Учебное пособие: Инновационный менеджмент 13
|
Название: Инновационный менеджмент 13 Раздел: Рефераты по менеджменту Тип: учебное пособие | |||||||||||||||||||||||||||||||||||||||||||||||||||||||||||||||||||||||||||||||||||||||||||||||||||||||||||||||||||||||||||||||||||||||||||||||||||||||||||||||||||||||||||||||||||||||||||||||||||||||||||||||||||||||||||||||||||||||||||||||||||||||||||||||||||||||||||||||||||||||||||||||||||||||||||||||||||||||||||||||||||||||||||||||||||||||||||||||||||||||||||||||||||||||||||||||||||||||||||||||||||||||||||||||||||||||||||||||||||||||||||||||||||||||||||||||||||||||||||||||||||||||||||||||||||||||||||||||||||||||||||||||||||||||||||||||||||||||||||||||||||||||||||||||||||||||||||||||||||||||||||||||||||||||||||||||||||||||||||||||||||||||||||||||||||||||||||||||||||||||||||||||||||||||||||||||||||||||||||||||||||||||||||||||||||||||||||||||||||||||||||||||||||||||||||||||||||||||||||||||||||||||||||||||||||||||||||||||||||||||||||||||||||||||||||||||||||||||||||||||||||||||||||||||||||||||||||||||||||||||||||||||||||||||||||||||||||||||||||||||||||||||||||||||||||||||||||||||||||||||
| Инновационный менеджмент
Г.Я. Гольдштейн , ТРТУ Оглавление 1. Предмет и задачи курса · 1.1. Место инновационного менеджмента в комплексе дисциплин по теории и практике управления · 1.2. Основные задачи изучения инновационного менеджмента 2. Маркетинговый подход к разработке и выведению на рынок нового товара · 2.1. Роль НИОКР в менеджменте фирмы как субъекта рынка · 2.2. Схема процесса разработки и вывода товара на рынок · 2.3. Обзор рыночной ситуации и генерация идей · 2.4. Фильтрация идей · 2.5. Проверка концепции и экономический анализ · 2.6. Разработка и испытание нового продукта · 2.7. Пробный маркетинг · 2.8. Обобщающие выводы по главе 2 3. Стратегия НИОКР · 3.1. НИОКР как бизнеc · 3.2. Стратегия НИОКР и стратегический менеджмент фирмы как субъекта рынка · 3.3. Стратегический менеджмент инноваций · 3.4. Обобщающие выводы по главе 3 4. Отбор и оценка проектов НИОКР · 4.1. Содержание и процедура оценки и отбора · 4.2. Критерии, связанные со стратегией и политикой корпорации · 4.3. Маркетинговые критерии · 4.4. Научно-технические критерии · 4.5. Производственные критерии · 4.6. Организация оценки проекта · 4.7. Обобщающие выводы по главе 4 5. Финансовая оценка научно-технических проектов · 5.1. Финансовые критерии оценки проектов · 5.2. Финансовый анализ в процессе НИОКР · 5.3. Оценка эффективности инвестиций в НИОКР · 5.4. Учет фактора риска в финансовом анализе · 5.5. Итоговые выводы по главе 5 6. Жизненный цикл изделия и роль научно-технической подготовки производства · 6.1. Структура жизненного цикла изделия · 6.2. Роль научно-технической подготовки производства · 6.3. Комплексная система обеспечения качества изделия · 6.4. Технико-экономическое управление надежностью изделия 7. Организация и порядок выполнения НИР · 7.1. Виды НИР и их основные этапы · 7.2. Информационное обеспечение прикладной НИР · 7.3. Методы оценки научно-технической результативности НИР 8. Порядок выполнения и эффективность ОКР · 8.1. Основные задачи и этапы ОКР · 8.2. Философия и логика проектирования · 8.3. Интегральный технический показатель качества изделия · 8.4. Интегральный экономический показатель изделия и его технико-экономическая эффективность · 8.5. Управление эффективностью разработки · 8.6. Итоговые выводы по главе 8 9. Подготовка производства на заводе-изготовителе продукции · 9.1. Характер управленческих решений, предшествующих подготовке производства · 9.2. Конструкторская подготовка производства на заводе-изготовителе серийной продукции · 9.3. Технологическая подготовка производства (ТПП) · 9.4. Организационная подготовка производства (ОПП) · 9.5. Характер изменения технико-экономических показателей новых изделий на стадии освоения · 9.6. Ускорение организации производства · 9.7. Итоговые выводы по главе 9 10. Планирование и управление программами НИОКР · 10.1. Специфика менеджмента НИОКР · 10.2. Планирование портфеля НИОКР · 10.3. Управление проектом НИОКР · 10.4. Организационные структуры в инновационной деятельности · 10.5. Венчурная компания · 10.6. Практические организационные структуры НИИ и КБ в России · 10.7. Итоговые выводы по главе 10 11. Экономическая разведка - неотъемлемая часть инновационного менеджмента · 11.1 Место информации в НИОКР · 11.2. Характер решений в НИОКР и соответствующие информационные базы · 11.3. Основные источники и каналы информации · 11.4. Организация службы информации фирмы · 11.5. Итоговые выводы по главе 11 Литература и приложения · Приложение 1 .Упрощенный агрегированный сетевой граф подготовки производства на действующем предприятии · Приложение 2. Упрощенный агрегированный сетевой граф выполнения ОКР "Комплексная навигационная система для морских судов" Учебное пособие соответствует учебной программе дисциплины "Иновационный менеджмент", читаемой студентам специальностей 060800 и 061100. Содержит описание теоретических и практических подходов к организации и управлению инновационной деятельностью фирмы в рыночных условиях. Основное внимание уделено методам оценки НИОКР на различных этапах их жизненного цикла и принятию соответствующих управленческих решений. Учебное пособие может быть использовано при подготовке инженеров по всем специальностям в рамках дисциплин "Технико-экономическое проектирование" и "Дипломное проектирование". Печатается по решению ред.-изд. совета Таганрогского государственного радиотехнического университета. 1. ПРЕДМЕТ И ЗАДАЧИ КУРСА 1.1. Место инновационного менеджмента в комплексе дисциплин по теории и практике управления В [4] показано, что инновационная деятельность (НИОКР и внедрение их результатов в производство) является одной из основных сфер деятельности любой фирмы. Сфера НИОКР непосредственно связана с маркетингом фирмы, причем эта связь двухсторонняя. Подразделения НИОКР должны опираться в своей деятельности на маркетинговые исследования запросов и состояния рынка, и, следовательно, можно сказать, что они должны работать по заданию служб маркетинга. С другой стороны, отслеживание тенденций научно-технического процесса, прогнозирование и собственно разработка новых изделий требуют со стороны подразделений сферы НИОКР постановки задач маркетинговым службам по проведению соответствующей оценки рыночного потенциала новых изделий. Задачей НИОКР является создание новых изделий (или услуг), которые будут являться основой производственной деятельности фирмы в будущем. При проведении НИОКР, естественно, должны учитываться производственные культура, традиции, организация, инфраструктура, технологический уровень, кадровый потенциал и т. д. Но, пожалуй, самым важным обстоятельством является то, что НИОКР, как деятельность, обращенная в будущее, тесно связаны и взаимно определяют стратегический менеджмент фирмы. Стратегия превращается в реальность только в результате разработки конкретного продукта или процесса. Затраты на НИОКР - это вложения в будущее фирмы, но в то же время они связаны с высокими неопределенностью и риском. Все изложенное дает основание заключить, что в большинстве случаев управление НИОКР (прогнозирование, планирование, оценка проектов, организация и комплексное управление, контроль за ходом НИОКР) - стратегически более важная задача, чем собственно исполнение НИОКР (важнее определить правильное направление движения, чем сосредоточиться на конкретных шагах в этом направлении). Таким образом, можно заключить, что НИОКР и управление ими (инновационный менеджмент) тесно связаны с теорией и практикой общего менеджмента фирмы, маркетингом, производственным менеджментом, логистикой, стратегическим менеджментом, финансовым менеджментом предприятия (рис. 1).
1.2. Основные задачи изучения инновационного менеджмента Решение управленческих проблем требует сосредоточения внимания на мелочах, деталях, характеризующих эти проблемы, и инструментах их решения. Поскольку внимание отдельных руководителей концентрируется на ограниченном круге узких проблем, то трудно объединить их работу всеобъемлющим планом. Это привело к формированию концепции стратегического менеджмента [5]. Однако сфера НИОКР при всех многих и разносторонних связях с другими сферами деятельности фирмы, как правило, относительно обособлена в организации. Это связано с неопределенностью процесса НИОКР, спецификой деятельности в сфере НИОКР, потребностью в новых идеях. НИОКР определяют будущее развитие корпорации, предполагают изменения, подчас значительные, в производстве, маркетинге, управлении фирмы, и это, естественно, вызывает определенную консервативную оппозицию внутри фирмы. Существует определенный "управленческий разрыв" в понимании позиции, мотивации руководителей НИОКР и других руководителей фирмы [4 разд. 15.2]. Поэтому для менеджеров всех уровней важно понимание роли и методов НИОКР, особенностей управления этой сферой деятельности. В частности, это проблемы:
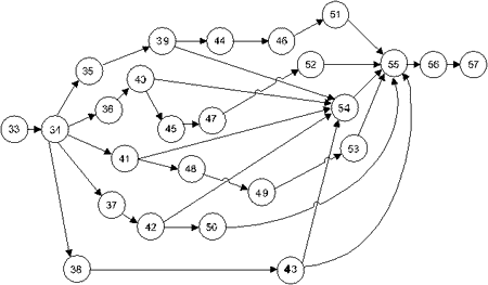
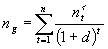
Примерная структуризация проблем НИОКР и освоения производства новых изделий представлена на рис. 2 [9].
Рис.2. Примерная структуризация проблемы создания и освоения новых товаров НИОКР могут рассматриваться не только как одна из сфер деятельности фирмы, но и как самостоятельный вид бизнеса. С этой целью создаются инновационные фирмы, осуществляющие по заказам различных экономических субъектов (в том числе и государства) НИР и ОКР, а также продающие на рынке свои разработки соответствующим потребителям. В России к ним относятся многочисленные НИИ, ОКБ, научные подразделения вузов и т. д. На рис.3 приведен "финансовый профиль" проекта создания, освоения и производства нового изделия (жизненные циклы изделия и товара) в рамках многопродуктовой корпорации. Для инновационной фирмы товаром будет являться документация на изделие, лицензия на ее производство и сбыт, "ноу-хау". Финансирование НИОКР может осуществляться за счет кредитов, собственной прибыли, а также по договорам с заказчиками. Дисциплина "Инновационный менеджмент" должна дать необходимые сведения для управления процессами НИОКР, реализуемыми в рамках многопродуктовой корпорации, а также инновационными фирмами. При этом менеджмент сферы НИОКР должен строиться на том, что единственным оправданием существования этой сферы является наличие положительного финансового результата функционирования компании. В этой связи следует в инновационном менеджменте опираться на следующие положения:
Прежде всего следует получить четкие ответы на вопросы:
Рис.3. Жизненный цикл изделия 2. МАРКЕТИНГОВЫЙ ПОДХОД К РАЗРАБОТКЕ И ВЫВЕДЕНИЮ НА РЫНОК НОВОГО ТОВАРА 2.1. Роль НИОКР в менеджменте фирмы как субъекта рынка В [4, гл.15] приведена схема включения технологии в формирование позиции конкурентного успеха фирмы. На рис. 4 приведена та же схема, но модернизированная применительно к инновациям (НИОКР).
Рис. 4. НИОКР как фактор конкурентного успеха фирмы Начало процесса формирования конкурентного успеха фирмы при выведении на рынок нового продукта лежит в пересечении множеств маркетинговых и научно-технических решений. Наличие совместимых потребностей определенных рыночных сегментов и технологических возможностей их обеспечить создает фундамент технологически обоснованной стратегии. Однако это лишь начало. Технологически обоснованная стратегия может не привести к экономическому успеху если у фирмы нет возможностей организовать производство с издержками, позволяющими использовать на рынке цены, совместимые с покупательной способностью населения. Далее позиция конкурентного успеха зависит от конкурентного статуса фирмы, ее ресурсов, стратегии и интенсивности конкурентных действий других фирм. Составляющие конкурентного статуса фирмы в НИОКР приведены в [4, разд.15.3]. Таким образом при проведение НИОКР следует учесть:
2.2. Схема процесса разработки и вывода товара на рынок Этот процесс включает этапы от генерации идей до начала коммерческой реализации товара. В это время фирма создает потенциальные варианты, получает представление потребителей о них, оценивает их, устраняет наименее привлекательные, разрабатывает опытные образцы продукции, испытывает их и внедряет на рынке. Экономия на первых этапах может вызвать большие издержки и даже потери на последующих. Поэтому разумная политика состоит в тщательной проверке концепции товара на ранних этапах. Основные этапы этого процесса отражены на рис. 5. 2.3. Обзор рыночной ситуации и генерация идей Необходимость во введении совершенно новых продуктов или, что более реалистично, в дополнении существующих продуктовых линий может возникнуть при анализе портфеля стратегических зон хозяйствования (СЗХ) с помощью матричной техники [4]. Бреши в проектируемых денежных потоках будут демонстрировать необходимость подобного решения. Более вероятно, что такие решения будут следовать и из анализа тенденций развития требований потребителя. С целью определения брешей (gар ) на рынке используется gар -анализ. Например, в результате исследования потоков прибылей при производстве и реализации различных продуктов компании (рис. 6) может обнаружиться брешь, которую следует заполнить.
Рис. 6. Gap -анализ будущих потоков прибылей фирмы Gap -анализ проводится по следующим главным элементам:
Соотношения между конкретными видами брешей иллюстрируются рис. 7.
Рис. 7. Схема gap -анализа При проведении gар -анализа естественно использование следующих соотношений: MP=EU+UG+PG; EU=DG+CG+ES. Доля реального рыночного использования ES/EU. Доля в отраслевых продажах ES/(ES+CG). Если gар -анализ показал наличие брешей, то естественным становится следующий этап - генерация идей, заполнение этих брешей. Генерация идей - постоянный поиск возможностей создания новых товаров (услуг). Он включает определение источников новых идей и методов их генерации. Источниками могут быть сотрудники различных служб, каналы сбыта, конкуренты, правительственные службы и т.д. Источники, ориентированные на рынок, выявляют возможности, основанные на желаниях и нуждах потребителей. Источники, ориентированные на НИОКР, выявляют возможности создания новых товаров на основе фундаментальных исследований. Методы генерации идей включают мозговую атаку, gар -метод, опросы и т.д. Целесообразен возможно более широкий сбор любых идей без их немедленной критики. 2.4. Фильтрация идей После того как фирма выделила идеи потенциальных товаров, она должна провести их фильтрацию, чтобы исключить из рассмотрения неподходящие. Как правило, такая фильтрация производится на первичной стадии с помощью балльных оценок идей по соответствующим фильтрующим перечням, где содержатся критерии оценок идей, их веса и пределы балльных оценок. Пример перечня таких критериев приводится ниже. Критерии фильтрации
2.5. Проверка концепции и экономический анализ Фирма должна иметь обратную связь с потребителями по поводу своих идей и продукции. Проверить концепцию - значит представить потребителю предлагаемый товар и оценить его отношение к нему и намерение сделать такую покупку. Потребителю представляется письменная или устная информация, и его просят ответить на следующие вопросы:
Экономический анализ оставшихся идей продукции гораздо больше детализован, чем этап фильтрации. Это связано с тем, что следующий этап - дорогая и длительная разработка продукции. Поэтому действенное использование экономического анализа необходимо, чтобы вовремя устранить малоэффективные варианты. Экономический анализ должен включать:
Фильтрация идей, оценка концепции, экономический анализ - это, по существу, инструментарий оценки и отбора проектов, который будет подробно рассмотрен в соответствующей главе. 2.6. Разработка и испытание нового продукта Концепция продукта и разработанный продукт - совершенно разные вещи. Между ними годы и огромные издержки на НИОКР и подготовку производства. Подробно эти процессы будут описаны в соответствующих главах. Однако все ранее изложенное свидетельствует, что инновация, как правило, результат сложного взаимодействия различных сфер деятельности фирмы. Это иллюстрируется рис. 8.
Рис. 8. Инновация как результат взаимодействия сфер НИОКР, маркетинга, производства и управления После разработки нового работоспособного продукта необходимы инвестиции в собственно производство. Чтобы снизить риск, необходимы соответствующие испытания продукта, в том числе и потенциальными потребителями. В идеале процесс тестирования не должен ограничиваться определением выходных параметров. Для того, чтобы окупились затраты на разработку и производство продукта, он должен сохранять свое преимущество на рынке для повторных покупок в течение определенного времени. Следует проверить ремонтопригодность и удобство сервиса изделия, а также его надежность при длительной работе. Реализм - драгоценная черта бизнеса по разработке продуктов. Считается, что разработчику важны четыре оценки: испытание, первое повторение, привыкание, частота покупок. 2.7. Пробный маркетинг Это идеальное средство для оценки продукта, продвижения и распределения в небольших масштабах. Области проведения пробного маркетинга могут быть различными: 1. Телевизионный ареал. В этом случае проводятся комплексные кампании с использованием телевизионных коммерческих каналов и каналов распределения; 2. Испытуемый город; 3. Локальная область (например, ближайшие к супермаркету кварталы); 4. Испытуемые учреждения (для промышленного маркетинга). При проведении пробного маркетинга должны быть получены ответы на следующие вопросы:
Решение о том, как долго продолжать работу или оканчивать ее при пробном маркетинге (т.е. остановиться на полученных результатах или продолжить работу, стремясь их уточнить, уменьшить риск) является, наверное, главным. В то же время такой пробный маркетинг может быть использован для испытаний специфических элементов маркетингового комплекса (версий продукта, особенностей его продвижения, окружающей среды, каналов распределения и цены и т.д.). В этом случае могут быть использованы еще меньшие объемы пробного маркетинга. Ясно, что пробный маркетинг дает дополнительную информацию в преддверии выпуска и может повысить его надежность. Следует отметить, что даже на этой поздней стадии половина товаров не проходит по критерию годности для национального выпуска. Однако все способы пробного маркетинга имеют определенные недостатки:
2.8. Обобщающие выводы по главе 2 Любой ввод нового товара на рынок - рискованное мероприятие. Отмечено, что инновации достигают успеха в 65% случаев (по опросам 700 английских компаний), хотя только 10% из них были по-настоящему новыми, а 20% - лишь новыми версиями товаров. Таким образом, введение нового товара на рынок - род статистической игры. Большое число промежуточных этапов перед выводом товар на рынок призвано снизить риск, однако на все это требуется время. Инновационный процесс - сложное комплексное организационное мероприятие с информационно насыщенными этапами принятия самых разнородных решений. Концептуальная организация такого процесса, изложенная выше, позволяет снизить риск ошибочных решений и издержки в процессе выполнения НИОКР и организации серийного производства нового товара. В дальнейших главах реализация отдельных этапов инновационного процесса будет рассмотрена более подробно. В качестве обобщения маркетингового подхода к НИОКР и выводу продукта на рынок приводится рис. 9.
3. СТРАТЕГИЯ НИОКР 3.1. НИОКР как бизнеc Компания, которая вкладывает большие средства в создание новых продуктов, вовлечена в два вида деятельности ("два бизнеса"):
Во втором случае коммерческая значимость может быть реализована посредством продажи документации, лицензий, "ноу-хау", инжениринговых услуг. В отдельных случаях на основе полученных результатов может быть произведена диверсификация деятельности компании. Концепция двойного бизнеса иллюстрируется рис.10.
Рис. 10. Инвестиции в НИОКР и коммерческие результаты НИОКР Бизнес 1 предполагает выделение ресурсов на НИОКР, большая часть которых расходуется на выполнение проектов, непосредственно связанных с реализацией стратегии корпорации (проекты 1-6). Часть средств выделяется на усмотрение руководителя НИОКР и используется для финансирования индивидуальных или неясных по результатам исследований. Проекты X, Y, Z - расширение формальной программы НИОКР или новые неожиданные возможности, появившиеся в ходе выполнения основной программы. Проекты А-Д возникают как результат исследований по дополнительным фондам. В приведенном на рис.10 примере проекты Х и А, хотя и не планировались первоначально, но при текущем пересмотре тематики НИОКР могут быть включены в планы. Проекты Y и Б перспективны при расширении стратегических планов корпорации. Проекты Z, В создают основу бизнеса 2. Проекты Г, Д отвергаются ввиду отсутствия коммерческого эффекта. 3.2. Стратегия НИОКР и стратегический менеджмент фирмы как субъекта рынка Одной из задач стратегического менеджмента корпорации является управление инновациями в ней прежде всего посредством решений по отбору проектов и распределению ресурсов. При этом необходимо обеспечить комплексный процесс принятия решения от верхнего уровня менеджмента до уровня управления НИОКР (2.2 в [5]). На практике ресурсы фирмы всегда ограничены и проекты конкурируют между собой по частным видам ресурсов (оборудование, кадры разработчиков, материалы и самый дефицитный ресурс - эффективное управление). Поэтому максимизация вклада всего портфеля НИОКР может достигаться и за счет отказа от проекта, заманчивого самого по себе. Стратегия НИОКР на основе максимизации ожидаемой финансовой отдачи учитывает только этот фактор, что приводит к ориентации на определенную технологию, рынок, минимальный риск. Ясно, что такая стратегия может быть успешной лишь в краткосрочной перспективе. Процесс принятия решений относительно НИОКР на уровне корпорации иллюстрирован рис.11. Реализация такого процесса должна включать постоянный диалог между высшим руководством фирмы и руководством НИОКР. Стратегия НИОКР играет для сферы НИОКР в компании примерно ту же роль, что стратегия корпорации для компании в целом (табл. 3.1).
Рис. 11. Процесс принятия решений относительно НИОКР Таблица 3.1 Сравнение функций стратегий корпорации и НИОКР
3.3. Стратегический менеджмент инноваций Как известно [5], идентификация или определение стратегии - лишь начальный этап стратегического менеджмента. В целом стратегический менеджмент инноваций может быть представлен схемой на рис. 12.
Практически фирма может применять различные типы стратегии. Наступательная стратегия с высоким риском, высокой окупаемостью требует определенной квалификации, способности видеть новые рыночные перспективы и уметь быстро реализовать их в продуктах. Неспособность небольших фирм к осуществлению крупных НИОКР позволяет предположить, что этим фирмам не хватает обычно ресурсов для реализации наступательной стратегии. Однако в целом ряде технологических отраслей мелкие компании могут сконцентрироваться на одном проекте, в то время как крупные фирмы распределят свои усилия на ряд проектов. Рыночный лидер обречен занимать наступательную позицию, ибо его позиции могут быть подорваны при появлении научно-технического нововведения. Защитная стратегия предполагает невысокий риск и пригодна для компаний, способных получить прибыль в условиях конкуренции, поддерживая норму прибыли посредством низких издержек. Такую стратегию можно рекомендовать компании, более сильной в маркетинге, чем в НИОКР. Однако и такой компании необходим достаточный научно-технический потенциал, чтобы быстро ответить на инновации конкурентов. Лицензирование иногда называют поглощающей стратегией. Даже самые крупные компании не могут создать полного фронта НИОКР. Лицензирование может быть и поддерживающей стратегией для небольших фирм, которым трудно реализовать внедрение крупного нововведения. Альтернативой приобретению технологий может быть привлечение специалистов. Успешность применения той или иной стратегии НИОКР зависит от стадии жизненного цикла отрасли (табл. 3.2). Таблица 3.2 Вероятность успешного применения стратегии
Диверсифицированные компании, как правило, производят продукты, находящиеся на разных стадиях своих жизненных циклов. Рыночные позиции этих компаний тоже различны. Матричная техника анализа портфеля таких компаний может использоваться при выборе стратегии НИОКР. В частности, в [13] приведен вариант использования для этих целей матрицы "Дженерал Электрик - Мак Кинсей" (рис. 13).
Рис. 13. Рекомендуемые стратегии НИОКР в диверсифицированной корпорации в зависимости от сектора расположения бизнеса 3.4. Обобщающие выводы по главе 3 1. Специфика НИОКР, как бизнеса, состоит в том, что часто возникает ситуация "двух бизнесов": получение и использование в интересах корпорации плановых результатов НИОКР, а также побочных результатов, имеющих коммерческое значение. 2. Стратегия НИОКР должна строиться на основе общей стратегии бизнеса фирмы. Однако стратегия НИОКР имеет собственное поле применения и свои специфические особенности. 3. Важнейшим элементом стратегии НИОКР в корпорации является выбор и управление портфелем НИОКР в условиях ограниченности ресурсов корпорации. 4. Фирма в своей деятельности может использовать наступательную стратегию НИОКР (разработка новых продуктов и технологий), защитную стратегию (улучшение продуктов и технологий), смешанную стратегию, а также лицензирование. Выбор стратегии зависит от рыночного положения фирмы, ее конкурентного статуса, стадии жизненного цикла отрасли и характера портфеля СЗХ (для диверсифицированной фирмы). 4. ОТБОР И ОЦЕНКА ПРОЕКТОВ НИОКР 4.1. Содержание и процедура оценки и отбора Оценка проекта - важнейшая процедура на начальной стадии проекта, но она также представляет собой непрерывный процесс, предполагающий возможность остановки проекта в любой момент в связи с появляющейся дополнительной информацией. Таким образом, это одна из процедур оперативного управления НИОКР. Она должна основываться на четком формальном базисе и включать следующие компоненты:
Основные факторы, которые должны быть учтены в процедуре оценки:
В главе 2 упоминалось об основных методических подходах к получению количественных оценок по этим факторам (фильтрация идей проектов, проверка концепции, экономический анализ, прогнозирование). На первом этапе выбора проекта для внедрения решается вопрос: может ли фирма позволить себе внедрение нового продукта или технологии? Здесь определяющими являются критерии технического достоинства программы и ее соответствия специализации фирмы. На следующем этапе менеджеры решают вопросы: должны ли мы это внедрять и, наконец, почему надо делать это именно таким образом? Какие бы изощренные методы оценки проектов ни использовались компанией, в конечном счете решение должен принимать ее высший менеджмент. Он должен очень чутко чувствовать баланс между стабильностью, которую гарантирует доведение до совершенства традиционного управления традиционной технологией, и усилиями по внедрению новейшей технологии. Менеджеру при принятии решения о судьбе проекта следует иметь в виду несколько типичных заблуждений [7]: Заблуждение 1 . При выборе новой технологии менеджеры исходят из ее привлекательности и грандиозных возможностей, которые она сулит. На самом деле надо исходить из того, насколько она будет удовлетворять требованиям потребителей. Заблуждение 2 . При выборе новой технологии необходимо исходить из анализа теоретической рациональности и целесообразности ее внедрения. На самом деле надо учитывать сильное влияние настоящей практики и прошлого опыта. Заблуждение 3. Все усовершенствования и нововведения в конце концов будут восприняты, внедрены и переняты. На самом деле надо сознавать, что большинство из них не окончится и не должно окончиться успехом. Помните: если менеджер будет все время говорить нововведениям "нет", то в большинстве случаев он окажется прав, но достаточно нескольких ошибок, чтобы фирма потерпела крах. Заблуждение 4. Технологические усовершенствования обладают самостоятельной ценностью. На самом деле только потребитель определяет их истинную ценность. Заблуждение 5 . Выигрывают принципиально новые технологии. На самом деле новое не всегда значит лучшее . Заблуждение 6 . Перспективы применения новой технологии предопределяют ее успешное внедрение. На самом деле решающим фактором часто является инфраструктура, необходимая для ее внедрения. Основные группы критериев, которые должны быть приняты во внимание при оценке и отборе проектов, относятся к следующим областям:
4.2. Критерии, связанные со стратегией и политикой корпорации К ним относят:
Аспекты стратегического планирования и образа корпорации изложены в [5], а также в главе 3 настоящего пособия. Отбор проектов с высокой степенью риска, особенно если они потребуют больших инвестиций, обычно нежелателен в компаниях, где руководство отличается высоким уровнем непринятия риска. Это относится в большей мере к коммерческому риску, чем к техническому, поскольку последний можно ограничить, например, сужением области НИОКР. Риск, присущий всему портфелю НИОКР, должен быть главной заботой стратегии НИОКР и отражать позицию корпорации. Но для этого следует оценить частные риски всех проектов, выполненных в корпорации. Наступательная стратегия, как правило, связана с большим риском, чем защитная, но и сулит большую потенциальную прибыль. Процесс планирования НИОКР должен вести к количественной оценке осознанного риска, но было бы ошибкой полагать, что он способен предугадать любую случайность. Отношение высшего руководства к нововведениям тесно связано с его отношением к риску. Инноваторы, как правило, одновременно и те, кто охотно идет на риск. Следует отметить заблуждения в обычной аргументации против нововведений:
Временной аспект касается краткосрочных и долгосрочных оценок. Цели корпорации обычно ориентированы на длительную перспективу, однако иногда их следует подчинить краткосрочным интересам. 4.3. Маркетинговые критерии К ним относят:
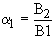
Рыночные потребности, как и другие маркетинговые характеристики, переменчивы. Поэтому наличие ярко выраженной рыночной потребности при отборе проекта не означает, что рыночная перспектива гарантирована. Более того, нововведение может найти свой рынок там, где ранее и не предполагалось. Варианты, из которых выбираются первоначальные области применения, иллюстрируются рис.14.
Рис. 14. Варианты нововведений Вариант 1 реализуется довольно редко. Чаще надо выбирать между вариантами 2 и 3. Проблема исследователя - определение характеристик новой продукции и их систематическая увязка с потенциальными сферами использования. Оценка перспективности рынка производится с помощью рейтинговых оценок перспектив его роста, рентабельности бизнеса в нем и его нестабильности [4, гл.13]. Объем продаж, который, возможно, будет обеспечен выпуском нового продукта, следует оценивать по перспективам его роста [4, гл.13], а также с помощью прогнозирования тенденций потребления подобной продукции и изменений в потребительском потенциале. Временной аспект рыночного плана прежде всего связан с необходимостью балансировки отдельных видов бизнеса компании. В идеале необходимо, чтобы новые продукты выходили на рынок в сроки и в количествах, диктуемых требованиями маркетинга. По мере продвижения разработки можно делать все более точные оценки возможной даты выхода нового продукта на рынок. Все эти вопросы следует решать исходя из состояния портфеля СЗХ фирмы и портфеля НИОКР. Новые продукты могут дополнять существующий ассортимент или полностью его замещать. Абсолютно новые продукты расширяют ассортимент, увеличивают размеры реализации и прибыль, служат условием роста корпорации. Однако при этом не следует забывать о задачах развития текущего ассортимента, тем более что существующий продукт обычно пользуется доверием покупателей и концентрирует в себе инвестиции компании. Производство же нового продукта связано с неизбежной неопределенностью. Следует, однако, учесть и то обстоятельство, что жизненный цикл существующих продуктов рано или поздно закончится и их все равно придется заменять. Объем продаж, представляющий собою одобрение потребителем продукции, выступает на самом деле в виде функции от цены предложения. Прибыль от реализации единицы продукции есть разность между ценой и издержками на изготовление. Если издержками фирма-производитель, в принципе, может полностью управлять, то при установлении цены следует учитывать уровень цен на конкурирующие продукты. Принципиальные пределы установления цены фирмой на новую продукцию включают себестоимость выпускаемой продукции в качестве нижнего предела цены, а верхний предел определяется ценой потребления, которая делает продукт для потребителя привлекательным по сравнению с имеющимися на рынке. Таким образом, верхний предел цены прямо определяется показателями технического качества продукта (его производительностью, качеством, надежностью, эксплуатационными затратами на его использование и т.д.). Выбирая цену вблизи нижнего предела, фирма-производитель увеличивает привлекательность товара, а в случае цены, приближающейся к верхнему пределу, фирма увеличивает свою прибыль, но уменьшает экономическую привлекательность товара для потребителя. По сути дела, цена для потребителя должна быть инструментом оценки экономического эффекта от использования продукции с учетом стоимости ее потребления (цена приобретения плюс текущие расходы за все время эксплуатации). Таким образом, фирма не может оценить проект по фактору ценообразования без учета рыночной ситуации и прогнозов допустимой цены потребления для потенциальных покупателей. Эта проблема тесно связана и с оценкой возможной степени конкуренции в момент начала коммерческой реализации товара, а не сегодняшней конкуренции, как это часто делается. Каналы распределения - один из факторов, который нельзя игнорировать при оценке проекта. Если появится необходимость в новых каналах распределения, то затраты могут существенно возрасти. Точно также следует оценить стартовые затраты по выводу товара на рынок. В первую очередь это затраты на начальное продвижение товара на рынок. 4.4. Научно-технические критерии Уже при рассмотрении в качестве критерия оценки проекта ценообразования была четко обозначена неразрывность технической и экономической сторон проекта. В НИОКР следует говорить о едином процессе технико-экономического проектирования. Согласованность проекта со стратегией НИОКР обеспечивается посредством отбора проектов с учетом сбалансированности портфеля НИОКР, сформированного в интересах достижения целей корпорации. Технический успех любого проекта есть достижение проектных технических показателей в рамках выделенных финансовых средств и в требуемые сроки. Если существуют какие-либо сомнения относительно конкретного аспекта проекта, то обычным решением является разработка параллельных подходов. Обычно на этапе представления проектных предложений на экспертизу вероятность того, что будет получено по крайней мере одно приемлемое решение, достаточно велика. Оценки стоимости разработки и времени, необходимого для ее завершения, наиболее важны. Эти показатели выступают в качестве меры объема научно-технических ресурсов, вовлекаемых в проект, и длительности их использования. Важно не только наличие общего ресурса (финансирования), но и потребность в частных ресурсах и их наличие (специалисты высшей квалификации, площади, производственные рабочие, лабораторное оборудование, производственные мощности, информационное обеспечение и т.д.). Недостаток того или иного конкретного ресурса может стать решающим фактором в процессе выбора проекта. SWOT-анализ, проведенный компанией, даст ей информацию об основных отличительных преимуществах, которые следует использовать в разработке, чтобы сделать ее конкурентоспособной. К их числу могут относиться и частные виды ресурсов, к распределению которых между проектами следует подойти с особым вниманием. Следует также использовать в качестве критерия принятия решения степень влияния проекта на будущие разработки, например, следующее соображение: создаст ли этот проект базу для будущих разработок (в технологии, научном знании, методике решения конкретных задач, стандартизации и т.д.). Это будет стимулировать возможные будущие синергетические эффекты. 4.5. Производственные критерии Внедрение нового продукта в производство редко проходит без трудностей. В первом приближении их можно разделить на две группы:
Задержки вследствие обнаруживающихся трудностей приобретения нового оборудования, набора или подготовки персонала, проблем инженерного обслуживания оказывают воздействие на финансовое состояние и должны учитываться при оценке проекта. Оценивая проект, важно идентифицировать те его характеристики, которые могут вызвать определенные проблемы у производителя. Окончательные издержки производства зависят от цен на материалы и комплектующие изделия, применяемых технологических процессов, капитальных вложений и организации производства. Эти издержки определяются и объемом продаж. Таким образом, к числу основных производственных факторов, обеспечивающих успех проекта, относят:
4.6. Организация оценки проекта Большая часть критериев оценки не относится к научно-технической области. Инновации (успешные и неуспешные) распространяются на деятельность всей компании и становятся частью ее экономической деятельности. Эффективность решений по оценке проектов можно обеспечить, лишь вовлекая в этот процесс тех, кого затрагивают факторы оценок. В группу, производящую оценку проекта, целесообразно включать:
Такие процедуры, как оценка проектов, являются частью операционных взаимодействий в рамках структуры фирмы. Однако такие процедуры требуют и хороших межличностных и межгрупповых отношений. Процедура оценки, там, где она осуществляется эффективно, может стать важным элементом инновационного процесса, позволяя учесть мнения руководителей других подразделений фирмы (кроме НИОКР) на ранних стадиях НИОКР. Это ведет к усилению их ответственности и облегчает переход проекта от стадии НИОКР к производству и маркетингу. Простейшим методом оценки является составление перечня всех критериев. Один из таких перечней приведен в разделе 2. 4. Это перечень критериев фильтрации идей. Поскольку оценка проектов является, по существу, непрерывным процессом, то по мере выполнения эти критерии детализируются и уточняются. В качестве рабочего перечня критериев такой оценки в [13] предлагается следующий: А. Критерии связанные с целями корпорации, ее стратегиями, политиками и ценностями: 1. Совместимость проекта с текущей стратегией компании и ее долгосрочными планами. 2. Допустимость изменений в стратегии фирмы с учетом потенциала проекта. 3. Согласованность проекта с представлениями о компании. 4. Соответствие проекта отношению корпорации к риску. 5. Соответствие проекта отношению корпорации к нововведениям. 6. Соответствие временного аспекта проекта требованиям корпорации. Б. Рыночные критерии: 1. Соответствие проекта четко определенным потребностям рынка. 2. Общая емкость рынка. 3. Доля рынка, которую сможет контролировать корпорация. 4. Жизненный цикл продукта в виде товара. 5. Вероятность коммерческого успеха. 6. Вероятный объем продаж. 7. Временной аспект рыночного плана. 8. Воздействие на существующие продукты. 9. Ценообразование и восприятие продукта потребителями. 10. Позиция в конкуренции. 11. Соответствие продукта существующим каналам распределения. 12. Оценка стартовых затрат. В. Научно-технические критерии: 1. Соответствие проекта стратегии НИОКР. 2. Допустимость изменений в стратегии НИОКР с учетом потенциала проекта. 3. Вероятность технического успеха проекта. 4. Стоимость и время разработки проекта. 5. Патентная чистота проекта. 6. Наличие научно технических ресурсов для выполнения проекта. 7. Возможность выполнения будущих НИОКР на базе данного проекта и новой технологии. 8. Воздействие на другие проекты. Г. Финансовые критерии: 1. Стоимость НИОКР. 2. Вложения в производство. 3. Вложения в маркетинг. 4. Наличие финансов в нужные моменты времени. 5. Влияние на другие проекты, требующие финансовых средств. 6. Время достижения точки безубыточности и максимальное отрицательное значение расходов. 7. Потенциальный годовой размер прибыли. 8. Ожидаемая норма прибыли. 9. Соответствие проекта критериям эффективности инвестиций, принятым в компании. Д. Производственные критерии: 1. Новые технологические процессы. 2. Достаточная численность и квалификация производственного персонала. 3. Соответствие проекта имеющимся производственным мощностям. 4. Цена и наличие материалов. 5. Производственные издержки. 6. Потребности в дополнительных мощностях. Е. Внешние и экономические критерии : 1. Возможные вредные воздействия продуктов и технологии. 2. Влияние общественного мнения. 3. Текущее и перспективное законодательство. 4. Воздействие на уровень занятости. Все группы критериев, кроме финансовых, рассмотрены выше. Финансовые критерии будут освещены в следующей главе. Использование любого формализованного метода оценки не является математическим расчетом потенциальной или ожидаемой эффективности проекта, а имеет лишь цель определить его выбор. Каждая компания сама выбирает форму и критерии оценки. Рейтинговые оценки имеют ряд преимуществ:
Кроме оценок по частным критериям необходимо установить рейтинговые веса групп факторов и отдельных факторов, а далее осуществить свертывание всех оценок в одну по выбранной методике (например, аддитивным или мультипликативным образом). Более подробно получение интегральной технической оценки и интегральной экономической оценки технических систем будет рассмотрено ниже. 4.7. Обобщающие выводы по главе 4 Рассмотрен широкий спектр факторов, влияющих на успех инноваций. Многие из них количественно трудно определимы и выдвигают на первый план "портфельный" подход к рассмотрению НИОКР, производства, маркетинга и финансовых вопросов. Четко определена необходимость комплексной оценки в течение всей работы над проектом с участием служб всех сфер деятельности фирмы. Анализ должен исходить из того, что:
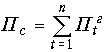
5.1. Финансовые критерии оценки проектов Прежде всего важно четко различать окончательную эффективность проекта и затраты компании до того момента, когда проект начнет давать отдачу. Высокая оценка окончательной эффективности проекта может отвлечь внимание от истощения финансовых ресурсов компании ввиду затрат на разработку и внедрение, которые состоят из затрат на НИОКР, включая создание опытного образца, капитальных вложений в производственные мощности, затрат на подготовку производства на серийном заводе, а также стартовых рыночных затрат. Кривая на рис.3 отражает кумулятивные затраты на реализацию проекта. Крайне важны не только размер отвлеченных средств, но и время их инвестирования. Наличие финансовых ресурсов для реализации проекта НИОКР зависит от состояния компании, определяемого всей ее деятельностью, всеми затратами и доходами. Поэтому денежные потоки компании, в том числе и при реализации проекта, должны оцениваться с максимально возможной точностью. Такой анализ может выявить следующее:
Ни одна из инвестиционных возможностей не должна рассматриваться изолированно от всего портфеля инвестиций (на диверсификацию компании, расширение и модернизацию производства, НИОКР). Портфель НИОКР постоянно меняется. Его содержание всегда зависит от прошлых решений, однако балансировка требует появления новых проектов. 5.2. Финансовый анализ в процессе НИОКР При финансовом анализе инвестиций в промышленные мощности и в НИОКР можно отметить следующее различие. Финансовая информация в случае принятия решения, например, о строительстве завода более надежна, чем при решениях по большинству научно-технических проектов, особенно на ранних этапах. С другой стороны, НИОКР имеют то преимущество, что их обычно можно прекратить с меньшими финансовыми потерями. В процессе разработки проекта имеют место определенные "контрольные точки":
В случае положительного решения в каждой "контрольной точке" выделяются соответствующие финансовые ресурсы. Поэтому до перехода к следующей фазе проекта должна осуществляться его переоценка, т. е. финансовый анализ. При этом снижение технической неопределенности - лишь одна сторона такого уточнения. Другая цель - уменьшение экономической неопределенности проекта, его рыночной будущности. При определенных обстоятельствах для крупных проектов стоимость разработки может выступать в качестве решающего фактора. В таких случаях требуются более точные оценки, и, следовательно, необходимо сосредоточить усилия на получении необходимой информации. Рассмотрим несколько конкретных ситуаций. Для определенного круга сложных технических изделий характерны высокий уровень затрат на НИОКР и небольшое количество изделий на стадии производства. В этом случае может оказаться желательным уменьшение общих затрат на НИОКР за счет некоторого понижения технического уровня изделий ("лучшее - враг хорошего"). Однако подобное снижение затрат на НИОКР может привести к увеличению удельных издержек производства. Ситуация иллюстрируется рис.15, где вариант 1 - высокие затраты на НИОКР, низкие удельные производственные издержки; вариант 2 - сниженные затраты на НИОКР и более высокие удельные производственные расходы. Очевидно, что при сравнительно небольших объемах выпуска выгоднее вариант 2 финансовой политики. При ориентации на создание продукта с коротким жизненным циклом (например, при прогнозе появления нового технического принципа) финансовый успех в большей мере будет зависеть от удлинения жизненного цикла товара за счет его более быстрой разработки и внедрения на рынке. Таким образом, могут оказаться целесообразными дополнительные затраты на ускорение НИОКР. При разработке продукта, предназначенного для рынка, занятого уже освоенным продуктом, выпускаемым конкурентом, успех будет зависеть или от разработки более дешевого или более качественного продукта. Однако априори неясно, что предпочтет потребитель. Поэтому необходимы дополнительные затраты на маркетинговые исследования, поскольку правильное решение имеет ключевое значение для успеха продукта. Следует отметить, что повышение технического уровня, как правило, сопровождается возрастанием издержек производства.
Рис.15. Чувствительность прибыли к стоимости НИОКР для высокотехнологичных проектов с низким объемом продаж Таким образом, финансовый анализ может рассматриваться как непрерывный процесс в рамках НИОКР. Реалистичный подход к проблеме базируется:
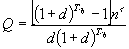
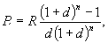
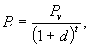
5.3. Оценка эффективности инвестиций в НИОКР Как правило, выполнение проектов НИОКР и подготовка производства растягиваются на значительные сроки. Это вызывает необходимость сопоставления денежных вложений, произведенных в разное время, то есть дисконтирования. С учетом этого обстоятельства номинально одинаковые по сумме издержек проекты могут иметь разную экономическую значимость. Проект, требующий больших издержек в начальный период своего осуществления, будет по этому фактору менее привлекательным, чем проект, инвестиции в который равномерно распределены во времени или даже сдвинуты в основном на более поздние сроки. Для НИОКР типичным временем приведения при дисконтировании является время начала проекта, а для проекта, включающего производство, обычно все затраты и доходы приводятся к моменту начала серийного производства. Напомним основные формулы дисконтирования (курс финансового менеджмента): а) настоящая стоимость будущих денежных потоков
где: Рv - будущая стоимость денежных потоков; в - учетная ставка; t -годы (время дисконтирования); б) будущая стоимость настоящего денежного потока
в) настоящая стоимость будущего равномерного денежного потока
где R - величина годового денежного потока; n - число лет инвестиций; г) настоящая стоимость будущего равномерного денежного потока с учетом инфляции
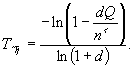
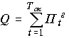
где Ro - величина денежного потока в первый год; i - годовой процент инфляции. Для оценки эффективности инвестиций могут применяться статические и динамические критерии прибыльности. Статические критерии не учитывают дисконтирования. Они просты в использовании и могут применяться для краткосрочных проектов и грубых оценок. В этом случае критериями эффективности будут прибыль от проекта за весь срок производства разработанного продукта и статический период окупаемости средств, затраченных на НИОКР и подготовку производства. Динамические критерии учитывают временное изменение стоимости денег путем дисконтирования. Критериями принятия решения при этом будут:
Формулы для расчета прибыли и прибыли, отнесенной к настоящему моменту, даны в табл. 5.1. Таблица 5.1 Формулы расчета прибыли при статических и динамических критериях эффективности инвестиций
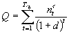
В табл.5.1: t - текущий год; Пг - годовая прибыль при регулярном денежном потоке; Пt - годовая прибыль в t-м году; в - учетная ставка; n - число лет реализации продукции. Статические и динамические сроки окупаемости инвестиций можно получить как решения следующих уравнений:
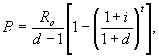
где Q - объем инвестиций; Ток - срок окупаемости инвестиций. Для случаев регулярного денежного потока можно получить явные выражения для срока окупаемости инвестиций. При статическом критерии
При динамическом критерии
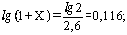
Рассмотрим пример: Q=1000 усл.ед., d=10%, Пг=200 усл.ед. При статическом критерии срок окупаемости
при динамическом критерии
При нерегулярном денежном потоке значения срока окупаемости могут быть получены табличным или графическим методами решения с использованием соответствующего программного обеспечения. Внутренний темп окупаемости - реальные среднегодовые проценты отдачи инвестиции. Сравнение внутреннего темпа окупаемости с банковской учетной ставкой позволяет оценить эффективность капиталовложений. Рассмотрим конкретный пример использования оценок эффективности инвестиций для выбора варианта проекта НИОКР - производство нового изделия (см. рис. 3). Предположим, что имеется вариант проекта, финансовая сторона которого отражена в табл. 5.2. Таблица 5.2 Денежные потоки варианта проекта НИОКР - производство продукта
Учетная ставка принята равной d=10%. Все денежные потоки приведены в условных единицах. Временем приведения при дисконтировании является начало серийного производства и коммерческой реализации нового изделия. Используя ранее приведенные формулы, легко рассчитать, что
Внутренний темп окупаемости Х найдем из следующих соотношений:
Х=0,31. Приведенные соотношения явно показывают необходимость дисконтирования при оценке подобных проектов. Степень экономической эффективности проекта по сравнению с учетной ставкой (10%) определяет среднегодовую рентабельность проекта (здесь 21%). Предположим, у разработчиков проекта возникло альтернативное предложение: улучшить некоторые технические характеристики изделия, что даст возможность увеличить его рыночную цену и соответственно увеличить годовую прибыль на 10% (220 вместо 200). Цeной улучшения технических характеристик проекта является необходимость продления ОКР на 0,5 года и дополнительные инвестиции в 50 единиц. Денежные потоки по этому варианту отражены в табл.5.3. Для удобства сравнения время приведения при дисконтировании сохранено. Таблица 5.3 Денежные потоки при варианте II
Соответствующие финансовые показатели варианта II:
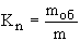
Таким образом, вариант II не выдерживает сравнения с вариантом I по финансовым критериям. Предположим, что принято решение совместить подготовку производства с последними этапами ОКР и тем самым начать его в прежние сроки. При этом общий объем производства увеличится и соответственно динамическая оценка кумулятивной прибыли будет приблизительно равна 350, то есть превзойдет соответствующую величину по I варианту. Динамический период окупаемости в этом случае будет 2,3 года, то есть сократится на 0,45 года, что даст возможность при достигнутом внутреннем темпе окупаемости произвести более ранние инвестиции в другие столь же прибыльные проекты и получить дополнительно еще 72 ед. прибыли. Таким образом, фактор времени играет очень существенную роль в экономической деятельности фирмы (сокращение срока НИОКР и подготовки производства не только увеличивает объем прибыли за счет коммерческой реализации дополнительной продукции, но и высвобождает средства для новых прибыльных проектов, увеличивая общую прибыль фирмы). 5.4. Учет фактора риска в финансовом анализе Любое экономическое решение предполагает риск. Это особенно характерно для решений в инновационном менеджменте, где степень будущей неопределенности принципиально высока. Всегда существует вероятность того, что проект окажется неоправданным с технической точки зрения или технически успешный проект потерпит неудачу на рынке. Если Рi - вероятность технического успеха, а Рс - коммерческого, то вероятность того, что инвестиции в проект окажутся неэффективными, равна (1 -РiРс). В случае небольших инвестиций проекты можно сравнивать только по ожидаемой величине отношения эффект-затраты, модифицированного с учетом общего риска:
где В - эффект или результат; С - издержки. Следует отметить, что фактически нет никаких более надежных методов оценки составляющих вероятностей успеха проекта, чем субъективные экспертные оценки. В этом случае экономический риск- возможные потери всей суммы инвестиций в проект. В случае крупных проектов, отвлекающих существенную часть ресурсов компании, основной риск заключается в превышении реальными издержками на НИОКР финансовых возможностей компании. Это очень распространенная причина неудач в сфере бизнеса, связанного с крупными проектами НИОКР. Такое может случиться и в том случае, когда ожидаемый показатель "эффект-затраты" остается привлекательным даже при росте издержек. Результаты анализа риска можно использовать для сравнения степеней предпочтительности проектов, например, с помощью диаграммы « Ожидаемое отношение "эффект-затраты" - ожидаемый риск» (рис. 16).
Рис.16. Оценка риска при сравнении проектов Из этой диаграммы следует, что
Заштрихованный участок отражает любые сочетания эффективности и риска, допустимые для бизнеса компании. Разумеется, все это достаточно грубые представления, позволяющие лишь ранжировать проекты:
Основные составляющие неопределенности проекта:
Анализ риска проекта при отклонении указанных экономических характеристик можно выполнить, рассчитывая чувствительность ключевых финансовых критериев оценки проекта к отклонениям этих характеристик. Если обнаруживается особая чувствительность к определенному параметру, то требуется более глубокий анализ тенденций изменения такого параметра в процессе выполнения проекта. В качестве примера рассмотрим чувствительность к изменению отдельных параметров основных экономических характеристик проекта по данным табл. 5.2. Результаты соответствующих расчетов отражены на рис.17, где на шкале абсцисс отражены отклонения параметров от номинального значения (N/N0, где N0 - номинальное значение).
Рис.17. Пример анализа риска инвестиций Как следует из рис. 17, при выходе параметров (годовая прибыль, учетная ставка, число лет производства) за определенные пределы проект теряет свою экономическую привлекательность. Если фирма считает допустимым снижение дисконтированной кумулятивной прибыли не более чем на 30%, то соответствующими границами опасного изменения параметров будут: для Пг 0,8 от номинала (N/N0=1), для в 1,4 от номинала, для n 0,8 от номинала. 5.5. Итоговые выводы по главе 5 Изучение финансовых прогнозов, сделанных при отборе НИОКР, показывает, что они неизбежно содержат достаточно серьезные ошибки. Следовательно, ценность таких прогнозов носит ограниченный характер. Тем не менее эффективность инвестиций в НИОКР зависит от финансовой результативности проектов, что делает финансовый анализ просто необходимым. Улучшения оценок можно добиться только при серьезном факторном подходе к финансовым критериям. Прежде всего следует оценить факторы, по которым проект особенно "чувствителен", и направить ресурсы на уменьшение соответствующей неопределенности. Наиболее важно превратить оценку в непрерывный процесс в течение всего времени выполнения проекта, особенно в его "контрольных точках". Еще один фактор, который требует обязательного и тщательного учета - риск. Основные направления учета риска: неопределенности отдельного проекта, неопределенности в реализации всего портфеля проектов, потенциальный риск в экономическом положении фирмы. Для долговременных проектов НИОКР обязательно использование динамических оценок экономических параметров с применением дисконтирования. Каждая фирма должна проводить специальную программу работ по повышению точности экономических прогнозов с помощью ретроспективного анализа причин ошибок, изучения поведенческих аспектов менеджмента, разработки более эффективных методов прогноза. Все это позволит создать удовлетворительный базис для расширения сферы применения количественных методов оценок, более качественной финансовой оценки проектов и, следовательно, роста эффективности затрат на НИОКР. 6. ЖИЗНЕННЫЙ ЦИКЛ ИЗДЕЛИЯ И РОЛЬ НАУЧНО-ТЕХНИЧЕСКОЙ ПОДГОТОВКИ ПРОИЗВОДСТВА 6.1. Структура жизненного цикла изделия Вернемся к рис.3. Основные составляющие жизненного цикла любого изделия следующие: 1) маркетинговые исследования потребностей рынка; 2) генерация идей и их фильтрация; 3) техническая и экономическая экспертиза проекта; 4) научно-исследовательские работы по тематике изделия; 5) опытно-конструкторская работа; 6) пробный маркетинг; 7) подготовка производства изделия на заводе-изготовителе серийной продукции); 8) собственно производство и сбыт; 9) эксплуатация изделий; 10) утилизация изделий. Стадии 4 - 7 - предпроизводственные, и их можно рассматривать как комплекс научно-технической подготовки производства. Основные параметры, характеризующие границы стадий жизненного цикла изделия, приведены в табл. 6.1. Таблица 6.1 Границы стадий жизненного цикла изделия
Основным содержанием целевых исследований в процессе управления жизненным циклом изделия являются: анализ прогнозируемого состояния объектов, определение ожидаемых и фактических результатов, оценка приоритетности в решении локальных задач, выявление предпочтительных направлений использования ресурсов. Как уже указывалось выше, при таком анализе возникают следующие вопросы:
Целесообразно в ходе управления жизненным циклом изделия опираться на систему контрольных точек цикла. На всех контрольных точках анализируют отклонения качественных и количественных параметров изделия от проектных значений по техническим и экономическим критериям и вырабатывают соответствующие решения по критерию "эффект-затраты". Количество контрольных точек (КТ) зависит от характера изделия. Можно рекомендовать следующие КТ в жизненном цикле изделия: КТ-1 - решение о начале проекта; КТ-2 - окончание технического проекта (решение о разработке рабочей документации и изготовлении опытного образца); КТ-3 - окончание ОКР (решение об изготовлении опытного образца); КТ-4 - окончание пробного маркетинга (принятие решения о начале серийного производства и коммерческой реализации изделия); КТ-5 - оценка качества серийно выпускаемой продукции (решение о повышении качества и надежности); КТ-6 - оценка необходимости обновления или модернизации продукции; КТ-7 - оценка оптимальности методов сбыта продукции; КТ-8 - оценка целесообразности и методов капитального ремонта изделий в процессе эксплуатации; КТ-9 - оценка целесообразности снятия изделия с производства; КТ-10 - снятие изделия с эксплуатации и передача его на утилизацию. 6.2. Роль научно-технической подготовки производства Как уже указывалось, проведение НИР можно рассматривать как научную подготовку производства (НПП), ОКР - как основную часть конструкторской подготовки производства (КПП) и частично технологической (ТПП), а собственно подготовку производства на серийном заводе как окончание КПП, проведение в основном ТПП, а также организационной подготовки производства (ОПП). Влияние системы подготовки производства на формирование конечного эффекта разработки, производства и эксплуатации нового изделия показано на рис. 18.
Рис. 18. Влияние системы подготовки производства на формирование конечного эффекта разработки и использования нового товара Длительности всех стадий жизненного цикла изделия коренным образом влияют на его экономическую эффективность. Особое значение имеет сокращение сроков научно-технической подготовки производства, в том числе и обеспечение определенной параллельности выполнения отдельных этапов. Для этого необходимо:
Решение первой задачи обеспечивается инженерно-техническими методами (стандартизация, унификация, обеспечение качества и надежности, применение САПР и т. д.). Решение второй задачи осуществляется путем применения планово-координационных методов. Решение третьей задачи связано с первой и состоит в использовании организационных методов (развитие технического обеспечения, автоматизации, средств планирования, функционально-стоимостного анализа, опытного производства и т.д.). 6.3. Комплексная система обеспечения качества изделия Практически в большинстве контрольных точек жизненного цикла обеспечение и оценка качества изделия - одна из первоочередных задач. Поскольку качество определяет эффективность изделия и уровень рыночной цены на него, то огромное значение приобретает комплексный подход к обеспечению качества. Качество продукции, согласно определению международного стандарта ИСО 8402 - это совокупность свойств и характеристик изделия, которые придают ему способность удовлетворять обусловленные или предполагаемые потребности. В управлении качеством продукции главным является его сопоставление с характером распределения потребностей в пространстве и времени, что и определяет эффективность изделия (рис.19). Показатели качества изделия группируются по видам и группам (рис.20). Функциональные показатели выражают те или иные потребительские свойства изделия. Показатели технологичности конструкции характеризуют те его конструктивные особенности, изменение которых влияет на уровень затрат ресурсов на разработку и изготовление и позволяет оптимизировать эти затраты. Состав основных видов обеспечения качества продукции содержит следующие группы факторов:
Рис.19. Совокупность свойств изделия, влияющих на его эффективность
Рис.20. Группировка показателей качества изделий по однородности характеризуемых свойств Комплексное использование всех этих факторов и их компонентов - основное условие успешного функционирования системы управления качеством продукции. Этот опыт обобщен в серии международных стандартов ИСО 9000, на основе которых издана серия отечественных стандартов ГОСТ 40.9000. В соответствии с этими стандартами существует тесная связь стадий жизненного цикла и качества. Это отражается в так называемой петле качества (рис.21). Под уровнем качества изделия понимаются относительные характеристики качества (или его обобщенная характеристика) по сравнению с совокупностью базовых показателей, в качестве которых используются показатели перспективных образцов, аналогов и стандартов. Под аналогом подразумевается образец серийного производства устройства, принцип действия, функциональное назначение, масштабы производства и условия применения которого те же, что и у проектируемого изделия.
Рис.21. Жизненный цикл ("петля качества") продукции по стандарту ИСО 9004 Типовая схема оценки уровня качества изделия приведена на рис. 22.
Рис.22. Схема оценки уровня качества изделий 6.4. Технико-экономическое управление надежностью изделия Показатели надежности отражают важные качественные особенности изделий. К основным свойствам, характеризующим надежность изделия, относятся:
Показатели надежности, по существу, дополняют характеристику технического эффекта, так как предопределяют длительность и вероятность или полноту появления этого эффекта при эксплуатации изделия. Например, суммарный эффект от изделия у потребителя за срок службы Тсл (в годах) при годовом эффекте в случае безотказной работы Эг составит
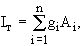
где Кэф - коэффициент сохраняемости, учитывающий степень безотказности изделия в эксплуатации. Таким образом надежность изделия - свойство, безусловно, одно из важнейших для изделия на всех этапах его жизненного цикла (кроме утилизации). С другой стороны, оно имеет четкую технико-экономическую природу. Необходимая надежность конкретного изделия определяется его назначением, и мера надежности - одна из тех характеристик, за которую платит потребитель. В то же время обеспечение необходимого уровня надежности может быть решено многими техническими приемами, реализация каждого из которых требует определенных затрат. В такой постановке возникает задача технико-экономической оптимизации надежности изделия и затрат на ее обеспечение. Критерием выбора оптимального решения при определении уровня надежности изделия служит минимум суммы приведенных затрат в комплексе "изделие-потребители-смежные звенья":
где j - число объектов комплекса, по которым инвестиции К или (и) текущие затраты (С) различны в зависимости от вариантов выполнения изделия; Ен - внутренний темп окупаемости инвестиций. Это уравнение равносильно следующему:
где: К0 - капитальные затраты на повышение надежности (снижение вероятности отказов) изделия; Предположим, таким изделием является генератор электроэнергии, поставляемый фирмой для районных электростанций. При его отказах потребителю наносится ущерб не только из-за необходимости дополнительного обслуживания и ремонта генератора, но и из-за снижения качества продукции (напряжение, частота в электросетях), недовыпуска продукции, непроизводительного расхода ресурсов при простое, необходимости иметь резервное оборудование и дополнительные запасы. В свою очередь ущерб в смежных звеньях (у потребителей электроэнергии) может быть особенно велик (им необходимо иметь соответствующие средства защиты, аварийное автономное резервное питание, запас предметов труда и т.д.). Типичная ситуация отображена на графиках рис. 23.
Рис.23. Процесс определения оптимальной надежности: YS - суммарный ущерб, Зп - цена потребления изделия Предположим, что в исходном варианте изделия показатели его надежности были на уровне Н1, а цена потребления изделия (инвестиции в него и текущие расходы) была Зп1. Изготовителем разработан модифицированный вариант изделия с повышенной надежностью Нopt, но цена его потребления Зп.opt > Зп1. В отраженной на графике рис. 23 ситуации потребителю изделия будет выгодно заплатить большую сумму за изделие с повышенной надежностью, так как при этом цена потребления изделия за вычетом суммы ущерба от отказов изделия будет минимальной. Дальнейшее повышение надежности и, следовательно, цены изделия будет невыгодно потребителю. Задача производителя изделия состоит в таком проектировании модифицированного изделия и организации его производства, чтобы обеспечить привлекательную для фирмы-изготовителя норму прибыли. Таким образом, мы еще раз убеждаемся в том, что изготовитель должен системно подойти к ценообразованию на продукцию, изучив экономические характеристики эксплуатации изделия потребителем. Технически возможны различные методы повышения надежности изделия:
По каждому из этих вариантов технологических решений должны быть рассчитаны затраты, а далее целесообразно построить диаграммы "затраты-надежность", аналогичные приведенным на рис. 23. Анализ таких диаграмм позволяет принять решение о методах реализации экономически оптимальной надежности изделия. 7. ОРГАНИЗАЦИЯ И ПОРЯДОК ВЫПОЛНЕНИЯ НИР 7.1. Виды НИР и их основные этапы Научные исследования можно разделить на фундаментальные, поисковые и прикладные (табл. 7.1) Таблица 7.1 Виды научно-исследовательских работ
Фундаментальные и поисковые работы в жизненный цикл изделия, как правило, не включаются. Однако на их основе осуществляется генерация идей, которые могут трансформироваться в проекты НИОКР. Прикладные НИР являются одной из стадий жизненного цикла изделия. Их задача - дать ответ на вопрос: Возможно ли создание нового вида продукции и с какими характеристиками? Порядок проведения НИР регламентируется ГОСТ 15.101-80. Конкретный состав этапов и характер выполняемых в их рамках работ определяются спецификой НИР. Рекомендуются следующие основные этапы НИР: 1) разработка технического задания (ТЗ) на НИР; 2) выбор направлений исследования; 3) теоретические и экспериментальные исследования; 4) обобщение и оценка результатов исследований. Примерный перечень работ на этапах НИР приведен в таблице 7.2. Таблица 7.2 Этапы НИР и состав работ на них
Окончание табл. 7.2
7.2. Информационное обеспечение прикладной НИР На стадии разработки технического задания на НИР используются следующие виды информации:
Дополнительно используется следующая информация:
На последующих этапах НИР в качестве базы в основном используется перечисленная выше информация. Дополнительно используются:
7.3. Методы оценки научно-технической результативности НИР Результатом НИР является достижение научного, научно-технического, экономического и социального эффектов. Научный эффект характеризуется получением новых научных знаний и отражает прирост информации, предназначенной для "внутринаучного" потребления. Научно-технический эффект характеризует возможность использования результатов выполняемых исследований в других НИР и ОКР и обеспечивает получение информации, необходимой для создания новой продукции. Экономический эффект характеризует коммерческий эффект, полученный при использовании результатов прикладных НИР. Социальный эффект проявляется в улучшении условий труда, повышении экономических характеристик, развитии культуры, здравоохранения, науки, образования. Научная деятельность носит многоаспектный характер, ее результаты, как правило, могут использоваться во многих сферах экономики в течение длительного времени. Оценка научной и научно-технической результативности НИР производится с помощью системы взвешенных балльных оценок. Для фундаментальных НИР рассчитывается только коэффициент научной результативности (табл. 7.3), а для поисковых работ и коэффициент научно-технической результативности (табл. 7.4). Оценки коэффициентов могут быть установлены только на основе опыта и знаний научных работников, которые используются как эксперты. Оценка научно-технической результативности прикладных НИР производится на основе сопоставления достигнутых в результате выполнения НИР технических параметров с базовыми (которые можно было реализовать до выполнения НИР). Таблица 7.3 Характеристики факторов и признаков научной результативности НИР
Таблица 7.4 Характеристики факторов и признаков научно-технической результативности НИР
В этом случае коэффициент научно-технической результативности определяется по формуле
где k - число оцениваемых параметров; Для удобства выполнения расчетов данные сводятся в табл. 7.5. Таблица 7.5 Оценка научно-технической результативности прикладных НИР
8. ПОРЯДОК ВЫПОЛНЕНИЯ И ЭФФЕКТИВНОСТЬ ОКР 8.1. Основные задачи и этапы ОКР После завершения прикладных НИР при условии положительных результатов экономического анализа, удовлетворяющего фирму с точки зрения ее целей, ресурсов и рыночных условий, приступают к выполнению опытно-конструкторских работ (ОКР). ОКР - важнейшее звено материализации результатов предыдущих НИР. Ее основная задача - создание комплекта конструкторской документации для серийного производства. Основные этапы ОКР (ГОСТ 15.001-73): 1) разработка ТЗ на ОКР; 2) техническое предложение; 3) эскизное проектирование; 4) техническое проектирование; 5) разработка рабочей документации для изготовления и испытаний опытного образца; 6) предварительные испытания опытного образца; 7) государственные (ведомственные) испытания опытного образца; 8) отработка документации по результатам испытаний. Примерный перечень работ на этапах ОКР отражен в табл.8.1. Таблица 8.1 Примерный перечень работ на этапах ОКР
Окончание табл. 8.1
8.2. Философия и логика проектирования Проектирование - комплекс мероприятий, обеспечивающих поиск технических решений, удовлетворяющих заданным требованиям, их оптимизацию и реализацию в виде комплекта конструкторских документов и опытного образца (образцов), подвергаемого циклу испытаний на соответствие требованиям технического задания. Любое современное сложное техническое устройство есть результат комплексного знания. Проектировщик должен знать маркетинг, экономику страны и мира, физику явлений, многочисленные технические дисциплины (радиотехнику, вычислительную технику, математику, машиностроение, метрологию, организацию и технологию производства и т.д.), условия эксплуатации изделия, руководящие технические документы и стандарты. Кроме того, следует учитывать: особенности и требования реальной жизни, коллектива, чужой опыт, умение получать и оценивать информацию. Не последним требованием к проектировщику является комплексность мышления, умение работать с большим числом организаций. Особенно это умение необходимо разработчику изделия, входящего в более сложный комплекс (например, радиостанции для судна, самолета) или связанного с другими системами (по выдаче данных, питанию, управлению и т.д.). В качестве иллюстрации рассмотрим типичный порядок разработки и освоения новой техники в интересах конкретного ведомства (Министерство обороны, геологические ведомства, Агропром и т.д.), см. также табл.8.1:
И разработчик (НИИ, КБ), и завод-изготовитель непрерывно совершенствуют изделие по мере накопления опыта его эксплуатации. Логическая модель принятия решений разработчиком может быть изложена следующим образом. Множество технических решений, удовлетворяющих i-му ограничению, обозначим Аi. Тогда множество допустимых по n ограничениям технических решений определится как пересечение множеств
При проектировании любой системы можно установить ее входные и выходные сигналы (в информационном смысле), внешние условия и критерии успешности решения. В общем смысле вход системы - реакция среды на систему, а выход - реакция системы на среду. Внешние условия могут проявляться в двух аспектах: ограничения при проектировании и набор ситуаций, в которых должна действовать система. Наиболее сложной и наименее разработанной задачей является свертка множества критериев в единый (целевую функцию). Этот вопрос будет рассмотрен позднее. Выбор конкретных технических решений математически представляет задачу оптимизации, для решения которой могут использоваться известные методы теории операций (прямое вычисление, классический метод дифференцирования, метод множителей Лагранжа, вариационное исчисление, численные методы поиска, линейное и нелинейное программирование, принцип максимума Понтрягина). 8.3. Интегральный технический показатель качества изделия Как уже указывалось в главе 6, стандарт ИСО в качестве метода оценки качества нового изделия рекомендует сравнение его характеристик с соответствующими характеристиками аналога. Естественно, валидность оценки зависит от правильности выбора аналога. Прежде всего следует выбрать аналог, наиболее близкий по функциональному назначению, присутствующий на рынке сбыта с устойчивой рыночной ценой и известными технико-экономическими характеристиками. Если проектируемое изделие по своему функциональному назначению заменяет несколько существующих изделий, то в качестве аналога используется их совокупность. Оценка уровня качества разрабатываемых изделий производится на основе сравнения основных групп технико-эксплуатационных параметров: назначения, надежности, технологичности, унификации, эргономичности, патенто-правовых и экологических. Выбор номенклатуры показателей производится в соответствии с имеющимися материалами (стандартами, отраслевыми материалами и т.д.) или производится самим разработчиком. Обоснование такого выбора должно содержаться в отчетных материалах ОКР. Например, для разных групп радиоэлектронной аппаратуры рекомендуются разные показатели функционального назначения (табл.8.2.). Таблица 8.2 Состав показателей функционального назначения для разных групп радиоэлектронной аппаратуры (РЭА)
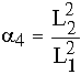
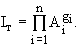
Каждому из выбранных показателей для сравнения экспертным путем должен быть определен коэффициент его весомости (важности). Как уже указывалось, форма представления комплексного показателя качества не может быть однозначно обоснована. Поэтому следует использовать требования нормативных документов или обосновать свой вариант выбора. Наиболее широко используются две основные формы интегрального показателя качества: 1) аддитивная
где gi - коэффициент весомости i-го параметра; Аi - показатель качества по i-му параметру; n - число параметров, по которым производится сравнение; 2) мультипликативная
Аддитивная форма (средневзвешенное суммирование) наиболее распространена, хотя ее недостатком является возможность "компенсации" уровня качества по одним параметрам за счет других. Кроме того, она допускает ситуацию значимости интегрального показателя качества при нулевом значении одного или нескольких параметров. В этом смысле мультипликативная форма представления предпочтительнее, хотя следует отметить, что мультипликативная форма легко преобразуется в аддитивную простым логарифмированием. При сравнении проектируемого изделия с аналогом возникает еще одна проблема - приведение сравниваемых вариантов к сопоставимому виду. Сопоставимость должна обеспечиваться:
Сопоставимость по сферам и условиям эксплуатации обеспечивается за счет выбора аналога. Сопоставимость по полезному результату необходима при различиях в используемых технико-эксплуатационных параметрах. Обычно используется приведение к сопоставимости с помощью коэффициентов приведения. По существу, они обеспечивают сопоставимость по некоторым выбранным опорным параметрам (энергетике, числу параметров и режимов, точности и т.д.). Таким образом, они свидетельствуют, например, о том, что при комплексном сопоставлении излучаемой мощности РЛС и ее надежности для последнего параметра следует использовать поток отказов, а не вероятность безотказной работы. Это связано с тем, что и излучаемая мощность, и поток отказов коррелируют с аппаратурными затратами однонаправленно и примерно в равной мере. Коэффициенты приведения к сопоставимому виду содержатся в табл. 8.3. Таблица 8.3 Коэффициенты приведения для различных параметров РЭА
8.4. Интегральный экономический показатель изделия и его технико-экономическая эффективность В качестве интегрального экономического показателя нового изделия при его сравнении с аналогом служит цена потребления. Она выражается следующей формулой:
где К - единовременные капитальные затраты (на приобретение, транспортировку, монтаж, а также сопутствующие затраты); Зэ - затраты на эксплуатацию за все время работы изделия. При длительном сроке эксплуатации, естественно, должны быть сделаны динамические оценки с применением дисконтирования. Если в результате изменения надежности нового изделия по сравнению с аналогом меняется оценка ущерба (в том числе и в смежных звеньях), это должно быть учтено. Точно также следует учесть сопутствующие положительные результаты применения нового изделия. К числу таковых следует, в частности, отнести:
Таким образом, полная формула определения интегрального экономического показателя имеет вид
где Оценку технико-экономической эффективности нового изделия удобно производить с помощью табл. 8.4. Таблица 8.4 Оценка технико-экономической эффективности нового изделия
Окончание табл. 8.4
Интегральный стоимостный показатель вряд ли может быть более или менее точно рассчитан на ранних этапах ОКР. Это связано с неполнотой конструкторской документации и отсутствием технологической документации. Единственный выход состоит в сравнении данного показателя с ценой аналогичной по элементной базе, технологии и конструкции продукции. Целесообразно при этом вычленить большие и сложные составные части изделия и оценить их отдельно. 8.5. Управление эффективностью разработки Как уже указывалось в 8.2, успешность разработки зависит от большого числа диалектически взаимосвязанных внешних и внутренних факторов. Рис. 24 наглядно показывает влияние на эффективность ОКР основных групп факторов:
Рис. 24. Основные факторы, определяющие эффективность ОКР Рис. 25 иллюстрирует кругооборот целей и задач ("круговую зависимость") рыночной деятельности, политики НИОКР, конкретных разработок и портфеля продуктов фирмы. Следует обратить внимание на то, что на рис. 24 и 25 присутствует в качестве важнейшего фактора время, что неудивительно, если вспомнить наши экономические оценки в главе 5. Фактор времени, безусловно, один из важнейших для успешности реализации результатов НИОКР (рис. 26). Чтобы сократить время разработки, фирме целесообразно провести контроллинг своей деятельности в области НИОКР и запланировать, а также реализовать мероприятия, приведенные на рис. 27. Следует еще раз подчеркнуть, что нельзя рассматривать сферу НИОКР в фирме как не зависящую от других. Только комплексное взаимодействие и совершенствование всех сфер деятельности фирмы может обеспечить успех ее инновационной деятельности.
Рис. 25. Взаимосвязь основной деятельности фирмы, ее политики НИОКР, конкретных ОКР и портфеля продуктов
Рис.26. Основные результаты сокращения времени разработки
Рис. 27. Основные методы сокращения времени ОКР 8.6. Итоговые выводы по главе 8 ОКР - ключевой этап в инновационном процессе. Здесь происходит материализация результатов предыдущих этапов в новый продукт. Основная задача ОКР - создание комплекта конструкторской документации, годной для серийного производства продукта. С целью отработки документации и проверки соответствия результатов ОКР требованиям технического задания в опытном производстве изготавливается и испытывается в заводских и натурных условиях опытный образец. ОКР представляет в информационном смысле поле сложных взаимодействий различных областей знания: естественных наук, математики, экономики, организации производства, управления коллективом разработчиков и т.д. Ключевой задачей технико-экономического проектирования в составе ОКР является обеспечение эффективности нового изделия и, следовательно, его конкурентоспособности на рынке. В этой связи особое значение приобретает конструирование интегрального показателя качества и интегрального экономического показателя изделия. В управлении эффективностью разработки, кроме обеспечения ее собственно технико-экономических показателей, решающее значение имеет сокращение времени на НИОКР и выбор момента вывода нового товара на рынок. 9. ПОДГОТОВКА ПРОИЗВОДСТВА НА ЗАВОДЕ-ИЗГОТОВИТЕЛЕ ПРОДУКЦИИ 9.1. Характер управленческих решений, предшествующих подготовке производства При успешном завершении функциональных испытаний нового товара многие фирмы производят рыночные испытания (пробный маркетинг). Проблема проведения рыночных испытаний новых товаров зависит от многих факторов, главные из которых следующие:
Решение вопросов о проведении (или непроведении) рыночных испытаний, а также решения, по какой конструкторской документации (опытного образца, серийного производства) и в каком производстве (опытном или серийном) будет изготовлена опытная партия нового товара для пробного маркетинга и следует ли приостановить или продолжить работы по подготовке производства до получения результатов рыночных испытаний, зависит от конкретных условий функционирования фирмы, ее целей, ресурсов, методов работы и политики. Цель рыночных испытаний - испытание товара в условиях реального использования, выявление мнений, замечаний потребителей и торговых работников об особенностях его использования и проблемах продаж, а также определение размеров рынка и общего прогноза сбыта, т.е. производственной программы. Испытания в рыночных условиях дают руководству информацию для принятия окончательного решения о целесообразности выпуска нового товара. Если фирма будет приступать к развертыванию коммерческого производства, ей предстоят большие расходы на окончание подготовки производства, затраты на капитальное строительство и освоение производства, затраты на каналы распределения и стимулирование сбыта нового товара. При этом она должна решить следующие главные вопросы - когда, где, кому и как продавать новый товар. КОГДА. Первым принимается решение о своевременности выпуска нового товара на рынок. Если новый товар будет подрывать сбыт других подобных товаров фирмы или в его конструкцию можно внести дополнительные усовершенствования, то, вероятно, выпуск нового товара на рынок будет отложен. ГДЕ. Принимается решение о реализации товара на определенных географических рынках или в общенациональном или международном масштабах. При отсутствии достаточных уверенности в успехе, необходимых средств и возможностей для выхода с новым товаром на общенациональный рынок устанавливается временной график последовательного освоения рынков. КОМУ. Выбираются наиболее выгодные рынки в группе осваиваемых, и для их освоения сосредотачиваются усилия по стимулированию сбыта. КАК. Разрабатывается план действий для последовательного вывода нового товара на рынки (план маркетинга). Ответы на эти простые по форме, но чрезвычайно сложные по своей сути вопросы оказывают влияние на дальнейший ход подготовки производства и промышленного освоения новых товаров, так как определяют:
9.2. Конструкторская подготовка производства на заводе-изготовителе серийной продукции Конструкторская подготовка производства на заводе является завершающей частью КПП. Цель конструкторской подготовки серийного производства - адаптировать конструкторскую документацию ОКР к условиям конкретного серийного производства предприятия-изготовителя. Как правило, конструкторская документация ОКР уже учитывает производственные и технологические возможности предприятий-изготовителей, но условия опытного и серийного производств имеют существенные различия, что приводит к необходимости частичной или даже полной переработки конструкторской документации ОКР. КПП производится отделом главного конструктора серийного завода (ОГК) или серийным отделом НИИ, СКБ, ОКБ в соответствии с правилами "Единой системы конструкторской документации" (ЕСКД). В процессе КПП разработчики в максимально допустимых пределах должны учитывать конкретные производственные условия предприятия-изготовителя:
Состав работ конструкторской подготовки производства предприятия-изготовителя: 1. Получение конструкторской документации от разработчика. 2. Проверка документации на комплектность. 3. Внесение изменений в соответствии с особенностями предприятия-изготовителя. 4. Внесение изменений по результатам отработки конструкции на технологичность. 5. Внесение изменений по результатам технологической подготовки производства. 6. Техническое сопровождение изготовления опытной партии изделий. 7. Внесение изменений в конструкторскую документацию по результатам изготовления опытной партии. 8. Присвоение документации литеры О2 для изготовления установочной серии. 9. Техническое сопровождение изготовления установочной серии. 10. Перевод документации в литеру А для установившегося серийного производства. 11. Выпуск ремонтной, экспортной и иной документации. 12. Техническое сопровождение серийного производства. В настоящее время все большее место в работах КПП приобретают методы автоматизированного проектирования и создания конструкторских документов (САПР). 9.3. Технологическая подготовка производства (ТПП) Задачей ТПП является обеспечение полной технологической готовности фирмы к производству новых изделий с заданными технико-экономическими показателями (высоким техническим уровнем, качеством изготовления, а также с минимальными трудовыми и материальными издержками при конкретном техническом уровне предприятия и планируемых объемах производства). В процессе ТПП решаются следующие основные задачи:
Исходными данными для проведения ТПП являются: 1) полный комплект конструкторской документации на новое изделие; 2) максимальный годовой объем выпуска продукции при полном освоении производства с учетом изготовления запасных частей и поставок по кооперации; 3) предполагаемый срок выпуска изделий и объем выпуска по годам с учетом сезонности; 4) планируемый режим работы предприятия (количество смен, продолжительность рабочей недели); 5) планируемый коэффициент загрузки оборудования основного производства и ремонтная стратегия предприятия; 6) планируемые кооперированные поставки предприятию деталей, узлов полуфабрикатов и предприятия-поставщики; 7) планируемые поставки предприятию стандартных изделий и предприятия-поставщики; 8) предполагаемые рыночные цены новых товаров исходя из ценовой стратегии предприятия и его целей; 9) принятая стратегия по отношению к риску (с точки зрения наличия дублирующего оборудования); 10) политика социологии труда предприятия. Технологическая подготовка производства регламентируется стандартами "Единой системы технологической подготовки производства" (ЕСТПП). Содержание основных этапов ТПП и их исполнители приведены в табл. 9.1. Таблица 9.1 Содержание и исполнители основных этапов ТПП
Окончание табл. 9.1
Отработка изделий на технологичность Технологичность - это экономичность изготовления изделия в конкретных организационно-технологических и производственных условиях и при заданных масштабах выпуска. Отработка изделий на технологичность (технологический контроль) производится на всех этапах создания конструкторской документации:
Показатели технологичности конструкции
Технологическую рациональность характеризуют:
Преемственность конструкции характеризуют: 1) коэффициент применяемости Кпр = (m - mор)/m, где m - общее количество типоразмеров (наименований) деталей (элементов, микросхем и т.п.); mор - количество оригинальных деталей; 2) коэффициент повторяемости
где mоб - общее количество деталей; 3) коэффициент унификации
где mу - число унифицированных стандартных и заимствованных деталей, выпускаемых предприятиями отрасли; 4) коэффициент стандартизации
где mст - число стандартных деталей . Коэффициенты Кпр, Кп, Ку, Кст правильнее рассчитывать, используя трудоемкости элементов изделия. Выбор оптимального варианта технологического процесса В различных вариантах технологических процессов изготовления новых изделий могут применятся разнообразные заготовки, оборудование, технологическая оснастка и т.д., что приводит к различным трудоемкости, производительности и использованию рабочих различной квалификации. Основными критериями для выбора оптимального технологического процесса являются себестоимость и производительность. Для упрощения расчетов используют технологическую себестоимость, которая является частью полной себестоимости и учитывает затраты, зависящие от варианта технологического процесса:
где Зт - технологическая себестоимость; Для выбора оптимального варианта техпроцесса, т.е. для сопоставительной оценки нет необходимости производить поэлементный расчет всех статей затрат, входящих в себестоимость, а достаточно проанализировать лишь затраты, меняющиеся при изменении технологического процесса. Вычислять и включать в себестоимость затраты, не меняющиеся при изменении варианта процесса, не имеет смысла, так как при определении абсолютной величины экономии, достигаемой при применении более выгодного варианта, одинаковые слагаемые себестоимости взаимно уничтожаются. Сравнение вариантов технологического процесса по себестоимости производится следующим образом. Технологическая себестоимость при варианте 1 равна
а при варианте 2 составляет
Графически варианты 1 и 2 могут быть представлены прямыми линиями (рис. 28). Точка А пересечения этих линий определяет критическое количество деталей Qкр, при котором оба варианта будут равноценными, т.е.
Рис. 28. График сравнительной оценки двух вариантов технологического процесса или
откуда
При объеме выпуска меньше критического более экономичным будет вариант 1, а при количестве изделий больше критического - вариант 2. Выбор наиболее экономичного варианта реализации технологического процесса из множества возможных способов изготовления продукции следует в общем случае осуществлять по минимуму приведенных затрат, которые принимаются в качестве критерия оптимальности. Однако для сопоставления вариантов технологических процессов во многих случаях достаточно ограничиться расчетом технологической себестоимости выпуска. Поэтому в дальнейшем в качестве ценовой функции используются не полные приведенные затраты, а минимум суммы
где Рассмотрим технико-экономическую оценку возможных вариантов на примере изготовления полупроводниковых микросхем. Типовая укрупненная последовательность технологического процесса изготовления полупроводниковых микросхем включает девять основных операций (химическая обработка, окисление, фотолитография, диффузия, разделение пластин на кристаллы, монтаж кристалла в корпус, присоединение выводов, герметизация и испытания), каждая из которых может быть осуществлена 3 - 7 способами. Даже объединение процессов по группам операций дает представление о многовариантности технологического процесса изготовления микросхем. Помимо способов реализации каждой операции в реальных условиях разработки и производства приходится учитывать и выбирать: методы изоляции компонентов схемы, методы технологии, степень интеграции прибора, а также решать многие другие конструктивно-технологические вопросы. Реализация каждого способа на определенной операции предполагает различные затраты на основные материалы и комплектующие изделия Мij, на основную заработную плату Lij, амортизационные отчисления Аij, капитальные затраты Кij и ведет к достижению разных уровней коэффициента выхода годных изделий Pij. Перечисленные исходные данные по группам операций удобно представить в виде матрицы операционных показателей. В связи со сложностью анализа вся совокупность операций технологического процесса разбивается на три крупные стадии, а именно: обработку, сборку и испытания изделий. Число возможных способов выполнения каждой стадии ограничим также тремя. В результате получается укрупненная матрица Расчет сводится к тому, чтобы из заданной совокупности возможных способов выполнения стадий процесса выбрать рациональный вариант проведения всего технологического процесса, удовлетворяющий минимуму заданной целевой функции. Поиск рационального варианта технологического процесса производится на компьютерах с использованием специализированного программного обеспечения. Таблица 9.2 Матрица показателей стадий технологического процесса
9.4. Организационная подготовка производства (ОПП) Функции организационной подготовки производства: 1) плановые (в том числе предпроизводственные расчеты хода производства, загрузки оборудования, движения материальных потоков, выпуска на стадии освоения); 2) обеспечивающие (кадрами, оборудованием, материалами, полуфабрикатами, финансовыми средствами); 3) проектные (проектирование участков и цехов, планировка расположения оборудования). В процессе организационной подготовки производства используются конструкторская, технологическая документации и данные для проведения технологической подготовки производства (разд. 9.3). Основные этапы ОПП, их содержание и исполнители приведены в табл. 9.3. Таблица 9.3 Этапы ОПП и их содержание
Окончание табл. 9.3
9.5. Характер изменения технико-экономических показателей новых изделий на стадии освоения Начальный этап освоения выпуска новых изделий характеризуется повышенными издержками. Причину этого можно объяснить следующими факторами:
По мере наращивания объема выпуска новых изделий происходит снижение издержек. Возможные пути повышения эффективности производства на стадии освоения приведены на рис. 29.
Рис. 29. Основные направления получения экономического эффекта в процессе освоения новых изделий Минимизация потерь тесно связана с характеристикой наращивания выпуска, которая в свою очередь зависит от снижения трудоемкости изделия в процессе освоения. Для каждого конкретного предприятия, которое характеризуется выпуском конкретного вида изделий, определенным уровнем технологии, организации, можно установить корреляционную связь между суммарным объемом выпуска и его трудоемкостью на основе статистических данных по освоению производства аналогичных изделий. Аналогичную зависимость можно установить и для суммарного объема выпуска и себестоимости:
где Зi- себестоимость или трудоемкость Qi-го изделия с момента начала выпуска; З1(a) - себестоимость или трудоемкость изготовления первого изделия, с которого считается начало освоения; Qi(x) - порядковый номер изделия с начала выпуска; b - показатель, характеризующий крутизну кривой освоения (0,05-0,75) для данного предприятия. Принято считать коэффициентом освоения (Кос) то снижение себестоимости, которое будет достигнуто при каждом удвоении выпуска продукции. Показатель b и коэффициент освоения Кос связаны между собой зависимостью b=log Koc/log 2. Практика показывает, что для приборостроительных предприятий Кос лежит в пределах 0,7/ 0,9. Величины Кос и показателя b зависят от факторов:
На рис. 30 приведены кривые освоения, соответствующие коэффициентам Кос=0,9, Кос=0,8, Кос=0,7 для условно-переменных издержек. Чем меньше Кос (и соответственно больше показатель b), тем большие потери несет предприятие на этапе освоения.
Рис. 30. Изменение издержек на единицу продукции в процессе освоения 9.6. Ускорение организации производства Как видно из изложенного в предыдущих разделах, подготовка производства - сложный процесс, состоящий из многих стадий и этапов. Решения, принимаемые на каждом из этих этапов, влияют на последующие этапы и общую эффективность НИОКР. Все это делает целесообразным сквозное внутрифирменное планирование жизненного цикла изделия. Подготовка производства - та стадия жизненного цикла изделия, когда эти обстоятельства становятся решающими. В разд. 8.5 подчеркивалось решающее значение сокращения времени проведения НИОКР и подготовки производства. Одним из методов достижения этого является максимальное запараллеливание процессов разработки и подготовки производства. Один из вариантов осуществления этого показан в табл. 9.4. Разумеется, для конкретных ОКР такие совмещения требуют соответствующей корректировки. Таблица 9.4 Распределение работ по КПП, ТПП и ОПП на различных этапах ОКР (примерное)
Продолжение табл. 9.4
Окончание табл. 9.4
9.7. Итоговые выводы по главе 9 Подготовка производства на серийном заводе-изготовителе является заключительной частью инновационного процесса, особенно если вывод товара на рынок подготовлен пробным маркетингом. В подготовке производства участвуют практически все службы завода. Входной информацией для такой подготовки является наличие полного комплекта конструкторской документации и маркетинговая оценка производственной программы по новому изделию. Далее подготовка производства проходит по следующим стадиям:
Эти стадии во многом выполняются параллельно по следующим основным направлениям (до начала изготовления опытной партии на действующем предприятии):
Примерный упрощенный сетевой граф (а не график!) подготовки производства приведен в приложении 1. 10. ПЛАНИРОВАНИЕ И УПРАВЛЕНИЕ ПРОГРАММАМИ НИОКР 10.1. Специфика менеджмента НИОКР Менеджмент НИОКР - это принятие решений в постоянно меняющихся условиях, непрерывное рассмотрение программы НИОКР и переоценка ее в целом и составных ее частей. Для руководителя сферы НИОКР естественно, что любое его действие окружено неопределенностями как внутреннего, так и внешнего порядка. В любой момент может возникнуть непредвиденная техническая проблема, необходимость перераспределения ресурсов, новые оценки рыночных возможностей. Поэтому любая система планирования и управления НИОКР должна быть достаточно гибкой, а динамичность ситуации требует большего управленческого внимания, чем любая сфера деятельности. Каждый проект должен начинаться с четкой постановки цели. Поскольку окончательный успех определяется на рынке, то и цели должны быть определены рыночной потребностью. Прежде всего это рыночный сегмент и его взаимосвязанные характеристики (размер, допустимая цена, требования к технической эффективности и время вывода продукта). Продукт в свою очередь должен быть определен по своей эффективности, цене и дате появления. Все эти характеристики взаимозависимы, и, следовательно, требуется определенная итеративная процедура уточнения цели. Особое внимание должно быть уделено тому, какого технического уровня продукта потребует данный рыночный сегмент с наибольшей вероятностью. Избыточность параметров наверняка увеличит затраты на НИОКР и производство, а также время разработки и, следовательно, снизит прибыльность (гл. 5). На стадии первоначального определения проекта существенной является концентрация внимания в большей степени на рыночной потребности и степени ее удовлетворения, чем на решениях относительно вида окончательного продукта (следует иметь в виду, что в процессе разработки появятся альтернативные решения). Последовательность решений должна быть такой:
Только после исчерпывающих поисков и отбора наиболее привлекательной концепции проекта следует переключить внимание на технические детали и спецификацию программы работ. Определение проекта должно быть кратким и не должно ограничивать свободу коллектива в нахождении новых решений. Одновременно оно должно содержать четко сформулированные цели, ориентиры по техническим, стоимостным параметрам и длительности разработки. 10.2. Планирование портфеля НИОКР Портфель НИОКР может содержать разнообразные проекты: крупные и мелкие, близкие к завершению и находящиеся на начальной стадии. Каждый из проектов требует выделения дефицитных ресурсов. Часть проектов будет прекращена в процессе выполнения, их составные части будут меняться по числу и потребности в ресурсах и т.д. Таким образом, процесс планирования и корректировки планов НИОКР непрерывен. Количество проектов, входящих в портфель, зависит от двух факторов: размеров проектов и общего бюджета НИОКР. Структура портфеля зависит от управляемости портфеля со стороны руководства и политики фирмы в области НИОКР. Портфель в основном из крупных проектов является более рискованным, чем портфель из мелких проектов. С ростом числа проектов повышается вероятность успешного завершения хотя бы части из них. Кроме того, мелкие проекты легче "подогнать" друг к другу в процессе НИОКР по наличным частным ресурсам (например, мощностям опытного производства). Однако небольшие проекты, как правило, имеют скромный потенциал прибыльности, что приводит к появлению на рынке многих продуктов с ограниченными перспективами. Вряд ли это будет соответствовать маркетинговой политике фирмы. Окончательный успех любого проекта зависит в равной степени от технических и рыночных достоинств и от качества управления проектом. Хорошее управление - решающий ресурс большинства фирм, и его не следует рассеивать по многим проектам. Проекты разбиты на этапы, и искусство управления состоит в распределении их запуска во времени с целью обеспечения эффективности всего портфеля. В табл. 10.1 приведено сравнение денежных потоков двух вариантов запуска проектов: параллельного и последовательного. В этом случае последовательная реализация обеспечивает такие преимущества:
Таблица 10.1 Денежные потоки двух вариантов портфеля (в условных единицах)
При всей своей искусственности пример показывает целесообразность концентрации усилий в НИОКР. Очередность выполнения проектов необязательно связана с их экономической значимостью. Например, возможна такая ситуация, что следует запустить в первую очередь менее значимый проект с более коротким временем жизненного цикла товара, иначе экономическая выгода от его реализации резко сократится. При планировании конкретных проектов используются ленточные и сетевые графики. Следует обратить внимание на следующие важные положения планирования:
10.3. Управление проектом НИОКР Точная своевременная информация прежде всего необходима для эффективного управления проектом. В качестве информационной базы управления проектом НИОКР используются:
Естественно, крайне важным является своевременное обновление всех видов информации, поступающих из других подразделений фирмы (служб маркетинга, финансовой и т.д.). Организационные структуры управления типа матричной в наибольшей степени способствуют этому. Система управления проектом должна быть адекватной его объему, сложности, степени неопределенности, месту в портфеле проектов НИОКР. Она должна обеспечивать:
Одной из трудностей управления НИОКР является эффективное распределение ресурсов. Это объясняется следующими причинами. 1. Необходимо, чтобы общая величина ресурсов в сфере НИОКР была относительно стабильной во времени. 2. Ресурсы инвестируются либо в оборудование, имеющее фиксированную стоимость вне зависимости от того, используются оно или нет, либо в оплату труда персонала; и то и другое - специфические и невзаимозаменяемые ресурсы. 3. Каждый проект требует различной комбинации этих ресурсов, причем из-за неопределенности в проектах точное заблаговременное распределение ресурсов невозможно. По мере продвижения проекта от прикладной НИР к ОКР он претерпевает изменения, в том числе и в методах управления (рис. 31).
Рис. 31. Изменение факторов принятия управленческих решений в процессе НИОКР Искуство управления заключается в осуществлении намеченного. В сфере НИОКР, больше чем в какой-либо другой это зависит от людей, входящих в проектную "команду". Творчество и предпринимательство не могут быть спланированы, но условия, в которых они могут эффективно раскрыться, сильно зависят от управленческих решений. Осуществление плана может быть эффективным только тогда, когда он воспринимается как реальный теми, кто отвечает за его выполнение. Поэтому характер и стиль руководства со стороны высшего менеджмента - жизненно важная составляющая успеха проекта. Финансовый профиль проекта определить с достаточной точностью невозможно. Тем не менее необходимо знать, что действительная его форма во многом определяется решениями руководства НИОКР. Действительно:
Все изложенное в этом параграфе иллюстрируется рис. 32.
Рис.32. Планирование и управление проектом 10.4. Организационные структуры в инновационной деятельности Организационная структура оказывает заметное воздействие на управление проектами. Наиболее важными ее функциями являются:
Наиболее широко применяются следующие организационные структуры управления инновационной деятельностью:
Управление по дисциплинам наиболее широко применяется в инновационных фирмах, занятых в основном НИР. Эта структура хорошо приспособлена к приобретению новых знаний в специальных областях. Однако концентрация усилий на дисциплинах принижает значение проекта как организуемой сущности и вряд ли пригодна для ОКР. Управление по проектам предполагает, что создаются для координации работ по каждому проекту специальные комитеты или административный руководитель является одновременно и научно-техническим руководителем. При организации по продукту сфера деятельности компании может быть разделена на ряд отраслей производства, каждая из которых связана с продажей изделий одной группы или обслуживанием одних и тех же потребителей (дивизиональная структура управления [4 гл. 4]). При этом НИОКР могут быть организованы так, чтобы либо соответствовать структуре отделений, либо в рамках центрального подразделения НИОКР, либо путем распределения научно-технической программы между соответствующими подразделениями отделений. Наиболее логична и широко распространена в настоящее время (в том числе и в России) матричная структура управления НИОКР [4 гл. 4]. Она обеспечивает четкое разделение управленческой и профессиональной ответственности за проект. Эта система имеет преимущества с точки зрения достижения целей компании, четкости функций руководителя проекта, руководителя специализированного подразделения и разработчика. Соотношения управленческих и профессиональных потребностей, устанавливаемые матричной организацией, представляют компромисс, гарантирующий энергичное следование целям проекта и одновременно соблюдение интересов большей части персонала, сохранение и укрепление научно-технического потенциала компании в долгосрочном аспекте. В рамках матричной организации в выполнение проекта легко вовлекаются другие службы компании. Внимание руководителя проекта (научного руководителя НИР, главного конструктора ОКР) должно фокусироваться на управлении проектом в большей степени, чем на личном решении научно-технических проблем. Он есть лицо, принимающее решения, применяющее свой опыт и знания в масштабах всего проекта. Успех проекта превращается в личный успех его руководителя. Руководители специализированных подразделений находятся в двойном подчинении. Однако четкость текущих решений для них по проекту, возможность быстрого учета их компетентного мнения компенсирует этот недостаток. Отдельные научно-технические специалисты, работая в рамках одной комплексной "команды", преследуют конкретные и осязаемые цели. Будучи специалистами в своих дисциплинах, такие работники приобретают более высокий статус в "междисциплинарной команде". Вместе с тем они сохраняют связь со своей дисциплиной и не теряют возможности обращаться к руководителю специализированного подразделения по профессиональным вопросам. Так как большинство научно-технических специалистов любят работать над конкретными задачами, матричная организация НИОКР хорошо воспринимается персоналом. Термин "венчур" (venture - рискованное предприятие) используется для описания инновационной организации, создаваемой для воспроизводства в рамках крупной компании многих признаков малого бизнеса. Основная цель - обеспечить максимум ответственности за прогресс нововведения со стороны одного человека - "венчурного управляющего", который свободен в использовании выделенных ему ресурсов при минимальном внешнем вмешательстве. По существу, это дочерняя инновационная фирма компании. Обычно такое управление используется для немногих, исключительно обещающих проектов и действует наряду с существующей организацией. Относительно небольшие размеры организации и короткие коммуникации обеспечивают максимальную гибкость управления по мере развития проекта, поскольку венчурный управляющий является, по сути дела, генеральным директором в рамках проекта и обеспечивает и НИОКР, и производство, и выход на рынок нового продукта. В табл. 10.2 приводятся сравнительные характеристики организационных структур в сфере НИОКР, что позволит наиболее сознательно подойти к выбору той или иной структуры управления инновационной фирмой. Таблица 10.2 Характеристики организационных структур НИОКР
10.5. Венчурная компания Венчурная компания представляет собой деловое сотрудничество собственников компании с владельцами венчурного капитала по реализации проектов с высокой степенью риска и возможностью получения значительного дохода. Работа этой компании сводится к следующему. Компания, которая имеет заманчивую, но не проверенную идею (фактор риска), нуждается в деньгах. Идея оказалась привлекательной для венчурных капиталистов. Имея свою долю в общем деле, венчурный капиталист основную долю риска берет на себя. Чем больше риск, тем выше ожидаемый доход. Владельцы венчурного капитала вкладывают его туда, куда банки (по уставу или из-за осторожности) вкладывать средства не решаются. Как правило, вновь создаваемые мелкие предприятия финансируются из собственных средств. Обычно банковские кредиты могут оказаться недоступными для них. Такие кредиты выдаются под конкретное имущественное обеспечение, которое может оказаться недостаточным. Именно в такой ситуации важно привлечь венчурный капитал. Можно выделить по меньшей мере три стадии развития молодой компании, когда она может нуждаться в венчурном капитале:
Финансирование ранней стадии - самый высокий риск, но есть шанс в случае успеха получить за это достаточно высокий доход (табл. 10.3). Венчурные компании стали неотъемлемой и важнейшей частью деловой жизни на Западе. Объем вложений венчурного капитала обычно достигает значительного уровня и иногда существенно превышает объем капитала, вложенного основателями предприятия. Вкладывая суммы, превышающие капитал владельцев, собственники венчурного капитала вместе с тем стремятся не обладать контрольным пакетом обычных акций, а их остальные средства предоставляются в виде займа или вложения в привилегированные акции. Принципы работы венчурной компании следующие:
Таблица 10.3 Формирование рискового капитала при создании венчурной компании
Каждый венчурный фонд заинтересован в том, чтобы его капиталы были вложены в предприятия, находящиеся на разных стадиях развития. Кроме того, владельцы венчурного капитала, желая снизить инвестиционный риск, распределяют его по различным отраслям, а для контроля за деятельностью венчурного фонда назначают "своего" человека на должность управляющего финансами венчурной компании. Венчурные компании лишь управляют фондами, но не владеют ими. Они получают вознаграждение от собственников капитала, в соответствии с условиями договора между компанией и учредителями венчурного фонда, хотя могут вложить в эти фонды и часть своих собственных средств. Спрос на венчурный капитал на Западе в последние годы вызвал бурный рост числа финансовых источников. Применительно к России венчурный капитал можно разделить на следующие виды:
В начале 90-х годов в США действовало свыше 700 венчурных компаний, в которых объем инвестиций венчурного капитала составил более 4,5 млрд.долларов США. Вместе с тем владельцы венчурного капитала практически никогда не достигают полного успеха во всех проектах. По имеющимся данным, в среднем 1/3 инвестиций приносит им убытки, 1/3 - очень скромную прибыль и лишь 1/3 - большие доходы. 10.6. Практические организационные структуры НИИ и КБ в России Как уже указывалось, конкретные схемы организации НИИ и КБ, занимающихся разработкой новых технических изделий и систем, зависят от специфики отрасли, разрабатываемой продукции, степени законченности разработки (документация, опытный образец, опытная партия и т.д.). Однако имеется ряд общих черт, связанных с единством порядка проведения НИОКР (гл. 7.8), наличием руководителей проектов (научные руководители НИР, главные конструкторы ОКР) и, следовательно, матричных структур управления, единством порядка планирования и отчетности по отдельным видам затрат и работам. Как правило, имеются следующие виды подразделений НИИ и КБ:
В качестве примера организации НИИ по разработке сложной приборной техники рассмотрим схему организации гипотетического НИИ навигационных приборов для морского флота. Навигационное оборудование современных морских судов включает самую разнородную технику: радиолокационные станции; системы спутниковой навигации, радиопеленгации, акустического эхолотирования; электромеханические лаги; гирокомпасы и другие устройства. Основная тенденция развития навигационного оборудования судов состоит в создании единой системы этих средств с комплексной обработкой навигационной информации на бортовом компьютере. Таким образом, функционирование НИИ рассматриваемого типа целесообразно и с технической и с функциональной точек зрения. На схеме организационной структуры НИИ (рис. 33) приняты следующие сокращения:
Каждый из отделов, как правило, состоит из нескольких секторов (НИС, ПКС, ЛТС). На схеме рис.33 в целях наглядности изображен один такой сектор отдела. Рис.33. Организационная структура НИИ навигационной техники
Окончание рис. 33. Организационная структура НИИ навигационной техники Основные принципы организации НИИ сводятся к следующему. Комплексные подразделения (НИОтд, НИО, НИС) отвечают за комплексную разработку ОКР (составление и согласование ТЗ, планирование разработки, связи с другими системами, общее построение и компоновка, выпуск общей документации на систему). Специализированные научные подразделения антенного НИОтд, радиотехнического НИОтд отвечают за разработку соответствующих блоков системы по частным техническим заданиям комплексных подразделений (продуктом их деятельности являются принципиальные электрические, гидравлические и иные схемы, а также частные технические условия на блоки и приборы). Конструкторско-технологическое отделение выполняет разработку рабочей конструкторской документации и новых технологических процессов, обеспечивающих изготовление опытного образца и серийное изготовление продукта ОКР. Главные конструкторы ОКР (научные руководители НИР), как правило, входят в состав комплексных научно-исследовательских подразделений, которые и образуют группы руководства конкретной НИОКР. Штатное положение руководителей проекта зависит от характера, важности и удельного веса работы. Они могут занимать должности от директора НИИ до ведущего инженера (ведущего научного сотрудника) НИС. Наиболее характерным является назначение руководителем разработки руководителя НИС. В приложении 2 организация выполнения ОКР в таком НИИ иллюстрируется агрегированным сетевым графом работ. 10.7. Итоговые выводы по главе 10 Планирование и управление проектами НИОКР несет отпечаток неотделимой от НИОКР неопределенности. Основные элементы планирования и управления: определение проекта и постановка его целей, план достижения этих целей, средства для сопоставления достигнутого и планового уровней параметров, управленческие воздействия. По мере продвижения проекта по пути "НИР - ОКР - производство - рынок" управление претерпевает существенные изменения. При планировании портфеля проектов целесообразно ограничить число проектов, исходя из приемлемого уровня риска. Важнейшими могут быть приоритеты сроков проекта, а не его важности. Ни одна из организационных структур не удовлетворяет всем критериям соответствия задачам НИОКР. Наиболее подходят для сферы НИОКР матричная структура управления и венчурное управление. В будущем крупные фирмы будут возможно применять гибридные формы организации НИОКР: матричные для долгосрочных "обычных" проектов и венчурные для "особых" краткосрочных. Следует отметить, что организационная структура всего лишь формирует основу, но не гарантирует достижения целей научно-технических инноваций. 11. ЭКОНОМИЧЕСКАЯ РАЗВЕДКА - НЕОТЪЕМЛЕМАЯ ЧАСТЬ ИННОВАЦИОННОГО МЕНЕДЖМЕНТА 11.1 Место информации в НИОКР Так как принятие любого управленческого решения опирается на тот или иной информационный базис, то значение информационного обеспечения НИОКР трудно переоценить. По существу, любые решения по НИОКР направлены в будущее (и часто достаточно далекое), проверка правильности решений осуществляется через значительный промежуток времени, степень неопределенности имеющейся информации очень велика. Таким образом, можно утверждать, что управление в НИОКР - это управление по слабым сигналам [4], управление по прогнозной информации. Стратегия управления фирмой должна постоянно впитывать в себя новые данные по экономической системе, переменам в обществе и политике не только в собственной стране, но и на мировом уровне. Современный менеджмент должен учитывать тенденции:
Подлинная информация для предпринимателя существует лишь в том случае, если предварительно имеется намерение (замысел), цель, проект. Намерение предопределяет отношение к анализу окружающей действительности, что в свою очередь выражается в пробуждении внимания, которое и позволяет выделять нужную информацию из общего шумового информационного фона. Иначе говоря, истинная информация является результатом взаимодействия двух сущностей "намерение - внимание". Только в этом случае становится возможным создание эффективного метода сбора и обработки информации без ненужных потерь времени, путаницы и риска утонуть в безбрежном море информации. В НИОКР, прежде всего, принимается стратегическое решение - определение направления работ. Принятие этого решения (намерения) определяет потребность в конкретной информационной базе. Далее принимаются тактические решения по выбору наилучшего пути достижения цели (и этим определяется потребность в соответствующей информационной базе) и, наконец, ежедневно принимаются оперативные решения конкретных вопросов НИОКР (что требует своей информационной базы). Таким образом, роль информации в НИОКР базируется на принципе неразрывности триады: цели - потребности - базы (в [17] это называется принципом 3В - по французски buts-besoins-bases). 11.2. Характер решений в НИОКР и соответствующие информационные базы Стратегические решения по НИОКР прямо влияют на их судьбу и жизнеспособность. Из-за все усиливающейся нестабильности на мировом рынке [4] их число постоянно растет. Их последствия все труднее прогнозировать, а цена ошибки повышается. Все это предопределяет важность стратегической информации. По методу 3В следует определить стратегические цели, затем стратегические потребности и, наконец, перейти к стратегическим информационным базам. Первые два этапа соответствуют стратегическому анализу и рассмотрены в курсе “Стратегический менеджмент” [5]. На основании выявленных потребностей следует составить картотеку направлений для наблюдения (естественно, специфическую для каждой фирмы). Например, она может включать: 1) основные тенденции по странам (развитие экономики, групп потребителей, основных направлений потребления товаров фирмы, динамика вкусов и т.д.); 2) технологический процесс (сырье, производственные технологии, окружающая среда, достижения науки); 3) действующие лица (акционеры, объединения данной фирмы с другими, их поглощение, бюджет НИОКР, потенциальные конкуренты, их кадровые изменения, торговый оборот); 4) возможные направления диверсификации (наблюдения за возможными отраслями применения). Тактическая цель заключается в выборе наилучшего средства достижения стратегической цели и в контроле неизменности условий, которые предопределили этот выбор. Соответственно возникают потребности двух родов: характеристики основных направлений деятельности и материалы по окружающей среде. Эти потребности настолько различны, что требуют информационных баз двух видов - “по запросу” и “мониторинг”. Пример базы "по запросу”:
Пример тактической базы "мониторинг":
Оперативные потребности в первую очередь касаются благоприятных возможностей и угроз для фирмы. Здесь требуется свежая, точная, надежная информация (цены, клиенты, поставщики, изменения в материалах, стандартах и т.д.). Конечно, информация, собранная сегодня исключительно в оперативных целях, завтра может получить стратегическое значение. Поэтому для фирмы рационально объединять все информационные базы в одной картотеке. Опыт подсказывает, что для фирмы рационально иметь следующие базы:
11.3. Основные источники и каналы информации Известно, что 95% всей информации составляет несекретная информация. Действительно, можно полагать, что при запуске фирмой новой продукции можно сохранить в тайне эти намерения от конкурентов. Однако уже были запрошены кредиты под НИОКР, проводилось изучение рынка, исследовались и покупались патенты, материалы и комплектующие изделия, запрашивались разрешения на новую продукцию и т.д. Основные семейства источников информации для любого предприятия:
специализированным работам);
Можно перегруппировать эти источники в каналы информации: 1) общие публикации + специальные публикации и банки данных (канал “Текст”); 2) клиенты + поставщики + банкиры + распределители и агенты (канал “Фирма”); 3) общественные службы + консультанты + администрация (канал “Консультант”); 4) ярмарки, салоны, конференции (канал “Беседа”). По каналу “Текст” фирма получает 30 - 40% информации. Канал “Фирма” появляется в результате контактов персонала фирмы со всеми партнерами - это еще 30 - 40% информации. Канал “Консультант” обеспечивает примерно 10 - 15% информации. Через канал “Беседа” проходит 5 - 6% информации. Кроме того, информация может быть получена фирмой случайно (канал “Джокер”). На рис. 34 показан путь информации из окружающего мира к фирме.
Рис. 34. Путь информации Конечно, для различных баз информации важность тех или иных каналов обычно разная. Это отражено в табл. 11.1. Здесь использованы следующие обозначения каналов: Ф - фирма, Т - текст, КС - консультант, Б - беседа. Таблица 11.1 Значимость основных каналов информации
11.4. Организация службы информации фирмы Организацию службы информации современной фирмы рассмотрим на примере фирмы “Samsung” (Южная Корея), которая является ярким представителем “новых азиатских драконов”. В основе успеха таких фирм лежит признание того факта, что информация -незаменимое и жизненно важное сырье. В 1989 г. торговый оборот концерна “Samsung” превысил 30 млрд. долларов США, на его предприятиях было занято более 150 000 человек. Каждая из фирм, входящих в концерн, имеет в составе службы информации две группы:
В таблице 11.2 показан вклад этих систем в создание баз данных. Таблица 11.2 Вклад ССПИ и СТОИ фирмы "Samsung" в базы данных (в %)
Обычно ССПИ подчинена генеральному офису фирмы. Туда поступают все данные, собранные СТОИ, каждой функциональной службой или отделениями (СЗХ) фирмы. В сильно диверсифицированных фирмах применяется децентрализованная система информации, когда имеется несколько ССПИ и головная служба в генеральной дирекции. В фирме “Samsung” в группе ССПИ занято 15 человек. Задачи группы:
Группа еженедельно издает информационный бюллетень (“Факты и информация”), а два раза в месяц - бюллетень по экономическим и политическим вопросам и бюллетень по обзору прессы и новинок специальной литературы. Кроме того, ежемесячно издается сборник “Экономические показатели”, который содержит ключевые статистические и экономические показатели по 90 странам. Этот сборник издается карманным форматом, чтобы все руководящие работники и специалисты могли его иметь постоянно при себе. Группа издает два раза в год обзор состояния основных рынков сбыта фирмы. Группа СТОИ занимается исключительно текущими задачами. Свое "информационное сырье" она получает от многочисленных представительств. Это в первую очередь информация о рынках и конкурентах. Всего в группе 17 человек, которые распределены по географическим зонам. Зарубежные представительства числом более 5 человек обязаны ежедневно представлять отчет DI (Daily Information - ежедневная информация). Неписаное правило - каждый работник должен давать руководителю не менее одного информационного сообщения. На основании этих сообщений группа ежедневно составляет сводку наиболее важных событий. Кроме того, делается сводный аналитический отчет, который размножается в ограниченном контролируемом числе экземпляров для высших руководителей и подлежит уничтожению после прочтения. Как уже указывалось выше, большую часть информации “добывать” не надо. Надо лишь ее собирать, обобщать и доводить до тех, кто может ею в фирме воспользоваться. Правительство Японии еще в 1957 г. организовало Японский научно-технологический информационный центр (JICST), который ежегодно анализирует 11 000 журналов (из них 7 000 - зарубежных), 15 000 технических отчетов и рассылает более 500 000 резюме. Как удачно заявил Коносуке Мацусита, на Западе совершается два смертельных греха - ищется то, что уже было найдено, и покупается то, что можно иметь бесплатно [17]. Следует отметить, что для большинства японских корпораций затраты на разведку составляют в среднем 1,5% торгового оборота. 11.5. Итоговые выводы по главе 11 1. Информация не имеет смысла без связи с намерением (действием): информация = намерение + внимание. 2. Для получения качественной информации необходимо: сформулировать цели, определить потребности, построить информационные базы для наблюдения. 3. Для деятельности фирмы обычно достаточно шести баз данных: "конкуренция", "рынки", "технология", "законодательство", "ресурсы", "общие тенденции". 4. Информация на 95% открыта и представляет частный интерес, если ее распространение ограничено. 5. Для сбора и обработки информации необходимо иметь два подразделения: систему стратегической и перспективной информации и систему тактической и оперативной информации. 6. Координация деятельности этих подразделений осуществляется в рамках централизованной и децентрализованной организационных структур. Выбор типа структуры зависит от типа фирмы. 7. Сейчас, в условиях увеличивающейся нестабильности мирового рынка, экономических войн, решающее преимущество может обеспечить только владение и использование информации. ЛИТЕРАТУРА 1. Амиров Ю.Д. Основы конструирования: творчество, стандартизация, экономика. М.: Изд-во стандартов, 1991. 2. Базилевич Л.А., Соколов Д.В., Франева Л.К. Модели и методы рационализации и проектирования организационных структур управления. Л.: ЛЭФИ, 1991. 3. Герике Р. Контроллинг на предприятии. Берлин: АБУ-консальт ГмбХ, 1993. 4. Гольдштейн Г.Я. Основы менеджмента. Таганрог: ТРТУ, 1995. 5. Гольдштейн Г.Я. Стратегический менеджмент. Таганрог: ТРТУ, 1995. 6. Карпунин М.Г., Любинецкий Я.Г., Майданчик Б.И. Жизненный цикл и эффективность машин. М.: Машиностроение, 1989. 7. Лоуэлл С. Технологически эффективное предприятие. В сб. “Как добиться успеха”. М.: Политиздат, 1991. 8. Морозов Ю.П. Управление технологическими инновациями в условиях рыночных отношений. Н. Новгород: Изд-во Нижнегородского университета, 1995. 9. Непомнящий Е.Г. Экономика и управление предприятием. Таганрог: ТРТУ, 1997. 10. Новая технология и организационные структуры. Под ред. Й. Пиннинга, А.М. Бьюитандама. М.: Экономика, 1990. 11. Новиков М.В., Бронникова Т.С. Разработка бизнес-плана проекта. Таганрог: ТРТУ, 1996. 12. Ратанин П.И. Инновационное предпринимательство в переходный период России к рынку. М.: ИНЭП, 1993. 13. Твисс Б. Управление научно-техническими нововведениями. М.: Экономика, 1989. 14. Технико-экономическое обоснование дипломных проектов. Под ред. В.К. Беклешова. М.: Высшая школа, 1991. 15. Управление исследованиями и инновациями. М.: Наука, 1993. 16. Уткин Э.А. и др. Инновационный менеджмент. М.: Акалис, 1996. 17. Хант Ч., Зартарьян В. Разведка на службе Вашего предприятия. Киев: Укрзакордонвизасервис, 1992. 18. Хучек М. Инновации на предприятиях и их внедрение. М.: Луч, 1992. 19. Эванс Дж.Р., Берман Б. Маркетинг. М.: Экономика, 1993. 20. Эдельман В.И. Надежность технических систем: экономическая оценка. М.: Экономика, 1989. 21. Mercer D. Marketing. Oxford UK: Blackwell Pb., 1992. Приложение 1 Упрощенный агрегированный сетевой граф подготовки производства на действующем предприятии
Перечень событий по графу подготовки производства на действующем предприятии: 00 - конструкторская документация на новое изделие получена заводом изготовителем, 01 - закончена проверка комплектности конструкторской документации, 02 - конструкторская документация отработана в соответствии с особенностями завода-изготовителя и по замечаниям о нетехнологичности, 03 - закончена проверка конструкторской документации на технологичность, 04 - замечания по нетехнологичности переданы в ОГК, 05 - разработана программа обеспечения качества изделия, 06 - разработана программа метрологического обеспечения производства, 07 - определена номенклатура техпроцессов, подлежащих разработке, 08 - закончено распределение номенклатуры деталей и сборочных единиц между цехами, 09 - разработаны технологические маршруты и техпроцессы, 10 - закончено проектирование оснастки и спецоборудования, 11 - определена потребность в дополнительном оборудовании, 12 - определена производственная программа, 13 - оснастка изготовлена, 14 - оснастка опробована, 15 - дополнительное оборудование приобретено, 16 - техпроцессы пронормированы, 17 - материальная ведомость разработана, 18 - материалы заказаны, 19 - ведомость покупных изделий получена отделом кооперации, 20 - комплектующие изделия и полуфабрикаты заказаны, 21 - финансовый план составлен, 22 - сбор данных по ценообразованию закончен, 23 - цена на изделие определена, 24 - договоры с потребителями заключены, 25 - определена потребность в рабочей силе, 26 - новые рабочие наняты, 27 - дополнительное оборудование смонтировано, 28 - новое оборудование опробовано, 29 - конструкторская документация выдана в цеха, 30 - материалы получены, 31 - покупные изделия получены, 32 - метрологическое обеспечение опробовано, 33 - спецификации, техпроцессы и производственная программа получены ПДО, 34 - оперативно-производственное планирование закончено, 35 - программа обеспечения качества получена ОТК, 36 - графики производства выданы в цехи, 37 - производство готово к началу изготовления опытной партии. Перечень работ по сетевому графу подготовки производства на действующем предприятии и их исполнители: 00-01 - проверка документации на комплектность (ОГК), 00-12 - определение производственной программы (ОМ, ПЭО), 01-02 - внесение изменений в документацию в соответствии с особенностями производства (ОГК), 01-03 - проверка конструкторской документации на технологичность (ОГК), 02-05 - разработка программы обеспечения качества (ОГК, ОГТ, ОТК), 02-06 - разработка программы метрологического обеспечения производства (ОГМет), 02-19 - передача ведомости попутных ОКооп (ОГК), 02-22 - передача ведомости покупных ПЭО (ОГК), 02-29 - выдача конструкторской документации в цеха (ОГК), 02-33 - передача спецификаций ПДО (ОГК), 03-04 - передача замечаний по нетехнологичности ОГК (ОГТ), 03-07 - определение номенклатуры техпроцессов, подлежащих разработке (ОГТ), 04-02 - внесение изменений в конструкторскую документацию в соответствии с замечаниями о нетехнологичности (ОГК), 05-35 - передача программы обеспечения качества ОТК (ОГК), 06-22 - передача данных по дополнительному метрологическому обеспечению ПЭО (ОГМет), 06-32 - опробование метрологического обеспечения (ОГМет), 07-08 - распределение номенклатуры деталей и сборочных единиц между цехами (ОГТ), 08-09 - разработка технологических маршрутов и процессов (ОГТ), 09-10 - проектирование оснастки и спецоборудования (ОГТ, ОМА), 09-11 - определение потребности в дополнительном оборудованиии (ОГТ, ОГМ), 09-16 - нормирование технологических процессов (ОТиЗ), 09-17 - составление материальной ведомости (ОГТ), 09-33 - передача данных по техпроцессам ПДО (ОГТ), 09-37 - выдача технологической документации цехам (ОГТ), 10-13 - изготовление оснастки (вспомогательные цеха), 10-22 - передача данных по затратам на оснастку ПЭО (ОГТ), 11-15 - приобретение дополнительного оборудования (ОКС), 11-22 - передача данных по дополнительному оборудованию ПЭО (ОГТ), 12-17 - передача производственной программы ОМТС (ПЭО), 12-19 - передача производственной программы ОКооп (ПЭО), 12-21 - составление финансового плана (ФО), 12-24 - передача программы ОМ (ПЭО), 12-33 - передача производственной программы ПДО (ПЭО), 13-14 - опробование оснастки (ОГТ, ОМА), 14-37 - передача оснастки цехам (ОМА), 15-27 - установка и монтаж дополнительного оборудования (ОГМ,ОГЭ), 16-22 - расчет фонда заработной платы (ОТиЗ), 16-25 - определение потребности в дополнительной рабочей силе (ОТиЗ), 17-18 - заказ материалов (ОМТС), 17-22 - передача материальной ведомости ПЭО (ОГТ), 18-30 - приобретение материалов (ОМТС), 19-20 - заказ комплектующих изделий и полуфабрикатов (ОКооп), 20-31 - получение покупных изделий (ОКооп), 21-22 - предоставление финансового плана ПЭО (ФО), 22-23 - определение цены изделия (ПЭО), 23-24 - заключение договоров с потребителями (ОМ), 24-36 - выдача информации о договорах ПДО (ФО), 25-26 - наем и обучение новых рабочих (ОК, ОПК), 26-37 - направление новых рабочих в цеха (ОК), 27-28 - опробование оборудования (ОГМ, ОГЭ), 28-37 - передача оборудования цехам (ОГМ, ОГЭ), 29-37 - комплектация конструкторской документации в цехах (ЧРК в цехах), 30-37 - выдача материалов цехам (ОМТС), 31-37 - выдача покупных изделий цехам (ОКооп), 32-37 - выдача метрологического оборудования цехам (ОГМет), 33-34 - оперативно-производственное планирование (ПДО), 34-36 - выдача графиков производства цехам (ПДО), 35-37 - подготовка контролеров и контрольного оборудования (ОТК), 36-37 - корректировка производственных графиков в соответствии с заключенными договорами (ПДО). Расшифровка сокращенных наименований подразделений
Приложение 2 Упрощенный агрегированный сетевой граф выполнения ОКР "Комплексная навигационная система для морских судов”
Рис. П2.1. Граф работ по проектной проработке и эскизному проектированию
Рис. П2.2. Граф работ по техническому проектированию
Рис. П2.3. Граф работ по рабочему проектированию, изготовлению и испытаниям опытных образцов, корректировке документации по результатам испытаний Перечень событий по графам выполнения ОКР ( рис. П2.1 - П2.3): 00 - идея проекта сформирована, 01 - оценка состояния рынка выполнена, 02 - заявки потребителей собраны, 03 - выполнены оценки осуществимости проекта и затрат на его выполнение, 04 - ТЗ, выданое заказчиком, согласовано, 05 - график работ составлен, 06 - ЧТЗ на блоки и приборы разработаны, 07 - планы работ подразделений утверждены, 08 - ЧТЗ на работы радиотехническому НИОтд выданы, 09 - ЧТЗ на работы антенному НИОтд выданы, 10 - ЧТЗ на проработку конструктивов выданы конструкторско-технологическому НИОтд, 11 - перечень контрагентов установлен, 12 - ЧТЗ на работы контрагентов согласованы, 13 - договоры с контрагентами заключены, 14 - комплексные структурные и функциональные схемы разработаны, 15 - структурные и функциональные схемы радиотехнических приборов и блоков разработаны, 16 - структурные и функциональные схемы антенных устройств разработаны, 17 - концепция построения основных конструктивов разработана, 18 - выбор элементной базы произведен, 19 - макеты радиотехнических приборов разработаны, 20 - макеты антенных устройств разработаны, 21 - макеты радиотехнических приборов изготовлены, 22 - макеты антенных устройств изготовлены, 23 - макеты радиотехнических приборов испытаны, 24 - макеты антенных устройств испытаны, 25 - расчеты основных технических параметров комплекса выполнены, 26 - технические параметры радиотехнических приборов уточнены по результатам испытаний макетов, 27 - технические параметры антенных усторойств уточнены по результатам испытаний макетов, 28 - данные по эскизному проектированию отдельных приборов и устройств получены комплексным подразделением, 29 - работы контрагентов по эскизному проекту закончены, 30 - метрологическая экспертиза эскизного проекта закончена, 31 - предложения по уточнению требований ТЗ разработаны, 32 - эскизный проект подготовлен к защите, 33 - эскизный проект принят комиссией, 34 - уточнены требования ТЗ и ЧТЗ по результатам приемки эскизного проекта, 35 - уточненные ЧТЗ выданы радиотехническому НИОтд, 36 - уточненные ЧТЗ выданы антенному НИОтд, 37 - уточненные ЧТЗ выданы конструкторско-технологическому НИОтд, 38 - уточненные ЧТЗ выданы контрагентам, 39 - принципиальные схемы разработаны радиотехническим НИОтд, 40 - принципиальные схемы разработаны антенным НИОтд, 41 - принципиальные схемы разработаны комплексным НИОтд, 42 - конструкторская компоновка комплекса выполнена, 43 - работы контрагентов по техническому проекту закончены, 44 - макеты радиотехнических приборов разработаны, 45 - макеты антенных устройств разработаны, 46 - макеты радиотехнических приборов изготовлены, 47 - макеты антенных устройств изготовлены, 48 - макеты комплексных приборов разработаны, 49 - макеты комплексных приборов изготовлены, 50 - данные для размещения изделия на судне выданы, 51 - макеты радиотехнических приборов испытаны в морских условиях, 52 - макеты антенных устройств испытаны в морских условиях, 53 - макеты комплексных приборов испытаны в морских условиях, 54 - проекты ТУ на изготовление и поставку изделия разработаны, 55 - документация технического проекта разработана, 56 - технический проект предъявлен к защите, 57 - технический проект принят комиссией, 58 - корректировка документации антенных устройств по результатам приемки технического проекта закончена, 59 - корректировка документации радиотехнических приборов по результатам приемки технического проекта закончена, 60 - корректировка конструкторской документации по результатам приемки технического проекта закончена, 61 - корректировка документации контрагентов по результатам приемки технического проекта закончена, 62 - разработка рабочей документации антенных устройств выполнена, 63 - разработка рабочей документации радиотехнических приборов выполнена, 64 - разработка конструкторской рабочей документации выполнена, 65 - разработки контрагентов по рабочему проектированию закончены, 66 - корректировка документации комплексных приборов по результатам приемки технического проекта закончена, 67 - разработка рабочей документации комплексных приборов выполнена, 68 - материалы и комплектующие изделия на антенные устройства приобретены, 69 - материалы и комплектующие изделия на радиотехнические приборы приобретены, 70 - материалы и комплектующие изделия на комплексные приборы приобретены, 71 - материалы и комплектующие изделия на конструктивы приобретены, 72 - конструкторская документация антенных устройств согласована с заводом-изготовителем, 73 - конструкторская документация радиотехнических приборов согласована с заводом-изготовителем, 74 - конструкторская документация на комплексные приборы согласована с заводом-изготовителем, 75 - документация на конструктивы согласована с заводом-изготовителем, 76 - разработка программ испытаний опытных образцов закончена, 77 - разработка программы испытаний на надежность закончена, 78 - материалы и комплектующие изделия доставлены в цеха, 79 - конструкторская документация проверена на технологичность, разработана технологическая документация, 80 - технологическое оснащение опытного производства закончено, 81 - конструкторская и технологическая документации получены опытным производством, 82 - опытные образцы изготовлены, 83 - регулировка опытных образцов закончена, 84 - предварительные (стендовые) испытания опытного образца закончены, 85 - испытания на надежность опытного образца выполнены, 86 - опытный образец отправлен для установки на судно, 87 - опытный образец смонтирован на судне, 88 - регулировка опытного образца на судне закончена, 89 - предварительные (морские) испытания опытного образца проведены, 90 - опытный образец предъявлен на государственные испытания, 91 - государственные испытания закончены, 92 - документация по результатам государственных испытаний откорректирована, 93 - документация передана серийному заводу-изготовителю. Перечень работ по сетевому графу выполнения ОКР "Комплексная навигационная система для морских судов" (в скобках указаны подразделения, ответственные за выполнение работ) 00-01 - оценка состояния рынка и запросов потребителей (КНИО, технический отдел, ОНТИ), 01-02 - сбор заявок возможных потребителей (технический отдел), 02-03 - проработка заявок потребителей, оценка осуществимости и затрат на ОКР (КНИО, подразделения-соисполнители), 03-04 - согласование ТЗ, выданного головным потребителем (ЦКБ-проектантом судна) (главный конструктор, КНИО), 04-05 - составление графика выполнения ОКР (главный конструктор, КНИО, технический отдел), 04-06 - разработка частных ТЗ на блоки и приборы (КНИО), 05-07 - разработка и утверждение планов работ подразделениям по ОКР (КНИО, ППО), 06-08 - выдача ЧТЗ на работы по эскизному проекту подразделениям радиотехнического НИОтд (главный конструктор, КНИО), 06-09 - выдача ЧТЗ на работы по эскизному проекту подразделениям антенного НИОтд (главный конструктор, КНИО), 06-10
- выдача ЧТЗ на проработки конструкций подразделениям конструкторско-технологического НИОтд (главный конструктор, КНИО), |
|||||||||||||||||||||||||||||||||||||||||||||||||||||||||||||||||||||||||||||||||||||||||||||||||||||||||||||||||||||||||||||||||||||||||||||||||||||||||||||||||||||||||||||||||||||||||||||||||||||||||||||||||||||||||||||||||||||||||||||||||||||||||||||||||||||||||||||||||||||||||||||||||||||||||||||||||||||||||||||||||||||||||||||||||||||||||||||||||||||||||||||||||||||||||||||||||||||||||||||||||||||||||||||||||||||||||||||||||||||||||||||||||||||||||||||||||||||||||||||||||||||||||||||||||||||||||||||||||||||||||||||||||||||||||||||||||||||||||||||||||||||||||||||||||||||||||||||||||||||||||||||||||||||||||||||||||||||||||||||||||||||||||||||||||||||||||||||||||||||||||||||||||||||||||||||||||||||||||||||||||||||||||||||||||||||||||||||||||||||||||||||||||||||||||||||||||||||||||||||||||||||||||||||||||||||||||||||||||||||||||||||||||||||||||||||||||||||||||||||||||||||||||||||||||||||||||||||||||||||||||||||||||||||||||||||||||||||||||||||||||||||||||||||||||||||||||||||||||||||||

















(в случае нерегулярного денежного потока при статическом критерии эффективности); 






, 
















