязательно выделяя депозиты до востребования, срочные и вклады населения; • особое внимание уделять срочным депозитам, которые в наибольшей степени поддерживают ликвидность баланса банка; • постоянно отслеживать остатки средств на расчетных (текущих) счетах и обороты по ним, при наличии на отдельных счетах постоянного остатка средств рекомендовать владельцам переводить их на счетасрочных депозитов (возможно на условиях компенсационного депозитапод кредит); • свести к минимуму свободные ресурсы средств на депозитных счетах (т.е. не использованных в активных операциях); • проводить процентную политику, обеспечивающую привлечение клиентов - вкладчиков и процентную маржу (разницу между взимаемыми и выплачиваемыми процентами) не ниже, чем в сопоставимых банках. Управление активами предполагает: 1. Диверсификацию активных операций по степени их ликвидности. Выделяют: • высоколиквидные активы - первичные резервы (кассовые активы, средства на корреспондентских счетах в других банках); • вторичные резервы - государственные ценные бумаги, ссуды и др. платежи в пользу банка со сроком погашения в течение 30 дней; • остальные ссуды; • ценные бумаги негосударственных эмитентов; • основные средства (здания и оборудование) - неликвидные активы. 2. Отслеживание рисков и их снижение, создание резервов на возможные потери по ссудам и ценным бумагам. 3. Поддержание доходности активов. Основные методы управления активами: Управление активами по методу общего фонда средств:
Все ресурсы банка (собственные и привлеченные) образуют общий фонд средств, который размещается по активам на основе текущих приоритетов либо с позиций обеспечения текущей ликвидности, либо обеспечения спекулятивной прибыли. Метод считается рискованным. Им в отдельные периоды могут пользоваться только банки с высокой финансовой устойчивостью. Метод распределения активов или консервации средств имеет широкое распространение в банковской практике. Он базируется на скорости обращения различных видов привлечения ресурсов. Управление осуществляется одновременно пассивами и активами путем их координации по срокам и размерам. Метод приводит к созданию внутри банка относительно обособленных “центров ликвидности-прибыльности”.
При ориентации банка на более полное удовлетворение потребностей клиентов оба метода имеют недостатки. Спрос на кредиты и предложение ресурсов могут не совпадать. Ориентируясь на средний уровень ликвидности, банки меньше думают о клиентах. Метод научного управления активами или экономико-математический ориентируется на максимизацию прибыли при соблюдении нормативов ликвидности и диверсификации рисков. Этот метод считается наиболее эффективным. В основе научного управления активами и пассивами лежат, так называемые, «золотые банковские правила». Показателем эффективности управления активами и пассивами любым из методов или их сочетанием является уровень доходности по активным операциям банка. «Золотые банковские правила» : • Краткосрочные пассивы размещаются в краткосрочные активы. Долгосрочные пассивы размещаются в долгосрочные активы. • Сумма краткосрочных и среднесрочных средств по активу не должна превышать сумму краткосрочных и среднесрочных обязательств по пассиву. • Сумма долгосрочных средств по активу может превышать сумму долгосрочных обязательств банка и его собственного капитала. Срок размещения не должен превышать срок привлечения. • Структура активов: чем ниже доля высокорисковых активов в балансе банка, тем выше его ликвидность. • Структура пассивов: чем ниже доля вкладов до востребования и больше доля срочных вкладов, тем выше ликвидность. Управление доходностью банка предполагает извлечение по активным операциям дохода, достаточного для покрытия: • издержек по привлечению средств; • операционных издержек; • издержек инфляции; • рисков по доходным операциям (премия за риск); Следует различать понятия, образующие систему финансовых результатов деятельности банка: • доходы банка; • расходы банка; • прибыль банка; • доходность банка или отдельных операций; • прибыльность (рентабельность) банка.
Для расчета прибыли выделяют процентные и непроцентные доходы и расходы. Прибыль банка характеризует конечный финансовый результат, отражается по пассивному сч. №703. Балансовая прибыль представляет собой разницу между доходами (сч. №701) и расходами (сч. №702). Убытки (превышение расходов над доходами) отражаются на сч. №704 (А). Банки уплачивают следующие налоги: • Налог на прибыль и налог на операции с ценными бумагами (отражаются на сч. №70501 - “Использование прибыли отчетного года”); • Налог на добавленную стоимость, налог на имущество, налоги в дорожные фонды, местные налоги и плата за землю (отражаются по дебету сч. №70209 - “Другие расходы”). Доходность (рентабельность) деятельности банка отражается системой показателей (коэффициентов). К основным показателям относятся:
Грамотное управление доходностью банка отражает интересы многих экономических субъектов: • Банк → прибыль • Государство → налоги и устойчивость денежно-кредитной системы • Клиенты → проценты по вкладам • Акционеры → размер дивидендов. Управление банковскими рисками включает: • классификацию рисков по их видам; • выявление взаимозависимостей между различными группами рисков; • определение целей и принципов управления рисками; • выделение этапов управления рисками; • выбор способов снижения рисков. Риск - вероятность возникновения убытков или недополучения доходов по сравнению с прогнозируемым вариантом (вариабельность дохода). Классификация рисков - многовариантна, строится в зависимости от выбранных критериев.
Наиболее важную роль в деятельности кредитных организаций играют следующие риски: • кредитный; • портфельный (ценные бумаги); • риск ликвидности; • риск изменения процентных ставок; • валютный (риск изменения стоимости активов и пассивов в национальной валюте при изменении валютного курса). Цели управления рисками: • избежать риска; • удержать риск за инвестором; • перевести риск на третье лицо. Принципы управления рисками: • нельзя рисковать больше, чем может позволить собственный капитал; • тщательно просчитывать последствия риска; • нельзя рисковать многим ради малого. Этапы управления риском: • определение сферы риска; • количественная оценка риска; • разработка программы мероприятий по снижению рисков; • мониторинг (отслеживание) рисков. Основные способы снижения риска: • диверсификация (размещение в кредитном или инвестиционном портфеле различных по уровню доходности и степени риска активов); • лимитирование - установление лимита (предельных сумм кредитования, расходов и т.п.); • самострахование - создание резервных и страховых фондов за счет кредитной организации; • страхование - перенесение части риска на страховую компанию, которая возмещает полностью или частично ущерб кредитору при возникновении страхового случая; • хеджирование; • оценка кредитоспособности заемщика как способ снижения кредитного риска.
5. Управление персоналом банка. Особенности банковского персонала обусловлены прежде всего спецификой банковского дела, что требует наличия у банковских работников определенных профессиональных знаний и навыков, необходимых для осуществления различных видов банковской деятельности. В соответствии с выполняемыми функциями и операция персонал банка может включать кассиров, дилеров, операционистов, экономистов, бухгалтеров и т.д. В зависимости от сферы деятельности все специалисты сгруппированы в соответствующе отделы, управления, департаменты. По характеру выполняемых обязанностей персонал банка можно разделить на руководителей и подчиненных, т.е. на тех, кто управляет технологическим процессом, и тех, кто его непосредственно осуществляет, на тех. кто принимает решения и тех, кто их исполняет. К руководящему составу предъявляются дополнительные требования, связанные с необходимостью наличия определенных организаторских способностей, навыков управления людьми, умения видеть перспективы развития и принимать решения. Современный менеджмент рассматривает персонал не только как трудовые ресурсы, являющиеся необходимым элементом производственного процесса, но все больше как единый социальный организм. который состоит из отдельных личностей, реализующих свой творческий потенциал в процессе совместной деятельности. Поэтому важным условием успешном работы банка является формирование коллектива. Задачам и кадровой службы являются, во-первых, решение оперативных вопросов по управлению персоналом (комплектование кадрового состава банка, организация обучения, разрешение трудовых споров и конфликтов, поддержание благоприятного психологического климата в коллективе и др.), во-вторых, разработка долгосрочных программ развития персонала в соответствии со стратегическим планами развития банка в целом, выработка стратегической кадровой политики. Основными направлениями деятельности службы по управлению персоналом банка являются: планирование перспективных и текущих потребностей в персонале, подбор и комплектование кадров, формирование резерва на выдвижение, оценка персонала, разработка системы мотивации персонала, управление развитием персонала. Управление персоналом включает: • планирование потребности в квалифицированных сотрудниках; • составление штатного расписания и подготовка должностных инструкций; • подбор персонала и формирование коллектива сотрудников; • анализ качества работы и контроль; • разработка программ профессиональной подготовки и повышения квалификации; • аттестация сотрудников: критерии, методики, оценки; • мотивация: заработная плата, премии, льготы, продвижения по службе. Цели развития персонала: • повышение квалификации; • повышение эффективности труда; • снижение текучести кадров; • подготовка необходимых руководящих кадров; • воспитание молодых способных сотрудников; • достижение большей независимости рынка труда; • адаптация к новым технологиям; • рост социальных качеств сотрудников и их удовлетворенности трудом. Этапы развития персонала: • повышение квалификации; • планирование карьеры; • структурирование труда (включает как расширение направлений деятельности, так и углубление профессиональных знаний в целом). Методы управления персоналом подразделяются на: · административные, или организационно-распорядительные, зависящие от иерархической структуры банка; это отношения власти-подчинения; · экономические, составляющими которых являются кадровое планирование, система оплаты труда и материального поощрения; · социально-психологические, к которым относятся моральное стимулирование труда, система взаимоотношений в коллективе, социально-психологический климат, способы социальной зашиты работников банка и т.п. Если организационно-административные методы управления реализуются посредством прямого воздействия руководства банка на кадры, то экономические и социально-психологические — путем косвенного влияния на интересы людей. Они базируются на общих правилах поведения и мотивации сотрудников банка (служебный рост, система заработной платы и премирования, участие в прибыли банка, правовая и социальная защита банковских служащих и другие моральные и материальные стимулы). В настоящее время приоритетное значение имеют экономические и социально-психологические методы воздействия на коллектив и отдельную личность. Для побуждения работников к эффективному труду руководство банка должно использовать основные методы мотивации труда. Мотивация — процесс побуждения личности и коллектива в целом к деятельности для достижения личных целей и целей организации. В основу мотивации положены потребности и вознаграждения. Мотивация труда непосредственно связана с удовлетворением от своей деятельности. Моральное удовлетворение должна давать сама работа: чувство достижения поставленной цели, нормальные условия труда, здоровый социально-психологический климат в коллективе, правовая защищенность и т.д. Материальное удовлетворение потребностей банковского персонала обеспечивается организацией: система заработной платы и премирования, служебный рост, статус и престиж. Материальное вознаграждение труда служит основой социального развития банка. Заработная плата является главным инструментом вознаграждения. Предельную сумму средств на все виды оплаты труда определяет высший орган управления банка — общее собрание акционеров (пайщиков). Обычно эта величина устанавливается в процентном отношении от доходов банка. Так как поступление доходов происходит неравномерно в течение гола, то правление коммерческого банка ежемесячно определяет сумму средств, направляемую на оплату труда, и зависимости от финансовых результатов истекшего месяца и с учетом прогноза на текущий месяц. Заработная плата в коммерческом банке дифференцируется в зависимости от квалификации и должности работника и определяется штатным расписанием. К основной заработной плате могут быть установлены различные надбавки за выслугу лет, персональные, за ученую степень, знание иностранного языка и др. Сумма должностных окладов работников по штатному расписанию представляет собой постоянную часть фонда оплаты труда. Вторая часть фонда оплаты труда — переменная — находится в прямой зависимости от финансовых результатов работы банка либо его подразделения. Так, для кредитного отдела банка такими показателями являются: выполнение месячного плана доходов от кредитных операций, снижение доли просроченных ссуд в обшей сумме задолженности, результаты работы по возврату проблемных кредитов и др. При невыполнении хотя бы одного из этих показателей фонд оплаты труда данного подразделения уменьшается. Руководство банка может использовать и дополнительные инструменты материального стимулирования, такие как премии. Другие формы материального стимулирования труда: · возможность получения кредита с применением льготных процентных ставок; · выплата единовременных пособий на оплату лечения и отпуска; · участие в прибыли банка; · страхование жизни; · качественное медицинское обслуживание. 1. Банковское дело. Учебник для ВУЗов / Коробова Г.Г., ред.- М.: Экономистъ, 2005. 2. Банковское дело. Учебник для ВУЗов / Жуков Е.Ф., Эриашвили Н.Д., ред. - М.: ЮНИТИ, 2006. 3. Банковское дело. Учебник для ВУЗов / Белоглазова Г.Н., Кроливецкая Л.П., ред. - 5-е изд.- М.: Финансы и статистика, 2006. 4. Банковское дело. Учебник для ВУЗов/ Лаврушин О.И., ред. - 4-е изд. - М.: КноРус, 2006. 5. Банковские операции: учебник / М.Р. Каджаева. - М.: ИЦ «Академия», 2006. 6. Банковское дело: учебник / Е.П. Жарковская - 4-е изд., испр. и доп. - М.: Омега - Л, 2006. |



