Реферат: Проектирование фундаментов под опору моста
|
Название: Проектирование фундаментов под опору моста Раздел: Рефераты по строительству Тип: реферат | ||||||||||||||||||||||||||||||||||||||||||||||||||||||||||||||||||||||||||||||||||||||||||||||||||||||||||||||||||||||||||||||||||||||||||||||||||||||||||||||||||||||||||||||||||||||||||||||||||||||||||||||||||||||||||||||||||||||||||||||||||||||||||||||||||||||||||||||||||||||||||||||||||||||||||||||||||||||||||||||||||||||||||||||||||||||||||||||||||||||||||||||||||||||||||||||||||||||||||||||||||||||||||||||||||||||||||||||||||||||||||||||||||||||||||||||||||||||||||||||||||||||||||||||||||||||||||||||||||||||||||||||||||||||||||||||||||||||||||||||||||||||||||||||||||||||||||||||||||||||||||||||||||||||||||||||||||||||||||||||||||||||||||||||||||||||||||||||||||||||||||||||||||||||||||||||||||||||||||||||||||||||||||||||||||||||||||||||||||||||||||||||||||||||||||||||||||||||||||||||||||||||||||||||||||||||||||||||||||||||||||||||||||||||||||||||||||||||||
Введение В процессе работы над курсовой работой необходимо приобрести навыки выбора грунтового основания и типа фундамента опоры моста (путепровода) в заданных условиях строительства, а также конструирования и расчета фундамента. Задачи, связанные с выбором типов основания и фундаментов, конструкций, размеров и материалов последних, имеют много качественно различных решений. Поэтому необходимо предусмотреть несколько вариантов проектного решения основания и фундаментов с тем, чтобы на основе технико – экономических сравнений возможных вариантов принять оптимальное решение. Исходные данные Исходные данные: шифр – 061584; номер варианта курсовой работы - №17; номер варианта геологических данных - №84; район строительства – г. Могилёв; нагрузки действующие на опору: постоянные – Р1 =9200 кН; временные – Р2 =2400 кН; сила торможения – Fт =735 кН. 1 Анализ инженерно-геологических условий строительной площадки При проектировании оснований под фундаменты опор моста по данным инженерно геологических исследований необходимо оценить свойства грунтов строительной площадки с целью выбора несущего слоя. Данные инженерно-геологических исследований приведены в задании к курсовой работе. Использовались данные бурения одной скважины. Для каждого из пластов, вскрытых скважинами, необходимо определить наименование грунта. Таблица 1.1 – Исходные данные
Таблица 1.2 – Исходные данные для песчаного грунта
Таблица 1.3– Исходные данные для глинистого грунта
Слой №1 (88). Слой толщиной 3,2 м. Если в таблице исходных данных отсутствует влажность на границе текучести wL и влажность на границе раскатывания wP , то это означает, что грунт несвязный. Определим тип рассматриваемого грунта по крупности частиц. Для этого необходимо с нарастающим итогом суммировать сверху вниз данные процентного содержания частиц, каждый раз сравнивая полученную сумму с соответствующими величинами процентного содержания частиц определенной крупности, приведенными в таблице 1.4. Частиц >2,0 мм – 8,2 % < 25 %; частиц >0,5 мм – 8,2+25,0=33,2 % < 50 %; частиц >0,25 мм – 33,2+7,0=40,2 % < 50 %; частиц >0,1 мм – 40,2+41,0=81,2 % > 75 %; Так как частиц крупнее 0,1 мм более 75 %, то данный грунт по гранулометрическому составу относится к мелким пескам. Таблица 1.4 – Классификация песчаных грунтов по гранулометрическому составу
Определим плотность сложения песчаного грунта по коэффициенту пористости е и таблице 1.5. Таблица 1.5 – Плотность сложения песчаных грунтов
где ρS – плотность частиц грунта, г/см3 ; ρd – плотность грунта в сухом состоянии, г/см3 .
где ρ – плотность грунта, г/см3 ; w – влажность грунта. Тогда Так как е=0,77 > 0,75, то по таблице 1.5 песок мелкий, рыхлый. Определяем степень влажности
где ρW – плотность воды, равная 1 г/см3 . Крупнообломочные и песчаные грунты по степени влажности подразделяют на: насыщенные водой Sr ≥0,8; средней степени насыщения (влажные) 0,8>Sr >0,5; малой степени насыщения (маловлажные) Sr ≤0,5.
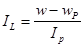
Так как 0,8<Sr =0,91, то песок насыщенный водой. Слой №2 (19) – представлен пылевато-глинистым грунтом. Слой толщиной 10,1 м. По числу пластичности IP определяем вид пылевато-глинистого грунта: 1≤ IP ≤7 – супесь; 7< IP ≤17 – суглинок; IP > 17 – глина. IP = wL – wP , (1.4) где wL – влажность на границе текучести, %; wP – влажность на границе раскатывания, %. IP = 28,0 – 15,0 = 13,0; 7 < IP = 13,0 < 17 , следовательно, грунт – суглинок. Консистенцию глинистого грунта определяем по показателю текучести IL (таблица 1.6).
где w – влажность грунта, %. Пылевато-глинистые грунты текучей консистенции в качестве естественных оснований, как правило, не используются. Таблица 1.6 – Показатель консистенции (текучести) IL
Для определения нормативных прочностных характеристик – удельное сцепление Сn , кПа (кгс/см2 ), угол внутреннего трения φn , град, условное сопротивление R0 , кПа (кгс/см2 ) и деформационных характеристик – модуль деформации Е, для чего необходимо определить коэффициент пористости пылевато–глинистых грунтов.
Слой №3 (22) – ( аналогично второму слою) – представлен пылевато-глинистым грунтом. Слой толщиной 6,6 м. По числу пластичности IP определяем вид пылевато-глинистого грунта: IP = 19,0 – 15,0 = 4,0; 1<IP =4,0<7, следовательно, грунт – супесь. Консистенцию глинистого грунта определяем по показателю текучести IL
Для определения нормативных прочностных характеристик – удельное сцепление Сn , кПа (кгс/см2 ), угол внутреннего трения φn , град, условное сопротивление R0 , кПа (кгс/см2 ) и деформационных характеристик – модуль деформации Е, для чего необходимо определить коэффициент пористости пылевато–глинистых грунтов.
Кроме того, необходимо определить удельный вес грунта с учетом взвешивающего воздействия воды γsb для всех типов песчаных грунтов и пылевато-глинистых грунтов с показателем текучести IL > 0,25.
где γW – удельный вес воды, равный 10 кН/м3 ; γsi – удельный вес частиц грунта, кН/м3 . γsi = ρSi ∙g, (1.7) где g – ускорение свободного падения, g≈10 м/с2 . Для первого слоя γs 1 =2,65∙10=26,5
Для второго слоя γs 2 =2,66∙10=26,6
Для третьего слоя γs 3 =2,75∙10=27,5
Далее определяем нормативные значения деформационных и прочностных характеристик грунтов (модуль деформации Е, угол внутреннего трения φn , удельное сцепление Сn , расчетное сопротивление R0 ). Данные о физико-механических характеристиках и показателях грунтов, слагающих строительную площадку, приводятся в сводной таблице 1.7. 2. Виды нагрузок и их определение 2.1 Определение нагрузок и их сочетание Нагрузки, действующие на опору моста, состоят из постоянных (вес пролетного строения Р1 и опоры РОП ) и временных (от подвижного транспорта по проезжей части Р2 , торможения транспорта FТ , от давления льда на опору FЛ и др.). В курсовой работе вертикальные нагрузки Р1 и Р2 и горизонтальная нагрузка FТ определяются преподавателем–руководителем курсовой работы индивидуально. Нормативный вес опоры РОП = VТ ∙γВ , (2.1) где VТ – объем тела опоры, м3 ; γВ – удельный вес бетона, равный 24 кН/м3 . Нагрузку от льда на опоры мостов при отсутствии данных по ледовой обстановке района рекомендуется определять по формуле FЛ = ψ1 ∙Rrn ∙b∙t, (2.2) где Rrn = Кn ∙Rr 1 ; Rr 1 – предел прочности льда на раздробление (с учетом местного сжатия), принимается равным 735 кПа в начальной стадии ледохода (низкий ледоход) и 441 кПа – при наивысшем уровне ледохода (высокий ледоход) – для 1-го района (г. Могилев); Кn – климатический коэффициент, равный 1; ψ1 – коэффициент формы опоры; b – ширина опоры на уровне действия льда, м; t – толщина льда t =0,8∙hЛ – расчетная толщина льда, для первого района – 0,7 м. Равнодействующую ледовой нагрузки FЛ необходимо прикладывать в точке, расположенной ниже расчетного уровня воды на 0,3t. Расчетные усилия необходимо вычислять с учетом коэффициентов надежности по нагрузке γf . Для составления сочетаний усилий, действующих на обрез фундамента, целесообразно, свести все определенные усилия в таблицу 2.1. Затем с учетом коэффициентов сочетаний η, учитывающих уменьшение вероятности одновременного появления расчетных нагрузок и коэффициентов надежности по нагрузке γf , позволяющих перейти от нормативных усилий к расчетным, определить усилия, входящие в сочетания, для расчета фундамента по I и II группам предельных состояний. Полученные данные свести в таблицу 2.2. Решение Определить усилия, действующие на уровне обреза фундамента промежуточной опоры моста (относительно центра тяжести обреза). Исходные данные: район строительства – г. Могилев; Р1 = 9200 кН; Р2 = 2400 кН; FТ = 735 кН; hЛ = 0,7 м – наибольшая толщина льда. Размеры опоры приведены на рисунке 2.1.
Рисунок 2.1 – Размеры опор и нагрузки действующие на опоры а) нормативный вес опоры рассчитывается по формуле 2.1. VТ = V1 + Vнас (2.3) где Vнас – объем насадки, м3 ; V1 – объем опоры, м3 . Так как опора имеет вид усеченного конуса, то ее объем равен V1
= где АН и АВ – площадь сечений нижней и верхней части опоры в форме эллипса, м2 ; АН = (а2 – b2 )b2 + πb2 2 /4 и АВ = (а1 – b1 )b1 + πb1 2 /4; h – высота опоры. Vнас = АВ ∙hН , (2.5) где hH – высота насадки, равная 0,5 м. АН = (8,6–5,1)∙5,1+3,14∙5,12 /4 = 38,27 м2 ; АВ = (7,1–3,6)∙3,6+3,14∙3,62 /4 = 22,77 м2 ; V1
= Vнас = 22,77∙0,5=11,39 м3 ; VТ = 326,03+11,39=337,41 м3 ; РОП = 337,41∙24=8097,89 кН; б) нагрузка ото льда на опору моста: – при высоком ледоходе на уровне действия льда b1Л
= b1
+ (b2
– b1
) b1Л = 3,6+(5,1 – 3,6)∙6,82/10,8 = 4,55 м, где h1 = h – УВВ = 10,8 – 3,95 = 6,85 м, F1Л = 0,9∙441∙4,55∙0,7∙0,8=1011,61 кН. – при низком ледоходе на уровне действия льда b2Л
= b1
+ (b2
– b1
) b2Л = 3,6+(5,1 – 3,6)·8,2/10,8= 4,74 м, где h2 = h – УМВ = 10,8 – 2,6 = 8,20 м F2Л = 0,9∙735∙4,74∙0,7∙0,8 = 1755,47 кН. Усилия, действующие на обрез фундамента, сводим в таблицу 2.1. Расчетные усилия необходимо вычислять с учетом коэффициентов надежности по нагрузке γf . Таблица 2.1 – Усилия, действующие на обрез фундамента
Окончание таблицы 2.1
При расчете опор мостов рассматривают большое число сочетаний нагрузок, однако в курсовой работе рассматривается 6 сочетаний. Составим таблицу сочетаний нагрузок, действующих на обрез фундамента (таблица 2.2). Усилия, действующие в сечении при различном сочетании временных нагрузок, определяются умножением расчетных усилий (таблица 2.2) на коэффициент η – коэффициент сочетания, учитывающий уменьшение вероятности одновременного появления расчетных нагрузок. Таблица 2.2 – Сочетания нагрузок, действующие на обрез фундамента
Окончание таблицы 2.2
Анализ данных таблицы 2.2 позволяет сделать следующие выводы: – максимальная вертикальная сила действует на фундамент в сочетании 2, его следует использовать при конструировании фундамента, FV =N= 36747,68 кН; – наиболее опасно для расчета прочности сочетание 6, при котором кроме большой вертикальной силы FV = 35595,68 кН действуют наибольшие горизонтальная сила Fh = 1474,60 кН и весьма большой момент Мx = 3833,96 кН∙м; – при необходимости расчета устойчивости фундамента под опору моста следует использовать сочетание 4, в котором минимальному большому значению FV = 35595,68 кН соответствуют весьма большое значение момента Мy =7973,28 кН∙м Fh = 705,6 кН. 3 Проверка прочности сечения по подошве фундамента После того как определена нагрузка, действующая на фундамент, приступают к проектированию по следующим этапам: – назначают глубину заложения и выбирают опорный пласт грунта; – предварительно назначают размеры и определяют вес фундамента; – определяют сопротивление грунта опорного пласта сжатию под подошвой фундамента; – проверяют положение равнодействующей и устойчивость фундамента на опрокидывание и сдвиг; – определяют среднюю осадку и крен фундамента. В процессе работ при необходимости уточнят предварительно назначенные размеры фундамента. Опорным пластом называют грунт, расположенный непосредственно под подошвой фундамента и воспринимающий от нее нагрузку. Правильный выбор опорного пласта предопределяет надежность основания и представляет собой один из наиболее ответственных этапов проектирования; выбор опорного пласта осуществляется на основании детального изучения геологического разреза и результатов полевых и лабораторных исследований грунтов. Желательно, чтобы толщина опорного пласта была не менее удвоенной ширины подошвы. Наиболее надежны в качестве опорного пласта невыветрелая скала, крупнообломочные грунты с песчаным заполнителем, твердые глины и суглинки, крупные и средней крупности плотные пески. Нельзя использовать в качестве опорного пласта торф, заторфованные грунты, глины и суглинки с показателем текучести IL > 0,6, рыхлые пески, грунты набухающие и просадочные. 3.1 Выбор отметки заложения подошвы фундамента При конструировании фундаментов мелкого заложения в первом приближении назначают их размеры и заглубление подошвы. Подошву фундамента закладывают на такой глубине в пределах опорного пласта, чтобы были исключены промерзание лежащего под ней грунта (если он пучинистый) и возможность подмыва при прохождении паводка. Фундаменты во всех случаях закладывают на грунтах, обладающих достаточной несущей способностью. При отсутствии размыва во все грунты, кроме скальных, массивные фундаменты опор заглубляют не менее чем на 1,0 м от дневной поверхности грунта или дна водотока. Если при этом грунт основания склонен к пучинообразованию (все грунты, кроме скальных, крупнообломочных, гравелистых и крупнопесчаных по нормам проектирования мостов) подошву фундамента располагают ниже расчетной глубины промерзания не менее, чем на 0,25 м. При возможности размыва грунта подошва массивного фундамента должна быть заглублена ниже уровня расчетного размыва не менее, чем на 2,5 м. Максимальная глубина заложения массивного фундамента обычно не превышает 5 – 6 м от поверхности земли или рабочего уровня воды при строительстве на водостоке. Фундамент следует заглубить в несущий слой грунта не менее, чем на 0,5 м. Отметку плоскости обреза назначают на 0,5 м ниже горизонта самых низких вод. Решение Фундаменты опор заглубляем в предположении отсутствия размыва. Грунтовые условия строительной площадки: с поверхности до глубины 3,2м залегает слой песка мелкого рыхлого; ниже мощностью 10,1м до глубины 13,3м – слой суглинка тугопластичного; далее ниже мощностью 6,6м до глубины 19,9м – слой супеси пластичной; и ниже мощностью 3,7м до глубины 23,6м – мергель. Так как первый слой представлен песком мелким рыхлым, то фундамент заглубляем на 0,8м во второй слой, т. е. высоту фундамента принимаем 4 м. Ширину обреза СУ для фундаментов мелкого заложения опор мостов принимают в переделах 0,2 – 0,5 м. Примем СУ =0,5 м. 3.2 Определение размеров подошвы фундамента Размеры фундамента в уровне обреза назначают несколько больше размеров надфундаментной части; это делается главным образом для того, чтобы после постройки фундамента произвести точную разбивку сооружения и расположить надфундаментную часть строго по проекту. Ширину уступов СУ в уровне обреза для искусственных сооружений принимают равной 0,2 – 1,0 м. Размеры подошвы фундамента определяются прочностью грунтов основания. В подавляющем большинстве прочность грунтов значительно меньше прочности строительных материалов и фундаменты приходится развивать, уширяя их книзу. Фундаменты под массивные опоры мостов обычно делают из бетонной или буто бетонной кладки. Фундаменты из бетона плохо работают на растяжение, и для предотвращения трещин максимальное развитие подошвы фундамента для мостовых сооружений ограничивается углом α = 300 , что близко к углу распространения внутренних напряжений в кладке (рисунок 3.2). Такие фундаменты называют жесткими. Чаще всего ему придают ступенчатую форму, при которой упрощается конструкция опалубки и облегчается укладка бетонной смеси. В ступенчатых фундаментах высоту уступов назначают равной 0,7…2,5 м, ширину 0,4…1 м. Размеры подошвы фундамента определяют по расчетным нагрузкам, действующим на уровне подошвы и по расчетному сопротивлению грунта, расположенного непосредственно под фундаментом, определяемого по формуле
где R0 – условное сопротивление грунта, кПа. Для супесей, суглинков и глин с IL < 0 R0 = 1,5 Rпс и следует принимать для супесей не более 981 кПа; для суглинков не более 1962 кПа; для глин не более 2943 кПа; Rпс – предел прочности на одноосное сжатие образцов пылевато–глинистого грунта природной влажности, кПа; k1 и k2 – коэффициенты; b – ширина подошвы фундамента, м (если b> 6 м, то принимаем b= 6 м); γ' – средний удельный вес грунта в пределах глубины в без учета взвешивающего действия воды, кН/м3 ; d – глубина заложения фундамента, м; Слагаемое 1,5 γω hω – пригрузка водой, учитывается, если основание сложено глинами и суглинками, где γω – 9,81∙10 кН/м3 – удельный вес воды; hω – глубина воды, от УМВ до уровня местного размыва, м. Далее учитываем собственный вес фундамента, вес грунта, расположенного на его уступах и давление воды на уступы. Эти нагрузки зависят от размеров фундамента, а потому в начале расчета еще не известны. Размеры подошвы фундаментов определяем путем последовательного приближения. В первом приближении можно определить площадь А, м2 подошвы фундамента по формуле А= К3 ∙FV /R, (3.2) где К3 – коэффициент, равный при внецентренном действии силы FV –1,2… 1,6; при центральном – 1,2 … 1,3; FV – расчетная вертикальная сила, действующая по обрезу фундамента, кН; R – определяется по формуле 3.1. По найденному значению А устанавливают размеры подошвы фундамента, намечают число и размеры его ступеней. При этом учитывают форму и размеры площадки, по которой фундаменту передается (на уровне обреза) нагрузка от сооружения и необходимость устройства выступов на уровне обреза. Затем с учетом принятых в первом приближении размеров фундамента определяют нагрузки в различных сочетаниях, действующие по его подошве, и расчетное сопротивление грунта при уточненных размерах фундамента. При вычислении веса фундамента и грунта на его уступах нужно учитывать взвешивающее давление воды. В несвязных и супесчаных водонасыщенных грунта взвешивание водой учитывается во всех случаях, в связных грунтах – только не в водоупорных грунтах. Решение В первом приближении при соответствующих грунтовых условиях можно определить размеры фундамента под опору моста из конструктивных требований (рисунок 3.2), учитывая, что ширина уступов фундамента во всех направлениях одинакова и принимается в пределах СУ = 0,2 – 1 м. Таким образом, приняв СУ = 0,5 м, получаем следующие размеры: – первая ступень а1 хb1 = 9,6х6,1 м; – вторая ступень а2 хb2 = 10,6х7,1 м; – третья ступень а3 хb3 = 11,6х8,1 м; – четвёртая ступень а4 хb4 = 12,6х9,1 м.
Рисунок 3.2 – Размеры обреза опоры и ступеней фундамента. Высоту ступени принимаем 1м, чтобы выполнить условия развития угла α= =300 . Определяем нормативный собственный вес фундамента GФ = 24∙(1∙9,6∙6,1+1∙10,6∙7,1+1∙11,6∙8,1+1∙12,6∙9,1) = 24·(58,56+75,26+93,96+ +114,66) = 8218,56 кН. Вес воды на поверхности уступа фундамента GW = 10∙(9,6∙6,1 – 5,1∙3,5 – 3,14∙5,12 /4)∙2,6 = 10·(58,56 – 17,85 – 20,42)∙2,6 = =527,60 кН. Нормативный вес грунта на уступах фундамента с учетом взвешивающего действия воды
GГР = 9,32∙(12,6∙9,1∙4 – (12,6∙9,1∙1 + 11,6∙8,1∙1 + 10,6∙7,1∙1 + 9,6∙6,1∙1))= =9,32·(458,64 – (114,66 + 93,96 + 75,26 + 58,56)) = 1082,98 кН. Общий вес фундамента Р = GФ + GW + GГР = 8218,56 + 527,60 + 1082,98 = 9829,14 кН. Нормативные значения остальных нагрузок были определены при проверке прочности по обрезу фундамента (таблицы 2.1 и 2.2). Все расчеты усилий от действующих нагрузок и их сочетаний по подошве фундамента производить в табличной форме (таблицы 3.1 и 3.2). Таблица 3.1 –Усилия в сечении по подошве фундамента
Таблица 3.2 – Сочетание нагрузок, действующие по подошве фундамента
Окончание таблицы 3.2
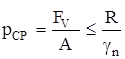
Так как эксцентриситеты в таблице 3.2 не превышают 1 от постоянной и временной нагрузок, то расчет крена фундамента не производим. 3.3 Определение несущей способности основания Размеры подошвы фундамента определяют по расчетным нагрузкам, действующим на уровне подошвы и по расчетному сопротивлению грунта, расположенного непосредственно под фундаментом, исходя из условий p ≤ R / γn ; (3.3) pmax ≤ γс R / γn (3.4) где p и pmax - среднее и наибольшее давление под подошвой фундамента; R – расчетное сопротивление грунта основания сжатию; γn – коэффициент надежности по назначению сооружения, принимаемый для фундаментов мостов и труб равным 1,4; γс – коэффициент условий работы, принимаемый равным: при нескальный грунтах в случае учета действия постоянных нагрузок, временных вертикальных подвижных нагрузок, давления грунта от подвижных нагрузок и нагрузки от центробежной силы – 1,0; при дополнительном учете одной или нескольких других временных нагрузок – 1,2. Если какое–либо из значений pиpmax не удовлетворяет условиям прочности (3.3), (3.4), то это означает, что принятые размеры подошвы фундамента недостаточны. В этом случае принимают новые (увеличенные) размеры подошвы фундамента и снова проверяют выполнение условий прочности (3.3), (3.4). Если какое–либо из значений pиpmax удовлетворяет условиям прочности (3.3), (3.4), но значительно меньше их правой части, то это означает, что принятые размеры подошвы фундамента завышены. В этом случае принимают новые (уменьшенными) размерами подошвы фундамента и снова проверяют выполнение условий прочности (3.3), (3.4). Расчет можно считать законченным, когда левые и правые части выражения (3.3), (3.4) мало отличаются друг от друга. Среднее давление под подошвой центрально загруженного фундамента p = Определяем несущую способность основания из условий: а) для среднего давления подошвы фундамента на основание, кПа
где FV – сила, нормальная к подошве фундамента, из таблицы 2.2, кН; А – площадь подошвы фундамента, м2 ; R – расчетное сопротивление основания, кПа; γn – коэффициент надежности, равный 1,4; б) для максимального давления подошвы фундамента на основание, кПа
где W – момент сопротивления подошвы фундамента относительно оси Х (WX = a∙b2 /6) или Y (WY = b∙a2 /6), м3 ; М – момент относительно оси Х или Y, проходящей через центр тяжести подошвы фундамента, кН∙м; γС –коэффициент условий работы, принимаемый 1 или 1,2 в зависимости от действующих временных нагрузок. Если условия (3.6) и (3.7) не выполняются, следует изменить размеры или глубину заложения фундамента, предусмотреть искусственное закрепление грунтов, запроектировать фундаменты глубокого заложения. Решение Определяем несущую способность основания, исходя из условий (3.6) и (3.7). Расчеты можно выполнять в табличной форме (таблица 3.3). Таблица 3.3 – Проверка прочности грунтового основания
где Wх
WY
Расчетное сопротивление грунтов основания R=1,7∙{R0 ∙[1+к1 ∙(b-2)]+к2 ∙γ' ∙(d-3)}, где R0 – условное сопротивление грунта под подошвой фундамента; к1 ,к2 – коэффициенты; b – ширина подошвы фундамента , м; d – глубина заложения фундамента, м; γ' – усредненное по слоям расчетное значение удельного веса грунта, расположенного выше подошвы фундамента вычисленное без учета взвешивающего действия воды.
где γi – удельный вес i-го слоя грунта, расположенного выше подошвы фундамента, кН/м3 ; hi – толщина i-го слоя грунта, м.
Тогда R = 1,7·(125,77·(1 + 0,02·(6 – 2)) + 1,5·18,66·(4 – 3))+1,5∙10∙3,95 = 337,75 кПа. Для сочетаний 1 и 2 γС = 1, тогда
Для сочетаний 3…6 γС = 1,2, тогда
Результаты вычислений, приводимые в таблице 3.3, показывают, что грунты основания во всех сочетаниях не обладают достаточной несущей способностью, чтобы воспринять передаваемые на них нагрузки. Увеличим высоту фундамента до 6м, т. е. заглубим фундамент во второй слой на 2,8м и пересчитаем фундамент. – первая ступень а1 хb1 = 9,6х6,1 м; – вторая ступень а2 хb2 = 10,6х7,1 м; – третья ступень а3 хb3 = 11,6х8,1 м; – четвёртая ступень а4 хb4 = 12,6х9,1 м; – пятая ступень а5 хb5 = 13,6х10,1 м; – шестая ступень а6 хb6 = 14,6х11,1 м
Рисунок 3.2.1 – Размеры обреза опоры и ступеней фундамента (после увеличения). GФ = 24∙(1∙9,6∙6,1+1∙10,6∙7,1+1∙11,6∙8,1+1∙12,6∙9,1+1∙13,6∙10,1+1∙14,6∙11,1) = =24·(58,56+75,26+93,96+114,66+137,36+162,06) = 15404,64 кН. GW = 527,60 кН.
GГР = 9,07∙(16,6∙11,1∙6 – (14,6∙11,1∙1 + 13,6∙10,1∙1 + 12,6∙9,1∙1 + 11,6∙8,1∙1 + +10,6∙7,1∙1 + 9,6∙6,1∙1))=9,07·(1105,56 – (162,06 + 137,06 + 114,66 + 93,96 + 75,26 + +58,56)) = 4208,48 кН. Общий вес фундамента Р = GФ + GW + GГР = 15404,64 + 527,60 + 4208,48 = 20140,72 кН. Таблица 3.1.1 –Усилия в сечении по подошве фундамента
Таблица 3.2.2 – Сочетание нагрузок, действующие по подошве фундамента
Окончание таблицы 3.2.1
Таблица 3.3.1 – Проверка прочности грунтового основания
Тогда R = 1,7·(125,77·(1 + 0,02·(6 – 2)) + 1,5·18,21·(6 – 3))+1,5∙10∙3,95 = 429,47 кПа. Для сочетаний 1 и 2 γС = 1, тогда
Для сочетаний 3…6 γС = 1,2, тогда
Результаты вычислений, приводимые в таблице 3.3, показывают, что грунты основания во всех сочетаниях не обладают достаточной несущей способностью, чтобы воспринять передаваемые на них нагрузки. Следовательно предпочтительно укладывать свайный фундамент. 4 Конструирование свайного фундамента 4.1 Определение глубины заложения и назначения размеров ростверка Высота ростверка – это расстояние между обрезом и подошвой плиты. Положение обреза назначается на 0,5…1,0 м ниже межени или поверхности грунта или задаётся. Подошву ростверка заглубляют ниже расчётной глубины промерзания пучинистого грунта на 0,25м. В непучинистых грунтах высоту ростверка назначают конструктивно. Обрез свайного фундамента (верх плиты) располагают по тем же правилам, что и в фундаментах мелкого заложения. Плиту делают из бетона, бутобетона или железобетона. Ориентировочно толщину плиты можно принять hp =1,4…2,0м при диаметре ствола dc =30…60см; hp =2,0…3,0м при dc >60см. Ориентировочно толщину плиты можно принять Размеры ростверка в уровне обреза зависят от размеров опоры, а в уровне подошвы – от количества свай и расстояния между ними. Если количество свай невелико, то боковые грани ростверка могут быть вертикальными, в противном случае делается развитие ростверка под углом 30 градусов. Угол отсчитывают от грани опоры, при этом ростверк делают ступенчатым. В данном примере принимаем толщину плиты равной 2м. 4.2 Оценка грунтовых условий и назначение длины свай Предварительные размеры низкого ростверка и глубину его подошвы для курсовой работы разрешается принимать как для фундамента мелкого заложения, размеры которого определены в предыдущих расчетах. Первый слой – песок мелкий рыхлый: g = 19,0 кН/м3 ; gs = 26,5 кН/м3 ; gd = 15,0 кН/м3 ; gsb = 9,32 кН/м3 ;e = 0,77; W = 30,0. Второй слой – суглинок тугопластичный: g = 17,3 кН/м3 ; gs = 26,6 кН /м3 ; gd = 14,1 кН/м3 ; gsb = 8,78 кН/м3 ; e = 0,89; W = =23,0%; WP = 18,0%; WL = 28,0%; IP = 13,0 % ; IL = 0,38; cn = 16,8 кПа; jn = 18,2°; R0 = 125,77 кПа; E = 9,24 мПа. Третий слой – супесь пластичная: g = 19,6 кН/м3 ; gs = 27,5 кН/м3 ; gd = 16,8 кН/м3 ; gsb = 10,67 кН/м3 ; e = 0,64; IP = 4,0; IL = 0,5; W = 17,0; WP = 15,0%; WL = 19,0%; cn = 13,2 кПа; jn = 24,3°; R0 = 24,3 кПа; E = 16,8 мПа. Для фундаментов опор мостов глубина погружения сваи в грунт должна быть не менее 4 м. Длина сваи назначается таким образом, чтобы были прорезаны слабые слои грунта. Нижние концы свай следует заглублять в малосжимаемые крупнообломочные, гравелистые, крупные, средней крупности песчаные грунты, а также в глинистые грунты с показателем текучести IL ≤ 0,1 не менее чем на 0,5 м, в прочие виды нескальных грунтов – на 1,0 м. Оценивая грунтовые условия строительной площадки, можно сделать вывод, что свая может быть заглублена либо во второй слой с условно принятой длиной ℓ св. = 2,8 м, либо в третий слой – супесь пластичную, с условно принятой длиной 13,0 м. Полная длина сваи определяется как сумма ℓсв. = ℓo + åℓгр + ℓн.с. , (4.1) где ℓo – глубина заделки сваи в ростверк, которая принимается не менее 2d при в < 0,6м и не менее чем на 1,2м при в > 0,6м (где в – диаметр круглой или сторона квадратной сваи); åℓгр – расстояние от подошвы до кровли следующего слоя, м; ℓн.с. – заглубление в несущий слой, м. Для нашего примера минимальная расчётная длина сваи заглублённой во второй слой (рисунок 4.1.) составляет ℓ где: ℓo = 2d = 2∙0,30 = 0,6 м, Длина сваи, заглублённой в третий слой ℓ Далее по таблице принимаем: - для первого случая - сваю марки СМ4 – 30, диаметром 30x30 см, длиной 4 м, марка бетона В20; - для второго случая - сваю марки СМ13 – 35, диаметром 35x35 см, длиной 13 м, марка бетона В35.
Рисунок 4.1 - К определению длины сваи. 5 Расчёт свайных фундаментов Расчёт свайных фундаментов и их оснований производится по двум группам предельных состояний: 1) по первой группе предельных состояний определяют несущую способность сваи по грунту, прочность материала свай и ростверков, по несущей способности оснований свайных фундаментов, если на них передаются значительные горизонтальные нагрузки или если основания ограничены откосами или сложены крутопадающими слоями грунта. Расчёт ведётся на основные и особые сочетания расчётных нагрузок с использованием расчётных характеристик материалов и грунтов; 2) по второй группе предельных состояний рассчитываются осадки оснований фундаментов, горизонтальные перемещения свай и свайных фундаментов, образование или раскрытие трещин в элементах железобетонных конструкций. Расчет по деформациям необходимо выполнять на основные сочетания нагрузок. 5.1 Определение несущей способности свай После определения и подбора длины сваи рассчитывается несущая способность свай. Несущая способность Fd , кН, висячей забивной сваи и сваи-оболочки, погружённой без выемок грунта, работающих на сжимающую нагрузку, следует определять как сумму расчётных сопротивлений грунтов основания под нижним концом сваи и на её боковой поверхности Fd = gc ∙(gcr ∙R∙A+∑Ui ·gcf i ∙hi ·Rfi ); (5.1) где gc – коэффициент условия работы сваи в грунте, принимаемый gc =1, а для грунтов Ι типа по просадочности и для биогенных грунтов gc = 0,8; gcr , gcf - коэффициенты условий работы грунта соответственно под нижним концом и на боковой поверхности сваи, учитывающие влияние способа погружения сваи на расчётные сопротивления; R – расчётное сопротивление грунта под нижним концом сваи, кН; А – площадь опирания на грунт свай, м2 , принимаемая по площади поперечного сечения сваи брутто; Ui – усредненный периметр поперечного сечения сваи в i-м слое грунта, м; hi – толщина i –го слоя грунта, соприкасающегося с боковой поверхностью сваи, м; Rfi – расчётное сопротивление (прочность) i – го слоя грунта основания на боковой поверхности сваи, кПа. Одиночную сваю в составе фундамента по несущей способности грунтов основания следует рассчитывать исходя из условия N ≤ где N - расчётная нагрузка, передаваемая на сваю (наиболее невыгодное сочетание), кН;
gк – коэффициент надёжности, равный 1,4 – для фундаментов опор мостов при низком ростверке, сваях или сваях-стойках; при высоком ростверке – только при сваях-стойках, воспринимающих сжимающую нагрузку, независимо от числа свай, если несущая способность сваи определена расчетом. 5.2 Определение количества свай и размещение их в ростверке Проектирование свайных фундаментов ведется по расчетным нагрузкам с учетом различных сочетаний. Все нагрузки каждого сочетания следует привести к уровню подошвы ростверка, учитывая при этом его вес. После приведения нагрузок к уровню подошвы ростверка, необходимое, ориентировочное количество свай n определяют по формуле n = k∙ где k – корректирующий коэффициент, учитывающий влияние изгибающего момента, принимается k=1,1…1,4; N – максимальное нормальное усилие в уровне подошвы ростверка, кН; Gp – вес ростверка (предварительно определённый), кН. Сваи можно размещать в рядовом (рисунок 5.1,а) или шахматном порядке (рисунок 5.1,б). а) б)
а – рядовой порядок б – шахматный порядок Рисунок 5.1 - Размещение свай Расстояние между осями забивных висячих свай в уровне острия должно быть определено из условия a ≥ 3d (d – диаметр круглого или сторона квадратного сечения сваи). Расстояние от грани ростверка до грани сваи или сваи-оболочки должно быть не менее 25 см. В результате размещения свай по ро- стверку может быть уточнено количество свай и размеры в плане (обычно в сторону увеличения). Решение Определить несущую способность и количество свай, разместить их в ростверке при следующих исходных данных: N0 = 36747,68 кН – максимальная нагрузка на подошве фундамента. Используя схему разбивки слоёв грунта hi , приведенную на рисунке 5.2, определим несущую способность висячих свай, погружённых забивкой молотами в третий и четвёртый слои.
Рисунок 5.2 – К определению несущей способности свай Для первого случая при ℓсв = 4м: Суглинок тугопластичный: при z1 = 4,2м; Rf 1 =34,04кПа; h1 =2,0м; Rf 1 ´h1 =68,08кПа∙м; при z2 = 5,3м; Rf 2 =36,16кПа; h2 =0,2м; Rf 2 ´h2 =7,23кПа∙м;
При ℓ1 = 5,4м; R = 2208кПа; gcr =gc f =1; U=4∙0,3=1,2м; А = 0,3∙0,3 = 0,09м2 ; Fd =1(1∙2208∙0,09 +1,2∙1∙75,31)= 1∙(198,72 + 90,37) = 289,09кН. Расчётная нагрузка, допускаемая на сваю Pсв
= Для второго случая при ℓсв = 13м: Суглинок тугопластичный: при z1 = 4,2м; Rf 1 =34,04кПа; h1 =2,0м; Rf 1 ´h1 =68,08кПа∙м; при z2 = 6,2м; Rf 2 =43,36кПа; h2 =2,0м; Rf 2 ´h2 =86,72кПа∙м; при z3 = 8,2м; Rf 3 =46,0кПа; h3 =2,0м; Rf 3 ´h3 =92,0кПа∙м; при z4 = 10,2м; Rf 4 =47,9кПа; h4 =2,0м; Rf 4 ´h4 =95,8кПа∙м; при z5 = 12,2м; Rf 5 =48,87кПа; h5 =2,0м; Rf 5 ´h5 =97,74кПа∙м; при z6 = 13,25м; Rf 6 =49,22кПа; h6 =0,1м; Rf 6 ´h6 =4,92кПа∙м супесь пластичная: при z7 = 13,8м; Rf 7 =37,4кПа; h7 =1,0м; Rf 7 ´h7 =37,4кПа∙м;
при ℓ2 =14,3м; R=1688,33кПа; U=1,4м; gcf =gc f =1; А = 0,1225 м2 ; Fd =1∙(1∙1688,33∙0,1225 +1,4∙482,66∙1)= 1∙(206,82 + 675,72) = 882,54кН. Расчётная нагрузка, допускаемая на сваю Pсв
= Определяем необходимое количество свай в кусте: - для первого варианта n(
1
)
= - для второго варианта n(
2
)
= В обоих вариантах потребуется значительно увеличить размеры ростверка, кроме того, расход материала на сваи для первого варианта составит 0,30∙0,30∙4∙118=42,48м3 . Для второго варианта расход составит 0,35∙0,35∙13∙60=95,55м3 . Поэтому целесообразно увеличить длину свай. Увеличим длину свай для первого варианта до 10 м. По таблице принимаем сваю марки СМ10 – 35, диаметром 35x35 см, длиной 11 м, марка бетона В20. При ℓсв = 11м: Суглинок тугопластичный: при z1 = 4,2м; Rf 1 =34,04кПа; h1 =2,0м; Rf 1 ´h1 =68,08кПа∙м; при z2 = 6,2м; Rf 2 =43,36кПа; h2 =2,0м; Rf 2 ´h2 =86,72кПа∙м; при z3 = 8,2м; Rf 3 =46,0кПа; h3 =2,0м; Rf 3 ´h3 =92,0кПа∙м; при z4 = 10,2м; Rf 4 =47,9кПа; h4 =2,0м; Rf 4 ´h4 =95,8кПа∙м; при z5 = 11,75м; Rf 4 =48,7кПа; h4 =1,2м; Rf 4 ´h4 =58,44кПа∙м
при ℓ=12,3м; R=3494,67кПа; U=1,4м; gcf =gc f =1; А = 0,1225 м2 ;
Рисунок 5.3 – К определению несущей способности свай. Fd =1∙(1∙3494,67∙0,1225 +1,4∙501,04∙1)= 1∙(428,10 + 701,49) = 1129,56кН. Расчётная нагрузка, допускаемая на сваю Pсв
= Определяем необходимое количество свай в кусте: n(
1
)
= После корректировки количества свай с соблюдением симметрии и приняв n=48шт, расход составит 0,35∙0,35∙11∙48=64,68м3 . Размещение свай в плите ростверка показано на рисунке 5.4. Сваи размещаются в рядовом порядке с шагом не менее a> 3∙d = 3∙0,35 = =1,05м.
Рисунок 5.4 - Размещение свай в ростверке После назначения размеров подошвы ростверка уточним его конструкцию. Так как опора моста имеет размеры 8,9´5,4 м, свесы co примем равными 0,5м, а развитие фундамента ограничивается углом a, предельное значение которого для фундаментов опор мостов принимается равным 30°,то ростверк будет иметь следующие размеры (рисунок 5.5):
Рисунок 5.5 - Конструирование ростверка Определяем дополнительную вертикальную нагрузку, действующую по подошве ростверка, за счет собственного веса ростверка Gр и грунта засыпки Gгр на обрезе ростверка Gр = gб ∙Vр , (5.4) Vр = 9,6∙6,1∙1,0 + 10,6∙7,1∙1 = 133,82м3 ; Gр = 24кН/м3 ∙133,82м3 = 3211,68кН. Определяем вес грунта засыпки Gгр = gгр ∙Vгр ; (5.5) Vгр = 10,6∙7,1∙2 - (9,6∙6,1∙1,0 + 10,6∙7,1∙1,0) = 16,7м3 ; Gгр = 19,0кН/м3 ∙16,7м3 = 317,3кН. Определяем расчетную вертикальную нагрузку, действующую по подошве ростверка Nd = N0 + 1,2∙(Gр + Gгр ); (5.6) Nd = N0 + 1,2∙(3211,68 + 317,3) = N0 + 4234,78кН. 5.3 Определение расчетной вертикальной нагрузки на сваю Расчетную нагрузку на максимально нагруженную сваю следует определять для наихудших сочетаний нагрузок по формуле N= где Nd - расчетная вертикальная нагрузка на ростверк, кН;
n - количество свай в ростверке; X, Y- расстояние от главных осей до оси сваи, для которой вычисляется расчетная нагрузка, м; Xi , Yi - расстояние от центральных осей до оси каждой сваи, м. Нагрузка на уровне обреза фундамента: N0
=35595,68кН; Q0
=705,6кН; Решение Определим расчетную вертикальную нагрузку на ростверк Nd = N0 + 4234,78 = 35595,68 + 4234,78 = 39830,46 кН. Максимальный изгибающий момент M M Расстояние от центральной оси до оси каждой сваи (рисунок 5.4)
Тогда N= Проверяем условие N£Pсв , (5.8) N=1010,27 кН > Pсв = 806,83 кН. Следовательно, свайный фундамент запроектирован не рационально. Увеличим количество свай до 60 штук.
Рисунок 5.4.1 – Размещение свай в ростверке (в увеличенном количестве) Расход материала на сваи после исправления составит 0,35∙0,35∙11∙60=80,85м3 . Проверим условие N£Pсв . Nd =39830,46 кН; M Расстояние от центральной оси до оси каждой сваи (рисунок 5.4.1)
Тогда N= N=780,84 кН < Pсв = 806,83 кН. Запас прочности составляет
Следовательно, свайный фундамент запроектирован достаточно рационально. 5.4 Проверка прочности основания куста свай Свайный фундамент с висячими сваями передаёт все нагрузки на основание, расположенное в уровне острия свай. За счёт сил трения между боковой поверхностью сваи и грунтом в передачи на грунт на основание участвует грунт, окружающий сваи. При этом сваи вместе с окружающим грунтом образуют условный сплошной фундамент. Границы условного фундамента определяют следующим образом (рисунок 5.6): а) снизу – плоскостью ВГ, проходящей через нижние концы свай; б) с боков – вертикальными плоскостями АГ и БВ, отстоящими от наружных граней крайних рядов вертикальных свай на расстоянии h´tg(j двух диаметров или меньших сторон поперечного сечения сваи в случаях, когда под нижними концами свай залегают пылевато-глинистые грунты с показателем текучести JL = 0,6; в) сверху – поверхностью планировки грунта.
Рисунок 5.6 - К определению границы условного фундамента Значение j jII
,mt
= где jII , i – расчётные значения углов внутреннего трения грунта по второй группе предельных состояний в пределах слоёв hi ; hi - глубина погружения сваи в грунт, считаем от подошвы ростверка
В собственный вес условного фундамента при определении его осадки включается вес свай и ростверка, а также вес грунта в объёме условного фундамента. Проверку несущей способности по грунту фундамента из свай как условного фундамента следует выполнять по формуле Pmax
£R где Pmax – максимальное давление на грунт по подошве условного фундамента; R – расчётное сопротивление грунта основания; gс - коэффициент условия работы; gn – коэффициент надёжности по назначению сооружения. Максимальное давление Pmax для прямоугольного в плане условного фундамента при нагрузках, действующих вдоль оси моста, определяется по формуле Pmax
= где Nc – нормальная составляющая давления фундамента на грунт, кН, (с учётом веса грунтового массива АБВГ вместе с заключённым в ней ростверком и сваями), (рисунок 5.6); Fh , Mc – соответственно горизонтальная составляющая внешней расчетной нагрузки и её момент относительно главной оси горизонтального сечения условного фундамента в уровне расчётной поверхности грунта, кН∙м; aу , bу – размеры в плане условного фундамента, м; d – глубина заложения условного фундамента, м; k – коэффициент пропорциональности, определяющий нарастание с глубиной коэффициента постели грунта [I, приложение 25] или таблица А.4; св - коэффициент постели грунта в уровне подошвы условного фундамента, определяемый через коэффициент пропорциональности k ; при d£ 10м, св = 10∙k; при в > 10м, св =k∙d. Решение Проверить несущую способность основания. Определим размеры сплошного условного фундамента (рисунок 5.7). ay = a1 + 2∙h∙tg(jII,mt /4); by = b1 + 2∙h∙tg(jIImt /4); (5.12) jII,mt
= ay = 9,8 + 2∙9,1∙tg(18,2°/4) = 11,26м; by = 6,35 + 2∙9,9∙tg(18,2°/4) = 7,81м.
Рисунок 5.7 – К определению размеров условного фундамента Вес типовых свай следует определить по формуле Gсв = 24∙(0,35∙0,35∙10,3∙1,1∙60) = 1998,61 кН. Вес грунтового массива (параллелепипеда АБВГ) определяется с учетом заключенного в нем объёма воды (при наличии водоупорного слоя) по формуле Gгр = (åVi ∙γi )∙1,1 + åVi ·gw , (5.13) где Vi - объём i-го слоя грунта, м3 ; gi - удельный вес i-го слоя грунта (принимаемый с учетом взвешивающего действия воды для водопроницаемых грунтов ) и определяется по формуле gi
= gsbi
= gsi – удельный вес частиц i-го слоя грунта, кН/м; gw – удельный вес воды, gw »10 кН/м3 . Тогда вес грунтового массива будет равен Gгр =(V1гр ∙γsb 1 + V2гр ∙γsb 2 )·1,1 + VВ ∙γВ V1гр ∙γsb 1 = (3,2·7,81·11,26 – (1∙9,6∙6,1 + 1∙10,6∙7,1 + 1,2·0,35· 0,35∙60))·9,32 = =1293,34кН; V2гр ∙γsb 2 = (9,1·7,81·11,26 – 9,1∙0,35∙0,35∙60)·8,78 = 6439,03кН; VВ ∙γВ = (12,3·7,81·11,26 − (1·9,6·6,1 + 1·10,6·7,1 + 10,3·0,35·0,35·60))10 = = 8721,44кН Gгр = (1293,34 + 6439,03)·1,1 + 8721,44 = 17227,05кН. Для рассматриваемого примера N=35595,68кН; Fh =705,6кН; My =7973,28кН∙м.
d = 12,3м < 10м; Св = ki ∙d = 3199∙12,3 = 39347,7кН/м3 ;
= 763,25 кПа. Определим расчётное сопротивление грунта основания (аналогично, как для фундамента мелкого заложения) R = 1,7∙{Ro ∙[I + k1 ∙(b – 2)] + k2 ∙g∙(d – 3)}. (5.15) Для суглинка тугопластичного при e = 0,89; IL = 0,38 получаем R0 = 125,77кПа; k1 = 0,02; k2 = 1,5; g = 17,74 кН/м3 ; R=1,7∙{125,77 [1 + 0,02∙(7,81 – 2)] + 1,5∙17,74∙(11,26 – 3)} + 1,5∙10∙3,95 = =771,56кПа; Pmax = 763,25 кПа < R = 771,56кПа. Следовательно, прочность грунтового основания обеспечена. 6 Расчет осадки фундамента мелкого заложения (Расчет по деформациям). Задача расчета по деформациям состоит в том, чтобы не допустить такие деформации основания, при которых нарушается нормальная эксплуатация надземных конструкций. Под воздействием нагрузки от сооружения его основание деформируется и дает осадку. Осадку фундамента S определяем от действия нормативных постоянных нагрузок, при этом размыв грунта у опоры не учитываем. Для определения конечной осадки основания широко применяется метод по слойного суммирования. При этом считают, что осадка основания происходит в результате уплотнения некоторой толщи грунта ограниченной толщины, называемой активной, сжимаемой зоной – Нс . Методом элементарного суммирования обычно определяют осадку центральной точки подошвы фундамента. Полная осадка S по методу элементарного (послойного) суммирования определяется как сумма осадок элементарных слоев грунта в пределах сжимаемой толщи по формуле S = где b – безразмерный коэффициент, принимаемый равным 0,8; Ei – модуль деформаций i –го слоя грунта, кПа; hi – толщина рассматриваемого слоя, м, которая принимается из выражения hi £ 0,4 b (границы элементарных слоев должны совпадать с границами естественных напластований); b – ширина подошвы условного фундамента, м;
Сжимаемую толщу ограничивают глубиной, ниже, которой сжатием грунта можно пренебречь. Нижнюю границу активной, сжимаемой зоной – Нс
рекомендуют принимать на глубине, где
где gI I ,i – удельный вес i-го слоя грунта, кН/м3 ; gsbi – удельный вес грунта с учетом взвешивающего действия воды для всех типов водонасыщенных грунтов, кроме пылевато-глинистых с показателем текучести IL £0,25; ℓi – толщина i-го слоя грунта, м. Дополнительное (осадочное) вертикальное напряжение в грунте под подошвой определяем по формуле
где Р0
= Рср
-
Рср – давление на уровне подошвы фундамента, кПа; a - безразмерный коэффициент, определяемый по таблице 2.4 в зависимости от h = ℓ/b и относительной глубины При разбивке выделяют границы раздела между разными грунтами, при этом модуль деформации на границе слоев определяется по формуле Еср (
n
-
i
)
= Для расчета осадки основания необходимо вычертить расчетную схему вида (рисунок 6) Величина осадки фундамента S не должна превышать предельно допустимой осадки сооружения. Решение Определить осадку свайного фундамента с условной шириной 7,81м, среднее давление поподошве фундамента Рср = 738,81 кПа, глубина заложения от планировочной отметки -12,3 м. Строим эпюру распределения вертикальных напряжений от собственного веса в пределах глубины 6×b= 6×7,81м = 46,86 м ниже подошвы фундамента согласно формуле. На поверхности грунта σzq 0 = 0 0,2 σzq 0 = 0 На подошве ростверка σzq 1 = γsb 1 ·hp + σzq 0 = 9,32·2,0 + 0 = 18,64кПа 0,2 σzq 1 = 3,73кПа На подошве первого слоя σzq 2 = γsb 2 ·1,2 + σzq 1 = 9,32·1,2+18,64 = 29,82кПа 0,2 σzq 2 = 5,96кПа На подошве условного фундамента σzq 3 = σzq 2 + γsb 2 ·9,1= 29,82 + 8,78·9,1 = 109,72кПа 0,2 σzq 3 = 21,94кПа На подошве второго слоя σzq 4 = σzq 3 + γsb 2 ·1,0 = 109,72 + 8,78·1,0 = 118,50кПа 0,2 σzq 4 = 23,7кПа На подошве третьего слоя σzq 5 = σzq 4 + γsb 3 ·8,6 = 118,50 + 10,67·8,6 = 210,26кПа 0,2 σzq 5 = 42,05кПа. РСР = 738,81 кПа. Р0 = РСР – σzq 5 = 738,81 – 109,72 = 629,09 кПа Разбиваем толщу грунта ниже подошвы фундамента на слои hi ≤ 0,4b; hi ≤ 0,4x7,81 = 3,12 м, примем hi = 2 м < 3,12 м. Соотношение сторон прямоугольного фундамента η = l /b= 11,26/7,81 = 1,44. Вычисления сведем в таблицу 6.1. Осадку определим по формуле (6.1) в пределах сжимаемой толщи, т.е. до точки пересечения эпюр sZip =0,2sZq . Таблица 6.1 – К расчету осадки фундамента
Для элементарных слоёв 2 и 3, находящихся на стыке геологических пластов, вычислим средневзвешенное значение Еi
S = 0 + 0,0217 + 0,0207 + 0,029 + 0,017 + 0,01 = 0,0984м.
Следовательно, основное условие расчета по второй группе предельных состояний удовлетворяется.
Рисунок 6.1 – Расчетная схема к определению осадки 7 Технологические особенности по устройству свайных фундаментов 7.1 Выбор молота для погружения свай В зависимости от грунтовых условий и глубины погружения свай следует принять наиболее рациональный способ погружения. Успешная забивка свай обеспечивается правильным выбором типа и веса молота или вибропогружателя по отношению к весу, несущей способности и размером свай. Механизмы ударного действия следует выбирать по величине минимальной энергии по формуле E³a∙Nсв (7.1) где Е – требуемая энергия удара молота, Дж; Nсв – расчётная нагрузка, передаваемая на сваю, кН; а – коэффициент, равный 25Дж/кН; В зависимости от требуемой величины энергии удара определяют сваебойный агрегат, характеристики которого приведены в таблице 4.2. Принятый тип молота должен удовлетворять условию k³ где Gn – полный вес молота, кН, таблица 4.2; q – масса сваи (включая массу наголовника и подбабка), кН; Еd – расчётное значение энергии удара, кДж, определяемое по таблице 4.3 Молот считается пригодным, если значение k по таблице 4.1 будет превышать значения, вычисленные по формуле (7.2). Решение Молот подбираем по величине минимальной энергии: Е ³ 25∙1,75∙Рсв = 25Дж/кН∙1,75∙806,83кН = 35298,81Дж; Рсв = 806,83кН – расчётная нагрузка на сваю. В зависимости от требуемой величины удара определяют сваебойный агрегат, характеристики которого приведены в таблице 4.2, принимаем трубчатый молот с водяным охлаждением С-1047А с Е = 42,7 кДж. Проверяем условие k ³ где Gn = 36,0кН – масса молота q1 = 32,34 кН – вес железобетонной сваи 0,35∙0,35∙11м; q2 = 1Кн - вес наголовника и подбабка; Ed = 0,9∙G∙Н = 0,4∙25∙2,8 = 28кДж. Тогда имеем
Условие выполняется, значит, молот, годен для забивки свай в данном случае. 7.2 Определение проектного отказа свай Забивные висячие сваи погружают не только до проектной отметки, но и до проектного отказа. При забивке свай длиной 25м определение остаточного отказа сваи Sa (при условии, что Sa ³ 0,002м) возможно по формуле Sa
= где М – коэффициент, принимаемый при забивке свай молотами ударного действия, равный I; h– коэффициент, принимаемый в зависимости от материала сваи: для железобетонных свай с наголовником 1500кН/м2 ; деревянных свай: с подбабком – 800кН/м2 ; без подбабка - 1000кН/м2 ; А – площадь поперечного сечения сваи, м2 ; Еd – расчётная энергия удара молота, кДж; Fd – несущая способность свай, кН; m1 – полная масса молота, т; m2 – масса сваи с наголовником, т; m3 – масса подбабка, т; e2 = 0,2 – коэффициент восстановления удара. В процессе погружения сваи следует контролировать ее отказ. Решение Отказ сваи 35´35см, длиной 11м, забиваемой молотом С-1047А Sa
= 8 Технико-экономическое сравнение двух вариантов и выбор наиболее рационального из них В данном курсовом проекте рассматриваются два варианта фундаментов: фундамент мелкого заложения и свайный фундамент. В применении к заданным геологическим условиям в качестве проектного выбран свайный фундамент. Так как верхний слой и второй слой по своим физико-прочностным характеристикам не могут служить надёжным основанием под фундамент. Наиболее эффективными, при данных геологических условиях будут применение свайного фундамента. Как при производстве работ по возведению свайного фундамента, так и при устройстве фундамента мелкого заложения необходимо задействовать большее количество технических средств, а следовательно и материальных ресурсов на их обслуживание. Свайные фундаменты устраиваются под отдельные элементы конструкций, а в пролётах, между кустами свай, может устанавливаться оборудование большой массы. В данном случае более эффективным будет являться устройство свайного фундамента. 9 Краткое описание технологии сооружения выбранного варианта фундамента С предприятий стройиндустрии или баз комплектации строительных организаций железобетонные сваи доставляют к месту работ в подготовленном виде. Сваи погружают ударом, вибрацией, вдавливанием, завинчиванием, с использованием подмыва и электроосмоса, а также комбинациями этих методов. Эффективность применения того или иного метода зависит в основном от грунтовых условий. В данном курсовом проекте погружение свай ведется ударным методом. Ударный метод основан на использовании энергии удара (ударной нагрузки), под действием которой свая нижней заостренной частью заглубляется в грунт. По мере погружения она смещает частицы грунта в стороны, частично вниз, частично вверх (на дневную поверхность). В результате погружения свая вытесняет объем грунта, практически равный объему ее погруженной части, и таким образом дополнительно уплотняет грунтовое основание. Зона заметного уплотнения грунта заметно распространяется в плоскости, нормальной к продольной оси сваи, на расстояние, равное 2…3 диаметрам сваи. Ударную нагрузку на оголовок сваи создают специальными механизмами-молотами самых разных типов, основными из которых являются дизельные. В данном курсовом проекте на строительной площадке применяется трубчатый дизель-молот. В трубчатых дизель - молотах неподвижный цилиндр, имеющий шабот (пяту), является направляющей конструкцией. Ударная часть молота- подвижный поршень с головкой. Распыление топлива и воспламенение смеси происходит при ударе головки поршня по поверхности сферической впадины цилиндра, куда подается топливо. Число ударов в минуту у трубчатых дизель - молотов составляет около 47…55. Основной показатель, характеризующий погружающую способность молота, энергия одного удара. Энергия одного удара зависит от веса и высоты падения ударной части, а также энергии сгорания топлива. В комплект к молоту входит, как правило, наголовник, который необходим для закрепления сваи в направляющих сваебойной установки, предохранения головы сваи от разрушения ударами молота и равномерного распределения удара по площади сваи. Внутренняя полость наголовника должна соответствовать очертанию и размерам головы сваи. Для забивки свай с целью удержания в рабочем положении молота, подъема и установки свай в заданном положении применяют специальные подъемные устройства-копры. Основная часть копра - его стрела, вдоль которой устанавливается перед погружением и опускается по мере его забивки молот. Наклонные сваи погружают копрами с наклонной стрелой. Копры бывают на рельсовом ходу (универсальные металлические башенного типа) и самоходные - на базе кранов, тракторов, автомашин и экскаваторов. Универсальные копры имеют значительную собственную массу (вместе с лебедкой-до 20 т). Монтаж и демонтаж этих копров, и устройство для них рельсовых путей - весьма трудоемкие процессы, поэтому их применяют для забивки свай длиной более 12м при большом объеме свайных работ на объекте. Наиболее распространены в промышленном и гражданском строительстве сваи длиной 6…10м, которые забивают с помощью сваебойных самоходных установок. Эти сваебойные установки маневренны и имеют устройства, механизирующие процесс подтаскивания и подъема сваи, установку головы сваи в наголовник, а также выравнивание стрелы. Подготовка площадки для свайных работ. В состав подготовительных работ входят: перенос или защита существующих инженерных сетей; освобождение площадки от строений, насаждений, мусора, снега; устройство водоотвода; планировка площадки с учетом уклона водостока; прокладка временных дорог, ограждение площадки; устройство наружного освещения, временных сетей электроэнергии, воды, пара, сжатого воздуха; организация площадок для складирования свай и других материалов; заводы и приемка свай, железобетонных элементов ростверка. Оси геодезической разбивки рядов свай выносят за пределы котлована и закрепляют на обноске или створных знаках. Затем их нумеруют и составляют схему расположения знаков разбивки и привязки к опорной сети. Места погружения каждой сваи закрепляют инвентарными металлическими штырями. Вертикальные отметки голов и низа ростверков контролируют по специально установленным реперам, которые должны быть привязаны к государственной геодезической сети. Исполнительная схема разбивки и закрепления осей свай прилагается к акту о выполненных работах. Транспортирование и раскладка свай. После доставки свай на объект сваевозами или другими транспортными средствами проверяется правильность маркировки элементов и проводится наружный осмотр свай. Сваи целесообразно разгружать, раскладывая непосредственно в зоне работы копра. Они могут быть уложены поодиночке или штабелями, головами к копру, перпендикулярно оси его движения. Железобетонные сваи укладывают в штабеля высотой 3-4 ряда на деревянные прокладки размерами 10×6×20 см, располагаемые под монтажными петлями. При разгрузке и складировании подтаскивать сваи волоком не разрешается. Для подачи сваи к копру используют сваеустановщик, самоходный кран, автопогрузчик, оборудованный специальным захватом, или лебедку копра. Забивку свай начинают с медленного опускания молота на наголовник после установки сваи на грунт и ее выверки. Под действием веса молота свая погружается в грунт. Чтобы обеспечить правильное направление сваи, первые удары производят с ограничением энергии удара. Затем энергию удара молота постепенно увеличивают до максимальной. От каждого удара свая погружается на определенную величину, которая уменьшается по мере углубления. В дальнейшем наступает момент, когда после каждого залога свая погружается на одну и туже величину, называемую отказом. Сваи забивают до достижения расчетного отказа, указанного в проекте. Измерение отказов следует производить с точностью до 1мм. Отказ принято находить как среднюю величину после замера погружения сваи от серии ударов, называемой залогом. При забивке свай дизель – молотами залог принимают равным 10 ударам, а при забивке молотами двойного действия – число ударов за 1…2 мин. Если средний отказ в трех последовательных залогах не превышает расчетного, то процесс забивки свай считают законченным. Сваи, не давшие контрольного отказа, после перерыва продолжительностью 2…3 дня подвергают контрольной добивке. Если глубина погружения сваи не достигла 85% проектной, а на протяжении трех последовательных залогов получен расчетный отказ, то необходимо выяснить причины этого явления и согласовать с проектной организацией порядок дальнейшего ведения свайных работ. В мостостроении широко применяют типовые призматические железобетонные сваи квадратных сечений 30x30, 35x35, и 40x40 см, изготовляемые из обычного или предварительно напряжённого железобетона. Ненапряжённые мостовые трещиностойкие сваи (рисунок 10.1) с допустимым раскрытием трещин не более 0,1 мм используют в фундаментах с высокими ростверками и в свайных опорах-фундаментах мостов эстакадного типа. Их также изготовляют для обычных климатических условий и в северном исполнении. Все мостовые сваи имеют защитный слой рабочей арматуры для обычных климатических условий 30 мм, а в северном исполнении – 50 мм. Рабочая арматура свай – периодического профиля класса А-II. Каждой сваи присваивается марка. Например, марка сваи СМ11-35 (рисунок 10.1) означает: С – свая; М – мостовая; 11 – длина, м (L); 35 – сторона сечения сваи, см. Также после последнего числа в обозначении могут стоять буква и следующая за ней число (в обозначениях нетрещиностойких свай эта буква и число опускаются), которые обозначают трещиностойкость и тип армирования, соответственно. Для обозначения свай в северном исполнении после цифры указывающей тип армирования, добавляется буква С. Свая снабжена фиксирующим штырём для подачи её на копер при забивке и имеет две петли для захвата при транспортировке и складировании. Положение штыря и петель установлены из условия равенства изгибающих моментов от действия собственного веса сваи над точками строповки и в пролёте, что соответствует минимуму моментов в свае. Головы свай армируют сварными сетками для исключения их повреждения при забивке в тяжёлые грунты. При забивке наибольшие напряжения возникают у концов свай. С учётом этого предусмотрен меньший шаг поперечной арматуры в этих местах.
Рисунок 10.1 – Конструкция мостовой призматической сваи из обычного железобетона сечением 35x35 см. 11 Последовательность забивки свай Нужно выбрать такую, последовательность, чтобы обеспечить минимум непроизводительных затрат времени на перемещение путей для копра, на перемещение копра или крана, на изменение наклона стрелы копра или крана, на установку копра над местом забивки. В этом отношении удобна рядовая забивка свай, когда их погружают последовательно ряд за рядом, начиная с крайнего и кончая крайним (рисунок 11, а). Если в фундаменте вертикальные сваи чередуются с наклонными, то целесообразно сначала забить вертикальные сваи, а затем, придав стреле копра наклонное положение, погружать наклонные. При забивке краном с использованием направляющих каркасов вертикальные и наклонные сваи можно забивать подряд. Практикой свайных работ установлено, что при значительном числе свай в фундаменте и небольших расстояниях между ними последовательность их погружения существенно влияет на характер уплотнения грунта между сваями и на вид деформации поверхности грунта. При рядовой забивке свай грунт отжимается вперёд по ходу бойки. Грунт уплотняется неравномерно и, кроме того, происходит пучение его поверхности. Профиль выпученного грунта обычно оказывается односторонне приподнятым. Наибольшее пучение наблюдается у рядов свай, забиваемых последними. При забивке свай концентрическими рядами от краёв к центру (рисунок 11, б) грунт в середине настолько уплотняется, что забивка последних центральных свай на требуемую глубину становится часто невозможной. Во избежание этого при большом количестве свай необходимо забивать сваи от центра к краям (рисунок 11, в). Может оказаться также целесообразным применить секционный порядок забивки (рисунок 11, г). В последнем случае вначале забивают несколько рядов свай на значительном расстоянии друг от друга, а затем забивают сваи в образовавшиеся ячейки. При малом числе свай, а также в случае значительных расстояний между их осями t>5d последовательность забивки мало влияет на характер деформации грунта между сваями. В этих случаях её нужно устанавливать исходя из удобства производства работ.
Рисунок 11 – Последовательность забивки свай. Список используемой литературы 1 СНиП 2.05.03-84 Мосты и трубы. – М.:Стройиздат,1985. – 38 с. 2 Корбут Е.E.,Гомелюк И.В. Методические указания к выполнению второго раздела курсовой работы “Свайные фундаменты” по дисциплине “Фундаменты транспортных сооружений”.Могилев,2003. 3 Корбут Е.Е. Методические указания к выполнению раздела курсовой работы “Фундаменты мелкого заложения” подисциплине “Фундаменты транспортных сооружений”. Могилев,2008. 4 Костерин Э.В.Основания и фундаменты./Э. В. Костерин 2-ое изд., перераб.и доп.М.:Высшая школа,1978. – 375 с. 5 СНБ 5.01.01-99. Основания и фундаменты зданий и сооружений. – Минск: М-во архитектуры и стр-ва РБ, 1999 – 42 с. 6 СТБ 943-93 – Грунты. Классификация. Минск: М-во архитектуры и стр-ва РБ, 1999 – 18 с. |
||||||||||||||||||||||||||||||||||||||||||||||||||||||||||||||||||||||||||||||||||||||||||||||||||||||||||||||||||||||||||||||||||||||||||||||||||||||||||||||||||||||||||||||||||||||||||||||||||||||||||||||||||||||||||||||||||||||||||||||||||||||||||||||||||||||||||||||||||||||||||||||||||||||||||||||||||||||||||||||||||||||||||||||||||||||||||||||||||||||||||||||||||||||||||||||||||||||||||||||||||||||||||||||||||||||||||||||||||||||||||||||||||||||||||||||||||||||||||||||||||||||||||||||||||||||||||||||||||||||||||||||||||||||||||||||||||||||||||||||||||||||||||||||||||||||||||||||||||||||||||||||||||||||||||||||||||||||||||||||||||||||||||||||||||||||||||||||||||||||||||||||||||||||||||||||||||||||||||||||||||||||||||||||||||||||||||||||||||||||||||||||||||||||||||||||||||||||||||||||||||||||||||||||||||||||||||||||||||||||||||||||||||||||||||||||||||||||||
, (1.6)

, (3.6)
, (3.7)
– момент сопротивления в продольном направлении, см3
;
– момент сопротивления в поперечном направлении, см3
;
, (3.8)






(5.7)

, (5.9)
, (5.11)
;
.
(6.1)
. (6.2)
(6.5)

