Реферат: Управленческое решение как результат конкретной деятельности менеджера гостиницы
|
Название: Управленческое решение как результат конкретной деятельности менеджера гостиницы Раздел: Рефераты по менеджменту Тип: реферат | ||||||
Введение В течение своей жизни человек постоянно принимает различные решения, последствия которых могут сказаться как на будущем самого человека, так и на будущем других людей. Если решение принимает руководитель организации, то последствия этого решения неизбежно сказываются на других людях. Поэтому руководитель всегда несет моральную, а довольно часто и материальную ответственность за результаты принимаемых решений. Управленческое решение представляется как социальный акт, направленный на разрешение проблемной ситуации. Принятие решений — один из основных и наиболее ответственных видов деятельности менеджера, поскольку от правильности и своевременности управленческих решений зависит эффективность управления, а следовательно, и эффективность работы гостиницы. Необходимость принятия решений возникает на всех этапах процесса управления и связана с различными аспектами управленческого труда. И хотя каждый из нас в течение дня принимает десятки решений, принятие управленческих решений существенно отличается от решений, принимаемых в повседневной частной жизни. Для менеджера принятие решений — постоянная и ответственная работа. Необходимость принятия решений сопровождает все, что делает руководитель гостиницы любого уровня. Поскольку принятые решения касаются не только менеджера, но и других людей и во многих случаях — всей гостиницы, понимание природы и сути этого процесса чрезвычайно важно для каждого, кто хочет добиться успеха в области управления. I .Принятие решений как творческий процесс Одним из показателей успешной деятельности менеджера является его способность принимать правильные решения. Так как менеджеры выполняют четыре функции управления, они реально имеют дело с постоянным потоком решений по каждой из них, то есть планированию, организации, мотивации и контролю. Выработка и принятие решений — это творческий процесс в деятельности руководителей. Он включает в себя стадии: 1) выработку и постановку цели; 2) изучение проблемы; 3) выбор и обоснование критериев эффективности и возможных последствий принимаемых решений; 4) рассмотрение вариантов решений; 5) выбор и окончательное формулирование решения; 6) принятие решения; 7) доведение решений до исполнителей; 8) контроль за выполнением решений. В итоге управленческое решение представляется как результат управленческой деятельности. Управленческое решение рассматривают как основной вид управленческого труда, совокупность взаимосвязанных, целенаправленных и логически последовательных управленческих действий, обеспечивающих реализацию управленческих задач. 1.Методы принятия решенийВсе методы принятия управленческих решений можно разделить на : • неформальные (эвристические), • коллективные, • количественные. Неформальные (эвристические) методы принятия решений. Это совокупность приемов и методики выбора оптимальных решений руководителем, теоретическое сравнение альтернатив с учетом накопленного опыта. Неформальные методы базируются в основном на интуиции менеджера. Их преимущество в том, что они принимаются оперативно; недостатком же является то, что интуиция может иногда подвести менеджера. Коллективные методы обсуждения и принятия решений. Основным моментом в процессе коллективной работы над реализацией управленческих решений является определение круга лиц — участников данной процедуры. Чаще всего это временный коллектив, в состав которого включаются и руководители, и исполнители. Главными критериями формирования такой группы являются компетентность, способность решать творческие задачи, конструктивность мышления и коммуникабельность. Коллективные формы групповой работы могут быть разными: заседание, совещание, работа в комиссии и т.п. Наиболее распространен такой метод коллективной подготовки управленческих решений, как "мозговой штурм", или "мозговая атака" (совместное генерирование новых идей и последующее принятие решений). Если предстоит решить сложную проблему, собирается группа людей, которые предлагают любые решения определенной проблемы. Основное условие "мозгового штурма" — создание обстановки, максимально благоприятной для свободного генерирования идей. Чтобы этого добиться, запрещается опровергать или критиковать идею, какой бы на первый взгляд фантастической она ни была. Все идеи записываются, а затем анализируются специалистами. Примером коллективного принятия решений может служить метод Дельфы, получивший название от греческого города, прославившегося жившими там мудрецами — предсказателями будущего. Метод Дельфы — многотуровая процедура анкетирования. После каждого тура данные анкетирования дорабатываются и полученные результаты сообщаются экспертам с указанием расположения оценок. Первый тур анкетирования проводится без аргументации, во втором отличающийся от других ответ подлежит аргументации или же эксперт может изменить оценку. После стабилизации оценок опрос прекращается и принимается предложенное экспертами или скорректированное решение. Существует еще японская (кольцевая) система принятия решений — "кингисё", суть которой состоит в том, что на рассмотрение готовится проект новшества. Он передается для обсуждения лицам по списку, составленному руководителем. Каждый должен рассмотреть предлагаемое решение и дать свои замечания в письменном виде. После этого проводится совещание. Как правило, приглашаются те специалисты, чье мнение руководителю не совсем ясно. Эксперты выбирают свое решение в соответствии с индивидуальными предпочтениями. И если они не совпадают, то определяют вектор предпочтений с помощью одного из следующих принципов: а) большинства голосов — выбирается решение, имеющее наибольшее число сторонников; б) диктатора — за основу берется мнение одного лица. Этот принцип характерен для военных организаций, а также для принятия решений в чрезвычайных обстоятельствах; в) принцип Курно используется в том случае, когда коалиций нет, то есть предлагается число решений, равное числу экспертов. В этом случае необходимо найти такое решение, которое отвечало бы требованию индивидуальной рациональности без ущемления интересов каждого в отдельности; г) принцип Парето используется при принятии решений, когда все эксперты образуют единое целое, одну коалицию. В этом случае оптимальным будет такое решение, которое невыгодно менять сразу всем членам группы, поскольку оно объединяет их в достижении общей цели; д) принцип Эджворта используется в том случае, если группа состоит из нескольких коалиций, каждой из которых невыгодно отменять свое решение. Зная предпочтения коалиций, можно принять оптимальное решение, не нанося ущерба друг другу. Количественные методы принятия решений . В основе лежит научно-практический подход, предполагающий выбор оптимальных решений путем обработки (с помощью компьютера) больших массивов информации. В зависимости от типа математических функций, положенных в основу моделей, различают: а) линейное моделирование, при котором используются линейные зависимости; б) динамическое программирование, позволяющее вводить дополнительные переменные в процесс решения задач; в) вероятностные и статистические модели, реализуемые в методах теории массового обслуживания; г) теория игр — моделирование таких ситуаций, принятие решения в которых должно учитывать несовпадение интересов различных подразделений; д) имитационные модели позволяют экспериментально проверить реализацию решений, изменить исходные предпосылки, уточнить требования к ним. 2.Решение как мыслительный процессРассматривая решения как мыслительный процесс можно выделить: - интуитивные решения; - решения, основанные на суждениях; - рациональные решения. Интуитивные решения - это выбор, сделанный только на ощущении того, что он правилен. В этом случае лицо, принимающее решение не взвешивает сознательно все “за” и “против”, а зачастую даже не пытается сознательно анализировать ситуацию. И 80% менеджеров высшего звена утверждают, что при решении серьезных проблем полагаются в основном на неформализованную информацию и интуицию. Но при этом следует учитывать, что верные интуитивные решения зачастую принимаются менеджерами, имеющими богатый опыт практической работы, т.е. базой интуиции являются неосознанно накопленные и обработанные большие объемы информации. Рациональные решения обосновывается с помощью объективного аналитического процесса и объективных, в той или иной степени формализованных, методов. При этом важно отметить, что чем сложнее и масштабнее принимаемое решение, и чем для большего числа людей важны его последствия, тем важнее становятся его научная обоснованность и тем менее допустимы при его принятии чисто волевые моменты. Решения, основанные на суждениях, представляют собой осознанный выбор, подкрепленный знаниями и опытом. В этом случае человек сознательно сопоставляет настоящую ситуацию с аналогичными ситуациями в прошлом, пытается спрогнозировать последствия принимаемого решения и зачастую выбирает ту альтернативу, которая принесла успех в прошлом, или схожую с ней.В управленческой деятельности такие решения имеют большое значение, поскольку руководителю часто приходится сталкиваться с похожими друг на друга ситуациями. Именно по этой причине при приеме на работу большое внимание уделяется предшествующему опыту кандидатов. Решения, основанные на суждениях, имеют два безусловных достоинства: 1) для их принятия необходима только голова руководителя и, соответственно, они являются дешевыми, не требующими больших временных затрат; 2) руководитель оказывается в состоянии, в отличии от интуитивного решения, объяснить почему он принимает именно данное решение, т.е. здесь еще присутствует момент обучения персонала. 3.Индивидуальные стили принятия решений В решениях всегда отражается личность того, кто их принимает. С этой стороны интересен личностный профиль управленческого решения, то есть та совокупность индивидуальных особенностей руководителя, которую несут с собой его решения к исполнителям. В науке выделены следующие разновидности личностных профилей решений. Решения уравновешенного типа свойственны людям, которые приступают к проблеме с уже сформулированной исходной идеей, возникшей в результате предварительного анализа условий и требований задачи. Уравновешенность проявляется в том, что выдвижение гипотез и их проверка одинаково привлекают внимание человека. Подобная тактика принятия решений наиболее продуктивна. Импульсивные решения характерны для людей, у которых процесс построения гипотез резко преобладает над действиями по их проверке и уточнению. Такой человек относительно легко генерирует идеи, но мало заботится об их оценке. Это приводит к тому, что процесс принятия решений проходит скачкообразно, минуя этап обоснования и проверки. В практической работе импульсивность решений может привести к тому, что руководитель будет стремиться внедрить в жизнь решения, которые недостаточно осмыслены и обоснованы. Инертные решения — результат очень неуверенного и осторожного поиска. После появления исходной гипотезы ее уточнение идет крайне медленно. Оценки сверхкритичны, каждый свой шаг человек проверяет неоднократно. Это ведет к растягиванию процесса принятия решений во времени. Рискованные решения напоминают импульсивные, но отличаются от них некоторыми особенностями индивидуальной тактики. Если импульсивные решения перескакивают через этап обоснования гипотезы, то рискованные все же его не обходят, но к оценке человек приходит лишь после того, как обнаружена какая-то несообразность. В итоге, хотя и с опозданием, элементы построения гипотез и их проверки уравновешиваются. Решения осторожного типа характеризуются особой тщательностью оценки гипотез, критичностью. Человек, прежде чем прийти к какому-либо выводу, совершает множество разнообразных подготовительных действий. Решениям осторожного типа присуща упреждающая оценка. Осторожные люди более чувствительны к отрицательным последствиям своих действий, чем к положительным. Их больше пугают ошибки, чем радуют успехи. Поэтому тактическая линия осторожных — избежать ошибок. Для импульсивных, например, характерна противоположная тактическая линия: они ориентируются на успех и менее чувствительны к неудачам. II . Процесс подготовки , принятия и реализации решения. Жизненный цикл решения имеет следующие этапы: 1- подготовка решения, 2 - формирование решения, 3 - реализация решения: Этап подготовки решения включает в себя следующие процедуры: 1) выявление сущности проблемы; 2) формулирование критериев принятия решения; 3) определение перечня альтернатив. При выявлении сущности проблемы необходимо: - определить объективность существования проблемы; - установить степень новизны проблемы, что позволяет определить возможность использования предшествующего опыта; - выяснить причины возникновения проблемы, для чего проводится анализ внешней и внутренней (по отношению к организации) информации; - выявить взаимосвязь данной проблемы с другими проблемами для установления причинно-следственных связей между проблемами, поскольку в предпринимательской деятельности практически не бывает локальных проблем Принятие решений - многостадийный организационный процесс, имеющий сложные прямые и обратные связи, сочетающий интеллектуальную деятельность членов организации с применением различных моделей и методов, а также современной техники сбора, передачи и обработки информации. Как свидетельствуют опросы руководителей в деловых организациях, лишь 20--25% затрат их рабочего времени уходит на непосредственное принятие решений в явном виде. Хронометраж рабочего времени руководителей, сделанный специалистами по организационному поведению, показывает, что эти действия занимают даже меньшую долю: в среднем 10--15% их общего рабочего времени. На самом деле собственно выбор решений может занимать доли секунды, однако все процессы, взаимосвязи, действия, связанные с ним, заставляют расширять границы процесса принятия решений. Процесс выработки и реализации управленческого решения - это деятельность, осуществляемая по определенной технологии с использованием различных методов и технических средств, направленная на поиск выхода из определенной управленческой ситуации путем формирования, а затем реализации воздействия на объект управления. В организационном аспекте данный процесс представляет собой совокупность закономерно следующих один за другим в определенной временной и логической последовательности этапов, между которыми существуют сложные прямые и обратные связи. Каждому этапу соответствуют конкретные трудовые действия, направленные на выработку и реализацию решения. Эту повторяющуюся систему действий принято называть технологией процесса выработки и реализации решений, которую можно представить в виде алгоритма. Процесс принятия решения
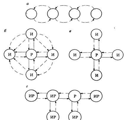
1. Диагностика проблемы. Первый шаг на пути решения проблемы - определение или диагноз, полный и правильный. Существуют два способа рассмотрения проблемы. Согласно одному, проблемой считается ситуация, когда поставленные цели не достигнуты. Другими словами, вы узнаете о проблеме потому, что не случается то, что должно было случиться. Однако слишком часто руководители рассматривают в качестве проблем только ситуации, в которых что-то должно произойти, но не произошло. Как проблему можно рассматривать также потенциальную возможность. Например, активный поиск способов повышения эффективности какого-то подразделения, даже если дела идут хорошо, будет упреждающим управлением. В этом случае вы осознаете проблему, когда поймете - кое-что можно сделать либо для улучшения хода дела, либо для извлечения выгоды из представляющейся возможности. Первая фаза в диагностировании сложной проблемы - осознание и установление симптомов затруднений или имеющихся возможностей. Некоторые общие симптомы болезни организации -- низкие прибыль, сбыт, производительность и качество, чрезмерны; издержки, многочисленные конфликты в организации и большая текучесть кадров. Обычно несколько симптомов дополняют друг друга. Чрезмерные издержки и низкая прибыль, к примеру, часто неразлучны. Выявление симптомов помогает определить проблему в общем виде. Это способствует также сокращению числа факторов, которые следует учитывать применительно к управлению. Для выявления причин возникновения проблемы необходимо собрать и проанализировать требующуюся внутреннюю и внешнюю (относительно организации) информацию. Современные технологии принятия управленческих решений позволяют при выработке и принятии управленческих решений лицом, принимающим решения (ЛПР), учитывать основные аспекты взаимодействия "ситуация-ЛПР" за счет возможности использования качественных и количественных оценок как формализуемых, так и неформализуемых составляющих ситуации, в которой ЛПР осуществляет активные управленческие воздействия. Целесообразной при получении и обработке информации о ситуации принятия решения является подготовка аналитического материала, отражающего основные особенности и тенденции развития ситуации. Естественно, что такой аналитический материал должен готовиться специалистами, обладающи-ми достаточными знаниями и опытом в области, к которой принадлежит ситуация принятия управленческого решения. Информация и способность использовать ее - решающие моменты в процессе принятия решений. Поток информации, который проходит через организацию, можно сравнить с производственным процессом. В этом процессе единицы сырья перерабатываются в товары и услуги, которые организация производит. Поступление информации начинается со сбора данных, которые представляют собой исходный материал информации. Первоначально данные весьма разрозненны, но в процессе их обработки они становятся полезной информацией. Исходные данные становятся информацией после того, как будут классифицированы, проанализированы и обработаны таким образом, чтобы их можно было использовать для принятия решений. Для принятия решений менеджерам нужна качественная информация. Качество информации определяется пятью признаками: Достоверностью - должна быть избавлена от ошибок; Современностью, - должна основываться на последних данных; Комплексностью - охватывать весь комплекс вопросов; Краткостью - должна представляться в сжатой форме, которая позволяет принимать решения быстро и легко. Уместностью - именно той должна быть информация, которая необходима для принятия решений. Значительно улучшить качество информации, поступающей к менеджерам, могут компьютеры. По мере снижения стоимости обработки информации, возрастают требования к ее достоверности, своевременности и комплексности. Компьютеры широко используются на рабочих местах. Они контролируют движение материалов и продукции на предприятиях. Персональные компьютеры позволяют подготовить такие материалы, как письма, доклады, помогая секретарям выполнять работу аккуратно и вовремя. В настоящее время значительная часть инвестиций на предприятиях России вкладываются в компьютеры и информационные системы. Компьютеры делают так много, что мы просто не в состоянии все перечислить. Наиболее известная сфера использования компьютеров - это их использование для обработки данных. Обработка данных представляет собой систему, которая собирает данные, обрабатывает их, превращая в доступную информацию, и передает эту информацию потребителю. Данные - это просто факты. В каждый момент времени нас бомбардирует масса фактов, но мы ограничимся только теми из них, которые относятся к нашей непосредственной деятельности. После сбора данных происходит их обработка, которая включает в себя такие моменты, как группировка данных, их обобщение, анализ и выводы. Третьим шагом в процессе обработки данных является передача информации тем людям, которые ею пользуются. 2. Формулировка ограничений и критериев принятия решения. Когда руководитель диагностирует проблему с целью принятия решения, он должен отдавать себе отчет в том, что именно можно с нею сделать. Многие возможные решения проблем организации не будут реалистичными, поскольку либо у руководителя, либо у организации недостаточно ресурсов для реализации принятых решений. Кроме того, причиной проблемы могут быть находящиеся вне организации силы - такие, как законы, которые руководитель не властен изменить. Ограничения корректирующих действий сужают возможности принятии решений. Перед тем как переходить к следующему этапу процесса, руководитель должен беспристрастно определить суть ограничений и только потом выявлять альтернативы. Если этого не сделать, как минимум, будет впустую потеряна масса времени. Еще хуже, если будет выбрано нереалистичное направление действий. Естественно, это усугубит, а не разрешит существующую проблему. Ограничения варьируются и зависят от ситуации и конкретных руководителей. Некоторые общие ограничения - это неадекватность средств; недостаточное число работников, имеющих требуемую квалификацию и опыт; неспособность закупить ресурсы по приемлемым ценам; потребность в технологии, еще не разработанной иле чересчур дорогой; исключительно острая конкуренция; законы и этические соображения. Как правило, для крупной организации существует меньше ограничений, чем для мелкой или одолеваемой множеством трудностей. Существенным ограничителем всех управленческих решений, хотя иногда вполне устранимым, является определяемое высшим руководящим звеном сужение полномочий всех членов организации. Коротко говоря, менеджер может принимать или осуществлять решение только в том случае, если высшее руководство наделило его этим правом. В дополнение к идентификации ограничений, руководителю необходимо определить стандарты по которым предстоит оценивать альтернативные варианты выбора! Эти стандарты принято называть критериями принятия решений. Они выступают в качестве рекомендаций по оценке решений. 3. Определение альтернатив Следующий этап - формулирование набора альтернативных решений проблемы. В идеале желательно выявить все возможные действия, которые могли бы устранить причины проблемы и, тем самым, дать возможность организации достичь своих целей. Тем не менее, на практике руководитель редко располагает достаточными знаниями или временем, чтобы сформулировать и оценить каждую альтернативу. Более того, рассмотрение очень большого числа альтернатив, даже если все они реалистичны, часто ведет к путанице. Поэтому руководитель, как правило, ограничивает число вариантов выбора для серьезного рассмотрения всего несколькими альтернативами, которые представляются наиболее желательными. На данной стадии процесса формируется решение как воздействие путем выбора присущих ему средств и ресурсов, которые выступают и воздействующим фактором, и ограничением. Формируются разные варианты решений, направленные на достижение одной цели. В инвестиционных решениях, например, рассматриваются варианты, различающиеся по видам инвестиций, источникам, объемам, срокам, условиям возврата (при кредитовании), мотивации персонала, системе контроля, рискам. Вместо поиска наилучшего возможного решения, люди продолжают перебирать альтернативы только до тех пор, пока не выявится такая, которая удовлетворит определенному приемлемому минимальному стандарту. Руководители понимают, что поиск оптимального решения занимает чересчур много времени, дорого стоит или труден. Вместо него они выбирают решение, которое позволит снять проблему. Следует, однако, позаботиться о том, чтобы был учтен достаточно широкий спектр возможных решений. Углубленный анализ трудных проблем необходим для разработки нескольких действительно различающихся альтернатив, включая возможность бездействия. Когда руководство не в состоянии оценить, что произойдет, если ничего не предпринимать, существует опасность не устоять перед требованием немедленных действий. Действие ради самого действия повышает вероятность реагирования на внешний симптом проблемы, а не на ее главную причину. 4. Оценка альтернатив. Следующий этап - оценка возможных альтернатив. При их выявлении необходима определенная предварительная оценка. Исследования, однако, показали, что как количество, так и качество альтернативных идей растет, когда начальная генерация идей (идентификация альтернатив) отделена от оценки окончательной идеи. Это означает, что только после составления вами списка всех идей, следует переходить к оценке каждой альтернативы. При оценке решений руководитель определяет достоинства и недостатки каждого из них и возможные общие последствия. Ясно, что любая альтернатива сопряжена с некоторыми отрицательными аспектами. Как упоминалось выше, почти все важные управленческие решения содержат компромисс. Наиболее ответственные функции в процессе управления связаны со сравнительной оценкой вариантов решений, которая осуществляется как по управленческим критериям, так и по возможностям достижения конечных результатов деятельности организации. Оценка решения как воздействия осуществляется с позиций силы его воздействия, полноты и взаимосвязанности отношений управления, включенных в решение, комплексности используемых средств и методов воздействия. При оценке управленческого решения применяются методы количественной оценки результативности, затрат ресурсов, эффективности (производительности, рентабельности, прибыльности, окупаемости). На этой стадии могут возникнуть затруднения, поскольку невозможно сравнивать вещи, если они не однотипны - яблоки бессмысленно напрямую сравнивать с апельсинами. Все решения следует выражать в определенных формах. Желательно, чтобы это была форма, в которой выражена цель. В бизнесе прибыль - неизменная потребность и высший приоритет, поэтому решения можно представить в денежном выражении и в виде оценки их воздействия на прибыль. В некоммерческой организации главной целью, как правило, является предоставление наилучших услуг при наименьших затратах. Поэтому денежное выражение можно использовать для сравнения последствий решений в сходных организациях. Заметим, что при оценке возможных решений руководитель пытается спрогнозировать то, что произойдет в будущем. Будущее всегда неопределенно. Множество факторов, включая изменение внешнего окружения и невозможность реализации решения, может помешать воплощению намеченного. Поэтому важным моментом в оценке является определение вероятности осуществления каждого возможного решения в соответствии с намерениями. Если последствия какого-то решения благоприятны, но шанс его реализации невелик, оно может оказаться менее желательным вариантом выбора. 5. Выбор альтернативы. Если проблема была правильно определена, а альтернативные решения тщательно взвешены и оценены, сделать выбор, то есть принять решение сравнительно просто. Руководитель просто выбирает альтернативу с наиболее благоприятными общими последствиями. Однако если проблема сложна и приходится принимать во внимание множество компромиссов, или если информация и анализ субъективны, может случиться, что ни одна альтернатива не будет наилучшим выбором. В этом случае главная роль принадлежит хорошему суждению и опыту. Хотя для менеджера идеально достижение оптимального решения, руководитель, как правило, на практике не мечтает о таковом. Исследователь Герберт Саймон указывает, что, решая проблему, руководитель склоняется к поведению, которое он называет «удовлетворяющим», а не «максимизирующим». Обычно оптимальное решение не обнаруживается из-за нехватки времени и невозможности учесть всю информацию и альтернативы. В силу этих ограничений руководитель, кап правило, выбирает направление действия, которое, очевидно, является приемлемым, но не обязательно наилучшим из возможных. 6. Реализация. Как подчеркивает Харрисон: «Реальная ценность решения становится очевидной только после его осуществления», процесс решения проблемы не заканчивается выбором альтернативы. Простой выбор направления действий имеет малую ценность для организации. Для разрешения проблемы или извлечения выгоды из имеющейся возможности решение должно быть реализовано. Уровень эффективности осуществления решения повысится, если оно будет признано теми, кого оно затрагивает. Признание решения редко однако бывает автоматическим, даже если оно явно хорошее. Иногда руководитель может возложить принятие решения на тех, кто должен будет его исполнять. Чаще же он вынужден убеждать в правильности своей точки зрения других людей в организации, доказывать людям, что его выбор несет благо и организации, и каждому в отдельности. Некоторые руководители считают попытки убеждения напрасной тратой времени, однако, подход типа «прав я или не прав, но начальник я» сегодня в мире образованных людей, как правило, не срабатывает. Как станет понятно при рассмотрении проблем мотивации и лидерства, шансы на эффективную реализацию значительно возрастают, когда причастные к этому люди внесли в решение свою лепту и искренне верят в то, что делают. Поэтому хороший способ завоевать признание решения состоит в привлечении других людей к процессу его принятия. Дело руководителя выбирать, кто должен решать. Тем не менее бывают ситуации, когда руководитель вынужден принимать решение, не консультируясь с другими. Участие работников в принятии решений, подобно любому другому методу управления, будет эффективным далеко не в каждой ситуации. Более того, твердая поддержка сама по себе еще не гарантирует надлежащего исполнения решения. Полное осуществление решений требует приведения в действие всего процесса управления, в особенности его организующей и мотивационной функций. 7. Обратная связь. Еще одной фазой, входящей в процесс принятия управленческого решения и начинающейся после того, как решение начало действовать, является установление обратной связи. По Харрисону: «Система отслеживания и контроля необходима для обеспечения согласования фактических результатов с теми, что ожидались в период принятия решения». На этой фазе происходит измерение и оценка последствий решения или сопоставление фактических результатов с теми, которые руководитель надеялся получить. Обратная связь - т.е. поступление данных о том, что происходило до и после реализации решения - позволяет руководителю скорректировать его, пока организации еще не нанесено значительного ущерба. Подводя итоги, можно сказать, что решение проблемы предполагает как генерирование альтернативных вариантов решений, выбор наиболее предпочтительного альтернативного варианта решения, так и его реализацию. Кроме того, существует и обратная связь, позволяющая руководителю оценить последствия решения и в случае необходимости предпринять меры для корректировки ситуации. Существует множество алгоритмов принятия решения, но суть их все равно схожа. По моему мнению, описанный подход (по Мескону) можно принять как один из ведущих, т.к. он охватывает основные аспекты процесса принятия решения. III . Условия эффективности решений Эффективным управленческое решение могут сделать: • соблюдение иерархии в принятии решений; • использование межфункциональных групп; • использование прямых горизонтальных связей; • централизация руководства. Иерархия в принятии решений — делегирование полномочий по принятию решения ближе к тому уровню, на котором имеется больше необходимой информации и который непосредственно участвует в реализации принятого решения. В этом случае исполнителями решения являются сотрудники смежных уровней. Контакты с подчиненными, находящимися более чем на один иерархический уровень ниже (выше), не допускаются. Использование целевых межфункциональных групп, члены которых отбираются из различных подразделений и уровней организации. Использование непосредственных (прямых) горизонтальных связей. В данном случае (особенно на начальной стадии процесса принятия решения) сбор и обработка информации осуществляются без обращения к вышестоящему руководству. Такой подход способствует принятию решений в более короткие сроки и повышению ответственности за их выполнение. Централизация руководства. Процесс принятия решения должен находиться в руках одного (общего) руководителя. В данном случае формируется иерархия в принятии решений, то есть каждый низший руководитель решает свои проблемы (принимает решения) с непосредственным руководством, а не с руководителем самого высокого уровня. Как уже отмечалось, лучший вариант, когда решение выбирается благодаря последовательной оценке каждого из предлагаемых. При этом определяется, насколько каждый вариант решения обеспечивает достижение цели. Таким образом, решение должно отвечать требованиям, вытекающим из решаемой ситуации и целей организации, а именно: • эффективности; • экономичности; • своевременности; • обоснованности; • реальности. Решение должно быть эффективным, то есть наиболее полно обеспечивать достижение поставленной организацией цели. Решение должно быть экономичным, то есть обеспечивать достижение поставленной цели с наименьшими затратами. Своевременность решения означает не только нужный момент его принятия, но и своевременность достижения целей. Ведь когда решается проблема, события продолжают развиваться. Может получиться так, что прекрасная идея устареет и потеряет с течением времени смысл, хотя изначально она была хороша. Исполнители должны быть убеждены, что решение обоснованно. В связи с этим нельзя путать фактическую обоснованность и ее восприятие исполнителями — понимание ими аргументов, побуждающих менеджера принять именно такое решение. Решение должно быть реально осуществимым, то есть нельзя принимать нереальные, абстрактные решения. Такие решения вызывают досаду исполнителей, и в основе своей они неэффективны. Принятое решение должно соответствовать силам и средствам выполняющего его коллектива. Особую роль в эффективности решений играют методы доведения принятых решений до исполнителей. Доведение решений до исполнителей начинается обычно с разделения на групповые и индивидуальные задания и подбора исполнителей. В результате каждый сотрудник получает конкретное задание, которое находится в прямой зависимости от его служебных обязанностей. Считается, что умение передать задачи исполнителям является главным источником эффективности принятого решения. В связи с этим выделяют четыре основные причины невыполнения решений: • решение было недостаточно четко сформулировано менеджером; • решение было ясно и четко сформулировано, однако исполнитель его плохо уяснил; • решение четко сформулировано и исполнитель его хорошо уяснил, но у него не было необходимых условий и средств для его выполнения; • решение было грамотно сформулировано, исполнитель его усвоил и имел все необходимые средства для его выполнения, но у него не было внутреннего согласия с вариантом решения, предложенным менеджером. Исполнитель в данном случае может иметь свой, более эффективный, по его мнению, вариант решения данной проблемы. Таким образом, эффективность решения зависит не только от его оптимальности, но и от формы доведения его до исполнителей (оформления решений и личных качеств руководителей и исполнителей). Организация исполнения принятых руководством решений как специфическая деятельность менеджера предполагает то, что он держит в поле зрения решения, находит способ влиять на них, управляет ими. Команда — "приступить к исполнению решения!" — не может быть дана раньше, чем у руководителя не возникнет уверенности в том, что все звенья правильно поняли свои задачи и имеют все средства для их выполнения. Главный смысл всей работы по доведению задач до исполнителей состоит в том, чтобы построить в сознании некий образ (технологию) будущей работы по выполнению управленческого решения. Первоначальное впечатление об этой работе формируется у исполнителя при получении и восприятии задания. После этого идея (модель задания) уточняется, обогащается посредством адаптации ее к реальным и объективным условиям внутренней и внешней среды. На этой основе и разрабатывается технология выполнения решения (идеальная модель деятельности исполнителя по выполнению задания менеджера). Для того чтобы модель деятельности исполнителя была выполнена в соответствии с первоначальной идеей менеджера, к ней (модели) предъявляют ряд требований: • полнота модели; • глубина отражения первоначальной идеи; • стрессоустойчивость и прочность; • гибкость модели; • согласованность; • ее мотивация. Полнота модели решения описывает ее соответствие, с одной стороны, замыслу руководителя, его решению и поставленным им задачам, а с другой — содержанию, структуре и условиям исполнительской деятельности. Идеальным вариантом была бы такая полнота модели, при которой она развернута настолько, что еще до начала работы исполнитель мысленно может представить себе все тонкости предстоящей работы. Точность модели необходима потому, что если задача ставится абстрактно — в общем виде, то она не выполняется вообще или выполняется формально. Система управления, в которой точность формирования оперативных моделей решения не стала законом, распадается. Глубина отражения первоначальной модели характеризует оперативную модель с точки зрения представленности в ней всей динамики предстоящей деятельности. Стрессоустойчивость и прочность модели предполагает способность исполнителя четко реализовать план действий, сложившийся в его сознании, в любых сложных ситуациях. Гибкость модели — критерий, который как бы противоречит всем указанным выше. Очевидно, что абсолютно жесткий и "неподдающийся" образ может быть приемлем только в застывших и неизменных структурах, которых в природе и обществе нет и быть не может. Проблема в том, чтобы выбрать оптимальное соотношение между стабильностью (неподвижностью) и гибкостью модели. Согласованность модели решения связана с тем, что исполнитель чаще всего выполняет свой этап работы в одиночку, поэтому его действия должны согласовываться по задачам, времени и месту с действиями других исполнителей. Мотивация модели решения. Известно, что понимание решения и усвоение его идеальной модели не в полной мере обеспечивают должную мобилизацию всех резервов исполнителей, поэтому и нужно мотивировать их деятельность. Воздействие на мотивы, побуждающие исполнителей к проявлению активности, внутренней потребности для выполнения заданий, — основной смысл мобилизации трудового коллектива на выполнение принятых руководством решений. Организация и контроль за исполнением решенийОрганизовать исполнение решения — задача не из легких. Она требует знания людей, их возможностей, сил, средств и методов исполнения. Организация исполнения решений — это специфическая деятельность руководителя, завершающая управленческий цикл. И если на этапе подготовки и принятия решения руководитель оперирует идеальными отображениями предметов и явлений, то в процессе организации его исполнения он сталкивается с реальной ситуацией, которая чаще всего отличается от идеальной. Недостаточно опытный руководитель, мысленно оперирующий вещами и событиями, привыкает к легкости манипулирования идеальными представлениями и неосознанно переносит эту легкость на реальную ситуацию. В результате такого менеджмента принимаемые им решения оказываются непосильными и на практике не выполняются. Здесь следует учитывать то обстоятельство, что руководитель организует не свою деятельность, а труд других людей. Это две разные вещи, ибо процесс исполнения решений также нужно организовывать. Исполнители должны получить четкую информацию о том, кто, где, когда и какими способами и средствами должен осуществлять действия, соответствующие принятому решению. Необходимо разработать план его реализации, которым предусматривается система мер, обеспечивающих достижение целей решения с минимальными издержками. Одним из механизмов, обеспечивающих успешное выполнение решений, является установление и структуризация коммуникаций в фирме. Задача состоит в оптимальном построении структуры коммуникаций управленческих работников и исполнителей. Структуры таких коммуникационных сетей могут быть различными, а связи между передающей (коммутатором-руководителем) и воспроизводящей стороной (исполнителем) могут существенно различаться. В связи с этим можно выделить наиболее часто встречающиеся в организации коммуникации — цепочную, многосвязную, звездную и иерархическую (рис. 1). При цепочной структуре коммуникаций (рис.1 а) решение, передаваемое с одного конца на другой, становится известно всем исполнителям и всеми ими обсуждается. Все связи в такой коммуникации одинаковы, а командный стиль руководства отсутствует. Такая структура взаимоотношений распадается, если нарушается связь между двумя участниками коммуникации. В многосвязной структуре коммуникаций (рис.1 б) все ее участники связаны между собой. Ее отличает достаточная устойчивость и скорость передачи информации. Отношения командования ярко выражены. В практике управления наиболее часто встречается на уровне первичного коллектива. В звездной структуре коммуникаций (рис.1 в) ярко выражен "коммутатор-руководитель", через которого передаются все задачи. Все связи замыкаются на нем. Устойчивость и скорость передачи информации невысокие.
Рис.1 Структура коммуникаций: а — цепочная, б — многосвязная, в — звездная, г — иерархические отношения координации, ярко выраженное командное действие; И — исполнитель, Р — руководитель Для иерархической структуры коммуникаций (рис.1 г) характерны ярко выраженные командные отношения. Промежуточные ступени одновременно являются и подчиненными, и командными. Организационно-управленческие решения оформляют в виде приказа или распоряжения, после чего они приобретают силу закона. Однако множество решений в организации мигрирует в виде устных указаний, заданий, пожеланий и подобных управляющих директив. Главная задача менеджера и состоит в том, чтобы организовать исполнение такого решения, обеспечить координацию действий и контроль за его выполнением. Таким образом, контроль за исполнением решений является заключительной стадией управленческого цикла. Он принимает форму обратной связи, посредством которой можно получить информацию об исполнении решения и достижении организацией поставленных целей. Главное назначение контроля — в своевременном обнаружении возможных отклонений от заданной программы реализации решения, а также в своевременном принятии мер по их ликвидации. В процессе контроля первоначальные цели организации могут модифицироваться, уточняться и изменяться с учетом полученной дополнительной информации о выполнении принятых решений. С помощью контроля не только выявляются отклонения от заданий, сформулированных в решениях, но и определяются причины этих отклонений. Выделяются и другие функции контроля за исполнением принятых решений: • диагностическая; • функция обратной связи; • ориентирующая; • стимулирующая; • корректирующая; • педагогическая. Диагностическая. Главная, ведущая функция контроля — кто бы что ни проверял, какие бы задачи ни ставились, в любом случае сначала нужно четко представить себе подлинное состояние дел, то есть поставить диагноз. Обратная связь при контроле за выполнением поставленных задач позволяет руководителю не выпускать из рук бразды правления, дает ему возможность оказывать влияние на ход работы. Ориентирующая функция контроля проявляется в том, что те вопросы, которые чаще всего контролируются начальником, приобретают особое значение в сознании исполнителей, направляют их усилия в первую очередь на объект повышенного внимания руководителя. Вопросы, выпадающие из поля зрения руководителя, зачастую не решаются подчиненными. Если ориентирующая функция контроля при умелом руководстве позволяет менеджеру держать работы в поле зрения, то стимулирующая функция нацелена на выполнение и вовлечение в процесс труда всех неиспользованных резервов. Корректирующая функция связана с теми уточнениями, которые вносятся в решения на основе материалов контроля. Здесь складывается сложная психологическая ситуация: руководитель полагает, что он проверяет работу подчиненного, на самом же деле последний уже проверил на практике эффективность решения руководителя. Иными словами, контроль уже, можно сказать, состоялся, причем по самому надежному критерию — по соответствию принятого решения практике. Педагогическая функция. Контроль, если он построен умело, побуждает исполнителей к добросовестному труду. В практике управления организацией применяются три основные разновидности контроля: • предварительный — предшествует принятию окончательного решения. Его цель — дать более глубокое обоснование принимаемому решению; • текущий — с его помощью вносятся коррективы в процесс исполнения принятых решений; • последующий — служит для проверки эффективности принятия решений. Таким образом, контроль является объективной необходимостью, так как даже самые оптимальные планы не могут быть реализованы, если их не довести до исполнителей и за их исполнением не наладить постоянный контроль. Проверка эффективности решения После того как решение вводится в действие, за ним следует периодически наблюдать, чтобы удостовериться, что оно выполняется и что организация на самом деле получает предсказанную отдачу от него. Исполнители могут отклониться от данного решения (даже если в свое время они согласились выполнять его), но проверка это обнаружит и позволит предпринять необходимые действия. Проверка решений также покажет, остаются ли устойчивыми внешние и внутренние переменные. (Вспомним, что решение представляет собой ответную реакцию на определенные изменения во внешней или внутренней среде и одним из методов определения того, изменились ли эти среды, является оценка эффективности данного решения. Если решение не дает предсказанной отдачи, то, возможно, изменились обстоятельства, при которых оно было принято.) Во всяком случае, результаты данного решения можно измерить, сравнивая их фактические значения с оценкой, фактический курс действий с предписанным, фактические входы, выходы и отдачу от решения с их предварительными оценками. Но можно и непосредственно наблюдать фактическое поведение участников организации и, сравнив его с ожидаемым поведением, заметить отклонения. Предполагается, что все действия производят определенный выход в виде продукта, услуги или состояния дел и отношение между оценкой и фактическим значением выхода можно измерить. Если, например, подсчитано, что решение должно дать определенный объем продаж, то для оценки его эффективности необходимо сравнить фактический объем с оценкой. Можно также сравнить ожидаемые и фактические входы или затраты, и перерасход средств покажет недостатки решения (эти данные обычно легче всего собрать). И, наконец, можно сравнить ожидаемую и фактическую отдачу от решения. Данные для определения эффективности решения обычно находят в используемых организацией показателях, и центр обработки данных может разработать процедуры для выборки соответствующей информации. Имея хорошую систему учета внутренних затрат, можно определить вход любого решения. Точно так же легко установить, какие решения имеют выходы, измеримые в финансовых показателях. А располагая данными о выходе и входе, можно подсчитать отдачу. Однако некоторые решения не поддаются количественной или финансовой оценке, поэтому для наблюдения за действительным поведением организации необходима проверка фактического положения дел. Существенное значение, конечно, имеют расходы на проверку эффективности решения. Вряд ли стоит контролировать решение, если расходы на его проверку превысят получаемые от него выгоды. В идеальном случае проверка должна показать истинное положение без чрезмерных расходов на нее, и применяемая здесь норма расходов будет зависеть от измеримости решения и возможности собрать нужные данные. Возможно, следует контролировать решение на основе наблюдения за тем его аспектом, который легче всего контролировать. Например, для контроля процедуры ухода за больными придется наблюдать за работой персонала, потому что нельзя количественно определить ни выход, ни отдачу этой процедуры. Точно так же нельзя измерить в строгих количественных показателях решение, направленное на улучшение морального состояния работников. Но можно измерить изменения в производительности труда работников, исходя из предположения, что между моральным состоянием и производительностью существует прямая связь. Механизм проверки должен определяться тем, что подлежит измерению. Например, для проверки успеваемости студентов по традиции применяются тесты, а для измерения плотности стали требуется точное электронное оборудование. Если нельзя найти подходящий измеритель для оценки данного решения, его использование ставится под сомнение, так как только благодаря точному измерению можно установить, получает организация от своих усилий стоящий доход или нет. В итоге проверка эффективности решения является последним этапом процесса решения проблемы. Если при решении проблемы обнаруживаются трудности, они рассматриваются как новые проблемы, которые по каналу обратной связи поступают в процесс решения проблем (его можно рассматривать как замкнутую систему управления, через которую проходит поток проблем). Ошибочные решения будут поступать в процесс, пока не будет получено эффективно действующее решение. Система формирования решений является самонастраивающейся и должна работать относительно постоянно. Проверка эффективности решения – это этап, замыкающий обратную связь подразделений с системой управления. Заключение В работе был рассмотрен спектр вопросов, связанных с процедурой разработки, выбора, реализации и оценки эффективности управленческих решений. Выбор управленческого решения должен быть продиктован интересами дела, с одной стороны, с другой - должен основываться на учете мнений подчиненных, либо согласовываться с «мозговым центром» (штабом) предприятия, включающим заместителей, руководителей подразделений, ведущих специалистов и др. Нравственная ответственность руководителя в принятии решений заключается в наиболее полном учете всех мнений (специалистов, коллектива и коллегиального органов). Такое решение позволяет: выразить общее мнение по конкретной проблеме, способствует проявлению взаимопомощи в достижении цели, реализации системного подхода, усилению деловой активности, повышению квалификации работников. Кроме того, воспитывается общая заинтересованность, чувство значимости и причастности работников к процессу управления. Это поднимает их в собственных глазах; обостряет субъективное ощущение коллективной ответственности за исполнение принятых решений. Список литературы : 1 . Кабушкин Н.И., Бондаренко Г.А. Менеджмент гостиниц и ресторанов: Учеб. пособие. 2 . Смирнов Э.А. Разработка управленческих решений. 3. Фатхутдинов Р.А. Управленческие решения. Учебник для вузов 4. http://bigc.ru/ |


