Шпаргалка: Шпаргалка по Экономическому анализу

Название: Шпаргалка по Экономическому анализу
Раздел: Рефераты по экономике
Тип: шпаргалка

1.

2. Сущность экономического анализа

Сущность экономического анализа может быть раскрыта через его предмет, задачи и содержание.

Экономический анализ как наука представляет собой систему специальных знаний (в том числе приёмов и методов получения этих знаний), связанную с исследованием экономических процессов и выявлением закономерностей их развития, с научным обоснованием бизнес-планов и всесторонней оценкой их выполнения, с выявлением факторов, оказывающих влияние на развитие экономических процессов, и измерения уровня этого влияния, с выявлением неиспользованных внутрихозяйственных резервов и на основе вышеперечисленного принятием оптимальных управленческих решений.

Под предметом экономического анализа понимается хозяйственная деятельность предприятий, её эффективность и конечные финансовые результаты.

Задачами экономического анализа являются: - обоснование управленческих решений;

- анализ выполнения бизнес-планов; - определение экономической эффективности использования ресурсов предприятия; - выявление и измерение резервов.

Экономические показатели классифицируются по следующим направлениям:

а) в зависимости от измерителей: натуральные, стоимостные. б) в зависимости от того, какая сторона хозяйственной операции измеряется: количественные (объём производства), качественные (фондоотдача, производительность труда); в) в зависимости от применения отдельно взятых показателей: абсолютные (используются для выражения конкретного значения изучаемого объекта: стоимость оборудования, стоимость основных средств), относительные (используются для выражения значения изучаемого объекта по отношению к другим элементам общей совокупности либо к аналогичным показателям за предыдущие периоды и т.п.: доля оборудования в общем объёме основных средств, темп роста выпускаемой продукции).

Ретроспективный анализ завершается, как правило, перспективным анализом, результатом которого является формирование плановых показателей. Таким образом, составляются бизнес-планы. Следующей важной задачей экономического анализа является изучение степени выполнения бизнес-плана. В данном случае устанавливается наличие и степень отклонения реальных показателей от плановых.

2. Виды экономического анализа

В сущности, в зависимости от субъектов (участникам) анализа можно разделить на два вида: внешний и внутренний. Подобное деление позволяет рассматривать анализ с позиции различных категорий пользователей информации. Так, анализ, проводимый менеджерами предприятия, а также плановым отделом, бухгалтерией, представляет собой внутренний анализ. Анализ, проводимый поставщиками, аудиторами (или аудиторскими фирмами), кредитными отделами, является внешним.

Классификация видов экономического анализа

1.По субъектам

анализ, проводимый руководством

анализ, плановым отделом

анализ, проводимый поставщиками

анализ, проводимый аудиторами, и т.п.

2

По кругу изучаемых вопросов

комплексный

тематический

3

По периодичности проведения

оперативный

- ежедневный

- декадный

- месячный

-ретроспективный

- квартальный

- полугодовой

- девятимесячный

- годовой

4. По объектам изучения

анализ подразделений

анализ предприятия (организации)

отраслевой анализ

5

По методам анализа

сравнительный

факторный

функционально-стоимостной

корреляционный

Всестороннее изучение деятельности предприятия, включая состояние его ресурсной базы, называется комплексным анализом. Цель оперативного анализа заключается прежде всего в поиске отклонений фактических показателей от плановых и формировании рекомендаций по устранению неблагоприятных изменений. Ретроспективный анализ позволяет выявить неиспользованные резервы и упущенные возможности, и его цель – недопущение повторения ошибок. Здесь следует заметить, что именно на данных ретроспективного анализа происходит прогнозирование дальнейшей деятельности предприятия и составление планов.

3. Принципы анализа Хозяйственной деятельности

1. Анализ должен базироваться на государственном подходе при оценке экономических явлений, процессов, результатов хозяйствования. Оценивая определенные проявления экономической жизни, нужно учитывать их соответствие государственной экономической, социальной, экологической, международной политике и законодательству. 2. Анализ должен носить научный характер, т.е. основываться на положениях диалектической теории познания, учитывать требования экономических законов развития производства, использовать достижения НТП и передового опыта, новейшие методы экономических исследований. 3. Анализ должен быть комплексным. Комплексность исследования требует охвата всех звеньев и всех сторон деятельности и всестороннего изучения причинных зависимостей в экономике предприятия. 4. Одним из требований к анализу является обеспечение системного подхода, когда каждый изучаемый объект рассматривается как сложная динамическая система, состоящая из ряда элементов, определенным способом связанных между собой и внешней средой. Изучение каждого объекта должно осуществляться с учетом всех внутренних и внешних связей, взаимозависимости и соподчиненности его отдельных элементов. 5. Анализ хозяйственной деятельности должен быть объективным, конкретным, точным. Он должен основываться на достоверной, проверенной информации, реально отражающей объективную действительность, а выводы его должны обосновываться точными аналитическими расчетами. Из этого требования вытекает необходимость постоянного совершенствования организации учета, внутреннего и внешнего аудита, а также методики анализа с целью повышения точности и достоверности его расчетов. 6. Анализ призван быть действенным, активно воздействовать на ход производства и его результаты, своевременно выявляя недостатки, просчеты, упущения в работе и информируя об этом руководство предприятия. Из этого принципа вытекает необходимость практического использования материалов анализа для управления предприятием, для разработки конкретных мероприятий, для обоснования, корректировки и уточнения плановых данных. В противном случае цель анализа не достигается. 7. Анализ должен проводиться по плану, систематически, а не от случая к случаю. Из этого требования вытекает необходимость планирования аналитической работы на предприятиях, распределения обязанностей по ее выполнению между исполнителями и контроля за ее проведением. 8. Анализ должен быть оперативным. Оперативность означает умение быстро и четко проводить анализ, принимать управленческие решения и претворять их в жизнь. 9. Один из принципов анализа — его демократизм, предполагающий участие в проведении анализа широкого круга работников предприятия, что обеспечивает более полное выявление передового опыта и использование имеющихся внутрихозяйственных резервов. 10. Анализ должен быть эффективным, т.е. затраты на его проведение должны давать многократный эффект. Таким образом, основными принципами анализа являются научность, комплексность, системность, объективность, точность, достоверность, действенность, оперативность, демократизм, эффективность и др. Ими следует руководствоваться, проводя анализ хозяйственной деятельности на любом уровне.

4. Метод как способ исследования. Характерные черты метода АХД. Определение метода АХД.

Под методом науки в широком смысле понимают способ исследования своего предмета. Специфические для различных наук способы подхода к изучению своего предмета (в том числе и АХД) базируются на всеобщем диалектическом методе познания.

Исток одной из характерных черт метода АХД необходимость постоянных сравнений. Сравнения очень широко применяются в АХД. Фактические результаты

деятельности сравниваются с результатами прошлых лет, достижениями других

предприятий, плановыми показателями, среднеотраслевыми и т.д.

Вытекает необходимость изучения внутренних противоречий, положительных и отрицательных сторон каждого явления, каждого процесса.

Изучение хозяйственной деятельности предприятий должно проводиться с учетом всех взаимосвязей. Ни одно явление не может быть правильно понято, если оно рассматривается изолированно, без связи с другими.

Важной методологической чертой анализа является и то, что он способен не только устанавливать причинно-следственные связи, но и давать им количественную характеристику, т.е. обеспечивать измерение влияния факторов на результаты деятельности. Это делает анализ точным, а выводы обоснованными. Изучение и измерение причинных связей в анализе можно осуществить методом индукции и дедукции. Способ исследования причинных связей с помощью логической индукции

заключается в том, что исследование ведется от частного к общему, от изучения частных фактов к обобщениям, от причин к результатам. Дедукция — это такой способ, когда исследование осуществляется от общих фактов к частным, от результа-

тов к причинам. Индуктивный метод в анализе используется в сочетании и единстве с дедуктивным. Системный подход предусматривает максимальную детализацию изучаемых явлений и процессов на элементы (собственно анализ) и их систематизацию. Детализация - выделение составных частей. Систематизация элементов системы производится на основе изучения их взаимосвязи и взаимодействия. Это позволяет определить главные компоненты, функции, соподчиненность элементов системы, построить приблизительную структурнологическую модель анализа изучаемого объекта (системы).

Метод АХД представляет системное, комплексное изучение, измерение и обобщение влияния факторов на результаты деятельности

предприятия путем обработки специальными приемами системы показателей плана, учета, отчетности и других источников информации с целью

повышения эффективности функционирования организации.

5. Классификация факторов представляет собой распределение их по группам в зависимости от общих признаков. • По своей природе факторы подразделяются на природно-климатические, социально-экономические и производственно-экономические. По степени воздействия на результаты хозяйственной деятельности факторы делятся на основные и второстепенные. К основным относятся факторы, которые оказывают решающее воздействие на результативный показатель. Второстепенными считаются те, которые не оказывают решающего воздействия на результаты хозяйственной деятельности в сложившихся условиях. внутренние и внешние. Для правильной оценки деятельности предприятий факторы необходимо подразделять на объективные и субъективные. Объективные, например стихийное бедствие, не зависят от воли и желаний людей. В отличие от объективных субъективные причины зависят от деятельности юридических и физических лиц.

По степени распространенности факторы делятся на общие и специфические. К общим относятся факторы, которые действуют во всех отраслях экономики. Специфическими являются те, действие которых проявляется в условиях отдельной отрасли экономики или предприятия. По времени воздействия на результаты хозяйственной деятельности различают факторы постоянные и переменные.

Большое значение для оценки деятельности предприятий имеет деление факторов по характеру их действия на интенсивные и экстенсивные. К экстенсивным относятся факторы, которые связаны с количественным, а не с качественным приростом результативного показателя, например увеличение объема производства продукции путем расширения посевной площади, увеличения поголовья скота, количества рабочих и т.д. Интенсивные факторы характеризуют степень усилия, напряженности труда в процессе производства, например повышение урожайности сельскохозяйственных культур, продуктивности животных, уровня производительности труда.

Если при анализе ставится цель измерить влияние каждого фактора на результаты хозяйственной деятельности, то их разделяют на количественные и качественные, сложные и простые, прямые и косвенные, измеримые и неизмеримые.

6. Моделирование — это один из важнейших методов научного познания, с помощью которого создается модель (условный образ) объекта исследования. Сущность его заключается в том, что взаимосвязь исследуемого показателя с факторными

передается в форме конкретного математического уравнения.

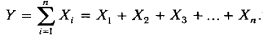
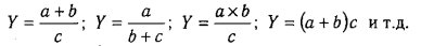
1. Аддитивные модели.

Они используются в тех случаях, когда результативный показатель представляет собой алгебраическую сумму нескольких факторных показателей.

2. Мультипликативные модели:

Этот тип моделей применяется тогда, когда результативный показатель представляет собой произведение нескольких факторов.

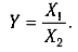
3. Кратные модели:

Они применяются тогда, когда результативный показатель получают делением одного факторного показателя на величину другого.

4. Смешанные (комбинированные) модели — это сочетание в различных комбинациях предыдущих моделей:

Моделирование мультипликативных факторных систем в АХД осуществляется путем последовательного расчленения факторов исходной системы на факторы-сомно-

жители. Например, при исследовании процесса формирования объема производства продукции можно применять такие детерминированные модели, как:

Эти модели отражают процесс детализации исходной факторной системы мультипликативного вида и расширения ее за счет расчленения на сомножители комплексных факторов. Степень детализации и расширения модели зависит от цели исследования, а также от возможностей детализации и формализации показателей в пределах установленных правил.

7. Экономические явления, изучаемые в АХД, имеют, как правило, количественную определенность, которая выражается в абсолютных и относительных величинах.

Абсолютные величины показывают количественные размеры явления в единицах меры, веса, объема, протяженности, площади, стоимости и т.д. безотносительно к размеру других явлений. Относительные показатели отражают соотношение величины изучаемого явления с величиной какого-либо другого явления или с величиной этого явления, но взятой за другое время или по другому объекту. Относительные показатели получают в результате деления одной величины на другую, которая принимается за базу сравнения. Это могут быть данные плана, базисного года, другого предприятия, среднеотраслевые и т.д. Относительные величины выражаются в форме коэффициентов (при базе 1) или процентов (при базе 100). В анализе хозяйственной деятельности используются разные виды относительных величин: планового задания, выполнения плана, динамики, структуры, координации, интенсивности, эффективности. Относительные величины динамики могут быть базисными и цепными. В первом случае каждый следующий уровень динамического ряда сравнивается с базисным годом, а в другом — уровень показателя следующего года относится к предыдущему. Показатель структуры — это относительная доля (удельный вес) части в общем, выраженная в процентах или коэффициентах. В практике экономической работы наряду с абсолютными и относительными показателями очень часто применяются средние величины. Они используются в АХД для обобщенной количественной характеристики совокупности однородных явлений по какому-либо признаку. Например, средняя зарплата рабочих используется для обобщающей характеристики уровня оплаты труда изучаемой совокупности рабочих. В анализе хозяйственной деятельности используются разные типы средних величин: среднеарифметические (простые и взвешенные), среднегармонические, среднегеометрические, среднехронологические, среднеквадратические и др. При использовании средних величин в АХД следует учитывать, что они дают обобщенную характеристику явлений, основываясь на массовых данных.

8. Сравнение — один из способов, с помощью которых человек начал распознавать окружающую среду. В современной действительности этот способ используется нами на каждом шагу, временами автоматически, неосознанно. Подчеркивая его важность, можно сослаться на поговорку: "Все познается в сравнении". Широкое распространение он получил и в исследовании экономических явлений.

Каждый показатель, каждая цифра, используемая для оценки, контроля и прогноза, имеет значение только в сопоставлении с другой. Сущность этого способа может быть

раскрыта следующим образом. Сравнение — это научный метод познания, в процессе его неизвестное (изучаемое) явление, предметы сопоставляются с уже известными, изучаемыми ранее, с целью определения общих черт либо различий между ними. С помощью сравнения определяется общее и специфическое в экономических явлениях, изучаются изменения исследуемых объектов, тенденции и закономерности их развития. В экономическом анализе сравнение используют для решения всех его задач как основной или вспомогательный способ. Перечислим наиболее типичные ситуации, когда используется сравнение, и цели, которые при этом достигаются.

1. Сопоставление фактических уровней показателей с плановыми используется для оценки степени выполнения плана.

2. Сопоставление фактических уровней показателей с нормативными позволяет осуществлять контроль за затратами и способствует внедрению ресурсосберегающих технологий.

3. Сравнение фактических уровней показателей с данными прошлых лет применяется для определения тенденций развития экономических процессов.

4. Сопоставление уровня показателей анализируемого предприятия с достижениями науки и передового опыта работы других предприятий или подразделений необходимо для поиска резервов.

5. Сравнение уровня показателей анализируемого предприятия со средними их величинами по отрасли производится с целью определения положения предприятия на рынке среди других предприятий той же отрасли или подотрасли.

6. Сопоставление параллельных и динамических рядов служит для изучения взаимосвязей исследуемых показателей. Например, анализируя одновременно динамику изменения объема производства валовой продукции, основных производственных фондов и фондоотдачи, можно обосновать взаимосвязь между этими показателями.

7. Сопоставление различных вариантов управленческих решений производится с целью выбора наиболее оптимального из них.

8. Сопоставление результатов деятельности до и после изменения какого-либо фактора применяется при расчете влияния факторов и подсчете резервов.

9. Широкое применение в АХД находит группировка информации деление массы изучаемой совокупности объектов на качественно однородные группы по соответствующим признакам. Если статистика использует этот способ для обобщения и типизации явлений, то в анализе группировка помогает разъяснить смысл средних величин, показать роль отдельных единиц в этих средних, выявить взаимосвязь между изучаемыми показателями. В зависимости от задач исследования используются типологические, структурные и аналитические группировки.

Примером типологических группировок могут быть группы населения по роду деятельности, группы предприятий по формам собственности и т.д.

Структурные группировки позволяют изучать внутреннее строение показателей, соотношения в нем отдельных частей. С их помощью изучают состав рабочих по профессиям, стажу работы, возрасту, выполнению норм выработки; состав

предприятий по степени выполнения плана производства продукции, снижению ее себестоимости и т.д. Аналитические (причинно-следственные) группировки используются для определения наличия, направления и формы связи между изучаемыми показателями. По сложности построения различают два типа группировок: простые и комбинированные. С помощью простых группировок изучается взаимосвязь между явлениями, сгруппированными по какому-либо одному признаку. В комбинированных группировках такое деление изучаемой совокупности

делается сначала по одному признаку, а потом внутри каждой группы — по другому признаку и т.д. Таким образом могут быть построены двух-, трехуровневые группировки. Методика построения группировок коротко может быть определена в виде следующего алгоритма: 1) определение цели анализа; 2) сбор необходимых данных по всей совокупности объектов; 3) ранжирование совокупности по выбранному для группировки признаку; 4) выбор интервала распределения совокупности и ее деление на группы; 5) определение среднегрупповых показателей по группировочным и факторным признакам; 6) анализ полученных средних величин, определение взаимосвязи и направления воздействия факторных показателей на изучаемый результат.

16. экономическая сущность резервов повышения эффективности производства состоит в наиболее полном и рациональном использовании все возрастающего потенциала ради получения большего количества высококачественной продукции при наименьших затратах живого и овеществленного труда на единицу продукции.

По пространственному признаку выделяют внутрихозяйственные, отраслевые, региональные и общегосударственные резервы. К внутрихозяйственным принадлежат те резервы, которые выявляются и могут быть использованы только на исследуемом предприятии. Они базируются на более полном и экономном использовании производственной мощности, трудовых и материальных ресурсов, применении новейших достижений НТП в области техники, технологии и организации производства, выработке правильной структурной, ценовой, инвестиционной стратегии в сфере бизнеса и т.д. Отраслевые резервы — это те, которые могут быть выявлены только на уровне отрасли, например выведение новых сортов культур, пород животных, разработка новых систем машин, новых технологий, улучшенных конструкций изделий и т.д. Поиск этих резервов является компетенцией отраслевых объединений, министерств, концернов. Региональные резервы могут быть выявлены и использованы в пределах географического района (использование местного сырья и топлива, энергетических ресурсов, централизация вспомогательных производств независимо от их ведомственного подчинения и т.д.).

К общегосударственным резервам можно отнести ликвидацию диспропорций в развитии разных отраслей производства, изменение форм собственности, системы управления национальной экономикой и т.д. По признаку времени резервы делятся на неиспользованные, текущие и перспективные.

18. Результативность анализа хозяйственной деятельности во многом зависит от

правильной его организации, которая должна соответствовать ряду требований.

Она должна носить научный характер, строиться на плановой основе, основываться на новейших методиках, обеспечивать действенность и эффективность аналитического процесса. Аналитическая работа входит в служебные обязанности каждого руководителя, каждого менеджера, принимающего управленческие решения. Отсюда важным принципом ее организации является четкое распределение обязанностей по проведению анализа между отдельными исполнителями. Одним из принципов организации анализа на предприятиях является обеспечение экономичности и эффективности аналитического процесса, т.е. выполнение наиболее полного и всестороннего исследования при минимуме затрат на его проведение. регламентация и унификация. Регламентация предусматривает разработку для каждого исполнителя обязательного минимума таблиц и выходных форм анализа. Унификация (стандартизация) анализа предполагает создание типовых методик и инструкций, выходных форм и таблиц, стандартных программ, единых критериев оценки, что обеспечивает сопоставимость, сводимость результатов анализа на более высоком уровне управления, повышает объективность оценки деятельности внутрихозяйственных подразделений, уменьшает затраты времени на анализ и в итоге

способствует повышению его эффективности. Аналитическая работа на предприятии подразделяется на следующие организационные этапы. 1. Определение субъектов и объектов АХД, выбор организационных форм их исследования и распределение обязанностей между отдельными службами и подразделениями. 2. Планирование аналитической работы. 3. Информационное и методическое обеспечение АХД.

4. Оформление результатов анализа. 5. Контроль за внедрением в производство предложений, сделанных по результатам анализа.

20. Любые результаты аналитического исследования деятельности предприятия в целом или его сегментов должны быть оформлены в виде документов. Это может быть аналитический отчет (пояснительная записка), справка, заключение.

Аналитический отчет обычно составляется для внешних пользователей. Если результаты анализа предназначены для внутрихозяйственного использования, они оформляются в виде справки или заключения. Содержание аналитического отчета должно быть достаточно полным. Кроме выводов о результатах хозяйственной деятельности и предложений по их улучшению, он должен содержать общие вопросы — экономический уровень развития предприятия, условия хозяйствования, результаты выполнения планов по отдельным направлениям деятельности. Аналитическая часть отчета должна быть обоснованной, конкретной по стилю. Она может содержать сами аналитические расчеты, таблицы, где сгруппированы необходимые для иллюстрации данные, графики, диаграммы и т.д. Что касается справки и заключения, то их содержание в отличие от пояснительной записки может быть более конкретным, акцентированным на отражении недостатков или достижений, выявленных резервов, способов их освоения. Здесь может быть опущена общая характеристика предприятия и условий его деятельности. Отдельно следует остановиться на бестекстовой форме оформления результатов анализа. Она состоит из постоянного макета типовых аналитических таблиц и графиков и не содержит пояснительного текста. На практике наиболее существенные результаты анализа могут заноситься в специально предусмотренные для этого разделы экономического паспорта предприятия.