Реферат: Сущность и функции цен 3
|
Название: Сущность и функции цен 3 Раздел: Рефераты по экономике Тип: реферат | |||||||||||||||||||||||||||||||||||||||||||||||||||||||||||||||||||||||||||||||||||||||||||||||||||||||||||||||||||||||||||||||||||||||||||||||||||||||||||||||||||||||||||||||||||||||||||||||||||||||||||||||||||||||||||||||||||||||||||||||||||||||||||||||||||||||||||||||||||||||||||||||||||||||||||||||
Бутакова М.М. Конспект лекций и тексты для чтения«Ценообразование в рыночной экономике»Тема 1. Ценообразование и характеристики рынка Тема 2. Теоретические и практические аспекты оценки и анализа эластичности спроса Тема 3. Методы сбора информации об изменении спроса при изменении цен Тема 4. Система цен в экономике Тема 5. Методы государственного регулирования цен Тема 6_1. Вопросы ценообразования в Гражданском Кодексе Российской Федерации Тема 6_2. Вопросы ценообразования в Налоговом Кодексе Тема 7. Анализ безубыточности решений в ценообразовании Тема 8. Детальный анализ безубыточности решений в ценообразовании Тема 9. Методы затратного ценообразования Тема 10. Методы рыночного ценообразования Тема 11. Ценообразование на конкурсные проекты Тема 12. Стратегия ценообразования Тема 13. Тактика ценообразования Тема 14. Ценообразование на рынке товаров Тема 15. Ценообразование на рынке услуг 1.1. Сущность и функции ценФункции цены отражают ее сущность, роль в экономике, место среди других экономических категорий и взаимосвязь с этими категориями. В экономической литературе традиционно выделяют следующие функции цен:
Некоторые авторы выделяют более широкий перечень функций цен. Учетно-измерительная функция – отражает возможность использования цены для измерения результатов и стоимостного учета различных экономических процессов. Цена в этом качестве выступает как денежное выражение общественно признанных затрат труда и его полезности. Реализуя учетно-измерительную функцию, цена дает возможность, во-первых, определить затраты различных ресурсов на производство товара (трудовых и материальных), во-вторых, сопоставить различные товары и услуги, в-третьих, организовать товарообмен, определив количество денег, которое покупатель должен уплатить, а продавец получить за товар. Кроме того, цена является носителем важнейшей экономической информации и участвует в расчете всех стоимостных показателей, используемых в статистике, анализе и прогнозировании экономических систем (валовый национальный продукт, валовый региональный продукт, объем реализованной продукции, объем товарооборота и т.д.). Цена также участвует в расчете таких показателей как фондоотдача, производительность труда, рентабельность. Цена может существенно отклоняться от издержек. Особенностью современной экономики является существенное отклонение цены от издержек по новым, престижным товарам, учет в цене имиджа фирмы. Налоговый кодекс дает право контролировать налоговым органам правильность цен при товарообменных операциях (часть 1, ст. 40). Регулирующая функция или функция сбалансирования спроса и предложения – через цены осуществляется связь производства и потребления, предложения и спроса. Цена свидетельствует о равновесном состоянии или о наличии диспропорций на рынке товара. На конкурентном рынке цена устанавливается в результате стихийного взаимодействия предложения и спроса, а на монополизированном или регулируемом государством, на формирование цены могут оказывать влияние нерыночные силы. В условиях рыночной экономики не только конечный товар, но и каждый производственный ресурс имеет свою цену. Цена ресурсов, как цена любого товара, реагирует на изменение спроса и предложения. Учитывая сложившиеся уровни цен на производственные ресурсы, производитель стремится минимизировать затраты на производство продукции (ресурсосбережение, технологический прогресс, появление новых видов материалов). Стимулирующая функция цены проявляется через ее воздействие на продавца и покупателя товаров. Совершая товарообменную, операцию оба ее участника стремятся к достижению наилучших результатов. Для продавца – это получение наибольшей выручки и прибыли, для покупателя – минимизация затрат на приобретение товара определенного качества. Цена оказывает непосредственное влияние на достижение этих результатов. На производителя стимулирующее или сдерживающее воздействие оказывают:
На потребителя стимулирующее или сдерживающее воздействие цен может проявляться через:
Перераспределительная функция цен означает, что с помощью цены осуществляется перераспределение вновь созданной стоимости между отраслями, секторами национальной экономики, регионами страны, социальными группами, иными словами происходит регулирование доходов отраслей, организаций, населения. Способы перераспределения доходов с помощью цены:
Пример. Цены на топливо и энергию повышаются намного быстрее, чем цены в целом по народному хозяйству, а закупочные цены в сельском хозяйстве – более медленно. Учитывая, что сельское хозяйство является одним из крупнейших потребителей топлива и энергии, можно говорить о ценовых диспропорциях, основанных на монопольной власти и перераспределении национального дохода из одних отраслей в другие через систему неравновесных цен.
Особенно наглядно эта функция отражается в ценах, регулируемых государством. Государство, регулируя с помощью цен накопление отдельных отраслей экономики, влияет на темпы их развития, обеспечивая достижения национальных приоритетов. Одновременно перераспределение накоплений через систему цен из одних отраслей в другие может привести к отставанию в развитии, снижению конкурентоспособности отдельных отраслей. Государство может использовать перераспределительную функцию цены для решения социальных задач, создавая через цену благоприятные (неблагоприятные) условия для потребления товаров, поддерживая наименее социально защищенные слои населения. В заключение вопроса следует отметить, что, во-первых, цена экономическая категория, существует объективно, и функции цен проявляют воздействие объективно, т.е. их следует учитывать при формировании собственной ценовой политики; во-вторых, все функции взаимосвязаны и находятся в единстве и взаимодействии. Они проявляются как в системе цен, так и в ценах на отдельный товар. 1.2. Особенности ценообразования на рынках различных типовЧетыре основных типа рынка:
В области ценообразования на рынке свободной конкуренции:
К организациям, работающим на рынке свободной конкуренции можно отнести организации розничной торговли, не имеющие устоявшегося фирменного знака и торгующие однородным стандартным товаром, не имеющие собственного бренда (овощи, фрукты, сахар, текстиль, строительные и лесоматериалы). Монополистическая конкуренция – такая рыночная структура, при которой многие продавцы конкурируют при продаже дифференцированных товаров на рынке, где возможно появление новых продавцов. Ценообразование на рынке монополистической конкуренции осуществляется в условиях монополии предприятия при установлении цены на свой фирменный товар, ограниченной наличием конкурентных заменителей товаров других предприятий, представленных на рынке. Так как продукция взаимозаменяема, то спрос на продукцию отдельного конкурента зависит не только от цены его продукции, но и от цен других конкурентов. Олигополия – рыночная структура, при которой большая выпускаемой продукции производится несколькими крупными фирмами, каждая из которых достаточно велика и оказывает влияние на рынок собственными действиями. Некоторые предприятия занимают на рынке удельный вес более 20% в результате способны влиять на цену и объем продаж; Предприятия осознают свою зависимость от конкурентов и учитывают их реакцию. В качестве методов согласования ценовой политики могут быть единая система расчета издержек, единые методы ценообразования, приблизительно одинаковые прейскурантные цены. Монополия – тип рыночной структуры, для которой характерно: Фирма монополист не зависит от цен, складывающихся на рынке, а сама их устанавливает. Цены на его товар ограничены покупательской оценкой их полезности относительно дохода и общим состоянием конъюнктуры рынка. Монополист должен учитывать возможность переключения спроса покупателей на товары неполные заменители. В связи с исключительным положением монополиста на рынке его деятельность часто регулируется государством. 2.1. Понятие эластичности. Значение коэффициентов эластичности в исследовании рынкаВ математике обычно коэффициент эластичности представляет собой отношение темпов роста зависимой переменной к темпам роста независимой переменной (признака-фактора). Коэффициент эластичности позволяет судить, на сколько процентов изменится зависимая переменная при изменении независимой переменной на 1%. Таким образом, если выявлена причино-следственная зависимость между переменными, можно рассчитать коэффициент эластичности одной из этих переменных по другой. Причино-следственные зависимости исследуются в корреляционно-регрессионном анализе, при этом корреляция описывает тесноту связи, а регрессия форму связи. В отличие от них, эластичность характеризует зависимость изменений. Коэффициенты эластичности необходимо учитывать при выборе стратегии и тактики ценообразования, анализе и прогнозировании спроса. Ценную информацию для принятия решений в области ценообразования несут следующие коэффициенты эластичности:
2.2. Эластичность спроса по ценеПо значению коэффициента эластичности товары обычно делят на 4 группы:
Для количественной оценки степени эластичности различных товаров могут быть использованы общие, дуговые и точечные коэффициенты эластичности. Общий коэффициент эластичности
где KЭ – коэффициент эластичности спроса по цене; Δq – процентное изменение спроса; Δp – процентное изменение цены. Дуговой коэффициент эластичности
где p 1 – начальный уровень цены; p 2 – конечный уровень цены; q 1 – начальный уровень объема спроса; q 2 – конечный уровень объема спроса. Точечный коэффициент эластичности рассчитывается как предельная форма выражения дугового коэффициента эластичности. Таблица 1 Факторы, влияющие на эластичность спроса по цене
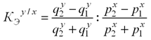
2.3. Перекрестная эластичность спроса. Взаимозаменяемые, взаимодополняемые и нейтральные товарыДля принятия ценовых решений необходимо рассчитать перекрестные коэффициенты эластичности спроса от цен. Спрос на какой-либо товар зависит не только от его цены, но и от уровня цен на другие товары (в первую очередь заменяющие его). Коэффициент перекрестной эластичности показывает, на сколько процентов изменится спрос на данный товар при изменении цены на другой товар на один процент, при условии, что остальные цены и доход останутся неизменными.
где KЭ y/x – коэффициент перекрестной эластичности спроса на товар у при изменении цены товара х ; p 1 x – начальный уровень цены товара х ; p 2 x – конечный уровень цены товара х ; q 1 y – начальный уровень объема спроса на товар у ; q 2 y – конечный уровень объема спроса на товар у . Взаимодополняющие товары – коэффициент перекрестной эластичности отрицательный. Взаимозаменяющие товары – коэффициент перекрестной эластичности положительный. Независимые товары – коэффициент перекрестной эластичности равен нулю. Учет перекрестной эластичности спроса по цене может существенно повлиять на принятие стратегических и тактических решений на конкурентном рынке. 2.4. Эластичность спроса по доходамЭластичность спроса от дохода характеризует относительное изменение спроса на товар при изменении дохода потребителя. Принимая решение о цене товара, следует учитывать, что изменение доходов потребителей может по-разному сказаться на динамике спроса. Графическое изображение этой зависимости представлено кривыми Энгеля, а форма зависимости описывается уравнениями Тронквиста. Возможные ситуации:
Эластичность спроса по доходам существенно различается для разных категорий покупателей, поэтому коэффициентами эластичности следует пользоваться только в пределах одной доходной группы. Более точные модели учитывают различную эластичность спроса по доходам, выделяя различные категории по возрасту, полу, социальным характеристикам. Нет четких границ для отнесения товаров к товарам необходимости и предметам роскоши. При этом эластичность спроса на товар может меняться в разные периоды. По мере сближения степени дифференциации в уровне доходов происходит снижение различий в степени эластичности расходов на различные блага, т.е. выравнивается степень настоятельности потребности. Классификация методов изучения поведения покупателейТаблица 2 Методы изучения поведения покупателей
3.2. Методы, основанные на анализе фактических данных о покупкахДостоинством данной группы методов является простота сбора и достоверность информации. Недостатком – "исторический" характер информации, условность ее перенесения в будущее (в одну реку нельзя войти дважды). Факторы, способные изменить спросовые реакции покупателей:
Методы сбора информации:
3.3. Методы, основанные на выявлении предпочтений и намерений покупателейПотребность в сборе информации данными методами возникает в следующих случаях:
Достоинством данной группы методов является опережающий характер информации. Недостатком – субъективный характер оценок, которые в ряде случаев могут не совпадать с действительным поведением покупателей в будущем. Методы сбора информации:
4.1. Виды ценМногообразие цен и оснований для их классификации позволяет на практике объединять их в различные группы. Некоторые из наиболее часто используемых классификаций приведены в таблице. Таблица 3
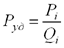
4.2. Характеристика цен по стадиям движения товараОтпускные (оптовые) цены на товары народного потребления, продукцию производственно-технического назначения, услуги устанавливаются изготовителями по согласованию на равноправной основе с потребителями продукции и применяются при расчетах изготовителей и импортеров со всеми потребителями, кроме населения. Оптовые и отпускные цены включают в себя расходы, связанные с производством и реализацией и налоги, предусмотренные налоговым законодательством, а также прибыль (убыток). Состав расходов, связанных с производством и реализацией, определяется в порядке, установленном Налоговым Кодексом Российской Федерации (Глава 25, ст. 252-272). Прибыль (убыток) определяется как положительная (отрицательная) разница между выручкой от реализации (без налога на добавленную стоимость и акцизов) и расходами, связанными с производством и реализацией продукции (услуг). Структура оптовой цены может быть представлена следующим образом: Таблица 4
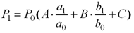
Оптовые (отпускные) цены на импортную продукцию включают в себя импортную стоимость (фактурную стоимость), указанную в счете поставщика и пересчитанную в рублях по курсу, установленному Центральным Банком России на дату принятия грузовой таможенной декларации к таможенному оформлению с добавлением установленных сборов (платежей) за таможенное оформление товара, а по товарам, подлежащим обложению импортными пошлинами – на величину этих пошлин с добавлением всех расходов по закупке и доставке продукции, издержки импортера, связанные с транспортировкой, хранением и реализацией продукции на территории края и Российской Федерации, а также прибыли импортера. Цены закупа (продажные цены оптового посредника) применяются при расчетах посредников с потребителями товаров народного потребления, продукции производственно-технического назначения (кроме населения). Цена закупа включает в себя отпускную (оптовую) цену и снабженческо-сбытовую надбавку. Снабженческо-сбытовая надбавка включает в себя налоги, издержки обращения (себестоимость), включающие затраты посредника на реализацию и хранение продукции, в том числе транспортные, кроме стоимости приобретенного товара, а также прибыль (убытки) торгово-закупочной, снабженческо-сбытовой и иной организации или гражданина, зарегистрированного в качестве индивидуального предпринимателя. Розничные цены на продукцию (услуги) производственно-технического назначения и товары народного потребления применяются при расчетах изготовителей и импортеров, розничных торговых, иных предприятий и организаций с населением. Розничная цена включает в себя отпускную (оптовую) цену или цену закупа и торговую наценку. Цены на предприятиях общественного питания включают в себя отпускные (оптовые) цены или цены закупа и наценки. Торговая наценка (надбавка) включает в себя налоги, издержки обращения (себестоимость), в том числе транспортные и иные расходы продавца (кроме стоимости приобретенного товара), а также прибыль (убытки) продавца. " 4.3. Характеристика цен по способу установления, фиксацииПри подписании договора, контракта на поставку продукции или выполнение работ важным условием является распределение риска потерь от инфляции между поставщиком и потребителем продукции. Твердые цены (постоянные) устанавливаются в момент подписания договора и не меняются в течение всего срока поставки продукции по данному договору, соглашению, контракту. Обычно в договоре делается оговорка "цена твердая, изменению не подлежит". Твердые цены применяются в сделках с немедленной поставкой или с поставкой в течение короткого срока. Если твердые цены применяют в договорах, предусматривающих длительные сроки поставки, то оговорка "цена твердая, изменению не подлежит" должна присутствовать в контракте обязательно. Риск инфляционных потерь полностью берет на себя изготовитель, если же цены снижаются продавцу гарантирована продажа товара по стабильной цене. Подвижная цена – в договоре предусмотрено, что цена, фиксированная в момент заключения договора, может быть пересмотрена в дальнейшем, если к моменту исполнения договора рыночная цена изменится (повысится или понизится). В этом случае в договоре делается оговорка о повышении или понижении цены. Обычно в договоре оговаривается, что при отклонении рыночной цены от контрактной в размере 2-5% пересмотр фиксированной цены не производится. При установлении подвижной цены в договоре указывается источник информации, по которому можно судить об изменении рыночной цены. Подвижные цены обычно устанавливаются на промышленные сырьевые, продовольственные, поставляемые по долгосрочным договорам товары. Риск инфляции полностью ложится на покупателя. Скользящая цена – исчисляется в момент исполнения договора путем пересмотра первоначальной договорной цены с учетом изменений в издержках производства, за период времени, необходимый для изготовления продукции. Скользящие цены обычно устанавливаются на товары с длительным сроком изготовления. При подписании договора фиксируется так называемая исходная, базисная цена, т.е. цена, применяемая в качестве базы для расчетов, оговаривается ее структура. В договоре может быть установлен предел в процентах к договорной цене, в рамках которого пересмотр цены не производится, определен лимит скольжения – процент возможного изменения цены (например, не выше 10% от общей суммы затрат). В договоре могут быть выделены скользящая и постоянная часть цены. Определен период скольжения, который может не совпадать со сроком действия договора, а соответствовать периоду времени, который требуется для осуществления данной части затрат. В контракте указывается базисная цена на дату предложения товара и ее составляющие элементы: например: 45% – заработная плата, 40% – стоимость сырья, 15% – неизменная часть цены (прибыль, накладные расходы и др.). Уровень конечной цены ставится в зависимость от изменения цен материалов и ставок заработной платы. Цены на материалы и ставки заработной платы на момент заключения сделки также фиксируется в контракте. Зависимость конечной цены от изменения цен материалов и ставок заработной платы можно представить в виде следующей формулы скольжения:
где P 1 – цена товара на момент исполнения договора; P 0 – базисная цена товара на момент заключения договора; A – доля в базисной цене материальных затрат; B – доля в базисной цене расходов на заработную плату: (А и В представляют собой скользящую часть цены); P – неизменная часть цены; С = 1 - (А + В ) a 1 – цена материалов на период скольжения; a 0 – базисная цена материалов; b 1 – ставки заработной платы на период скольжения; b 0 – базисные ставки заработной платы. Следует учесть, что скользящих элементов цены может быть большее или меньшее количество. В этом случае в формуле изменяется количество слагаемых. 4.4. Виды цен по способу получения информации об их уровне
Источниками информации о справочных ценах являются экономические газеты и журналы, специальные бюллетени, фирменные каталоги, прейскуранты. В целом справочные цены играют роль отправной точки, с которой начинается уторговывание цен при заключении сделок. Виды публикуемых (справочных) цен:
Номинальной называют также биржевую котировальную цену за товар, по которому в день котировки не было заключено сделок.
4.5. Классификация цен по способу отражения фактора времениПо способу отражения фактора времени можно выделить текущие, сопоставимые (относительные), средние и индексы цен. Текущей называется цена, сложившаяся на период исследования. Знание текущих цен необходимо для факторного анализа, для сопоставления условий коммерческой деятельности различных субъектов в один и тот же период времени. Относительные (сопоставимые) цены – это цены, приведенные в сопоставимый вид. Потребность в них возникает при исследовании изменения цен в динамике. Вычисление относительных цен, сравнимых, сопоставимых для различных моментов времени, т.е. скорректированных, в известной мере, очищенных от общего влияния инфляции, необходимо, чтобы выявить влияние цены данного товара, услуги на его спрос и предложение по отношению к другим товарам, услугам исследуемого периода. Относительные цены могут быть рассчитаны на базовый период (t 0 ) или на период исследования (t 1 ) Относительные цены на базовый период рассчитываются путем деления соответствующей цены товара за номером (i ) на момент времени (t 1 ) или индекса изменения действующей цены этого товара (J 1 ) на индекс совокупного показателя цен, характеризующего инфляцию (J ):
где (J ) – индекс совокупного показателя цен, характеризующего инфляцию по отношению к базовому периоду. Относительные цены на период исследования рассчитываются для товаров номером (i ) путем умножения текущих действующих цен на момент (t ) или индекса изменения действующей цены товара (J ) на индекс совокупного показателя цен, характеризующего инфляцию (J ).
где J – индекс совокупного показателя цен, характеризующего инфляцию по отношению к исследуемому периоду. Если в аналитических целях часто рассчитываются относительные цены на базовый период, то в целях маркетинга и управления предприятием предпочтительнее использовать относительные цены на период исследования, т.к. они делают более наглядным сопоставление с реальными ценами периода исследования. В качестве индекса совокупного показателя цен, характеризующего инфляцию на рынке товаров и услуг потребительского назначения, обычно принято брать индекс цен на потребительские товары, или индекс потребительских цен (ИПЦ характеризует изменение во времени общего уровня цен на товары и услуги, приобретаемые населением для непроизводственного потребления). Однако в соответствии с целями исследования может быть использован и иной индекс совокупного показателя цен. Так если исследователя интересует изменение цен на отдельные продовольственные товары в сравнении с изменением цен на продовольствие, то в качестве инфляционного индекса целесообразно использовать индекс цен на продовольствие в целом. При изучении динамики цен на товары производственно-технического назначения для корректировки цен на инфляцию целесообразно использовать индекс цен производителей промышленной продукции (ИЦП). ИЦП используется также для сравнительного анализа изменения цен на предприятиях отдельных отраслей промышленности, при переоценке основных фондов, пересмотре ставок арендной платы, для выполнения экономических расчетов и прогнозирования на макроуровне и т.д. 5.1. Цели и методы государственного регулирования ценВ условиях рыночной экономики необходимость государственного регулирования цен преследует следующие цели:
Меры воздействия на производителей со стороны государства могут быть как прямыми, так и косвенными. Под прямыми мерами обычно понимают установление определенных правил ценообразования, а под косвенными – воздействие на цены посредством использования экономических рычагов. Прямые методы можно разделить на две основные группы: во-первых, регулируемые или фиксированные цены, во-вторых, законодательные ограничения, нарушение которых карается штрафом или лишением свободы (запрет на фиксацию цены любым участником канала товародвижения, ценовую дискриминацию, демпинг, недобросовестную ценовую рекламу). К косвенным мерам можно отнести налогообложение, государственные закупки, финансовая, инвестиционная, кредитная и денежная политика и т.д. Косвенное воздействие на цены оказывают все государственные регулирующие акции. Воздействие на факторы, определяющие предложение включает:
Воздействие на спрос:
Под прямыми мерами обычно понимают установление определенных правил ценообразования. Прямые методы можно разделить на две основные группы: во-первых, регулируемые или фиксированные цены, во-вторых, законодательные ограничения, нарушение которых карается штрафом или лишением свободы (запрет на фиксацию цены любым участником канала товародвижения, ценовую дискриминацию, демпинг, недобросовестную ценовую рекламу). Например, в США законодательно запрещены ценовые соглашения между производителями, оптовой и розничной торговлей, контроль производителями и оптовиками розничных цен своих товаров. В Австрии министр экономики устанавливает либо верхний предел цен на социально значимые товары, либо диапазон цен. Контроль осуществляют местные органы управления и социальные партнеры (профсоюзы и т.п.). Во Франции соглашения между финансовой администрацией и конфедерациями предприятий определяют предельные уровни или индексы цен на некоторые товары. Степень государственного регулирования цен изменяется в зависимости от состояния экономики: усиливается в кризисных ситуациях и ослабевает по мере преодоления кризиса. Первичной формой государственного воздействия на цены является наблюдение за ценами, оно служит основой, на которой базируются все мероприятия государства по прямому или косвенному регулированию цен. Наблюдение занимаются статистические органы, научно-исследовательские центры. Главная цель наблюдений за ценами со стороны государственных органов и социальных партнеров – измерение стоимости жизни для определения индекса ежегодного номинального повышения заработной платы, пенсий, пособий, а также выяснение влияния роста цен на издержки производства и национальную конкурентоспособность. Степень государственного регулирования цен изменяется в зависимости от состояния экономики: усиливается в кризисных ситуациях и ослабевает по мере преодоления кризиса. 5.2. Формирование нормативно-законодательной базы рыночного ценообразованияВпервые о возможности свободного ценообразования в нашей стране было заявлено в 1990 г. В Законе РСФСР от 21.12.90 г. № 445-1 "О предприятиях и предпринимательской деятельности" (ст. 16) среди прочих прав было названо право предприятия самостоятельно формировать производственную программу, выбирать поставщиков и потребителей своей продукции, устанавливать на нее цены в пределах, определенных законодательством РСФСР и договорами. В этом же законе в статье "Цены и ценообразование" было указано, что предприятие реализует свою продукцию (работы, услуги, отходы производства) по ценам и тарифам, устанавливаемым самостоятельно или на договорной основе, а в случаях предусмотренных законодательством РСФСР, по государственным ценам. Начало массового перехода предприятий и организаций России к свободному рыночному ценообразованию связано с Указом Президента РСФСР от 03.12.91 г. № 297 "О мерах по либерализации цен". С момента подписания данного Указа централизованное планирование и регулирование цен стало постепенно заменяться свободным рыночным ценообразованием, предприятие стало свободным в формировании цены, но свобода, как известно, всегда относительна. Этим же Указом было установлено, что государственные регулируемые цены должны применяться к ограниченному кругу товаров. К Указу прилагался Перечень продукции (работ, услуг) производственного назначения и Перечень основных потребительских товаров и услуг, на которые применялись государственные регулируемые цены. Правительству РФ было поручение определить предельный уровень цен и тарифов на конкретные виды продукции по перечням и по мере необходимости изменять номенклатуру продукции. Государственное регулирование цен предполагалось применять также для предприятий монополистов. Либерализация цен рассматривалась в качестве основного средства преобразования экономики, перевода ее на рыночные отношения. Объяснялось это не только тем, что цены занимают исключительно важное место в экономическом механизме страны, но и тем обстоятельством, что Правительство РФ, приступая к реформированию экономики страны, по существу, не имело развернутой программы действий. Поэтому поначалу основное внимание было сосредоточено на наиболее легко осуществимом и в то же время наиболее результативном направлении – на либерализации цен. Предполагалось, что вопросы структурной перестройки производства, демонополизации производства и др. будут решаться в основном естественным путем, в результате функционирования свободных цен. При этом реформаторы полагали, что либерализация цен, привнеся в механизм ценообразования фактор спроса и предложения, позволит ценам выйти на экономически оправданный уровень, обеспечит рациональное соотношение между ними. 28.02.95 г. был принят Указ Президента РФ № 221 "О мерах по упорядочению государственного регулирования цен (тарифов)", в котором была признана необходимость дальнейшей либерализации цен и осуществления государственного регулирования цен (тарифов) в основном на продукцию естественных монополий. В указе отмечалось, что регулируемые государством цены применяются на внутреннем рынке РФ всеми предприятиями и организациями независимо от их организационно-правовых форм и форм собственности, если иное не установлено актами законодательства РФ. В п. 4 предусматривалась ответственность за нарушение предприятиями и организациями норм законодательства о государственном регулировании цен как санкций в виде взыскания всей суммы излишне полученной выручки и штрафа в таком же размере, а при повторном нарушении в виде штрафа в двойном размере. Во исполнение данного Указа, Правительство издало одноименное постановление от 07.03.95 г. № 239 "О мерах по упорядочению государственного регулирования цен (тарифов)", которым были установлены перечни продукции производственно-технического назначения, товаров народного потребления и услуг, на которые государственное регулирование цен (тарифов) на внутреннем рынке РФ осуществляют Правительство РФ и федеральные органы исполнительной власти, органы исполнительной власти субъектов РФ, а также перечень услуг транспортных, снабженческо-сбытовых и торговых организаций, по которым органам исполнительной власти субъектов РФ предоставляется право вводить государственное регулирование тарифов и надбавок. Ответственным министерствам и ведомствам поручалось разработать предложения по методам регулирования цен. Пункт 7 постановления гласил: "не применять государственное регулирование цен для всех хозяйствующих субъектов независимо от их организационно-правовых форм и ведомственной принадлежности, кроме названных в перечнях продукции". В целом перечень товаров и услуг, по которым допускается прямое регулирование цен, за годы становления рыночной экономики значительно сокращен. Расширение прав предприятий по самостоятельному установлению цен и тарифов происходит одновременно с использованием экономических рычагов воздействия на цены, имеющихся в распоряжении исполнительной власти (налоги, льготные кредиты, арендная плата и т.д.). 5.3. Уровни и способы прямого регулирования ценВсе цены по степени вмешательства государство в их формирование можно разделить на свободные (рыночные) и регулируемые государством. Прямое или непосредственное государственное регулирование цен может осуществляться следующими способами:
В настоящее время разграничена компетенция в регулировании цен между федеральными органами исполнительной власти и органами исполнительной власти субъектов федерации. К продукции производственно-технического назначения, товаров народного потребления и услуг, на которые государственное регулирование цен (тарифов) осуществляют Правительство Российской Федерации и федеральные органы исполнительной власти относятся:
Органами исполнительной власти субъектов федерации осуществляется регулирование цен (тарифов) на следующие виды продукции:
6_1.1. Определение цены при заключении договораСтатья 424 "Цена" ГК, предусматривает, каким образом определяется цена при заключении договора. Пункт 1 данной статьи говорит, что "исполнение договора оплачивается по цене, установленной соглашением сторон. В предусмотренных законом случаях применяются цены (тарифы, расценки, ставки и т.п.), устанавливаемые или регулируемые уполномоченными на то государственными органами". Цена в большинстве видов договоров не отнесена к существенным условиям. Новшеством, введенным Гражданским Кодексом Российской Федерации, принятым в 1994 году, является введение императивного условия о том, что цена в договоре должна быть не определенной, а определимой. Исключение составляют только договоры купли-продажи недвижимости и предприятий (основание ст. 555 ГК). В этих договорах цена должна быть согласована сторонами в письменной форме. При отсутствии согласованного условия о цене недвижимости договор ее продажи считается незаключенным. ОПРЕДЕЛИМАЯ ЦЕНА - в договоре может быть установлена конкретная цена или предусмотрен порядок ее определения. В публичном договоре, а также в договоре присоединения цена определяется одной стороной. При этом в публичном договоре в соответствии с пунктом 1 ст. 426 ГК цена должна устанавливаться одинаково для всех потребителей, за исключением случаев, когда законом или иным правовым актом допускается предоставление льгот для отдельных категорий потребителей. Не указание цены в договоре не освобождает покупателя (заказчика) от обязанности оплатить товар (услуги, работы). В случае отсутствия в договоре этого условия, товар (услуги, работы) оплачивается по цене, которая при сравнимых обстоятельствах обычно взимается за аналогичные товары (услуги). При этом наличие таких обстоятельств, позволяющих однозначно определить, какой ценой необходимо руководствоваться, должно быть доказано заинтересованной стороной. Если цена отсутствует в договоре, а одна из сторон считает ее существенным условием, то такой договор признается незаключенным. В случае если при заключении договора возникли разногласия по цене, но они не были самостоятельно урегулированы, то стороны вправе передать на рассмотрение суда споры, возникающие о цене. В случае, когда в договоре цена вообще отсутствует и не может быть установлена исходя из его условий, она определяется по правилам, предусмотренным п. 3 ст. 424. Пункт 3 ст. 424 – "В случаях, когда в возмездном договоре цена не предусмотрена и не может быть определена исходя из условий договора, исполнение договора должно быть оплачено по цене, которая при сравнимых обстоятельствах обычно взимается за аналогичные товары, работы или услуги". (Исключение составляют договоры о продаже недвижимости, неприменимо это правило и при продаже индивидуальной вещи, поскольку для нее трудно подобрать аналогичный товар). Усмотрение сторон в определении цены ограничено статьей 5 Закона о конкуренции, которая запрещает хозяйствующим субъектам, занимающим доминирующее положение на товарном рынке, использовать монопольно высокие и монопольно низкие цены. Применение таких цен рассматривается как запрещенная монополистическая деятельность. Статьей 6 Закона о конкуренции запрещены соглашения о ценах между хозяйствующими субъектами, чья совокупная доля на рынке определенных товаров превышает 35%. Пунктом 2 ст. 485 определяется зависимость цены от веса товара. Она определяется по весу нетто, если иное не предусмотрено договором купли-продажи. 6_1.2. Изменение цены после заключения договораПункт 2 ст. 424 – "Изменение цены после заключения договора допускается в случаях и на условиях, предусмотренных договором, законом либо в установленном законом порядке". Из данного положения вытекает принцип стабильности, т.е. невозможности изменения согласованной сторонами цены, если в договор не были включены условия об ее изменении. По такому же принципу идет судебно-арбитражная практика. Суды отказывают в удовлетворении требований об увеличении или уменьшении обусловленной договором цены в случаях, когда в договоре отсутствует оговорка о возможности изменить цену. Также, на основании ст. 500 ГК не подлежит изменению цена товара длительного пользования, проданного гражданам в кредит по договору розничной купли-продажи. Иной подход должен быть применен в случаях, когда произошли существенные изменения обстоятельств, имевших место при заключении договора. В соответствии со ст. 451 ГК стороны могут в предусмотренных ею случаях изменить цену своим соглашением, что позволяет приспособить договор к конъюнктуре рынка. При не достижении сторонами соглашения об изменении цены заинтересованная при этом сторона вправе обратиться в суд. В том случае, когда в договоре предусмотрена возможность изменения цены, но способ не определен, Гражданским кодексом установлен порядок ее изменения (пересмотра) цены. Пункт 3 ст. 485 предусматривает, если цена товара подлежит изменению в зависимости от показателей, обусловливающих цену товара (себестоимость, затраты и т.п.), но при этом не определен способ пересмотра цены, цена определяется исходя из соотношения этих показателей на момент заключения договора и на момент передачи товара. При просрочке продавцом исполнения обязанности передать товар цена определяется исходя из соотношения этих показателей на момент заключения договора и на момент передачи товара, предусмотренный договором. 6_1.3. Цена в отдельных видах договоровЦена в договоре продажи недвижимости: Следующее существенное значение при заключении договора продажи имеет ст. 555 – "цена в договоре продажи недвижимости". Пункт 1 ст. 555 предусматривает, что договор продажи недвижимости обязательно должен содержать цену этого имущества. При отсутствии в договоре согласованного сторонами в письменной форме условия о цене недвижимости, договор о ее продаже считается незаключенным. При этом правила определения цены, предусмотренные статьей 424 ГК РФ, не применяются (например, правило о цене на аналогичные здания, сооружения и иную недвижимость.) Если стороны самостоятельное не могут определить цену недвижимости, то они могут поручить данный процесс специализированным коммерческим организациям – оценщикам. В случаях, когда цена в договоре на недвижимое имущество определена не за объект в целом, а за единицу площади или иного показателя размера, то при определении общей цены учитывается фактический размер продаваемого покупателю имущества. Иной порядок определения цены может быть предусмотрен законом или договором продажи недвижимости. Цена в договоре подряда: Ст. 709 – "цена работы" и ст. 735 – "цена и оплата работы" предусматривает определение цены в договоре подряда. Согласно пп. 1-3 ст. 709 цена подряда, включающая издержки подрядчика и его вознаграждение, т.е. прибыль, может определяться по-разному:
Работа оплачивается заказчиком после ее окончательной сдачи подрядчиком. С согласия заказчика работа может быть оплачена им при заключении договора полностью или путем выдачи аванса 6_2.1. Взаимосвязь налогов и ценВзаимосвязь налогов и цен обусловлена ролью этих двух экономических категорий в воспроизводственном процессе. Если цена отражает стоимость всех произведенных товаров, выполненных работ и оказанных услуг, то налог – часть этой стоимости, один из элементов ее перераспределения. По сути, налог является одной из основных частей цены, величина которой зависит от законодательно установленных норм и правил перераспределения составных частей валового общественного продукта. Воздействие налогов на уровень цен проявляется в их включении в состав затрат по производству товаров (работ и услуг), в отнесении на финансовый результат налогоплательщика. Природа налогового влияния на цены зависит от конкретного налога и определяется механизмом его расчета и возможностью переложения на покупателя посредством включения в цену. Но налог – это не только элемент цены. Взаимодействие налогов и цен проявляется в том, что цена товаров (работ, услуг) является основой при определении налоговой базы. В механизм расчета практически всех значимых налогов заложена цена реализуемых товаров (работ, услуг). По НДС, некоторым акцизам, налогам, поступающим в дорожные фонды, налоговая база определяется как стоимость продукции, исчисленная исходя из цены реализации. По налогу на прибыль налоговая база определяется как валовая прибыль, представляющая собой разность между выручкой, исчисляемой исходя из тех же цен реализации, и затрат на производство реализованной продукции. Общая величина налоговой базы находится в прямой зависимости от уровня цен и в идеальной модели является функцией "рыночной цены" реализованных товаров (работ, услуг). При этом речь не случайно идет о рыночной цене. В условиях рыночной экономики реализация товаров, работ и услуг осуществляется по ценам, определяемым при взаимодействии спроса и предложения. Каждый продавец или покупатель ориентируется на общий уровень цен, присущий данному рынку, тем самым, создавая этот рынок. Любая налоговая система, построенная на принципах рыночной экономики, сталкивается с необходимостью оценки индивидуальных сделок хозяйствующих субъектов на предмет соответствия применяемых цен реализуемой продукции общему уровню рыночных цен, безусловно, с учетом специфических особенностей каждой сделки. При отсутствии четкого механизма, позволяющего при определенных условиях в целях налогообложения корректировать цену конкретной сделки, у ее участников появляется соблазн показывать цены, отличающиеся от реальных (рыночных) цен. 6_2.2. Роль налоговых органов в регулировании ценНалоговые органы в законодательном порядке должны иметь возможность воспользоваться всем спектром косвенных методов определения цены реализованной продукции с целью исчисления налогов исходя из реальной величины налоговой базы. Действующим налоговым законодательством в Российской Федерации предусмотрен порядок, регламентирующий последовательность определения цены реализованной продукции для целей налогообложения. Статья 40 Налогового кодекса Российской Федерации (НК РФ) определяет, что в целях налогообложения применяется установленная сторонами цена товаров (работ, услуг), пока не доказано ее несоответствие уровню рыночных цен идентичных (однородных) товаров с учетом сопоставимости условий. Практика реализации предлагаемого ст. 40 НК РФ механизма определения цены товаров (работ и услуг) неоднозначна. С одной стороны, процесс демократизации этой сферы налоговых отношений в направлении создания наиболее благоприятных условий для налогоплательщика, способствующих проведению более гибкой политики продвижения своей продукции на рынке, принес положительные результаты. Это, в частности, относится к конкурентным рынкам, на которых цены формируются при взаимодействии спроса и предложения. Сопоставление деятельности значительного количества хозяйствующих субъектов позволяет налоговым органам провести сравнение и доказать несоответствие применяемых цен рыночным. Для этих целей в качестве базовой цены для сравнения можно выбрать средневзвешенную рыночную цену за отчетный период. С другой стороны, наличие большого количества оценочных категорий и практически полное отсутствие информационной базы, обеспечивающей определение рыночной цены и отбор сопоставимых сделок, затрудняют налоговым органам проведение эффективного контроля за применяемыми налогоплательщиками ценами. Более сложные и запутанные отношения, складывающиеся на рынке между хозяйствующими субъектами, делают прописанные в ст. 40 НК РФ нормы неэффективными. Налоговому органу необходимо решить вопрос о возможности пересчета результатов сделки для целей налогообложения по рыночной цене. Само по себе отклонение цены, указанной сторонами сделки, от рыночной не может повлечь за собой доначисление налога и пеней. Для того чтобы доначислить их, налоговый орган должен иметь основания для проверки цен. Такими основаниями могут быть только следующие обстоятельства:
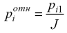
Если сделка не удовлетворяет ни одному из указанных признаков, налоговый орган не вправе проверить правильность применения цен. Согласно пункту 2 статьи 50 Конституции РФ, если такая проверка была произведена налоговым органом, ее результаты не могут обосновывать доначисление налога и пеней, поскольку они получены с нарушением федерального законодательства. Взаимозависимые лица – это граждане и организации, отношения между которыми могут оказывать влияние на условия и экономические результаты их деятельности или деятельности представляемых ими лиц. Признание лиц взаимозависимыми возможно по закону либо по суду. Согласно ст. 20 Налогового кодекса РФ взаимозависимость возникает в тех случаях, когда:
Первые два основания применяются для сделок между организациями. Последние два распространяются на сделки между физическими лицами. Признание взаимозависимости без суда возможно только в указанных случаях. Во всех остальных суд может признать взаимозависимость по иным основаниям, если отношения между лицами могут влиять на результаты сделок по реализации товаров. Для организаций взаимозависимость определяется по доле участия, которая должна составлять более 20%. Пример. Непосредственное участие . Предприятие А владеет акциями ОАО Предприятия Б в размере 25% от уставного капитала. В этом случае все сделки, совершаемые между данными предприятиями, подлежат контролю со стороны налогового органа. Если доля такого участия составляет, например 18%, то цены по сделкам по указанному основанию контролю не подлежат. Косвенное участие . Предприятие А владеет акциями ОАО Предприятия Б в размере 70% от уставного капитала. В свою очередь Предприятие Б владеет акциями ОАО Предприятия С в размере 30% от уставного капитала. В этом случае предприятия А и С являются взаимозависимыми лицами (доля участия 21% = 70 • 30 / 100). Все сделки, совершаемые между предприятиями А и С, контролируются налоговыми органами. Товарообменные (бартерные) операции – это операции, совершаемые на основе договоров мены и товарообмена. Договор мены регулируется гл. 31 Гражданского кодекса РФ. Понятие "договор товарообмена" не установлено ни в налоговом, ни в гражданском законодательстве. Указанная операция сложилась на практике и стала своеобразным обычаем делового оборота. Товарообменные операции осуществляются на основании одного договора и не предполагают осуществления между сторонами расчетов. В отличие от договоров мены в договоре на совершение товарообменных операций не указывается точное количество обмениваемого имущества, а цены на это имущество не являются равными. Как правило, на практике предприятия в рамках договора товарообмена уславливаются осуществлять встречные поставки собственной продукции в течение продолжительного периода времени. В связи с этим не считаются товарообменными операциями поставки товаров в рамках договора купли-продажи, поставки, даже если расчеты по ним происходят по взаимозачету, векселями, уступкой права требования и другими подобными способами. Внешнеторговые сделки – это сделки, заключаемые в процессе осуществления внешнеторговой деятельности. В соответствии со ст. 2 Федерального закона от 13.10.95 г. № 157-ФЗ "О государственном регулировании внешнеторговой деятельности" (с изм. и доп.) под внешнеторговой деятельностью понимается предпринимательская деятельность в области международного обмена товарами, работами, услугами, информацией, результатами интеллектуальной деятельности, в т.ч. исключительными правами на них (интеллектуальная собственность). Самым распространенным видом внешнеторговых сделок являются экспортные договоры. Под экспортом в соответствии с вышеназванным Законом понимается вывоз товара, работ, услуг, результатов интеллектуальной деятельности, в т.ч. исключительных прав на них, с таможенной территории РФ за границу без обязательства об обратном ввозе. При этом к экспорту товаров приравнивается отдельные коммерческие операции без вывоза товара с таможенной территории РФ за границу, в частности при закупке иностранным лицом товара у российского лица и передаче его другому российскому лицу для переработки и последующего вывоза переработанного товара за границу. Следовательно, если российская организация заключит с иностранным партнером договор поставки сырья, согласно которому товар за границу не вывозится, а предназначается для переработки на территории РФ с последующим вывозом готовой продукции, то указанная сделка также является внешнеторговой, в связи с чем цена по ней может быть проверена налоговыми органами. 6_2.3. Понятие рыночной цены для целей налогообложения. Определение границ товарного рынка, идентичности товаров, сопоставимости условий продажНа практике наибольшие трудности возникают с определением, в каких случаях нужно проверять использование цен на предмет их отклонения от рыночных цен более чем на 20 процентов. Для того чтобы выяснить, могут быть проконтролированы сделки по этому основанию или не могут, необходимо определить уровень применяемых цен. Он может быть исчислен по формуле:
где gudi – количество реализованных идентичных товаров; pudi – цена реализации идентичных товаров. После этого могут быть проверены те сделки, цены по которым отклоняются более чем на 20 процентов. Если цена по этим сделкам отклоняется более чем на 20 процентов не только от уровня цен, но и от рыночной цены, то их результаты могут быть пересчитаны исходя из рыночных цен. При проверке налоговыми органами цен организация вправе требовать от них соблюдения следующего алгоритма:
Пример. В ходе выездной налоговой проверки налоговый орган установил, что налогоплательщик реализовывал идентичные товары по разным ценам: 500 единиц товаров – по цене 300 руб.; 100 единиц товаров – по цене 400 руб.; 200 единиц товаров – по цене 250 руб. Определим уровень применяемых налогоплательщиком цен (среднюю цену реализации товаров):
Отклонение на 20 процентов от уровня цен составляет 60 руб. (300 руб. х 20% : 100%). При реализации товаров за 300 руб. отклонений от уровня цен не было. Поэтому эта сделка не может быть проверена налоговым органом. При реализации товаров за 250 руб. отклонения от уровня цен не превысили 20 процентов: 300 руб. - 250 руб. = 50 руб.; 50 руб. < 60 руб. Поскольку отклонение от уровня применяемых цен не превысило 20 процентов, цена сделки не может быть проверена налоговым органом. При реализации товаров за 400 руб. отклонения от уровня цен превысили 20 процентов: 400 руб. - 300 руб. = 100 руб.; 100 руб. > 60 руб. Так как цена по данной сделке отклоняется от уровня применяемых цен более чем на 20 процентов, налоговый орган вправе проверить цены, применяемые по этой сделке. В ходе проверки было установлено, что рыночная цена на идентичные товары в проверяемом периоде не менялась и составила 500 руб. В результате были доначислены налоги, исчисление которых зависит от цены реализации:
На сумму недоплаченных налогов начислены также пени. В соответствии с пунктом 3 статьи 40 Налогового кодекса РФ доначисление налогов, исходя из рыночных цен, является прерогативой налогового органа. Это значит, что налогоплательщик самостоятельно не корректирует налоговую базу по рыночным ценам. Нормы статьи 40 Налогового кодекса РФ, определяющие порядок пересчета цен для целей налогообложения, установлены для налогового органа, а не для организации-налогоплательщика. Поэтому организация исчисляет налог по ценам, указанным в договоре. 6_2.4. Способы определения рыночной цены. Определение рыночных цен методом цены последующей реализации и затратным методомСогласно пункту 4 статьи 40 Налогового кодекса РФ, рыночной ценой товара (работы, услуги) признается цена, сложившаяся при взаимодействии спроса и предложения на рынке идентичных (а при их отсутствии однородных) товаров (работ, услуг) в сопоставимых экономических (коммерческих) условиях. Рынком товара, согласно данному документу, считается ближайшая по отношению к покупателю (продавцу) территория Российской Федерации или за ее пределами, на которой покупатель может реально и без значительных дополнительных затрат приобрести товар. В Налоговом Кодексе не конкретизируются возможности использования тех или иных границ рынка и особенности расчетов при выборе в качестве базы для сравнения мировых цен. Однако в принятых ранее "Временных методических рекомендациях по выявлению монопольных цен" (ГКАП РФ, 21 апреля 1994 г., № ВБ/2053) говорилось, что при выборе в качестве базы для сравнения цены на мировом рынке, конкурентная цена на проверяемую продукцию получается в результате пересчета мировой цены по официальному биржевому курсу американского доллара. Если цена на внутреннем рынке находится значительно ниже мировых цен, базовая цена на проверяемую продукцию получается в результате пересчета мировой цены по паритету покупательной способности рубля и доллара США на дату продажи, а не только по официальному биржевому курсу доллара. При этом должны быть учтены различия в системах налогообложения, экспортные и импортные пошлины и т.д. В случае несогласия с трактовкой налоговым органом границ рынка на конкретную продукцию предприятие должно доказать, что покупатели либо не имеют реального доступа на этот рынок, либо приобретение товара на данном рынке вызовет значительные дополнительные затраты покупателя, связанные с транспортировкой и страхованием товара. Идентичными признаются товары, имеющие одинаковые характерные для них основные признаки. Однородными признаются товары, которые, не являясь идентичными, имеют сходные характеристики и состоят из схожих компонентов, что позволяет им выполнять одни и те же функции и быть взаимозаменяемыми. Так как и идентичные и однородные товары не являются абсолютной копией оцениваемого товара, их цена может быть использована только в качестве базы для расчета конкурентной цены. Условия сделок признаются сопоставимыми, если различие между такими условиями либо существенно не влияет на цену таких товаров, работ или услуг, либо может быть учтено с помощью поправок. Корректировка базовой цены на несопоставимость условий может потребоваться при отличиях в объеме поставляемых товаров, в сроках исполнения обязательств, в наличие дополнительного сервисного обслуживания, в сроках гарантии, постоянстве взаимосвязей (программы преданных клиентов), в учете в цене транспортных или иных расходов. При определении и признании рыночной цены используются официальные источники информации. На территории Алтайского края официальным органом (источником), определяющим рыночные цены товаров (продукции) считается Главное управление экономики и инвестиций администрации края. Самым сложным для практического применения данного основания является порядок определения непродолжительного периода времени. Законодательство о налогах и сборах не устанавливает такого понятия. Непродолжительный период времени в целях осуществления контроля за ценами должен определяться исходя из определенного периода (30 дней, 90 дней, 180 дней и т.д.). При этом определение непродолжительности периода времени должно зависеть от состояния экономики в стране. Чем стабильнее экономика, тем дольше данный период. Для состояния сегодняшней экономической ситуации наиболее оптимальным будет определение непродолжительного периода времени исходя из 30 дней. Данное положение не является нормативным, а предлагается по аналогии с действовавшими ранее нормами налогового законодательства. Так, по налогу на прибыль и НДС существовало положение, согласно которому при обмене продукции выручка в целях налогообложения определялась по средней цене реализации, рассчитанной за 30 дней. На соответствующем рынке товаров (работ, услуг) может и не быть сделок по идентичным или однородным товарам (работам, услугам). В этом случае, а также при невозможности определения рыночных цен ввиду отсутствия либо недоступности источников информации об этих ценах для их определения используется метод цены последующей реализации. При этом рыночная цена товаров, работ или услуг, реализуемых продавцом, определяется как разность цены, по которой такие товары, работы или услуги реализованы покупателем этих товаров, работ или услуг при последующей их реализации (перепродаже), и обычных в подобных случаях затрат, понесенных покупателем при перепродаже, а также обычной для данной сферы деятельности прибыли покупателя. Пример В ходе выездной проверки было установлено, что в проверяемом периоде вся произведенная продукция была продана зависимому обществу. Поскольку сделки осуществлялись взаимозависимыми лицами, налоговым органом были предприняты меры по контролю за применяемыми ценами. Возможность определения рыночных цен на реализованную продукцию отсутствовала. В связи с этим для определения рыночной цены налоговым органом применен метод последующей реализации товаров. Было установлено, что преобладающее общество реализовывало продукцию зависимому по цене 20000 руб. (без учета НДС). Зависимое общество перепродавало приобретенную продукцию уже за 40 000 руб. (без учета НДС). Расходы по реализации товара покупателям составили у зависимого общества 10000 руб. По данным, полученным из управления статистики, средний уровень применяемой наценки по идентичным товарам составляет 15 процентов от продажной цены. Исчисленная по методу последующей реализации рыночная цена продукции составила: 40 000 руб. - 10 000 руб. - (40 000 руб. х 15% : 100%) = 24 000 руб. Переоценить по ней результаты сделок между преобладающим и зависимым обществом и принять решение о доначислении налога, а также пеней за его несвоевременную уплату. При невозможности использования метода цены последующей реализации используется затратный метод, при котором рыночная цена товаров, работ или услуг определяется как сумма произведенных затрат и обычной для данной сферы деятельности прибыли. Следует обратить внимание на то, что подсчет затрат для целей определения рыночной цены отличается от подсчета затрат, учитываемых при налогообложении прибыли. При определении рыночной цены учитываются как затраты, учитываемые при налогообложении, так и иные затраты. Пример. При осуществлении внешнеэкономических сделок на условиях CIF продавец обязан за свой счет произвести страхование реализуемых товаров. Затраты, понесенные на их страхование, включаются в себестоимость в пределах 1 процента от объема реализуемой продукции. Если затраты на страхование превысили этот объем, то они в состав затрат, учитываемых при налогообложении прибыли, не включаются. В то же время эти затраты обусловлены необходимостью исполнения договора и были учтены сторонами при определении цены. Рыночная цена реализуемых товаров не может быть сформирована затратным методом без их участия. Поэтому затраты на страхование товаров учитываются при определении их рыночной цены даже в том случае, если они не включаются в себестоимость для целей налогообложения. Налогоплательщик вправе также по своему желанию своевременно сделать спецрасчет. Заинтересованность налогоплательщика самостоятельно осуществить специальный расчет вызвана тем, что в противном случае с него впоследствии будут взысканы пени. Это не только позволит ему избежать необходимости уплаты пени, но и обосновать собственную позицию по многим вопросам, которые в настоящее время неоднозначно трактуются статьей 40 Налогового кодекса РФ. Все вышеперечисленное подтверждает вывод о необходимости иметь в организации высоко квалифицированных специалистов по ценообразованию и более пристального внимания к информационно-методическому обеспечению работы служб маркетинга и ценообразования. 7.1. Классификация затрат для целей ценообразованияИзменение факторов производства в долгосрочном и краткосрочном периодах. Затраты переменные, постоянные, полупостоянные. Понятие возвратных и невозвратных затрат, частично возвратные затраты. 7.2. Бухгалтерская модель безубыточности: построение и математический анализЭкономическая модель безубыточности. Бухгалтерская модель безубыточности. Допущения, принятые при анализе бухгалтерской модели безубыточности. Математический анализ и задачи, решаемые на основе бухгалтерской модели. Расчет точки безубыточности. Расчет масштабов продаж, необходимых для достижения целевой прибыли. 7.3. Налоговый Кодекс РФ о составе расходов, учитываемых в цене товараНалоговый Кодекс РФ (Глава 25) определяет состав расходов, учитываемых в цене товара. Расходы, связанные с производством и реализацией, включают в себя:
Расходы, связанные с производством и реализацией, подразделяются на:
Сумма материальных расходов уменьшается на стоимость возвратных отходов. Под возвратными отходами понимаются остатки сырья (материалов), полуфабрикатов, теплоносителей и других видов материальных ресурсов, образовавшиеся в процессе производства товаров, частично утратившие потребительские качества исходных ресурсов (химические или физические свойства) и в силу этого используемые с повышенными расходами (пониженным выходом продукции) или не используемые по прямому назначению. Возвратные отходы оцениваются в следующем порядке:
В расходы на оплату труда включаются любые начисления работникам в денежной и (или) натуральной формах, стимулирующие начисления и надбавки, компенсационные начисления, связанные с режимом работы или условиями труда, премии и единовременные поощрительные начисления, а также расходы, связанные с содержанием этих работников, предусмотренные трудовыми договорами (контрактами) и (или) коллективными договорами.
Методы начисления амортизации:
При применении линейного метода сумма начисленной за один месяц амортизации в отношении объекта амортизируемого имущества определяется как произведение его первоначальной (восстановительной) стоимости и нормы амортизации, определенной для данного объекта. При применении нелинейного метода сумма начисленной за один месяц амортизации в отношении объекта амортизируемого имущества определяется как произведение остаточной стоимости объекта амортизируемого имущества и нормы амортизации, определенной для данного объекта.
8.1. Анализ безубыточности решений при изменении ценРешая вопросы выбора стратегии и тактики ценообразования необходимо проанализировать приростную безубыточность, т.е. изменение прибыльности в результате ценовых решений. Принимая решение о снижении цены, следует помнить, что снижение цены каждой единицы товара приводит к уменьшению прибыли, получаемой от продажи данной единицы товара. Данное решение может иметь целью либо увеличение объема продаж товара, либо сохранение доли фирмы на рынке при обострившейся конкуренции. Рассмотрим первый случай. Прежде чем снизить цену, следует ответить на вопрос "на сколько должны возрасти объемы продаж, чтобы это компенсировало снижение прибыли, связанное со снижением цен?". Пример. Торговая фирма продает в настоящее время 1000 пакетов молока по цене 20 рублей за пакет, переменные издержки на 1 пакет составили 15 руб. Менеджер по продажам предлагает снизить цену на 10%. В каком случае следует принять данное предложение? Точка отсчета – уровень показателей фирмы, который принимается в качестве ориентира при анализе управленческих, в нашем случае ценовых решений. В данном примере точка отсчета характеризуется следующими показателями:
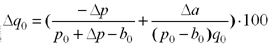
Логично поставить в качестве нижнего порога для принятия данного решения условие неизменности прибыли по сравнению с базовым периодом, т.е. (p 0 - b 0 )g 0 = (p 1 - b 1 )g 1 В количественном выражении мы будем иметь (20 - 15) • 1000 = (18 - 15) • g 1 В результате решения уравнения получим g 1 = 1667 1667 - 1000 = 667 667 / 1000 • 100 = 66,7% Следовательно, при снижение цены на 10% прибыль фирмы сохранится на прежнем уровне в том случае, если объем продаж увеличится на 66,7%. В условиях конкурентного рынка такое увеличение объема продаж достаточно проблематично. Данный пример позволяет убедиться, что ценовая политика, связанная со снижением цены таит в себе опасность резкого падения финансовых показателей и неадекватности реакции рынка на попытки разного рода товарной интервенции. Формула расчета безубыточности решений по изменению цен:
Задание. По данным рассмотренного примера самостоятельно рассчитайте точку безубыточности решений по снижению цен на 5%, 15%, 20%. Из приведенных выше формул можно увидеть, что при одинаковых изменениях цен потребуется разное изменение объемов продаж при различной структуре затрат. Чем ниже доля переменных затрат в цене товара, тем меньшего прироста объема продаж потребует снижение цен. Чем выше доля переменных затрат в цене товара, тем более проблематичным становится снижение цены, т.к. требует значительно большего роста объема продаж для компенсации потери прибыли. Задание. По данным рассмотренного примера самостоятельно рассчитайте точку безубыточности решений по снижению цены на 10% при переменных затратах составляющих 10 руб., 18 руб. Подтверждают ли результаты Ваших расчетов вывод о влиянии структуры затрат на точку безубыточности решений по снижению цен? Решению вопроса о повышении цены также должен предшествовать анализ безубыточности, ведь в результате повышения цен часть покупателей может отказаться от покупки данного товара, что приведет к уменьшению прибыли. Поэтому следует получить ответ на вопрос "На сколько максимально могут снизиться объемы продаж фирмы, чтобы прибыль предприятия не уменьшилась по сравнению с точкой отсчета?" Аналогичные примеры. 8.2. Анализ безубыточности решений при изменении цен и затратЕсли фирма реализует комплексный маркетинговый план, предполагающий одновременное изменение цен и затрат (связанное с совершенствованием самого товара, условий его производства и продаж), то изменяется и процедура расчета безубыточности ценовых решений. Ситуация 1. Изменение цены связано с изменением переменных затрат
Ситуация 2. Изменение цены связано с изменением постоянных затрат
Чтобы оценить результаты одновременного изменения цен и постоянных затрат, необходимо привести обе формулы или к относительным или к абсолютным единицам измерения.
8.3. Анализ безубыточности решений при продаже взаимозаменяемых и взаимодополняющих товаровНа практике достаточно распространена ситуация, в которой ассортимент продукции фирмы достаточно широк, а не ограничивается одной товарной позицией. В процессе ценообразования необходимо учитывать взаимовлияние цен и свойств различных товаров, наличие в ассортименте взаимозаменяемых и взаимодополняющих товаров. Ситуация 1. Организация осуществляет продажу взаимозаменяемых товаров
Ситуация 2. Организация осуществляет продажу взаимодополняемых товаров
где αi – индекс прироста объема спроса i -го взаимозаменяемого товара при анализируемом изменении цены (Δp ); βi – индекс прироста объема спроса i -го взаимодополняемого товара при анализируемом изменении цены (Δp ); p 0i – начальный уровень цены на взаимозаменяемый (взаимодополняемый) товар; b 0i – начальный уровень объема спроса на взаимозаменяемый (взаимодополняемый) товар. Следует иметь в виду, что изменение цены одного товара реально может привести к изменениям объемов продаж взаимозаменяемых и взаимодополняющих товаров через определенный промежуток времени, называемый лагом, причем это влияние незначительное для краткосрочного периода может оказаться весьма существенным, если рассматривать взаимосвязи с учетом временного лага. Процедура расчетов усложняется, когда изменение цен одного товара затрагивает многие дополняющие и заменяющие товары. В этом случае рекомендуется использовать при расчетах агрегированные данные. 9.1. Сущность затратного ценообразованияМетоды затратного ценообразования предполагают определение цены товара исходя из издержек и прибыли (как правило, средних издержек и средней прибыли). Например, затраты на производство одного метра ткани равны 108 руб., средняя доля прибыли в цене равна 10%, тогда оптовая отпускная цена товара будет равна 120 руб. (108 • 100 / 90) или, иначе, процент прибыли к затратам принимается равным 11,11%,тогда оптовая отпускная цена одного метра ткани будет равна 120 руб. (108 + (108 • 11,11% / 100%) = 108 + 12). Оптовые и розничные торговцы при определении продажных цен на свои товары исходят из цен на приобретенные ими товары, которые для них выступают в виде затрат. Для возмещения собственных расходов, уплаты налогов и получения прибыли торговцы устанавливают наценки (снабженческо-сбытовые, оптовые, торговые), которые рассчитываются в процентах или к затратам, или к продажной цене и являются источниками покрытия издержек обращения и формирования прибыли. Методы затратного ценообразования довольно распространены при ценообразовании на продукцию, цены которой регулируются государством. Условия применения данного метода ценообразования:
Достоинства методов затратного ценообразования:
Недостатки методов обоснования цен на базе издержек производства:
Установление цен на базе издержек, по мнению многих экономистов, является устаревшей и неэффективной стратегией ценообразования, хотя и часто практикуемой. Затратное ценообразование рассматривает цену производителя как совокупность трех элементов:
Главные функции специалиста по ценообразованию в условиях затратного подхода, участие в создании совершенной системы учета затрат и обоснование величины прибыли в составе цены товара. Методы затратного ценообразования:
9.2. Калькулирование по полным затратамДля определения цены товара составляется калькуляция себестоимости единицы продукции. При этом перечень статей затрат, их состав и методы распределения по изделиям устанавливаются Налоговым Кодексом и конкретизируются отраслевыми инструкциями по планированию, учету и калькулированию себестоимости единицы продукции. В монономенклатурных производствах все затраты рассматриваются как прямые, а в многономенклатурных принято выделять прямые и косвенные затраты. В нашей стране традиционно определение цен осуществлялось на основе полных (совокупных) издержек производства. При определении цен на базе полных издержек учитываются как прямые переменные затраты, так и постоянные затраты. Основной недостаток данного метода заключается в том, что любой способ определения постоянных расходов на единицу продукции является производным. Цены на продукцию могут значительно отличаться в зависимости от выбранного способа. Рассмотрим это на условном примере. Таблица 5 Расчет совокупных издержек на производство товаров
Расчеты по совокупным издержкам могут привести к ошибочным выводам о выгодности отдельных изделий, о возможном уровне цен на изделия, о присутствии изделия в портфеле заказов. Таблица 6 Пример решения о выгодности производства изделия
Логично по результатам анализа принять решение о снятии изделия В с производства, но в этом случае уменьшится прибыль предприятия в целом 1300000 - 1500000 = -200000. 9.3. Калькулирование по сокращенным затратамПри определении цен по сокращенным затратам учитываются только переменные прямые затраты, то есть те, которые имеют непосредственное отношение к производству данного товара. Эти методы получили широкое развитие в США, ФРГ, Великобритании. Впервые значительное распространение этот метод получил в США под названием директ-костинг или калькулирование по прямым затратам. Косвенные затраты списываются на финансовые результаты в целом, уменьшая валовую прибыль. В Великобритании метод назвали маржинал-кост, т.е. приростные, дополнительные затраты на каждую новую единицу продукции или снижение затрат при уменьшении объема производства на одно изделие. Конкретная номенклатура статей затрат у различных фирм может различаться и быть ближе к одной из вышеназванных систем. Назначение калькулирования по сокращенным затратам:
Таблица 7 Сравнительный анализ калькулирования по полным и по сокращенным затратам
Расчет нижней границы цены необходим для принятия решения о приеме или отклонении добавочных заказов, об остановке или продолжении производства, об участии в конкурсах на получение контрактов. Для фирмы с неполной загрузкой производственных мощностей приемлем заказ по цене, покрывающей переменные и часть постоянных затрат. Ограничение в применении калькулирования по сокращенным затратам:
10.1. Экономическая ценность товара: сущность и последовательность определенияМетодики рыночного (ценностного) ценообразования основаны на предположении, что, во-первых, все покупатели обладают полной информацией обо всех товарах аналогичного назначения, присутствующих на рынке, во-вторых, все покупатели являются экономическими людьми, т.е. всегда принимают решения рационально, сопоставляя информацию о цене товара и значении его основных параметров. Данные предположения действительны в реальной практике при продаже товаров производственно-технического назначения, также при продаже дорогостоящих потребительских товаров и услуг. В первом случае функцию информационного обеспечения и принятия ценовых решений выполняет соответствующая служба предприятия (отдел снабжения, коммерческая служба, отдел комплектования и т.п.), во втором – покупатель самостоятельно. Экономическая ценность товара – цена лучшего из доступных покупателю альтернативных товаров плюс ценность для него тех свойств данного товара, которые отличают оцениваемый товар от товара альтернативы. Последовательность процедур определения экономической ценности и цены товара Этап 1. Определение цены товара, который покупатель склонен рассматривать как лучшую из реально доступных альтернатив, т.е. товара выступающего аналогом при расчете цены оцениваемого товара. Данная процедура не составляет труда в розничной торговле, но определенные сложности могут возникнуть при анализе цен на продукцию производственно-технического назначения, т.к. фактические цены сделок могут существенно отличаться от прейскурантных. Этап 2. Определение всех параметров, отличающих оцениваемый товар от альтернативного товара и количественная оценка отличий в значении параметров. Рекомендуется проанализировать следующие параметры:
На данном этапе должна быть дана оценка конкурентоспособности товара по качеству, т.е. оценены положительные и отрицательные отличия. Этап 3. Оценка ценности для покупателя различий в параметрах оцениваемого товара и товара альтернативы. Необходимость данного этапа определяется тем, что для покупателя выгодность от изменения различных параметров будет различной. В результате выполнения совокупности работ данного этапа специалист по ценообразованию должен ответить на вопросы: "Готов ли покупатель платить больше за улучшение параметров товара и на сколько? Привлечет ли покупателя снижение цены товара более низкого качества? Насколько должна быть снижена цена товара с худшими свойствами, чтобы покупатель согласился купить данный товар?" Способы получения ответа на данные вопросы определяют разнообразие методов ценностного ценообразования. Этап 4. Расчет экономической ценности товара. Осуществляется суммированием цены товара альтернативы и полученных на предыдущем этапе оценок ценности отличий. Этап 5. Расчет цены товара. Экономическая ценность является ориентиром для установления цены товара, которая в зависимости от избранной стратегии может быть выше или ниже экономической ценности. 10.2. Методы параметрического ценообразованияОснову параметрических методов ценообразования составляют формализованные количественные зависимости между ценами и основными потребительскими свойствами продукции, входящей в параметрический ряд. Параметрический ряд – это совокупность продукции, которая однородна по конструкции и технологии изготовления, имеет одинаковое или близкое функциональное назначение и различается между собой количественным уровнем основного потребительского свойства. Условия применения параметрических методов ценообразования:
Сфера применения параметрических методов ценообразования:
Преимущество данных методов по сравнению с методами затратного ценообразования состоит в том, что полученная на основе таких исследований цена в большей мере отражает складывающиеся на рынке условия формирования цен, чем калькуляция. Состав параметрических методов ценообразования:
Все разновидности параметрических методов анализа и определения затрат и цен основаны на обработке статистических данных в пределах однородных групп продукции. Метод удельных показателей Удельная цена – это частное от деления цены на значение основного качественного параметра по каждому изделию данного параметрического ряда.
где Pуд – удельная цена на единицу основного параметра в рублях; Pi – цена единицы изделия в рублях; Qi – количественный уровень основного параметра i -го изделия. Тогда цена нового изделия может быть определена как
Обычно цена, рассчитанная по данной формуле, служит верхним уровнем цены, т.к. принимая решение о цене нового товара, фирма стремится выиграть борьбу за рынок у конкурентов в результате относительного снижения цены на единицу главного параметра новой продукции по сравнению с базовой, то есть
где Qб , Qн – соответственно, значение основного параметра базового и нового изделия. Соотношение между удельной ценой нового товара и товара аналога может быть количественно определено как коэффициент торможения. Коэффициент торможения – понижающий коэффициент, используемый фирмой, чтобы сделать приобретение нового товара более выгодным, чем приобретение товара аналога. Величина коэффициента выбирается фирмой с учетом следующих факторов:
Рассмотренная модель метода удельного ценообразования может быть применена только в случае явного доминирования значения одного параметра над остальными и неизменности остальных параметров (либо их равенстве для сравниваемых изделий), т.е. при продажах товаров имеющих несложную конструкцию. Несовершенство данного метода заключается в том, что он не учитывает другие потребительские свойства изделия, игнорирует поведенческие реакции покупателей, спрос и предложение. В практике продажи сложных изделий и услуг следует учитывать, что их оценка их качества представляет собой комплексную характеристику, отражающую значения целого ряда потребительских свойств. При изменении не только основного, но и второстепенных свойств рекомендуется модифицировать формулу рассмотренную выше:
где Pн – цена нового изделия; Pуд – исходная удельная цена, определенная на единицу главного параметра; Qг – количественное значение главного параметра нового изделия; D – доплаты (скидки), отражающие изменение других потребительских свойств нового изделия. Фактически обе рассмотренные выше формулы отражают не предпочтения покупателей, а только изменение качественных параметров. На практике покупатели могут неоднозначно оценивать важность (необходимость, неотложность, значимость) изменения отдельных параметров. В этом случае более корректные расчеты цены нового изделия можно получить на основе баллового или индексного методов. Индексный метод может быть применен, когда параметра сравниваемых изделий количественно измеримы (скорость вращения, объем, площадь и др.), балловый метод рекомендуется применять, если в системе показателей, характеризующих качество сравниваемых товаров (услуг) присутствуют также характеристики, не измеряемые количественно (престиж, цвет, удобство). Индексный метод
где Pн – цена нового товара; Pа – цена товара-аналога; Jj – индекс изменения j -го параметра нового изделия по сравнению с товаром-аналогом; Kвесj – коэффициент весомости j -го параметра. Для оценки значимости параметров товаров для покупателей и соответственно возможных границ изменения цен могут быть использованы экспертные оценки (метод ранговой корреляции, метод парных сравнений и др.). Балловый метод Суть метода состоит в том, что на основе экспертных оценок значимости параметров изделий для потребителей каждому параметру присваивается определенное число баллов, суммирование которых дает своего рода интегральную оценку конкурентоспособности изделия по качественным параметрам. Умножением суммы баллов по новому изделию на стоимостную оценку одного балла, изделия-аналога определяется ориентировочная цена нового изделия. Цена на новое изделие, по которому оцениваемые параметры не равнозначны для потребителя, исчисляется по формуле:
где Pн – цена нового изделия; m – количество оцениваемых параметров; Бн j – балловая оценка j -го параметра нового изделия; pб – средняя оценка одного балла изделия-эталона. Средняя оценка ( pб ) балла определяется по формуле
где Pа – цена товара-аналога; Баj – балловая оценка j -го параметра товара-аналога. Количество показателей, оцениваемых баллами должно быть ограниченным и в то же время достаточно полно характеризовать потребительское качество изделий. Ограничение числа оцениваемых показателей связано с тем, что при большом количестве показателей относительно меньший удельный вес занимает каждый из них и в результате занижается значимость улучшения каждого конкретного показателя. Изделие может быть хорошо оценено по общей сумме баллов, даже если оно имеет очень низкий уровень качества какого-либо конкретного наиболее важного показателя. Балловый метод применяется при обосновании цен на продукцию часовой, радиотехнической, оптико-механической промышленности, на парфюмерно-косметические изделия, вина, животные масла, сыры и др. В отличие от индексного метода балловый позволяет сравнить качественные показатели (дизайн, страна изготовитель, цвет). Метод структурной аналогии По однотипной продукции на основе статистического материала определяется структура ее совокупных затрат, то есть находится удельный вес материальных затрат и заработной платы в полных затратах. Затем каким-либо методом (например, методом удельных показателей) определяются абсолютные величины материальных затрат или заработной платы по новому изделию. Зная абсолютную величину того или иного вида затрат по новому изделию и его удельный вес в структуре совокупных затрат по аналогичной группе продукции можно рассчитать ориентировочные затраты нового изделия: Агрегатный метод Метод заключается в суммировании затрат или цен отдельных конструктивных частей или узлов изделия с добавлением стоимости оригинальных узлов (деталей). Этот метод применяется, когда новая продукция состоит из разных сочетаний основных конструктивных элементов (узлов, комплектующих изделий), цены которых известны, а совокупная цена или совокупные затраты продукции исчисляются как сумма затрат (цен) отдельных конструктивных элементов или определяются путем суммирования (вычитания) цен или затрат добавляемых или сменяемых элементов (узлов, комплектующих изделий). 11.1. Сущность и виды торговТорги (тендер) – отбор поставщиков продукции или услуг производственного назначения с помощью формализованной процедуры аукционного типа. Такие процедуры способны обеспечить получение необходимого результата при минимальном расходовании финансовых средств. Сфера применения торгов:
Государство в лице его различных органов является крупнейшим покупателем продукции и услуг. Закупки государства оказывают существенное воздействие на динамику и структуру экономики. В большинстве стран (США, Японии, Франции, Италии, Нидерландах и др.) закупочная политика регулируется специальным законодательством, а в других – ведомственными инструкциями. Государство может осуществлять закупки в двух формах: заказы и прямые покупки товаров и услуг на рынке. По заказам разрабатываются и производятся изделия, которые в массовом порядке не выпускаются. На основе прямых закупок приобретаются товары и услуги уже имеющиеся на рынке. В последнее десятилетие наметилась тенденция к расширению государством прямых рыночных закупок, т.к. с их помощью удается приобретать товары по более низким ценам и более высокого качества. Формы размещения государственного заказа и их влияние на цены Существует два основных способа размещения государственных заказов – торги и прямые договоры. Торги по степени доступности для участников можно разделить на открытые и закрытые. Метод открытых торгов используется при закупках товаров и услуг на коммерческом рынке. Информация при открытых торгах должна быть обнародована, а право участвовать в них получает неограниченное число участников. При закрытых торгах количество участников ограничено, участвовать в них приглашается круг поименованных компаний. Закрытые торги проводятся среди фирм уже являющихся поставщиками или выступавших в качестве соискателей контракта в прошлом, а иногда и среди тех, которые сами обращаются в закупочный орган с просьбой внести их в список соискателей. Закрытые торги в основном практикуют Дания, Италия, Нидерланды, а открытые – Греция, Бельгия, Ирландия. Организация открытых или закрытых торгов сама по себе не гарантирует складывание подлинно конкурентных условий и заключение контракта с поставщиком по "справедливой" цене. Причины тому – сговор между компаниями, практикуемый на торгах, отсутствие конкуренции или ее низкая острота в силу малого числа участников торгов. По степени свободы закупочных властей в выборе поставщика торги (по классификации Организации стран экономического сотрудничества и развития) делятся на автоматические и дискреционные. При автоматических торгах обнародуются основные условия контракта – технические спецификации, сроки поставки и т.д., а потому присуждение контракта происходит как бы автоматически в соответствии с изъявляемой компаниями готовностью выполнить установленные условия. Заказ передается той фирме, которая гарантирует соблюдение всех оговоренных условий, запрашивает наименьшую цену. Дискреционными называются торги, при которых только часть условий контракта оговаривается заранее. В результате фирмы конкурируют и по цене, и по качественным параметрам. Метод прямых переговоров между государственным закупочным органом и потенциальными поставщиками применяется в основном на производство несерийных, специализированных товаров и услуг. Выбор метода определяется ограниченностью круга потенциальных поставщиков. Конкурентные закупки, как правило, значительно экономичнее неконкурентных, т.к. фирмы в ходе конкурентной борьбы за получение контракта стремятся снизить цену и сократить сроки поставок. В ряде случаев разница достигает 25%. Но для организации и проведения торгов требуется определенное время, гораздо меньшее время требуется для неконкурентных закупок. Поэтому законодательством ряда стран предусмотрена возможность прямых закупок для контрактов стоимостью ниже определенного предела или в экстренных ситуациях. Основные показатели контракта:
Методики расчета цен контракта:
Используемые типы цен:
11.2. Количественный и качественный анализ условий торгов. Выбор цены предложенияПодготовка заявки на участие в торгах включает в себя:
Задачей качественного анализа условий торгов является определение желательности победы в торгах с точки зрения задач развития фирмы в целом. Решая данную задачу, следует ответить на вопросы:
Ответ на эти вопросы зависит от значения следующих параметров:
Экономическое обоснование заявки на участие в торгах связано с выбором той предлагаемой фирмой цены, при которой она может достичь максимальной величины выигрыша. Однозначный совет справедлив, когда фирма имеет возможность участвовать во многих торгах и должна сформировать свой портфель предложений в соответствие с задачей максимизации общей массы выигрыша. Если же фирма переживает серьезные финансовые трудности и работает в условиях стагнирующего рынка, то для нее приемлемой может оказаться цена, сулящая наибольшие шансы на победу даже при минимальной величине выигрыша. Проблема заключается в нахождении наибольшей цены, которая была бы меньше, чем цена, предложенная самым "дешевым" конкурентом. Подходы к определению вероятности победы в торгах при различных уровнях цен Детальные оценки вероятности, основанные на расчете частоты предложения конкурирующими фирмами цен, отличных от цен оферты нашей фирмы. Требуют наличия информации:
Основан на информации о соотношениях сложившихся в прошлых торгах между ценами победителей и ценами, существовавшими на ту же продукцию на открытом рынке. Торги проводятся впервые или информация о предыдущих торгах не доступна. Экспертные оценки. 12.1. Сущность ценовой стратегии фирмы. Информационно-логическая схема разработки ценовой стратегии фирмыВ управлении ценообразованием принято выделять три взаимосвязанных понятия:
Политика цен – это провозглашенные намерения фирмы в области ценообразования, это наиболее общие принципы, которых фирмы собирается придерживаться при установлении цен на товары и услуги. С помощью установления цен на свою продукцию фирмы могут стремиться к достижению следующих целей:
Политика цен является основой для разработки стратегии ценообразования. Стратегия ценообразования – это согласованная совокупность решений, благодаря которым политика цен реализуется на практике. Как правило, стратегия ценообразования включает наиболее важные решения, имеющие долговременные туднообратимые последствия для предприятия. Последовательность и содержание работ по формированию ценовой стратегии фирмы изображены в таблице. Таблица 8 Информационно-логическая схема разработки стратегии ценообразования
12.2. Стратегии конкурентного ценообразованияФормирования стратегий конкурентного ценообразования означает установление цены товара, учитывая ощущаемую покупателями ценность данного товара, соответственно фирма может принять одно их трех решений:
Каждому из возможных решений соответствует определенная стратегия, условия эффективного применения которых мы рассмотрим ниже. Следует учесть, во-первых, фирма может разрабатывать стратегию конкурентного ценообразования единую для всей номенклатуры выпускаемой продукции, рассматривая свои действия по отношению к конкурирующим фирмам, или для отдельных товарных позиций, в этом случае фирме необходимо учитывать внешнюю конкуренцию с другими фирмами и внутреннюю конкуренцию между собственными товарами; во-вторых, речь идет не о высокой или низкой по абсолютной величине цене, а о соотношении цены и экономической ценности товара, именно это соотношение кладется в основу выделения трех конкурентных стратегий. Стратегия премиального ценообразования или "снятия сливок" предполагает установление цен на уровне более высоком, чем экономическая ценность товара и получение прибыли за счет высокой рентабельности продаж в узком сегменте рынка. Обязательным условием применения данной стратегии является низкая эластичность спроса по цене, т.е. незначительные изменения объема спроса при изменении цен. Это условие относительно легко выполнимо на монопольном и олигопольном рынке, практически невозможно его достижение на конкурентном рынке, а на рынке монополистической конкуренции фирма должна приложить значительные усилия, желая применить данную стратегию и обеспечить низкую эластичность спроса по цене. Действия фирмы могут быть направлены на производство нового товара, обладающего уникальными свойствами, на поддержание репутации фирмы, на создание систем товаров, взаимодополняющих друг друга и т.п. Защита рынка от конкуренции… Предприятие, намеренное применить данную стратегию должно оценить границы безубыточности решения по повышению цены (рассмотренные в теме уточненный анализ безубыточности), учтя в расчетах и дополнительные затраты, направленные на стимулирование продаж при повышенных ценах. Стратегия премиального ценообразования может быть адресована к покупателям определенного сегмента рынка, готовым платить более высокую цену за особые свойства продукции. Модификацией данной стратегии является стратегия ступенчатых премий, означающая установление цен с дискретно снижающейся величиной премиальной надбавки к цене, что позволяет обеспечивать продажи в новых сегментах рынка, более чувствительных к уровню цены. Примером может служить продажа компьютеров и комплектующих к ним… Стратегия ценового прорыва предполагает установление цен на уровне более низком, чем экономическая ценность товара и получение большей массы прибыли за счет увеличения объема продаж и расширения присутствия на рынке. Целью данной стратегии является вытеснение конкурентов в результате установления низких цен (иногда временное установление низких цен). Обязательные условия применения данной стратегии, во-первых, высокая эластичность спроса по цене, при принятии решения о покупке товара цена должна рассматриваться покупателями как наиболее значимый фактор; во-вторых, низкая доля переменных затрат в цене товара. Не рекомендуется использовать стратегию ценового прорыва фирмам, предлагающим товары престижного спроса, дешевые товары повседневного спроса, а также товары, свойства, которых невозможно сравнить до потребления (например, услуги). Модификацией данной стратегии является выделение товара "убыточного лидера продаж". "Убыточный лидер продаж" – это товар, продаваемый с минимальной прибылью или без прибыли (по цене на уровне переменных затрат) с целью привлечения покупателей к покупке других товаров. Данная стратегия часто применяется торговыми фирмами с широким ассортиментом товаров, из которого выбираются один или несколько товаров, с высокой эластичностью спроса по цене, хорошо известных покупателям. Установление низких цен на эти товары служит своеобразной приманкой покупателям. Например, фирма продающая канцелярские товары, в летний период значительно снизила цены на тетради ученические, повысив на авторучки, карандаши, краски, линейки, что имело результатом значительное увеличение товарооборота и прибыли фирмы. Оптовая фирма, продающая несколько сотен наименований продуктов питания, поддерживает уровень цен на десять товарных позиций (в том числе, сгущенное молоко, куриные окорочка, наиболее известные сорта чая и кофе) на уровне ниже, чем у конкурентов. Фирма имеет репутацию наиболее выгодного посредника среди мелкооптовых и розничных фирм. Стратегия нейтрального ценообразования предполагает установление цен на уровне соответствующим экономической ценности товара. Нейтральное ценообразование рекомендуется предприятиям, действующим на рынке, где:
Предприятию продает взаимозаменяемые товары и стремиться поддерживать определенные соотношения цен в рамках существующего ценового ряда. Ценовый ряд – существующие одновременно соотношения цен на различные модели или модификации одной и той же продукции одного изготовителя или всех изготовителей, действующих на рынке. 12.3. Стратегии дифференцированного ценообразованияПод дифференцированным ценообразованием принято понимать продажу одних и тех же товаров фирмой по двум и более различным ценам. Основой применения стратегий дифференцированного ценообразования является неоднородность покупателей, в результате которой фирма имеет возможность продавать один и тот же товар по разным ценам. Следует отметить, что к данной стратегии не относятся случаи снижения цен на поврежденные или забракованные товары, на товары, по которым истек (приближается дата истечения) срок годности. Стратегия скидки на вторичном рынке (получившая также название установление ценовая дискриминация, применение демпинговых цен) предполагает наличие вторичного рынка – т.е. рынка нового по отношению к освоенному ранее, который может существенно расширить спрос на продукцию фирмы при ее продаже по более низкой цене. Варианты стратегии скидки на вторичном рынке:
Условия эффективного применения стратегии скидки на вторичном рынке:
В качестве примера использования стратегии дифференцированного ценообразования можно привести тарифообразование на услуги связи. Приведем основные факторы, по которым дифференцируются тарифы на отдельные услуги связи:
По многим видам услуг связи тарифы дифференцируются по нескольким признакам:
Следует различать дифференциацию цен, обусловленную различными затратами на отдельные товары или услуги, и дифференциацию как стратегическое решение по завоеванию рынка. 12.4. Географические стратегии ценообразования
Пример, показывающий значимость избранной географической стратегии ценообразования: В 1993-1995 гг. в газовой промышленности России действовала стратегия ценообразования, в рамках которой монопольно владеющий газотранспортной системой страны РАО "Газпром" (95% добычи и 99% транспортировки естественного газа, добываемого в стране) перенес основную часть налогов и прибыли на транспортную составляющую от цены приобретения газа. При этом цена транспортировки газа для российских покупателей была установлена единой по всей транспортной сети независимо от расстояния (потребители при близком расстоянии –переплачивают, а при дальнем – недоплачивают). В результате существенно повышалась стоимость производства электро и теплоэнергии в самой Западной Сибири. В 1997 г. осуществлен переход на зональное ценообразование, но различия в зональных ценах незначительные, т.е. не отражают фактических различий в транспортных затратах. 13.1. Классификация тактических приемов ценообразованияТактика ценообразования – это система конкретных практических мер по управлению ценами на товары и услуги фирмы. Все тактические приемы ценообразования могут быть разделены на две группы, первая из которых предполагает реальное изменение цен (увеличение или снижение) для достижения поставленных целей, а вторая – воздействие на психологию покупателя без существенного изменения цен. Первую группу можно разделить на две подгруппы – скидки – означающие снижение цены товара, и надбавки – означающие увеличение цены товара. Использование скидок достаточно широко распространенный прием тактики ценообразования. Для продавца скидка означает уменьшение доли прибыли в цене каждой единицы товара. P 1 - b 1 > P 2 - b 2 Следовательно, решение продавца о предоставлении скидки покупателю должно сопровождаться тщательным анализом последствий ее применения, в первую очередь изменения объемов продаж и прибыли. В рыночной экономике условием успешного функционирования предприятия является получение им прибыли. Предоставление необоснованных скидок может привести к ухудшению финансового состояния предприятия. Использование скидок в тактике ценообразования предполагает наличие системы номинальных цен, т.е. прайс-листов, каталогов и т.п. Существование номинальных цен, создает возможность обеспечить одинаковый подход ко всем покупателям, т.к. каждый покупатель при одинаковых условиях получает одинаковую скидку. 13.2. Виды скидок. Условия эффективного применения
Например, фирма "Фронтал", изготавливающая пластиковые окна, ставит размер скидки в зависимость от стоимости заказа, чем больше стоимость заказа, тем больше скидка. Например, торговая группа "Спаркс-А" предлагала при покупке парфюмерии, косметики и товаров бытовой химии скидки: свыше 3 тыс. руб. – 3%, свыше 6 тыс. руб. – 4%, свыше 15 тыс. руб. – 5%. Способы выражения скидок:
Для покупателя, приобретение большого количества товара по пониженной цене имеет неоднозначные последствия. С одной стороны, он затрачивает меньше средств на приобретение каждой единицы товара. Но с другой, очень часто покупатель потребляет приобретенный товар на протяжении длительного периода времени и несет дополнительные издержки по хранению товара. Кроме того, приобретение больших партий товара, приводит к одновременному отвлечению значительных денежных средств покупателя. В некоторой степени, экономия покупателя может считаться мнимой, поэтому применении скидок за объем разовой закупки не всегда приводит к увеличению объема продаж.
13.3. Психологические приемы тактики ценообразования
14.1. Основные проблемы ценообразования на продукцию производственно-технического назначенияФакторы, определяющие особенности ценообразования на продукцию производственно-технического назначения:
С точки зрения особенностей ценообразования продукцию производственно-технического назначения можно разделить на 2 основные класса:
С точки зрения экономического назначения, т.е. роли в обеспечении деятельности фирм покупателей продукция производственно-технического назначения делится на 3 группы:
Экономическое назначение продукции оказывает непосредственное влияние на эластичность спроса по цене. Она будет наиболее высокой для товаров первой группы, т.к. затраты, связанные с ее использованием непосредственно входят в состав прямых переменных затрат. Несколько ниже будет эластичность к ценам на машины и оборудование, т.к. затраты на их приобретение входят в удельные затраты на изготовление продукции опосредованно – через амортизацию. Минимальной – на товары третьей группы. Методы ценообразования Сильнейший отпечаток на процесс формирования цены продукции производственно-технического назначения оказывает оценка ее полезности четко определяемыми количественными параметрами. Эти параметры тщательно исследуются специалистами по закупкам вплоть до проведения формализованных расчетов и сравнений. Это создает основу для применения ценностных методов ценообразования. Параметрическое ценообразование При покупке средств производства анализируются многочисленные критерии. Доктор Рональд Фицджеральд провел опрос 134 лиц, ответственных за принятие решений, из 27 американских фирм (Бизнес-практикум Маркетинг-Менеджмент, 1993, № 10). Они выделили следующие параметры и распределили их по значимости:
Виды цен По источнику информации – публикуемые (на серийно выпускаемую продукцию) и расчетные (на уникальную продукцию) Расчетные цены. При продаже технически сложных изделий цены формируются при непосредственном контакте продавца и покупателя (без посредника). В цену могут включаться самые разные составляющие – надбавки за гарантию, предпродажный и послепродажный сервис. По форме отражения в контракте – фиксированные, подвижные и скользящие. Широко применяются скользящие цены на продукцию с длительными сроками изготовления. По степени участия государства – регулируемые и свободные. Государственное воздействие на уровень цен осуществляется косвенно (протекционистская таможенная политика). 14.2. Ценообразование на рынке потребительских товаровСтруктура рынка потребительских товаров:
Особенности формирования спроса на нормальные товары и товары низшей категории. Стратегия и тактика ценообразования, наиболее часто используемые на рынке товаров потребительского назначения. 15.1. Состав и особенности сферы услугСфера услуг – это совокупность отраслей, подотраслей и видов деятельности, функциональное назначение которых в сфере общественного производства выражается в производстве и реализации материальных и духовных (нематериальных) услуг. В классификации ВТО выделяют более 150 видов услуг. Услуги становятся более крупной статьей общих производственных издержек фирмы. Уменьшается доля затрат на сырье, материалы, транспорт, увеличивается на информационные, компьютерные, финансовые, консалтинговые, маркетинг, связи с общественностью. В высокотехнологичных отраслях расходы на услуги превратились в самую крупную статью производственных издержек. Состав сферы услуг:
Следует отметить, что в прошлом понятие услуги в основном связывалось с материально-бытовыми и социально-культурными, а сейчас с наукоинтенсивными (научные исследования и разработки, компьютерные информационные, маркетинг, аудиторские, консалтинг, рекламные, службы занятости и т.д.). Одна из причин практика аутсоринга. Начиная с 80-х годов, многие крупные фирмы избавляются от непрофильных видов деятельности, которые отделяются в самостоятельные предприятия и сферы деятельности. Отличительные черты услуг:
15.2. Особенности ценообразования в сфере услугОсобенности сферы услуг определяют особенности формирования цен и выбор методов их определения, а также выбор стратегии и политики предприятий в области ценообразования. Особенности спроса и предложения в сфере услуг:
Виды цен в сфере услуг
Логика ценообразования на набор услуг – комплекс благ должен стоить для покупателя меньше, чем при покупке каждого из благ в отдельности. Набор услуг может быть неразбиваемым, если входящие в его состав услуги нельзя купить по отдельности (обычно используется фирмами предлагающими уникальную услугу в сочетании с традиционными), разбиваемым, если услуги можно приобрести как по отдельности так и в комплекте, причем цена комплекта ниже, чем сумма услуг при изолированном их приобретении). Стратегии ценообразования:
|
|||||||||||||||||||||||||||||||||||||||||||||||||||||||||||||||||||||||||||||||||||||||||||||||||||||||||||||||||||||||||||||||||||||||||||||||||||||||||||||||||||||||||||||||||||||||||||||||||||||||||||||||||||||||||||||||||||||||||||||||||||||||||||||||||||||||||||||||||||||||||||||||||||||||||||||||

(10)