Шпаргалка: Микроэкономика. Ответы на вопросы
|
Название: Микроэкономика. Ответы на вопросы Раздел: Рефераты по экономике Тип: шпаргалка | |||||||||||||||||||||||||||||||||||||||||||||||||
. 1. Потребности и их виды. Экономические блага. Две сферы экономики. Потребность – это неосознанная или осознанная необходимость в чём-либо. Виды потребностей: Выживание Гарантии безопасности Социальная потребность (в общении) Потребность в уважении Потребность в самоуважении (самоусовершенствование) Потребность - это объективно обусловленное и осознанное стремление человека или социальных общностей к достижению и воспроизводству наилучших условий жизни. В обществе всегда функционирует система потребностей. Выделяют 3 вида потребностей: - физические (материальные); - социальные; - духовные. Физические потребности связаны с физической жизнью людей и их удовлетворение воспроизводит человека как биологическое существо (пища, одежда, жилище). Социальные потребности - это основы деятельности человека как члена общества, как социального субъекта, выполняющего определенные функции (потребность в труде, отдыхе, охране здоровья, общественной деятельности, самовыражении, получении социальных гарантий). Духовные потребности связаны с духовно - творческой деятельностью (образование, повышение культуры, эстетическое наслаждение). Для осуществления экономической и социальной политики потребности классифицируются по их качественной определенности: - абсолютные потребности; - действительные потребности; - платежеспособные потребности. Абсолютные потребности выражают в самом общем виде достижения мировой цивилизации. Действительные потребности - это потребности, сформированные в рамках достигнутого уровня развития производства и общественных отношений в каждой отдельной стране. Платежеспособные потребности - это потребности, ограниченные возможностью потребителей оплатить их удовлетворение. 2. Ресурсы и их виды. Ограниченность ресурсов. Кривая производственных возможностей Ресурс – это всё то, что может быть использовано для создания благ и услуг. Ресурс – это потенциальные возможности создания чего-либо. Всё разнообразие ресурсов можно классифицировать в соответствии с различными подходами. Ресурсы подразделяются на следующие виды Материальные ресурсы - земля, или сырьевой материальный капитал. Людские ресурсы - труд и предпринимательские способности. Виды ресурсов: Природные ресурсы : воздушные, водные, лесные и др. Трудовые ресурсы: трудоспособное население от 14 до 60 лет. Технические ресурсы (капитальные): машины, механизмы, оборудование и т. д. Информационные ресурсы. Организационные ресурсы (знание менеджмента). Ограниченность ресурсов. Все экономические ресурсы, факторы производства обладают одним свойством, они имеются в ограниченном количестве. Эта ограниченность относительна и она означает, что ресурсов, как правило, меньше, чем необходимо для удовлетворения всех потребностей при данном уровне экономического развития. Наша планета Земля содержит лишь ограниченное кол-во ресурсов, которые можно использовать в производстве товаров и услуг. Пахотные земли, полезные ископаемые, капитальное оборудование и рабочая сила (рабочее время) – их наличие ограниченно определённым пределом. Вследствие ограниченности ресурсов объём производства ограничен. Общественное производство не способно произвести весь объём товаров и услуг, который общество хотело бы получить. Ограниченность ресурсов относительна и потому, что исторически определенный уровень научно - технического прогресса (НТП) определяет границы использования того или иного ресурса (например, глубина переработки нефти).
Поскольку наши потребности безграничны, а наши ресурсы ограничены, мы не в состоянии удовлетворить все наши потребности. Приходится решать какие товары и услуги необходимо производить, а от каких в определенных условиях следует отказаться. abc –т. эффективного использования ресурсов. d –т. не эффективного использования ресурсов (безработица) e – т. за пределами возможностей. Переход из b в b1 означает, что на величину отрезка I-го увеличилось производство техники и отрезка II-го уменьшилось производство продуктов питания. Отрезок II – это альтернативные издержки экономического выбора. 3. Основные вопросы экономики и способы их решения в разных типах экономических систем. В рыночной экономике рынок стоит непосредственно между производителями и потребителями, помогает им общаться на языке цен и решать три главных экономических вопроса: - что производить; - как производить; - для кого производить. ЧТО ПРОИЗВОДИТЬ — это принятие решения о том, какие именно блага, какого качества, в каком количестве должны быть произведены. КАК ПРОИЗВОДИТЬ — это принятие решения о том, с помощью каких ограниченных ресурсов и их комбинаций, с помощью каких технологий будут произведены блага. ДЛЯ КОГО ПРОИЗВОДИТЬ — это проблема решающая кому достанутся произведенные блага, и в каком количестве будет располагать ими потребитель. В командной системе хозяйства между производителями и потребителями создаются громоздкие необыкновенно дорогостоящие структуры с огромной численностью работников, которые пытаются решать эти три вопроса. В смешанной экономике между производителем и потребителем стоит рынок с элементами регулирования рыночных отношений. 4. Производство в широком и узком значении. Воспроизводство и его формы. Воспроизводство - это постоянно повторяющийся процесс производства. Общественное воспроизводство включает в себя 2 момента: - воспроизводство производительных сил; - воспроизводство производственных отношений. Воспроизводство производительных сил это есть постоянное возобновление рабочей силы, средств производства и природных ресурсов. Воспроизводство производственных отношений это есть воспроизводство социально - экономических форм производства и воспроизводство отношений между людьми. Воспроизводство бывает простое и расширенное. Простым воспроизводством является такое воспроизводство, когда размеры произведенного продукта и его качество ос тается низким из года в год. Расширенное воспроизводство - это такое воспроизводство, когда размеры произведенного продукта и его качество из года в год возрастает и совершенствуется. Расширенное воспроизводство воплощено в экономическом росте. Экономический рост - это динамика общественного продукта и факторов его производства Бывает двух типов: экстенсивный и интенсивный. При экстенсивном типе экономический рост достигается количественным увеличением факторов производства при сохранении прежней технологии производства. При интенсивном типе экономический рост достигается путем качественного совершенствования факторов производства. 5. Факторы производства. Их характеристики и результат взаимодействия. Факторы производства - это ресурсы используемые для производства экономических благ. Для того чтобы начать производство, необходимо наличие, по крайней мере, того, кто будет производить, и того, из чего будут производить. Поэтому в известном смысле можно говорить о двух факторах производства – человеке и природе. Однако такое определение было бы слишком обобщенным. Обычно в экономической науке выделяют четыре фактора производства: труд, капитал, землю и предпринимательство. В экономической теории различают 4-е фактора производства:
ПРЕДПРИНИМАТЕЛЬСКАЯ СПОСОБНОСТЬ Труд – это рабочая сила, т. е. физические и умственные способности человека создавать благо и услуги. Капитал – это любая ценность способная приносить доход её владельцу (в широком смысле) Капитал – это здания, сооружения, машины, оборудование или деньги затраченные в виде инвестиций. Земля – это не только поверхность земли, но и её недра (топливо, сырьё, материалы, энергия и т. д. ) Предпринимательские способности – это наличие у человека организаторских и управленческих способностей и готовности к ответственности. Характеристики факторов производства: Факторы производства измеримы и имеют цену. Факторы производства способны приносить доход их владельцам. Факторы производства взаимозаменяемы и требуют эффективного использования. Факторы производства используются количеством и качеством и оно определяется спросом и предложением. Взаимодействие факторов производства называется процессом производства, т. е. процессом создания благ и услуг. 6. Затраты и результаты. Экономическая эффективность производства и её показатели. 7. Экономическая теория. Определение предмета. Функции. Экономическая теория – это наука о законах и закономерностях управляющих отношениями между людьми в процессе производства, обмена, распределения и потребления ресурсов и благ. (Политическая экономика ) – это теория изучающая принципы рационального поведения потребителя и производителя в условиях ограниченных ресурсов с целью получения максимальной пользы или максимальной выгоды при минимальных затратах. (Микро экономика . ) – это наука изучающая проблемы экономического роста. (Макро экономика . ) Функции экономической теории: Познавательная функция. Расширяет представления людей об отношениях в обществе и закономерностях в её развитии. Методологическая функция. Яв-ся фундаментом для изучения всех других экономических наук, т. к. вооружая их значениями категорий законов и методами анализа экономических явлений. Практическая функция. Яв-ся основой разработки экономической политики государства, служит для составления прогнозов экономического развития, формирует инструментарий рационального выбора потребителя и производителя. 8. Методы экономического анализа. Законы, принципы, теории, модели. Методы анализа: Метод статистических наблюдений. Метод научной абстракции. Выделение в экономическом явлении самого главного, существенного без учёта влияния на него второстепенных факторов. Анализ этого главного явления синтезирование, предложение гипотезы, проверка её на практике (индуктивный дедуктивный подход). Либо подтверждение, либо опровержение гипотезы. Применение этого метода основано на анализе экономических категорий, все они абстракция. Экономико – математическое моделирование, т. е. определение развития экономических явлений путём исследования влияния на него тех или иных параметров. Экономические модели бывают: - Описательные - Графические - Алгебраические В экономике различают два подхода к анализу экономических явлений: Позитивизм, т. е. описание явлений таким, каким его видит исследователь без сравнительной оценки. Нормативизм, т. е. в сравнении полученных результатов с действующими на данный момент в экономике с законами, закономерностями и нормативными критериями и их оценка. Методы экономического анализа используются для выявления и познания действий экономических законов. Экономический закон – это наиболее существенные и постоянно повторяющаяся связь между экономическими явлениями. Отличия экономических законов от законов природы и от юридических законов: - носит объективный характер, т. е. не зависит от воли и сознания людей. - носит исторический характер, т. е. приходящий характер. - они познаваемы и могут быть использованы в интересах людей. 9. Позитивизм и нормативизм в экономике. Макро и микро экономика В экономике различают два подхода к анализу экономических явлений: Позитивизм, т. е. описание явлений таким, каким его видит исследователь без сравнительной оценки. Нормативизм, т. е. в сравнении полученных результатов с действующими на данный момент в экономике с законами, закономерностями и нормативными критериями и их оценка. Экономика как наука включает в себя два взаимосвязанных процесса: макроэкономику , которая рассматривает экономические явления и процессы на уровне мирового хозяйства; микроэкономику , которая рассматривает экономические явления и процессы на уровне отдельно хозяйствующих субъектов. Таким образом микроэкономику в современных условиях можно рассматривать как науку и инструмент принятия управленческих решений на уровне одного хозяйствующего объекта (предприятия), группы (концерн) и на уровне структурных подразделений отдельного хозяйствующего субъекта. В условиях рыночной экономики ведущее место в микроэкономике как науке, занимают следующие основные вопросы: · исследование факторов производства и их влияния на механизм формирования производственных издержек и себестоимости, прибыли · исследования стратегии конкуренции в условиях различных типов рынка · анализ спроса и предложения в условиях различного уровня диверсификации производства и в условиях различных типов рынка · анализ формирования уровня цен на производимую предприятием продукцию в условиях конкурентного рынка При этом следует учитывать, что любое управленческое решение на уровне предприятий принимается в условиях ограниченного объема информации и в условиях системы ограничений на используемые предприятием ресурсы. В основе экономической науки лежит представление о неограниченности потребностей и редкости ресурсов. Поэтому эффективное использование редких ресурсов составляет одну из главных задач экономической системы. Известно, что одной из важнейших характерных черт экономики является непосредственная опора на рыночную систему как на механизм распределения ресурсов. Поэтому главным предметом анализа являются индивидуальные цены и рыночная система. Точнее говоря, основная задача заключается в том, чтобы достаточно полно рассмотреть функционирование и сравнительную эффективность рыночной системы в распределении ресурсов. Как и любая другая наука, микроэкономика использует определенные методы для определения законов и закономерностей, которые она исследует. Реальная жизнь отличается огромным многообразием различных явлений. Поэтому для нас не всегда будут интересны те или иные факты, не характерные для этого процесса. Учитывая это систематизируются только те стороны, которые составляют суть этого явления. Такой метод называется научной абстракцией . Кроме этого метода применяются и другие: · метод анализа - объект исследования делится на составляющие части, которые изучаются в отдельности; · метод синтеза - информация, характеризующая отдельные объекты исследования, соединяется в единое целое, и делаются общие выводы; · функциональный анализ - позволяет вскрыть взаимосвязи между различными экономическими процессами; · экономико-математическое моделирование - метод описания любого явления словами, графически, таблично, а также вывод закономерности его появления в математической форме; · а также статистический и динамический анализ, который включает фактор времени . 10. История развития экономической мысли. Основные экономические школы. 1-ая школа экономики – это школа Меркантелистов (16-17века) А. Монкретьен, Томас Мэн. Под экономической теорией понимали науку о богатстве. Основу богатства считали деньги (золото, серебро). Осн. черты 1-ой школы: Торговля – основной способ обогащения. Государство должно ввозить, импортировать золото и серебро, а вывозить товар на экспорт. Государство должно производить протекционизм, (т. е. обслуживать своего клиента). 2-ая школа экономики – это школа Физиократа (17-18 века) Ф. Кене. Осн. черты 2-ой школы: Основа богатства общества – Земля. Приоритет должен отдаваться владельцам и пользователям земли. Государство должно поддерживать развитие сельского хоз-ва. 3-яя школа экономики – это Классическая школа (18-19 века) Адам Смит, Давид Рекардо, Виллиам Петти. Осн. черты 3-ей школы: Основа богатства – это труд. Обмен благами, ресурсами в обществе происходит на основе стоимости, а управляет этим процессом, так называемая “невидимая рука” (законы свободного рынка). Распределение благ происходит между собственниками трёх основных факторов производства (труд, земля, капитал). Государство не вмешивается в экономику и ограничивает своё участие только сбором налогов и изданием законов. Классическая школа обосновала и сформулировала основные принципы развития свободного рынка или рынка совершенной чистой конкуренции. После Адама Смита развитие основной экономической школы пошло по двум основным направлениям: Марксистская школа . Маркс и Энгельс. Немецкая и австрийская экономические школы . Кларк, А. Маршал. Идеями этих школ были: Стоимость благ определяется их редкостью и полезностью. Основой развития экономики является обмен. Владельцы факторов производства получают доход пропорциональный их ценности и полезности. 11. Натуральное хозяйство. Его основные черты и условия перехода к товарному хозяйству. Натуральное хозяйство - это такой тип организации общественного хозяйствования, при котором продукт труда используется для внутреннего потребления. Производитель продукта должен быть собственником средств производства. Продукт труда не является товаром. Формы натурального хозяйства абстрактно могут быть самыми разнообразными. Границы натурального хозяйства определяются системой внутреннего потребления. Для становления товарного хозяйства необходимы два условия: - общественное разделение труда; - обмен, рынок. 12. Рыночное (товарное) хозяйство. Основные черты и этапы развития Товарный тип объективно обусловлен на определенном этапе развития человеческого общества. Определение товарного производства впервые дает В. И. Ленин в работе по поводу так называемого вопроса о рынках: ". . . под товарным производством разумеется такая организация общественного хозяйствования, когда продукты производятся отдельными обособленными производителями, причем каждый специализируется на выработке одного какого-либо продукта, так что для удовлетворения общественных потребностей необходима купля - продажа продуктов (становящихся в силу этого товаром) на рынке". Для становления товарного хозяйства необходимы два условия: - общественное разделение труда; - обмен, рынок. Основные черты товарного хозяйства: - производитель продукта труда может быть собственником средств производства, но может и не быть им; - продукт труда является товаром; - рабочая сила становится товаром. 13. Развитие форм обмена. Товар, деньги, цена, стоимость. Деньги - это всеобщий эквивалент. Деньги выполняют пять функций: а) мера стоимости. В этой функции деньги измеряют стоимость всех других товаров. Эту функцию деньги выполняют идеально, то есть мысленно представляемы; б) средство обращения; в) средство платежа; г) средство накопления; д) мировые деньги. Деньги выходят за пределы национальных границ. Денежное обращение - это непрерывное движение денег. Люди нуждаются в деньгах как в средстве обращения, то есть в удобном способе заключения сделок на приобретение товаров и услуг. Чем больше общая денежная стоимость находящихся в обмене товаров и услуг тем больше потребность денег для заключения сделок. Спрос на деньги для сделок изменяется пропорционально номинальному валовому национальному продукту (ВНП). Товар – это продукт труда, удовлетворяющий какую либо человеческую потребность через обмен, рынок. Товар обладает потребительской стоимостью. Это есть способность товара удовлетворять какую-либо общественную потребность. Исходя из общественной потребности товары делятся на: · средства производства · предметы потребления Средства производства - это товары, удовлетворяющие производственные потребности общества. Предметы потребления - это товары, удовлетворяющие личные потребности человека. Товар имеет стоимость. По вопросу величины стоимости существуют три подхода: - марксистская школа считает, что величина стоимости определяется количеством труда, воплощенного в товаре - эта величина находится под воздействием двух факторов: а) производительности труда; б) интенсивности труда. Производительность труда - это количество продукции, производимой в единицу времени. Интенсивность труда - это количество труда, затраченное в единицу времени. - австрийская школа считает, что стоимость товара определяется ограниченностью и редкостью ресурсов и той пользой, которую может принести последний экземпляр товаров определенной группы. - кембриджская школа считает, что стоимость продукции определяется издержками производства, спросом и предложением и предельной полезностью. Цена - это относительная стоимость продукта труда, преобразованная на основе формируемой обществом заработной платы в процессе рыночного обмена товарами так, чтобы при обмене товарной продукцией всегда соблюдалось уравнение товарного баланса, где Цена = ЗарПлате. 14. Рынок и его функции. Позитивные и негативные стороны рыночного механизма. Рынок и государство. Рынок ( как экономическая теория) – это система отношений между потребителем и производителем основанная на частной собственности, обмене с целью получения выгоды или пользы. В рыночной экономике рынок стоит непосредственно между производителями и потребителями, помогает им общаться на языке цен и решать три главных экономических вопроса: - что производить; - как производить; - для кого производить. Рыночный механизм - это механизм формирования цен и распределения ресурсов, механизм взаимодействия продавцов и покупателей товара. Функции рынка: Распределительная функция. Рыночный механизм спроса и предложения распределяет ресурсы, блага и доходы между участниками экономической системы в пользу тех, кто смог применить их наиболее эффективно. Стимулирующая функция. Рыночный механизм создаёт условия для наиболее эффективного использования ресурсов, реализации творческих способностей людей, применение достижений. Контролирующая функция. Рынок следит за тем как используются ограниченные ресурсы и с помощью рыночных индикаторов (цена, норма прибыли, процентная ставка за пользование кредита и т. д. ) перераспределяют ресурсы из отраслей, продукция которых не пользуется спросом в другие отрасли, испытывающие недостаток ресурсов (высокие цены, дефицит и т. д. ) Санирующая функция. Рыночный механизм выявляет фирмы банкроты. Плюсы и Минусы рыночного механизма.
Современные экономические системы представляют собой смешанные образования. Рынок тесно взаимодействует с государством. В разных странах сложились свои модели смешанной экономики. 15. Модель кругооборота в рыночной системе. Структура и виды рынков. Модель кругооборота показывает сложное, взаимосвязанное переплетение процессов принятия решений и экономической деятельности. На ресурсном рынке предприятия выступают как покупатели, т. е. на стороне спроса, а домохозяйства, как владельцы ресурсов и поставщики, выступают продавцами, т. е. на стороне предложения. На рынке продуктов они меняются позициями; домохозяйства, как потребители, оказываются в стране покупателей, т. е. на стороне спроса, а предприятия находятся уже в лагере продавцов, т. е. на стороне предложения. Вместе с тем каждая из этих групп экономических единиц и покупает и продаёт.
Главное достоинство модели кругооборота заключается в том, что она вскрывает фундаментальные принципы функционирования чистого капитализма, но не посвящает наблюдателя во множество его деталей. Виды Рынков:
16. Инфраструктура рынка (на примере одного из вида рынка). Рыночная инфраструктура – это совокупность институтов, учреждений и организаций обеспечивающая нормальное функционирование рынка в целом и его отдельных структурных элементов. Инфраструктура рынка Финансов: Рынок ФИНАНСОВ состоит из:
Рынок ТРУДА состоит из:
17. Основные черты рыночной экономики. Проблемы формирования рыночных отношений в России. Хотя рыночная экономика и многозначное понятие, главный ее признак все же можно выделить. Это принцип свободы хозяйственной деятельности. Естественно, экономическая свобода, как и политическая, социальная, духовная, нравственная, ограничена общественно устанавливаемыми пределами, не позволяющими ей вылиться в анархию, превратиться в средство необузданного экономического произвола. Без системы общественных ограничений свобода одних станет засильем для других. Но в то же время наличие ограничений не свидетельствует, что в условиях их действия свобода заключена в заранее заданные рамки. Весь вопрос в том, каков уровень ограничений. Сужая ограничения, можно свести зону экономической свободы к нулю, а, расширяя свободное экономическое пространство, можно сделать его и при наличии ограничений не сковывающим хозяйственную деятельность, инициативу, предприимчивость. Главный принцип рыночной экономики декларирует право любого хозяйствующего субъекта, будь то человек, семья, группа, коллектив предприятия, выбирать желаемый, целесообразный, выгодный, предпочтительный вид экономической деятельности и осуществлять эту деятельность в любой допускаемой законом форме. Закон же призван ограничивать и запрещать те виды экономической и хозяйственной деятельности, которые представляют реальную опасность жизни и свободе людей, общественной стабильности, противоречат нормам морали. Все остальное должно быть разрешено как в форме индивидуальной трудовой, так и в ее коллективных и государственных формах деятельности. Таким образом, в рыночной экономике действует следующий исходный принцип: "Каждый субъект вправе избирать для себя произвольную форму экономической, хозяйственной деятельности, кроме запрещенных законом, ввиду их общественной опасности". Равноправие форм собственности в рыночной экономике. Следует отметить, что в рынке реализуется и принцип всеобщности. Он обусловливает комплексность рыночного хозяйства, где не должно быть структур, не пользующихся товарно-денежными отношениями, которые являются наиболее важными атрибутами рынка в экономике. Определяющим принципом рыночной экономики является также равноправие рыночных субъектов с разными формами собственности. Этот принцип гласит: экономические права каждого из данных субъектов, включая возможности осуществления экономической деятельности, ограничения, налоги, льготы, санкции, должны быть адекватны для всех субъектов. В том смысле, что они не зависят от формы собственности, существующей на данном предприятии. Естественно, равноправие или, лучше говорить, адекватность прав предприятий с разными формами собственности не следует воспринимать как абсолютное равенство, одинаковость, неразличимость. Разные формы собственности сами собой, поневоле создают разные производственные, экономические возможности. К тому же нерационально иметь одинаковые правила, скажем, налогообложения для предприятий с большим и малым коллективами и частников. Речь идет о другом: чтобы не создавать "особых" условий специального режима благоприятствования по признаку формы собственности, ставя в выгодное положение одну из них и в невыгодное - другую. В сущности, это предпосылка честной конкуренции разных форм собственности. Вторая, не менее важная сторона декларируемого принципа заключена в предоставлении всем формам собственности права на существование, права быть представленными в экономике. Здесь имеется в виду, прежде всего устранение геноцида по отношению к частной, семейной, групповой собственности на средства производства, столь свойственного в недалеком прошлом советской экономике. Плюрализм форм собственности в рыночной экономике, их экономическое равноправие порождают многообразие этих форм, не присущее обычно экономике государственного типа. Независимость хозяйствования. Уже было сказано о самостоятельности в выборе форм и видов деятельности, однако к этому следует добавить: рыночной экономике свойственны процессы саморегулирования, распространяющиеся не только на управление предприятием, но и на его создание и ликвидацию. Причем, в отличие от условий государственной экономики, в рамках рынка предприятия независимы от разного рода государственных директив, а в идеале - зависят только от финансового состояния на самом предприятии. Итак, на основе перечисленных фундаментальных принципов функционирует вся рыночная экономическая система. Проблемы формирования рыночных отношений в России. Существуют специфические проблемы в области перехода к рынку: очень трудно переходить к рынку в стране, которая раньше в полной мере не пробовала жить в нормальной рыночной экономике. Последние 70 лет страна жила по законам тоталитарной экономики. Частная инициатива искоренялась или существовала в тисках государственной идеологии. Предполагалось, что это даст возможность существованию огромной очень централизованной государственной машине. Любая другая форма экономической деятельности, кроме работы на государственном предприятии и, отчасти, в кооперативах, преследовалась. Казавшаяся с виду эффективной и справедливой, государственная экономика работала не столь эффективно и не позволяла воздавать полностью за труд людей и их инициативу. Система распределения продукции не могла стимулировать увеличение ее производства. Нормой стала система распределения потребительских товаров по карточкам, талонам и др. Учитывая все эти психологические, социальные и экономические особенности России, нетрудно понять, что бросать ее в стихию рынка опасно - это может вызвать катастрофу, как в политическом, так и в экономическом плане. Но и затягивание введения реформ чревато не меньшими опасностями. Чтобы вся рыночная система функционировала, нужно сделать гораздо больше, чем обуздать инфляцию и укрепить национальную валюту, отрегулировать банковское дело как основной источник кредитов в рыночной экономике. Следует выработать эффективную внешнеторговую политику, которая не сковывала бы деятельность отечественных предпринимателей и не сдерживала бы приток капитала из-за рубежа. А чтобы ресурсы распределялись эффективно, необходимо стимулировать развитие бирж - как фондовых, так и сырьевых, и биржи труда. 18. Собственность. Взаимосвязь экономического содержания и правовой формы. Формы собственности в РФ. Собственность - это есть исторически определенный тип экономических отношений между людьми по поводу средствпроизводства и результатов труда (экономическое содержание собственности). Правовое содержание собственности - это есть урегулированные законом общественные отношения по владению, пользованию и распоряжению имуществом. Отношения собственности завязываются в сфере производства, т. е. там, где реально взаимодействуют средства производства с живым трудом. Поэтому сфера производства является начальным пунктом для анализа собственности. Собственность является основой экономической системы общества, основой совокупности производственных отношений, т. к. во-первых, из отношения собственности вырастают все элементы производственных отношений (характер производства и труда, характер состязательности, содержание высшей цели производства); во-вторых, на основе отношений собственности преобразуется социально-классовая структура общества; в-третьих, отношения собственности пронизывают все фазы воспроизводящих процессов (производство, обмен, распределение, потребление), и соединяют их единым социально-экономическим содержанием. Собственность - это не застывшие экономические отношения, это развивающаяся экономическая категория, которая связывает деятельность экономических субъектов и выступает общей формой движения материальных объектов. Субъектами собственности являются общество в целом, классы и социальные слои общества, государство, коллективы работников, отдельные работники, люди. Субъекты собственности всегда закрепляются законом о собственности. Объектами собственности являются средства производства, денежные ресурсы, природные богатства. Собственность характеризуется многообразием форм. Это многообразие объективно обусловлено уровнем развития производительных сил (развитием разделения труда, уровнем технической оснащенности, степенью концентрации производства, потенциалом общечеловеческой – экономической культуры). Частная собственность означает, что средства производства, и результаты производства принадлежат отдельным лицам. Различают 2 вида частной собственности: - трудовая; - нетрудовая. Частная трудовая собственность основана на личном труде собственника средств производства. Результаты труда принадлежат ему. Частная нетрудовая собственность основана на использовании чужого труда (т. е. отчужденного от средств производства). Результаты труда достаются собственнику средств производства. Смешанная собственность - это такая собственность, в которой сочетается трудовая, нетрудовая и общественная формы собственности. Приватизация – это часть системных преобразований в переходной экономике, без которой (как впрочем и без других системных преобразований) невозможна экономически эффективная реализация частной собственности. Главной целью приватизации для России было становление новой системы хозяйства и формирование новых институтов, позволяющих существенно увеличить эффективность экономики как в целом, так и на микроуровнях. А также целью приватизации в переходной экономике является создание условий для нормального функционирования рыночной системы, а, следовательно, повышения эффективности производств. Развитие форм собственности осуществляется через такие процессы, как огосударствление и разгосударствление. Сегодня преобразование собственности в России характеризуется приватизацией государственного имущества. Приватизация собственности в России осуществляется в соответствии с "Законом о приватизации". Приватизация государственного имущества - это есть отчуждение имущества предприятий и организаций, находящихся в общегосударственной и коммунальной собственности, в пользу граждан и юридических лиц, которое заключается в передаче гражданам и юридическим лицам государственного имущества в частную, коллективную или смешанную форму собственности. Приватизация осуществляется на основе следующих принципов: - предоставление льгот на приобретение государственного имущества трудовым коллективам приватизируемого предприятия; - принцип законности; - обеспечение социальной защищенности и равенства граждан России в процессе приватизации; - приоритетное предоставление прав собственности гражданам России; - безвозмездная передача части государственного имущества каждому гражданину России; - принцип приватизации государственного имущества по его реальной стоимости на платной основе за личные средства граждан и их хозяйственных объединений, кредитные ресурсы и приватизационные ценные бумаги; - принцип свободного выбора способа и объектов вложения средств и финансовых посредников; - принцип полного, своевременного и достоверного информирования общественности обо всех действиях, о приватизации и контроль над ее осуществлением. 20. Спрос на товары и услуги. Закон спроса. Факторы спроса. В основе ценообразования лежит взаимодействие продавцов и покупателей, представляющих на рынке предложение и спрос. Человеку свойственно естественное желание потреблять, однако экономическая наука имеет дело лишь с теми потребностями, которые воплощаются в платежеспособном спросе. Платежеспособный спрос согласует желания потребителей с их объективными возможностями в приобретении тех или иных товаров. Итак, спрос можно определить как то количество товара, которое потребители готовы и в состоянии приобрести по определенной цене в течение некоторого времени. Объемом спроса на какой - либо товар называется максимальное количество этого товара, которое согласно купить отдельное лицо, группа людей или население в целом в единицу времени при определенных условиях. К числу этих условий относятся: цена данного товара, цены других товаров, величина денежных доходов, вкусы и предпочтения потребителей, накопленное имущество и другие. Зависимость объема спроса от определяющих его факторов называется функцией спроса. Прежде всего объем спроса на товар определяется его ценой. Понятно, что обычно люди стремятся купить товары подешевле, но это не говорит о том, что они готовы покупать товары менее качественные и только дешевые. Но какой бы качественный, технически сложный или дорогой товар человек ни покупал, все равно сохраняется обратная зависимость между ценой товара и величиной спроса на него. То есть при прочих равных условиях спрос на товар тем больше, чем ниже его цена. Именно эта зависимость называется законом спроса. Эту зависимость можно преобразовать в функцию спроса от цены, если прочие факторы, влияющие на объем спроса, принять за неизменные величины: Q =f (P ) Функция спроса от цены может задаваться тремя способами: 1. Табличным 2. Графическим 3. Аналитическим Q =a-b*P (например: Q =7-2P ) Кривая спроса показывает, как меняется объем спроса потребителя в зависимости от уровня цены на товар. Изменение объема спроса в зависимости от изменения цены на товар представляет собой движение по кривой спроса. К числу прочих факторов, определяющих объем спроса, относятся: размер дохода потребителя (I) вкусы покупателей (T) цены на другие товары (P. . . . . P ) общее число покупателей, размер рынка (Х) накопленное имущество (W) инфляционные ожидания (IE) В общем виде функция спроса записывается так: Q =f(P , I, T, P . . . P , X, W, IE и т. д. ) Помимо этого принято различать изменение объема спроса и изменение функции спроса. Изменение объема спроса возникает при изменении цены данного товара и при фиксированных значениях прочих факторов. В таких случаях имеет место движение вдоль линии спроса. Если же изменятся прочие факторы, то произойдет сдвиг линии спроса вправо или влево. Тогда говорят об изменении функции спроса. Смещение кривой спроса вправо и вверх соответствует увеличению спроса. Это означает, что в единицу времени большее количество товара по более высокой цене будет востребовано покупателями. И наоборот, если кривая спроса сдвигается влево и вниз, то это свидетельствует о том, что спрос уменьшается. Также, одному и тому же объему спроса соответствуют разные цены спроса (Р и Р, соответствующие объему Q). А теперь рассмотрим неценовые факторы , сдвигающие кривую спроса, более подробно. 1. Вкусы и предпочтения потребителей. Очевидно, что изменения во вкусах, предпочтениях, моде оказывают существенное воздействие на величину спроса на товар или услугу. Возраст и семейное положение, а также некоторые другие моменты формируют вкусы и запросы покупателей. Иногда вкусы меняются быстро, в этом случае кривая спроса совершает сдвиги в сторону увеличения, или в обратную сторону очень быстро. В других случаях изменение вкусов происходит медленно, но постоянно. 2. Цены на другие товары. По характеру воздействия на спрос на какой-то товар разграничивают изменения цен на три вида товаров: · товары – заменители (конкуренты) · товары – взаимодополнители (комплементы) · товары, относительно независимые друг от друга. Возьмем к, примеру, бензин и автомобили. Резкое удорожание бензина способствует существенному снижению цен на автомобили (пока к нашей стране это не относится), и наоборот. 3. Размер рынка. Чем больше покупателей, тем больший совокупный спрос они предъявляют. 4. Доходы населения и размеры накопленного имущества. Чем богаче население, тем больше спрос, и кривая движется вправо и вверх. Причем следует отметить, что с ростом доходов увеличивается спрос не на все товары, а, главным образом, на товары более высокого качества. 5. Инфляционные ожидания. Довольно часто увеличение спроса на товар, по причине ожидания быстрого роста цен на него, принимают за нарушение закона спроса, хотя в данном случае мы говорим об изменении функции спроса. 21. Предложение товаров и услуг. Закон предложения. Факторы предложения. На рынке спросу противостоит определенное предложение товаров. Под предложением понимают чью-либо готовность продать товар. Основными поставщиками товаров на рынок являются производители. Их сбытовая и ценовая политика подчиняется нескольким целям, главная из которых - максимизация прибыли. В то же время объем прибыли напрямую зависит от цены продукции. Если рыночная цена товара имеет тенденцию к повышению, то производители будут заинтересованы в расширении объемов производства, и наоборот. Кроме цены, на уровень предложения влияют следующие факторы: · наличие производственных мощностей и природных ресурсов, рабочей силы (R) · характер технологии (К) · налоги и дотации (ТS) · природно-климатические условия (С) · цены на ресурсы и другие товары (от Р до Р ) Итак объем предложения - это максимальное количество какого-то товара, которое согласен выставить на продажу продавец или группа продавцов в единицу времени при определенных условиях, перечисленных выше. Зависимость объема предложения от определяющих его факторов называется функцией предложения. В общем виде функция предложения имеет вид: Q =f (P , P . . . P , R, K, C, TS и др. ) Если все факторы, кроме цены данного товара, принять за неизвестные, то функция будет отражать зависимость количества предлагаемой продукции от ее цены: Q =f (P ) Зависимость объема предложения от цены может быть различной, однако самой типичной будет следующая: чем выше рыночная цена, тем больше объем предложения, и наоборот. Функция предложения от цены может, как и функция спроса задаваться тремя способами: 1. Графическим 2. Табличным 3. Аналитическим Q = -a+b*P (Например Q =-2+2P) Линия S называется кривой предложения. Имеет, как правило, положительный наклон и выпукла в сторону объема. Но в некоторых случаях могут использоваться линейные характеры функций спроса и предложения (прямые). А теперь рассмотрим некоторые неценовые факторы, влияющие на объем предложения: · цены на исходные ресурсы . Чем ниже затраты на исходное сырье, материалы, топливо, а также рабочую силу, тем большее количество продукции по более низкой цене предприниматель сможет предложить на рынок. Таким образом кривая предложения сместиться вправо и вниз. · технологические возможности производителей . Чем выше уровень прогресса, тем эффективнее становиться производство, то есть на каждую единицу затраченных ресурсов производителя все больше количество конечного продукта. Кривая предложения в этом случае сдвигается вправо и вниз. · цены на другие продукты . Рассмотрим пример: снижение цены на говядину, в частности как это было совсем недавно с говядиной, зараженной бешенством, побудило фермеров выращивать больше птицы. Следовательно, изменение цен на другие товары способно смещать кривую предложения . · число продавцов . Чем больше производителей выпускают данный продукт, тем больше рыночное предложение смещает кривую вправо . · ожидания производителей . Например, производители зерна, ожидая, что цены на него вырастут, не станут продавать его ни государству ни населению, потому, что при условии повышения цены они смогут выгодно его реализовать. · налоги и дотации . Учитывая, что большинство производителей рассматривают налоги как затраты своего производства, повышение налогов будет увеличивать затраты производителя и уменьшать предложение. Напротив, дотации фактически снижают затраты, а соответственно увеличивают предложение.
Равновесие на рынке означает, что в результате взаимодействия спроса и предложения установилась такая цена, при которой объём спроса (QD) равен объёму предложения (QS). QD=QS Равновесие рыночных цен находится в точке пересечения кривых спроса и предложения. Ценой равновесия следует считать цену такого уровня, при котором предложение соответствует спросу. Равновесная цена устанавливается при двух условиях: - когда количество, которое покупатели хотят купить соответствует количеству, которое продавцы хотят продать; - отсутствует тенденция к изменению цены и количества. Спрос и предложение испытывают на себе влияние многочисленных факторов и по-разному на них реагируют. Степень изменения спроса и предложения под воздействием того или иного фактора характеризует их эластичность. 23. Эластичность спроса (по цене, по доходу, перекрёстная). Потребители очень сильно реагируют на изменение спроса и предложения. Соответственно, что быстрота и интенсивность реакции на изменившиеся условия будет разной. Однако степень реакции в отношении одного и того же вида продукции существенно варьируется. Кто-то реагирует сильнее, кто-то слабее. Разная интенсивность реакции может наблюдаться при изменении цены на товар и при изменении дохода, при изменении моды и при изменении ценовых ожиданий. Наблюдение и изучение реакции типичных потребителей и типичных производителей на изменение тех или иных условий позволяет прогнозировать реакцию рынка в целом. Способность спроса и предложения адаптироваться к изменившимся условиям рынка называется эластичностью (с точки зрения математиков эластичность это отношение относительного прироста функции к относительному приросту независимой переменной). Рассмотрим реакцию спроса на изменение цены на товар. Зависимость объема спроса на товар от изменения цены на него называется эластичностью спроса по цене , или иначе прямой эластичностью . Если покупатель быстро и однозначно реагирует на изменение цены, то в этом случае спрос эластичен. И, наоборот, если реакция слабая и вялая, то значит, что спрос неэластичен. Если изменение цены влечет за собой такое же изменение объема спроса, то, значит, эластичность спроса равна единице. Таким образом, различают три вида эластичности спроса: · эластичный · неэластичный · с единичной эластичностью. Могут встречаться ситуации, когда спрос оказывается абсолютно неэластичным к любому самому большому изменению цены, или, наоборот, обладает бесконечной эластичностью. Например, подорожание хлеба с 1000 рублей до 2500 не вызвало сокращение спроса. С другой стороны, при фиксированных ценах их административное повышение на 20-30% было способно на какое-то время парализовать спрос на подорожавший товар. А теперь рассмотрим три вида эластичности спроса подробней. Эластичный. Так как микро экономика в современных условиях рассматривает инструмент принятия управленческих решений на уровне одного хозяйствующего объекта (предприятия), группы (концерн) и на уровне структурных подразделений отдельного хозяйствующего субъекта, то мы можем рассмотреть эластичность спроса на примере определения происходящих изменений с денежными поступлениями; с точки зрения покупателя, что происходит с общей выручкой в случае изменения цены. Таким образом, если спрос эластичен, уменьшение цены приведет к увеличению общей выручки. Потому, что даже при меньшей цене, уплачиваемой за единицу продукции, прирост продаж оказывается более чем достаточным для компенсации потерь от снижения цены. Неэластичный. Если спрос неэластичен, уменьшение цены приведет к уменьшению общей выручки. Небольшое расширение продаж, которое произойдет в этом случае, окажется недостаточным для компенсации снижения выручки, получаемой с единицы продукции. Единичная эластичность. В специальном случае единичной эластичности увеличение или уменьшение цены оставит общую выручку без всяких изменений. Потеря выручки, вызванная снижением цены, будет в точности компенсирована расширением продаж. И наоборот, прирост выручки, полученный благодаря росту цены, будет в точности компенсирован потерей выручки, вызванной сокращением спроса. Графически различная ценовая эластичность спроса на товар может быть выражена через различный наклон линий спроса. Спрос с абсолютной эластичностью графически будет выглядеть как горизонтальная линия, а абсолютно неэластичный спрос - как вертикаль. Помимо словесного заключения об эластичности или, наоборот, неэластичности спроса часто бывает необходимо дать количественную оценку этой характеристике спроса. Степень эластичности спроса по цене измеряется при помощи коэффициента прямой эластичности. В случае линейного вида функции спроса независимо от наклона к координатным осям эластичность будет различной на разных участках. При одинаковых абсолютных изменениях цен (Р) на всем протяжении линии D одинаковыми будут и изменения объема спроса Q однако, процентные изменения цен и объема спроса будут разными. В верхней части графика абсолютная величина эластичности спроса будет больше 1, приближаясь к бесконечности в точке Р . В нижней части графика все наоборот. Только в середине графика в точке N, эластичность спроса будет равна 1. Кроме эластичности спроса по цене товара существуют другие виды эластичности спроса, то есть зависимость его от других факторов. К ним прежде всего относится эластичность спроса по доходу . Она отражает зависимость изменения спроса отдельного потребителя, отрасли, рынка в целом от роста или уменьшения индивидуального или совокупного денежного дохода. Следующий вид эластичности спроса - перекрестная эластичность . Эта эластичность показывает зависимость процентного изменения спроса на какой-то товар от процентного изменения цены на какой – то другой товар. Факторы, оказывающие влияние на эластичность спроса: 1. Наличие на рынке товаров-заменителей. Вообще говоря, чем больше хороших заменителей товара предлагается на рынке потребителю, тем эластичнее спрос на него. С другой стороны чем их меньше, чем их полезные свойства хуже свойств и характеристик данного товара тем эластичность меньше. Также стоит отметить, что эластичность спроса на продукт зависит от того, насколько узки рамки этого продукта. (Спрос на машинное масло Мобил является более эластичным, чем спрос на машинное масло вообще, но хорошего заменителя масла как такового не существует). 2. Универсальность использования товара. Чем специфичней продукт и его характеристики, тем ниже эластичность спроса на него (инсулин). 3. Фактор времени. Вообще говоря, спрос на продукт тем эластичнее, чем длиннее период времени для принятия решений. Одна из причин этого правила заключается в том, что потребитель, как человек, имеет привычки. 4. Доля расходов в бюджете на данный товар. Чем большее место в бюджете занимает данный товар, при прочих равных условиях, тем выше будет эластичность спроса на него. Если покупатель тратит на какой-то товар незначительную часть своего бюджета, то изменение цен на него обычно мало влияет на потребительский спрос. 5. Уровень доходов потребителя. Эластичность спроса на один и тот же товар у потребителей с различным уровнем дохода также неодинакова. 6. Консерватизм потребителей. Эластичность индивидуального спроса ниже всего у товаров, которые с точки зрения данного потребителя являются для него наиболее необходимыми. 7. ”Неоткладываемость” в удовлетворении конкретной потребности. Эластичность спросана товары, потребление которых не может быть отложено на другой срок, крайне низкая. 24. Эластичность предложения. Способность спроса и предложения адаптироваться к изменившимся условиям рынка называется эластичностью (с точки зрения математиков эластичность это отношение относительного прироста функции к относительному приросту независимой переменной). Теперь обратимся к эластичности предложения. Как и спрос, количество предлагаемого на рынке товара находится в определенной зависимости от многих переменных и прежде всего - рыночной цены товара. Эластичность предложения, как и эластичность спроса, колеблется в пределах от 0 до бесконечности. Важнейшим фактором, влияющим на эластичность предложения, является количество времени, имеющегося в распоряжении производителя, для того, чтобы отреагировать на изменение цены продукта. Вообще говоря, следует ожидать, что чем больше по продолжительности время, которым обладает производитель, для того, чтобы приспособиться к данному изменению цены, тем больше изменится объем производства и тем больше соответственно эластичность предложения. Различную степень эластичности предложения можно проиллюстрировать разным наклоном линии предложения. Вертикальная линия соответствует абсолютно неэластичному предложению, горизонтальная, наоборот, - абсолютно эластичному. Как и в случае со спросом для характеристики эластичности предложения, важны не столько абсолютные изменения цены и объема предложения, сколько их процентные изменения. Единичную эластичность предложения будет отражать линейная функция предложения, проходящая через начало координат, независимо от наклона к осям. В принципе же на верхнем участке кривой предложения эластичность меньше 1, но больше 0. На нижнем, наоборот, эластичность больше 1. Помимо цены и времени на эластичность предложения влияют другие факторы: · цены других товаров (ресурсов). Этот фактор подразумевает перекрестную эластичность предложения. · уровень достигнутого использования ресурсов. Подразумевает то, что если нет резервов: людских, материальных и др. , то возможности реагирования предложения весьма ограниченны. · степень монополизации отрасли и возможности перелива капитала из других отраслей. · технологические особенности налаживания производства определенного товара. (Постройка судов , хлебопечение) 25. Эффект дохода и эффект замещения. Парадокс Гиффена. Эффект дохода – это если цена на товар падает, то увеличивается покупательная способность, или реальный доход потребителя. Например, при постоянном доходе 200 руб. в неделю вы сможете приобрести 5 кг говядины по 40 руб. за 1кг. Но если цена говядины упадёт до 20 руб. за 1кг. , то вы уже можете купить те же 5кг. уже за 100 руб. И в неделю у вас окажется высвобожденными 100 руб. для приобретения дополнительного товара. Эффект замещения – это когда снижается цена на какой-то продукт, вследствие чего этот продукт стал дешевле по отношению ко всем другим продуктам. И потребители будут стремиться к приобретению этого товара в большем количестве. Т. е. на пример, если цена понизилась на говядину, то потребители могут заменить этой дешевой говядиной свинину, телятину, птицу и т. д. Не всегда закон спроса бывает верным. Существуют отклонения от него. Например известен парадокс Гиффена . Англичанин Роберт Гиффен описал случай, при котором во времена голода спрос на картофель, цена которого существенно поднялась, также возрос. Причина состояла в том, что картофель был продуктом, потребляемым бедняками, и повышение цены на него вынудило их отказаться от других видов потребления, что привело к потреблению лишь картофеля. Кривая спроса на эти продукты будет отличаться от типичного графика спроса. Временные отклонения от закона убывающего спроса наблюдаются и в тех случаях, когда выпускается новый товар с повышенной ценой. Как правило, прежде чем покупатели разберутся в свойствах нового товара, спрос на него может существенно подскочить, несмотря на высокую цену. Но как только потребители поймут, что по качеству новый товар не лучше прежнего, спрос немедленно вернется на линию D . 26. Общая и предельная полезность. Ординализм и координализм. Закон убывающей предельной полезности.
Ординалисты. Считают, что оценить можно только общую пользу в категорию “больше” или “меньше”, сама полезность не измерима в каких либо единицах, а просто больше потреблять лучше, чем меньше. А на сколько полезней не известно. Координалисты. Считают, что полезность измерима и вводят единицу полезности – utility (ютиль) и обозначают U. Общая полезность (U) – это сумма всех индивидуальных полезностей под потребление данного количества благ и услуг. По мере роста потребления определённого блага, общая полезность возрастает. Предельная полезность (MU) – это прирост общей полезности при увеличении потребления данного блага на одну дополнительную единицу. Закон убывающей полезности (MU) – С ростом потребления данного блага, предельная полезность от каждой дополнительной единицы убывает. 27. Содержание теории поведения потребителя. Потребительский выбор. Правило максимизации полезности. Потребительский выбор. Средний потребитель – это вполне разумный человек, который пытается так распорядиться своим денежным доходом, чтобы извлечь из него как можно большее удовлетворение или полезность. Типичный потребитель стремиться получить за свои деньги “всё, что можно”, или максимизировать совокупную полезность. Мы можем считать также, что средний потребитель имеет достаточно отчётливую систему предпочтений в отношении товаров и услуг, предлагаемых на рынке. Мы исходим из того, что покупатели прекрасно представляют себе, какую именно предельную полезность они извлекут из каждой последующей единицы различных продуктов, которые они могут надумать купить. Оптимальным потребительским выбором считается такой выбор, когда самая высокая кривая безразличия и самая низкая Бюджетная линия имеют общую точку касания. Оптимальным называется выбор потребителя, приносящий ему максимум пользы и минимум затрат. Правило максимизации полезности – это такое распределение денежного дохода потребителя, при котором последний затраченный рубль на приобретение каждого вида продуктов, приносил бы одинаковую добавочную (предельную) полезность. 28. Кривые безразличия и бюджетные линии. Кривая безразличия (полезности) – это множество точек, каждой из которой соответствует ассортиментный набор дающий потребителю одинаковый уровень полезности.
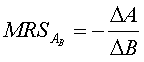
Для каждого потребителя можно построить индивидуальную карту кривых безразличия, где будут иметься кривые полезности (U) расположенные ближе или дальше от начала координат. Самую большую полезность будет приносить, та кривая которая удалена от начала координат на максимальное расстояние. Переход из т. a в т. b сопровождается увеличением потребления одного товара и отказом от другого, это позволяет рассчитать предельную норму замещения одного товара другим.
>1 Высокая норма предпочтения на стороне товара В. =1 Полное взаимозаменяемость товара А и В. <1 Низкая норма предпочтения товара А. =0 Потребитель не отказывается от товара А. Положение кривой безразличия позволяет определить вкусы потребителя. К той оси на которой расположен желаемый товар кривая наиболее крута и наоборот. Бюджетная линия – это множество точек каждой из которых соответствует ассортиментному набору, который потребитель может купить при данном доходе и при неизменных ценах.
29. Фирма как субъект рынка. Виды и цели фирм. Фирма – это организационная единица бизнеса, осуществляющая производство товаров и оказание услуг с использованием собственных и привлечённых ресурсов с целью получения прибыли. Фирма - это экономическая единица, нанимающая факторы производства для изготовления продукции – товаров или услуг, которые она затем продает домохозяйствам, другим фирмам или государству. Фирмы относят к сектору производителей. Экономисты выделяют следующие свойства фирм: 1) каждая фирма принимает единое решение, как если бы она состояла из одного человека. Это позволяет экономистам рассматривать фирму как первичную, единую компоненту производственного процесса, а домохозяйства - аналогичной компонентой процесса потребления; 2) большинство своих решении фирмы принимают, преследуя единственную цель - получить максимальную прибыль; 3) фирмы являются полновластными пользователями факторов производства. На ресурсном рынке роль фирм аналогична роли, которую играют домохозяйства на рынке товаров и услуг. Фирма, как правило, выступает в статусе юридического лица, (атрибуты юридического лица: расчётный счёт и печать) имеет: имя или название, фирменный знак, цвет и другую символику. Цели фирмы: Максимизация прибыли Получение плановой рентабельности, т. е. экономической прибыли >0 Достижение безубыточности, т. е. прибыль = 0 Минимизация убытков. Сохранение фирмы на рынке (избежать банкротство) Захват рынка с помощью ценовой войны Устранение конкурента методами недобросовестной конкуренции. 30. Краткосрочный и долгосрочный периоды в деятельности фирмы. Особенности выбора.
Краткосрочный период – это период, в котором рост объёма производства происходит, когда хотя бы один ресурс постоянен. Краткосрочный период слишком короткий, чтобы предприятие смогло изменить свои производственные мощности, но достаточно продолжительный для изменения степени интенсивности использования этих фиксированных мощностей. В краткосрочном периоде издержки делятся постоянные(FC) и переменные(VC), и не зависят от объёма производства. Долгосрочный период – это период, в котором масштабы деятельности фирмы расширяются так, что все ресурсы фирмы оказываются переменными. Долгосрочный период достаточно продолжительный, чтобы изменить количества всех занятых ресурсов, включая и производственные мощности. В долгосрочном периоде, где все издержки выступают как переменные. Перед фирмой стоит задача, как правильно выбрать масштаб своей деятельности, т. е. определить, быть её мелкой, средней или крупной фирмой. Альтернативные затраты, т. е. издержки фирмы – это её затраты по удержанию необходимых факторов производства в той или иной сфере деятельности. Т. к. факторы производства поступают на фирму как со стороны (из вне), так и изнутри (т. е. собственные ресурсы фирмы), то издержки фирмы делятся на: - Явные (внешние) издержки - Не явные (внутренние) издержки. Явные (внешние) издержки – это затраты на привлечение в фирму ресурсов со стороны, сделки по которым фиксируются в финансовых или бухгалтерских документах. Не явные (внутренние) издержки – это затраты которые фирма несёт по удержанию, в собственном деле, ресурсов самой фирмы или её владельцам. Такое деление издержек позволяет рассчитать бухгалтерские издержки (только внешние затраты, которые делятся на прямые и косвенные). Прямые затраты – это затраты связанные с объёмом выпускаемой продукции. Косвенные затраты – это затраты не зависящие от объёма продукции, а связанные с функционированием фирмы как единица бизнеса. Экономические затраты – это полные затраты фирмы, т. е. внешние+ нутренние. Бухгалтерская прибыль – это общая выручка(TR) минус внешние издержки. Бух. Пр. = TR – внешние издержки. >0 означает, сто фирма эффективно использует чужие ресурсы , не имеет долгов и имеет средства для расширения производства. =0 означает, что фирма безубыточна, не имеющая внешних долгов. <0 означает, что фирма убыточна и имеет внешнюю задолженность. Анализ бухгалтерской прибыли позволяет оценить на сколько эффективно сработала фирма в прошлом используя привлечённые ресурсы. Экономическая прибыль – это разница между общим доходом или общей выручкой минус общие издержки (сумма внешних и внутренних издержек). Экон. Приб = Бух. Приб. – внешние затраты (неявные, вменённые) >0 означает, что фирма эффективно использует не только чужие, но и собственные ресурсы, имеет сверх прибыль, конкурентоспособна, и в перспективе не будет иметь проблем с привлечением ресурсов. =0 означает, что собственные ресурсы использованы не лучше, но и не хуже чем было бы возможно в альтернативных вариантах. Отрасль не является привлекательной для притока капитала, но не создаёт оснований и для оттока капитала. <0 означает, что собственные ресурсы использованы не эффективно и в перспективе фирму ожидают в области конкурентоспособности. Экономическая прибыль позволяет определить перспективы развития фирмы в будущем и принять решение о целесообразности участия этой фирме в бизнесе. Нормальная прибыль. Её размер не должен быть ниже того дохода, который предприниматель мог бы иметь если бы свои собственные ресурсы использовал не в своём деле, а альтернативным способом, т. е. нормальная прибыль должна быть равна вменённым (неявным, внутренним) издержкам. =0 Если экономическая прибыль равна нулю, то нормальная прибыль равна внутренним издержкам. >0 Если экономическая прибыль больше нуля, то размер получаемой прибыли превышает нормальную на величину сверх прибыли. 33. Постоянные, переменные, общие, средние и предельные издержки. Постоянные издержки (FC) – это издержки, величина которых не меняется в зависимости от изменения объёма производства. К постоянным издержкам, как правило, относится оплата обязательств по облигационным займам, рентные платежи, часть отчислений на амортизацию зданий и оборудования, страховые взносы, а также жалование высшему управленческому персоналу и будущим специалистам фирмы. Эти издержки являются обязательными и должны быть оплачены независимо от объёма производства. Переменные издержки (VC) – это издержки, величина которых меняется в зависимости от изменения объёма производства. К переменным издержкам относятся, затраты на сырьё, топливо, энергию, транспортные услуги, большую часть трудовых ресурсов и тому подобные переменные ресурсы. Переменные издержки – это издержки, которыми предприниматель может управлять, величина которых может быть изменена путём изменения объёма производства (в течение краткосрочного периода). Общие издержки (TC) – это сумма постоянных и переменных издержек при каждом данном объёме производства. TC = FC + VC Средние издержки (AFC, AVC, ATC) – это издержки в расчёте на единицу продукции. Средние постоянные издержки (AFC) определяются путём деления общих постоянных издержек (TFC) на соответствующее количество произведённой продукции (Q). AFC = TFC / Q Средние переменные издержки (AVC) определяются путём деления общих переменных издержек (TVC) на соответствующее количество произведённой продукции (Q). AVC = TVC / Q Средние общие издержки (ATC) можно рассчитать путём деления суммы общих издержек на количество произведённой продукции (Q) или же, прощё, путём сложения AFC и AVC для каждого из объёмов производства. ATC = TC / Q = AFC + AVC. Предельные издержки (MC) – это дополнительные или добавочные, издержки, связанные с производством ещё одной единицы продукции. Предельные издержки (MC) можно определить, для каждой добавочной единицы продукции, отношением изменений общих издержек (ТС) на изменение количества произведённой продукции (Q). MC = Предельные издержки позволяют определить те издержки, величину которых фирма может контролировать наиболее непосредственно. Точнее говоря, МС показывают издержки, которые фирме придётся понести в случае производства последней единице продукции, и одновременно – издержки, которые могут быть “сэкономлены” в случае сокращения объёма производства на эту последнюю единицу. 34. Правила взаимосвязи предельных и средних величин. Закон убывающей отдачи. Закон убывающей отдачи утверждает, что, начиная с определённого момента, последовательное присоединение единиц переменного ресурса (например, труда) к неизменному, фиксированному ресурсу (например, капиталу или земле) даёт уменьшающийся добавочный, или предельный, продукт в расчёте на каждую последующую единицу переменного ресурса. Иначе говоря, если количество рабочих, обслуживающих данное машинное оборудование, будет увеличиваться, то рост объёма производства будет происходить всё медленнее, по мере того, как больше рабочих будет привлекаться к производству. 35 Изокванта и изокосты. Условие оптимального выбора ресурсов. Изокванта – это кривая все точки которой соответствуют наборам ресурсов Капитала и Труда, которая фирма может использовать для производства одного и того же объёма продукции. Для каждой фирмы можно построить семейство изоквант в котором самая высокая кривая будет соответствовать самому большому объёму производства. Таким образом, положение кривой относительно начала координат, а так же форма кривой и её наклон к осям, позволяют получать информацию о выборе фирмой технологий производства, объёмов выпуска, а так же возможных комбинаций ресурсов. Убывающий характер кривой определяется действием закона убывающей отдачи, т. е. по мере введения производства дополнительного кол-ва одного и того же ресурса эффективность его использования (кол-во продукции за 1ед. времени, или стоимость продукции на 1 руб. затрат) убывает. Переход от одной комбинации ресурсов к другой по изокванте сопровождается замещением одного ресурса другим, что позволяет рассчитать предельную норму технологического замещения. >1 трудоёмкая технология =1 полная взаимозаменяемость ресурсов <1 капиталоёмкая технология Анализ изоквант представляет фирме возможности выбора любой комбинации ресурсов, но не даёт информации о том, с какими затратами будет связан в тот или иной выбор. Изокоста – это кривая все точки которой соответствуют возможным комбинациям ресурсов которые фирма может приобрести при неизменных издержках. Чем дальше от начала координат изокоста, тем большую величину затрат она отражает. Угол наклона изокосты к оси L определяется обратным соотношением цен на ресурсы. Оптимальным выбором считается выбор такой комбинации KL которая соответствует точке касания самой высокой изокванты и самой низкой изокосты (т. а ). В т. а предельная норма технологического замещения (MRTS) равно такому отношению капитала к труду и обратному отношению труда к капиталу. Условие оптимального выбора означает, что последние замыкающие единицы труда и капитала в расчёте на 1 затраченный рубль приносят одинаковый предельный доход. MRPк (предел. доход) = MPк (предел. капитал) x Px
МСк (предел. издержки) = Рк (цена) 36. Эффект масштаба. Малый и крупный бизнес.
Эффект масштаба – это реакция средних издержек на рост объёма деятельности. Различают три вида эффекта масштаба: Положительный эффект масштаба – это когда рост издержек на 1% перекрывается ростом производства >1% на графике это отрезок падающей кривой LAC. Нулевой или неизменный эффект масштаба – это когда рост объёмов сопровождается неизменной величиной средних долгосрочных издержек. Или рост объёма производства на 1% вызывает рост (общих) издержек тоже на 1%. Отрицательный эффект масштаба – это когда рост объёма производства сопровождается ростом средних долгосрочных издержек. Или рост (общих) издержек на 1% вызывает рост объёма производства < чем на 1%. Малый бизнес в рыночной экономике - ведущий сектор, определяющий темпы экономического роста, структуру и качество валового национального продукта. Но дело не только в количественных показателях - этот фактор по самой своей сути является типично рыночным и составляет основу современной рыночной инфраструктуры. Малые предприятия объективно, по своей природе находятся в худших конкурентных условиях на рынке по сравнению с крупным бизнесом. У них выше издержки производства в связи с малыми сериями выпускаемой продукции, более низкий уровень научно-технической оснащенности, организации, квалификации кадров. Только объединяя усилия по целому ряду направлений малые предприятия могут рассчитывать на стабильное положение в структуре экономики, успешную конкуренцию и сотрудничество с крупными предприятиями. 37. Основные черты рынка совершенной конкуренции. Выбор фирмы на совершенно конкурентном рынке. Основные черты рынка совершенной конкуренции: - на этом рынке действует большое число фирм, каждая из которых независима от поведения других фирм и принимает любое решение самостоятельно. Любая фирма отрасли не в состоянии воздействовать на рыночную цену производимого отраслью товара; - фирмы отрасли производят один и тот же товар, поэтому для покупателей абсолютно безразлично, товар какой фирмы приобретать. - отрасль является открытой для входа в неё и выхода любого количества фирм. Ни одна фирма отрасли не предпринимает какого – либо противодействия, как не существует и каких – либо законодательных ограничений этому процессу. 38. Основные черты рынка монополистической конкуренции. Ценовая и неценовая конкуренция. Основные черты рынка монополистической конкуренции. - Существует достаточно большое число фирм, что ограничивает контроль каждой над ценой, отсутствует взаимная зависимость, и тайный сговор фактически не возможен. - Продукты характеризуются реальными и мнимыми различиями и различающимися условиями их продажи. - экономическое соперничество влечёт за собой и ценовую, и неценовую конкуренцию. - Вступление в отрасль является относительно лёгким. Монополистическая конкуренция – это такая рыночная структура, в которой превалируют черты совершенной конкуренции и имеются отдельные элементы, характерные для чистой монополии. Фирма на рынке Монополистической конкуренции может установить цену в пределах рыночного спроса, т. к. кривая спроса становится менее эластичным, а спрос и предельный доход не совпадают. Отсюда цена P2 приносит фирме максимальную прибыль и убыток потребителю.
Убыток возникает потому, что потребитель теряет возможность получить дополнительный в объёме Q2 - Q3 . А так же за меньшее кол-во товара Q2 вынужден платить цену Р2 выше равновесной Р3 . Основными способами конкурентной борьбы на рынке монополистической конкуренции являются: - дифференциация товара, т. е. различие предложения. (по цвету, запаху, вкусу, виду, упаковки, дизайну и т. д. ). - дифференциация цен, когда на один и тот же продукт одной фирмы устанавливаются разные цены при увеличении дополнительных издержек по доставке, упаковке, расфасовке. - дискриминация цен – это установление разных цен на товары относящиеся к одной партии и производимые с одинаковыми средними издержками. Рынок монополистической конкуренции может приносить выгоду как фирме в виде не большой сверхприбыли, экономии на издержках, так и потребители. (возможности выбора товара, а так же снижение цены в результате роста конкуренции). При монополистической конкуренции отдельные фирмы отрасли используют в конкурентной борьбе такие неценовые факторы, как: - реклама - изменение качественных характеристик товара - изменение условий продажи продукции. Это становится возможным вследствие специфики данной рыночной структуры: поскольку фирмы отрасли производят дифференцированный продукт, товар каждой отдельной фирмы оказывается восприимчивым к неценовым факторам. 39. Олигополия. Основные модели поведения фирмы на рынке олигополии. Олигополия - это рыночная структура, при которой в реализации какого-либо товара доминирует очень немного продавцов, а появление новых продавцов затруднено или невозможно. Товар, реализуемый олигополистическими фирмами, может быть и дифференцированным и стандартизированным. Обычно на олигополистических рынках господствует от двух до десяти фирм, на которые приходится половина и более общих продаж продукта. Основные модели поведения фирмы на рынке олигополии: 1. Не скоординированная модель, когда стремясь к захвату рынка, фирмы устраивают так называемую войну цен, а именно снижают цену, до тех пор пока не появится конкурент со средними издержками производства выше чем у остальных, в результате чего он либо выбывает из игры, либо подчиняется более сильному партнёру, либо вливается в сильную фирму как составная часть. Таким образом, происходит порча цены, т. е. искусственно заниженная цена не отражает истинного состояния спроса и предложения, её снижение ведёт к росту спроса, но т. к. число фирм уменьшилось и предложение сократилось и возникает дефицит, то цена повышается, но уже выше бывшей цены рыночного равновесия. Такое поведение связано с большим риском, т. к. никто из конкурентов не имеет информации об уровне издержек соперников. 2. Тайный сговор или Картель. Картель – это временное соглашение фирм одной отрасли оценок рынков сбыта, либо о том и о другом сразу. Т. к. не скоординированное поведение чревато банкротством нарушает стабильность рынка, не даёт крупным фирмам возможности к устойчивому развитию (+ эффект масштаба). Картель – ВНЕ ЗАКОНА! 3. Игра по правилам. Когда крупные фирмы строят рыночную стратегию зная, что их действия на рынке не вызовут отрицательной, ответной реакции со стороны конкурента, поэтому в течении длительного времени на рынке олигополии, фирмы предпочитают соблюдать правила игры, т. е. не менять ни цену, ни свою долю в рынке. График кривой спроса на рынке олигополии показывает два преимущества олигополии. - возможность значительно повысить цену при том же объёме производства. - не менять объём производства даже при изменении средних издержек, т. к. расширение производства требует изменения доли в рынке. А это в свою очередь требует снижение цены, но фирмы предпочитают не трогать цены, т. к. опасаются последствия ценовой войны. 40. Монополия. Основные черты фирмы – монополиста. Монополии – крупные хозяйственные объединения (картели, синдикаты, тресты, концерны и так далее), находящиеся в частной собственности (индивидуальной, групповой или акционерной) и осуществляющие контроль над отраслями, рынками и экономикой на основе высокой степени концентрации производства и капитала с целью установления монопольных цен и извлечения монопольных прибылей. Господство в экономике служит основой того влияния, которое монополии оказывают на все сферы жизни страны. Виды монополий: Картель — это объединение нескольких предприятий одной сферы производства, участники которого сохраняют собственность на средства производства и произведенный продукт, производственную и коммерческую самостоятельность, и договариваются о доле каждого в общем объеме производства, ценах, рынках сбыта. Синдикат — это объединение ряда предприятий одной отрасли промышленности, участники которого сохраняют средства на средства производства, но теряют собственность на произведенный продукт, а значит, сохраняют производственную, но теряют коммерческую самостоятельность. У синдикатов сбыт товара осуществляется общей сбытовой конторой. Трест — это объединение ряда предприятий одной или нескольких отраслей промышленности, участники которого теряют собственность на средства производства и произведенный продукт (производственную и коммерческую самостоятельность). То есть объединяются производство, сбыт, финансы, управление, а на сумму вложенного капитала собственники отдельных предприятий получают акции треста, которые дают им право принимать участие в управлении и присваивать соответствующую часть прибыли треста. Концерн – это объединения акционерных обществ с формальным сохранением самостоятельности при фактической её утрате. В результате передачи контрольных пакетов акций крупнейшему банку, осуществляющий финансовый контроль за деятельностью А. О. Многоотраслевой концерн — это объединение десятков и даже сотен предприятий различных отраслей промышленности, транспорта, торговли, участники которого теряют собственность на средства производства и произведенный продукт, а главная фирма осуществляет над другими участниками объединения финансовый контроль. В 60-х годах в США и некоторых странах капитала появились и начали развиваться конгломераты , то есть монополистические объединения, образованные путем поглощения прибылей разноотраслевых предприятий, не имеющих технического и производственного единства.
Для фирмы монополии и в краткосрочный период и в долгосрочный период , кривая индивидуального предложения монополистической фирмы совпадает с рыночным предложением. Поэтому монополист может назначить любую цену в пределах от min AVC (в краткосрочный период) min AТC (в долгосрочный период) до кривой рыночного спроса. 41. Особенности рынков факторов производства. К Факторным рынкам относят: Рынки Труда Рынки Капитала Рынки Земли Отличия Факторных Рынков: - Фирмы и Домохозяйства меняются местами, а именно, фирмы покупают, а домохозяйства продают. - Факторы производства в отличии от потребительских товаров являются источником создания благ и услуг, т. е. удовлетворяют производственные потребности. - Факторы производства одновременно могут находиться в собственности одного лица и в пользовании другого в длительный период времени. - Факторы производства способны приносить доход одновременно и владельцу и пользователю. - Ограниченность ресурсов, что делает конкурентную борьбу за доступ к факторам производства более жесткую. - Высокая альтернативность использования факторов производства. - Относительно низкая мобильность факторов производства, особенно труда и земли. - Спрос на факторных рынках носит производный характер, т. е. определяется спросом на конечную продукцию производимую с использованием данного фактора. 42. Спрос и предложение на рынке факторов производства. 43. Капитал как фактор производства. Уровень дохода на капитал. Процент. Капитал – это любая ценность приносящая доход. Капитал (в узком смысле) – это физическая форма капитала или здания, сооружения, техника и т. д. , что способно приносить доход длительный период времени. Различают: Основной капитал Оборотный капитал Основной капитал – это стоимость имущества переносимое по частям на стоимость готовой продукции и возвращающаяся по частям в выручке от реализации этой продукции. Возмещение основного капитала происходит по мере износа: Физический износ, т. е. потеря первоначальной стоимости в результате его эксплуатации, т. е. физических, технических и др. процессов. Моральный износ, т. е. потеря первоначальной стоимости в результате: - роста производительности труда в отраслях производящих точно такое же оборудование, здание и т. д. - появления на рынке более производительного, качественного оборудования (НТП) Амортизация – это процесс переноса стоимости основного капитала на готовую продукцию. Амортизационные отчисления – это доли поступающие в стоимости готовой продукции в составе её издержек. Амортизационный фонд – это сумма амортизационных отчислений накупленная в процессе эксплуатации основного капитала. Оборотный капитал – это деньги вложенные в сырьё, материалы, топливо, энергию, входящую в структуру затрат на производство и возвращающиеся (полностью) в выручке от реализации продукции. Размер дохода на вложенный капитал определяется как разница между полученным продуктом в денежном выражении и размером вложенного капитала. 300 – 120 = 180 (доход на вложенный капитал) Доход на вложенный капитал на практике распределяется между владельцем капитала и его пользователем. Владелец получает процентную ставку, т. е. рыночную цену капитала. А пользователь получает предпринимательский доход, или нормальную прибыль от производительного использования капитала. Уровень дохода на капитал определяется отношением полученного дохода к размеру вложенного капитала и умноженного на 100%.
Преимущество использования капитала для получения дохода заключается в экономии времени, но за это преимущество следует платить, размер платы равен цене капитала или процентной ставке. Таким образом, использовав однажды чужие денежные средства как капитал, пользователь возвращает владельцу денег взятую сумму с процентами, а сам остаётся собственником капитала в физической форме (здания, сооружения, техника и т. д. ) способной приносить доход путём создания продукции в течение всего срока эксплуатации. 44. Спрос на капитал и предложение капитала. Ставка процента. Дисконтирование. Спрос на капитал предъявляют фирмам; объём спроса зависит от отдачи капитала, как экономического ресурса.
Предельный продукт капитала (MPк) – это прирост общего объёма производства вызванный введением дополнительной единицы капитала. Связь между инвестициями и МРк обратные, т. е. чем больше вложение капитала, тем меньше отдача (действие закона убывающей отдачи ресурса). Дополнительные инвестиции снижают предельный продукт только в том случае если деньги вкладываются в один и тот же вид ресурса. Противоречие разрешается путём роста спроса на капитал, в результате чего, прежние инвестиции приводят к более высокой отдаче, т. е. деньги вкладываются в принципиально новый технический ресурс, обеспечивающий более высокую производительность труда. Предложение капитала формирует население за счёт собственных доходов, решая проблему альтернативного использования той части дохода которая направляется для накопления. МОС – предельные издержки упущенной возможности. т. Е или экономическое равновесие на рынке капитала означает, что будет поставлено и спрошено на рынке капитала в объёме Qинв. и ставке банковского %е. Различают номинальную и реальную ставку процента. Номинальная ставка процента – это ставкаустановленная банком. Реальная ставка процента – это ставка рассчитанная с учётом уровня инфляции. Дисконтирование – это определение сегодняшней (настоящей) стоимости, будущих выгод или затрат. Present Volume (PV) – настоящая (дисконтированная) стоимость. N – предстоящая выгода или затрата r – ставка банковского процента t – период времени. Это в том случае, если выгоды и затраты поступают сразу по истечению времени t. Труд – это рабочая сила, т. е. физические и умственные способности человека создавать благо и услуги. Таким образом, работы, выполняемые лесорубом, продавцом, машинисгом, учителем, профессиональным футболистом, физиком-ядерщиком, – все они охватываются общим понятием "труд". Заработная плата – это превращённая форма стоимости цены товара рабочей силы. Является одновременно элементом затрат для фирмы и формой дохода от труда собственника рабочей силы. Следовательно по поводу зарплаты возникают трудовые отношения и в результате спроса и предложения труда в отраслях устанавливается равновесная цена труда или средняя зарплата. На практике индивидуальная зарплата колеблется вокруг средней, поэтому трудовые доходы граждан дифференцированы. Различают зарплаты: Номинальную – начисленная зарплата в денежных единицах. Реальная зарплата – это количество товаров и услуг которые работник может позволить себе на свою номинальную зарплату при действующих ценах, налоговых ставок и уровне инфляции. 46. Спрос и предложение на рынке труда. Факторы влияющие на спрос рабочей силы: Ценовой фактор или зарплата. Неценовой фактор: - производительность труда работника. - личностные качества. - способность генерировать новые идеи или способность к творчеству. Факторы влияющие на предложение рабочей силы: Ценовой фактор или зарплата. Неценовой фактор: - состав семьи - уровень квалификации и образования работника. - престиж профессии. - социальные ценности и общественные установки в обществе. - местоположение работы, возможность профессионального роста.
До т. а на работника рост зарплаты действует как стимул продажи большего кол-ва труда – это называется эффектом замещения , т. е. работник предпочитает заменять свободное время рабочим временем, ради увеличения дохода. После т. а проявляется эффект дохода , т. е. свободное время предпочитается рабочему, или потребление благ и восстановление рабочей силы – способу получения дохода, т. е. работе.
47. Земля, как фактор производства. Землевладение и землепользование. Рента и арендная плата. Земля – это не только поверхность земли, но и её недра (топливо, сырьё, материалы, энергия и т. д. ) Различают: - землевладение - землепользование Оба эти состояния приносят участникам экономических отношений в сельском хозяйстве определённую форму дохода. В зависимости от урожайности и места положения к рынкам сбыта и источникам сырья, земельные участки разделяют на худшие, средние и лучшие. Дифференциальная рента 1 – это сверхприбыль, получаемая от участка земли с естественным плодородием. Дифференциальную ренту 1 присваивают собственники, включая её в размер арендной платы, а арендатор получает нормальную или нулевую экономическую прибыль. Дифференциальная рента2 – это доход получаемый с любого участка земли, в который был вложен дополнительный капитал для искусственного или экономического плодородия. Т. к. вложение капитала осуществляется арендатором, то для окончания срока аренды дифференциальной рентой2 он её присваивает, а по истечению арендного срока собственник земли включает её в арендную плату, а он превратится в дифференциальную ренту1. Таким обозом, условием образования ренты является её ограниченность, альтернативность применения и монопольное право распоряжения. А причина образования дифференциальной ренты является естественное и экономическое плодородие земли. Возможность образования формирования цен на сельскохозяйственную продукцию на худших участках земли. 48. Спрос и предложение земли. Цена земли. Спрос на землю достаточно эластичен, носит производный характер, находится под воздействием ценовых и неценовых факторов. К неценовым факторам влияющим на спрос земли относят: - качество земли - спрос на конечную продукцию от использования земли как фактора. Если спрос на землю эластичен, то предложение земли стремится к жесткому предложению (т. е. слабая реакция на изменение цены). Жесткое предложение земли вызвано следующим: - земля ограничена - земля абсолютно не мобильна - земля занята в экономическом обороте - у земли есть собственник или пользователь, без разрешения которого не возможно приложить капитал к земле. - до окончания арендного срока, даже собственник не имеет права на куплю – продажу земли.
49. Оптимальный выбор фирмы на ресурсном рынке. Закон убывающей отдачи. Оптимальным выбором считается выбор такой комбинации KL которая соответствует точке касания самой высокой изокванты и самой низкой изокосты (т. а ). В т. а предельная норма технологического замещения (MRTS) равно такому отношению капитала к труду и обратному отношению труда к капиталу. Условие оптимального выбора означает, что последние замыкающие единицы труда и капитала в расчёте на 1 затраченный рубль приносят одинаковый предельный доход. MRPк (предел. доход) = MPк (предел. капитал) x Px
МСк (предел. издержки) = Рк (цена) Закон убывающей отдачи утверждает, что начиная с определённого момента, последовательное присоединение единиц переменного ресурса (например, труда) к неизменному, фиксированному ресурсу (например, капиталу или земле) даёт уменьшающийся добавочный, или предельный, продукт в расчёте на каждую последующую единицу переменного ресурса. Иначе говоря, если количество рабочих, обслуживающих данное машинное оборудование, будет увеличиваться, то рост объёма производства будет происходить всё медленнее, по мере того, как больше рабочих будет привлекаться к производству. 50. Физический капитал. Основной и оборотный капитал. Амортизация. Физический капитал – это всё движимое и не движимое имущество, всё, от чего можно получить прибыль. Основной капитал – это стоимость имущества переносимое по частям на стоимость готовой продукции и возвращающаяся по частям в выручке от реализации этой продукции. Возмещение основного капитала происходит по мере износа: Физический износ, т. е. потеря первоначальной стоимости в результате его эксплуатации, т. е. физических, технических и др. процессов. Моральный износ, т. е. потеря первоначальной стоимости в результате: - роста производительности труда в отраслях производящих точно такое же оборудование, здание и т. д. - появления на рынке более производительного, качественного оборудования (НТП) Амортизация – это процесс переноса стоимости основного капитала на готовую продукцию. Амортизационные отчисления – это доли поступающие в стоимости готовой продукции в составе её издержек. Амортизационный фонд – это сумма амортизационных отчислений накупленная в процессе эксплуатации основного капитала. Оборотный капитал – это деньги вложенные в сырьё, материалы, топливо, энергию, входящую в структуру затрат на производство и возвращающиеся (полностью) в выручке от реализации продукции. Все экономические формулы за курс Микроэкономики. 1. Эффективность = Результат производства (стоимость продукции) / (Т+К+З+П. С. ) 2. Ценовая эластичность спроса.
3. Перекрёстно ценовая эластичность.
4. Предельная полезность. 5. Предельная норма замещения товара А к товару В.
6. Правила оптимального выбора потребителя.
7. Прибыль. Бухгалтерская прибыль = Общий Доход (ТR) – Внешние издержки. Экономическая прибыль = Бухгалтерская прибыль – Внешние издержки. 8. Издержки и доход. TC = FC + VC = ATC x Q общие затраты. ATC = TC / Q средние общие издержки. AFC = FC / Q средние постоянные издержки AVC = VC / Q средние предельные издержки. MC = TC / Q предельные издержки TR = P x Q = AR x Q общий доход. AR = TR / Q средний доход. MR = TR / Q предельный доход. MC = MR - условие выбора объёма обеспечивающего получение max прибыли. P = ATC - условие объёма обеспечивающего безубыточность. П = TR – TC прибыль. П = (AR – AC) x Q прибыль. 9. Предельная норма технологического замещения.
10. Условие монопольного ценообразования. 11. Настоящая (дисконтированная) стоимость.
12. Цена земли. Цена земли = Рента (Арендная плата) / Норма банковского процента х 100% 13. Минимизация затрат. 14. Максимизация прибыли.
MRPк = MPк х Px MCк = Pк |



















