1 Ярус
в архитектуре, одна из частей (секций) сооружения, планировочно или конструктивно повторяющихся и расположенных друг над другом (Я. называют, например, расположенные на разной высоте галереи или балконы в театральном зале).
2 Котлован необходим для сооружения фундамента и подземной части инженерного сооружения. В проекте устанавливают размеры и расположение сооружения, ширину а и длину b дна котлована (а и b несколько больше соответствующих размеров сооружения) (рис. 1.37). Крутизну откоса котлована, дамб, траншей и т. п. определяют уклоном i, равным отношению превышения к оризонтальному проложению, т. е. i = h/d = = tgv. Кроме того, для этой цели опользуют коэффициент откоса т = d/h = l/i =ctgv, v — угол наклона.
Объём котлована для небольших сооружений определяют по приближенной формуле
(1.28)
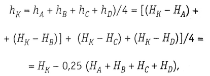
где Рк
= ab — площадь дна котлована, Р'к
= a'b' на уровне физческой поверхности, hK
— средняя глубина котлована, определяемая по формуле

где НK
— отметка для котлована; НА
, НВ
, НС
, НD
- высоты углов котлована на уров физической поверхности земли.
Для больших котлованов и при повышенной точности определения объема котлован делят на части, каждая и которых близка к геометрической фигуре, определяют объемы этих фигур сумма полученных объемов равна объему котлована. Из-за значительных не ровностей земной поверхности на участке работ иногда возникает необходу мость строить вертикальные сечения котлована и использовать их для боле точного определения объема котлована.

3 Основным грунтоуплотняющим средством до указанного периода являлся гладковальцовый статический каток прицепного или самоходного типа, пригодный только для прикатки и выравнивания приповерхностной зоны (до 15 см) отсыпанного слоя грунта, да еще ручная трамбовка, применявшаяся главным образом на уплотнении покрытий, при ремонте выбоин и для уплотнения обочин и откосов. Более универсальным, т.е. способным уплотнять различные типы грунтов, в том числе связные, несвязные и смешанные, показал себя метод трамбования. Одновременно с пневмокатками развивались, совершенствовались и приобретали все большую популярность, особенно в 50-е годы, вибрационные грунтоуплотняющие средства – виброплиты, гладковальцовые и кулачковые виброкатки. Причем, со временем на смену прицепным моделям виброкатков пришли более удобные и технологичные для выполнения линейных земляных работ самоходные шарнирно-сочлененные модели или, как их назвали немцы, «вальцен-цуг» (тяни-толкай). Кулачковый виброкаток фирмы BOMAG
С увеличением содержания глинистых частиц прочность грунта возрастает до 1,5–2 раз по сравнению с песчаными грунтами. Реальная влажность связных грунтов является очень важным показателем, влияющим не только на прочность, но и на их уплотняемость. Наилучшим образом такие грунты уплотняются при так называемом оптимальном содержании влаги. С превышением реальной влажностью этого оптимума снижается прочность грунта (до 2 раз) и существенным образом понижается предел и степень возможного его уплотнения. Наоборот, с уменьшением влажности ниже оптимального уровня предел прочности резко возрастает (при 85% от оптимальной – в 1,5 раза, а при 75% – до 2 раз). Вот почему так трудно уплотнять маловлажные связные грунты.
По мере уплотнения грунта растет и его прочность. В частности, по достижении в насыпи коэффициента уплотнения 0,95 прочность связного грунта повышается в 1,5–1,6 раза, а при 1,0 – в 2,2–2,3 раза по сравнению с прочностью в начальный момент уплотнения (коэффициент уплотнения 0,80–0,85).
У глинистых грунтов, обладающих выраженными реологическими свойствами вследствие их вязкости, динамическая прочность на сжатие может возрасти в 1,5–2 раза при времени их нагружения 20 мсек (0,020 сек), что соответствует частоте приложения виброударной нагрузки 25–30 Гц, а на сдвиг – даже до 2,5 раз по сравнению со статической прочностью. При этом динамический модуль деформации таких грунтов повышается до 3–5 раз и более.
Это свидетельствует о необходимости прикладывать к связным грунтам более высокие уплотняющие давления динамического характера, чем статического, чтобы получить одну и ту же деформацию и результат уплотнения. Очевидно поэтому некоторые связные грунты можно было эффективно уплотнять статическими давлениями 6–7 кгс/см 2
(пневмокатки), а при переходе на их трамбование потребовались динамические давления порядка 15–20 кгс/см 2
.
Такое различие обусловлено разной скоростью изменения напряженного состояния связного грунта, при росте которой в 10 раз его прочность повышается в 1,5–1,6 раза, а в 100 раз – до 2,5 раз. У пневмоколесного катка скорость изменения контактных давлений во времени составляет 30–50 кгс/см 2
*сек, у трамбовок и виброкатков – около 3000–3500 кгс/см 2
*сек, т.е. повышение составляет 70–100 раз.
Для правильного назначения функциональных параметров виброкатков в момент их создания и для управления технологическим процессом выполнения этими виброкатками самой операции уплотнения связных и других разновидностей грунтов крайне важно и необходимо знать не только качественное влияние и тенденции изменения пределов прочности и модулей деформации этих грунтов в зависимости от их грансостава, влажности, плотности и динамичности нагрузки, но и иметь конкретные значения этих показателей.
4 Сегодня в строительстве используется несколько видов кирпичной кладки. В качестве основных способов можно назвать кладку вприжим и впритык. Выбор того или иного способа определяется степенью пластичности раствора. В случае применения жесткого раствора, который дает 7-9 сантиметров осадки конуса, применяется кладка вприжим. Эта технология обеспечивает полное заполнение швов раствором, после чего производится их расшивка. При расстилании раствора соблюдается отступ 10-15 миллиметров от лицевой поверхности стены. Разравнивание раствора кельмой производится по направлению от последнего уложенного кирпича. При этом подготавливается растворная постель для нескольких кирпичей. После этого, часть раствора подгребают кельмой к предыдущему кирпичу и прижимают к его торцевой стороне. Опустив следующий кирпич на растворную постель, его следует плотно прижать к полотну кельмы. После этого кельму резко вынимают, в результате чего раствор фиксируется между торцами кирпичей. После этого кирпич осаживается и излишки раствора подрезают. Метод вприжим дает кладку высокой прочности. Однако сам способ кирпичной кладки является наиболее сложным и трудоемким. Способом впритык выполняется кладка на подвижном растворе с осадкой конуса 12-13 сантиметров. При этом производится неполное заполнение швов раствором со стороны лицевой поверхности стены. Раствор при кладке этим методом расстилают с отступом 20-30 миллиметров от лицевой поверхности стены и во время кладки наружу не выжимается. Характерной особенностью этого метода является то, что раствор с грядки загребается гранью укладываемого кирпича, начиная с расстояния 8-12 сантиметров от предыдущего кирпича, который уже уложен. При этом часть раствора снимается с растворной постели и заполняет собой вертикальный шов, после чего кирпич осаживается. Способ кладки впритык является наиболее простым и наименее трудоемким. Своеобразным сочетанием этих двух способов кладки является способ впритык с подрезкой, который позволяет выполнять достаточно прочную кладку с полным заполнением швов с меньшими трудозатратами, по сравнению с методом кладки вприжим. Раствор для этого способа используется с подвижностью 10-12 сантиметров осадки конуса. Расстилание раствора производится так же, как и при методе вприжим, а сама технология кладки аналогична технологии метода впритык.
|