Реферат: Разработка мероприятий по улучшению финансового состояния предприятия ЗАО АвтоТех
|
Название: Разработка мероприятий по улучшению финансового состояния предприятия ЗАО АвтоТех Раздел: Рефераты по государству и праву Тип: реферат | |||||||||||||||||||||||||||||||||||||||||||||||||||||||||||||||||||||||||||||||||||||||||||||||||||||||||||||||||||||||||||||||||||||||||||||||||||||||||||||||||||||||||||||||||||||||||||||||||||||||||||||||||||||||||||||||||||||||||||||||||||||||||||||||||||||||||||||||||||||||||
|
СОДЕРЖАНИЕ Введение ………………………………………………………………........5 1. Теоретические основы анализа ликвидности и платежеспособности предприятия………………………………………………………………………….7 1.1Понятие ликвидности и платежеспособности и основные направления их использования……………………………………………………. 7 1.2Методика анализа показателей ликвидности и платежеспособности…………………………………………………………………9 2. Анализ ликвидности баланса ЗАО «АвтоТех» ……………………..23 2.1 Анализ ликвидности баланса ЗАО «АвтоТех» за 2007-2008гг…….23 2.2Анализ относительных показателей ликвидности и платежеспособности……………………………………………………………….25 2.3.Анализ факторов, влияющих на ликвидность предприятия………………………………………………………………………...29 3. Разработка мероприятий по улучшению финансового состояния предприятия ЗАО «АвтоТех»……………………………………………………..35 3.1Пути повышения ликвидности и платежеспособности предприятия………………………………………………………………………..35 3.2 Прогнозный анализ платежеспособности предприятия……………36 Заключение……………………………………………………………….. 40 Список использованных источников…………………………………… 42 Приложения……………………………………………………………….45
Введение
Рыночная экономика обуславливает необходимость развития финансового анализа в первую очередь на микроуровне - то есть на уровне отдельных предприятий (при любой форме собственности) составляют основу рыночной экономики. В современных экономических условиях деятельность каждого хозяйствующего субъекта является предметом внимания обширного круга участников рыночных отношений (организаций и лиц), заинтересованных в результате его функционирования. На основании доступной отчетно-учетной информации указанные лица стремятся оценить финансовое положение предприятия. Основным инструментом для этого служит финансовый анализ, при помощи которого можно объективно оценить внутренние и внешние отношения анализируемого объекта: охарактеризовать его платежеспособность ,эффективность и доходность деятельности ,перспективы развития., а затем по его результатам принять обоснованные решения. В связи с этим тема выбранной работы является актуальной. Исходной информацией для анализа ликвидности и платежеспособности является бухгалтерский баланс ЗАО «АвтоТех» за 2007-2008гг. (Форма №1). Цель курсовой работы: провести финансовый анализ ликвидности и платежеспособности предприятия на примере ЗАО «АвтоТех» и выявить пути повышения ликвидности и платежеспособности предприятия. Поставленная цель обусловила необходимость решения ряда взаимосвязанных задач: -изучить теоретическую литературу по теме; -провести анализ финансовых коэффициентов ликвидности и платежеспособности ЗАО «АвтоТех»; -изучить финансовое состояние ЗАО «АвтоТех»; -отследить динамику коэффициентов ликвидности и платежеспособности на примере ЗАО «АвтоТех»; -выдать рекомендации по усовершенствованию финансовой деятельности предприятия. Объектом исследования является ЗАО «АвтоТех». При проведении анализа ликвидности и платежеспособности ЗАО «АвтоТех» использовались горизонтальный, вертикальный виды сравнительного анализа, а так же методика факторного анализа. 1.Теоритеческие основы анализа ликвидности и платежеспособности предприятия
1.1.Понятие ликвидности платежеспособности и основные направления их использования
В условиях экономической обособленности и самостоятельности, хозяйствующие субъекты обязаны в любое время иметь возможность срочно погашать свои внешние обязательства, т.е. быть ликвидными. Под ликвидностью организации понимается её способность покрывать свои обязательства активами ,срок превращения которых в денежную форму соответствует сроку погашения обязательств. Ликвидность означает безусловную платежеспособность организации и предполагает постоянное равенство между её активами и обязательствами одновременно по: -общей сумме; -срокам превращения в деньги (активы) и срокам погашения (обязательства). Платежеспособность организации- внешний признак её финансовой устойчивости и обусловлена степенью обеспеченности оборотных активов долгосрочными источниками. Она определяется возможностью организации наличными денежными ресурсами своевременно погашать свои платежные обязательства. Анализ платежеспособности необходим не только для самой организации с целью оценки и прогнозирования его дальнейшей финансовой деятельности, но и для её внешних партнеров и потенциальных инвесторов. Хозяйствующий субъект считается платежеспособным, если его общие активы больше, чем долгосрочные и краткосрочные обязательства. Хозяйствующий субъект является ликвидным, если его текущие активы больше, чем краткосрочные обязательства. Потребность в анализе ликвидности баланса возникает в связи с увеличением потребности в финансовых ресурсах и необходимостью оценки кредитоспособности хозяйствующего субъекта. Ликвидность баланса означает степень покрытия обязательств его активами, срок превращения которых в денежную форму соответствует сроку погашения обязательств. Ликвидность активов- величина, обратная ликвидности баланса по времени превращения активов в денежные средства. Чем меньше требуется времени, чтобы данный вид активов приобрел денежную форму, тем выше его ликвидность. Ликвидность хозяйствующего субъекта – более общее понятие, чем ликвидность баланса. Ликвидность баланса предполагает изыскание платежных средств за счет внутренних источников (реализация активов),но хозяйствующий субъект может привлекать заемные средства при условии его кредитоспособности ,высокого уровня инвестиционной привлекательности и соответствующего имиджа. От степени ликвидности баланса зависит платежеспособность. В то же время ликвидность характеризует как текущее состояние расчетов, так и перспективы. 1.2.Методика анализа показателей ликвидности и платежеспособности
Ликвидность баланса является основой платежеспособности и ликвидности хозяйствующего субъекта. Ликвидность – это способ поддержания платежеспособности. Для хозяйствующего субъекта более важным является наличие денежных средств, нежели прибыли. Их отсутствие на счетах в банке в силу объективных особенностей кругооборота средств может привести к кризисному финансовому состоянию. Для группировки статей баланса по группам можно использовать одян из предложенных вариантов. Первый вариант предложен авторами А.Д.Шереметом и Р.С.Сайфулиным. Анализ ликвидности организации представляет собой анализ ликвидности баланса и заключается в сравнении средств по активу, сгруппированных по степени ликвидности и расположенных в порядке убывания с обязательствами по пассиву, объединенными по срокам их погашения в порядке возрастания сроков. Различают: текущую ликвидность - соответствие дебиторской задолженности и денежных средств дебиторской задолженности; расчетную ликвидность - соответствие групп актива и пассива по срокам их оборачиваемости в условиях нормального функционирования организации; срочную ликвидность – способность к погашению обязательств в случае ликвидации организации. В зависимости от степени ликвидности, т.е. скорости превращения в денежные средства, активы организации разделяются на следующие группы: Наиболее ликвидные активы А1. -суммы по всем статьям денежных средств, которые могут быть использованы для проведения расчетов немедленно; -краткосрочные финансовые вложения (ценные бумаги)- А1=строка 260 + строка 250. Быстрореализуемые активы А2- активы, для обращения которых в наличные средства требуется определенное время,- -дебиторская задолженность (платежи по которой ожидаются в течение 12 месяцев после отчетной даты); -прочие дебиторские активы: А2=строка 240 + строка 270. Медленнореализуемые активы А3- наименее ликвидные активы- -запасы, кроме строки «Расходы будущих периодов»; -налог на добавленную стоимость по приобретенным ценностям; Дебиторская задолженность (платежи по которой ожидаются более чем через 12 месяцев после отчетной даты). А3=строка 210 + строка220 + строка 230 - строка 217. Труднореализуемые активы А4 – все статьи раздела I баланса «Внеоборотные активы» - А4 = строка 290. Эти активы предназначены для использования в хозяйственной деятельности в течение достаточно длительного периода времени. Первые три группы активов могут постоянно меняться в течение хозяйственного периода и относятся в текущим активам организации. Они более ликвидны, чем остальное имущество фирмы. Обязательства организации (статьи пассива баланса) также группируются в четыре группы и располагаются по степени срочности ихз оплаты. Наиболее срочные обязательства П1 – -кредиторская задолженность; -задолженность участникам (учредителям) по выплате доходов; -прочие краткосрочные обязательства; -ссуды, не погашенные в срок – П1=строка 620 + строка 630 + строка 660. Краткосрочные пассивы П2 – -краткосрочные займы и кредиты; -прочие займы, подлежащие погашению в течение 12 месяцев после отчетной даты, - П2 = строка 610. Долгосрочные пассивы П3 – -долгосрочные кредиты и займы, статьи раздела IV баланса. П3 = строка 590. Постоянные пассивы П4 – -статьи раздела III баланса « Капитал и резервы»; -отдельные статьи раздела V баланса «Краткосрочные обязательства», не вошедшие в предыдущие группы; -доходы будущих периодов; -резервы предстоящих расходов. Для сохранения баланса актива и пассива итог данной группы следует уменьшить на сумму по статье «Расходы будущих периодов». П4 = строка 490 + строка 640 + строка 650 + строка 217. Организация считается ликвидной, если ее текущие актива превышают ее краткосрочные обязательства. Реальную степень ликвидности и ее платежеспособность можно определить на основе ликвидности баланса. На первой стадии анализа указанные группы активов и пассивов составляются в абсолютном выражении. Баланс считается абсолютно ликвидным при условии следующих отношений групп активов и обязательств; А1 ≥П1;А2≥П2;А3≥П3;А4≤П4. Невыполнение одного из неравенств свидетельствует о нарушении ликвидности баланса. При этом недостаток средств по одной группе активов не компенсируется их избытком по другой группе, так как компенсация может быть лишь по стоимости; в реальной платежной ситуации менее ликвидные активы не могут заменить более ликвидные. Сравнение наиболее ликвидных и быстрореализуемых активов с наиболее срочными обязательствами и краткосрочными пассивами показывает текущую ликвидность, т.е. платежеспособность или неплатежеспособность организации в ближайшее к моменту проведения анализа время. Сравнение медленнореализуемых активов с долгосрочными обязательствами показывает перспективную ликвидность, т.е. прогноз платежеспособности организации. Второй вариант проведения аналитических работ по оценке ликвидности баланса предприятия (У.В. Савицкая) предлагает следующую группировку статей актива по степени ликвидности. 1.Наиболее мобильные активы: денежные средства и краткосрочные финансовые вложения. 2.Мобильные активы: готовая продукция, товары отгруженные, дебиторская задолженность. 3.Наименее мобильные активы: производственные запасы, незавершенное производство, расходы будущих периодов. Соответственно на три группы разбиваются и платежные обязательства предприятия: 1.Задолженность, сроки оплаты которой уже наступили. 2.Задолженность, которую следует погасить в ближайшее время. 3.Долгосрочная задолженность, Сравнение медленнореализуемых активов с долгосрочными среднесрочными пассивами отражает перспективную ликвидность. Для более точной оценки платежеспособности исчисляется величина чистых активов и анализируется их динамика. Чистые активы представляют собой превышение активов над пассивами, принимаемыми в расчет. В активы, принимаемые в расчет включается имущество, за исключением НДС и задолженности участников (учредителей) по взносам в уставный капитал. Пассивы, участвующие в расчете, включают часть собственных обязательств (целевые финансирование и поступления),все внешние обязательства, расчеты и резервы предстоящих расходов и платежей и прочие пассивы. Если хозяйствующий субъект располагает чистыми активами, значит, он платежеспособен. Оценка дается по изменению их удельного веса в активах предприятия. Одним из показателей уровня ликвидности является показатель чистого оборотного капитала. Он определяется как разность текущих (оборотных) активов и краткосрочных обязательств. Чем больше превышение оборотных активов над краткосрочными обязательствами, тем больше чистый оборотный капитал. Если хозяйствующий субъект не обладает чистым оборотным капиталом, он неликвиден. Вторая стадия анализа – расчет финансовых коэффициентов ликвидности, который производится путем поэтапного сопоставления отдельных групп активов с краткосрочными пассивами на основе данных баланса. Традиционно расчеты начинают с определения коэффициента абсолютной ликвидности, который рассчитывается как отношение наиболее ликвидных активов к сумме наиболее срочных обязательств и краткосрочных пассивов (сумма кредиторской задолженности и краткосрочных кредитов): Кал = (Д+ЦБ)/(К+З) = (строка250 + строка 260):(строка 610 + строка620 + строка 630 + строка 660), Где: Д – денежные средства (стр.250); ЦБ – краткосрочные финансовые вложения ( ценные бумаги), стр.260 ; К – кредиторская задолженность, тыс. руб.; З – краткосрочные заемные средства, тыс.руб.; Нормальное ограничение – Кал =0,2 – 0,5. Коэффициент показывает, какая часть текущей задолженности может быть погашена в ближайшее к моменту составления баланса время, что является одним из условий платежеспособности. Если фактические значения коэффициента укладываются в указанный диапазон, что в случае поддержания остатка денежных средств на уровне отчетной даты (за счет обеспечения равномерного поступления платежей от партнеров по бизнесу) имеющаяся краткосрочная задолженность может быть погашена за 2-5 дней (1: 0,5; 1: 0,2). Следующим коэффициентом является коэффициент критической ликвидности (или промежуточный коэффициент покрытия) – он рассчитывается как частное от деления величины денежных средств, краткосрочных ценных бумаг и расчетов на сумму краткосрочных обязательств организации. В этом случае к сумме активов, используемых для погашения краткосрочных обязательств, добавляют краткосрочную дебиторскую задолженность и определяют либо возможность полного покрытия краткосрочных обязательств этими активами, либо долю обязательств, которые могут быть покрыты в данной ситуации. Коэффициент критической ликвидности отражает прогнозируемые платежные способности организации при условии своевременного проведения расчетов с дебиторами. Теоретически оправданное значение этого коэффициента ≈ 0,8. Ккл = (II разд.бал. – строка 210 – строка 220 – строка 230) : (строка 610 + строка 620 + строка + 630 + строка 660). На заключительном этапе анализа рассчитывают коэффициент текущей ликвидности, который определяется как отношение всех оборотных средств текущих активов – (раздел II баланса) за вычетом налога на добавленную стоимость по приобретенным ценностям (строка 220) и дебиторская задолженность, платежи по которой ожидаются более чем через 12 месяцев после отчетной даты (строка 230) к текущим обязательствам (сумма строк 610 + 620 + 630). Ккл =Та /То (II разд.бал. – строка 210 – строка 220 – строка 230) : (строка 610 + строка 620 + строка + 630 + строка 660), Где: Та - текущие активы; То - текущие обязательства. Сумму активов, используемых для расчета предыдущего коэффициента, увеличивают на величину запасов (строка 210). Коэффициент текущей ликвидности показывает, в какой степени текущие активы покрывают краткосрочные обязательства. Он характеризует платежные возможности организации, оцениваемые при условии не только своевременных расчетов с дебиторами и благоприятной реализации готовой продукции, но и продажа в случае нужны прочих элементов материальных оборотных средств. Уровень коэффициента покрытия зависит от отрасли производства, длительности производственного цикла, структуры запасов и затрат. Нормальным значением для данного показателя считается 2. Данный норматив установлен «Методическими положениями по оценке финансового состояния предприятия и установлению неудовлетворительной структуры баланса», которые утверждены 12 августа 1997 г. распоряжением №310-р Федерального управления по дела о несостоятельности (банкротстве). Выполнение этого норматива организацией означает, что на каждый рубль его краткосрочных обязательств приходится не меньше двух рублей ликвидных средств. Превышение установленного норматива свидетельствует о том, что организация располагает достаточным объемом свободных ресурсов, формируемых за счет собственных источников. С точки зрения кредиторов, подобный вариант формирования оборотных средств является наиболее предпочтительным. Невыполнение установленного норматива создает угрозу финансовой нестабильности ввиду различной степени ликвидности активов и невозможности их срочной реализации в случае одновременного обращения кредиторов. Учитывая, что в состав текущих активов входит дебиторская задолженность, часть из которой может быть сомнительной, в составе товарно-материальных ценностей могут быть неликвидны (о чем было сказано выше), в процессе анализа необходимо рассмотреть структуру активов и провести их ранжирование по степени ликвидности. Знаменатель коэффициента (краткосрочные обязательства) также может быть сконструирован по срокам погашения.В процессе анализа кредитного риска необходимо сопоставить коэффициенты текущей и критической ликвидности. Коэффициент покрытия и коэффициент критической ликвидности содержат разную информацию только в числителе, так как коэффициент покрытия включает и запасы товарно-материальных ценностей. Нормальным следует считать соотношение коэффициента покрытия к коэффициенту критической ликвидности на уровне 4/1. Нарушение соотношения за счет увеличения коэффициента покрытия говорит о существовании сверхнормативных и скрытых запасов товарно-материальных ценностей, большом объеме незавершенного производства и т.д., а значит об ухудшении финансового состояния организации. Оценка платежеспособности осуществляется на основе анализа ликвидности текущих активов организации, т.е. их способности превращаться в денежную наличность, так как зависит от нее напрямую. При этом в отличие от платежеспособности понятие ликвидности означает не только текущее состояние расчетов, но и характеризует соответствующе перспективы. В процессе анализа необходимо определить достаточность денежных средств. Метод оценки достаточности средств основан на анализе финансовых потоков организации: приток денежных средств должен обеспечивать покрытие текущих обязательств организации. Исходной информацией для анализа движения денежных средств являются данные Главной книги или журналов-ордеров по отдельным бухгалтерским счетам. При анализе финансовых потоков поступления и расходования денежных средств. Для анализа реального движения денежных средств, оценки синхронности поступления и расходования денежных средств, увязки полученного финансового результата с состоянием денежных средств в организации необходимо выделить и проанализировать все направления поступления (притока) денежных средств, а также их выбытия (оттока). Критерием оценки финансового состояния организации служит показатель достаточности средств предприятия (К), который представляет собой общую разность поступлений и платежей; его еще называют общим показателем достаточности средств: К = ∑i Ki, Где: Ki – разность поступлений и платежей предприятия i-ом подпериоде, рассчитывается как: Кi=Дi-Рi, Где: Дi – сумма поступлений i-ом подпериоде; Рi – показатель достаточности средств для i-го подпериода (локальный). Если в i-ом месяце: - поступления больше платежей (Дi*Рi), то имеет место излишек средств [Ki]; - поступления меньше платежей (Дi*Рi), то имеет место дефицит средств, - [Ki]. Признаком достаточности средств в анализируемом подпериоде служит условие: Ki > либо Ki=0 Таким образом, в процессе анализа необходимо оценить с одной стороны, уровень поступлений (приток) денежных средств, а с другой – текущую потребность организации в денежных средствах. Анализ финансовых потоков следует проводить в двух разрезах: с учетом остатков денежных средств и обязательств и без учета остатков; это позволяет выявить «жизнеспособность» организации. Общая платежеспособность организации определяется как её способность покрыть все свои обязательства (краткосрочные и долгосрочные) всеми имеющимися активами. Коэффициент общей платежеспособности Кобщ. пл. рассчитывается по формуле:
Очевидно, что нормальным ограничением для этого показателя будет Кобщ. пл. ≥ 2. В процессе анализа отслеживается динамика этого показателя и производится его сравнение с указанным нормативом. Расчет платежеспособности проводится на конкретную дату. Полученная оценка субъективна и может быть выполнена с различной степенью точности. Для подтверждения платежеспособности проверяют: наличие денежных средств на расчетных счетах, валютных счетах, краткосрочные финансовые вложения. Все перечисленные активы должны иметь оптимальную величину. С одной стороны, чем значительнее размер денежных средств на счетах, тем с большей вероятностью можно утверждать, что организация располагает достаточными средствами для текущих расчетов и платежей. С другой стороны, наличие незначительных остатков средств на денежных счетах не всегда означает, что организация неплатежеспособна: средства могут поступить на расчетные, валютные счета, в кассу в течении ближайших дней, краткосрочные финансовые вложения легко превратить в денежную наличность. Постоянное кризисное отсутствие наличности приводит к тому, что организация превращается в «технически неплатежеспособную», а это уже может рассматриваться как первая ступень на пути к банкротству. Далее следует отсутствие просроченной задолженности и задержки платежей и несвоевременное погашение кредитов, а также длительное непрерывное пользование кредитами. Низкая платежеспособность может быть как случайной временной, так и длительной, хронической, причинами возникновения которой могут быть: -недостаточная обеспеченность финансовыми ресурсами; -невыполнение плана реализации продукции; -нерациональная структура оборотных средств; -несвоевременное поступление платежей от контрактов; -товары на ответственном хранении и др. В процессе анализа и детализации коэффициента общей платежеспособности организации проводится анализ показателей ф.№4 «Отчет о движении денежных средств». На основе данных, ф.№4 определяют источники поступления денежных средств и направления их движения. С целью оценки динамики общей платежеспособности на базе этих данных рассчитывается соответствующий коэффициент:
Где: строка 010 ф.№4 – «Остаток денежных средств на начало года»; строка 020 ф.№4 – «Поступило денежных средств всего»; строка 120 ф.№4 – «Направленно денежных средств всего». Но все названные показатели дают лишь общую одномоментную оценку динамики платежеспособности и не позволяют проанализировать ее внутриструктурные изменения. С этой целью проводится оценка текущей платежеспособности путем сравнительной оценки суммы имеющихся денежных средств и краткосрочных финансовых вложений с общей величиной задолженности, сроки оплаты которой уже наступили. Идеальным считается вариант, когда полученный результат равен единице или превышает его. Однако при проведении указанных расчетов по данным баланса и ф. №4 «Отчет о движении денежных средств» необходимо учитывать следующее: платежеспособность организации – показатель очень динамичный, меняется очень быстро, и его исчисление одномоментно один раз в квартал или один раз в год не позволяют сформировать достоверную картину. Поэтому и составляется платежный календарь, где сопоставление наличных ожидаемых средств и платежных обстоятельств производится на очень короткие периоды времени (1;5;10;15 дней, месяцев). Оперативный платежный календарь составляется на основе данных об отгрузке и реализации продукции, о закупках сырья, материалов и оборудования, и также по информации, содержащейся в документах о расчетах по оплате труда, на выдачу авансов работникам, выписках со счетов банка и т.п. По данным оперативного платежного календаря формирует динамические ряды, а затем проводят анализ изменений показателя платежеспособности. Помимо текущей в процессе анализа рассматривают и долгосрочную платежеспособность. При этом в качестве показателя, отражающего долгосрочную платежеспособность организации, принимает отношение долгосрочного заемного капитала к собственному:
Этот коэффициент характеризует возможность погашения долгосрочных займов и способность организации функционировать долгое время. Увеличение доли заемного капитала в структуре капитала считается рискованным. Организация обязана своевременно уплачивать проценты по кредитам, своевременно погашать полученные займы. Соответственно, чем выше значение данного коэффициента, тем больше задолженность организации и ниже оценки уровня долгосрочной платежеспособности. Анализ указанных коэффициентов проводится путем сравнения с аналогичными показателями прошлых лет, с внутрифирменными нормативами и плановыми показателями., что позволяет оценить платежеспособность организации и принять соответствующие управленческие решения как оперативные так и на перспективу. Очевидно, что высшей формой устойчивости организации является ее способность не только в срок расплачиваться по своим обязательствам, но и развиваться в условиях внутренней и внешней среды. Для этого она должна обладать гибкой структурой финансовых ресурсов и при необходимости иметь возможность как привлекать заемные средства, так и своевременно возвращать взятую ссуду с уплатой причитающихся процентов за счет прибыли или других финансовых ресурсов, т.е. быть кредитоспособной. Основным фактором, формирующим общую платежеспособность организации, служит наличие у нее реального собственного капитала. Поэтому помимо перечисленных выше коэффициентов при проведении оценки платежеспособности анализируют также: -различные коэффициенты ликвидности; -соотношение собственного и заемного капитала; -коэффициент долгосрочного привлечения заемных средств; -коэффициент обеспеченности процентов по кредитам и т.д. Комплексный анализ названных коэффициентов позволяет не только более точно определит фактический уровень платежеспособности, но и формирует базу для прогнозных расчетов. С целью разработки прогноза платежеспособности организации рассчитываются коэффициенты, восстановления (утраты) Квос(утр) платежеспособности. Расчет производится по формуле:
Где: Ктл н , Ктл.к - коэффициент текущей ликвидности соответственно на начало и конец периода; 6(3) – период восстановления (утраты) платежеспособности, (месяцы) в качестве периода восстановления платежеспособности принято 6 месяцев, период утраты – 3 месяца; Т – продолжительность отчетного периода, месяцы. Коэффициент восстановления платежеспособности, имеющий значение больше 1, свидетельствует о наличие тенденции восстановления платежеспособности организации в течение 6 месяцев. Значение коэффициента меньше 1, свидетельствует о наличие тенденций утраты платежеспособности организации в течение 3 месяцев, а больше 1 - об отсутствие подобных тенденций. Прогноз изменения платежеспособности кроме расчета и оценки, указанных выше коэффициентов включает также анализ коэффициентов ликвидности и оценку тенденций их динамики.
2. Анализ ликвидности и платежеспособности ЗАО «АвтоТех»
2.1.Анализ ликвидности баланса ЗАО «АвтоТех» за 2007-2008 гг
Анализ ликвидности организации представляет собой процесс, состоящий из двух последовательных этапов. На первом этапе производится анализ ликвидности баланса и заключается в сравнении средств по активу, сгруппированных по степени ликвидности и расположенных в порядке убывания с обязательствами по пассиву, объединенными по срокам их погашения в порядке возрастания сроков. На втором этапе анализа- расчет финансовых коэффициентов ликвидности, который производится путем поэтапного сопоставления отдельных групп активов с краткосрочными пассивами на основе данных баланса и производится сопоставление с нормативным значением соответствующего показателя. На заключительном этапе производится расчет коэффициента текущей ликвидности (или коэффициент покрытия). Производим анализ ликвидности баланса: Наиболее ликвидные активы А1: А1 = строка 260 + строка 250 = 1+4260=4261 Быстрореализуемые активы А2: А2 = строка 240 + строка 270 = 12324 Медленнореализуемые активы А3: А3 = строка 210 + строка 220 + строка 230 – строка 217 = =15801+12=15813 Труднореализуемые активы А4: А4 = строка 190 = 15352 Наиболее срочные пассивы П1: П1 = строка 620 + строка 630 + строка 660 = 4622 Краткосрочные пассивы П2: П2 = строка 610 = 12721 Долгосрочные пассивы П3: П3 = строка 590 = 9298 Постоянные пассивы П4: П4 = строка 490 + строка 640 + строка 650 + строка 217 = 21109 Указанные группы активов и пассивов сопоставляются в абсолютном выражении. Баланс считается ликвидным при условии следующих соотношений групп активов и обязательств: А1 ≥П1;А2≥П2;А3≥П3;А4≥П4. При этом, если выполнены три следующие условия: А1 >П1;А2≥П2;А3≥П3,то обязательно выполняется и последнее неравенство А4< П4, А1 ≥П1 4261 > 4622 А2≥П2 12324 < 12721 А3≥П3 15813 > 9298 А4≥П4 15352 < 21109 Таблица 2.1. – Ликвидность баланса ЗАО «АвтоТех» на 2007 г.
Таблица 2.2 – Ликвидность баланса ЗАО «АвтоТех» на 2008 г.
На конец 2007г.:А1<П1 На конец 2008г.:А1<П1 А2>П2 А2<П2 А3 >П3 А3 >П3 А4<П4 А4<П4 Приведенные расчеты показывают, что баланс предприятия отличается от абсолютно ликвидного и за исследуемый период платежеспособность ухудшилась, т.к. в 2007г. не выполнялись 1ое соотношение, а в 2008г.- 1ое и 2ое соотношения. Однако увеличился недостаток средств по 3ей позиции.
2.2.Анализ относительных показателей ликвидности и платежеспособности
Анализ относительных показателей ликвидности и платежеспособности предполагает расчет финансовых коэффициентов ликвидности.(У.В.Савицкая) Традиционно расчеты начинают с определения коэффициента абсолютной ликвидности, который рассчитывается как соотношение наиболее ликвидных активов к сумме наиболее срочных обязательств и краткосрочных пассивов (сумма кредиторской задолженности и краткосрочных кредитов) и показывает платежеспособность предприятия на дату составления баланса. Кал=(ДС+КФЗ)/(КО)=(строка 250+строка 260)/(строка 610+строка 620+строка 630+строка 660)=А1/(П1+П2)=4261/(4622+12721)=0,25 Нормальное ограничение Кал ≥0,2-0,5 Следующим коэффициентом является коэффициент критической ликвидности(коэффициент промежуточной или быстрой ликвидности или промежуточный коэффициент покрытия), который показывает платежеспособность предприятия на период, равный средней продолжительности оборота краткосрочной дебиторской задолженности. Ккл =(ДС+КФВ+КДС)/КО=(А1+А2)/(П1+П2)=(4621+12324)/(4622+12721)= =0,98 Нормальное ограничение Ккл ≥0,7-1,0 Коэффициент текущей ликвидности (коэффициент покрытия или общей ликвидности),показывает платежеспособность предприятия на период, равный средней продолжительности оборота всех оборотных средств предприятия. Ктл =ОА/КО=(А1+А2+А3)/(П1+П2)=(4261+12324+15813)/(4622+12721)= =1,87 Нормальное ограничение Ктл ≥2 Произведем расчет тех же коэффициентов для последующих отчетных периодов, для того, чтобы проследить динамику изменений этих коэффициентов. В конце исследуемого периода мы должны обратить внимание на коэффициент текущей ликвидности. Если значение коэффициента выше нормативного уровня, то рассчитывается коэффициент угрозы утраты платежеспособности на ближайшие 3 месяца, если его значение больше 1, то у предприятия нет угрозы потерять платежеспособность. Если значение коэффициента ниже нормативного уровня, т.е. предприятие неплатежеспособно, то рассчитывается коэффициент восстановления платежеспособности на ближайшие 6 месяцев. Если его значение больше 1, то у предприятия есть возможность восстановить свою платежеспособность, если меньше 1, то восстановление платежеспособности в ближайшие 6 месяцев маловероятно. Данные расчетов отражены в таблице 2.3. Таблица 2.3. –Динамика коэффициентов ликвидности ЗАО «АвтоТех» за 2007г.
Таблица 2.4.- Динамика коэффициентов ликвидности ЗАО «АвтоТех» за 2008г.
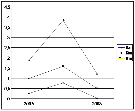
На рисунке 2.1.более наглядно отражена динамика изменения коэффициентов ликвидности.
Рис.2.1. Динамика коэффициентов ликвидности ЗАО «АвтоТех» за 2007-2008гг. В динамике коэффициента абсолютной ликвидности мы наблюдали положительную тенденцию, на протяжении 2007г. значение этого коэффициента было больше нормативного уровня, причем к концу года это значение выросло до 0,77, что свидетельствовало о достаточно высокой ликвидности баланса предприятия. Но, несмотря на это, к концу исследуемого периода значение коэффициента снижается до уровня, ниже нормативного, что свидетельствует о резком снижении ликвидности баланса предприятия. В динамике коэффициента критической ликвидности так же наблюдалась положительная тенденция, и значение этого коэффициента превышало нормативного уровня почти в 2 раза, такая тенденция наблюдалась до начала 208г.,затем следовал резкий спад , коэффициент снизилось до уровня ниже нормативного, что говорит о резком снижении платежеспособности. Значение коэффициента текущей ликвидности на начало 2007г было ниже нормативного, которое к концу 2007г увеличивается и становится выше нормативного уровня., на начало 2008г остается такая же ситуация, а к концу исследуемого периода значение коэффициента резко снижается и достигает уровня, ниже нормативного, что свидетельствует о резком снижении платежеспособности. Расчеты показали, что значение коэффициента текущей ликвидности на конец исследуемого периода ниже нормативного уровня, т.е. предприятие неплатежеспособно. В этом случае нужно рассчитать коэффициент восстановления платежеспособности на ближайшие 6 месяцев. Квосст. =(Ктл кп +(У/Т)*( Ктл кп - Ктл нп ))/ Ктл норма Квосст. =(1,23+(6/12)*(1,23-1,83))/2=0,035 Значение коэффициента восстановление ниже нормативного уровня, значит в ближайшие 6 месяцев предприятие вероятнее всего не сможет восстановить свою платежеспособность. 2.3.Анализ факторов, влияющих на ликвидность предприятия
Проведем факторный анализ коэффициентов абсолютной, критической и текущей ликвидности. Для факторного анализа коэффициентов ликвидности будем использовать способ цепных подстановок. Последовательное рассмотрение влияния отдельных факторов на общий результат, при этом последующие заменяют базисные или плановые показатели фактическими и сравнивают новый результат, получаемый после замены с прежним. Расчетов будет на 1 больше, чем количество факторов. Важна последовательность подстановки. Сначала выявляют влияние количественных, а затем качественных факторов. Используется для всех типов моделей. Проведем анализ факторов, влияющих на коэффициент абсолютной ликвидности. Кал =(ДС+КФЗ)/(КО Таблица 2.5.Динамика факторов, влияющих на коэффициент абсолютной ликвидности ЗАО «АвтоТех» за 2008 г.
Кал0= ДС0 /КО0 Кал0 =7001/8992=0,78 Кал усл1 =ДС1 /КО0 Кал усл1 =715/8992=0,08 Кал усл2 =ДС1 / КО1 Кал усл2 =715/23412=0,04 ∆ Кал дс = Кал усл1 - Кал0 ∆ Кал дс =0,08-0,78= -0,7 ∆ Кал ко = Кал усл2 - Кал усл1 ∆ Кал ко =0,04-0,08= -0,04 ∆ Кал =∆ Кал дс +∆ Кал ко ∆ Кал = -0,7 + (-0,04) = -0,74 Таблица 2.6.Влияние факторов на коэффициент абсолютной ликвидности ЗАО «АвтоТех» за 2008г.
Коэффициент абсолютной ликвидности снизился на 0,74 ед. или на 96,1%. Расчеты показывают, что отрицательное влияние в большей степени на его изменение оказало снижение уровня денежных средств на 6286 тыс.руб. или на 89,787%,а так же увеличение уровня краткосрочных обязательств на 14420 тыс.руб. или на 60,36%. Затем проведем анализ факторов, влияющих на критическую ликвидность. Ккл =(ДС+КФВ+КДЗ)/КО Таблица 2.7.Динамика факторов, влияющих на коэффициент критической ликвидности ЗАО «АвтоТех» за 2008г.
Ккл =(ДС+КДЗ)/КО Ккл 0 =( ДС0 + КДЗ0 )/ КО0 Ккл 0 =(7001+7373)/8992=1,6 Ккл усл1 =(ДС1 +КДЗ0 )/КО0 Ккл усл1 =(715+7373)/8992=0, 9 Ккл усл2 =( ДС1 +КДЗ1 )/ КО0 Ккл усл2 =(715+11056)/8992=1,31 Ккл 1 =( ДС1 +КДЗ1 )/ КО1 Ккл 1 ==(715+11056)/23410,5 ∆Ккл дс = Ккл усл1 = Ккл 0 ∆Ккл дс =0,9-1,6=-0,7 ∆Ккл кдз = Ккл усл2 - Ккл усл1 ∆Ккл дс =1,31-0,9=0,41 ∆Ккл кдз = Ккл 1 - Ккл усл2 ∆Ккл дс =0,5-1,32=-0,81 ∆Ккл = ∆Ккл дс +∆Ккл кдз +∆Ккл дс ∆Ккл =-0,7+0,41+(-0,81)= -1,1 Таблица 2.8.Влияние факторов на коэффициент критической ликвидности ЗАО «АвтоТех» за 2008г.
Коэффициент критической ликвидности снизился на 1,09 ед. или на 68.55%. Наибольшее отрицательное влияние на изменение коэффициента критической ликвидности оказало увеличение уровня краткосрочных обязательств на 14420 тыс.руб. или на 160,36%. Положительное влияние оказало увеличение уровня краткосрочной дебиторской задолженности на 3683 ед. или на 45%. Затем проведем анализ факторов, влияющих на коэффициент текущей ликвидности. Таблица 2.9.Динамика факторов, влияющих на коэффициент текущей ликвидности ЗАО «АвтоТех» за 2008г.
Ктл =ОА/КО Ктл 0 =ОА0 /КО0 Ктл 0 =34472/8992=3,83 Ккл усл2 = ОА1 /КО0 Ккл усл1 =28864/8992=3,21 Ккл усл2 = ОА1 /КО1 Ккл усл2 =28864/23412=1,23 ∆Ккл оа = Ккл усл1 - Ктл 0 ∆Ккл оа =3,21-3,83=-0,62 ∆Ккл ко = Ккл усл2 - Ккл усл2 ∆Ккл ко 1,23-3,21=-1,98 ∆Ккл = ∆Ккл оа +∆Ккл ко ∆Ккл =-1,98+(-0,62)= -2,6 Таблица 2.10.Влияние факторов на коэффициент текущей ликвидности ЗАО «АвтоТех» за 2008г.
Коэффициент текущей ликвидности снизился на 2,6 ед. или на 67,89%. Наибольшее отрицательное влияние на его изменение оказало снижение повышение уровня краткосрочных обязательств на 14420 тыс.руб. или на 160,36%, так же снижение уровня оборотных активов на 5608 ед. или на 16,27%. С учетом взаимосвязи рассчитанных показателей, характеризующих финансовое состояние данной организации, его стоит признать не абсолютно ликвидным. В связи с этим следует принять меры по повышению ликвидности и поиску путей улучшения ситуации на предприятии. 3.Разработка мероприятий по улучшению финансового состояния предприятия ЗАО «АвтоТех»
3.1. Пути повышения ликвидности и платежеспособности
На основании вышеизложенного мы можем сделать вывод о том, что на момент проведения анализа, баланс предприятия является неликвидным, так как некоторые из соотношений групп активов и пассивов не отвечают условиям абсолютной ликвидности. Так же коэффициенты ликвидности (абсолютной, критической, текущей) на конец анализируемого периода меньше их нормативного уровня, что так же говорит о том, что баланса данного предприятия является неликвидным. Существует достаточно большое количество мероприятий по повышению ликвидности и платежеспособности предприятий. К примеру, руководству предприятия следует стимулировать объемы продаж , за счет снижения цены и увеличения качества отпускаемой продукции. Вести систему ведения платежного календаря. Высвободить денежные средства за счет продажи свободных активов. Стараться поддерживать оборачиваемость запасов и дебиторской задолженности на оптимальном уровне. Для ускорения оборачиваемости активов, в долгосрочной перспективе, сдача в аренду оборудования. Так же руководству предприятия следует обратить внимание на новые методы управления затратами. И это далеко не весь перечень мероприятий, способных увеличить ликвидность предприятия. В данной курсовой работе мы не будем использовать вышеперечисленные методы. Мы будем отталкиваться от коэффициентов ликвидности. ИЗ вышеприведенных расчетов, мы увидели, что баланс предприятия на конец анализируемого периода является неликвидным, так как все коэффициенты ликвидности ниже их нормативного значения. Если бы коэффициенты ликвидности совпадали с нормативными значениям, то и баланс анализируемого предприятия был бы ликвиден. Нужно увеличить значения тех факторов, которые оказали отрицательное влияние на снижение коэффициентов ликвидности до такого уровня, при котором значения коэффициентов ликвидности станут равными их нормативным значениям, тогда баланс предприятия станет ликвидным. 3.2.Прогнозный анализ платежеспособности предприятия
Мы нашли тот способ, с помощью которого нам удастся повысить ликвидность баланса анализируемого предприятия. Этот способ заключается в увеличении значений факторов, оказавших отрицательное влияние на снижение коэффициентов ликвидности до тех пор, пока значения коэффициентов не будут равны норме. Будем рассматривать конец анализируемого периода. Начнем с коэффициента абсолютной ликвидности. Кал=0,03 ,а нормативное значение этого коэффициента 0,2. Кал= (ДС+КФЗ)/КО . Проведя факторный анализ, мы узнали, что отрицательное влияние на снижение этого коэффициента оказало снижение денежных средств, нужно увеличить уровень денежных средств ,чтобы значение коэффициетна стало равно 0,2. Если мы увеличим денежные средства на 4000 руб, мы получим желаемый результат. Кал= ДС/КО=(715+4000)/23412=4715/23412=0,2 Затем коэффициент критической ликвидности. Ккл =0,5 ,а нормативное значение этого коэффициента 0,7-1,0 Ккл =(ДС+КФВ+КДС)/КО. Из факторного анализа нам стало известно, что наименьшее влияние на изменение этого коэффициента оказало снижение уровня денежных средств, значит, мы должна увеличить этот уровень до тех пор, пока не добьемся желаемого результата. Если мы увеличим денежные средства на 5000 руб, то наш коэффициент будет равен 0,7 Ккл =(ДС+КДС)/КО=(715+5000+11059)/23412=0,7 Коэффициент текущей ликвидности. Ктл =1,23, а нормативное значение этого коэффициента 2. Ктл =ОА/КО. Мы проанализировали факторы, влияющие на этот коэффициент и выяснили, что отрицательное влияние на значение коэффициента оказало снижение уровня оборотных активов, значит будем увеличивать оборотные активы. Если мы увеличим сумму оборотных активов на 21000 руб, то получим желаемый результат. Ктл =ОА/КО=(28867+21000)/23412=2,1 Теперь коэффициенты ликвидности, действительно, достигли именно тех уровней, при которых баланс анализируемого предприятия является ликвидным. Мы можем увидеть это в таблице 3.1. Таблица 3.1. Коэффициенты ликвидности ЗАО «АвтоТех» за 2009г.
В таблице 3.2. мы можем проследить динамику коэффициентов ликвидности ЗАО «Автотех», где увидим, как на протяжении всего исследуемого периода изменялись коэффициенты ликвидности. Таблица 3.2. Динамика коэффициентов ликвидности ЗАО «АвтоТех» за 2007-2009гг.
На рисунке 3.1. более наглядно отображена динамика коэффициентов ликвидности с учетом прогнозируемых значений.
Рисунок 3.1.Динамика коэффициентов ликвидности ЗАО «АвтоТех» за 2007-2008гг. С учетом вышеприведенных расчетов показателей, характеризующих финансовое состояние данной организации, видно, что коэффициенты абсолютной, критической и текущей ликвидности достигли своих нормативных значений и предприятие стоит признать ликвидным.
Заключение
В данной курсовой работе была рассмотрена роль ликвидности, платежеспособности и кредитоспособности для предприятия. В первом разделе рассматривается роль значение, цели, методы и задачи ликвидности, платежеспособности и кредитоспособности для предприятия, показатели, характеризующие финансовое состояние предприятия. Так же проводится анализ ликвидности, платежеспособности и кредитоспособности, который необходим не только для предприятия, но и для внешних инвесторов, других предприятий, банков, в общем, всех финансовых институтов, с которыми предприятие вступает в финансовые отношения. Рассматриваются виды ликвидности и платежеспособности. Анализируется влияние, которое платежеспособность и кредитоспособность оказывают на выполнение производственных планов и обеспечение нужд производства необходимыми ресурсами. Второй раздел – расчетная часть. В ней рассматривается анализ ликвидности и платежеспособности на примере ЗАО «АвтоТех». За весь анализируемый период деятельности предприятия баланс не соответствовал условиям абсолютной ликвидности, т.е. был текущее не ликвидным. Предприятие не кредитоспособно, т.к. коэффициент восстановления платежеспособности меньше нормативного значения. Анализ факторов, влияющих на коэффициент текущей ликвидности показал, как влияет изменение каждого фактора на уровень текущей ликвидности. Так, на конец исследуемого периода основное влияние оказало снижение оборотных активов на 5608 руб., из-за чего и произошло снижение коэффициента текущей ликвидности. В третьей главе даны рекомендации по налаживанию экономики предприятия, по повышению его ликвидности и платежеспособности. По итогам 2008 года ЗАО «АвтотеТех» является не платежеспособным и в ближайшее 6 месяцев, вероятнее всего, не сможет ее восстановить.
Список использованных источников 1.Бакаев,В.В., Волкова,О.Н. Основы финансового анализа – М.Главбух, 1998г. 2. Грузинов, В. П. Экономика предприятия / В.П. Грузинов. - М. : Финансы и статистика, 1998г. 3. Гуськова, Н.Д. Микроэкономика : учебное пособие / Н.Д. Гуськова. – Саранск : Изд-во Мордовского университета, 1997г. 4. Зайцев, Н.Л. Экономика промышленного предприятия : учебник / Н.Л. Зайцев. – 3-е изд., перераб. и доп., 2000г. 5. Зайцев, Н.Л. Экономика промышленного предприятия. Практикум : учеб. пособие / Н.Л. Зайцев., 2007. 6. Ковалев В.В., Волкова О.Н. Основы финансового анализа- М.Главбух, 1998 г.- 7.Колчина, Н.В. Финансы предприятия : учебник / Н.В. Колчина. - М. : Финансы , 2008г. 8. Раицкий, К.А. Экономика предприятия : учебник для вузов / К.А. Раицкий. – 3-е изд., перераб. и доп. – М. : Издательско-торговая корпорация «Дашков и Ко », 2002г. 9. Савицкая Г.В. Анализ хозяйственной деятельности предприятия,1998г. 10. Савицкая, Г.В. Анализ хозяйственной деятельности предприятия : Учеб. пособие / Г.В. Савицкая. - 7-е изд., испр. - Мн. : Новое знание, 2002г. 11. Сафронов, Н.А. Экономика предприятия : учебник / Н.А. Сафронов,1998г. 12. Сергеев, И.В. Экономика предприятия : учебное пособие / И.В. Сергеев. – 2-е изд., перераб. и доп. – М. : Финансы и статистика, 2000г. 13. Стоянова, Е.С.Финансовый менеджмент : теория и практика / Е.С. Стоянова. - М. : «Перспектива», 2000г. 14. Суша, Г.З. Экономика предприятия / Г.З. Суша. – М. : Новое знание, 2003г. 15. Тренев, В. В. Управление финансами : учебное пособие. / В. В. Тренев. – М. : Финансы и статистика, 2000г. 16.Шеремет,А.Д., Сайфулин,Р.С.Методика финансового анализа,3-е издание, переработанное и дополненное,2001г. 17. Яковлев, Р.А. Оплата труда на предприятии / Р.А. Яковлев. - М. : Центр экономики и маркетинга, 2001г.
|
|||||||||||||||||||||||||||||||||||||||||||||||||||||||||||||||||||||||||||||||||||||||||||||||||||||||||||||||||||||||||||||||||||||||||||||||||||||||||||||||||||||||||||||||||||||||||||||||||||||||||||||||||||||||||||||||||||||||||||||||||||||||||||||||||||||||||||||||||||||||||



