Реферат: Индивидуальная работа по информатике
|
Название: Индивидуальная работа по информатике Раздел: Рефераты по информатике Тип: реферат |
Федеральное агентство по образованию Ульяновский Государственный Технический Университет Кафедра «Прикладная математика и информатика» Индивидуальная работа по информатике Выполнила: студентка гр. ФКд-11 Емельянова Елена Проверила: Садилова Г.Р. Ульяновск-2010 год Оглавление Преподавание информатики в моей школе. 3 Основные понятия о языках программирования.3 ВведениеТермин «Информатика» возник в 60-х гг., во Франции для названия области, занимающейся автоматизированной обработкой информации с помощью электронных вычислительных машин. Французский термин образован путем слияния слов «информация» и «автоматика» и означает «информационная автоматика или автоматизированная переработка информации». В англоязычных странах этому термину соответствует синоним computerscience (наука о компьютерной технике). Существует множество определений информатики, что связано с многогранностью ее функций, возможностей, форм, методов. Одно из наиболее общих определений такое. Информатика – это область человеческой деятельности, связанная с процессами преобразования информации с помощью компьютеров и их взаимодействием со средой применения. Информатика занимается изучением процессов преобразования и создания новой информации более широко, практически не решая задачи управления различными объектами. Информатика появилась благодаря развитию компьютерной техники, базируется на ней и совершенно немыслима без нее. Главная функция информатики заключается в разработке методов и средств преобразования информации и их использование в организации технологического процесса переработки информации. Задачи информатики состоят в следующем: 1. Исследование информационных процессов любой природы; 2. Разработка информационной техники и создание новейшей технологии переработки информации на базе полученных результатов исследования информационных процессов. 3. Решение научных и инженерных проблем создания, внедрения и обеспечения эффективного использования компьютерной техники и технологий во всех сферах общественной жизни. Информатика существует не сама по себе, а является комплексной научно – технической дисциплиной, призванной создавать новые информационную технику и технологии для решения проблем в других областях. Комплекс индустрии информатики станет ведущим в информационном обществе. Тенденция к большей информированности в обществе в существенной степени зависит от прогресса информатики как единства науки, техники и производства. Преподавание информатики в моей школеВ этом году я закончила Нурлатскую среднюю общеобразовательную школу №8. Информатику изучаю с 7 класса. В неделю у нас был один час этой дисциплины. Уроки проходили интересно. Разнообразие вносили различные семинары, факультативы и элективы. За это время мы прошли основной материал: системы счисления, алгоритмы и их свойства, основные понятия о языках программирования (в частности QBASIC, TURBOPASCAL),описание типовых данных, массивы, измерения информации (объемный подход), алгебру логики, представления текста, графики и звука. Темы увлекательны и интересны. Расскажу о каждой. Алгоритм - последовательность предписаний (команд), предназначенных некоторому исполнителю для решения некоторого класса задач. Работаем с помощью программы QBASIC. Пример: Задача 1. Вычислить сумму двух целых чисел а и в. Решение: S=a+в
Нач: ввод а,в S: = a + в
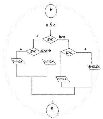
Кон: Задача 2. Найти наибольшее из трех чисел. Решение: дано а,в,с (а>в+c) Алг: Наиб (а,в,с вещ.рез Мах) дано а,в,с надо Мах Нач: ввод а, в, с Если а>в и a>c, то Мах А Если в>с и в>а, то Мах В Если с>а и с>в, то Мах С Вывод Мах Кон: Основные понятия о языках программирования. Программа-это последовательность действий, записанная на языке, понятном для человека и компьютера. Под языком понимают любую систему знаков. Знак- это объект, специально выделенный для передачи информации. Программа, написанная на языке программирования, представляет собой некий набор инструкций, описывающий процесс выполнения алгоритма. Программа Qbasic состоит из строк. Одна строка содержит один или несколько операторов, разделенных двоеточием (а=1: в=1) Ссылка в нужное место осуществляется по метке. Метка размещается в отдельной строке, начинается с буквы и содержит любое количество букв и цифр. После метки двоеточие. Например, Аа: Х=х+1 … GOTOаа Если строка начинается апострофом ( ‘ ) – комментарий. Имя - образуется из букв от A до Z, знака подчеркивания и цифр 0…9 и начинается с буквы. Пример: 1. Вычислить периметр прямоугольника со сторонами А и В. Р =2А+2В Р=2*А+2*В INPUTA, B Р=2*А+2*В PRINT «периметр»; Р END 2. Найти сумму цифр числа 12354. Для решения этой задачи, будем использовать оператор MOД – дает остаток от деления одного числа на другое
DEFINT N, S INPUT «число»; N WHILE N<>0 N: NМОД10 S:=S+N WEND PRINT «сумма»; S END Массив - это упорядоченный набор величин, обозначенный одним именем. Доступ к элементу массива осуществляется по его номеру. Существуют одномерные, двумерные…n - мерные массивы. Размерность – количество элементов в массиве. Массивы обрабатывают с помощью цикла FOR-NEXT Пример: (одномерный массив) Найти сумму элементов массива А (5) заполненного с клавиатуры. Решение: чтобы работать с массивом, нужно его описать, отвести место для его элементов. Спомощью DIM CLS DIM A (5) AS INTEGER DEFINT S, I FOR I=1 то 5 INPUT A (5) NEXT I FOR I=1 то 5 S=S+A(5) NEXT I PRINT “S”; S END Пример: (двумерный массив) Дан массив А (3;4) положительных целых чисел из интервала (0;100) 1) Найти количество четных чисел 2) Удвоить числа кратные трем. Решение: CLS DIMA (3; 4) AS INTEGER DEFINT I FOR I=1 TO 3 FOR J=1 TO 4 INPUT A (3; 4) NEXT J NEXT I FOR I=1 TO 3 FOR J=1 TO 4 IF A (I; J) MOD 2=0 THAT K=K+1 NEXT I NEXT J FOR I=1 TO 3 FOR J=1 TO 4 IF A (I; J)MOD 3=0 THEN A (I;J)=A*2 NEXT I NEXT J PRINT “K”; K, A (I; J) END Алгебра логики, раздел математической логики, изучающий высказывания, рассматриваемые со стороны их логических значений (истинности или ложности), и логические операции над ними. Алгебра логики возникла в середине 19 в. в трудах Дж. Буля и развивалась затем в работах Ч. Пирса, П. С. Порецкого, Б. Рассела, Д. Гильберта и др. Создание Алгебра логики представляло собой попытку решать традиционные логические задачи алгебраическими методами. С появлением теории множеств (70-е гг. 19 в.), поглотившей часть первоначального предмета Алгебра логики, и дальнейшим развитием математической логики (последняя четверть 19 в. — 1-я половина 20 в.) предмет Алгебра логики значительно изменился. Основным предметом Алгебра логики стали высказывания. Под высказыванием понимается каждое предложение, относительно которого имеет смысл утверждать, истинно оно или ложно. Примеры высказываний: «кит — животное», «все углы — прямые» и т. п. Первое из этих высказываний является, очевидно, истинным, а второе — ложным. Употребляемые в обычной речи логические связки «и», «или», «если..., то...», «эквивалентно», частица «не» и т. д. позволяют из уже заданных высказываний строить новые, более «сложные» высказывания. Так, из высказываний «х > 2», «х £ 3» при помощи связки «и» можно получить высказывание «x>2 и х £ 3», при помощи связки «или» — высказывание «x>2 или х £ 3», при помощи связки «если..., то...» — высказывание «если x > 2, то х £ 3» и т. д. Истинность или ложность получаемых таким образом высказываний зависит от истинности и ложности исходных высказываний и соответствующей трактовки связок как операций над высказываниями. Для преобразований формул в равные формулы важную роль в Алгебра логики играют следующие равенства: (1) X&Y = Y&X, XÚY = YÚX (закон коммутативности); (2) (X&Y)&Z = X&(Y&Z), (XÚY)ÚZ = XÚ(YÚZ) (закон ассоциативности); (3) X&(XÚY) = X, XÚ (Х&У) = X (закон поглощения); (4) X& (YÚZ) = (X&Y)Ú(X&Z) (закон дистрибутивности) и др. Особую роль в последнем языке играет класс формул, которые могут быть записаны в виде Á1ÚÁ2Ú...ÚÁs, 0 или 1, где s³1, и каждое Ái — либо переменное высказывание, либо его отрицание, либо конъюнкция таковых, при этом каждое Ái не содержит одинаковых сомножителей и не содержит сомножителей вида Х и одновременно и все Ái — попарно различны. Здесь скобки опускаются, т. к. предполагается, что операция конъюнкции связывает «сильнее», чем дизъюнкция, т. е. при вычислении по заданным значениям переменных следует сначала вычислить значения Ái .Эти выражения называются дизъюнктивными нормальными формами (днф). Каждую формулу Á, реализующую функцию, отличную от константы, в языке над &, Ú, ®, ~ , - , 0, 1 при помощи равенств (1) — (7) можно привести к равной ей днф, содержащей все переменные формулы Á и любое число других переменных, причем каждое Á в этой днф содержит одни и те же переменные. Такая днф называется совершенной днф формулы Á. Возможность приведения к совершенной днф лежит в основе алгоритма, устанавливающего равенство или неравенство двух наперёд заданных формул. Важную роль в Алгебра логики и её приложениях играет т. н. сокращённая днф. Днф называется сокращённой, если выполнены следующие условия: 1) в ней нет таких пар слагаемых Ái и Áj, что всякий сомножитель из Ái имеется и в ÁI; 2) для всяких двух таких слагаемых Ái и Ái ,из которых один содержит сомножителем некоторое переменное, а другой — отрицание этого переменного (при условии, что в данной паре слагаемых нет другого переменного, для которого это же имеет место), имеется (в этой же днф) слагаемое Ái, равное конъюнкции остальных сомножителей этих двух слагаемых. Всякая днф при помощи равенства (1) — (7) может быть приведена к равной ей сокращённой днф. Кроме днф, употребляются также конъюнктивные нормальные формы (кнф). Так называют выражения, которые можно получить из днф путём замены в них знаков Ú на &, а & на Ú. Следствия. Гипотезы. Минимизация. Совершенные и сокращённые днф и кнф используются для решения задачи обзора всех гипотез и всех следствий заданной формулы. Под гипотезой формулы Á понимается такая формула Â, что (®Á) = 1, а под следствием формулы Á — такая формула Â, что (Á®Â) = 1. Гипотеза формулы Á называется простой, если она есть конъюнкция переменных или их отрицаний и после отбрасывания любого из её сомножителей перестаёт быть гипотезой формулы Á. Аналогично, следствие формулы называется простым, если оно есть дизъюнкция переменных или их отрицаний и после отбрасывания любого из её слагаемых перестаёт быть следствием формулы Á. Решение задачи обзора гипотез и следствий основано на указании алгоритма, строящего все простые гипотезы и следствия для заданной формулы и в получении из них при помощи законов (2) — (7) всех остальных гипотез и следствий. Сокращённая днф имеет важные приложения. Следует отметить прежде всего задачу минимизации функций Алгебра логики, являющуюся частью т. н. задачи синтеза управляющих систем. Минимизация функций Алгебра логики состоит в построении такой днф для заданной функции Алгебра логики, которая реализует эту функцию и имеет наименьшее суммарное число сомножителей в своих слагаемых, т. е. имеет минимальную «сложность». Такие днф называются минимальными. Каждая минимальная днф для заданной отличной от константы функции Алгебра логики получается из сокращённой днф любой формулы, реализующей эту функцию, выбрасыванием некоторых слагаемых Ái, из этой сокращённой днф.Существует алгоритм, который по произвольной конечной системе функций Алгебра логики устанавливает её полноту или неполноту. Рассматриваются и такие языки, в основе которых лежат системы операций, не являющихся функционально полными, и таких языков бесконечно много. Среди них имеется бесконечно много попарно неравносильных языков (в смысле отсутствия переводимости при помощи тождественных преобразований с одного языка на другой). Однако для всякого языка, построенного на основе тех или иных операций Алгебра логики, существует такая конечная система равенств этого языка, что всякое равенство этого языка выводимо при помощи тождественных преобразований из равенств этой системы. Такая система равенств называется дедуктивно полной системой равенств (п. с. р.) языка. Пример решения задачи B7 из ЕГЭ по информатике. Скорость передачи данных через ADSL-соединение составляет 256 000 бит / c. Через данное соединение передают файл размером 500 Кбайт. Определите время передачи файла в секундах. - СКОРОСТЬ: 256 000 бит / с = 28 *103 бит / с = 28 * 103 / 23 байт / с = 25 * 103 байт / с = 1000 * 25 байт / с - РАЗМЕР: 500 Кбайт = 5 * 102 Кбайт = 5 * 102 * 210 байт = 500 * 210 байт - применяем формулу: время = размер / скорость = (500 * 210 байт) / (1000 * 25 байт / с) = 25 / 2 с = 16 с. Ответ: 16. Задача В4 :Сколько различных решений имеет уравнение J /\ ¬K /\ L /\ ¬M /\ (N \/ ¬N) = 0 где J, K, L, M, N – логические переменные? В ответе не нужно перечислять все различные наборы значений J, K, L, M и N, при которых выполнено данное равенство. В качестве ответа Вам нужно указать количество таких наборов. Решение: Обратите внимание на то, что выражение (N \/ ¬N) - истинно при любом N. Из максимально возможного числа наборов логических переменных исключите те, при которых уравнение не имеет смысла. Ответ: 30. Задача части А: 1. Дано: V=1 Мб M * N= 800 * 600 2 стр. Найти к-? Решение: V=n* M* N n k= Ответ: 256 ЗаключениеИнформатика – чрезвычайно нужная и интересная наука. Сфера ее практического применения очень обширна: сегодня тяжело представить отрасль деятельности человека, в которой не применялись бы компьютеры. Знание информатики – один из залогов профессионального успеха. Мне бы хотелось, что бы на занятиях информатики мы больше решали задач, научились создавать различные веб - сайты, программы. Информатику, я считаю, очень интересной и увлекательной наукой. |
Алг: сумма (арг. цел. а,в; рез.цел S)
вывод S
CLS
=
, k=